



技术领域technical field
本发明属于医学大数据分析技术领域,具体涉及一种CT增强对比剂智能匹配模型的建立方法。The invention belongs to the technical field of medical big data analysis, and in particular relates to a method for establishing an intelligent matching model of CT enhanced contrast agent.
背景技术Background technique
对比剂目前广泛应用于医学检查领域,如增强CT、各种血管造影、肾盂造影、支气管造影、消化道造影等。Contrast agents are currently widely used in the field of medical examination, such as enhanced CT, various angiography, pyelography, bronchography, gastrointestinal angiography, etc.
患者进行CT增强检查时,都需要使用对比剂。对比剂可以使检测结果更加准确,在医疗检查当中是非常常用的。但是,由于CT增强使用的对比剂含有一定的碘量,在使用的同时也会对人体产生影响,有可能会出现过敏性反应、肾功能损害等。严重者甚至可能出现休克、呼吸循环衰竭等,危及生命。Contrast agents are required for patients undergoing CT-enhanced examinations. Contrast agents can make test results more accurate and are very commonly used in medical examinations. However, since the contrast agent used for CT enhancement contains a certain amount of iodine, it will also affect the human body when it is used, and may cause allergic reactions and renal damage. In severe cases, shock, respiratory and circulatory failure, etc. may even occur, which are life-threatening.
目前,针对检查类别和对象,CT增强对比剂的选用主要靠医生积累的经验,根据每一位患者的具体情况进行匹配。然而不同层级的医生可能对同一个患者匹配出不同的对比剂,差异化的判断增大了患者产生不良事件的几率,出现该情况后,对医生、患者和社会都会造成不良影响。At present, for examination categories and objects, the selection of CT-enhanced contrast agents mainly depends on the accumulated experience of doctors and matches according to the specific conditions of each patient. However, doctors at different levels may match the same patient with different contrast agents. Differentiated judgments increase the probability of adverse events for patients. When this happens, it will have adverse effects on doctors, patients, and society.
发明内容SUMMARY OF THE INVENTION
为了解决现有技术存在的上述问题,本发明目的在于提供一种CT增强对比剂智能匹配模型的建立方法,使得对比剂的使用更加科学化、标准化,能够有效减少医疗事故的发生,既能减少对比剂对患者产生危害的几率,又能提高医院的服务水平。In order to solve the above-mentioned problems existing in the prior art, the purpose of the present invention is to provide a method for establishing an intelligent matching model of CT enhanced contrast agent, so that the use of the contrast agent is more scientific and standardized, and the occurrence of medical accidents can be effectively reduced. The probability of harm to patients by contrast medium can also improve the service level of the hospital.
第一方面,本发明提供一种CT增强对比剂智能匹配模型的建立方法,包括以下步骤:In a first aspect, the present invention provides a method for establishing an intelligent matching model for CT-enhanced contrast agents, comprising the following steps:
数据标准化处理,对CT增强检查的患者过敏人数和对比剂过敏反应指标数据进行统计;Standardized data processing, statistics on the number of patients with allergies and contrast agent allergic reaction index data of CT enhanced examinations;
对CT增强检查的患者过敏人数和对比剂过敏反应指标数据进行聚合,寻找变量间的强相关性,得出最佳的影响因子,并根据所述最佳影响因子对不同过敏情况进行聚合;Aggregate the number of patients with allergies and the contrast agent allergic reaction index data in CT enhanced examinations, look for strong correlations between variables, obtain the best impact factor, and aggregate different allergic conditions according to the best impact factor;
运用贝叶斯岭回归模型对未来CT增强检查人员使用何种对比剂具有过敏反应进行预测;Using Bayesian Ridge Regression Model to predict which contrast agent used by CT-enhanced examiners in the future will have allergic reactions;
将预测序列和真实对比剂过敏人数序列计算相关性,得到影响因子和对比剂过敏反应之间的相关程度,根据分析结果得出影响对比剂的关键因子;Calculate the correlation between the predicted sequence and the actual number of people allergic to the contrast agent, obtain the correlation degree between the impact factor and the allergic reaction to the contrast agent, and obtain the key factor affecting the contrast agent according to the analysis result;
通过logistic回归分析,得到自变量的权重,确定关键因子的等级。Through logistic regression analysis, the weights of independent variables were obtained, and the grades of key factors were determined.
优选的,所述数据标准化处理包括以下步骤:Preferably, the data standardization process includes the following steps:
在患者病历上筛选所研究的CT增强检查;Screening of CT-enhanced examinations studied on patient records;
统计每日该CT增强检查类型的过敏患者人数;Count the number of allergy patients with this type of CT-enhanced examination every day;
通过过敏患者的病历情况获取对比剂过敏反应指标数据。The data of contrast agent allergic reaction indicators were obtained from the medical records of allergic patients.
优选的,所述聚合包括如下步骤:Preferably, the polymerization comprises the following steps:
根据不同的时间粒度m对每日CT增强检查过敏人数Yt以及单一的因子指标数据Xt进行聚合:According to different time granularity m, the number of people Yt allergic to daily CT enhancement examination and the single factor index data Xt are aggregated:
Yt=Yt-1+Yt-2+...+Yt-m,Yt =Yt-1 +Yt-2 +...+Ytm ,
Xt=Xt-1+Xt-2+...+Xt-m;Xt =Xt-1 +Xt-2 +...+Xtm ;
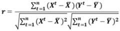
使用皮尔森相关系数衡量每日CT增强检查过敏人数Yt以及因子指标数据Xt之间的强相关性,皮尔森相关系数r公式如下:The Pearson correlation coefficient was used to measure the strong correlation between the number of allergies Yt and the factor index data Xt in the daily CT enhanced examination. The formula for the Pearson correlation coefficient r is as follows:
其中,为某种聚合后的因子指标数据的历史均值,为CT检查人数均值,n为序列总长度;in, is the historical mean of some aggregated factor indicator data, is the mean number of CT examinations, and n is the total length of the sequence;
通过r确定最佳的影响因子M:Determine the best impact factor M by r:
依次寻找出不同因子的最佳聚合并进行聚合操作。Find the best aggregation of different factors in turn and perform aggregation operations.
进一步的,所述预测包括如下步骤:Further, the prediction includes the following steps:
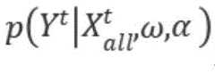
根据贝叶斯岭回归模型作为该组合模型,通过贝叶斯岭回归预测CT增强检查过敏人数序列Yt,假设Yt关于服从高斯分布:According to the Bayesian Ridge Regression Model as the combined model, the CT-enhanced examination allergic population sequence Yt is predicted by Bayes Ridge Regression, assuming that Yt is about Follow a Gaussian distribution:
概率模型的先验参数ω服从球型高斯分布: The prior parameter ω of the probability model follows a spherical Gaussian distribution:
其中,Xtall为通过贝叶斯岭回归拟合的多因子指标数据的组合特征值,ω为权重参数向量,α-1为对应的多种因子指标数据的集合的方差,β-1为ω的高斯分布的方差。Among them, Xtall is the combined eigenvalue of the multi-factor index data fitted by Bayesian Ridge regression, ω is the weight parameter vector, α-1 is the variance of the corresponding set of multiple factor index data, β-1 is The variance of the Gaussian distribution of ω.
更进一步的,计算相关性包括如下步骤:从预测的CT增强检查过敏人数序列后,计算预测序列和真实序列之间的相关系数,得到因子指标和检查过敏人数之间的相关程度,相关系数绝对值越大,相关程度越强,从而对关键因子和CT增强检查过敏人数影响进行评估。Further, calculating the correlation includes the following steps: after checking the allergic population sequence from the predicted CT enhancement, calculating the correlation coefficient between the predicted sequence and the real sequence, and obtaining the degree of correlation between the factor index and the inspected allergic population, the absolute correlation coefficient. The larger the value, the stronger the correlation, so as to evaluate the influence of the key factors and the number of people allergic to CT contrast examination.
优选的,对历史数据采用了logistic回归算法来根据患者身体体质将对比剂的关键因子分为四个等级,根据不同等级匹配使用何种对比剂,建立对比剂专家知识库。Preferably, a logistic regression algorithm is used for the historical data to classify the key factors of the contrast agent into four grades according to the patient's physical constitution, and the contrast agent to be used is matched according to the different grades to establish a contrast agent expert knowledge base.
第二方面,本发明提供一种CT增强对比剂智能匹配模型,其中影响对比剂的关键因子包括1、2、3、4四个等级;等级1为绝对禁忌因子,包含等级1因子的患者不能做增强;等级2、3、4均为相对禁忌因子,包含等级2因子的患者必须使用等渗对比剂碘克沙醇,包含等级3因子的患者采用高渗、低渗和等渗三种对比剂中的任意一种;其中包含一个等级4因子的患者使用高渗、低渗和等渗三种对比剂中的任意一种,包含两个及以上等级4因子的患者使用等渗对比剂碘克沙醇;其中等级1因子包括甲亢病和碘过敏;等级2因子包括eGFR<45mls/min;等级3因子包括过敏源数≥3;等级4因子包括双侧肾脏损伤、哮喘、骨髓瘤、痛风、充血性心脏衰竭、脱水、糖尿病和45mls/min≤eGFR<60mls/min。In a second aspect, the present invention provides an intelligent matching model for CT-enhanced contrast agents, wherein the key factors affecting the contrast agent include four levels: 1, 2, 3, and 4; level 1 is an absolute contraindication factor, and patients including the level 1 factor cannot Do enhancement; grades 2, 3, and 4 are relative contraindication factors. Patients with grade 2 factors must use the isotonic contrast agent iodixanol, and patients with grade 3 factors use hypertonic, hypotonic, and isotonic contrast agents. Any of the three contrast agents; patients with one grade 4 factor use any of the three contrast agents, hypertonic, hypotonic, and isotonic, and patients with two or more grade 4 factors use the isotonic contrast agent iodine Kexanol; Grade 1 factors include hyperthyroidism and iodine allergy; Grade 2 factors include eGFR <45mls/min; Grade 3 factors include the number of allergens ≥ 3; Grade 4 factors include bilateral kidney damage, asthma, myeloma, and gout , congestive heart failure, dehydration, diabetes and 45mls/min≤eGFR<60mls/min.
第三方面,本发明提供一种计算机设备,包括依次通信相连的存储器、处理器和收发器,其中,所述存储器用于存储计算机程序,所述收发器用于收发数据,所述处理器用于读取所述计算机程序,执行如上第一方面或第一方面中任意一种可能设计的方法。In a third aspect, the present invention provides a computer device, comprising a memory, a processor and a transceiver that are communicatively connected in sequence, wherein the memory is used to store a computer program, the transceiver is used to send and receive data, and the processor is used to read The computer program is taken to execute the above first aspect or any one of the possible designs of the first aspect.
第四方面,本发明提供一种计算机可读存储介质,所述计算机可读存储介质上存储有指令,当所述指令在计算机上运行时,执行如上第一方面或第一方面中任意一种可能设计的方法。In a fourth aspect, the present invention provides a computer-readable storage medium, where instructions are stored on the computer-readable storage medium, and when the instructions are executed on a computer, any one of the first aspect or the first aspect is executed. possible design methods.
本发明的有益效果为:The beneficial effects of the present invention are:
1.本发明提供的CT增强对比剂智能匹配模型的建立方法,使得对比剂的使用更加科学化、标准化,能够有效减少医疗事故的发生,既能减少对比剂对患者产生危害的几率,又能提高医院的服务水平。1. The method for establishing an intelligent matching model for CT-enhanced contrast agents provided by the present invention makes the use of contrast agents more scientific and standardized, and can effectively reduce the occurrence of medical accidents, which can not only reduce the probability that contrast agents cause harm to patients, but also reduce the risk of harm to patients. Improve the service level of the hospital.
2.通过使用本发明建立的CT增强对比剂智能匹配模型,能够更加准确地为患者匹配出符合患者特性的对比剂,最大程度上减轻了对比剂离子失衡、肝肾功能损害等对患者的影响,有效降低了出现过敏、休克、呼吸循环衰竭等情况的发生。2. By using the CT-enhanced contrast agent intelligent matching model established by the present invention, a contrast agent that conforms to the characteristics of the patient can be more accurately matched for the patient, and the influence of the contrast agent ion imbalance, liver and kidney function damage, etc. on the patient is reduced to the greatest extent. , effectively reduce the occurrence of allergies, shock, respiratory and circulatory failure and so on.
附图说明Description of drawings
为了更清楚地说明本发明实施例或现有技术中的技术方案,下面将对实施例或现有技术描述中所需要使用的附图作简单地介绍,显而易见地,下面描述中的附图仅仅是本发明的一些实施例,对于本领域普通技术人员来讲,在不付出创造性劳动的前提下,还可以根据这些附图获得其他的附图。In order to explain the embodiments of the present invention or the technical solutions in the prior art more clearly, the following briefly introduces the accompanying drawings that need to be used in the description of the embodiments or the prior art. Obviously, the accompanying drawings in the following description are only These are some embodiments of the present invention. For those of ordinary skill in the art, other drawings can also be obtained according to these drawings without creative efforts.
图1是本发明提供的一种CT增强对比剂智能匹配模型的建立方法的流程示意图。FIG. 1 is a schematic flowchart of a method for establishing an intelligent matching model for a CT-enhanced contrast agent provided by the present invention.
图2是本发明提供的一种优选的数据标准化处理方法的流程示意图。FIG. 2 is a schematic flowchart of a preferred data standardization processing method provided by the present invention.
图3是本发明提供的一种优选的聚合处理方法的流程示意图。Fig. 3 is a schematic flow chart of a preferred polymerization treatment method provided by the present invention.
图4是本发明提供的计算机设备的结构示意图。FIG. 4 is a schematic structural diagram of a computer device provided by the present invention.
具体实施方式Detailed ways
下面结合附图及具体实施例来对本发明作进一步阐述。在此需要说明的是,对于这些实施例方式的说明虽然是用于帮助理解本发明,但并不构成对本发明的限定。本文公开的特定结构和功能细节仅用于描述本发明的示例实施例。然而,可用很多备选的形式来体现本发明,并且不应当理解为本发明限制在本文阐述的实施例中。The present invention will be further described below with reference to the accompanying drawings and specific embodiments. It should be noted here that, although the description of these embodiments is for helping understanding of the present invention, it does not constitute a limitation of the present invention. Specific structural and functional details disclosed herein are merely illustrative of example embodiments of the present invention. The present invention, however, may be embodied in many alternative forms and should not be construed as limited to the embodiments set forth herein.
应当理解,尽管本文可能使用术语第一、第二等等来描述各种单元,但是这些单元不应当受到这些术语的限制。这些术语仅用于区分一个单元和另一个单元。例如可以将第一单元称作第二单元,并且类似地可以将第二单元称作第一单元,同时不脱离本发明的示例实施例的范围。It will be understood that, although the terms first, second, etc. may be used herein to describe various elements, these elements should not be limited by these terms. These terms are only used to distinguish one unit from another. For example, a first element could be referred to as a second element, and similarly a second element could be referred to as a first element, without departing from the scope of example embodiments of this invention.
应当理解,对于本文中可能出现的术语“和/或”,其仅仅是一种描述关联对象的关联关系,表示可以存在三种关系,例如,A和/或B,可以表示:单独存在A,单独存在B,同时存在A和B三种情况;对于本文中可能出现的术语“/和”,其是描述另一种关联对象关系,表示可以存在两种关系,例如,A/和B,可以表示:单独存在A,单独存在A和B两种情况;另外,对于本文中可能出现的字符“/”,一般表示前后关联对象是一种“或”关系。It should be understood that the term "and/or" that may appear in this document is only an association relationship to describe the associated objects, indicating that there can be three kinds of relationships, for example, A and/or B, it can mean that A exists alone, B exists alone, and there are three cases of A and B at the same time; for the term "/and" that may appear in this article, it is to describe another related object relationship, indicating that there can be two relationships, for example, A/ and B, can Indicates: A exists alone, and A and B exist independently; in addition, for the character "/" that may appear in this article, it generally means that the related objects before and after are an "or" relationship.
应当理解,在本文中若将单元称作与另一个单元“连接”、“相连”或“耦合”时,它可以与另一个单元直相连接或耦合,或中间单元可以存在。相対地,在本文中若将单元称作与另一个单元“直接相连”或“直接耦合”时,表示不存在中间单元。另外,应当以类似方式来解释用于描述单元之间的关系的其他单词(例如,“在……之间”对“直接在……之间”,“相邻”对“直接相邻”等等)。It will be understood that when an element is referred to herein as being "connected", "connected" or "coupled" to another element, it can be directly connected or coupled to the other element or intervening elements may be present. Conversely, when an element is referred to herein as being "directly connected" or "directly coupled" to another element, there are no intervening elements present. In addition, other words used to describe the relationship between elements should be interpreted in a similar fashion (eg, "between" versus "directly between," "adjacent" versus "directly adjacent," etc. Wait).
应当理解,本文使用的术语仅用于描述特定实施例,并不意在限制本发明的示例实施例。若本文所使用的,单数形式“一”、“一个”以及“该”意在包括复数形式,除非上下文明确指示相反意思。还应当理解,若术语“包括”、“包括了”、“包含”和/或“包含了”在本文中被使用时,指定所声明的特征、整数、步骤、操作、单元和/或组件的存在性,并且不排除一个或多个其他特征、数量、步骤、操作、单元、组件和/或他们的组合存在性或增加。It should be understood that the terminology used herein is for the purpose of describing particular embodiments only and is not intended to limit the exemplary embodiments of the present invention. As used herein, the singular forms "a," "an," and "the" are intended to include the plural forms unless the context clearly dictates otherwise. It will also be understood that when the terms "comprising", "including", "including" and/or "comprising" are used herein, they designate the stated features, integers, steps, operations, units and/or components of existence, and does not preclude the existence or addition of one or more other features, numbers, steps, operations, units, components and/or combinations thereof.
应当理解,还应当注意到在一些备选实施例中,所出现的功能/动作可能与附图出现的顺序不同。例如,取决于所涉及的功能/动作,实际上可以实质上并发地执行,或者有时可以以相反的顺序来执行连续示出的两个图。It should also be noted that in some alternative implementations, the functions/acts may occur out of the order in which they occur in the figures. For example, two figures shown in succession may in fact be executed substantially concurrently, or the two figures shown in succession may sometimes be executed in the reverse order, depending upon the functionality/acts involved.
应当理解,在下面的描述中提供了特定的细节,以便于对示例实施例的完全理解。然而,本领域普通技术人员应当理解可以在没有这些特定细节的情况下实现示例实施例。例如可以在框图中示出系统,以避免用不必要的细节来使得示例不清楚。在其他实例中,可以不以不必要的细节来示出众所周知的过程、结构和技术,以避免使得示例实施例不清楚。It should be understood that specific details are provided in the following description to facilitate a thorough understanding of example embodiments. However, it will be understood by those of ordinary skill in the art that example embodiments may be practiced without these specific details. For example, systems may be shown in block diagrams to avoid obscuring the examples with unnecessary detail. In other instances, well-known processes, structures and techniques may not be shown in unnecessary detail to avoid obscuring example embodiments.
实施例1:Example 1:
如图1~3所示,本实施例提供的CT增强对比剂智能匹配模型的建立方法,可以但不限于包括有如下步骤S100~S500。As shown in FIGS. 1 to 3 , the method for establishing an intelligent matching model for a CT-enhanced contrast agent provided in this embodiment may, but is not limited to, include the following steps S100 to S500.
S100.数据标准化处理,对每日进行CT增强检查的患者过敏人数和对比剂过敏反应指标数据进行统计。数据标准化处理可以采用现有方法处理,但是更加推荐如下步骤:S100. Data standardization processing, statistics on the number of allergic patients and contrast agent allergic reaction index data for daily CT-enhanced examinations. Data normalization can be processed by existing methods, but the following steps are more recommended:
S101.在患者病历上筛选所研究的CT增强检查;S101. Screen the CT-enhanced examinations studied on the patient's medical records;
S102.统计每日该CT增强检查类型的过敏患者人数;S102. Count the number of allergic patients of this type of CT enhanced examination every day;
S103.通过过敏患者的病历情况获取对比剂过敏反应指标数据。S103. Obtain the index data of contrast agent allergic reaction through the medical records of allergic patients.
S200.对CT增强检查的患者过敏人数和对比剂过敏反应指标数据进行聚合,寻找变量间的强相关性,得出最佳的影响因子,并根据所述最佳影响因子对不同过敏情况进行聚合。聚合处理可以采用现有的方法进行处理,但是更加推荐如下步骤:S200. Aggregate the data on the number of patients with allergies and the contrast agent allergic reaction index data from the CT enhanced examination, look for strong correlations between variables, obtain the best impact factor, and aggregate different allergic conditions according to the best impact factor. . Aggregation processing can be processed by existing methods, but the following steps are more recommended:
S201.根据不同的时间粒度m对每日CT增强检查过敏人数Yt以及单一的因子指标数据Xt进行聚合:S201. Aggregate the number of people Yt allergic to daily CT enhancement examination and the single factor index data Xt according to different time granularities m:
Yt=Yt-1+Yt-2+...+Yt-m,Yt =Yt-1 +Yt-2 +...+Ytm ,
Xt=Xt-1+Xt-2+...+Xt-m;Xt =Xt-1 +Xt-2 +...+Xtm ;
S202.使用皮尔森相关系数衡量每日CT增强检查过敏人数Yt以及因子指标数据Yt之间的强相关性,皮尔森相关系数r公式如下:S202. Use the Pearson correlation coefficient to measure the strong correlation between the number of people with allergies Yt in the daily CT enhanced examination and the factor index data Yt . The formula for the Pearson correlation coefficient r is as follows:
其中,为某种聚合后的因子指标数据的历史均值,为CT检查人数均值,n为序列总长度;in, is the historical mean of some aggregated factor indicator data, is the mean number of CT examinations, and n is the total length of the sequence;
S203.通过r确定最佳的影响因子M:S203. Determine the best impact factor M by r:
S204.依次寻找出不同因子的最佳聚合并进行聚合操作。S204. Find out the optimal aggregation of different factors in turn and perform aggregation operations.
S300.运用贝叶斯岭回归模型对未来CT增强检查人员使用何种对比剂具有过敏反应进行预测。预测处理可以采用现有的方法进行处理,但是更加推荐如下方法:根据贝叶斯岭回归模型作为该组合模型,通过贝叶斯岭回归预测CT增强检查过敏人数序列Yt,假设Yt关于服从高斯分布:S300. Use a Bayesian Ridge Regression Model to predict which contrast agents will be used by future CT-enhanced examiners with allergic reactions. The prediction processing can be processed by the existing methods, but the following method is more recommended: According to the Bayesian Ridge regression model as the combined model, the CT enhanced examination allergy number sequence Yt is predicted by Bayes Ridge regression, assuming that Yt is about Follow a Gaussian distribution:
概率模型的先验参数ω服从球型高斯分布: The prior parameter ω of the probability model follows a spherical Gaussian distribution:
其中,Xtall为通过贝叶斯岭回归拟合的多因子指标数据的组合特征值,ω为权重参数向量,α-1为对应的多种因子指标数据的集合的方差,β-1为ω的高斯分布的方差。Among them, Xtall is the combined eigenvalue of the multi-factor index data fitted by Bayesian Ridge regression, ω is the weight parameter vector, α-1 is the variance of the corresponding set of multiple factor index data, β-1 is The variance of the Gaussian distribution of ω.
S400.将预测序列和真实对比剂过敏人数序列计算相关性,得到影响因子和对比剂过敏反应之间的相关程度,根据分析结果得出影响对比剂的关键因子。具体的,从预测的CT增强检查过敏人数序列后,计算预测序列和真实序列之间的相关系数,得到因子指标和检查过敏人数之间的相关程度,相关系数绝对值越大,相关程度越强,从而对关键因子和CT增强检查过敏人数影响进行评估。S400. Calculate the correlation between the predicted sequence and the actual number of people allergic to the contrast agent, obtain the degree of correlation between the impact factor and the allergic reaction to the contrast agent, and obtain the key factor affecting the contrast agent according to the analysis result. Specifically, after checking the allergy population sequence from the predicted CT enhancement, the correlation coefficient between the predicted sequence and the real sequence is calculated, and the degree of correlation between the factor index and the number of allergies inspected is obtained. The larger the absolute value of the correlation coefficient, the stronger the correlation degree. , so as to evaluate the impact of key factors and the number of people allergic to CT enhanced examination.
S500.通过logistic回归分析,得到自变量的权重,确定关键因子的等级。根据患者身体体质将对比剂的关键因子分为四个等级,根据不同等级匹配使用何种对比剂,建立对比剂专家知识库。S500. Obtain the weight of independent variables through logistic regression analysis, and determine the level of key factors. According to the patient's physical constitution, the key factors of contrast agent are divided into four grades, and the contrast agent used is matched according to different grades, and a knowledge base of contrast agent is established.
实施例2:Example 2:
本实施例提供的CT增强对比剂智能匹配模型,各个关键因子的推导过程如下:In the CT-enhanced contrast agent intelligent matching model provided in this embodiment, the derivation process of each key factor is as follows:
S100:数据标准化处理,根据电子病历记录统计出每日CT增强检查人数以及因子指标数据。这里针对影响因子进行分析,影响因子指标挑选:未经控制症状的甲亢患者、双侧肾脏损伤、哮喘、骨髓瘤、痛风、充血性心脏衰竭、脱水、糖尿病、eGFR、年龄、碘对比剂严重不良反应、碘轻微过敏、已知的过敏源数、服用肾脏损伤类药物和双侧肾脏手术史。S100: Data standardization processing, according to the electronic medical record records, the number of daily CT enhanced examinations and factor index data are counted. Here, the impact factors are analyzed, and the impact factor indicators are selected: patients with uncontrolled hyperthyroidism, bilateral kidney damage, asthma, myeloma, gout, congestive heart failure, dehydration, diabetes, eGFR, age, severe adverse effects of iodine contrast agent Reaction, mild allergy to iodine, number of known allergens, taking kidney-damaging drugs, and history of bilateral kidney surgery.
S101:在患者病历上筛选做过CT增强检查的病历;S101: Screen the medical records that have undergone CT-enhanced examinations on the patient's medical records;
S102:统计每日做CT增强检查的人数;S102: Count the number of daily CT enhanced examinations;
S103:统计过敏者的数据,获取对比剂过敏反应指标数据。S103: Statistical data of allergic persons is obtained, and data of contrast agent allergic reaction index data are obtained.
S200.根据S100中获取的标准化数据构建数据聚合单元:S200. Construct a data aggregation unit according to the standardized data obtained in S100:
S201.根据不同的时间粒度m对每日CT增强检查过敏人数Yt以及单一的因子指标数据Xt进行聚合:S201. Aggregate the number of people Yt allergic to daily CT enhancement examination and the single factor index data Xt according to different time granularities m:
Yt=Yt-1+Yt-2+...+Yt-m,Yt =Yt-1 +Yt-2 +...+Ytm ,
Xt=Xt-1+Xt-2+...+Xt-m;Xt =Xt-1 +Xt-2 +...+Xtm ;
S202.使用皮尔森相关系数衡量每日CT增强检查过敏人数Yt以及因子指标数据Xt之间的强相关性,皮尔森相关系数r公式如下:S202. Use the Pearson correlation coefficient to measure the strong correlation between the number of people Yt allergic to daily CT enhancement examinations and the factor index data Xt . The formula for the Pearson correlation coefficient r is as follows:
其中,为某种聚合后的因子指标数据的历史均值,为CT检查人数均值,n为序列总长度;in, is the historical mean of some aggregated factor indicator data, is the mean number of CT examinations, and n is the total length of the sequence;
S203.通过r确定最佳的影响因子M:S203. Determine the best impact factor M by r:
S204.通过实验,依次寻找出不同影响因子的近一次住院记录与当前增强CT检查间隔的聚合天数,得到如下结果:S204. Through experiments, find out the aggregated days between the recent hospitalization record of different influencing factors and the current enhanced CT examination, and obtain the following results:
未经控制症状的甲亢患者:40天,双侧肾脏损伤:32天,哮喘:30天,骨髓瘤:33天,痛风:31天,充血性心脏衰竭:41天,脱水:44天,糖尿病:33天,eGFR:29天,年龄:35天,碘对比剂严重不良反应:34天,碘轻微过敏:31天,已知的过敏源数,33天,服用肾脏损伤类药物:30天,双侧肾脏手术史:40天。Patients with uncontrolled hyperthyroidism: 40 days, bilateral kidney damage: 32 days, asthma: 30 days, myeloma: 33 days, gout: 31 days, congestive heart failure: 41 days, dehydration: 44 days, diabetes: 33 days, eGFR: 29 days, age: 35 days, serious adverse reactions to iodine contrast media: 34 days, mild allergy to iodine: 31 days, number of known allergens, 33 days, taking kidney damage drugs: 30 days, double History of lateral kidney surgery: 40 days.
S205:根据S204中聚合的数据进行时延处理,分析相关因子住院记录与增强CT检查间隔的最强作用天数。S205: Carry out time delay processing according to the data aggregated in S204, and analyze the strongest effect days between the hospitalization record and the enhanced CT examination of the related factor.
S206.对聚合后单一的影响因子序列Xt进行移位处理,形成时延:S206. Perform shift processing on the aggregated single impact factor sequence Xt to form a delay:
Xt=Xt-d,d=0,1,2,3…Xt = Xtd , d = 0, 1, 2, 3...
S207.计算每日住院人数Yt以及影响因子指标数据Xt之间绝对值最高的相关性系数r,从而确定影响因子最强的影响周期,公式如下:S207. Calculate the correlation coefficient r with the highest absolute value between the daily inpatient number Yt and the impact factor index data Xt , so as to determine the impact period with the strongest impact factor. The formula is as follows:
S208.通过实验寻找出不同影响影子的最强的影响周期如下:S208. Find out the strongest influence period of different influence shadows through experiments as follows:
未经控制症状的甲亢患者延时10天,双侧肾脏损伤延时10天,哮喘延时7天,骨髓瘤延时5天,痛风延时10天,充血性心脏衰竭延时20天,脱水延时5天,糖尿病延时10天,eGFR延时10天,年龄延时9天,碘对比剂严重不良反应延时10天,碘轻微过敏延时8天,已知的过敏源数延时10天,服用肾脏损伤类药物延时10天,双侧肾脏手术史延时10天。10 days for uncontrolled hyperthyroidism, 10 days for bilateral kidney damage, 7 days for asthma, 5 days for myeloma, 10 days for gout, 20 days for congestive heart failure, dehydration Delay of 5 days, delay of 10 days of diabetes, delay of 10 days of eGFR, delay of 9 days of age, delay of 10 days of serious adverse reactions to iodine contrast medium, delay of 8 days of mild allergy to iodine, delay of number of known allergens 10 days, 10 days delay for taking kidney damage drugs, 10 days delay for history of bilateral kidney surgery.
不同影响因子与过敏单因子相关性如下:The correlation between different influencing factors and allergy single factor is as follows:
未经控制症状的甲亢患者(HPWUS)与过敏相关性:0.8145;Hyperthyroidism with uncontrolled symptoms (HPWUS) was associated with allergy: 0.8145;
哮喘(asthma)与过敏相关性:0.3085;Asthma and allergy correlation: 0.3085;
骨髓瘤(myeloma)与过敏相关性:0.2858;Myeloma and allergy correlation: 0.2858;
痛风(gout)与过敏相关性:0.3032;The correlation between gout and allergy: 0.3032;
充血性心脏衰竭(CHF)与过敏相关性:0.2502;Correlation between congestive heart failure (CHF) and allergy: 0.2502;
脱水(dehydration)与过敏相关性:0.2261;Dehydration and allergy correlation: 0.2261;
糖尿病(diabetes)与过敏相关性:0.2797;Correlation between diabetes and allergy: 0.2797;
45mls/min≤eGFR<60mls/min与过敏相关性:0.4260;45mls/min≤eGFR<60mls/min and allergy correlation: 0.4260;
eGFR<45mls/min与过敏相关性:0.6250;The correlation between eGFR<45mls/min and allergy: 0.6250;
年龄(age)>70岁:0.2260;Age > 70 years old: 0.2260;
碘对比剂严重不良反应(saroicm)与过敏相关性:0.9260;The correlation between severe adverse reactions to iodine contrast media (saroicm) and allergy: 0.9260;
碘轻微过敏(SIA)与过敏相关性:0.3360;Slight allergy to iodine (SIA) and allergy correlation: 0.3360;
已知的过敏源数(Sensitive)与过敏相关性:0.3240;The number of known allergens (Sensitive) and allergy correlation: 0.3240;
服用肾脏损伤类药物(TKID)与过敏相关性:0.2153;The correlation between taking kidney injury drugs (TKID) and allergy: 0.2153;
双侧肾脏手术史(HOKS)与过敏相关性:0.2262。History of bilateral kidney surgery (HOKS) was associated with allergy: 0.2262.
S300.构建贝叶斯岭回归预测单元。运用贝叶斯岭回归模型对未来CT增强检查人员使用何种对比剂具有过敏反应进行预测。具体的:根据贝叶斯岭回归模型作为该组合模型,通过贝叶斯岭回归预测CT增强检查过敏人数序列Yt,假设Yt关于服从高斯分布:S300. Build a Bayesian Ridge Regression Prediction Unit. A Bayesian Ridge Regression Model was used to predict which contrast agent used by CT-enhanced examiners in the future would have allergic reactions. Specifically: According to the Bayesian Ridge regression model as the combined model, the CT enhanced examination allergy number sequence Yt is predicted by Bayes Ridge regression, assuming that Yt is about Follow a Gaussian distribution:
概率模型的先验参数ω服从球型高斯分布: The prior parameter ω of the probability model follows a spherical Gaussian distribution:
其中,Xtall为通过贝叶斯岭回归拟合的多因子指标数据的组合特征值,ω为权重参数向量,α-1为对应的多种因子指标数据的集合的方差,β-1为ω的高斯分布的方差。Among them, Xtall is the combined eigenvalue of the multi-factor index data fitted by Bayesian Ridge regression, ω is the weight parameter vector, α-1 is the variance of the corresponding set of multiple factor index data, β-1 is The variance of the Gaussian distribution of ω.
贝叶斯增量学习过程:通过前一个数据集Dt-1的后验概率p(ω|Dt-1),乘以新的样本点得到新集合Dt的后验概率p(ω|Dt):Bayesian incremental learning process: multiply the new sample point by the posterior probability p(ω|Dt-1 ) of the previous dataset Dt-1 Get the posterior probability p(ω|Dt ) of the new set Dt :
实验结果:Experimental results:
Yt过敏=0.257*XtHPWUS-0.268*Xtasthma-0.054*Xtmyeloma-0.873*Xtgout-0.147*XtCHF-0.510*Xtdehydration-0.291*Xtdiabetes+0.235*Xt45mls/min≤eGFR<60mls/min+0.257*XteGFR<45mls/min+0.324*Xtage+0.259*XtSAROICM+0.157*XtSIA+0.267*XtSensitive+0.237*XtTKID-0.357*XtHOKS。Ytallergy =0.257*XtHPWUS -0.268*Xtasthma -0.054*Xtmyeloma -0.873*Xtgout -0.147*XtCHF -0.510*Xtdehydration -0.291*Xtdiabetes +0.235*Xt45mls/min≤eGFR<60mls/min +0.257*XteGFR<45mls/min +0.324*Xtage +0.259*XtSAROICM +0.157*XtSIA +0.267*XtSensitive +0.237*XtTKID - 0.357*XtHOKS .
S400.将预测序列和真实对比剂过敏人数序列计算相关性,得到影响因子和对比剂过敏反应之间的相关程度,根据分析结果得出影响对比剂的关键因子。确定影响因子对病患过敏的影响。实验过程中,将70%的数据用于训练模型,30%的数据用于预测和计算相关性(皮尔森相关性计算),最终预测序列与真实序列的多因子相关系数为:0.7021,实验证明,影响因子与过敏性存在正相关性,影响因子越多,过敏人数会明显上升。S400. Calculate the correlation between the predicted sequence and the actual number of people allergic to the contrast agent, obtain the degree of correlation between the impact factor and the allergic reaction to the contrast agent, and obtain the key factor affecting the contrast agent according to the analysis result. Determine the effect of impact factors on patient allergies. During the experiment, 70% of the data was used for training the model, 30% of the data was used for prediction and calculation of correlation (Pearson correlation calculation), and the multi-factor correlation coefficient between the final predicted sequence and the real sequence was: 0.7021. , there is a positive correlation between the impact factor and allergy. The more impact factors, the number of allergies will increase significantly.
S500.通过logistic回归分析,得到自变量的权重,确定关键因子的等级。根据患者身体体质将对比剂的关键因子分为四个等级,根据不同等级匹配使用何种对比剂,建立对比剂专家知识库。S500. Obtain the weight of independent variables through logistic regression analysis, and determine the level of key factors. According to the patient's physical constitution, the key factors of contrast agent are divided into four grades, and the contrast agent used is matched according to different grades, and a knowledge base of contrast agent is established.
其中影响对比剂的关键因子包括1、2、3、4四个等级;等级1为绝对禁忌因子,包含等级1因子的患者不能做增强;等级2、3、4均为相对禁忌因子,包含等级2因子的患者必须使用等渗对比剂碘克沙醇,包含等级3因子的患者采用高渗、低渗和等渗三种对比剂中的任意一种;其中包含一个等级4因子的患者使用高渗、低渗和等渗三种对比剂中的任意一种,包含两个及以上等级4因子的患者使用等渗对比剂碘克沙醇;其中等级1因子包括甲亢病和碘过敏;等级2因子包括eGFR<45mls/min;等级3因子包括过敏源数≥3;等级4因子包括双侧肾脏损伤、哮喘、骨髓瘤、痛风、充血性心脏衰竭、脱水、糖尿病和45mls/min≤eGFR<60mls/min;具体见下表。The key factors affecting contrast agents include four grades: 1, 2, 3, and 4; grade 1 is an absolute contraindication factor, and patients with grade 1 factor cannot be enhanced; grades 2, 3, and 4 are relative contraindication factors, including grades Patients with factor 2 must use the isotonic contrast agent iodixanol, and patients with a grade 3 factor use either hypertonic, hypotonic, or isotonic contrast agents; those with a grade 4 factor use high Any one of the three contrast media, hypotonic, isotonic, and isotonic, and the isotonic contrast agent iodixanol is used in patients with two or more grade 4 factors; grade 1 factors include hyperthyroidism and iodine allergy; grade 2 Factors include eGFR<45mls/min; grade 3 factors include number of allergens ≥3; grade 4 factors include bilateral kidney injury, asthma, myeloma, gout, congestive heart failure, dehydration, diabetes, and 45mls/min≤eGFR<60mls /min; see the table below for details.
实施例3:Example 3:
如图4所示,本实施例提供了一种执行实施例1所述CT增强对比剂智能匹配模型的建立方法的计算机设备,包括依次通信相连的存储器、处理器和收发器,其中,所述存储器用于存储计算机程序,所述收发器用于收发数据,所述处理器用于读取所述计算机程序,执行实施例1的方法。具体举例的,所述存储器可以但不限于包括随机存取存储器(RAM)、只读存储器(ROM)、闪存(Flash Memory)、先进先出存储器(FIFO)和/或先进后出存储器(FILO)等等;所述收发器可以但不限于包括WiFi(无线保真)无线收发器、蓝牙无线收发器、GPRS(General Packet Radio Service,通用分组无线服务技术)无线收发器和/或ZigBee(紫蜂协议,基于IEEE802.15.4标准的低功耗局域网协议)无线收发器等;所述处理器可以不限于采用型号采用STM32F105系列的微处理器。此外,所述计算机设备还可以但不限于包括有电源模块、输入设备、显示屏和其它必要的部件。As shown in FIG. 4 , this embodiment provides a computer device for executing the method for establishing an intelligent matching model for CT-enhanced contrast agents described in Embodiment 1, including a memory, a processor, and a transceiver that are communicatively connected in sequence, wherein the The memory is used to store a computer program, the transceiver is used to send and receive data, and the processor is used to read the computer program to execute the method of Embodiment 1. Specifically, the memory may include, but is not limited to, random access memory (RAM), read only memory (ROM), flash memory (Flash Memory), first in first out (FIFO) and/or first in last out (FILO) etc.; the transceivers may include, but are not limited to, WiFi (Wireless Fidelity) wireless transceivers, Bluetooth wireless transceivers, GPRS (General Packet Radio Service, General Packet Radio Service technology) wireless transceivers and/or ZigBee (ZigBee) wireless transceivers protocol, low power consumption local area network protocol based on IEEE802.15.4 standard) wireless transceiver, etc.; the processor may not be limited to adopting the microprocessor of the STM32F105 series. In addition, the computer device may also include, but is not limited to, a power supply module, an input device, a display screen and other necessary components.
本实施例提供的前述计算机设备的工作过程、工作细节和技术效果,可以参见实施例1所述的方法,于此不再赘述。For the working process, working details, and technical effects of the aforementioned computer equipment provided in this embodiment, reference may be made to the method described in Embodiment 1, and details are not described herein again.
实施例4:Example 4:
本实施例提供了一种存储包含实施例1所述的CT增强对比剂智能匹配模型的建立方法的计算机可读存储介质,即所述计算机可读存储介质上存储有指令,当所述指令在计算机上运行时,执行如实施例1所述的CT增强对比剂智能匹配模型的建立方法。其中,所述计算机可读存储介质是指存储数据的载体,可以但不限于包括软盘、光盘、硬盘、闪存、优盘和/或记忆棒(Memory Stick)等,所述计算机可以是通用计算机、专用计算机、计算机网络、或者其他可编程装置。This embodiment provides a computer-readable storage medium that stores the method for establishing an intelligent matching model for CT-enhanced contrast agents described in Embodiment 1, that is, the computer-readable storage medium stores instructions, when the instructions are stored in When running on the computer, the method for establishing an intelligent matching model for CT-enhanced contrast agents as described in Example 1 is executed. Wherein, the computer-readable storage medium refers to a carrier for storing data, which may include, but is not limited to, a floppy disk, an optical disk, a hard disk, a flash memory, a USB flash drive and/or a Memory Stick, etc. The computer may be a general-purpose computer, a special-purpose computer, or a A computer, computer network, or other programmable device.
本实施例提供的前述计算机可读存储介质的工作过程、工作细节和技术效果,可以参见实施例1所述的方法,于此不再赘述。For the working process, working details, and technical effects of the aforementioned computer-readable storage medium provided in this embodiment, reference may be made to the method described in Embodiment 1, and details are not repeated here.
以上所描述的多个实施例仅仅是示意性的,若涉及到作为分离部件说明的单元,其可以是或者也可以不是物理上分开的;若涉及到作为单元显示的部件,其可以是或者也可以不是物理单元,即可以位于一个地方,或者也可以分布到多个网络单元上。可以根据实际的需要选择其中的部分或者全部单元来实现本实施例方案的目的。本领域普通技术人员在不付出创造性的劳动的情况下,即可以理解并实施。The multiple embodiments described above are only illustrative. If the units described as separate components are involved, they may or may not be physically separated; if the components shown as units are involved, they may or may not be physically separated. It may not be a physical unit, that is, it may be located in one place, or it may be distributed over multiple network units. Some or all of the units may be selected according to actual needs to achieve the purpose of the solution in this embodiment. Those of ordinary skill in the art can understand and implement it without creative effort.
以上实施例仅用以说明本发明的技术方案,而非对其限制;尽管参照前述实施例对本发明进行了详细的说明,本领域的普通技术人员应当理解:其依然可以对前述各实施例所记载的技术方案进行修改,或者对其中部分技术特征进行等同替换。而这些修改或者替换,并不使相应技术方案的本质脱离本发明各实施例技术方案的精神和范围。The above embodiments are only used to illustrate the technical solutions of the present invention, but not to limit them; although the present invention has been described in detail with reference to the foregoing embodiments, those of ordinary skill in the art should understand that: The recorded technical solutions are modified, or some technical features thereof are equivalently replaced. However, these modifications or substitutions do not make the essence of the corresponding technical solutions deviate from the spirit and scope of the technical solutions of the embodiments of the present invention.
最后应说明的是,本发明不局限于上述可选的实施方式,任何人在本发明的启示下都可得出其他各种形式的产品。上述具体实施方式不应理解成对本发明的保护范围的限制,本发明的保护范围应当以权利要求书中界定的为准,并且说明书可以用于解释权利要求书。Finally, it should be noted that the present invention is not limited to the above-mentioned optional embodiments, and anyone can obtain other various forms of products under the inspiration of the present invention. The above specific embodiments should not be construed as limiting the protection scope of the present invention, which should be defined in the claims, and the description can be used to interpret the claims.
| Application Number | Priority Date | Filing Date | Title |
|---|---|---|---|
| CN202010926659.5ACN112070150B (en) | 2020-09-07 | 2020-09-07 | The Establishment of Intelligent Matching Model of CT-enhanced Contrast Agent |
| Application Number | Priority Date | Filing Date | Title |
|---|---|---|---|
| CN202010926659.5ACN112070150B (en) | 2020-09-07 | 2020-09-07 | The Establishment of Intelligent Matching Model of CT-enhanced Contrast Agent |
| Publication Number | Publication Date |
|---|---|
| CN112070150A CN112070150A (en) | 2020-12-11 |
| CN112070150Btrue CN112070150B (en) | 2021-05-14 |
| Application Number | Title | Priority Date | Filing Date |
|---|---|---|---|
| CN202010926659.5AActiveCN112070150B (en) | 2020-09-07 | 2020-09-07 | The Establishment of Intelligent Matching Model of CT-enhanced Contrast Agent |
| Country | Link |
|---|---|
| CN (1) | CN112070150B (en) |
| Publication number | Priority date | Publication date | Assignee | Title |
|---|---|---|---|---|
| CN119479830B (en)* | 2025-01-15 | 2025-05-16 | 北京大学 | Multi-center data aggregation method |
| Publication number | Priority date | Publication date | Assignee | Title |
|---|---|---|---|---|
| US8655817B2 (en)* | 2008-02-20 | 2014-02-18 | Digital Medical Experts Inc. | Expert system for determining patient treatment response |
| CN109783646B (en)* | 2019-02-12 | 2022-08-12 | 四川大学华西医院 | A data processing method and device |
| Publication number | Publication date |
|---|---|
| CN112070150A (en) | 2020-12-11 |
| Publication | Publication Date | Title |
|---|---|---|
| EP3064179B1 (en) | Apparatus and method for analysing events from sensor data by optimisation | |
| US11341647B2 (en) | Systems and methods for evaluating the brain after onset of a stroke using computed tomography angiography | |
| KR20140107714A (en) | Health management system and method for providing health information thereof | |
| WO2016162767A1 (en) | System for laboratory values automated analysis and risk notification in intensive care unit | |
| CN112070150B (en) | The Establishment of Intelligent Matching Model of CT-enhanced Contrast Agent | |
| CN105303194B (en) | A kind of power grid index system method for building up, device and computing device | |
| CN118692706A (en) | AI-based intelligent analysis system and method for urinary tract functional status | |
| CN118969284B (en) | A comprehensive health evaluation method and system based on multiple indicators of body composition metabolism | |
| CN118658625A (en) | A perioperative anesthesia risk assessment system | |
| CN116895381A (en) | Methods, devices, media, and equipment for constructing Alzheimer's disease prediction models | |
| CN114203301A (en) | Post-diagnosis patient health status tracking method and system | |
| CN115602323A (en) | Combined risk assessment model, method and application suitable for disease risk assessment | |
| CN117637155A (en) | Prediction method and device for disease risk level, electronic equipment and storage medium | |
| CN108346471A (en) | A kind of analysis method and device of pathological data | |
| Moreira et al. | Performance assessment of decision tree-based predictive classifiers for risk pregnancy care | |
| CN111599427A (en) | A recommended method, device, electronic device and storage medium for unified diagnosis | |
| CN111340803A (en) | Emphysema grade detection method, device, equipment and storage medium | |
| CN114144837A (en) | Model for dynamic prediction of discharge readiness of patients in general wards | |
| CN118262931B (en) | A method and system for completing medical data features in emergency rescue scenarios | |
| CN116796046B (en) | Case retrieval method and device based on rare characteristics | |
| CN113159911B (en) | Intelligent bidding subject performance monitoring and system based on big data platform | |
| Seuc et al. | Statistical Approaches to Understand COVID-19 Severity and Fatality | |
| AU2015202026C1 (en) | Apparatus and method for analysing events from sensor data by optimization | |
| CN117370868A (en) | State prediction method, device and storage medium | |
| CN118538407A (en) | Method for assessing risk of sarcopenia |
| Date | Code | Title | Description |
|---|---|---|---|
| PB01 | Publication | ||
| PB01 | Publication | ||
| SE01 | Entry into force of request for substantive examination | ||
| SE01 | Entry into force of request for substantive examination | ||
| GR01 | Patent grant | ||
| GR01 | Patent grant |