Movatterモバイル変換


[0]ホーム

URL:


CN112065281A - Drilling tool combination structure parameter determination method based on composite drilling proportion target - Google Patents

Drilling tool combination structure parameter determination method based on composite drilling proportion target
Download PDF

Info

Publication number
CN112065281A
CN112065281ACN202010945632.0ACN202010945632ACN112065281ACN 112065281 ACN112065281 ACN 112065281ACN 202010945632 ACN202010945632 ACN 202010945632ACN 112065281 ACN112065281 ACN 112065281A
Authority
CN
China
Prior art keywords
drilling tool
drilling
target
tool assembly
determining
Prior art date
Legal status (The legal status is an assumption and is not a legal conclusion. Google has not performed a legal analysis and makes no representation as to the accuracy of the status listed.)
Granted
Application number
CN202010945632.0A
Other languages
Chinese (zh)
Other versions
CN112065281B (en
Inventor
胡贵
张国辉
黄雪琴
朱培珂
陶冶
Current Assignee (The listed assignees may be inaccurate. Google has not performed a legal analysis and makes no representation or warranty as to the accuracy of the list.)
Petrochina Co Ltd
Original Assignee
Petrochina Co Ltd
Priority date (The priority date is an assumption and is not a legal conclusion. Google has not performed a legal analysis and makes no representation as to the accuracy of the date listed.)
Filing date
Publication date
Application filed by Petrochina Co LtdfiledCriticalPetrochina Co Ltd
Priority to CN202010945632.0ApriorityCriticalpatent/CN112065281B/en
Publication of CN112065281ApublicationCriticalpatent/CN112065281A/en
Application grantedgrantedCritical
Publication of CN112065281BpublicationCriticalpatent/CN112065281B/en
Activelegal-statusCriticalCurrent
Anticipated expirationlegal-statusCritical

Links

Images

Classifications

Landscapes

Abstract

The embodiment of the application provides a drilling tool assembly structure parameter determination method based on a composite drilling proportion target, which comprises the following steps: determining a target deflecting rate of the drilling tool assembly according to a preset composite drilling proportion target, the length of a deflecting section of a target well, the composite drilling operation times of the deflecting section of the preset target well, the expanding rate of a stratum where the target well is located, a directional deflecting capability coefficient of the drilling tool assembly and a deflecting capability correction coefficient of the drilling tool assembly; determining structural parameters of the drilling tool assembly according to a numerical comparison result of a target build-up rate of the drilling tool assembly and a preset build-up rate threshold; the method and the device can effectively improve the track quality of the well, reduce the friction resistance torque of the well drilling, and improve the safety and efficiency of the well drilling operation.

Description

Drilling tool combination structure parameter determination method based on composite drilling proportion target
Technical Field
The application relates to the field of oil and gas drilling, in particular to a drilling tool assembly structure parameter determination method based on a composite drilling proportion target.
Background
The well spacing mode of the horizontal well with the long well section becomes one of the important means for developing unconventional oil and gas. However, in the drilling operation of a horizontal well with a long well section, the drilling friction torque is high due to the long horizontal section, the drilling efficiency is affected, and in severe cases, the complexity rate of drilling accidents is increased steeply. One important factor affecting drilling friction torque is wellbore trajectory quality, i.e., smoothness of the wellbore trajectory. Generally, the quality and smoothness of a well track completed by adopting rotary steering drilling are high, and the later drilling friction torque can be relieved, but the rotary steering drilling needs to adopt a special instrument and is higher in cost. In order to reduce the cost of drilling operation, the drilling tool assembly with a bent shell screw is mainly adopted to be matched with an underground measurement while drilling instrument to control the track direction of an oil-gas drilling well. When the well is drilled to a horizontal well section, the adjustment of the well track is relatively less because the well is mainly drilled at a steady inclined section, the mode that the well track of the oil and gas well is controlled by adopting the screw drilling tool assembly with the bent shell and matching with the underground measurement while drilling instrument can be generally adopted for rotary composite well drilling, namely, the composite underground screw drilling tool is driven by a ground rotary pipe column and simultaneously acts on a drill bit to realize composite well drilling, and the well track quality is better. However, when drilling at the deflecting section, the change of well deflection and azimuth angle in the well track parameters is completed, mainly directional drilling is adopted, namely, a screw drilling tool with a bent shell is adopted to drive a drill bit to drill. Because the screw drilling tool is provided with the bent shell, the drilling direction of the drill bit has certain directivity, the drilling in a specific direction is realized, and due to frequent directional track adjustment, the track quality of a well hole is poor and the smoothness is poor. Therefore, in the drilling engineering design stage, the designed borehole orbit and bottom hole assembly with the bent shell screw rod are expected to meet a certain composite drilling proportion, and the track unsmooth degree in the directional drilling operation is properly repaired.
The inventor finds that a design method of a bottom drilling tool combination of a deflecting section of a horizontal well considering a composite drilling proportion is absent in the prior art, and related design needs to be completed by depending on experience, so that scientific guidance is absent in actual drilling operation, and the drilling operation efficiency of the horizontal well is influenced to a certain extent.
Disclosure of Invention
Aiming at the problems in the prior art, the application provides a drilling tool combination structure parameter determination method based on a composite drilling proportion target, which can effectively improve the track quality of a well hole, reduce the drilling friction torque and ensure the safety and the efficiency of drilling operation.
In order to solve at least one of the above problems, the present application provides the following technical solutions:
in a first aspect, the present application provides a method for determining a drilling tool assembly structural parameter based on a composite drilling proportion target, including:
determining a target deflecting rate of the drilling tool assembly according to a preset composite drilling proportion target, the length of a deflecting section of a target well, the composite drilling operation times of the deflecting section of the preset target well, the expanding rate of a stratum where the target well is located, a directional deflecting capability coefficient of the drilling tool assembly and a deflecting capability correction coefficient of the drilling tool assembly;
and determining the structural parameters of the drilling tool assembly according to the numerical comparison result of the target build-up rate of the drilling tool assembly and a preset build-up rate threshold.
Further, prior to the determining the target build rate of the drilling assembly, comprising:
and determining a drilling tool assembly deflecting capacity correction coefficient of the target well according to the ratio of the directional deflecting rates of the drilling tool assemblies of the target well and the reference well corresponding to the target well.
Further, prior to the determining the target build rate of the drilling assembly, comprising:
and determining the length of the deflecting section of the target well according to the target entering point position deflecting depth and the deflecting point deflecting depth in the borehole orbit design parameters of the target well.
Further, prior to the determining the target build rate of the drilling assembly, comprising:
and determining the directional deflecting capacity coefficient of the drilling tool assembly according to the distance from the bottom surface of the drill bit to the middle position of the screw drilling tool with the bent shell, the distance from the middle position of the screw drilling tool with the bent shell to the bent angle position and the distance from the bent angle position of the screw drilling tool with the bent shell to the middle position of the stabilizer mounted on the upper part of the screw drilling tool with the bent shell.
Further, prior to the determining the target build rate of the drilling assembly, comprising:
and determining the hole expansion rate of the stratum where the target well is located according to the composite drilling hole diameter curve data of the reference well deflecting section corresponding to the target well.
Further, prior to the determining the target build rate of the drilling assembly, comprising:
and determining the hole expansion rate of the stratum of the target well according to the numerical comparison result of the stratum rock drillability parameter of the stratum of the target well and a preset drillability parameter threshold value, the distance from the bottom surface of a drill bit in the drilling tool assembly to the middle position of the screw drilling tool with the bent shell, the distance from the middle position of the screw drilling tool with the bent shell in the drilling tool assembly to the bent angle position and the outer diameter of the drill bit in the drilling tool assembly.
Further, prior to said determining structural parameters of said drilling assembly, comprising:
according to the curved casing screw rod drilling tool external diameter in area among the drilling tool assembly the curved casing screw rod drilling tool in area among the drilling tool assembly is from taking the stabilizer external diameter, the stabilizer external diameter of the curved casing screw rod drilling tool upper portion installation in area among the drilling tool assembly the curved casing screw rod drilling tool bent angle in area among the drilling tool assembly drill bit bottom surface to the curved casing screw rod drilling tool in area from taking stabilizer middle part position distance, the curved casing screw rod drilling tool in the drilling tool assembly is from taking stabilizer middle part position to bent angle position distance and the curved casing screw rod drilling tool bent angle position is to the stabilizer middle part position distance of the curved casing screw rod drilling tool upper portion installation in area among the drilling tool assembly, confirm the slope threshold value of making.
Further, the determining the structural parameters of the drilling tool assembly according to the numerical comparison result of the target build rate of the drilling tool assembly and a preset build rate threshold value comprises:
if the target build rate of the drilling tool assembly exceeds the preset build rate threshold, the bending angle of the screw drilling tool with the bent shell in the drilling tool assembly is increased, the outer diameter of a stabilizer arranged at the upper part of the screw drilling tool with the bent shell in the drilling tool assembly is reduced, and the outer diameter of the stabilizer of the screw drilling tool with the bent shell in the drilling tool assembly is reduced according to a preset numerical value adjustment proportion until the target build rate of the drilling tool assembly does not exceed the preset build rate threshold.
In a second aspect, the present application provides a device for determining a structural parameter of a drilling tool assembly based on a composite drilling proportion target, comprising:
the drilling tool combination target deflecting rate determining module is used for determining the target deflecting rate of the drilling tool combination according to a preset composite drilling proportion target, the length of a deflecting section of a target well, the composite drilling operation times of the deflecting section of the preset target well, the expanding rate of a stratum where the target well is located, the directional deflecting capability coefficient of the drilling tool combination and the deflecting capability correction coefficient of the drilling tool combination;
and the drilling tool assembly structure parameter determining module is used for determining the structure parameters of the drilling tool assembly according to the numerical comparison result of the target build-up rate of the drilling tool assembly and a preset build-up rate threshold value.
Further, still include:
and the drilling tool assembly deflecting capability correction coefficient determining unit is used for determining the drilling tool assembly deflecting capability correction coefficient of the target well according to the ratio of the directional deflecting rates of the drilling tool assemblies of the target well and the reference well corresponding to the target well.
Further, still include:
and the target well deflecting section length determining unit is used for determining the deflecting section length of the target well according to the target entering position inclined depth and the deflecting point inclined depth in the borehole orbit design parameters of the target well.
Further, still include:
and the drilling tool assembly directional deflecting capability coefficient determining unit is used for determining the drilling tool assembly directional deflecting capability coefficient according to the distance from the bottom surface of the drill bit to the middle position of the screw drilling tool with the bent shell, the distance from the middle position of the screw drilling tool with the bent shell to the bend angle position, and the distance from the bend angle position of the screw drilling tool with the bent shell to the middle position of the stabilizer arranged on the upper part of the screw drilling tool with the bent shell.
Further, still include:
and the first expansion rate determining unit is used for determining the expansion rate of the stratum where the target well is located according to the composite drilling well diameter curve data of the reference well deflecting section corresponding to the target well.
Further, still include:
and the second expansion rate determining unit is used for determining the expansion rate of the stratum of the target well according to the numerical comparison result of stratum rock drillability parameters of the stratum of the target well and a preset drillability parameter threshold value, the distance from the bottom surface of a drill bit in the drilling tool assembly to the middle position of the screw drilling tool with the bent shell, the distance from the middle position of the screw drilling tool with the bent shell to the bend angle position of the screw drilling tool with the bent shell in the drilling tool assembly and the outer diameter of the drill bit in the drilling tool assembly.
Further, still include:
the modeling rate threshold value determining unit is used for determining the modeling rate threshold value according to the outer diameter of a bent shell screw drilling tool in the drilling tool assembly, the outer diameter of the bent shell screw drilling tool in the drilling tool assembly, the outer diameter of a stabilizer installed on the upper portion of the bent shell screw drilling tool in the drilling tool assembly, the bent angle of the bent shell screw drilling tool in the drilling tool assembly, the distance from the bottom surface of a drill bit to the middle position of the bent shell screw drilling tool in the drilling tool assembly, the distance from the middle position of the bent shell screw drilling tool in the drilling tool assembly to the bent position and the distance from the bent position of the bent shell screw drilling tool in the drilling tool assembly to the middle position of the stabilizer installed on the upper portion of the bent shell screw drilling tool.
Further, the drilling tool assembly structure parameter determination module comprises:
and the drilling tool assembly structure parameter optimization unit is used for increasing the bending angle of the screw drilling tool with the bent shell in the drilling tool assembly, reducing the outer diameter of a stabilizer arranged at the upper part of the screw drilling tool with the bent shell in the drilling tool assembly and reducing the outer diameter of the stabilizer of the screw drilling tool with the bent shell in the drilling tool assembly according to a preset numerical value adjustment proportion if the target build slope of the drilling tool assembly exceeds the preset build slope threshold value until the target build slope of the drilling tool assembly does not exceed the preset build slope threshold value.
In a third aspect, the present application provides an electronic device comprising a memory, a processor and a computer program stored on the memory and executable on the processor, wherein the processor implements the steps of the method for determining a drilling assembly structural parameter based on a composite drilling proportion target when executing the program.
In a fourth aspect, the present application provides a computer readable storage medium having stored thereon a computer program which, when executed by a processor, performs the steps of the method for determining a structural parameter of a drilling assembly based on a composite drill proportion target.
According to the technical scheme, the method for determining the structural parameters of the drilling tool assembly based on the composite drilling proportion target determines the target build rate of the drilling tool assembly required by the completion of the target by comprehensively considering the self-deflecting capacity of the target well and the drilling tool assembly on the basis of reaching the preset composite drilling proportion target, and accordingly designs and optimizes various structural parameters of the drilling tool assembly, so that the drilling operation can improve the track quality of a well hole, reduce the friction torque of the drilling well, and ensure the safety and efficient drilling operation in the later period of a horizontal well at a long well section.
Drawings
In order to more clearly illustrate the embodiments of the present application or the technical solutions in the prior art, the drawings needed to be used in the description of the embodiments or the prior art will be briefly introduced below, and it is obvious that the drawings in the following description are some embodiments of the present application, and it is obvious for those skilled in the art to obtain other drawings based on these drawings without creative efforts.
FIG. 1 is a schematic flow chart illustrating a method for determining structural parameters of a drilling tool assembly based on a composite drilling proportion target according to an embodiment of the present application;
FIG. 2 is a block diagram of one embodiment of a composite drill scale target based drilling assembly configuration parameter determination apparatus;
FIG. 3 is a second block diagram of a device for determining structural parameters of a drilling assembly based on a composite drill scale target according to an embodiment of the present invention;
FIG. 4 is a schematic representation of a wellbore trajectory design in an embodiment of the present application;
FIG. 5 is a schematic diagram of a curved housing screw drill assembly (with a stabilizer mounted on the top) according to an embodiment of the present application;
FIG. 6 is a schematic diagram of a curved housing screw drill assembly (without a stabilizer mounted on the top) according to an embodiment of the present application;
fig. 7 is a schematic structural diagram of an electronic device in an embodiment of the present application.
Detailed Description
In order to make the objects, technical solutions and advantages of the embodiments of the present application clearer, the technical solutions in the embodiments of the present application will be clearly and completely described below with reference to the drawings in the embodiments of the present application, and it is obvious that the described embodiments are some embodiments of the present application, but not all embodiments. All other embodiments, which can be derived by a person skilled in the art from the embodiments given herein without making any creative effort, shall fall within the protection scope of the present application.
In consideration of the problems that related design is needed to be completed by depending on experience due to the fact that related design is lacked in the prior art and related design is needed to be completed in the current horizontal well deflecting section bottom drilling tool combination considering the composite drilling proportion, and drilling operation efficiency of the horizontal well is affected to a certain extent, the application provides a drilling tool combination structure parameter determining method based on the composite drilling proportion target.
In order to effectively improve the track quality of a borehole, reduce the drilling friction torque and ensure the safety and efficiency of drilling operation, the application provides an embodiment of a method for determining the structural parameters of a drilling tool assembly based on a composite drilling proportion target, and referring to fig. 1, the method for determining the structural parameters of the drilling tool assembly based on the composite drilling proportion target specifically includes the following contents:
step S101: and determining the target deflecting rate of the drilling tool assembly according to a preset composite drilling proportion target, the length of the deflecting section of the target well, the composite drilling operation times of the deflecting section of the preset target well, the expanding rate of the stratum where the target well is located, the directional deflecting capability coefficient of the drilling tool assembly and the deflecting capability correction coefficient of the drilling tool assembly.
It will be appreciated that the target build rate of the drilling assembly is calculated primarily based on a set composite drilling ratio target, i.e. the ratio of the composite drilling mode to the bent housing screw drilling mode at the set stage (e.g. the kick-off stage) of the target well, which when taken at the right value can improve the borehole trajectory quality and smoothness, but which also requires a targeted design and optimization of the drilling assembly.
It will be appreciated that the composite drill fraction target may be obtained from the drilling trajectory design parameters and may be obtained according to the requirements of the operating party, typically below 50%, and that the longer the horizontal interval of the target well, the higher the composite drill fraction requirements.
It will be appreciated that in deviated drilling operations, the composite drilling is typically interspersed throughout the deviated drilling operation, typically in the following manner: one is to interleave the regularity in the directional operation, e.g. every timeAfter a certain well section is oriented, the composite drilling well is drilled for a certain length or proportion, the mode generally needs to have clear knowledge on the deflecting capability of the drilling tool assembly and the actual stratum trend, otherwise, the drilling well track is easy to miss; the second mode is that a certain composite drilling footage is provided at part of the well section, such as specially designed one or more steady-slope sections or low build-up rate adjustment well sections, and the like, which are usually more, and the temporary adjustment of the well track caused by factors such as stratum change or geological change in the actual drilling operation is mainly considered; a third way is to combine the first and second. For n of the first kind1It can be well predicted that the length of the corresponding interval is divided by the length of the regularly oriented interval, n for the second type2The value of n is the number of the predicted well path adjusting well sections; for n of the third type, the first n may be combined1And a second kind n2The calculation methods are respectively predicted and then summed.
Optionally, the whipstock section area curved shell screw rod drilling tool integrated configuration generally does: the drill bit, the screw drill with the bent shell, the stabilizer, the non-magnetic drill collar (including a measurement while drilling instrument), a plurality of drill collars, a plurality of drill rods, a plurality of weighting drill rods, a plurality of drill collars and a plurality of drill rods. Wherein the outer diameter D of the drill bitb(ii) a Screw drill external diameter D with bent shellsmScrew drill with bent shell and self-provided stabilizer outer diameter DmThe bending angle degree gamma of the screw drill with the bent shell; stabilizer outer diameter Ds(ii) a Distance L from bottom surface of drill bit to middle position of screw drill with bent shell1(ii) a Distance L from middle position with stabilizer to bent angle position of screw drilling tool with bent shell2(ii) a Distance L from bent position of bent shell screw drill to middle position of stabilizer mounted on upper portion of bent screw drill3
The stabilizer arranged at the upper part of the screw drill with the bending angle can not exist in a part of the drill assembly, and D is shown at the momentsTaking the value as the outer diameter D of the screw drill with the bent shellsmAt this time L3The length of the screw drill with the bent shell is generally related, and the value is between 7 and 12m, and is usually 8 m.
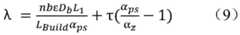
By usingThe build-up rate alpha required by the compounding of the screw drill with the bent shell is calculated by the following formulapsMinimum value:
τLBuildαps2+nbDbL1αz-(τ+λ)LBuildαpsαz=0 (1)
optionally, when the target deflecting rate of the drilling tool assembly is determined, the preset composite drilling proportion target and the preset composite drilling operation times of the deflecting section of the target well in the adopted calculation factors can be set manually, and the length of the deflecting section of the target well, the expanding ratio of the stratum where the target well is located, the directional deflecting capability coefficient of the drilling tool assembly and the deflecting capability correction coefficient of the drilling tool assembly in the adopted calculation factors can be calculated by known track design parameters or obtained from the drilling operation process of a reference well which is close to the track of the target well and the stratum.
Step S102: and determining the structural parameters of the drilling tool assembly according to the numerical comparison result of the target build-up rate of the drilling tool assembly and a preset build-up rate threshold.
Optionally, among various structural parameters of the drilling tool assembly, the bending angle of the screw drilling tool with the bent housing, the outer diameter of the self-contained stabilizer and the outer diameter of the stabilizer mounted on the upper portion of the screw drilling tool with the bending angle are preferably used for carrying out optimization design, so that the build rate of the drilling tool assembly can meet the requirement of a target build rate.
From the above description, the method for determining the structural parameters of the drilling tool assembly based on the composite drilling proportion target provided by the embodiment of the application can determine the target build rate of the drilling tool assembly required to complete the target by comprehensively considering the self-deflecting capability of the target well and the drilling tool assembly on the basis of reaching the preset composite drilling target proportion, and accordingly, each structural parameter of the drilling tool assembly is designed and optimized, so that the well track quality can be improved in the drilling operation, the drilling friction torque can be reduced, and the safe and efficient drilling operation in the later stage of a long-section horizontal well can be ensured.
In order to accurately determine the deviation capability correction coefficient of the drilling tool assembly so as to more accurately determine the target deviation rate of the drilling tool assembly, in an embodiment of the method for determining the structural parameters of the drilling tool assembly based on the composite drilling proportion target, the following may be specifically included:
and determining a drilling tool assembly deflecting capacity correction coefficient of the target well according to the ratio of the directional deflecting rates of the drilling tool assemblies of the target well and the reference well corresponding to the target well.
Preferably, the target formation rate α of the drilling assembly of the present applicationpsThe calculation formula of (c) may be:
τLBuildαps2+nbDbL1αz-(τ+λ)LBuildαpsαz=0 (1)
specifically, τ is a drilling tool assembly deflecting capability correction coefficient, namely a proportional relation between the actual directional deflecting rate of the screw drilling tool assembly with the bent shell and the designed directional deflecting rate.
Specifically, the method can be obtained according to the following mode, if an adjacent well with similar well structure and stratum conditions exists around the target well, the reverse calculation is carried out according to the drilling proportion of the screw drilling tool with the bent shell at the deflecting section of the adjacent well, the design directional deflecting capability of the drilling tool and the actual directional deflecting capability of the drilling tool; and if the periphery of the target well does not store the adjacent well with the similar well body structure and the similar stratum condition, the value is 0.8-1.0.
In order to accurately determine the length of the whipstock of the target well so as to more accurately determine the target whipstock of the drilling assembly, in an embodiment of the method for determining the structural parameters of the drilling assembly based on the composite drilling proportion target, the following may be specifically included:
and determining the length of the deflecting section of the target well according to the target entering point position deflecting depth and the deflecting point deflecting depth in the borehole orbit design parameters of the target well.
Alternatively, the drilling project of a target well typically includes the contents of the wellbore trajectory design. From the wellbore trajectory design, a slant depth D including the position of the kick-off point may be obtainedKOPTotal slant depth D of target wellBDesigned maximum build-up rate alphaDDepth of target entry point DAAnd a horizontal well section stabilizing angle theta.
Specifically, the slant depth D is provided according to the target entry pointAAnd deflecting point slant depth DKOPCalculating the length L of the deflecting segmentBuildIs specifically LBuild=DA-DKOP(ii) a According to LBuildCalculating the comprehensive manufactured slope value alphazAnd is specifically alphaz=30θ/LBuild. Typically calculated alphazIs less than or equal to alphaDIn relation to the type of track profile envisaged, e.g. the profile of the track in the deflecting section concerned is a circular arc profile, alphazShould be equal to alphaDIf the cross section is not circular arc, then αzShould be less than alphaD
In order to accurately determine the directional deflecting capability coefficient of the drilling tool assembly and to more accurately determine the target deflecting rate of the drilling tool assembly, in an embodiment of the method for determining the structural parameters of the drilling tool assembly based on the composite drilling proportion target, the following may be specifically included:
and determining the directional deflecting capacity coefficient of the drilling tool assembly according to the distance from the bottom surface of the drill bit to the middle position of the screw drilling tool with the bent shell, the distance from the middle position of the screw drilling tool with the bent shell to the bent angle position and the distance from the bent angle position of the screw drilling tool with the bent shell to the middle position of the stabilizer mounted on the upper part of the screw drilling tool with the bent shell.
Optionally, in the above formula (1), DbIs the outer diameter of the drill bit, the value of which is determined; meanwhile, b is a coefficient for calculating the directional deflecting capacity of the screw drill assembly with the bent shell, and specifically comprises the following steps:
Figure BDA0002675206490000091
wherein L is1、L2、L3Is a structural parameter of the screw drill, L1The distance from the bottom surface of the drill bit to the middle position of the screw drill with the bent shell is 0.6-1.2 m, and is usually 0.85 m; l is2The screw drill with the bent shell is provided with a stabilizer from the middle part toThe angular position distance is between 0.3 and 0.8m, usually 0.5 m; l is3The distance from the bent position of the screw drill with the bent shell to the middle position of the stabilizer mounted on the upper part of the screw drill with the bent angle is 4-15 m, and is usually 8 m. Further, L1、L2、L3Usually not as an optimizable term, it is determined directly from the preselected model of the progressive cavity drill with the curved housing.
In order to accurately determine the hole enlargement rate of the formation where the target well is located, so as to more accurately determine the target build-up rate of the drilling tool assembly, in an embodiment of the method for determining the structural parameters of the drilling tool assembly based on the composite drilling proportion target, the method may further include the following steps:
and determining the hole expansion rate of the stratum where the target well is located according to the composite drilling hole diameter curve data of the reference well deflecting section corresponding to the target well.
Optionally, in the above formula (1), the expansion rate of the drilled formation, i.e. the expansion rate of the formation where the target well is located, is used.
It will be appreciated that in a composite drilling operation using a helical drilling tool with a curved casing, the drill bit centre may be offset from the axis of the drilling tool due to the bend in the drilling tool assembly, resulting in a hole having a larger diameter than a hole without the casing.
Optionally, the hole diameter parameters are usually only measurable after the drilling operation is completed, and cannot be monitored in real time, so that the hole diameter parameters can only be obtained by a prediction method. The following prediction method was used: and if the adjacent wells with similar well body structures and stratum conditions exist at the periphery of the target well, acquiring the composite drilling well diameter curve of the adjacent well deflecting section, taking the average diameter expansion rate of the composite drilling well diameter curve, and assigning values to the composite drilling well diameter curve.
In order to accurately determine the hole enlargement rate of the formation where the target well is located, so as to more accurately determine the target build-up rate of the drilling tool assembly, in another embodiment of the method for determining the structural parameters of the drilling tool assembly based on the composite drilling proportion target, the following may be specifically included:
and determining the hole expansion rate of the stratum of the target well according to the numerical comparison result of the stratum rock drillability parameter of the stratum of the target well and a preset drillability parameter threshold value, the distance from the bottom surface of a drill bit in the drilling tool assembly to the middle position of the screw drilling tool with the bent shell, the distance from the middle position of the screw drilling tool with the bent shell in the drilling tool assembly to the bent angle position and the outer diameter of the drill bit in the drilling tool assembly.
Optionally, if the adjacent well with similar well structure and formation condition is not stored around the target well, the following method is adopted:
=0.017453γμ(L1+L2)/Db (3)
wherein mu is between 0.5 and 1.2, and is determined by adopting the following specific method:
if the extreme value K of the drillability of the stratum rock is below 3, mu is between 1.0 and 1.2; if the extreme value K of the drillability of the stratum rock is between 3 and 6, mu is between 0.8 and 1.0; if the extreme value K of the drillability of the stratum rock is between 6 and 8, mu is between 0.7 and 0.8; if the extreme value K of the drillability of the stratum rock is more than 8, mu is between 0.5 and 0.7.
It can be understood that, in general, the drilling engineering design of a target well includes the lithology of the formation to be encountered and the value of the drillability level, and the rock drillability parameter K can be obtained according to the drilling track design parameters of the target well.
In order to design and optimize the corresponding structural parameters of the drilling tool assembly based on the target build rate of the drilling tool assembly accurately, in another embodiment of the method for determining the structural parameters of the drilling tool assembly based on the composite drilling proportion target, the following may be further included:
according to the curved casing screw rod drilling tool external diameter in area among the drilling tool assembly the curved casing screw rod drilling tool external diameter of taking certainly among the drilling tool assembly the stabilizer external diameter of the curved casing screw rod drilling tool upper portion installation of area among the drilling tool assembly the curved casing screw rod drilling tool bent angle of area among the drilling tool assembly drill bit bottom surface is from taking stabilizer middle part position distance to the curved casing screw rod drilling tool of area among the drilling tool assembly the curved casing screw rod drilling tool is from taking stabilizer middle part position to bent angle position distance and the curved casing screw rod drilling tool bent angle position is to taking the stabilizer middle part position distance of curved casing screw rod drilling tool upper portion installation among the drilling tool assembly, confirm the build slope threshold value.
Optionally, the outer diameter D of the structural parameter of the screw drill with the bent shell is setsmOuter diameter D of self-contained stabilizermValue, angle degree gamma value, stabilizer external diameter D mounted on upper portion of screw drill with anglesA value;
substituting the above parameters into equation (4), calculating the build rate threshold αps' value;
αps’=a(Dm-Ds)+b(Db-Dm)+K0 (4)
wherein:
Figure BDA0002675206490000111
Figure BDA0002675206490000112
according to calculated alphaps' value if αps' greater than or equal to alphapsThe existing design parameters are reasonable, and the requirement of the deflecting capacity under the requirement of the existing composite drilling proportion can be met; if α isps' less than alphapsAnd then, the existing design parameters can not meet the requirement of the deflecting capability under the existing composite drilling proportion requirement, and the drilling tool combination parameters need to be further optimized.
In order to accurately design and optimize the corresponding structural parameters, in another embodiment of the method for determining the structural parameters of the drilling tool assembly based on the composite drilling proportion target of the present application, the following may be specifically included:
if the target build rate of the drilling tool assembly exceeds the preset build rate threshold, the bending angle of the screw drilling tool with the bent shell in the drilling tool assembly is increased, the outer diameter of a stabilizer arranged at the upper part of the screw drilling tool with the bent shell in the drilling tool assembly is reduced, and the outer diameter of the stabilizer of the screw drilling tool with the bent shell in the drilling tool assembly is reduced according to a preset numerical value adjustment proportion until the target build rate of the drilling tool assembly does not exceed the preset build rate threshold.
Optionally, when α isps' less than alphapsAnd then changing the parameters according to the following sequence and calculating the target build rate again so as to optimize the structural parameters: a. increasing the bending angle degree gamma; b. reduce stabilizer external diameter D of curved shell screw rod drilling tool upper portion installation in areasA value; c. external diameter D of screw drill with bent shell and self-provided stabilizermThe value is obtained.
Specifically, the angle of bend γ is generally between 0.75 ° and 2.5 °, and increases according to a range of 0.25 °.
The outer diameter D of the stabilizer arranged on the upper part of the screw drill with the bent shellsThe value is not less than the outer diameter D of the screw drill with the bent shellsmThe reduction was carried out with a range of 1 mm.
The outer diameter D of the self-contained stabilizermThe value differs from the drill size by no more than 50mm, decreasing with a range of 1 mm.
In the optimization process, an orthogonal experiment method can also be adopted to calculate a plurality of parameters, and an optimal parameter combination is preferably selected, wherein the orthogonal experiment method is an existing mature method and is not described herein any more.
Optionally, if the above method optimizes the calculated alphaps' not more than or equal to alpha is satisfiedpsThen, the parameter L can be further optimized1、L2、L3And combining, namely changing the parameters according to the following sequence and then calculating the target build rate again to optimize the structural parameters: a. increase L3(ii) a b. Decrease L2(ii) a c. Decrease L1
Optimized L1、L2、L3The combination should conform to the basic structural parameters of the screw drill with the bent shell.
In the optimization process, an orthogonal experiment method can also be adopted to calculate a plurality of parameters, and an optimal parameter combination is preferably selected, wherein the orthogonal experiment method is an existing mature method and is not described herein any more.
Alternatively to this, the first and second parts may,if the optimization is carried out, no gamma and no D are generateds、Dm、L1、L2、L3And combining the drilling data and the drilling data to indicate that the composite drilling proportion requirement is too high or the build rate of the designed borehole track is higher, and adjusting the borehole track design or reducing the composite drilling proportion requirement.
In order to effectively improve the track quality of a borehole, reduce the friction torque of drilling, and ensure the safety and efficiency of drilling operation, the present application provides an embodiment of a device for determining the structural parameters of a drilling tool assembly based on a composite drilling proportion target, which is used for implementing all or part of the method for determining the structural parameters of a drilling tool assembly based on a composite drilling proportion target, and referring to fig. 2, the device for determining the structural parameters of a drilling tool assembly based on a composite drilling proportion target specifically includes the following contents:
and the drilling tool assembly target buildrate determining module 10 is used for determining the target build rate of the drilling tool assembly according to a preset composite drilling proportion target, the length of a target well build section, the composite drilling operation times of the preset target well build section, the expanding rate of the stratum where the target well is located, the directional build rate capability coefficient of the drilling tool assembly and the build rate correction coefficient of the drilling tool assembly.
And the drilling tool assembly structureparameter determining module 20 is used for determining the structure parameters of the drilling tool assembly according to the numerical comparison result of the target build-up rate of the drilling tool assembly and a preset build-up rate threshold value.
From the above description, the device for determining the structural parameters of the drilling tool assembly based on the composite drilling proportion target provided by the embodiment of the application can determine the target build rate of the drilling tool assembly required to complete the target by comprehensively considering the self-deflecting capability of the target well and the drilling tool assembly on the basis of reaching the preset composite drilling proportion target, and accordingly, each structural parameter of the drilling tool assembly is designed and optimized, so that the well track quality can be improved in the drilling operation, the drilling friction torque can be reduced, and the safety and efficient drilling operation in the later stage of a long-section horizontal well can be ensured.
In order to accurately determine the correction coefficient of the deflecting capability of the drilling tool assembly so as to more accurately determine the target deflecting rate of the drilling tool assembly, in an embodiment of the device for determining the structural parameters of the drilling tool assembly based on the composite drilling proportion target, the following contents are further specifically included:
and the drilling tool assembly deflecting capability correction coefficient determining unit is used for determining the drilling tool assembly deflecting capability correction coefficient of the target well according to the ratio of the directional deflecting rates of the drilling tool assemblies of the target well and the reference well corresponding to the target well.
In order to accurately determine the length of the whipstock of the target well so as to more accurately determine the target whipstock of the drilling assembly, in an embodiment of the apparatus for determining structural parameters of a drilling assembly based on a composite drilling proportion target of the present application, the apparatus further includes:
and the target well deflecting section length determining unit is used for determining the deflecting section length of the target well according to the target entering position inclined depth and the deflecting point inclined depth in the borehole orbit design parameters of the target well.
In order to accurately determine the directional deflecting capability coefficient of the drilling tool assembly and to more accurately determine the target deflecting rate of the drilling tool assembly, in an embodiment of the device for determining the structural parameters of the drilling tool assembly based on the composite drilling proportion target of the present application, the following contents are further specifically included:
and the drilling tool assembly directional deflecting capability coefficient determining unit is used for determining the drilling tool assembly directional deflecting capability coefficient according to the distance from the bottom surface of the drill bit to the middle position of the screw drilling tool with the bent shell, the distance from the middle position of the screw drilling tool with the bent shell to the bend angle position, and the distance from the bend angle position of the screw drilling tool with the bent shell to the middle position of the stabilizer arranged on the upper part of the screw drilling tool with the bent shell.
In order to accurately determine the hole enlargement rate of the formation where the target well is located, so as to more accurately determine the target build-up rate of the drilling tool assembly, in an embodiment of the device for determining the structural parameters of the drilling tool assembly based on the composite drilling proportion target, the device further includes the following components:
and the first expansion rate determining unit is used for determining the expansion rate of the stratum where the target well is located according to the composite drilling well diameter curve data of the reference well deflecting section corresponding to the target well.
In order to accurately determine the hole enlargement rate of the formation where the target well is located, so as to more accurately determine the target build-up rate of the drilling tool assembly, in an embodiment of the device for determining the structural parameters of the drilling tool assembly based on the composite drilling proportion target, the device further includes the following components:
and the second expansion rate determining unit is used for determining the expansion rate of the stratum of the target well according to the numerical comparison result of stratum rock drillability parameters of the stratum of the target well and a preset drillability parameter threshold value, the distance from the bottom surface of a drill bit in the drilling tool assembly to the middle position of the screw drilling tool with the bent shell, the distance from the middle position of the screw drilling tool with the bent shell to the bend angle position of the screw drilling tool with the bent shell in the drilling tool assembly and the outer diameter of the drill bit in the drilling tool assembly.
In order to design and optimize the corresponding structural parameters of the drilling tool assembly based on the target build rate of the drilling tool assembly, an embodiment of the device for determining the structural parameters of the drilling tool assembly based on the composite drilling proportion target further includes the following contents:
the modeling rate threshold value determining unit is used for determining the modeling rate threshold value according to the outer diameter of a shell screw drilling tool with a bent part in the drilling tool assembly, the outer diameter of a stabilizer installed on the upper portion of the shell screw drilling tool with a bent part in the drilling tool assembly, the bend angle of the shell screw drilling tool with a bent part in the drilling tool assembly, the distance from the bottom surface of a drill bit to the middle position of the shell screw drilling tool with a bent part in the drilling tool assembly, the distance from the middle position of the shell screw drilling tool with a bent part in the drilling tool assembly to the middle position of the stabilizer installed on the upper portion of the shell screw drilling tool with a bent part in the drilling tool assembly.
In order to accurately design and optimize the corresponding structural parameters, in an embodiment of the device for determining the structural parameters of the drilling tool assembly based on the composite drilling proportion target of the present application, referring to fig. 3, themodule 20 for determining the structural parameters of the drilling tool assembly includes:
and the drilling tool assembly structureparameter optimizing unit 21 is configured to increase a bending angle of the helical drilling tool with the bent housing in the drilling tool assembly, decrease an outer diameter of a stabilizer mounted on an upper portion of the helical drilling tool with the bent housing in the drilling tool assembly, and decrease an outer diameter of the helical drilling tool with the bent housing in the drilling tool assembly from the stabilizer according to a preset numerical value adjustment ratio if the target build rate of the drilling tool assembly exceeds the preset build rate threshold, until the target build rate of the drilling tool assembly does not exceed the preset build rate threshold.
In order to further explain the present solution, the present application further provides a specific application example of the method for determining the structural parameters of the drilling tool assembly based on the composite drilling proportion target by using the drilling tool assembly structural parameter determining apparatus based on the composite drilling proportion target, which specifically includes the following contents:
(1) obtaining the drillability parameter K of the stratum rock of the target well and the lambda requirement of the composite drilling proportion
The drilling engineering design of a target well usually includes the lithology and drillability level of the formation to be drilled. The rock drillability parameter K may be obtained from a drilling design of the target well.
The composite drilling ratio lambda can be obtained by drilling design and can also be obtained according to the requirements of an operating party, and is generally below 50%, and the longer the horizontal well section of the target well is, the higher the requirement on the composite drilling ratio lambda is.
(2) Obtaining a design wellbore trajectory parameter for a target well
Referring to fig. 4, the drilling project plan for a typical target well includes the contents of the wellbore trajectory plan. From the wellbore trajectory design, the geoslinal depth D including the position of the kick-off point can be obtainedKOPTotal slant depth D of target wellBDesigned maximum build-up rate alphaDDepth of target entry point DAAnd a horizontal well section stabilizing angle theta. According to the provided window entry point slant depth DAAnd deflecting point slant depth DKOPCalculating the length L of the deflecting segmentBuildIs specifically LBuild=DA-DKOP(ii) a According to LBuildCalculating the comprehensive manufactured slope value alphazAnd is specifically alphaz=30θ/LBuild. Typically calculated alphazIs less than or equal to alphaDIn relation to the type of track profile envisaged, e.g. the profile of the track in the deflecting section concerned is a circular arc profile, alphazShould be equal to alphaDIf the cross section is not circular arc, then αzShould be less than alphaD
(3) Predicting the number of composite drilling n
In deviated drilling operations, the composite drilling is generally interspersed throughout the deviated drilling operation, generally in the following ways: one is that the drilling is regularly inserted in the directional operation, for example, after each directional well section is a certain length or proportion of the composite drilling, the mode generally needs to have clear knowledge of the deflecting capability of the drilling tool assembly and the actual stratum trend, otherwise the drilling well track is easy to miss; the second mode is that a certain composite drilling footage is provided at part of the well section, such as specially designed one or more steady-slope sections or low build-up rate adjustment well sections, and the like, which are usually more, and the temporary adjustment of the well track caused by factors such as stratum change or geological change in the actual drilling operation is mainly considered; a third way is to combine the first and second. For n of the first kind1It can be well predicted that the length of the corresponding interval is divided by the length of the regularly oriented interval, n for the second type2The value of n is the number of the predicted well path adjusting well sections; for n of the third type, the first n may be combined1And a second kind n2The calculation methods are respectively predicted and then summed.
(4) Calculating build-up rate alpha required by compounding of screw drill with bent shellpsMinimum value
The oblique section area curved shell screw rod drilling tool integrated configuration generally does: a drill bit, a screw drilling tool with a bent shell, a stabilizer, a non-magnetic drill collar (including a measurement while drilling instrument), a plurality of drill collars, a plurality of drill rods, a plurality of weighting drill rods, a plurality of drill collars and a plurality of drill rods are shown in figure 5. Wherein the outer diameter D of the drill bitb(ii) a Screw drill external diameter D with bent shellsmScrew drill with bent shell and self-provided stabilizer outer diameter DmDegree of bend angleGamma; stabilizer outer diameter Ds(ii) a Distance L from bottom surface of drill bit to middle position of screw drill with bent shell1(ii) a Distance L from middle position with stabilizer to bent angle position of screw drilling tool with bent shell2(ii) a Distance L from middle position with stabilizer to bent angle position of screw drilling tool with bent shell2(ii) a Distance L from bent position of bent shell screw drill to middle position of stabilizer mounted on upper portion of bent screw drill3
The stabilizer mounted on the upper part of the angle screw drill may not exist in the partial drill assembly, as shown in fig. 6, when DsTaking the value as the outer diameter D of the screw drill with the bent shellsmAt this time L3The length of the screw drill with the bent shell is generally related, and the value is between 7 and 12m, and is usually 8 m.
Calculating the build-up rate alpha required by the compounding of the screw drill with the bent shell by adopting the following formulapsMinimum value:
τLBuildαps2+nbDbL1αz-(τ+λ)LBuildαpsαz=0 (1)
wherein: tau is a correction coefficient of deflecting capability of the drilling tool assembly, namely a proportional relation between the actual directional deflecting rate of the screw drilling tool assembly with the bent shell and the designed directional deflecting rate. Obtaining the target well according to the following mode, if an adjacent well with similar well body structure and stratum conditions exists at the periphery of the target well, carrying out reverse calculation according to the drilling proportion of a screw drilling tool with a bent shell at the deflecting section of the adjacent well, the designed directional deflecting capability of the drilling tool and the actual directional deflecting capability of the drilling tool; and if the periphery of the target well does not store the adjacent well with the similar well body structure and the similar stratum condition, the value is 0.8-1.0.
②DbThe value is determined for the outer diameter of the drill bit.
And b, calculating coefficients of the directional deflecting capacity of the screw drill assembly with the bent shell, specifically:
Figure BDA0002675206490000161
L1、L2、L3is a structural parameter of the screw drill, L1The distance from the bottom surface of the drill bit to the middle position of the screw drill with the bent shell is 0.6-1.2 m, and is usually 0.85 m; l is2The distance from the middle position with the stabilizer to the bent angle position of the screw drill with the bent shell is 0.3-0.8 m, and is usually 0.5 m; l is3The distance from the bent angle position of the screw drilling tool with the bent shell to the middle position of the stabilizer mounted on the upper portion of the screw drilling tool with the bent shell is 4-15 m, and is usually 8 m. Further, L1、L2、L3Usually not as an optimizable term, it is determined directly from the preselected model of the progressive cavity drill with the curved housing.
And fourthly, the diameter expansion rate of the drilled stratum. When the composite drilling operation of the screw drilling tool with the bent shell is adopted, the center of the drill bit can deviate from the axis of the drilling tool due to the bending angle in the drilling tool assembly, and finally the hole size has the hole expansion rate compared with the hole without the screw drilling tool with the shell. Usually, the hole diameter parameters can only be measured after the drilling operation is completed, and cannot be monitored in real time, so that the hole diameter parameters can only be obtained by adopting a prediction method. The following prediction method was used: if adjacent wells with similar well body structures and stratum conditions exist around the target well, acquiring a composite drilling well diameter curve of an adjacent well deflecting section, and assigning a value to the average hole enlargement rate; if the adjacent well with similar well structure and stratum condition is not stored around the target well, the following method is adopted for calculation:
=0.017453γμ(L1+L2)/Db (3)
the mu is between 0.5 and 1.2, and the following method is adopted to determine that the mu is between 1.0 and 1.2 if the extreme value K of the drillability of the stratum rock is below 3; if the extreme value K of the drillability of the stratum rock is between 3 and 6, mu is between 0.8 and 1.0; if the extreme value K of the drillability of the stratum rock is between 6 and 8, mu is between 0.7 and 0.8; if the extreme value K of the drillability of the stratum rock is more than 8, mu is between 0.5 and 0.7.
The solution of the formula (1) can be solved by adopting the existing solution method of the unitary quadratic equation, and a real numerical positive value solution is obtained.
The derivation of equation (1) is as follows:
in directional drilling operation, generally, in order to improve the condition of a drilling shaft and avoid the drilling sticking risk caused by the long-time static pipe column of the directional drilling, after each certain well section of the directional drilling is subjected to sliding drilling, certain well sections are compositely drilled, for example, certain well sections are compositely drilled within the length footage range (generally, the length is 9-9.5 m) of each pipe column (mainly, a drill pipe, and the lower part is directly called as the drill pipe), and the length ratio L of the composite well sections is generally greater than that L of the composite well sections1Is large. But the selection of a particular composite wellbore section length is lacking. The research of the scheme shows that although the build-up rate of the composite drilling well section is low, even no build-up rate or the effect of reducing the build-up rate is achieved, the composite drilling well can form a certain expanded well section, and the build-up rate of the drilling tool assembly is increased when subsequent orientation is achieved after expansion. This means that when the composite drilling operation is started to be changed into the directional drilling operation, the self-contained stabilizer of the helical drill with the bent shell can increase the build rate due to the expanding action of the composite drilling operation, but the influence is only L1The length of the drill rod is equal to the length of the drill rod, the effect disappears after the screw rod drill with the bent shell enters a directional well section from the stabilizer, and the well inclination angle theta increased after single composite drillingnComprises the following steps:
θn=bDbL1 (4)
the length of the directional well section saved by the method is as follows:
Figure BDA0002675206490000171
composite drilling ratio lambda increased by changing composite drilling to directional drilling1Then it is:
Figure BDA0002675206490000172
in actual drilling operations, the designed wellbore trajectory is typically smaller than the actual deflecting capability of the drilling assembly, taking into account actual formation variations, tool build rate variations, uncertainties in the actual conditions of the drilled wellbore, which results in an overall deflecting capabilityThe sections have a certain composite drilling proportion. Regardless of the rate of composite drilling at each drill pipe length footage, the composite drilling ratio λ is due to the design of slightly lower build rates2The calculation formula is as follows:
Figure BDA0002675206490000173
the proportion of the combined drilling well after the combination is as follows:
λ=λ12 (8)
namely:
Figure BDA0002675206490000174
further variations may result in:
τLBuildαps2+nbDbL1αz-(τ+λ)LBuildαpsαz=0 (10)
(5) optimization of structural parameters of deflecting section screw drill tool assembly with bent shell
Alpha calculated according to the previous steppsAnd optimizing the structural parameters of the screw drill assembly with the bent shell at the minimum value. The specific method comprises the following steps:
presetting structural parameter outer diameter D of screw drill with bent shellsmOuter diameter D of self-contained stabilizermThe value, the bending angle degree gamma value and the preset outer diameter D of the stabilizer arranged at the upper part of the screw drill with the bent shellsThe value is obtained.
② substituting the above parameters into the formula (11), calculating alphaps' value.
αps’=a(Dm-Ds)+b(Db-Dm)+K0 (11)
Wherein:
Figure BDA0002675206490000181
Figure BDA0002675206490000182
according to calculated alphaps' value if αps' greater than or equal to alphapsThe existing design parameters are reasonable, and the requirement of the deflecting capacity under the requirement of the existing composite drilling proportion can be met; if α isps' less than alphapsAnd then, the existing design parameters can not meet the requirement of the deflecting capability under the existing composite drilling proportion requirement, and the drilling tool combination parameters need to be further optimized.
③ when alphaps' less than alphapsAnd changing the parameters according to the following sequence and returning to the second step for calculation and optimization. a. Increasing the bending angle degree gamma; b. reduce stabilizer external diameter D of taking bent angle screw rod drilling tool upper portion installationsA value; c. reducing the outer diameter D of the stabilizermThe value is obtained.
The angle of bend γ is typically between 0.75 ° and 2.5 ° and increases by a step of 0.25 °.
Stabilizer external diameter D installed on upper part of screw drill with bending anglesThe value is not less than the outer diameter D of the screw drill with the bent shellsmThe reduction was carried out with a range of 1 mm.
The outer diameter D of the self-contained stabilizermThe value differs from the drill size by no more than 50mm, decreasing with a range of 1 mm.
In the optimization process, an orthogonal experiment method can also be adopted to calculate a plurality of parameters, and an optimal parameter combination is preferably selected, wherein the orthogonal experiment method is an existing mature method and is not described herein any more.
Fourthly, optimizing the calculated alpha by the methodps' not more than or equal to alpha is satisfiedpsThen, the parameter L can be further optimized1、L2、L3And combining, changing parameters according to the following sequence, and returning to the second step of calculation for optimization: a. increase L3(ii) a b. Decrease L2(ii) a c. Decrease L1
Optimized L1、L2、L3Basic knot of screw drill with bent shell to be combinedAnd (4) forming parameters.
In the optimization process, an orthogonal experiment method can also be adopted to calculate a plurality of parameters, and an optimal parameter combination is preferably selected, wherein the orthogonal experiment method is an existing mature method and is not described herein any more.
After the optimization, no gamma and D exists、Dm、L1、L2、L3And combining the drilling data and the drilling data to indicate that the composite drilling proportion requirement is too high or the build rate of the designed borehole track is higher, and adjusting the borehole track design or reducing the composite drilling proportion requirement.
By the method, the design method of the bottom drilling tool combination of the deflecting section of the horizontal well considering the requirement of the composite drilling proportion can meet the requirement of the drilling tool combination design of the long horizontal well section horizontal well requiring the deflecting section to have a certain requirement of the composite drilling proportion for improving the track quality of a well hole. The design method comprehensively considers the influence of factors such as the composite drilling proportion of the deflecting section of the horizontal well, the hole expanding rate, the deflecting capacity of the drilling tool assembly and the like on the design of the drilling tool assembly, is more accurate compared with the existing design method depending on drilling experience, can better guide the drilling operation, and improves the drilling operation efficiency of the horizontal well with a long horizontal well section.
In terms of hardware, in order to effectively improve the track quality of a borehole, reduce the drilling friction torque and ensure the safety and efficiency of drilling operation, the present application provides an embodiment of an electronic device for implementing all or part of the method for determining the drilling tool assembly structural parameters based on the composite drilling proportion target, where the electronic device specifically includes the following contents:
a processor (processor), a memory (memory), a communication Interface (Communications Interface), and a bus; the processor, the memory and the communication interface complete mutual communication through the bus; the communication interface is used for realizing information transmission between the drilling tool assembly structure parameter determination device based on the composite drilling proportion target and relevant equipment such as a core service system, a user terminal, a relevant database and the like; the logic controller may be a desktop computer, a tablet computer, a mobile terminal, and the like, but the embodiment is not limited thereto. In this embodiment, the logic controller may be implemented with reference to the embodiment of the method for determining a structural parameter of a drilling tool assembly based on a composite drilling target ratio and the embodiment of the device for determining a structural parameter of a drilling tool assembly based on a composite drilling target ratio in the embodiments, and the contents thereof are incorporated herein, and repeated details are not repeated.
It is understood that the user terminal may include a smart phone, a tablet electronic device, a network set-top box, a portable computer, a desktop computer, a Personal Digital Assistant (PDA), an in-vehicle device, a smart wearable device, and the like. Wherein, intelligence wearing equipment can include intelligent glasses, intelligent wrist-watch, intelligent bracelet etc..
In practical applications, part of the method for determining the structural parameters of the drilling tool assembly based on the composite drilling proportion target can be executed on the electronic equipment side as described above, and all the operations can be completed in the client equipment. The selection may be specifically performed according to the processing capability of the client device, the limitation of the user usage scenario, and the like. This is not a limitation of the present application. The client device may further include a processor if all operations are performed in the client device.
The client device may have a communication module (i.e., a communication unit), and may be communicatively connected to a remote server to implement data transmission with the server. The server may include a server on the task scheduling center side, and in other implementation scenarios, the server may also include a server on an intermediate platform, for example, a server on a third-party server platform that is communicatively linked to the task scheduling center server. The server may include a single computer device, or may include a server cluster formed by a plurality of servers, or a server structure of a distributed apparatus.
Fig. 7 is a schematic block diagram of a system configuration of anelectronic device 9600 according to an embodiment of the present application. As shown in fig. 7, theelectronic device 9600 can include acentral processor 9100 and amemory 9140; thememory 9140 is coupled to thecentral processor 9100. Notably, this fig. 7 is exemplary; other types of structures may also be used in addition to or in place of the structure to implement telecommunications or other functions.
In one embodiment, the method functions of determining the structural parameters of the drilling assembly based on the composite drilling ratio target may be integrated into thecentral processor 9100. Thecentral processor 9100 may be configured to control as follows:
step S101: and determining the target deflecting rate of the drilling tool assembly according to a preset composite drilling proportion target, the length of the deflecting section of the target well, the composite drilling operation times of the deflecting section of the preset target well, the expanding rate of the stratum where the target well is located, the directional deflecting capability coefficient of the drilling tool assembly and the deflecting capability correction coefficient of the drilling tool assembly.
Step S102: and determining the structural parameters of the drilling tool assembly according to the numerical comparison result of the target build-up rate of the drilling tool assembly and a preset build-up rate threshold.
From the above description, the electronic device provided in the embodiment of the present application determines the target build rate of the drilling tool assembly required to complete the target by comprehensively considering the self-deflecting capability of the target well and the drilling tool assembly on the basis of achieving the preset composite drilling proportion target, and accordingly designs and optimizes various structural parameters of the drilling tool assembly, so that the drilling operation performed by the electronic device can improve the track quality of the well bore, reduce the drilling friction torque, and ensure the safe and efficient drilling operation at the later stage of the long-well section horizontal well.
In another embodiment, the drilling tool assembly structure parameter determination device based on the composite drilling proportion target can be configured separately from thecentral processor 9100, for example, the drilling tool assembly structure parameter determination device based on the composite drilling proportion target can be configured as a chip connected with thecentral processor 9100, and the function of the drilling tool assembly structure parameter determination method based on the composite drilling proportion target can be realized through the control of the central processor.
As shown in fig. 7, theelectronic device 9600 may further include: acommunication module 9110, aninput unit 9120, anaudio processor 9130, adisplay 9160, and apower supply 9170. It is noted that theelectronic device 9600 also does not necessarily include all of the components shown in fig. 7; further, theelectronic device 9600 may further include components not shown in fig. 7, which may be referred to in the art.
As shown in fig. 7, acentral processor 9100, sometimes referred to as a controller or operational control, can include a microprocessor or other processor device and/or logic device, whichcentral processor 9100 receives input and controls the operation of the various components of theelectronic device 9600.
Thememory 9140 can be, for example, one or more of a buffer, a flash memory, a hard drive, a removable media, a volatile memory, a non-volatile memory, or other suitable device. The information relating to the failure may be stored, and a program for executing the information may be stored. And thecentral processing unit 9100 can execute the program stored in thememory 9140 to realize information storage or processing, or the like.
Theinput unit 9120 provides input to thecentral processor 9100. Theinput unit 9120 is, for example, a key or a touch input device.Power supply 9170 is used to provide power toelectronic device 9600. Thedisplay 9160 is used for displaying display objects such as images and characters. The display may be, for example, an LCD display, but is not limited thereto.
Thememory 9140 can be a solid state memory, e.g., Read Only Memory (ROM), Random Access Memory (RAM), a SIM card, or the like. There may also be a memory that holds information even when power is off, can be selectively erased, and is provided with more data, an example of which is sometimes called an EPROM or the like. Thememory 9140 could also be some other type of device.Memory 9140 includes a buffer memory 9141 (sometimes referred to as a buffer). Thememory 9140 may include an application/function storage portion 9142, the application/function storage portion 9142 being used for storing application programs and function programs or for executing a flow of operations of theelectronic device 9600 by thecentral processor 9100.
Thememory 9140 can also include adata store 9143, thedata store 9143 being used to store data, such as contacts, digital data, pictures, sounds, and/or any other data used by an electronic device. Thedriver storage portion 9144 of thememory 9140 may include various drivers for the electronic device for communication functions and/or for performing other functions of the electronic device (e.g., messaging applications, contact book applications, etc.).
Thecommunication module 9110 is a transmitter/receiver 9110 that transmits and receives signals via anantenna 9111. The communication module (transmitter/receiver) 9110 is coupled to thecentral processor 9100 to provide input signals and receive output signals, which may be the same as in the case of a conventional mobile communication terminal.
Based on different communication technologies, a plurality ofcommunication modules 9110, such as a cellular network module, a bluetooth module, and/or a wireless local area network module, may be provided in the same electronic device. The communication module (transmitter/receiver) 9110 is also coupled to aspeaker 9131 and amicrophone 9132 via anaudio processor 9130 to provide audio output via thespeaker 9131 and receive audio input from themicrophone 9132, thereby implementing ordinary telecommunications functions. Theaudio processor 9130 may include any suitable buffers, decoders, amplifiers and so forth. In addition, theaudio processor 9130 is also coupled to thecentral processor 9100, thereby enabling recording locally through themicrophone 9132 and enabling locally stored sounds to be played through thespeaker 9131.
Embodiments of the present application further provide a computer-readable storage medium capable of implementing all steps of the method for determining a drill tool assembly structure parameter based on a composite drilling proportion target, where the execution subject of the method is a server or a client, and the computer-readable storage medium stores a computer program, and when the computer program is executed by a processor, the computer program implements all steps of the method for determining a drill tool assembly structure parameter based on a composite drilling proportion target, where the execution subject of the computer program implements, for example, the following steps:
step S101: and determining the target deflecting rate of the drilling tool assembly according to a preset composite drilling proportion target, the length of the deflecting section of the target well, the composite drilling operation times of the deflecting section of the preset target well, the expanding rate of the stratum where the target well is located, the directional deflecting capability coefficient of the drilling tool assembly and the deflecting capability correction coefficient of the drilling tool assembly.
Step S102: and determining the structural parameters of the drilling tool assembly according to the numerical comparison result of the target build-up rate of the drilling tool assembly and a preset build-up rate threshold.
As can be seen from the above description, the computer-readable storage medium provided in the embodiment of the present application determines the target build rate of the drilling tool assembly required to complete the target by comprehensively considering the self-deflecting capabilities of the target well and the drilling tool assembly on the basis of achieving the preset composite drilling proportion target, and designs and optimizes various structural parameters of the drilling tool assembly according to the target build rate, so that the drilling operation performed by the computer-readable storage medium can improve the track quality of the well bore, reduce the frictional resistance torque of the drilling well, and ensure the safe and efficient drilling operation in the later stage of the long-section horizontal well.
As will be appreciated by one skilled in the art, embodiments of the present invention may be provided as a method, apparatus, or computer program product. Accordingly, the present invention may take the form of an entirely hardware embodiment, an entirely software embodiment or an embodiment combining software and hardware aspects. Furthermore, the present invention may take the form of a computer program product embodied on one or more computer-usable storage media (including, but not limited to, disk storage, CD-ROM, optical storage, and the like) having computer-usable program code embodied therein.
The present invention is described with reference to flowchart illustrations and/or block diagrams of methods, apparatus (devices), and computer program products according to embodiments of the invention. It will be understood that each flow and/or block of the flow diagrams and/or block diagrams, and combinations of flows and/or blocks in the flow diagrams and/or block diagrams, can be implemented by computer program instructions. These computer program instructions may be provided to a processor of a general purpose computer, special purpose computer, embedded processor, or other programmable data processing apparatus to produce a machine, such that the instructions, which execute via the processor of the computer or other programmable data processing apparatus, create means for implementing the functions specified in the flowchart flow or flows and/or block diagram block or blocks.
These computer program instructions may also be stored in a computer-readable memory that can direct a computer or other programmable data processing apparatus to function in a particular manner, such that the instructions stored in the computer-readable memory produce an article of manufacture including instruction means which implement the function specified in the flowchart flow or flows and/or block diagram block or blocks.
These computer program instructions may also be loaded onto a computer or other programmable data processing apparatus to cause a series of operational steps to be performed on the computer or other programmable apparatus to produce a computer implemented process such that the instructions which execute on the computer or other programmable apparatus provide steps for implementing the functions specified in the flowchart flow or flows and/or block diagram block or blocks.
The principle and the implementation mode of the invention are explained by applying specific embodiments in the invention, and the description of the embodiments is only used for helping to understand the method and the core idea of the invention; meanwhile, for a person skilled in the art, according to the idea of the present invention, there may be variations in the specific embodiments and the application scope, and in summary, the content of the present specification should not be construed as a limitation to the present invention.

Claims (18)

1. A method for determining drilling tool assembly structural parameters based on a composite drilling proportion target, the method comprising:
determining a target deflecting rate of the drilling tool assembly according to a preset composite drilling proportion target, the length of a deflecting section of a target well, the composite drilling operation times of the deflecting section of the preset target well, the expanding rate of a stratum where the target well is located, a directional deflecting capability coefficient of the drilling tool assembly and a deflecting capability correction coefficient of the drilling tool assembly;
and determining the structural parameters of the drilling tool assembly according to the numerical comparison result of the target build-up rate of the drilling tool assembly and a preset build-up rate threshold.
2. The method of determining structural parameters of a drilling assembly based on a composite drill proportion target as claimed in claim 1, wherein prior to said determining a target build rate of the drilling assembly, comprising:
and determining a drilling tool assembly deflecting capacity correction coefficient of the target well according to the ratio of the directional deflecting rates of the drilling tool assemblies of the target well and the reference well corresponding to the target well.
3. The method of determining structural parameters of a drilling assembly based on a composite drill proportion target as claimed in claim 1, wherein prior to said determining a target build rate of the drilling assembly, comprising:
and determining the length of the deflecting section of the target well according to the target entering point position deflecting depth and the deflecting point deflecting depth in the borehole orbit design parameters of the target well.
4. The method of determining structural parameters of a drilling assembly based on a composite drill proportion target as claimed in claim 1, wherein prior to said determining a target build rate of the drilling assembly, comprising:
and determining the directional deflecting capacity coefficient of the drilling tool assembly according to the distance from the bottom surface of the drill bit to the middle position of the screw drilling tool with the bent shell, the distance from the middle position of the screw drilling tool with the bent shell to the bent angle position and the distance from the middle position of the screw drilling tool with the bent shell to the middle position of the stabilizer mounted on the upper part of the screw drilling tool with the bent shell.
5. The method of determining structural parameters of a drilling assembly based on a composite drill proportion target as claimed in claim 1, wherein prior to said determining a target build rate of the drilling assembly, comprising:
and determining the hole expansion rate of the stratum where the target well is located according to the composite drilling hole diameter curve data of the reference well deflecting section corresponding to the target well.
6. The method of determining structural parameters of a drilling assembly based on a composite drill proportion target as claimed in claim 1, wherein prior to said determining a target build rate of the drilling assembly, comprising:
and determining the hole expansion rate of the stratum of the target well according to the numerical comparison result of the stratum rock drillability parameter of the stratum of the target well and a preset drillability parameter threshold value, the distance from the bottom surface of a drill bit in the drilling tool assembly to the middle position of the screw drilling tool with the bent shell, the distance from the middle position of the screw drilling tool with the bent shell in the drilling tool assembly to the bent angle position and the outer diameter of the drill bit in the drilling tool assembly.
7. The method of determining structural parameters of a drilling assembly based on a composite drill proportion target of claim 1, wherein prior to the determining of the structural parameters of the drilling assembly, comprising:
according to the curved casing screw rod drilling tool external diameter in area among the drilling tool assembly the curved casing screw rod drilling tool in area among the drilling tool assembly is from taking the stabilizer external diameter, the stabilizer external diameter of the curved casing screw rod drilling tool upper portion installation in area among the drilling tool assembly the curved casing screw rod drilling tool bent angle in area among the drilling tool assembly drill bit bottom surface to the curved casing screw rod drilling tool in area from taking stabilizer middle part position distance, the curved casing screw rod drilling tool in the drilling tool assembly is from taking stabilizer middle part position to bent angle position distance and the curved casing screw rod drilling tool bent angle position is to the stabilizer middle part position distance of the curved casing screw rod drilling tool upper portion installation in area among the drilling tool assembly, confirm the slope threshold value of making.
8. The method of claim 1, wherein determining the structural parameters of the drilling assembly based on the numerical comparison of the target build rate of the drilling assembly to a preset build rate threshold comprises:
if the target build-up rate of the drilling tool assembly exceeds the preset build-up rate threshold, increasing the bending angle of the screw drilling tool with the bent shell in the drilling tool assembly, reducing the outer diameter of a stabilizer arranged at the upper part of the screw drilling tool with the bent shell in the drilling tool assembly and reducing the outer diameter of a self stabilizer in the drilling tool assembly according to a preset numerical value adjustment proportion until the target build-up rate of the drilling tool assembly does not exceed the preset build-up rate threshold.
9. A drilling tool assembly configuration parameter determination apparatus based on a composite drilling ratio target, comprising:
the drilling tool combination target deflecting rate determining module is used for determining the target deflecting rate of the drilling tool combination according to a preset composite drilling proportion target, the length of a deflecting section of a target well, the composite drilling operation times of the deflecting section of the preset target well, the expanding rate of a stratum where the target well is located, the directional deflecting capability coefficient of the drilling tool combination and the deflecting capability correction coefficient of the drilling tool combination;
and the drilling tool assembly structure parameter determining module is used for determining the structure parameters of the drilling tool assembly according to the numerical comparison result of the target build-up rate of the drilling tool assembly and a preset build-up rate threshold value.
10. The apparatus of claim 9, further comprising:
and the drilling tool assembly deflecting capability correction coefficient determining unit is used for determining the drilling tool assembly deflecting capability correction coefficient of the target well according to the ratio of the directional deflecting rates of the drilling tool assemblies of the target well and the reference well corresponding to the target well.
11. The apparatus of claim 9, further comprising:
and the target well deflecting section length determining unit is used for determining the deflecting section length of the target well according to the target entering position inclined depth and the deflecting point inclined depth in the borehole orbit design parameters of the target well.
12. The apparatus of claim 9, further comprising:
and the drilling tool assembly directional deflecting capability coefficient determining unit is used for determining the drilling tool assembly directional deflecting capability coefficient according to the distance from the bottom surface of the drill bit to the middle position of the screw drilling tool with the bent shell, the distance from the middle position of the screw drilling tool with the bent shell to the bend angle position, and the distance from the bend angle position of the screw drilling tool with the bent shell to the middle position of the stabilizer arranged on the upper part of the screw drilling tool with the bent shell.
13. The apparatus of claim 9, further comprising:
and the first expansion rate determining unit is used for determining the expansion rate of the stratum where the target well is located according to the composite drilling well diameter curve data of the reference well deflecting section corresponding to the target well.
14. The apparatus of claim 9, further comprising:
and the second expansion rate determining unit is used for determining the expansion rate of the stratum of the target well according to the numerical comparison result of stratum rock drillability parameters of the stratum of the target well and a preset drillability parameter threshold value, the distance from the bottom surface of a drill bit in the drilling tool assembly to the middle position of the screw drilling tool with the bent shell, the distance from the middle position of the screw drilling tool with the bent shell to the bend angle position of the screw drilling tool with the bent shell in the drilling tool assembly and the outer diameter of the drill bit in the drilling tool assembly.
15. The apparatus of claim 9, further comprising:
the modeling rate threshold value determining unit is used for determining the modeling rate threshold value according to the outer diameter of a bent shell screw drilling tool in the drilling tool assembly, the outer diameter of the bent shell screw drilling tool in the drilling tool assembly, the outer diameter of a stabilizer installed on the upper portion of the bent shell screw drilling tool in the drilling tool assembly, the bent angle of the bent shell screw drilling tool in the drilling tool assembly, the distance from the bottom surface of a drill bit to the middle position of the bent shell screw drilling tool in the drilling tool assembly, the distance from the middle position of the bent shell screw drilling tool in the drilling tool assembly to the bent position and the distance from the bent position of the bent shell screw drilling tool in the drilling tool assembly to the middle position of the stabilizer installed on the upper portion of the bent shell screw drilling tool.
16. The apparatus of claim 9, wherein the drilling tool assembly structural parameter determination module comprises:
and the drilling tool assembly structure parameter optimization unit is used for increasing the bending angle of the screw drilling tool with the bent shell in the drilling tool assembly, reducing the outer diameter of a stabilizer arranged at the upper part of the screw drilling tool with the bent shell in the drilling tool assembly and reducing the outer diameter of the stabilizer of the screw drilling tool with the bent shell in the drilling tool assembly according to a preset numerical value adjustment proportion if the target build slope of the drilling tool assembly exceeds the preset build slope threshold value until the target build slope of the drilling tool assembly does not exceed the preset build slope threshold value.
17. An electronic device comprising a memory, a processor and a computer program stored on the memory and executable on the processor, wherein the processor when executing the program performs the steps of the method for determining a parameter of a drill tool assembly structure based on a composite drilling ratio target of any of claims 1 to 8.
18. A computer readable storage medium having stored thereon a computer program, wherein the computer program when executed by a processor implements the steps of the method for determining a structural parameter of a drilling assembly based on a composite drill proportion target of any of claims 1 to 8.
CN202010945632.0A2020-09-102020-09-10Drilling tool combination structure parameter determination method based on composite drilling proportion targetActiveCN112065281B (en)

Priority Applications (1)

Application NumberPriority DateFiling DateTitle
CN202010945632.0ACN112065281B (en)2020-09-102020-09-10Drilling tool combination structure parameter determination method based on composite drilling proportion target

Applications Claiming Priority (1)

Application NumberPriority DateFiling DateTitle
CN202010945632.0ACN112065281B (en)2020-09-102020-09-10Drilling tool combination structure parameter determination method based on composite drilling proportion target

Publications (2)

Publication NumberPublication Date
CN112065281Atrue CN112065281A (en)2020-12-11
CN112065281B CN112065281B (en)2022-06-03

Family

ID=73663452

Family Applications (1)

Application NumberTitlePriority DateFiling Date
CN202010945632.0AActiveCN112065281B (en)2020-09-102020-09-10Drilling tool combination structure parameter determination method based on composite drilling proportion target

Country Status (1)

CountryLink
CN (1)CN112065281B (en)

Cited By (1)

* Cited by examiner, † Cited by third party
Publication numberPriority datePublication dateAssigneeTitle
CN115680602A (en)*2021-07-302023-02-03中石化石油工程技术服务有限公司 A method for optimal design of borehole trajectory based on formation lithology

Citations (9)

* Cited by examiner, † Cited by third party
Publication numberPriority datePublication dateAssigneeTitle
RU2015316C1 (en)*1991-05-311994-06-30Моисей Герцович ЭскинOrientation system of devices for directional drilling of horizontal and very inclined wells
CN101457635A (en)*2008-12-262009-06-17中国海洋石油总公司Design method for rotating guide drilling tool
CN102425374A (en)*2011-11-212012-04-25中国石油集团钻井工程技术研究院Borehole track control method
CN102493766A (en)*2011-11-302012-06-13中国石油集团钻井工程技术研究院Borehole track control method and borehole track control system
CN103883255A (en)*2013-06-242014-06-25中国石油化工股份有限公司Horizontal well landing path control method based on continuously-oriented well drilling
CN104131782A (en)*2014-07-102014-11-05上海大学Drifting bottom hole assembly determining method
CN104481400A (en)*2014-12-102015-04-01中国石油化工股份有限公司Three-dimensional (3D) horizontal well borehole track controlling method
CN105221071A (en)*2015-09-232016-01-06中国石油大学(华东)Horizontal well inverted drill string unitized designing method
CN110500034A (en)*2019-08-302019-11-26中国石油集团川庆钻探工程有限公司Method for establishing neural network model, determining torsional pendulum drill string parameters and directionally drilling

Patent Citations (9)

* Cited by examiner, † Cited by third party
Publication numberPriority datePublication dateAssigneeTitle
RU2015316C1 (en)*1991-05-311994-06-30Моисей Герцович ЭскинOrientation system of devices for directional drilling of horizontal and very inclined wells
CN101457635A (en)*2008-12-262009-06-17中国海洋石油总公司Design method for rotating guide drilling tool
CN102425374A (en)*2011-11-212012-04-25中国石油集团钻井工程技术研究院Borehole track control method
CN102493766A (en)*2011-11-302012-06-13中国石油集团钻井工程技术研究院Borehole track control method and borehole track control system
CN103883255A (en)*2013-06-242014-06-25中国石油化工股份有限公司Horizontal well landing path control method based on continuously-oriented well drilling
CN104131782A (en)*2014-07-102014-11-05上海大学Drifting bottom hole assembly determining method
CN104481400A (en)*2014-12-102015-04-01中国石油化工股份有限公司Three-dimensional (3D) horizontal well borehole track controlling method
CN105221071A (en)*2015-09-232016-01-06中国石油大学(华东)Horizontal well inverted drill string unitized designing method
CN110500034A (en)*2019-08-302019-11-26中国石油集团川庆钻探工程有限公司Method for establishing neural network model, determining torsional pendulum drill string parameters and directionally drilling

Cited By (1)

* Cited by examiner, † Cited by third party
Publication numberPriority datePublication dateAssigneeTitle
CN115680602A (en)*2021-07-302023-02-03中石化石油工程技术服务有限公司 A method for optimal design of borehole trajectory based on formation lithology

Also Published As

Publication numberPublication date
CN112065281B (en)2022-06-03

Similar Documents

PublicationPublication DateTitle
CN112065277B (en)Method and device for determining drilling tool assembly in borehole trajectory continuous control drilling operation
CN102893283B (en)For the system and method for horizontal well correlation and geosteering
US11078772B2 (en)Drilling system for monitoring and displaying drilling parameters for a drilling operation of a drilling system
RU2670302C2 (en)Automated design of the optimal directional drilling path
EP2932033A1 (en)Optimal trajectory control for directional drilling
US11047215B2 (en)Drilling operation simulation system and related methods
US11873707B2 (en)Rate of penetration optimization for wellbores using machine learning
CN112065281B (en)Drilling tool combination structure parameter determination method based on composite drilling proportion target
CN104453848A (en)Drilling system and associated system and method for monitoring, controlling, and predicting vibration in an underground drilling operation
CN105143598A (en)Method and system for predicting drilling events
US20160047206A1 (en)Methods of selecting bottom hole assemblies comprising earth-boring tools, of improving drilling operations, and of improving drilling plans based on drilling simulations
CN114370264B (en) Mechanical penetration rate determination, drilling parameter optimization methods, devices and electronic equipment
CN111946264B (en)Method and device for determining proportion of composite drilling well in deflecting section
KR20090000812A (en) Automatic file creation method and device
CN110363298B (en)Intelligent line and slope adjusting method based on evolutionary algorithm
US20200257420A1 (en)Method and system for monitoring of drilling parameters
GB2518282A (en)Drilling system and method for monitoring and displaying drilling parameters for a drilling operation of a drilling system
CN109025801A (en)Method for determining swing range of sliding drilling drill column
CN116205038B (en)Two-dimensional borehole track design method and device
CN114325825B (en) Method and device for determining the oil and gas transport capacity of strike-slip faults in the reservoir formation period by segment
US10519752B2 (en)System, method, and apparatus for optimized toolface control in directional drilling of subterranean formations
GutierrezCase Study: Space-Age Directional Drilling Improves Efficiency, Economics
CN117057661A (en)Processing method and equipment
Boushahri et al.True point-the-bit RSS upgrades meets well placement challenges in high build rate application: A case study from Kuwait
CN116411954B (en)Method and device for predicting final recovery rate (EUR) of shale oil volume fracturing well

Legal Events

DateCodeTitleDescription
PB01Publication
PB01Publication
SE01Entry into force of request for substantive examination
SE01Entry into force of request for substantive examination
GR01Patent grant
GR01Patent grant

[8]ページ先頭

©2009-2025 Movatter.jp