Movatterモバイル変換


[0]ホーム

URL:


CN112059577A - Intelligent maintenance platform for air cooler of convertor station and control method - Google Patents

Intelligent maintenance platform for air cooler of convertor station and control method
Download PDF

Info

Publication number
CN112059577A
CN112059577ACN202010942497.4ACN202010942497ACN112059577ACN 112059577 ACN112059577 ACN 112059577ACN 202010942497 ACN202010942497 ACN 202010942497ACN 112059577 ACN112059577 ACN 112059577A
Authority
CN
China
Prior art keywords
clamping device
clamping
motor
distance
sensor
Prior art date
Legal status (The legal status is an assumption and is not a legal conclusion. Google has not performed a legal analysis and makes no representation as to the accuracy of the status listed.)
Granted
Application number
CN202010942497.4A
Other languages
Chinese (zh)
Other versions
CN112059577B (en
Inventor
李阳
冯小晓
崔学龙
赵建明
田松丰
张鹏望
高雨杰
杨礼太
薛佳琦
徐宏争
Current Assignee (The listed assignees may be inaccurate. Google has not performed a legal analysis and makes no representation or warranty as to the accuracy of the list.)
Dali Bureau of Extra High Voltage Transmission Co
Original Assignee
Dali Bureau of Extra High Voltage Transmission Co
Priority date (The priority date is an assumption and is not a legal conclusion. Google has not performed a legal analysis and makes no representation as to the accuracy of the date listed.)
Filing date
Publication date
Application filed by Dali Bureau of Extra High Voltage Transmission CofiledCriticalDali Bureau of Extra High Voltage Transmission Co
Priority to CN202010942497.4ApriorityCriticalpatent/CN112059577B/en
Publication of CN112059577ApublicationCriticalpatent/CN112059577A/en
Application grantedgrantedCritical
Publication of CN112059577BpublicationCriticalpatent/CN112059577B/en
Activelegal-statusCriticalCurrent
Anticipated expirationlegal-statusCritical

Links

Images

Classifications

Landscapes

Abstract

The invention provides an intelligent maintenance platform for a converter station air cooler and a control method, wherein the method comprises the following steps: s1, detecting and determining the central position of an air cooler motor; s2, measuring the distance between the clamping device and the motor, and adjusting the rising speed of the clamping device through a controller until the clamping device stops rising; s3, controlling the clamping shaft to operate and disassembling the motor; s4, after the motor is disassembled, the clamping device descends, the distance between the disassembling device and the moving platform is measured, and then the descending speed of the clamping device is adjusted through the controller; meanwhile, in the process of ascending or descending the clamping device, the induction sensor detects whether an obstacle is met or not, and if the obstacle is met, the lifting or the clamping is automatically stopped. The intelligent maintenance platform is used for disassembling and maintaining the air cooler motor, on one hand, manpower resources are saved, maintenance efficiency is greatly improved, on the other hand, the disassembly, assembly and maintenance process is more stable, and safety of equipment and personnel is guaranteed.

Description

Intelligent maintenance platform for air cooler of convertor station and control method
Technical Field
The invention relates to the technical field of maintenance of air coolers of a converter station, in particular to an intelligent maintenance platform for the air coolers of the converter station and a control method.
Background
The converter valve cooling equipment of the converter station in the field of high-voltage direct-current transmission is key equipment for ensuring normal operation of the converter station, the air cooler is used as the converter valve cooling equipment, the maintenance work of a motor of the converter valve cooling equipment is always completed by manpower, and the current converter valve cooling equipment mostly adopts a suspended air cooler, so that the manual disassembly and maintenance work is difficult, and the efficiency is low; under the condition that a large amount of manpower and time are input in the maintenance work, equipment damage and physical injury of maintenance personnel are easily caused, and therefore, the design of the intelligent air cooler maintenance platform and the control method thereof is very necessary. Therefore, an intelligent convertor station air cooler overhauling platform and an overhauling control method are provided to solve the problems.
Disclosure of Invention
The invention aims to provide an intelligent maintenance platform for a converter station air cooler and a control method.
The embodiment of the invention is realized by the following technical scheme:
in a first aspect, the invention provides an intelligent maintenance platform control method for a converter station air cooler, which comprises the following steps:
s1, detecting and determining the central position of an air cooler motor; the method specifically comprises the following steps:
s11, acquiring edge information through a laser type edge detection sensor, setting a threshold value, and carrying out Laplace operator edge detection on an air cooler motor, wherein a detection result is represented as A;
s12, performing morphological corrosion operation and opening operation on the air cooler motor edge image A detected by the Laplace operator by using the structural element B, removing noise in the image to obtain an edge image F, wherein the calculation process is as follows
M=(A⊙B)⊙B
F=M(S>50)○B
In the formula, O is an erosion operation operator, O is an on operation operator, S is a threshold, and M is an edge image subjected to two erosion operations;
s13, determining the center position of the motor through the edge image F.
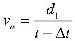
S2, measuring the distance between the clamping device and the motor, and adjusting the rising speed of the clamping device through a controller until the clamping device stops rising; the method comprises the following specific steps:
s21, acquiring the real-time distance d between the clamping device and the motor in the ascending process by using a distance measuring sensor on the clamping device1
S22, acquiring real-time speed v of the clamping device1Thereby predicting a distance s by which the holding jig ascends within a certain time1,s1Can be expressed as:
s1=v1gt1
in the formula, t1For a selected prediction time, t1Taking for 2 seconds;
s23, predicting the ascending distance s1From the measured distance d1Comparing the two, and calculating the optimal running speed vaWhen s is1>d1When the temperature of the water is higher than the set temperature,
Figure BDA0002674105590000031
Figure BDA0002674105590000032
and the ascending speed of the clamping device is adjusted through a PID algorithm, and the ascending is stopped when the preset position is reached.
S3, controlling the clamping shaft to operate and disassembling the motor; the method comprises the following specific steps:
s31, the control system sends a clamping instruction, a jaw servo driver on the clamping shaft starts to clamp the motor after receiving the instruction, the jaw servo driver has a torque feedback function, and when the clamping torque reaches a set value, clamping is stopped;
s32, after clamping is stopped, the bolt sleeve on the clamping device positions the position of the motor bolt through edge detection and the motor is disassembled; the bolt sleeve is provided with a torque sensor, a torque signal generated when the bolt is rotated is collected in real time, the control system controls the unscrewing speed of the bolt sleeve according to the torque signal, and the rotation is stopped when the torque reaches a set value, so that the motor is disassembled.
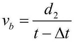
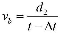
S4, after the motor is disassembled, the clamping device descends, the distance between the disassembling device and the moving platform is measured, and then the descending speed of the clamping device is adjusted through the controller; the method comprises the following specific steps:
s41, measuring the real-time distance d between the clamping device and the mobile platform in the descending process by using the distance measuring sensor on the clamping device2
S42, acquiring the real-time speed v of the clamping device2Thereby predicting a distance s of the lowering of the holding means within a certain time2,s2Can be expressed as:
s2=v2gt2
in the formula, t2For a selected prediction time, t2Taking for 2 seconds;
s43, the predicted descending distance s2From the measured distance d2Comparing the two, and calculating the optimal running speed vbWhen s is2>d2When the temperature of the water is higher than the set temperature,
Figure BDA0002674105590000041
Figure BDA0002674105590000042
and the descending speed of the clamping device is adjusted through a PID algorithm, and when the preset position is reached, the descending is stopped.
Further, the control method of the intelligent maintenance platform further comprises the step of automatically stopping lifting or clamping when the induction sensor detects that an obstacle is met in the lifting process or the clamping process; wherein the obstacle detection process is as follows:
output current I through inductive sensoriWhether the fault is met is judged, the average value of the induced current within 500ms is detected as the effective detection current, and the calculation formula is as follows:
Figure BDA0002674105590000043
wherein, IaveAverage value of induced current, ikInduced current for the k-th scanning period; if IaveAnd stopping lifting or clamping when the fluctuation is large.
In a second aspect, the invention provides an intelligent maintenance platform for a converter station air cooler, which comprises a mobile platform, a lifting device, a clamping device, a bolt dismounting device and a control system, wherein the lifting device is arranged on the mobile platform, the lifting device is used for enabling the clamping device to move up and down, the bolt dismounting device is arranged on the clamping device, the mobile platform, the lifting device, the clamping device and the bolt dismounting device are all electrically connected with the control system, and the control system is used for controlling the intelligent maintenance platform.
Furthermore, the clamping device comprises a jaw mechanism, and the axial direction of the jaw mechanism is set as a Z axis; the clamping device also comprises an X-axis moving mechanism for controlling the X-axis movement and a Z-axis moving mechanism for controlling the Z-axis movement; the clamping jaw mechanism comprises a clamping jaw servo driver, a clamping jaw driver protection rod, a clamping jaw coupler and a profiling clamping jaw, wherein the clamping jaw servo driver is used for driving the profiling clamping jaw through the clamping jaw coupler, and the clamping jaw driver protection rod is used for protecting the clamping jaw servo driver;
further, intelligence overhauls platform still includes image acquisition equipment, range finding sensor, edge detection sensor, torque sensor and current induction sensor, image acquisition equipment set up in on the jack catch driver guard bar, range finding sensor set up in on the X axle moving mechanism, edge detection sensor set up in on the moving platform, torque sensor set up in on the bolt dismounting device, current induction sensor set up in among the control system, be used for detecting elevating gear and clamping device's the electric current condition.
The technical scheme of the embodiment of the invention at least has the following advantages and beneficial effects:
the invention provides an intelligent maintenance platform, which solves the problems of time consumption and labor waste caused by the fact that a rope is used for disassembling and assembling an air cooler motor in the traditional maintenance technology, and greatly improves maintenance efficiency; meanwhile, the problem that the motor is heavy in weight and the equipment is prone to tilting and swinging in the manual dismounting process is solved, and the safety of the equipment and personnel is guaranteed.
Drawings
In order to more clearly illustrate the technical solutions of the embodiments of the present invention, the drawings needed to be used in the embodiments will be briefly described below, it should be understood that the following drawings only illustrate some embodiments of the present invention and therefore should not be considered as limiting the scope, and for those skilled in the art, other related drawings can be obtained according to the drawings without inventive efforts.
FIG. 1 is a flow chart of a method of the present invention;
FIG. 2 is a schematic view of a clamping device according to the present invention;
icon: the device comprises a 1-X-axis moving mechanism, a 2-jaw servo driver, a 3-jaw driver guard bar, a 4-jaw linkage, a 5-profiling jaw, a 6-distance measuring sensor and a 7-image acquisition device.
Detailed Description
In order to make the objects, technical solutions and advantages of the embodiments of the present invention clearer, the technical solutions in the embodiments of the present invention will be clearly and completely described below with reference to the drawings in the embodiments of the present invention, and it is obvious that the described embodiments are some, but not all, embodiments of the present invention. The components of embodiments of the present invention generally described and illustrated in the figures herein may be arranged and designed in a wide variety of different configurations.
Thus, the following detailed description of the embodiments of the present invention, presented in the figures, is not intended to limit the scope of the invention, as claimed, but is merely representative of selected embodiments of the invention. All other embodiments, which can be derived by a person skilled in the art from the embodiments given herein without making any creative effort, shall fall within the protection scope of the present invention.
It should be noted that: like reference numbers and letters refer to like items in the following figures, and thus, once an item is defined in one figure, it need not be further defined and explained in subsequent figures.
In the description of the present invention, it should be noted that if the terms "center", "upper", "lower", "left", "right", "vertical", "horizontal", "inner", "outer", etc. indicate an orientation or positional relationship based on the orientation or positional relationship shown in the drawings or the orientation or positional relationship which is usually placed when the product of this application is used, the description is merely for convenience and simplicity of description, and it is not intended to indicate or imply that the device or element referred to must have a specific orientation, be constructed and operated in a specific orientation, and thus, should not be construed as limiting the present invention.
In the description of the present invention, it should be further noted that unless otherwise explicitly stated or limited, the terms "disposed," "mounted," "connected," and "connected" should be interpreted broadly, and may be, for example, fixedly connected, detachably connected, or integrally connected; can be mechanically or electrically connected; they may be connected directly or indirectly through intervening media, or they may be interconnected between two elements. The specific meanings of the above terms in the present invention can be understood in specific cases to those skilled in the art.
The invention provides an intelligent maintenance platform and a control method for a converter station air cooler, which utilize a PID algorithm to control the lifting speed: the PID algorithm is controlled in proportion, integral and derivative of the deviation. The PID algorithm has the advantages of simple principle, easy realization, wide application range, mutual independence of control parameters and simpler parameter selection, and is an algorithm with wide application.
PID is a closed-loop control algorithm, specifically including:
p represents a proportional algorithm and reflects the basic deviation e (t) of the system, the larger the proportional coefficient is, the faster the adjustment speed is, the smaller the error is, but the larger the proportional coefficient can reduce the stability of the system;
i represents an integral algorithm, reflects the accumulated deviation of the system, eliminates the steady-state error of the system, and can carry out integral adjustment if the system has errors;
d represents the change rate e (t) e (t-1) of the differential algorithm reflecting the system deviation signal, has foresight, can predict the trend of deviation change, generates advanced control and improves the dynamic performance of the system.
Neither integration nor differentiation works alone and must be coordinated with proportional control.
The intelligent maintenance platform provided by the invention is characterized in that a laser type edge detection sensor is arranged on a mobile platform, and the center position of a motor is positioned by adopting an edge detection algorithm; an ultrasonic ranging sensor is arranged on the clamping device platform and used for measuring the distance between the platform and a target position in the lifting process; the torque sensor and the torque sensor are respectively arranged on the clamping shaft and the bolt sleeve, and feed back clamping torque and rotating torque to realize the function of automatically disassembling the motor. The specific implementation method comprises the following steps:
as shown in fig. 1, an intelligent maintenance platform control method for a converter station air cooler includes the following steps:
s1, detecting and determining the central position of an air cooler motor; the method specifically comprises the following steps:
s11, acquiring edge information through a laser type edge detection sensor, setting a threshold value, and carrying out Laplace operator edge detection on an air cooler motor, wherein a detection result is represented as A;
s12, performing morphological corrosion operation and opening operation on the air cooler motor edge image A detected by the Laplace operator by using the structural element B, removing noise in the image to obtain an edge image F, wherein the calculation process is as follows
M=(A⊙B)⊙B
F=M(S>50)○B
In the formula, O is an erosion operation operator, O is an on operation operator, S is a threshold, and M is an edge image subjected to two erosion operations;
s13, determining the center position of the motor through the edge image F.
The edge detection method based on the Laplace operator and the mathematical morphology fusion can obtain more accurate edge detection images, so that the clamping position of the clamping device is more accurate when the clamping device clamps the motor, and the motor or the maintenance equipment can be effectively prevented from being damaged.
It can be understood that the algorithm is only a convenient method for detection and alignment, and when a satisfactory result is difficult to obtain by using the algorithm, the image acquisition equipment can acquire the relevant image of the motor clamped by the clamping device, and then the motor is disassembled by manually controlling and controlling to clamp and loosen the bolt.
S2, measuring the distance between the clamping device and the motor, and adjusting the rising speed of the clamping device through a controller until the clamping device stops rising; the method comprises the following specific steps:
s21, acquiring the real-time distance d between the clamping device and the motor in the ascending process by using an ultrasonic ranging sensor on the clamping device1
It will be appreciated that the real-time distance measurement may also be performed using other possible means such as laser ranging.
S22, acquiring real-time speed v of the clamping device1Thereby predicting a distance s by which the holding jig ascends within a certain time1,s1Can be expressed as:
s1=v1gt1
in the formula, t1For a selected prediction time, t1Taking for 2 seconds;
the speed acquisition mode includes, but is not limited to, speed acquisition using a speed sensor, a speed that can be achieved by the power of the elevator itself, and the like.
S23, predicting the ascending distance s1From the measured distance d1Comparing the two, and calculating the optimal running speed vaWhen s is1>d1When the temperature of the water is higher than the set temperature,
Figure BDA0002674105590000101
Figure BDA0002674105590000102
and the ascending speed of the clamping device is adjusted through a PID algorithm, and the ascending is stopped when the preset position is reached.
S3, controlling the clamping shaft to operate and disassembling the motor; the method comprises the following specific steps:
s31, the control system sends a clamping instruction, a jaw servo driver on the clamping shaft starts to clamp the motor after receiving the instruction, the jaw servo driver has a torque feedback function, and when the clamping torque reaches a set value, clamping is stopped;
s32, after clamping is stopped, the bolt sleeve on the clamping device positions the position of the motor bolt through edge detection and the motor is disassembled; the bolt sleeve is provided with a torque sensor, a torque signal generated when the bolt is rotated is collected in real time, the control system controls the unscrewing speed of the bolt sleeve according to the torque signal, and the rotation is stopped when the torque reaches a set value, so that the motor is disassembled.
S4, after the motor is disassembled, the clamping device descends, the distance between the disassembling device and the moving platform is measured, and then the descending speed of the clamping device is adjusted through the controller; the method comprises the following specific steps:
s41, clamping deviceThe ultrasonic distance measuring sensor is arranged to measure the real-time distance d between the clamping device and the mobile platform in the descending process2
S42, acquiring the real-time speed v of the clamping device2Thereby predicting a distance s of the lowering of the holding means within a certain time2,s2Can be expressed as:
s2=v2gt2
in the formula, t2For a selected prediction time, t2Taking for 2 seconds;
s43, the predicted descending distance s2From the measured distance d2Comparing the two, and calculating the optimal running speed vbWhen s is2>d2When the temperature of the water is higher than the set temperature,
Figure BDA0002674105590000111
Figure BDA0002674105590000112
and the descending speed of the clamping device is adjusted through a PID algorithm, and when the preset position is reached, the descending is stopped.
The intelligent maintenance platform control method also comprises the step of automatically stopping lifting or clamping when the induction sensor detects an obstacle in the lifting process or the clamping process; wherein the obstacle detection process is as follows:
output current I through inductive sensoriWhether the fault is met is judged, the average value of the induced current within 500ms is detected as the effective detection current, and the calculation formula is as follows:
Figure BDA0002674105590000113
wherein, IaveAverage value of induced current, ikInduced current for the k-th scanning period; if IaveAnd stopping lifting or clamping when the fluctuation is large.
As shown in fig. 2, an intelligent maintenance platform for a converter station air cooler comprises a mobile platform, a lifting device, a clamping device, a bolt dismounting device and a control system, wherein the lifting device is arranged on the mobile platform, the lifting device is used for enabling the clamping device to move up and down, the bolt dismounting device is arranged on the clamping device, the mobile platform, the lifting device, the clamping device and the bolt dismounting device are all electrically connected with the control system, and the control system is used for realizing control over the intelligent maintenance platform.
The clamping device comprises a jaw mechanism, and the axial direction of the jaw mechanism is a Z axis; the clamping device also comprises anX-axis moving mechanism 1 for controlling the movement of an X axis and a Z-axis moving mechanism for controlling the movement of a Z axis; the clamping jaw mechanism comprises a clampingjaw servo driver 2, a clamping jaw driver protection rod 3, a clamping jaw coupler 4 and aprofiling clamping jaw 5, wherein the clampingjaw servo driver 2 is used for driving theprofiling clamping jaw 5 through the clamping jaw coupler 4, and the clamping jaw driver protection rod 3 is used for protecting the clampingjaw servo driver 2;
the intelligent maintenance platform further comprises animage acquisition device 7, adistance measurement sensor 6, an edge detection sensor, a torque sensor and a current induction sensor, wherein theimage acquisition device 7 is arranged on the jaw driver protection rod 3, thedistance measurement sensor 6 is arranged on theX-axis moving mechanism 1, the edge detection sensor is arranged on the moving platform, the torque sensor is arranged on the bolt dismounting device, and the current induction sensor is arranged in the control system and used for detecting the current conditions of the lifting device and the clamping device.
The working process of the intelligent maintenance platform is as follows: the laser type edge detection sensor on the moving platform detects the edge of the air cooler motor, so that the moving platform can better align with the motor to be disassembled and inspected, after the alignment, the lifting device is started to lift the clamping device to the motor, the time for stopping lifting of the lifting device is determined according to the feedback result of the ultrasonicdistance measurement sensor 6 during the period, then the clamping device is started to clamp the motor, after the clamping, the bolt disassembling device is started to unscrew the fixing bolt of the motor, then the lifting device descends to put down the clamping device, and then personnel can further overhaul the motor; in the whole process, all kinds of sensors are in working states, and the intelligent maintenance platform is helped to smoothly take down the air cooler motor.
The above is only a preferred embodiment of the present invention, and is not intended to limit the present invention, and various modifications and changes will occur to those skilled in the art. Any modification, equivalent replacement, or improvement made within the spirit and principle of the present invention should be included in the protection scope of the present invention.

Claims (10)

1. The intelligent maintenance platform control method for the air cooler of the convertor station is characterized by comprising the following steps of:
s1, detecting and determining the central position of an air cooler motor;
s2, measuring the distance between the clamping device and the motor, and adjusting the rising speed of the clamping device through a controller until the clamping device stops rising;
s3, controlling the clamping shaft to operate and disassembling the motor;
and S4, after the motor is disassembled, the clamping device descends, the distance between the disassembling device and the moving platform is measured, and the descending speed of the clamping device is adjusted through the controller.
2. The intelligent service platform control method of claim 1, wherein step S1 further comprises the steps of:
s11, acquiring edge information through a laser type edge detection sensor, setting a threshold value, and carrying out Laplace operator edge detection on an air cooler motor, wherein a detection result is represented as A;
s12, performing morphological corrosion operation and opening operation on the air cooler motor edge image A detected by the Laplace operator by using the structural element B, removing noise in the image to obtain an edge image F, wherein the calculation process is as follows
M=(A⊙B)⊙B
F=M(S>50)○B
In the formula, O is an erosion operation operator, O is an on operation operator, S is a threshold, and M is an edge image subjected to two erosion operations;
s13, determining the center position of the motor through the edge image F.
3. The intelligent service platform control method of claim 1, wherein step S2 further comprises the steps of:
s21, acquiring the real-time distance d between the clamping device and the motor in the ascending process by using a distance measuring sensor on the clamping device1
S22, acquiring real-time speed v of the clamping device1Thereby predicting a distance s by which the holding jig ascends within a certain time1,s1Can be expressed as:
s1=v1gt1
in the formula, t1For a selected prediction time, t1Taking for 2 seconds;
s23, predicting the ascending distance s1From the measured distance d1Comparing the two, and calculating the optimal running speed vaWhen s is1>d1When the temperature of the water is higher than the set temperature,
Figure FDA0002674105580000021
Figure FDA0002674105580000022
and the ascending speed of the clamping device is adjusted through a PID algorithm, and the ascending is stopped when the preset position is reached.
4. The intelligent service platform control method of claim 1, wherein step S3 further comprises the steps of:
s31, the control system sends a clamping instruction, a jaw servo driver on the clamping shaft starts to clamp the motor after receiving the instruction, the jaw servo driver has a torque feedback function, and when the clamping torque reaches a set value, clamping is stopped;
s32, after clamping is stopped, the bolt sleeve on the clamping device positions the position of the motor bolt through edge detection and the motor is disassembled; the bolt sleeve is provided with a torque sensor, a torque signal generated when the bolt is rotated is collected in real time, the control system controls the unscrewing speed of the bolt sleeve according to the torque signal, and the rotation is stopped when the torque reaches a set value, so that the motor is disassembled.
5. The intelligent service platform control method of claim 1, wherein step S4 further comprises the steps of:
s41, measuring the real-time distance d between the clamping device and the mobile platform in the descending process by using the distance measuring sensor on the clamping device2
S42, acquiring the real-time speed v of the clamping device2Thereby predicting a distance s of the lowering of the holding means within a certain time2,s2Can be expressed as:
s2=v2gt2
in the formula, t2For a selected prediction time, t2Taking for 2 seconds;
s43, the predicted descending distance s2From the measured distance d2Comparing the two, and calculating the optimal running speed vbWhen s is2>d2When the temperature of the water is higher than the set temperature,
Figure FDA0002674105580000031
Figure FDA0002674105580000032
and the descending speed of the clamping device is adjusted through a PID algorithm, and when the preset position is reached, the descending is stopped.
6. The intelligent service platform control method of claim 1, further comprising automatically stopping the raising or clamping when the induction sensor detects an obstacle during the raising or clamping.
7. The intelligent service platform control method of claim 6, wherein the obstacle detection process is as follows:
output current I through inductive sensoriWhether the fault is met is judged, the average value of the induced current within 500ms is detected as the effective detection current, and the calculation formula is as follows:
Figure FDA0002674105580000041
wherein, IaveAverage value of induced current, ikInduced current for the k-th scanning period; if IaveAnd stopping lifting or clamping when the fluctuation is large.
8. The utility model provides an intelligence overhauls platform for converter station air cooler, its characterized in that, intelligence is overhauld the platform and is included moving platform, elevating gear, clamping device, bolt dismounting device and control system, elevating gear sets up moving platform is last, elevating gear is used for making clamping device reciprocate, bolt dismounting device set up with clamping device is last, moving platform, elevating gear, clamping device and bolt dismounting device all with control system electric connection, control system is used for realizing right the control of intelligence maintenance platform.
9. The intelligent service platform of claim 8, wherein the clamping device comprises a jaw mechanism, and the axial direction of the jaw mechanism is a Z axis; the clamping device also comprises an X-axis moving mechanism for controlling the X-axis movement and a Z-axis moving mechanism for controlling the Z-axis movement; the jack catch mechanism includes jack catch servo driver, jack catch driver fender rod, jack catch antithetical couplet and profile modeling jack catch, the jack catch servo driver is used for passing through the jack catch antithetical couplet drive the profile modeling jack catch, jack catch driver fender rod is used for the protection the jack catch servo driver.
10. The intelligent maintenance platform of claim 9, further comprising an image acquisition device, a distance measurement sensor, an edge detection sensor, a torque sensor and a current sensing sensor, wherein the image acquisition device is disposed on the jaw driver guard bar, the distance measurement sensor is disposed on the X-axis moving mechanism, the edge detection sensor is disposed on the moving platform, the torque sensor is disposed on the bolt dismounting device, and the current sensing sensor is disposed in the control system and is used for detecting current conditions of the lifting device and the clamping device.
CN202010942497.4A2020-09-092020-09-09Intelligent maintenance platform control method for air cooler of convertor stationActiveCN112059577B (en)

Priority Applications (1)

Application NumberPriority DateFiling DateTitle
CN202010942497.4ACN112059577B (en)2020-09-092020-09-09Intelligent maintenance platform control method for air cooler of convertor station

Applications Claiming Priority (1)

Application NumberPriority DateFiling DateTitle
CN202010942497.4ACN112059577B (en)2020-09-092020-09-09Intelligent maintenance platform control method for air cooler of convertor station

Publications (2)

Publication NumberPublication Date
CN112059577Atrue CN112059577A (en)2020-12-11
CN112059577B CN112059577B (en)2021-08-13

Family

ID=73663071

Family Applications (1)

Application NumberTitlePriority DateFiling Date
CN202010942497.4AActiveCN112059577B (en)2020-09-092020-09-09Intelligent maintenance platform control method for air cooler of convertor station

Country Status (1)

CountryLink
CN (1)CN112059577B (en)

Citations (10)

* Cited by examiner, † Cited by third party
Publication numberPriority datePublication dateAssigneeTitle
US5285857A (en)*1991-09-301994-02-15Toyota Jidosha Kabushiki KaishaNut runner for clamping bolts with predetermined torque and bolt clamping method
CN104191220A (en)*2014-09-032014-12-10鞍钢集团矿业公司Dismounting and mounting system of vibratory ore-drawing machine motor and dismounting and mounting method of dismounting system
CN108857352A (en)*2018-09-212018-11-23安徽江淮汽车集团股份有限公司A kind of simulation cylinder head provision for disengagement
CN208246184U (en)*2018-05-112018-12-18杭州景业智能科技有限公司A kind of nuclear industry motor vertical fast replacing device
CN208307508U (en)*2018-05-292019-01-01上海乐臣自动化设备有限公司A kind of attaching/detaching apparatus of container medium lock
CN109626266A (en)*2018-11-302019-04-16国网河南省电力公司检修公司A kind of inspection platform of vertical suspension type motor
CN209380229U (en)*2019-01-092019-09-13成都西南交大机电设备有限公司A kind of generator coupling provision for disengagement
CN110270816A (en)*2019-07-232019-09-24山东科技大学For resetting the device and method of equipment dismounting hinge pin
CN110673162A (en)*2019-09-292020-01-10国网辽宁省电力有限公司检修分公司 A high-altitude vehicle obstacle detection device in a converter station valve hall with a replaceable mounting seat
CN211310682U (en)*2019-12-062020-08-21国网陕西省电力公司检修公司 Disassembly and maintenance platform of air cooler hoisting motor for high-voltage power station on complex road

Patent Citations (10)

* Cited by examiner, † Cited by third party
Publication numberPriority datePublication dateAssigneeTitle
US5285857A (en)*1991-09-301994-02-15Toyota Jidosha Kabushiki KaishaNut runner for clamping bolts with predetermined torque and bolt clamping method
CN104191220A (en)*2014-09-032014-12-10鞍钢集团矿业公司Dismounting and mounting system of vibratory ore-drawing machine motor and dismounting and mounting method of dismounting system
CN208246184U (en)*2018-05-112018-12-18杭州景业智能科技有限公司A kind of nuclear industry motor vertical fast replacing device
CN208307508U (en)*2018-05-292019-01-01上海乐臣自动化设备有限公司A kind of attaching/detaching apparatus of container medium lock
CN108857352A (en)*2018-09-212018-11-23安徽江淮汽车集团股份有限公司A kind of simulation cylinder head provision for disengagement
CN109626266A (en)*2018-11-302019-04-16国网河南省电力公司检修公司A kind of inspection platform of vertical suspension type motor
CN209380229U (en)*2019-01-092019-09-13成都西南交大机电设备有限公司A kind of generator coupling provision for disengagement
CN110270816A (en)*2019-07-232019-09-24山东科技大学For resetting the device and method of equipment dismounting hinge pin
CN110673162A (en)*2019-09-292020-01-10国网辽宁省电力有限公司检修分公司 A high-altitude vehicle obstacle detection device in a converter station valve hall with a replaceable mounting seat
CN211310682U (en)*2019-12-062020-08-21国网陕西省电力公司检修公司 Disassembly and maintenance platform of air cooler hoisting motor for high-voltage power station on complex road

Also Published As

Publication numberPublication date
CN112059577B (en)2021-08-13

Similar Documents

PublicationPublication DateTitle
CN101891109B (en)Two-freedom-degree regulation self-leveling spreader and regulation method
CN207014351U (en)Series-parallel connection truss-like may move heavily loaded foundry robot
DE212021000094U1 (en) Production line of double-block sleepers for high-speed railways
CA2726891C (en)Apparatus and method for monitoring a hydraulic pump on a material handling vehicle
CN109946318A (en) A bridge bottom surface crack detection system and detection method
CN110000760A (en)Series parallel type moves self-balancing heavy duty foundry robot
CN114572816B (en) Control method and system for blade hanger
CN112059577B (en)Intelligent maintenance platform control method for air cooler of convertor station
CN108706503A (en)A kind of hanging code installation method
CN111825036B (en)Building hanging basket monitoring early warning and auxiliary assembly of subsidiary computer vision
CN210389634U (en)Centrifugal positioning device of concrete pipe pile mould
CN209793724U (en) Hybrid mobile self-balancing heavy-duty foundry robot
CN202048978U (en)Automatic test instrument
CN114268188B (en)Large corrugated pipe assembly method
CN214301332U (en)Adjustable maintenance device of arched bridge
CN110202527B (en) Device and method for disassembling the upper frame of a single-cylinder hydraulic cone crusher
CN210850085U (en)Upper frame dismounting device of single-cylinder hydraulic cone crusher
CN114348873A (en) A transmission control system for steel mesh
CN220845194U (en)Ingot casting overhead hoist
CN119221719A (en) Steel structure integral mobile installation equipment and method
CN115818509B (en)Double-hydraulic-cylinder lifting device and control system thereof
CN221625841U (en) A device for calibrating the pressure of the hydraulic system of a scissor lift platform
CN111152407A (en)Retooling platform truck with camera device
CN117537714B (en)Railway transportation container position detection method
CN116856354B (en)Gravity-center-adjustable hydraulic grab beam, hoist and use method of gravity-center-adjustable hydraulic grab beam

Legal Events

DateCodeTitleDescription
PB01Publication
PB01Publication
SE01Entry into force of request for substantive examination
SE01Entry into force of request for substantive examination
GR01Patent grant
GR01Patent grant
EE01Entry into force of recordation of patent licensing contract
EE01Entry into force of recordation of patent licensing contract

Application publication date:20201211

Assignee:YUNNAN ZHAOFU TECHNOLOGY Co.,Ltd.

Assignor:DALI BUREAU OF ULTRA HIGH VOLTAGE TRANSMISSION COMPANY, CHINA SOUTHERN POWER GRID Co.,Ltd.

Contract record no.:X2023990000198

Denomination of invention:An intelligent maintenance platform control method for air cooler in converter station

Granted publication date:20210813

License type:Common License

Record date:20230209


[8]ページ先頭

©2009-2025 Movatter.jp