Movatterモバイル変換


[0]ホーム

URL:


CN112070564B - Advertisement pulling method, device and system and electronic equipment - Google Patents

Advertisement pulling method, device and system and electronic equipment
Download PDF

Info

Publication number
CN112070564B
CN112070564BCN202011245007.1ACN202011245007ACN112070564BCN 112070564 BCN112070564 BCN 112070564BCN 202011245007 ACN202011245007 ACN 202011245007ACN 112070564 BCN112070564 BCN 112070564B
Authority
CN
China
Prior art keywords
advertisement
value
target
pulling
pull
Prior art date
Legal status (The legal status is an assumption and is not a legal conclusion. Google has not performed a legal analysis and makes no representation as to the accuracy of the status listed.)
Active
Application number
CN202011245007.1A
Other languages
Chinese (zh)
Other versions
CN112070564A (en
Inventor
张梦一
李邦鹏
郭腾蛟
贺旭
陈功
Current Assignee (The listed assignees may be inaccurate. Google has not performed a legal analysis and makes no representation or warranty as to the accuracy of the list.)
Tencent Technology Shenzhen Co Ltd
Original Assignee
Tencent Technology Shenzhen Co Ltd
Priority date (The priority date is an assumption and is not a legal conclusion. Google has not performed a legal analysis and makes no representation as to the accuracy of the date listed.)
Filing date
Publication date
Application filed by Tencent Technology Shenzhen Co LtdfiledCriticalTencent Technology Shenzhen Co Ltd
Priority to CN202011245007.1ApriorityCriticalpatent/CN112070564B/en
Publication of CN112070564ApublicationCriticalpatent/CN112070564A/en
Application grantedgrantedCritical
Publication of CN112070564BpublicationCriticalpatent/CN112070564B/en
Activelegal-statusCriticalCurrent
Anticipated expirationlegal-statusCritical

Links

Images

Classifications

Landscapes

Abstract

The disclosure provides an advertisement pulling method, device and system and electronic equipment. The method comprises the following steps: responding to an advertisement pulling request corresponding to a target user, and acquiring the value values of a plurality of alternative advertisements; setting the candidate advertisement with the highest value score as a target advertisement; acquiring the current times of the pull-able advertisement corresponding to the target user; when the number of times of the current advertisements capable of being pulled is larger than zero, acquiring a value score filtering threshold value corresponding to the target user; and when the value score of the target advertisement is larger than the value filtering threshold value, pulling the target advertisement and pushing the target advertisement to the target user. According to the advertisement push method and the advertisement push system, the content can be accurately and timely pushed to the user by selecting the better advertisement push time and the target advertisement through data calculation, the advertisement push effect is effectively improved, and accurate recommendation is achieved.

Description

Advertisement pulling method, device and system and electronic equipment
Technical Field
The present disclosure relates to the field of internet technologies, and in particular, to an advertisement pulling method, an advertisement pulling device, an advertisement pulling system, and an electronic device.
Background
Stream of information (Feeds) advertisements refer to advertisements displayed in social media user friend trends or streams of informational and audiovisual media content. When a user browses information streams by using the terminal equipment, the user can trigger an advertisement pulling request through a corresponding media main background system, the terminal equipment sends the advertisement pulling request to an advertisement engine, and the advertisement engine judges whether to display advertisements and which advertisement or advertisements to display. In order to protect the user experience, the number of information flow advertisements presented per user per day is usually limited, so the advertisement engine needs to select the best several occasions to present the appropriate advertisements among several advertisement pull requests.
The related art generally pushes an advertisement to a user in response to an advertisement pull request each time the number of information streams newly acquired by the user reaches a preset value, and ignores a subsequent advertisement pull request when the number of advertisements pulled on the day exceeds a limit number. Because the behavior of browsing the information stream by the user is random, and the alternative advertisements delivered online change with time, the method can cause omission of advertisement delivery opportunities with better user experience or higher commercial value, and the advertisement delivery effect has a larger improvement space.
It is to be noted that the information disclosed in the above background section is only for enhancement of understanding of the background of the present disclosure, and thus may include information that does not constitute prior art known to those of ordinary skill in the art.
Disclosure of Invention
The present disclosure is directed to an advertisement pull method, apparatus, system and electronic device, which are used to overcome, at least to some extent, the problem of missing a better advertisement push opportunity due to the limitations and drawbacks of the related art.
According to a first aspect of the embodiments of the present disclosure, there is provided an advertisement pulling method, including: responding to an advertisement pulling request corresponding to a target user, and acquiring the value values of a plurality of alternative advertisements; setting the candidate advertisement with the highest value score as a target advertisement; acquiring the current times of the pull-able advertisement corresponding to the target user; when the number of times of the current advertisements capable of being pulled is larger than zero, acquiring a value score filtering threshold value corresponding to the target user; and when the value score of the target advertisement is larger than the value filtering threshold value, pulling the target advertisement and pushing the target advertisement to the target user.
In an exemplary embodiment of the disclosure, the obtaining the value parts of the plurality of candidate advertisements includes: obtaining an economic value and an experience value of the alternative advertisement to the target user; obtaining a current optimization target, and determining the weight of the economic value and the weight of the experience value according to the current optimization target; performing weighted summation according to the economic value, the weight of the economic value, the experience value and the weight of the experience value to determine the value of the alternative advertisement.
In an exemplary embodiment of the present disclosure, the obtaining the number of times of the pull-able advertisement corresponding to the target user includes: acquiring the number of pulling opportunities on the current day, limiting the pulling times and the pulling times on the current day of the target user; setting a maximum pulling frequency to be equal to the limited pulling frequency when the number of the pulling opportunities on the same day is not less than the limited pulling frequency, and setting the maximum pulling frequency to be equal to the number of the pulling opportunities on the same day when the number of the pulling opportunities on the same day is less than the limited pulling frequency; and determining the number of times of the pull-able advertisement corresponding to the target user according to the difference between the maximum number of times of the pull-able advertisement and the number of times of the pull-able advertisement on the current day, wherein after the target advertisement is pushed to the target user, the number of times of the pull-able advertisement on the current day of the target user is increased by one.
In an exemplary embodiment of the disclosure, the obtaining the value score filtering threshold corresponding to the target user includes: acquiring N groups of pull advertisement characteristic values N days before the current date corresponding to the target user, wherein N is an integer greater than or equal to 1; acquiring a filtering threshold calculation function corresponding to the current date; and substituting the N groups of pull advertisement characteristic values into the filtering threshold value calculation function to obtain an output value of the filtering threshold value calculation function, and determining the value score filtering threshold value according to the output value of the filtering threshold value calculation function.
In an exemplary embodiment of the present disclosure, the obtaining N groups of pull advertisement characteristic values N days before the current date corresponding to the target user includes: acquiring user portrait scores of target users on a target date, the number of pulling opportunities on the same day, the limited pulling times and the value scores of target advertisements corresponding to the pulling opportunities each time; determining a value score lower threshold limit and a value score upper threshold limit of the target user on the target date according to the number of the pulling opportunities on the current day, the limited pulling times and the value score of the target advertisement corresponding to each pulling opportunity; recording the user representation score, the value threshold lower limit, and the value score threshold upper limit as a set of pull advertisement feature values for the target user on the target date.
In an exemplary embodiment of the disclosure, the obtaining of the filtering threshold calculation function corresponding to the current date includes: solving parameters of a filtering threshold calculation function which enables a preset loss function to obtain a minimum value; and determining a filtering threshold calculation function corresponding to the current date according to the parameters, wherein the parameters of the preset loss function comprise the filtering threshold calculation function and the characteristic value of the pulled advertisement in each of N days before the current date corresponding to the target user.
In an exemplary embodiment of the present disclosure, the determining the worth point filtering threshold according to the output value of the filtering threshold calculation function includes: obtaining a first value average value according to a value score of a pulled advertisement corresponding to a first time period of a current date, wherein the first time period is from zero point of the current date to a current time point; obtaining a second value average value according to the value score of the pulled advertisement corresponding to the first time period of each day N days before the current date; determining a correction factor according to a ratio of the first value average to the second value average; setting a product of the correction coefficient and an output value of the filter threshold calculation function as the value score filter threshold.
According to a second aspect of the embodiments of the present disclosure, there is provided an advertisement pull device including: the alternative advertisement value calculation module is set to respond to an advertisement pulling request corresponding to a target user and obtain the value of a plurality of alternative advertisements; the target advertisement determining module is used for setting the alternative advertisement with the highest value score as a target advertisement; the pull opportunity determining module is set to acquire the current pull advertisement times corresponding to the target user; the value filtering threshold value determining module is set to obtain a value filtering threshold value corresponding to the target user when the number of times of the current advertisements capable of being pulled is greater than zero; and the advertisement pulling module is set to pull the target advertisement and push the target advertisement to the target user when the value score of the target advertisement is larger than the value filtering threshold value.
According to a third aspect of the embodiments of the present disclosure, there is provided an advertisement pull system including: each user terminal is used for responding to a message of a user browsing information flow to trigger a plurality of advertisement pulling requests and displaying a target advertisement corresponding to at least one advertisement pulling request; the server is in communication connection with the plurality of user terminals and is provided with an advertisement engine, and the advertisement engine is used for responding to the advertisement pulling request, executing the advertisement pulling method and pushing the target advertisement to the user terminals; and the memory is connected with the server and is used for storing the value of the target advertisement of each advertisement pulling request corresponding to each user terminal calculated by the server, the filtering threshold calculation function calculated by the server and the value score filtering threshold corresponding to each user terminal on the current date calculated by the server.
According to a fourth aspect of the present disclosure, there is provided an electronic device comprising: a memory; and a processor coupled to the memory, the processor configured to perform the method of any of the above based on instructions stored in the memory.
According to a fifth aspect of the present disclosure, there is provided a computer-readable storage medium having stored thereon a program which, when executed by a processor, implements an advertisement pull method as recited in any one of the above.
The method and the device for pushing the target advertisements have the advantages that the multiple value values of the multiple candidate advertisements and the value score filtering threshold value corresponding to the target user are calculated by responding to the advertisement pulling request, when the number of times of the advertisements which can be pulled and correspond to the target user is larger than zero and the highest value of the multiple value values is larger than the value score filtering threshold value, the target advertisement corresponding to the highest value is pushed to the target user, whether the candidate advertisements with higher values exist at the current time or not and whether the advertisements should be pulled at the current time or not can be accurately judged, and the advertisement pushing scheme and the advertisement pushing effect are optimized.
It is to be understood that both the foregoing general description and the following detailed description are exemplary and explanatory only and are not restrictive of the disclosure.
Drawings
The accompanying drawings, which are incorporated in and constitute a part of this specification, illustrate embodiments consistent with the present disclosure and together with the description, serve to explain the principles of the disclosure. It is to be understood that the drawings in the following description are merely exemplary of the disclosure, and that other drawings may be derived from those drawings by one of ordinary skill in the art without the exercise of inventive faculty.
Fig. 1 is a flowchart of an advertisement pulling method in an exemplary embodiment of the present disclosure.
Fig. 2 is a sub-flowchart of step S1 in one embodiment of the present disclosure.
FIG. 3 is a sub-flowchart of step S3 in one embodiment of the present disclosure.
FIG. 4 is a sub-flowchart of step S4 in one embodiment of the present disclosure.
Fig. 5 is a schematic diagram of the embodiment shown in fig. 4 and equation (2).
FIG. 6 is a sub-flowchart of step S41 in one embodiment of the present disclosure.
FIG. 7 is a sub-flowchart of step S43 in one embodiment of the present disclosure.
Fig. 8 is a schematic diagram of selecting an advertisement pull opportunity in an embodiment of the present disclosure.
Fig. 9 is a block diagram of an advertisement pull system in an exemplary embodiment of the present disclosure.
Fig. 10 is a block diagram of an advertisement pulling apparatus in an exemplary embodiment of the present disclosure.
Fig. 11 is a block diagram of an electronic device in an exemplary embodiment of the disclosure.
Detailed Description
Example embodiments will now be described more fully with reference to the accompanying drawings. Example embodiments may, however, be embodied in many different forms and should not be construed as limited to the examples set forth herein; rather, these embodiments are provided so that this disclosure will be thorough and complete, and will fully convey the concept of example embodiments to those skilled in the art. The described features, structures, or characteristics may be combined in any suitable manner in one or more embodiments. In the following description, numerous specific details are provided to give a thorough understanding of embodiments of the disclosure. One skilled in the relevant art will recognize, however, that the subject matter of the present disclosure can be practiced without one or more of the specific details, or with other methods, components, devices, steps, and the like. In other instances, well-known technical solutions have not been shown or described in detail to avoid obscuring aspects of the present disclosure.
Further, the drawings are merely schematic illustrations of the present disclosure, in which the same reference numerals denote the same or similar parts, and thus, a repetitive description thereof will be omitted. Some of the block diagrams shown in the figures are functional entities and do not necessarily correspond to physically or logically separate entities. These functional entities may be implemented in the form of software, or in one or more hardware modules or integrated circuits, or in different networks and/or processor devices and/or microcontroller devices.
The method provided by the embodiment of the disclosure can be applied to cloud computing, cloud storage and databases in the technical field of cloud to realize big data computing.
Cloud technology (Cloud technology) refers to a hosting technology for unifying series resources such as hardware, software, networks and the like in a wide area network or a local area network to realize data calculation, storage, processing and sharing, is a general name of network technology, information technology, integration technology, management platform technology, application technology and the like applied based on a Cloud computing business model, can form a resource pool, and can be used as required, flexible and convenient.
Cloud computing (cloud computing) is a computing model that distributes computing tasks over a pool of resources formed by a large number of computers, enabling various application systems to obtain computing power, storage space, and information services as needed. The network that provides the resources is referred to as the "cloud". Resources in the "cloud" appear to the user as being infinitely expandable and available at any time, available on demand, expandable at any time, and paid for on-demand.
A distributed cloud storage system (hereinafter, referred to as a storage system) refers to a storage system that integrates a large number of storage devices (storage devices are also referred to as storage nodes) of different types in a network through application software or application interfaces to cooperatively work by using functions such as cluster application, grid technology, and a distributed storage file system, and provides a data storage function and a service access function to the outside.
At present, a storage method of a storage system is as follows: logical volumes are created, and when created, each logical volume is allocated physical storage space, which may be the disk composition of a certain storage device or of several storage devices. The client stores data on a certain logical volume, that is, the data is stored on a file system, the file system divides the data into a plurality of parts, each part is an object, the object not only contains the data but also contains additional information such as data identification (ID, ID entry), the file system writes each object into a physical storage space of the logical volume, and the file system records storage location information of each object, so that when the client requests to access the data, the file system can allow the client to access the data according to the storage location information of each object.
Database (Database), which can be regarded as an electronic file cabinet in short, a place for storing electronic files, a user can add, query, update, delete, etc. to data in files. A "database" is a collection of data that is stored together in a manner that can be shared by multiple users, has as little redundancy as possible, and is independent of the application.
A Database Management System (DBMS) is a computer software System designed for managing a Database, and generally has basic functions of storage, interception, security assurance, backup, and the like. The database management system may classify the database according to the database model it supports, such as relational, XML (Extensible Markup Language); or classified according to the type of computer supported, e.g., server cluster, mobile phone; or sorted according to the Query Language used, such as SQL (Structured Query Language), XQuery, or sorted according to performance impulse emphasis, such as max size, maximum operating speed, or other sorting.
Big data (Big data) refers to a data set which cannot be captured, managed and processed by a conventional software tool within a certain time range, and is a massive, high-growth-rate and diversified information asset which can have stronger decision-making power, insight discovery power and flow optimization capability only by a new processing mode. Large data requires special techniques to efficiently process large amounts of data that are tolerant of elapsed time. The method is suitable for the technology of big data, and comprises a large-scale parallel processing database, data mining, a distributed file system, a distributed database, a cloud computing platform, the Internet and an extensible storage system.
The following detailed description of exemplary embodiments of the disclosure refers to the accompanying drawings.
Fig. 1 is a flowchart of an advertisement pulling method in an exemplary embodiment of the present disclosure.
Referring to fig. 1, theadvertisement pull method 100 may include:
step S1, responding to the advertisement pulling request corresponding to the target user, and obtaining the price values of a plurality of candidate advertisements;
step S2, setting the candidate advertisement with the highest value score as a target advertisement;
step S3, obtaining the current advertisement pulling times corresponding to the target user;
step S4, when the number of times of the current advertisement can be pulled is more than zero, a value score filtering threshold value corresponding to the target user is obtained;
and step S5, when the value score of the target advertisement is larger than the value filtering threshold value, pulling the target advertisement and pushing the target advertisement to the target user.
The method and the device for pushing the target advertisements have the advantages that the multiple value values of the multiple candidate advertisements and the value score filtering threshold value corresponding to the target user are calculated by responding to the advertisement pulling request, when the number of times of the advertisements which can be pulled and correspond to the target user is larger than zero and the highest value of the multiple value values is larger than the value score filtering threshold value, the target advertisement corresponding to the highest value is pushed to the target user, whether the candidate advertisements with higher values exist at the current time or not and whether the advertisements should be pulled at the current time or not can be accurately judged, and the advertisement pushing scheme and the advertisement pushing effect are optimized.
Theadvertisement pulling method 100 provided by the present disclosure may be implemented by an advertisement engine. The advertisement engine is an entity connecting the media host and the advertiser, and puts the advertisement of the advertiser to an advertisement space provided by the media host, when a user accesses the media host, the advertisement pulling request is triggered by the media host background system, and the media host background system sends the advertisement pulling request to the advertisement engine for processing. A media owner refers to an entity (e.g., a circle of friends, a public number, a web portal, a news website, etc.) that owns an internet platform, and the media owner has a large user access volume (also referred to as user traffic) and inserts an advertisement space in the platform due to a desire to convert the user traffic into cash revenue.
The steps of theadvertisement pull method 100 will be described in detail below.
In step S1, in response to the advertisement pull request corresponding to the target user, the value of the plurality of candidate advertisements is obtained.
In the embodiment of the present disclosure, the advertisement pull request may be triggered by a preset rule. For example, when it is determined that the number of information streams (feeds) acquired by the target user after the advertisement pull request is triggered last time exceeds a preset value, an advertisement pull request may be triggered again. The trigger rule of the advertisement pull request may also be other rules, and the disclosure is not limited thereto.
After the advertisement pulling request reaches the advertisement engine, the advertisement engine acquires the alternative advertisement at the current moment. Because the release rules of the advertisements are different, and the alternative advertisements at different times are not completely consistent, the alternative advertisement at the current time needs to be obtained in real time.
Fig. 2 is a sub-flowchart of step S1 in one embodiment of the present disclosure.
Referring to fig. 2, in one embodiment, step S1 may include:
step S11, obtaining the economic value and experience value of the alternative advertisement to the target user;
step S12, obtaining a current optimization target, and determining the weight of the economic value and the weight of the experience value according to the current optimization target;
and step S13, carrying out weighted summation according to the economic value, the weight of the economic value, the experience value and the weight of the experience value to determine the value of the alternative advertisement.
The value is used in the embodiment of the present disclosure to determine the push value of the alternative advertisement, so as to determine the alternative advertisement with the highest push value as the target advertisement to be pushed to the target user. In one embodiment, the value score of the alternative advertisement relates to both an economic value and an experience value. The economic value may be represented by eCPM (effective cost per mile), for example, and the eCPM of an alternative advertisement to a target user may be calculated by a general estimation method to estimate the advertising revenue that the alternative advertisement can obtain for each thousand impressions of the target user. The experience value may be represented by, for example, pCTR (predicted click through rate), and pCTR of an alternative advertisement for a target user may be obtained by a general evaluation method to evaluate the probability that the alternative advertisement is clicked after being pushed to the target user.
The eCPM can be used for measuring the commercial value of the alternative advertisement, the pCTR can be used for measuring the experience value of the alternative advertisement, and because the pushing scenes of the advertisement are different and the targeted users are different, the target to be realized when different advertisements are pushed is also different, sometimes the higher economic value needs to be realized when the advertisements are pushed, and sometimes the user experience needs to be taken care of when the advertisements are pushed. Therefore, in step S12, each time the value score of the candidate advertisement is determined, an optimization goal corresponding to the current advertisement pushing opportunity needs to be obtained in real time, and is more focused on the economic benefit of the advertisement or the user experience, so that the weights of the economic value and the experience value in the process of evaluating the value score of the candidate advertisement are determined according to the current optimization goal.
The current optimization target may be set by an operator in the background, may be automatically calculated according to a time period and other parameters of the user, and may also be set as a default, which is not limited in this disclosure. In some embodiments, the current optimization goal may be represented directly by a set of weight values including a weight of experience value and a weight of experience value. In other embodiments, the current optimization goal may also be represented by a word, and in step S12, the weight value set corresponding to the word may be obtained by presetting a corresponding relationship.
At step S13, the value score for an alternative advertisement may be determined by the following formula:
Figure 275570DEST_PATH_IMAGE001
(1)
wherein, score is the value of the candidate advertisement, eCPM is the eCPM value of the candidate advertisement to the target user, pCTR is the pCTR value of the candidate advertisement to the target user, and θ1And theta2Respectively, the weight of the economic value and the weight of the experience value determined according to the current optimization goal. When the optimization objective is business value, θ can be set1=1,θ2=0, the eCPM of the candidate advertisement is the value thereof, and filtering by using the value filtering threshold value can achieve the goal of pulling the advertisement with a larger eCPM. Similarly, when the optimization objective is experience value, θ can be set1=0,θ2=1, and the pCTR of the alternative advertisement is its value at this time. For multi-objective optimization, namely balance optimization of economic value and experience value, theta can be adjusted1And theta2The value of (A) is calculated to reach different balance points of income and experience, and corresponding value scores are calculated to realize multi-objective optimization.
The above method for determining the value of the alternative advertisement is only an example, and those skilled in the art may determine other value calculation methods according to other optimization goals or advertisement display goals, and the disclosure is not limited in this regard.
In step S2, the candidate advertisement with the highest value score is set as the target advertisement.
By reasonably calculating the value of the alternative advertisement according to the current optimization goal, the alternative advertisement which best meets the current optimization goal and can best realize the effect represented by the current optimization goal can be screened out, namely the advertisement with the highest value score is set as the target advertisement which is ready to be pulled and pushed to the target user.
It should be noted that, although the target advertisement may not be pulled finally due to non-compliance in the subsequent condition determination process related to the number of times that the advertisement can be pulled and the value score filtering threshold corresponding to the target user, it is still necessary to determine the value of the alternative advertisement and determine the target advertisement for each advertisement pulling request as a condition for subsequently calculating the value score filtering threshold corresponding to the target user. That is, a target advertisement may be determined for each advertisement pull request, and the value score of the target advertisement may be recorded to provide conditions for subsequent data analysis.
In step S3, the current number of times of pull-able advertisements corresponding to the target user is obtained.
In the embodiment of the present disclosure, it needs to be determined whether the target user meets the hardest advertisement push condition when the current advertisement pull request is received, that is, the current number of times that the target user can pull the advertisement is determined.
FIG. 3 is a sub-flowchart of step S3 in one embodiment of the present disclosure.
Referring to fig. 3, in one embodiment, step S3 may include:
step S31, obtaining the current pulling opportunity number, the limiting pulling times and the current pulling times of the target user;
step S32, setting a maximum pull number equal to the limited pull number when the number of pull opportunities on the same day is not less than the limited pull number, and setting the maximum pull number equal to the number of pull opportunities on the same day when the number of pull opportunities on the same day is less than the limited pull number;
step S33, determining the number of times of the target user corresponding to the pull-able advertisement according to the difference between the maximum number of times of the pull-able advertisement and the number of times of the pull-able advertisement on the current day, wherein after the target advertisement is pushed to the target user, the number of times of the pull-able advertisement on the current day of the target user is increased by one.
In the embodiment of the disclosure, the number of pulling opportunities on the same day corresponding to each day of the target user may vary with the date. For example, the target user may be assigned several advertisement pull opportunities per day based on the target user's advertisement browsing behavior or information flow browsing behavior of the last day, week, or month. For users who have more information flow, more advertisements or more purchasing behaviors in recent browsing, the number of pulling opportunities on the day can be increased adaptively; for users who have less information flow in recent browsing, less advertisements in browsing or less purchasing behaviors, the number of pulling opportunities on the day can be adaptively reduced, and the like. There may be various rules for determining the number of pulling opportunities on the current day corresponding to each day of the target user, and the disclosure is not limited thereto.
The limit number of pulling is an upper limit of the number of times that the advertisement is pushed per user per day, which is set for protecting the user experience, and the number is generally set by the system and does not change with time or with the user.
The number of times that the current day has been pulled refers to the number of times that the target user has been pushed the advertisement on the current day, which is recorded by the system. The system can add one to the current day pulled times of the target user after pulling the target advertisement and pushing the target advertisement to the target user each time, so as to realize real-time update of the current day pulled times of the target user.
When the number of pulling opportunities on the current day corresponding to the target user determined according to the preset rule does not exceed the limit pulling times, determining that the maximum pulling times corresponding to the current day of the user is the number of pulling opportunities on the current day; when the number of pulling opportunities on the current day corresponding to the target user determined according to the preset rule exceeds the limited pulling times, the maximum pulling times corresponding to the current day of the user can be determined as the limited pulling times. Further, the number of times the target user has available advertisements to pull may be determined based on the difference between the maximum number of pulls and the number of times the current time point has been pulled on the day.
If the number of times of pulling the advertisement is larger than zero, the target user is proved to be in accordance with the basic condition of pulling the advertisement, and the value judgment of the next step can be carried out; if the number of times of the advertisements capable of being pulled is less than or equal to zero, the number of times of the advertisements pushed by the target user reaches the maximum number of times of pulling the advertisements on the day, and the number of times of the advertisements pushed by the target user does not meet the pushing condition of the pulled advertisements.
In step S4, when the number of times of the current advertisement that can be pulled is greater than zero, a value score filtering threshold corresponding to the target user is obtained.
The method and the device for pushing the advertisement can determine the value score filtering threshold value of the target user corresponding to the advertisement pulling request in real time according to the historical behavior of the target user, namely judge whether the target advertisement can generate enough value for the target user or not, and achieve the advertisement pushing target. The value score filter threshold is a condition that measures whether the targeted advertisement can produce a targeted value to the targeted user.
If the value filtering threshold value is set too high, error filtering is easily caused, and the advertisement filling rate is reduced; if the value filtering threshold is set too low, the target advertisement is directly displayed in response to each advertisement pulling request, and the advertisement pulling opportunity is exhausted too early, so that the advertisement with higher subsequent value score is omitted.
In order to predict an optimal advertisement pulling scheme and avoid missing better advertisement pulling opportunities, the value score filtering threshold value corresponding to the target user on the current day is determined according to analysis on the historical behavior of the target user, namely the behavior characteristics of the advertisement pulled in the last N days.
FIG. 4 is a sub-flowchart of step S4 in one embodiment of the present disclosure.
Referring to fig. 4, in one embodiment, step S4 may include:
step S41, obtaining N groups of pull advertisement characteristic values N days before the current date corresponding to the target user, wherein N is an integer greater than or equal to 1;
step S42, obtaining a filtering threshold value calculation function corresponding to the current date;
step S43, the N groups of pull advertisement feature values are substituted into the filtering threshold value calculation function to obtain an output value of the filtering threshold value calculation function, and the value score filtering threshold value is determined according to the output value of the filtering threshold value calculation function.
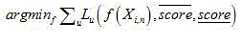
In the embodiment of the present disclosure, the manner of calculating the value score filtering threshold in the embodiment shown in fig. 4 may be represented by the following formula:
Figure 645240DEST_PATH_IMAGE002
(2)
wherein, scorethFiltering threshold value for the value score corresponding to the current day of the target user, wherein the function f is a filtering threshold value calculation function corresponding to the current day, Xi,nThe ith characteristic value of the nth day in N days before the current date corresponding to the target user is obtained, wherein N is more than or equal to 1, N is more than or equal to 1 and less than or equal to N, and i is more than or equal to 1.
For example, if N =5 is set, and the number of a group of pull advertisement feature values corresponding to each day is 4, then when the value score filtering threshold value on the 6 th day is calculated, 5 groups of pull advertisement feature values on the 1 st, 2 nd, 3 rd, 4 th and 5 th days are obtained, that is, a total of 5 × 4=20 pull advertisement feature values is obtained. The 20 pull advertisement feature values are substituted into a filtering threshold calculation function to obtain an output value. In the embodiment of the present disclosure, the output value may be directly used as the value score filtering threshold value of the 6 th day, or may be further processed to obtain the value score filtering threshold value of the 6 th day. The above numerical values are only examples, and the number of characteristic values and the number of days can be set by a person skilled in the art, and the disclosure is not limited thereto.
Fig. 5 is a schematic diagram of the embodiment shown in fig. 4 and equation (2).
Referring to fig. 5, in N days before the current date, the pulled advertisement characteristic value of the day is recorded every day according to the advertisement pulling behavior or advertisement pulling status corresponding to the target user. For convenience of calculation, the types and the number of the pull advertisement characteristic values recorded every day can be completely consistent, and only the numerical values are different according to the specific situation every day. By set form { X in FIG. 5i,nAnd expressing the pull advertisement characteristic value corresponding to the nth day. In practical application, the number of the corresponding pull advertisement characteristic values per day can be one or more, i is greater than or equal to 1, and i is an integer. Pulling N in the advertisement characteristic value to be a relative value, namely the day relative to N days participating in calculationSay to belong to several days to use filtering threshold value calculation function of unified form to process the pulling advertisement characteristic value of N days to obtain the value score filtering threshold value corresponding to the current date. After the daily pull advertisement characteristic value is calculated, the characteristic value can be stored in a preset memory, and the subsequent flow can be directly called without repeated calculation.
FIG. 6 is a sub-flowchart of step S41 in one embodiment of the present disclosure.
Referring to fig. 6, in one embodiment, step S41 may include:
step S411, obtaining user portrait score of target user on target date, number of pulling opportunities on the same day, limited pulling times and value score of target advertisement corresponding to each pulling opportunity;
step S412, determining a value score threshold lower limit and a value score threshold upper limit of the target user on the target date according to the number of the pulling opportunities on the current day, the limited pulling times and the value score of the target advertisement corresponding to each pulling opportunity;
step S413, recording the user portrait score, the value threshold lower limit and the value threshold upper limit as a set of pull advertisement feature values of the target user on the target date.
In the embodiment shown in FIG. 6, the set of pull advertisement feature values corresponding to the target date may include, for example, 4 types of data, including user profile score, score lower threshold, score upper threshold, and number of pull opportunities on the current day for the target user on the target date.
The user portrait score of the target user on the target date can be obtained through various user portrait extraction models, and a person skilled in the art can set the extraction parameter types and model parameters of the user portrait extraction models according to actual conditions, which is not limited by the disclosure.
The "lower limit of the value score threshold" and the "upper limit of the value score threshold" are boundary values of a more reasonable value score threshold interval obtained by analyzing the number of pulling opportunities of the target date according to the value score of the target advertisement determined by all advertisement pulling requests of the target date. Because the historical data is used, the value scores of all the target advertisements corresponding to the target dates can be obtained, so that the value score threshold interval can be objectively analyzed, and no matter which of all the target advertisements corresponding to the target dates are finally pulled and pushed to the target users, the value score threshold interval obtained by analysis is not influenced by the analysis result in response to the advertisement pulling request, namely the value score threshold interval exists independently of the actual advertisement pulling condition, and is more accurate and objective.
Assuming that the number of the current-day pulling opportunities of the target user on the target date is L (namely the number of the advertisement pulling requests triggered by the target user on the target date is set to be L times), and the limiting pulling times set by the system is K, when the L is larger than or equal to K, the purpose of setting the value score filtering threshold value is to select the K times of opportunities with the maximum value score of the target advertisement in the L times of advertisement pulling requests to pull the advertisement, so as to realize the optimal advertisement putting effect; when L < K, the number of the pulling opportunities does not exceed the limited pulling times on the day, the pulling opportunities do not need to be preferred, the target advertisement can be pulled in response to each advertisement pulling request triggered by the target user, and the value filtering threshold can be set to be zero at the moment.
The value score of the target advertisement corresponding to each advertisement pulling request is scororen(for the advertisement engine, the value is set to positive value), the value of the target advertisements corresponding to the target date is sorted in descending order, i.e. scoren≥scoren+1. The value of the optimal threshold value is within an interval. Wherein, the upper limit of the optimal threshold is as follows:
Figure 362661DEST_PATH_IMAGE003
(3)
the lower limit of the optimal threshold is:
Figure 180706DEST_PATH_IMAGE004
(4)
the meaning of the formula (3) is that when L is larger than or equal to K and the pulling opportunity needs to be selected preferentially, the set value score filtering threshold value needs to ensure that the value of the target advertisement on the current day on the target date can be screened out for the maximum K times, namely the value score filtering threshold value corresponding to the target date needs to be not larger than the value of the Kth day; when L is less than K and the pulling opportunity is not required to be preferred, the set value score filtering threshold value needs to ensure that all target advertisements of the target date can be pulled, namely the value score filtering threshold value corresponding to the target date needs not to be larger than the value of the Lth maximum.
The meaning of the formula (4) is that when L is larger than or equal to K and the pulling opportunity needs to be selected preferentially, the set value score filtering threshold value needs to ensure that more than K target advertisements cannot be screened out, namely the value score filtering threshold value corresponding to the target date needs to be not smaller than the value of K +1, so as to filter out the target advertisements corresponding to the value score of K + 1; when L is less than K and there is no need to perform pull opportunity prioritization, the lower limit of the value score filtering threshold corresponding to the target date may be zero, that is, filtering of pull opportunities is not performed at all.
Therefore, the value score filtering threshold score corresponding to the target datethShould be in
Figure 667182DEST_PATH_IMAGE005
≤scoreth
Figure 676596DEST_PATH_IMAGE006
Within the range, the aim of selecting the pull opportunity with the largest value score for L times or K times to pull the advertisement is fulfilled.
Through the analysis, a group of pull advertisement characteristic values corresponding to the target user every day in N days before the current time can be obtained. In other embodiments of the present disclosure, the pull advertisement characteristic value may have other kinds, and the present disclosure is not limited thereto.
After the pull advertisement characteristic values corresponding to N days before the current time are determined, the pull advertisement characteristic values can be processed through a filtering threshold value calculation function acquired in real time at the current date so as to obtain a value score filtering threshold value corresponding to the current date.
In this disclosure, a parameter of a filtering threshold calculation function that enables a preset loss function value to obtain a minimum value may be solved first, and then the filtering threshold calculation function corresponding to the current date may be determined according to the parameter, where the parameter of the preset loss function includes the filtering threshold calculation function and a pull advertisement characteristic value for each day in N days before the current date corresponding to the target user. The Loss function (Loss function) is a function that maps the value of a random event or its related random variables to non-negative real numbers to represent the "risk" or "Loss" of the random event. In application, the loss function is usually associated with the optimization problem as a learning criterion, i.e. the model is solved and evaluated by minimizing the loss function.
Implementations of the filtering threshold computation function f include, but are not limited to, linear models, regression tree models, neural network models. In the model training stage of the filtering threshold calculation function f, parameters of the filtering threshold calculation function f can be obtained by solving the minimization loss function. With LuTo represent the model loss function of the filtering threshold calculation function f corresponding to the user u, the solving formula may be, for example:
Figure 740367DEST_PATH_IMAGE007
(5)
loss function LuMay be in the form of, for example, mean square error or cross entropy. Because the value of the score filtering threshold only needs to be satisfied, the form of the loss function can be set to any one of the following forms:
Figure 611371DEST_PATH_IMAGE008
(6)
Figure 983313DEST_PATH_IMAGE009
(7)
in the formula (6), w1And w2Any constant that satisfies the condition may be set. In equation (7), Relu is a linear rectification function, defined as Relu (x) = max (x, 0). Substituting the formula (6) or the formula (7)And (5) entering the formula (5) and solving to obtain the parameters of the filtering threshold calculation function f.
The parameters of the filtering threshold calculation function f may be updated according to a preset period, for example, one week or one month. The pull advertisement characteristic value of each user in N days before the current date may be updated every day, and the value filtering threshold value is calculated using the filtering threshold value calculation function f corresponding to the current date and stored. When multiple advertisement pulling requests arrive in the current date, the value score filtering threshold value stored in the current date is directly called, and the value score filtering threshold value of the current date does not need to be repeatedly calculated in the same day.
The value score filtering threshold for the current date is calculated based on historical characteristics, but the real-time environment on the line often fluctuates compared to historical characteristics, so in one embodiment of the present disclosure, the value score filtering threshold is also corrected based on real-time information. For example, if there are a large number of advertisements with high eCPM in the same day, which results in the value score of the target advertisement pulled by the user being higher than the value score of the target advertisement pulled in the same period in the history period, the value filtering threshold needs to be adjusted up appropriately according to the current situation to ensure filtering preference; similarly, if some conditions occur in the same day, which results in a great reduction in the value scores of multiple target advertisements, the value filtering threshold needs to be reduced according to real-time conditions to ensure the filling rate of the advertisements. Therefore, in an embodiment of the present disclosure, the value score filtering threshold of the current date may be corrected in real time according to the time point corresponding to the advertisement pull request, so as to better reasonably judge whether the target advertisement should be pulled according to the advertisement competition environment of the current time point.
FIG. 7 is a sub-flowchart of step S43 in one embodiment of the present disclosure.
Referring to fig. 7, in one embodiment, step S43 may include:
step S431, obtaining a first value average value according to the value score of the pulled advertisement corresponding to a first time period of the current date, wherein the first time period is from zero point of the current date to the current time point;
step S432, obtaining a second value average value according to the value score of the pulled advertisement corresponding to the first time period of each day N days before the current date;
step S433, determining a correction coefficient according to the ratio of the first value average to the second value average;
step S434, setting the product of the correction coefficient and the output value of the filtering threshold calculation function as the value score filtering threshold.
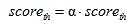
First, a real-time value score average of the target user's current time (e.g., 0-10 hours) may be calculatedrtThat is, the average value of one or more values of the pulled advertisements of the target user up to the current time of the day is calculated to obtain scorert(ii) a Then reads the value of all pulled advertisements for the same time period (e.g., 0-10 hours) N days before the current time, calculates the historical value score averagehistThat is, values of the pulled advertisement corresponding to a first time period (e.g., 0-10 hours) of each day of the target user N days before the current time are obtained, and the values are averaged to obtain scorehist. According to the real-time value mean scorertAnd historical value scorehistThe correction coefficient is calculated as follows:
Figure 648781DEST_PATH_IMAGE010
(8)
wherein,
Figure 324482DEST_PATH_IMAGE011
and
Figure 999177DEST_PATH_IMAGE012
the upper and lower limits of the preset correction coefficient can be adjusted by the technicians in the field according to the actual conditions. When in use
Figure 319300DEST_PATH_IMAGE013
When the correction coefficient is not more than the upper limit and the lower limit of the correction coefficient, the correction coefficient is corrected
Figure 234297DEST_PATH_IMAGE014
Is arranged as
Figure 286042DEST_PATH_IMAGE013
(ii) a If not, then,
Figure 498849DEST_PATH_IMAGE014
taking the corresponding upper and lower limits of the correction coefficient (
Figure 565156DEST_PATH_IMAGE013
If the upper limit is exceeded, the upper limit is selected
Figure 431481DEST_PATH_IMAGE011
Figure 832506DEST_PATH_IMAGE013
If the lower limit is exceeded, the lower limit is removed
Figure 832692DEST_PATH_IMAGE012
). The corrected value score filter threshold is:
Figure 84332DEST_PATH_IMAGE015
(9)
the value score filtering threshold value corresponding to the current date is calculated according to the historical data corresponding to N days before the current date, and the correction coefficient is determined according to the historical data corresponding to the current time point, so that the value score filtering threshold value more conforming to the current advertisement competition environment and the advertisement browsing behavior of the user can be obtained.
In step S5, when the value score of the target advertisement is greater than the value filtering threshold, the target advertisement is pulled and pushed to the target user.
When the value score of the target advertisement is greater than the value score filtering threshold calculated in step S4, it may be determined that the value of the target advertisement to the target user is greater at the current date, and the advertisement delivery purpose may be better achieved, and at this time, the target advertisement may be pulled and pushed to the target user. Correspondingly, if the value score of the target advertisement does not exceed the value score filtering threshold, the pulling opportunity is given up, the advertisement pulling request is ignored, the advertisement pulling opportunity is given up for pushing the subsequent target advertisement with a higher value, and the condition that the current pulling opportunity corresponding to the target user is consumed in advance to cause the omission of the subsequent target advertisement with a higher value is avoided.
Fig. 8 is a schematic diagram of selecting an advertisement pull opportunity in an embodiment of the present disclosure.
Referring to fig. 8, onecolumn 81 corresponds to one ad pull request for a target user, each ad pull request corresponding to multiple candidate ads 811 (multiple ads in the same column). The first candidate advertisement in each column is the targetedadvertisement 82 with the highest value score determined for the current ad pull request. In the plurality ofcolumns 81, only a portion of the targetedadvertisement 82 eventually becomes a pulledadvertisement 83, pulled and pushed to the targeted user. As can be seen in FIG. 8, a partial ad pull request is ignored because the value score of its corresponding targetedad 82 does not exceed the value score filter threshold for that targeted user at that time. Therefore, low-value advertisements which appear first can be prevented from being displayed, high-value advertisements which possibly appear later can be omitted, the commercial value of advertisement putting can be better improved or the experience of a user can be optimized, and the advertisement putting effect and the advertisement filling rate are effectively improved.
Fig. 9 is a block diagram of an advertisement pull system in an exemplary embodiment of the present disclosure.
Referring to fig. 9, asystem 900 may include:
the system comprises a plurality ofuser terminals 91, wherein eachuser terminal 91 is used for responding to a message of a user browsing information flow to trigger a plurality of advertisement pulling requests and displaying a target advertisement corresponding to at least one advertisement pulling request;
aserver 92, communicatively connected to theuser terminal 91, and provided with an advertisement engine, where the advertisement engine is configured to respond to an advertisement pull request to execute an advertisement pull method shown in fig. 1 to 8 to push a target advertisement to theuser terminal 91;
and amemory 93 connected to theserver 92 for storing the value of the target advertisement calculated by theserver 92 for each advertisement pull request of eachuser terminal 91, the filter threshold calculation function calculated by the server, and the value score filter threshold calculated by the server for each user terminal on the current date.
In the embodiment of the present disclosure, theserver 92 may be an independent physical server, may also be a server cluster or a distributed system formed by a plurality of physical servers, and may also be a cloud server that provides basic cloud computing services such as a cloud service, a cloud database, cloud computing, a cloud function, cloud storage, a Network service, cloud communication, a middleware service, a domain name service, a security service, a CDN (Content Delivery Network), a big data and artificial intelligence platform, and the like. The terminal may be, but is not limited to, a smart phone, a tablet computer, a laptop computer, a desktop computer, a smart speaker, a smart watch, and the like. The terminal and the server may be directly or indirectly connected through wired or wireless communication, which is not limited by the present disclosure.
It is understood that fig. 9 is only a logical relationship illustration, in an actual deployment, the number of theuser terminals 91 may be multiple, and theserver 92 and thememory 93 may also be implemented by multiple hardware entities, and in some embodiments, theserver 92 and thememory 93 are located in the same hardware entity.
In an application scenario, a user browses an information stream, and triggers an advertisement pull request through theuser terminal 91 when a preset rule for triggering the advertisement pull request is satisfied. After receiving the advertisement pulling request, the advertisement engine disposed on theserver 92 determines a target user corresponding to the advertisement pulling request, further obtains a plurality of candidate advertisements corresponding to the target user, and an economic value (eCPM) and an experience value (pCTR) of each candidate advertisement to the target user, determines value scores of the plurality of candidate advertisements according to a current optimization goal, selects the candidate advertisement with the highest value score as the target advertisement corresponding to the advertisement pulling request, and stores the value score of the target advertisement in thememory 93 for calculating a value score filtering threshold of the target user on a subsequent date.
And then, the advertisement engine determines the current times of pulling the advertisement of the target user, and when the current times of pulling is more than zero, the value score filtering threshold corresponding to the advertisement pulling request of the target user is obtained. In one embodiment, only the stored value score filtering threshold of the target user on the current date is directly called as the value score filtering threshold corresponding to the advertisement pull request, the value score filtering threshold of the current date is obtained by substituting N groups of pull advertisement characteristic values N days before the current date into a filtering threshold calculation function f, a parameter of the filtering threshold calculation function f is not changed within a preset period, the preset period may be, for example, one month or one week, and one or several pull advertisement characteristic values in a group of pull advertisement characteristic values are determined according to the value score of the target advertisement corresponding to each advertisement pull request every day stored in thememory 93. In another embodiment, a correction coefficient corresponding to the current advertisement pull request may be determined based on the value of the pulled advertisement on the current date and the pull advertisement feature value stored in the memory 93N days before the current date, and the value score filter threshold corresponding to the current advertisement pull request may be determined based on the product of the correction coefficient and the value score filter threshold of the current date.
After determining the value score filtering threshold corresponding to the advertisement pulling request, judging whether the value score of the target advertisement exceeds the value score filtering threshold, if so, pulling the target advertisement and pushing the target advertisement to theuser terminal 91; if not, the advertisement pulling request is ignored.
In this application scenario, thememory 93 may be configured to store a value score of a target advertisement corresponding to each advertisement pull request per day calculated by theserver 92, a filtering threshold calculation function determined by theserver 92 at the beginning of each preset period, and a value score filtering threshold of the target user at the current date calculated per day by theserver 92. Theserver 92 also reads thememory 93 to obtain historical data each time it calculates, for example, a filtering threshold function calculated and stored before it needs to be called when calculating the value filtering threshold, a value score of a target advertisement corresponding to each advertisement pull request of a target user every day needs to be called when calculating the filtering threshold calculation function, whether the value score filtering threshold of the current date needs to be read when pulling the target advertisement is determined, or further, the value score of the target advertisement corresponding to each advertisement pull request of the target user every day is read to determine the correction coefficient.
Corresponding to the method embodiment, the present disclosure further provides an advertisement pulling apparatus, which may be used to execute the method embodiment.
Fig. 10 is a block diagram of an advertisement pull apparatus in an exemplary embodiment of the present disclosure.
Referring to fig. 10, theadvertisement pull device 1000 may include:
an alternative advertisement value calculation module 101 configured to obtain values of a plurality of alternative advertisements in response to an advertisement pull request corresponding to a target user;
a target advertisement determination module 102 configured to set the candidate advertisement with the highest value score as a target advertisement;
a pull opportunity determination module 103 configured to obtain a current number of times of pull-able advertisements corresponding to the target user;
a value filtering threshold determining module 104 configured to obtain a value filtering threshold corresponding to the target user when the number of times of the current advertisement that can be pulled is greater than zero;
the advertisement pulling module 105 is configured to pull the target advertisement and push the target advertisement to the target user when the value score of the target advertisement is greater than the value filtering threshold.
In an exemplary embodiment of the present disclosure, the alternative advertisement value calculation module 101 is configured to: obtaining an economic value and an experience value of the alternative advertisement to the target user; obtaining a current optimization target, and determining the weight of the economic value and the weight of the experience value according to the current optimization target; performing weighted summation according to the economic value, the weight of the economic value, the experience value and the weight of the experience value to determine the value of the alternative advertisement.
In an exemplary embodiment of the disclosure, the pull opportunity determination module 103 is configured to: acquiring the number of pulling opportunities on the current day, limiting the pulling times and the pulling times on the current day of the target user; setting a maximum pulling frequency to be equal to the limited pulling frequency when the number of the pulling opportunities on the same day is not less than the limited pulling frequency, and setting the maximum pulling frequency to be equal to the number of the pulling opportunities on the same day when the number of the pulling opportunities on the same day is less than the limited pulling frequency; and determining the number of times of the pull-able advertisement corresponding to the target user according to the difference between the maximum number of times of the pull-able advertisement and the number of times of the pull-able advertisement on the current day, wherein after the target advertisement is pushed to the target user, the number of times of the pull-able advertisement on the current day of the target user is increased by one.
In an exemplary embodiment of the present disclosure, the score filter threshold determination module 104 is configured to: acquiring N groups of pull advertisement characteristic values N days before the current date corresponding to the target user, wherein N is an integer greater than or equal to 1; acquiring a filtering threshold calculation function corresponding to the current date; and substituting the N groups of pull advertisement characteristic values into the filtering threshold value calculation function to obtain an output value of the filtering threshold value calculation function, and determining the value score filtering threshold value according to the output value of the filtering threshold value calculation function.
In an exemplary embodiment of the present disclosure, the score filter threshold determination module 104 is configured to: acquiring user portrait scores of target users on a target date, the number of pulling opportunities on the same day, the limited pulling times and the value scores of target advertisements corresponding to the pulling opportunities each time; determining a value score lower threshold limit and a value score upper threshold limit of the target user on the target date according to the number of the pulling opportunities on the current day, the limited pulling times and the value score of the target advertisement corresponding to each pulling opportunity; and determining the lower limit and the upper limit of the value score threshold of the target user on the target date according to the number of the pulling opportunities on the current day, the limited pulling times and the value score of the target advertisement corresponding to each pulling opportunity.
In an exemplary embodiment of the present disclosure, the score filter threshold determination module 104 is configured to: calculating parameters of a filtering threshold calculation function by solving a preset loss function value to obtain a minimum value; and determining a filtering threshold calculation function corresponding to the current date according to the parameters, wherein the parameters of the preset loss function comprise the filtering threshold calculation function and the characteristic value of the pulled advertisement in each of N days before the current date corresponding to the target user.
In an exemplary embodiment of the present disclosure, the score filter threshold determination module 104 is configured to: obtaining a first value average value according to a value score of a pulled advertisement corresponding to a first time period of a current date, wherein the first time period is from zero point of the current date to a current time point; obtaining a second value average value according to the value score of the pulled advertisement corresponding to the first time period of each day N days before the current date; determining a correction factor according to a ratio of the first value average to the second value average; setting a product of the correction coefficient and an output value of the filter threshold calculation function as the value score filter threshold.
Since the functions of theapparatus 1000 have been described in detail in the corresponding method embodiments, the disclosure is not repeated herein.
It should be noted that although in the above detailed description several modules or units of the device for action execution are mentioned, such a division is not mandatory. Indeed, the features and functionality of two or more modules or units described above may be embodied in one module or unit, according to embodiments of the present disclosure. Conversely, the features and functions of one module or unit described above may be further divided into embodiments by a plurality of modules or units.
As will be appreciated by one skilled in the art, aspects of the present invention may be embodied as a system, method or program product. Thus, various aspects of the invention may be embodied in the form of: an entirely hardware embodiment, an entirely software embodiment (including firmware, microcode, etc.) or an embodiment combining hardware and software aspects that may all generally be referred to herein as a "circuit," module "or" system.
In an exemplary embodiment of the present disclosure, an electronic device capable of implementing the above method is also provided.
Anelectronic device 1100 according to this embodiment of the invention is described below with reference to fig. 11. Theelectronic device 1100 shown in fig. 11 is only an example and should not bring any limitations to the function and the scope of use of the embodiments of the present invention.
As shown in fig. 11,electronic device 1100 is embodied in the form of a general purpose computing device. The components of theelectronic device 1100 may include, but are not limited to: the at least oneprocessing unit 1110, the at least onememory unit 1120, and abus 1130 that couples various system components including thememory unit 1120 and theprocessing unit 1110.
Wherein the storage unit stores program code that is executable by theprocessing unit 1110 to cause theprocessing unit 1110 to perform steps according to various exemplary embodiments of the present invention as described in the above section "exemplary methods" of the present specification. For example, theprocessing unit 1110 may perform the steps as shown in fig. 1.
Thestorage unit 1120 may include a readable medium in the form of a volatile memory unit, such as a random access memory unit (RAM) 11201 and/or acache memory unit 11202, and may further include a read only memory unit (ROM) 11203.
Storage unit 1120 may also include a program/utility 11204 having a set (at least one) ofprogram modules 11205,such program modules 11205 including, but not limited to: an operating system, one or more application programs, other program modules, and program data, each of which, or some combination thereof, may comprise an implementation of a network environment.
Bus 1130 may be representative of one or more of several types of bus structures, including a memory unit bus or memory unit controller, a peripheral bus, an accelerated graphics port, a processing unit, or a local bus using any of a variety of bus architectures.
Theelectronic device 1100 may also communicate with one or more external devices 1200 (e.g., keyboard, pointing device, bluetooth device, etc.), with one or more devices that enable a user to interact with theelectronic device 1100, and/or with any devices (e.g., router, modem, etc.) that enable theelectronic device 1100 to communicate with one or more other computing devices. Such communication may occur via an input/output (I/O)interface 1150. Also, theelectronic device 1100 may communicate with one or more networks (e.g., a Local Area Network (LAN), a Wide Area Network (WAN), and/or a public network such as the internet) via thenetwork adapter 1160. As shown, thenetwork adapter 1160 communicates with the other modules of theelectronic device 1100 over thebus 1130. It should be appreciated that although not shown, other hardware and/or software modules may be used in conjunction with theelectronic device 1100, including but not limited to: microcode, device drivers, redundant processing units, external disk drive arrays, RAID systems, tape drives, and data backup storage systems, among others.
Through the above description of the embodiments, those skilled in the art will readily understand that the exemplary embodiments described herein may be implemented by software, or by software in combination with necessary hardware. Therefore, the technical solution according to the embodiments of the present disclosure may be embodied in the form of a software product, which may be stored in a non-volatile storage medium (which may be a CD-ROM, a usb disk, a removable hard disk, etc.) or on a network, and includes several instructions to enable a computing device (which may be a personal computer, a server, a terminal device, or a network device, etc.) to execute the method according to the embodiments of the present disclosure.
In an exemplary embodiment of the present disclosure, there is also provided a computer-readable storage medium having stored thereon a program product capable of implementing the above-described method of the present specification. In some possible embodiments, aspects of the invention may also be implemented in the form of a program product comprising program code means for causing a terminal device to carry out the steps according to various exemplary embodiments of the invention described in the above section "exemplary methods" of the present description, when said program product is run on the terminal device.
The program product for implementing the above method according to an embodiment of the present invention may employ a portable compact disc read only memory (CD-ROM) and include program codes, and may be run on a terminal device, such as a personal computer. However, the program product of the present invention is not limited in this regard and, in the present document, a readable storage medium may be any tangible medium that can contain, or store a program for use by or in connection with an instruction execution system, apparatus, or device.
The program product may employ any combination of one or more readable media. The readable medium may be a readable signal medium or a readable storage medium. A readable storage medium may be, for example, but not limited to, an electronic, magnetic, optical, electromagnetic, infrared, or semiconductor system, apparatus, or device, or any combination of the foregoing. More specific examples (a non-exhaustive list) of the readable storage medium include: an electrical connection having one or more wires, a portable disk, a hard disk, a Random Access Memory (RAM), a read-only memory (ROM), an erasable programmable read-only memory (EPROM or flash memory), an optical fiber, a portable compact disc read-only memory (CD-ROM), an optical storage device, a magnetic storage device, or any suitable combination of the foregoing.
A computer readable signal medium may include a propagated data signal with readable program code embodied therein, for example, in baseband or as part of a carrier wave. Such a propagated data signal may take many forms, including, but not limited to, electro-magnetic, optical, or any suitable combination thereof. A readable signal medium may also be any readable medium that is not a readable storage medium and that can communicate, propagate, or transport a program for use by or in connection with an instruction execution system, apparatus, or device.
Program code embodied on a readable medium may be transmitted using any appropriate medium, including but not limited to wireless, wireline, optical fiber cable, RF, etc., or any suitable combination of the foregoing.
Program code for carrying out operations for aspects of the present invention may be written in any combination of one or more programming languages, including an object oriented programming language such as Java, C + + or the like and conventional procedural programming languages, such as the "C" programming language or similar programming languages. The program code may execute entirely on the user's computing device, partly on the user's device, as a stand-alone software package, partly on the user's computing device and partly on a remote computing device, or entirely on the remote computing device or server. In the case of a remote computing device, the remote computing device may be connected to the user computing device through any kind of network, including a Local Area Network (LAN) or a Wide Area Network (WAN), or may be connected to an external computing device (e.g., through the internet using an internet service provider).
Furthermore, the above-described figures are merely schematic illustrations of processes involved in methods according to exemplary embodiments of the invention, and are not intended to be limiting. It will be readily understood that the processes shown in the above figures are not intended to indicate or limit the chronological order of the processes. In addition, it is also readily understood that these processes may be performed synchronously or asynchronously, e.g., in multiple modules.
Other embodiments of the disclosure will be apparent to those skilled in the art from consideration of the specification and practice of the disclosure disclosed herein. This application is intended to cover any variations, uses, or adaptations of the disclosure following, in general, the principles of the disclosure and including such departures from the present disclosure as come within known or customary practice within the art to which the disclosure pertains. It is intended that the specification and examples be considered as exemplary only, with a true scope and spirit of the disclosure being indicated by the following claims.

Claims (9)

1. An advertisement pulling method, comprising:
responding to an advertisement pulling request corresponding to a target user, and acquiring the value values of a plurality of alternative advertisements;
setting the candidate advertisement with the highest value score as a target advertisement;
acquiring the current times of the pull-able advertisement corresponding to the target user;
when the number of times of the current advertisements capable of being pulled is larger than zero, acquiring a value score filtering threshold value corresponding to the target user;
when the value score of the target advertisement is larger than the value filtering threshold value, pulling the target advertisement and pushing the target advertisement to the target user;
wherein the obtaining of the value score filtering threshold corresponding to the target user comprises:
acquiring N groups of pull advertisement characteristic values N days before the current date corresponding to the target user, wherein N is an integer greater than or equal to 1;
acquiring a filtering threshold calculation function corresponding to the current date;
substituting the N groups of pull advertisement characteristic values into the filtering threshold value calculation function to obtain an output value of the filtering threshold value calculation function, and determining the value score filtering threshold value according to the output value of the filtering threshold value calculation function;
the obtaining N groups of pull advertisement characteristic values N days before the current date corresponding to the target user includes:
acquiring user portrait scores of target users on a target date, the number of pulling opportunities on the same day, the limited pulling times and the value scores of target advertisements corresponding to the pulling opportunities each time;
determining a value score lower threshold limit and a value score upper threshold limit of the target user on the target date according to the number of the pulling opportunities on the current day, the limited pulling times and the value score of the target advertisement corresponding to each pulling opportunity;
recording the user representation score, the value threshold lower limit, and the value score threshold upper limit as a set of pull advertisement feature values for the target user on the target date.
2. The advertisement pulling method of claim 1, wherein the obtaining the value components of the plurality of candidate advertisements comprises:
obtaining an economic value and an experience value of the alternative advertisement to the target user;
obtaining a current optimization target, and determining the weight of the economic value and the weight of the experience value according to the current optimization target;
performing weighted summation according to the economic value, the weight of the economic value, the experience value and the weight of the experience value to determine the value of the alternative advertisement.
3. The advertisement pulling method according to claim 1, wherein the obtaining of the number of times of the advertisement corresponding to the target user includes:
acquiring the number of pulling opportunities on the current day, limiting the pulling times and the pulling times on the current day of the target user;
setting a maximum pulling frequency to be equal to the limited pulling frequency when the number of the pulling opportunities on the same day is not less than the limited pulling frequency, and setting the maximum pulling frequency to be equal to the number of the pulling opportunities on the same day when the number of the pulling opportunities on the same day is less than the limited pulling frequency;
and determining the number of times of the pull-able advertisement corresponding to the target user according to the difference between the maximum number of times of the pull-able advertisement and the number of times of the pull-able advertisement on the current day, wherein after the target advertisement is pushed to the target user, the number of times of the pull-able advertisement on the current day of the target user is increased by one.
4. The advertisement pulling method according to claim 1, wherein the obtaining of the filtering threshold calculation function corresponding to the current date comprises:
solving parameters of a filtering threshold calculation function which enables a preset loss function to obtain a minimum value;
and determining a filtering threshold calculation function corresponding to the current date according to the parameters, wherein the parameters of the preset loss function comprise the filtering threshold calculation function and the characteristic value of the pulled advertisement in each of N days before the current date corresponding to the target user.
5. The advertisement pulling method according to claim 1, wherein the determining the value score filtering threshold value according to the output value of the filtering threshold value calculation function includes:
obtaining a first value average value according to a value score of a pulled advertisement corresponding to a first time period of a current date, wherein the first time period is from zero point of the current date to a current time point;
obtaining a second value average value according to the value score of the pulled advertisement corresponding to the first time period of each day N days before the current date;
determining a correction factor according to a ratio of the first value average to the second value average;
setting a product of the correction coefficient and an output value of the filter threshold calculation function as the value score filter threshold.
6. An advertisement pull device, comprising:
the alternative advertisement value calculation module is set to respond to an advertisement pulling request corresponding to a target user and obtain the value of a plurality of alternative advertisements;
the target advertisement determining module is used for setting the alternative advertisement with the highest value score as a target advertisement;
the pull opportunity determining module is set to acquire the current pull advertisement times corresponding to the target user;
the value filtering threshold value determining module is set to obtain a value filtering threshold value corresponding to the target user when the number of times of the current advertisements capable of being pulled is greater than zero;
the advertisement pulling module is set to pull the target advertisement and push the target advertisement to the target user when the value score of the target advertisement is larger than the value filtering threshold value;
wherein the value filtering threshold determination module is configured to: acquiring N groups of pull advertisement characteristic values N days before the current date corresponding to the target user, wherein N is an integer greater than or equal to 1; acquiring a filtering threshold calculation function corresponding to the current date; substituting the N groups of pull advertisement characteristic values into the filtering threshold value calculation function to obtain an output value of the filtering threshold value calculation function, and determining the value score filtering threshold value according to the output value of the filtering threshold value calculation function;
the obtaining N groups of pull advertisement characteristic values N days before the current date corresponding to the target user includes: acquiring user portrait scores of target users on a target date, the number of pulling opportunities on the same day, the limited pulling times and the value scores of target advertisements corresponding to the pulling opportunities each time; determining a value score lower threshold limit and a value score upper threshold limit of the target user on the target date according to the number of the pulling opportunities on the current day, the limited pulling times and the value score of the target advertisement corresponding to each pulling opportunity; recording the user representation score, the value threshold lower limit, and the value score threshold upper limit as a set of pull advertisement feature values for the target user on the target date.
7. An advertisement pull system, comprising:
each user terminal is used for responding to a message of a user browsing information flow to trigger a plurality of advertisement pulling requests and displaying a target advertisement corresponding to at least one advertisement pulling request;
a server, which is connected with the user terminals in a communication way and is provided with an advertisement engine, wherein the advertisement engine is used for responding the advertisement pulling request to execute the advertisement pulling method according to any one of claims 1-5 and push the target advertisement to the user terminals;
and the memory is connected with the server and is used for storing the value of the target advertisement of each advertisement pulling request corresponding to each user terminal calculated by the server, the filtering threshold calculation function calculated by the server and the value score filtering threshold corresponding to each user terminal on the current date calculated by the server.
8. An electronic device, comprising:
a memory; and
a processor coupled to the memory, the processor configured to perform the advertisement pulling method of any of claims 1-5 based on instructions stored in the memory.
9. A computer-readable storage medium on which a program is stored, the program, when executed by a processor, implementing the advertisement pulling method according to any one of claims 1 to 5.
CN202011245007.1A2020-11-102020-11-10Advertisement pulling method, device and system and electronic equipmentActiveCN112070564B (en)

Priority Applications (1)

Application NumberPriority DateFiling DateTitle
CN202011245007.1ACN112070564B (en)2020-11-102020-11-10Advertisement pulling method, device and system and electronic equipment

Applications Claiming Priority (1)

Application NumberPriority DateFiling DateTitle
CN202011245007.1ACN112070564B (en)2020-11-102020-11-10Advertisement pulling method, device and system and electronic equipment

Publications (2)

Publication NumberPublication Date
CN112070564A CN112070564A (en)2020-12-11
CN112070564Btrue CN112070564B (en)2021-02-05

Family

ID=73655968

Family Applications (1)

Application NumberTitlePriority DateFiling Date
CN202011245007.1AActiveCN112070564B (en)2020-11-102020-11-10Advertisement pulling method, device and system and electronic equipment

Country Status (1)

CountryLink
CN (1)CN112070564B (en)

Families Citing this family (3)

* Cited by examiner, † Cited by third party
Publication numberPriority datePublication dateAssigneeTitle
CN112801693B (en)*2021-01-182024-06-28百果园技术(新加坡)有限公司Advertisement feature analysis method and system based on high-value user
CN114841748A (en)*2022-05-132022-08-02北京奇艺世纪科技有限公司Advertisement putting method and device, electronic equipment and storage medium
CN115018541A (en)*2022-05-312022-09-06北京有竹居网络技术有限公司Resource delivery method and device, readable medium and electronic equipment

Citations (6)

* Cited by examiner, † Cited by third party
Publication numberPriority datePublication dateAssigneeTitle
CN104809627A (en)*2015-04-232015-07-29腾讯科技(深圳)有限公司Information processing method and device
CN105931088A (en)*2016-06-282016-09-07北京金山安全软件有限公司Advertisement display method and device and terminal
CN106209986A (en)*2016-06-282016-12-07北京金山安全软件有限公司Advertisement pulling method and device and terminal
CN109146551A (en)*2018-07-262019-01-04深圳市元征科技股份有限公司A kind of advertisement recommended method, server and computer-readable medium
CN110544116A (en)*2019-08-162019-12-06成都品果科技有限公司Mobile terminal advertisement pulling method and device
CN111242700A (en)*2020-02-152020-06-05晓推(武汉)信息科技有限公司 Method, device, electronic device and storage medium for obtaining predicted click-through rate of advertisement

Patent Citations (6)

* Cited by examiner, † Cited by third party
Publication numberPriority datePublication dateAssigneeTitle
CN104809627A (en)*2015-04-232015-07-29腾讯科技(深圳)有限公司Information processing method and device
CN105931088A (en)*2016-06-282016-09-07北京金山安全软件有限公司Advertisement display method and device and terminal
CN106209986A (en)*2016-06-282016-12-07北京金山安全软件有限公司Advertisement pulling method and device and terminal
CN109146551A (en)*2018-07-262019-01-04深圳市元征科技股份有限公司A kind of advertisement recommended method, server and computer-readable medium
CN110544116A (en)*2019-08-162019-12-06成都品果科技有限公司Mobile terminal advertisement pulling method and device
CN111242700A (en)*2020-02-152020-06-05晓推(武汉)信息科技有限公司 Method, device, electronic device and storage medium for obtaining predicted click-through rate of advertisement

Also Published As

Publication numberPublication date
CN112070564A (en)2020-12-11

Similar Documents

PublicationPublication DateTitle
US9734228B2 (en)Digital analytics system
US20210406685A1 (en)Artificial intelligence for keyword recommendation
CN112070564B (en)Advertisement pulling method, device and system and electronic equipment
US7792843B2 (en)Web analytics data ranking and audio presentation
CN113015010B (en)Push parameter determination method, device, equipment and computer readable storage medium
CN113362095B (en)Information delivery method and device
CN109523296B (en)User behavior probability analysis method and device, electronic equipment and storage medium
CN110717597A (en)Method and device for acquiring time sequence characteristics by using machine learning model
CN112016793B (en)Resource allocation method and device based on target user group and electronic equipment
CN112287208A (en)User portrait generation method and device, electronic equipment and storage medium
CN118691350A (en) A method for managing advertising value based on intelligent delivery
CN117194779A (en)Marketing system optimization method, device and equipment based on artificial intelligence
CN112967100A (en)Similar population expansion method, device, computing equipment and medium
CN112288482A (en)Virtual resource pool construction method, system, equipment and storage medium
US20240185159A1 (en)Systems And Methods For Identifying An Officer At Risk Of An Adverse Event
CN112200602A (en)Neural network model training method and device for advertisement recommendation
CN111476657A (en)Information pushing method, device and system
HK40035340A (en)Advertisement pulling method, apparatus and system, and electronic device
HK40035340B (en)Advertisement pulling method, apparatus and system, and electronic device
CN114298825A (en)Method and device for extremely evaluating repayment volume
US20220101359A1 (en)System and method for automated sales forecast on deal level during black swan scenario
TWI657393B (en) Marketing customer group prediction system and method
US20140143019A1 (en)Managing modeled audience extension information
CN117009179B (en)Method and device for realizing monitoring micro-service, storage medium and electronic equipment
US20250013630A1 (en)Data integrity optimization

Legal Events

DateCodeTitleDescription
PB01Publication
PB01Publication
SE01Entry into force of request for substantive examination
SE01Entry into force of request for substantive examination
GR01Patent grant
GR01Patent grant
REGReference to a national code

Ref country code:HK

Ref legal event code:DE

Ref document number:40035340

Country of ref document:HK


[8]ページ先頭

©2009-2025 Movatter.jp