



技术领域technical field
本发明属于智能网联汽车主动安全控制领域,具体涉及一种基于车车通信的多车协同换道控制系统及方法。The invention belongs to the field of active safety control of intelligent networked vehicles, and in particular relates to a multi-vehicle cooperative lane change control system and method based on vehicle-to-vehicle communication.
背景技术Background technique
车辆换道汇入行为作为最基本也是最危险的驾驶行为之一,它要求驾驶员在换道汇入时要充分考虑车辆所处道路环境信息与周围车辆行驶状况,决策过程复杂。随着近几年我国高速公路及城市公路网的不断发展,因车辆换道汇入而导致的交通安全事故数量不断上升。这其中绝大部分事故是由于换道车辆及周围车辆在换道汇入时不能及时全面地获取其他车辆行驶信息从而使驾驶员做出错误决策行为而造成的。同时由于换道行为的突发性,周围车辆不能及时获取换道车辆换道信号及其行驶信息,从而被迫迅速改变本车行驶状态,严重影响了驾驶员驾驶效率及舒适性。因此,基于车车通信技术,实现换道车辆与周围车辆在换道汇入过程中的信息共享与协同配合,对降低车辆换道安全隐患,提高车辆行驶效率及驾驶员舒适性具有重要意义。As one of the most basic and most dangerous driving behaviors, vehicle lane changing and merging requires drivers to fully consider the road environment information of the vehicle and the driving conditions of surrounding vehicles when changing lanes. The decision-making process is complicated. With the continuous development of highways and urban highway networks in my country in recent years, the number of traffic safety accidents caused by vehicles changing lanes has been increasing. Most of these accidents are caused by the fact that the lane-changing vehicles and surrounding vehicles cannot obtain the driving information of other vehicles in a timely and comprehensive manner when the lane-changing vehicles are merged, so that the drivers make wrong decisions. At the same time, due to the sudden nature of the lane-changing behavior, the surrounding vehicles cannot obtain the lane-changing signal and the driving information of the lane-changing vehicle in time, so they are forced to quickly change the driving state of the vehicle, which seriously affects the driving efficiency and comfort of the driver. Therefore, based on the vehicle-to-vehicle communication technology, it is of great significance to realize the information sharing and cooperation between the lane-changing vehicles and the surrounding vehicles in the process of lane-changing and merging, which is of great significance to reduce the hidden safety hazards of vehicle lane-changing, and to improve the driving efficiency of vehicles and the comfort of drivers.
随着近年来车辆无线通信网络技术的发展,智能网联汽车能够实时获取周围车辆信息,这为实现车辆在换道汇入过程中的协同配合提供了通信基础。但是,目前基于车车通信,针对换道场景下的多车协同决策方法的研究仍较少,且存在以下不足:大多研究与应用能利用车车通信技术实现换道车辆与周围车辆的信息同享,但却只针对换道车辆进行轨迹规划与控制,而忽略了利用这些信息同时对周围车辆也进行决策优化与控制,实现车车协同变道;同时许多研究仅在换道开始时刻对车辆进行安全评估与规划决策,未能在换道过程中实现对车辆的动态优化与调整;除此之外,已有研究主要关注换道过程的安全性,而忽略了驾驶员舒适性等其他因素。With the development of vehicle wireless communication network technology in recent years, intelligent networked vehicles can obtain the information of surrounding vehicles in real time, which provides a communication foundation for realizing the coordination and cooperation of vehicles in the process of changing lanes and merging. However, at present, based on vehicle-to-vehicle communication, there are still few researches on multi-vehicle collaborative decision-making methods in lane-changing scenarios, and there are the following shortcomings: most of the research and applications can use vehicle-to-vehicle communication technology to achieve the same information between lane-changing vehicles and surrounding vehicles. However, it only performs trajectory planning and control for lane-changing vehicles, ignoring the use of this information to optimize and control surrounding vehicles at the same time, so as to realize vehicle-vehicle cooperative lane change; Conduct safety assessment and planning decisions, and fail to realize dynamic optimization and adjustment of the vehicle during the lane-changing process; in addition, existing studies have mainly focused on the safety of the lane-changing process, while ignoring other factors such as driver comfort .
目前,关于多车协同换道方面的研究工作,中国专利文献号CN 109035862 B,公开日2018.12.18,公开了一种基于车车通信的多车协同换道控制方法,提出了多车协同换道的控制策略,建立了直行车辆变加速工况下的安全距离模型及两个换道车辆之间的安全距离模型。采用五次多项式换道轨迹,以轨迹长度及舒适性为目标函数、以车辆纵横向速度等作为约束条件,利用优化求解的方法得到期望换道轨迹。但却只针对换道车辆进行轨迹规划与控制,而忽略了利用这些信息同时对周围车辆也进行决策优化与控制,实现车车协同变道,同时仅在换道开始时刻对车辆进行安全评估与轨迹规划,未能在换道过程中实现对车辆的动态优化与调整。At present, on the research work on multi-vehicle cooperative lane changing, Chinese Patent Document No. CN 109035862 B, published on 2018.12.18, discloses a multi-vehicle cooperative lane-changing control method based on vehicle-to-vehicle communication, and proposes multi-vehicle cooperative lane changing The control strategy of the lane is established, and the safety distance model of the straight vehicle under variable acceleration conditions and the safety distance model between two lane-changing vehicles are established. The quintic polynomial lane-changing trajectory is used, the trajectory length and comfort are used as the objective functions, and the vehicle longitudinal and lateral speeds are used as constraints, and the desired lane-changing trajectory is obtained by the optimal solution method. However, it only performs trajectory planning and control for lane-changing vehicles, while ignoring the use of this information to optimize and control surrounding vehicles at the same time, so as to realize the coordinated lane-changing of vehicles and vehicles, and at the same time, only at the beginning of lane-changing vehicle safety assessment and control are carried out. Trajectory planning, failed to realize the dynamic optimization and adjustment of the vehicle during the lane changing process.
发明内容SUMMARY OF THE INVENTION
针对上述问题,本发明提出了一种基于车车通信的多车协同换道控制系统及方法,依靠车辆间的信息传递,解决车辆在换道汇入过程中由于缺乏有效及时的信息而造成的安全事故,同时提高车辆在换道汇入过程中的行驶效率及驾驶员舒适性。具体采用如下技术方案:In view of the above problems, the present invention proposes a multi-vehicle cooperative lane change control system and method based on vehicle-to-vehicle communication, which relies on the information transmission between vehicles to solve the problem caused by the lack of effective and timely information in the process of lane changing and merging. Safety accidents, while improving the driving efficiency and driver comfort of vehicles in the process of changing lanes. Specifically, the following technical solutions are adopted:
一种基于车车通信的多车协同换道控制系统,包含设置在各个车辆上的协同换道模块,所述协同换道模块包含感知单元、通信单元、决策单元、控制单元和提示单元;A multi-vehicle cooperative lane-changing control system based on vehicle-to-vehicle communication, comprising a cooperative lane-changing module arranged on each vehicle, the cooperative lane-changing module comprising a sensing unit, a communication unit, a decision-making unit, a control unit and a prompting unit;
所述感知单元包含差分全球定位系统DGPS、CAN总线、轮速传感器、横向加速度传感器和纵向加速度传感器,DGPS、轮速传感器、横向加速度传感器、纵向加速度传感器均通过所述CAN总线和所述决策单元相连;其中,差分全球定位系统DGPS用于实时定位车辆位置并将其传递给所述决策单元;轮速传感器安装在车轮上,用于实时获取自车速度并将其传递给所述决策单元;纵向加速度传感器、横向加速度传感器分别用于实时获取自车纵向加速度、横向加速度,并将其传递给所述决策单元;The sensing unit includes DGPS, CAN bus, wheel speed sensor, lateral acceleration sensor and longitudinal acceleration sensor. DGPS, wheel speed sensor, lateral acceleration sensor and longitudinal acceleration sensor all pass through the CAN bus and the decision-making unit. Wherein, the differential global positioning system DGPS is used to locate the vehicle position in real time and transmit it to the decision-making unit; the wheel speed sensor is installed on the wheel to obtain the speed of the vehicle in real time and transmit it to the decision-making unit; The longitudinal acceleration sensor and the lateral acceleration sensor are respectively used to obtain the longitudinal acceleration and lateral acceleration of the self-vehicle in real time, and transmit them to the decision-making unit;
所述通信单元用于通过DSRC设备实现预设距离内车辆间信息的交换;The communication unit is used to realize the exchange of information between vehicles within a preset distance through the DSRC device;
所述决策单元分别和所述感知单元、通信单元、控制单元、提示单元、以及车辆的ECU电气相连,用于控制通信单元将自车位置、自车速度、自车纵向加速度、自车横向加速度以周期性广播形式发送至周围预设距离内的车辆,同时接收周围预设距离内车辆的自车位置、自车速度、自车纵向加速度、自车横向加速度、换道信号;在接收到车辆ECU的变道信号后判断能否换道,如果不能够换道、控制提示单元提醒驾驶员换道不安全,如果能够换道,分别计算出当前时刻自车及协同车辆的横向期望加速度和纵向期望加速度,将自车的横向期望加速度和纵向期望加速度传递给控制单元、将协同车辆的横向期望加速度和纵向期望加速度通过通信单元发送至协同车辆;在接收到其他车辆的换道信号后,将换道车辆传来的纵向期望加速度传递给控制单元;所述换道车辆为发出换道信号的车辆SV,所述协同车辆包括目标车道的相邻前车PV和相邻后车FV,所述非协同车辆包括目标车道上相邻前车PV的前车NPV和相邻后车FV的后车NFV;The decision-making unit is electrically connected to the sensing unit, the communication unit, the control unit, the prompting unit, and the ECU of the vehicle, respectively, and is used to control the communication unit to calculate the position of the vehicle, the speed of the vehicle, the longitudinal acceleration of the vehicle, and the lateral acceleration of the vehicle. It is sent to vehicles within a preset distance in the form of periodic broadcast, and at the same time, the position of the vehicle, the speed of the vehicle, the longitudinal acceleration of the vehicle, the lateral acceleration of the vehicle, and the lane change signal of the vehicle within the preset distance are received; After the lane change signal from the ECU, it is judged whether it is possible to change lanes. If it is not possible to change lanes, the control prompt unit reminds the driver that it is not safe to change lanes. Desired acceleration, transmit the desired lateral acceleration and longitudinal desired acceleration of the own vehicle to the control unit, and send the desired lateral acceleration and longitudinal desired acceleration of the cooperative vehicle to the cooperative vehicle through the communication unit; after receiving the lane change signal of other vehicles, send the desired acceleration The desired longitudinal acceleration from the lane-changing vehicle is transmitted to the control unit; the lane-changing vehicle is the vehicle SV that sends the lane-changing signal, and the cooperative vehicle includes the adjacent preceding vehicle PV and the adjacent rear vehicle FV in the target lane. Non-cooperative vehicles include the front vehicle NPV of the adjacent front vehicle PV and the rear vehicle NFV of the adjacent rear vehicle FV on the target lane;
所述控制单元用于根据接收到的纵向期望加速度、横向期望加速度控制车辆行驶,使车辆的纵向加速度、横向加速度分别等于接收到的纵向期望加速度、横向期望加速度。The control unit is configured to control the running of the vehicle according to the received longitudinal desired acceleration and lateral desired acceleration, so that the longitudinal acceleration and lateral acceleration of the vehicle are respectively equal to the received longitudinal desired acceleration and lateral desired acceleration.
所述提示单元用于通过车载显示器提示驾驶员换道是否可行及换道是否结束;The prompting unit is used to prompt the driver whether the lane change is feasible and whether the lane change is over through the on-board display;
本发明还公开了一种该基于车车通信的多车协同换道控制系统的协同换道控制方法,包含以下步骤:The invention also discloses a coordinated lane change control method of the multi-vehicle coordinated lane change control system based on vehicle-to-vehicle communication, comprising the following steps:
步骤1),DGPS、轮速传感器、横向加速度传感器、纵向加速度传感器分别获得自车位置、自车速度、自车纵向加速度、自车横向加速度并将其处传递给决策单元;Step 1), DGPS, wheel speed sensor, lateral acceleration sensor, longitudinal acceleration sensor respectively obtain the position of the vehicle, the speed of the vehicle, the longitudinal acceleration of the vehicle, and the lateral acceleration of the vehicle and transmit them to the decision-making unit;
步骤2),决策单元控制通信单元将自车位置、自车速度、自车纵向加速度、自车横向加速度以周期性广播形式发送至周围预设距离内的车辆,同时接收周围预设距离内的车辆发送回的各自的位置、速度、纵向加速度和横向加速度;Step 2), the decision-making unit controls the communication unit to send the position of the vehicle, the speed of the vehicle, the longitudinal acceleration of the vehicle, and the lateral acceleration of the vehicle to the vehicles within a preset distance around them in the form of periodic broadcast, and at the same time receive the vehicle within the preset distance. the respective position, velocity, longitudinal and lateral accelerations sent back by the vehicle;
步骤3),如果决策单元接收到自车ECU的变道信号,自车进入所述换道状态,自车为换道车辆:Step 3), if the decision-making unit receives the lane-changing signal from the ECU of the own vehicle, the own vehicle enters the lane-changing state, and the own vehicle is a lane-changing vehicle:
步骤3.1),换道车辆SV的决策单元判断多车协同换道的可行性:Step 3.1), the decision-making unit of the lane-changing vehicle SV judges the feasibility of multi-vehicle cooperative lane-changing:
步骤3.1.1),令自车横向加速度按预设正弦函数变化规律,根据预设标准车道宽度阈值计算换道车辆换道时间Tlc,所述换道时间为车辆从开始换道到结束换道的时间;Step 3.1.1), make the lateral acceleration of the vehicle according to the preset sine function variation law, and calculate the lane-changing vehicle lane-changing time Tlc according to the preset standard lane width threshold, and the lane-changing time is the vehicle from the start of the lane change to the end of the lane change. the time of the Tao;
预设的横向加速度变化规律为:The preset lateral acceleration variation law is:
式中,asv,y(t)为换道车辆横向加速度,ay,max为预设的最大横向加速度阈值,Tlc为变道时间;In the formula, asv, y (t) is the lateral acceleration of the lane-changing vehicle, ay, max is the preset maximum lateral acceleration threshold, and Tlc is the lane-changing time;
步骤3.1.2),令变道过程中非协同车辆保持初始时刻速度匀速行驶,协同车辆FV、PV分别以预设的最大安全减速度阈值和预设的最大安全加速度阈值做匀减速和匀加速运动;令换道车辆以最小纵向加速度aSV,min匀加速至换道中间时刻与FV之间恰好满足所述第一安全距离模型,以最大纵向加速度aSV,max匀加速至结束时刻Tlc与PV之间恰好满足所述第一安全距离模型,求出aSV,min和aSV,max,所述换道中间时刻为从开始换道后时刻;Step 3.1.2), make the non-cooperative vehicles keep the initial speed and drive at a constant speed during the lane change process, and the coordinated vehicles FV and PV perform uniform deceleration and uniform acceleration at the preset maximum safe deceleration threshold and the preset maximum safe acceleration threshold respectively. Movement; let the lane-changing vehicle accelerate uniformly with the minimum longitudinal acceleration aSV, min until the first safety distance model is satisfied between the middle moment of the lane change and FV, and accelerate uniformly with the maximum longitudinal acceleration aSV, max to the end time Tlc The first safety distance model is exactly satisfied with the PV, and aSV,min and aSV,max are obtained. The middle time of the lane change is after the lane change is started. time;
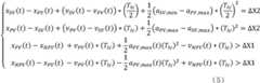
所述第一安全距离模型即换道车辆与协同车辆间的安全距离模型为:The first safety distance model, that is, the safety distance model between the lane-changing vehicle and the cooperative vehicle is:
所述第二安全距离模型即协同车辆与非协同车辆间的安全距离模型为:The second safety distance model, that is, the safety distance model between the cooperative vehicle and the non-cooperative vehicle is:
ΔX2≥ΔX2S=Ts*vf+L+dsΔX2≥ΔX2S =Ts *vf +L+ds
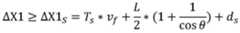
式中,ΔX1为换道车辆与协同车辆质心纵向位置差,ΔX1S为换道车辆与协同车辆的临界安全距离,vf为换道车辆和协同车辆中后车的车速,Ts为预设的驾驶员最大反应时间,L为预设标准车身长度,ds为预设的最小安全停车距离,θ为车体横摆角,ΔX2为非协同车辆与协同车辆质心纵向位置差,ΔX1S为非协同车辆与协同车辆的临界安全距离;In the formula, ΔX1 is the longitudinal position difference of the center of mass of the lane-changing vehicle and the cooperative vehicle, ΔX1S is the critical safety distance between the lane-changing vehicle and the cooperative vehicle, vf is the speed of the rear vehicle in the lane-changing vehicle and the cooperative vehicle, and Ts is the preset The maximum reaction time of the driver, L is the preset standard body length, ds is the preset minimum safe parking distance, θ is the yaw angle of the vehicle body, ΔX2 is the longitudinal position difference of the center of mass between the non-cooperative vehicle and the cooperative vehicle, ΔX1S is the Critical safety distance between non-cooperative vehicles and cooperative vehicles;
步骤3.1.3),若aSV,min<aSV,max,即换道车辆纵向期望加速度存在可行范围,这时判断多车协同换道可行,执行步骤3.2),否则判断换道不可行,执行步骤3.7);Step 3.1.3), if aSV, min < aSV, max , that is, the expected longitudinal acceleration of the lane-changing vehicle has a feasible range, then it is judged that the multi-vehicle coordinated lane change is feasible, and step 3.2) is executed, otherwise it is judged that the lane change is not feasible, Perform step 3.7);
步骤3.2),换道车辆SV通过自车通信单元向协同及非协同车辆发出换道信号,换道车辆与协同车辆开始进行协同换道,非协同车辆进入匀速行驶状态,当前时刻为初始时刻t0;Step 3.2), the lane-changing vehicle SV sends a lane-changing signal to the cooperative and non-cooperative vehicles through the self-vehicle communication unit, the lane-changing vehicle and the cooperative vehicle start to perform a cooperative lane change, and the non-cooperative vehicle enters a state of constant speed driving, and the current time is the initial time t.0 ;
步骤3.3),换道车辆的决策单元利用当前时刻NFV、FV、SV、PV、NPV的位置、速度、纵向加速度、横向加速度通过求解最优规划问题确定自车及协同车辆的纵向期望输入,即纵向期望加速度:Step 3.3), the decision-making unit of the lane-changing vehicle uses the position, velocity, longitudinal acceleration, and lateral acceleration of the NFV, FV, SV, PV, and NPV at the current moment to determine the longitudinal expected input of the ego vehicle and the cooperating vehicle by solving the optimal planning problem, that is, Longitudinal desired acceleration:
所述最优规划问题,采用如下目标函数及约束条件:The optimal planning problem adopts the following objective functions and constraints:
所述目标函数为以总相对动能密度作为多车协同换道控制的优化目标,将换道过程以换道中间时刻为界分成两个阶段,第一阶段即从开始到中间时刻,所述第一阶段目标函数J1为:The objective function is to take the total relative kinetic energy density as the optimization objective of the multi-vehicle cooperative lane change control, and the lane change process is taken as the intermediate time of the lane change. is divided into two stages, the first stage is from the beginning to the middle time, the first stage objective function J1 is:
第二阶段即从中间时间到换道结束时刻,所述第二阶段目标函数J2为:The second stage is from the middle time to the end of the lane change, and the second stage objective function J2 is:
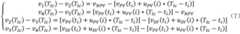
式中,Fj,j+1(Tlc)为换道车辆与协同车辆以所求期望加速度匀加速行驶至换道结束时刻时第j+1辆车与第j辆车的相对能量密度,mj+1为第j+1辆车质量,Lj为第j辆车车身长,xj(Tlc)为换道车辆与协同车辆以所求期望加速度匀加速行驶至换道结束时刻时第j辆车位置,vj(Tlc)为换道车辆与协同车辆以所求期望加速度匀加速行驶至换道结束时刻时第j辆车纵向j塞度;当vj(Tlc)>vj+1(Tlc)时,取vj(Tlc)=vj+1(Tlc);为换道车辆与协同车辆以所求期望加速度匀加速行驶至换道中间时刻时第j+1辆车与第j辆车的相对能量密度,为换道车辆与协同车辆以所求期望加速度匀加速行驶至换道中间时刻时第j辆车位置,为换道车辆与协同车辆以所求期望加速度匀加速行驶至换道中间时刻时第j辆车纵向速度;In the formula, Fj, j+1 (Tlc ) is the relative energy density of the j+1-th vehicle and the j-th vehicle when the lane-changing vehicle and the cooperating vehicle accelerate uniformly at the desired desired acceleration to the end of the lane-changing time, mj+1 is the mass of the j+1 th vehicle, Lj is the body length of the j th vehicle, and xj (Tlc ) is the time when the lane-changing vehicle and the cooperating vehicle accelerate uniformly at the desired desired acceleration to the end time of the lane-changing The position of the j-th vehicle, vj (Tlc ) is the longitudinal jam degree of the j-th vehicle when the lane-changing vehicle and the cooperating vehicle accelerate uniformly at the desired desired acceleration to the end time of the lane-changing; when vj (Tlc )> When vj+1 (Tlc ), take vj (Tlc )=vj+1 (Tlc ); is the relative energy density of the j+1-th vehicle and the j-th vehicle when the lane-changing vehicle and the cooperating vehicle accelerate uniformly at the desired desired acceleration to the middle time of the lane-changing, is the position of the jth vehicle when the lane-changing vehicle and the cooperating vehicle accelerate uniformly at the desired desired acceleration to the middle time of the lane-changing, is the longitudinal speed of the j-th vehicle when the lane-changing vehicle and the cooperating vehicle accelerate uniformly at the desired desired acceleration to the middle time of the lane-changing;
约束条件包括四个部分:一是加速度约束,要求期望加速度在预设的最佳舒适加速度范围内;二是加速度率约束,要求假设车辆以匀加速率加速至期望加速度,该加速度率在预设的最佳舒适加速度率范围内;三是协同车辆与非协同车辆安全距离约束,要求假设协同车辆以各自期望加速度匀加速行驶,在换道结束时刻协同车辆与非协同车辆间满足第一、第二安全距离模型的条件;四是换道车辆与非协同车辆安全距离约束:令换道车辆与协同车辆以各自期望加速度匀加速行驶,在换道结束时刻换道车辆与非协同车辆间满足第一、第二安全距离模型的条件;The constraints include four parts: one is the acceleration constraint, which requires the expected acceleration to be within the preset optimal comfortable acceleration range; the other is the acceleration rate constraint, which requires the vehicle to accelerate to the desired acceleration at a uniform acceleration rate, which is within the preset acceleration rate. The third is the safety distance constraint between the cooperative vehicle and the non-cooperative vehicle, which requires that the cooperative vehicle accelerates uniformly at their respective expected accelerations, and at the end of the lane change, the cooperative vehicle and the non-cooperative vehicle satisfy the first and third The second is the condition of the safety distance model; the fourth is the safety distance constraint between the lane-changing vehicle and the non-cooperative vehicle: let the lane-changing vehicle and the cooperating vehicle accelerate at the respective expected accelerations, and at the end of the lane-changing, the lane-changing vehicle and the non-cooperative vehicle satisfy the first requirement. 1. Conditions of the second safe distance model;
步骤3.4),所述换道车辆通过通信单元将计算得到的纵向期望加速度传给协同车辆,协同车辆获得相应的纵向期望加速度;Step 3.4), the lane-changing vehicle transmits the calculated longitudinal desired acceleration to the cooperative vehicle through the communication unit, and the cooperative vehicle obtains the corresponding longitudinal desired acceleration;
步骤3.5),所述换道车辆的控制单元在当前控制期间内自动控制车辆纵向加速度以匀加速度率变化至纵向期望加速度,同时自动控制车辆横向加速度以预设的横向加速度变化规律至对应时刻的横向期望加速度;Step 3.5), the control unit of the lane-changing vehicle automatically controls the longitudinal acceleration of the vehicle to change to the desired longitudinal acceleration at a uniform acceleration rate during the current control period, and automatically controls the lateral acceleration of the vehicle to change to the corresponding moment with a preset lateral acceleration variation law. lateral desired acceleration;
步骤3.6),所述换道车辆决策系统判断换道时间是否到,如果未到,则从步骤3.3)循环继续到步骤3.6),如果换道时间已到,则开始执行步骤3.7);Step 3.6), the lane-changing vehicle decision-making system judges whether the lane-changing time is up, if not, then cycle from step 3.3) to step 3.6), if the lane-changing time has arrived, then start to execute step 3.7);
步骤3.7),多车协同换道结束,系统停止控制车辆,通信单元将结束信息传给协同与非协同车辆,提示单元通知驾驶员再次操作车辆;Step 3.7), the multi-vehicle cooperative lane change ends, the system stops controlling the vehicle, the communication unit transmits the end information to the cooperative and non-cooperative vehicles, and the prompt unit informs the driver to operate the vehicle again;
步骤4),如果决策单元接收到其他车辆的换道信号:Step 4), if the decision-making unit receives the lane-changing signal of other vehicles:
步骤4.1),自车根据通信单元接收到的换道车辆和预设范围内其他车辆的位置信息判断自车的位置状态:若自车为PV或FV,则通信单元不断接收来自换道车辆发送的纵向期望输入,控制单元根据所述纵向期望输入精确控制自车行驶;若自车为NPV或NFV,则继续保持初始时刻速度进行匀速行驶;Step 4.1), the self-vehicle judges the position state of the self-vehicle according to the position information of the lane-changing vehicle and other vehicles within the preset range received by the communication unit: if the self-vehicle is PV or FV, the communication unit continuously receives the transmission from the lane-changing vehicle. the desired longitudinal input, the control unit precisely controls the driving of the ego vehicle according to the desired longitudinal input; if the ego vehicle is NPV or NFV, it will continue to maintain the initial speed to drive at a constant speed;
步骤4.2),自车通信系统若接收到来自换道车辆的结束信息,提示单元提示驾驶员再次操作车辆。Step 4.2), if the self-vehicle communication system receives the end information from the lane-changing vehicle, the prompting unit prompts the driver to operate the vehicle again.
本发明的积极效果在于:The positive effects of the present invention are:
1、充分利用车车通信技术实现换道车辆与周围车辆的信息共享,不仅针对目标车辆即换道车辆进行轨迹规划与控制,同时对周围车辆即协同车辆也进行决策优化与控制,实现车车协同变道;1. Make full use of vehicle-to-vehicle communication technology to achieve information sharing between lane-changing vehicles and surrounding vehicles, not only for trajectory planning and control of target vehicles, namely lane-changing vehicles, but also for decision-making optimization and control of surrounding vehicles, that is, cooperative vehicles. coordinated lane change;
2、能在换道过程中实现对车辆的实时动态优化与调整;2. Real-time dynamic optimization and adjustment of vehicles can be realized during the lane changing process;
3、除关注换道过程的安全性外,兼顾考虑了驾驶员舒适性等其他因素。3. In addition to paying attention to the safety of the lane changing process, other factors such as driver comfort are also considered.
附图说明Description of drawings
图1是本发明应用的目标场景示意图;Fig. 1 is the target scene schematic diagram of application of the present invention;
图2是本发明中协同换道控制方法车辆处于换道状态的运行流程图;Fig. 2 is the operation flow chart of the vehicle in the lane-changing state of the cooperative lane-changing control method of the present invention;
图3是本发明中车辆处于协同与非协同状态的运行流程图;Fig. 3 is the operation flow chart of the vehicle in the cooperative state and the non-cooperative state in the present invention;
图4是本发明的结构示意图。Figure 4 is a schematic structural diagram of the present invention.
具体实施方式Detailed ways
下面结合附图对本发明的技术方案做进一步的详细说明:Below in conjunction with accompanying drawing, the technical scheme of the present invention is described in further detail:
以图1的换道汇入场景为例:假设车辆的行驶方向向右,右侧车道中的换道车辆(以下简称SV)打算切入目标车道前车(以下简称PV)和目标车道后车(以下简称FV)之间的目标车道,SV、PV和FV是在整个换道过程中根据所提出的方法相互协作并在换道后恢复为人驾驶车辆的主动车辆,PV为换道车辆,FV、PV为协同车辆,FV的后车NFV和PV的前车NPV为非协同车辆,该策略规定其始终保持换道初始时刻速度行驶。每辆车之间均可以通过车车通信技术发送和接收各自车辆及其他车辆的行驶信息,包括当前时刻的位置、速度、加速度等,每辆车的位置由质心位置表示。Take the lane-changing and merging scene in Figure 1 as an example: Assuming that the vehicle is driving to the right, the lane-changing vehicle (hereinafter referred to as SV) in the right lane intends to cut into the vehicle in front of the target lane (hereinafter referred to as PV) and the vehicle behind the target lane ( SV, PV and FV are the active vehicles that cooperate with each other according to the proposed method during the whole lane-changing process and recover as a human-driven vehicle after the lane-changing, PV is the lane-changing vehicle, FV, The PV is a cooperative vehicle, the NFV of the rear vehicle of the FV and the NPV of the front vehicle of the PV are the non-cooperative vehicles. Each vehicle can send and receive the driving information of its own vehicle and other vehicles through the vehicle-to-vehicle communication technology, including the current position, speed, acceleration, etc. The position of each vehicle is represented by the position of the center of mass.
如图4所示,本发明公开了一种基于车车通信的多车协同换道控制系统,包含设置在各个车辆上的协同换道模块,所述协同换道模块包含感知单元、通信单元、决策单元、控制单元和提示单元;As shown in FIG. 4 , the present invention discloses a multi-vehicle cooperative lane-changing control system based on vehicle-to-vehicle communication, including a cooperative lane-changing module arranged on each vehicle, and the cooperative lane-changing module includes a sensing unit, a communication unit, a decision-making unit, control unit and prompting unit;
所述感知单元包含差分全球定位系统DGPS、CAN总线、轮速传感器、横向加速度传感器和纵向加速度传感器,DGPS、轮速传感器、横向加速度传感器、纵向加速度传感器均通过所述CAN总线和所述决策单元相连;其中,差分全球定位系统DGPS用于实时定位车辆位置并将其传递给所述决策单元;轮速传感器安装在车轮上,用于实时获取自车速度并将其传递给所述决策单元;纵向加速度传感器、横向加速度传感器分别用于实时获取自车纵向加速度、横向加速度,并将其传递给所述决策单元;The sensing unit includes DGPS, CAN bus, wheel speed sensor, lateral acceleration sensor and longitudinal acceleration sensor. DGPS, wheel speed sensor, lateral acceleration sensor and longitudinal acceleration sensor all pass through the CAN bus and the decision-making unit. Wherein, the differential global positioning system DGPS is used to locate the vehicle position in real time and transmit it to the decision-making unit; the wheel speed sensor is installed on the wheel to obtain the speed of the vehicle in real time and transmit it to the decision-making unit; The longitudinal acceleration sensor and the lateral acceleration sensor are respectively used to obtain the longitudinal acceleration and lateral acceleration of the self-vehicle in real time, and transmit them to the decision-making unit;
所述通信单元用于通过DSRC设备实现预设距离内车辆间信息的交换;The communication unit is used to realize the exchange of information between vehicles within a preset distance through the DSRC device;
所述决策单元分别和所述感知单元、通信单元、控制单元、提示单元、以及车辆的ECU电气相连,用于控制通信单元将自车位置、自车速度、自车纵向加速度、自车横向加速度以周期性广播形式发送至周围预设距离内的车辆,同时接收周围预设距离内车辆的自车位置、自车速度、自车纵向加速度、自车横向加速度、换道信号;在接收到车辆ECU的变道信号后判断能否换道,如果不能够换道、控制提示单元提醒驾驶员换道不安全,如果能够换道,分别计算出当前时刻自车及协同车辆的横向期望加速度和纵向期望加速度,将所述横向期望加速度和纵向期望加速度传递给控制单元和通信单元;在接收到其他车辆的换道信号后,判断所处行驶状态,将换道车辆传来的纵向期望加速度传递给控制单元;所述换道车辆为发出换道信号的车辆,所述协同车辆包括目标车道相邻前车和后车,所述非协同车辆包括目标车道上非相邻前车和后车;The decision-making unit is electrically connected to the sensing unit, the communication unit, the control unit, the prompting unit, and the ECU of the vehicle, respectively, and is used to control the communication unit to calculate the position of the vehicle, the speed of the vehicle, the longitudinal acceleration of the vehicle, and the lateral acceleration of the vehicle. It is sent to vehicles within a preset distance in the form of periodic broadcast, and at the same time, the position of the vehicle, the speed of the vehicle, the longitudinal acceleration of the vehicle, the lateral acceleration of the vehicle, and the lane change signal of the vehicle within the preset distance are received; After the lane change signal from the ECU, it is judged whether it is possible to change lanes. If it is not possible to change lanes, the control prompt unit reminds the driver that it is not safe to change lanes. After receiving the lane-changing signal from other vehicles, determine the driving state, and transmit the desired longitudinal acceleration from the lane-changing vehicle to the desired acceleration. a control unit; the lane-changing vehicle is a vehicle that sends a lane-changing signal, the cooperative vehicle includes a preceding vehicle and a rear vehicle adjacent to the target lane, and the non-cooperative vehicle includes a non-adjacent preceding vehicle and a rear vehicle on the target lane;
所述控制单元用于根据接收到的纵向期望加速度、横向期望加速度控制车辆行驶,使车辆的纵向加速度、横向加速度分别等于接收到的纵向期望加速度、横向期望加速度;The control unit is configured to control the driving of the vehicle according to the received longitudinal desired acceleration and lateral desired acceleration, so that the longitudinal acceleration and lateral acceleration of the vehicle are respectively equal to the received longitudinal desired acceleration and lateral desired acceleration;
所述提示单元用于通过车载显示器提示驾驶员换道是否可行及换道是否结束;The prompting unit is used to prompt the driver whether the lane change is feasible and whether the lane change is over through the on-board display;
如图2所示,本发明还公开了一种该基于车车通信的多车协同换道控制系统的协同换道控制方法,车辆包括换道、协同换道与非协同换道三种状态,包含以下步骤:As shown in FIG. 2 , the present invention also discloses a cooperative lane change control method of the multi-vehicle cooperative lane change control system based on vehicle-to-vehicle communication. The vehicle includes three states: lane change, cooperative lane change and non-cooperative lane change. Contains the following steps:
步骤1),DGPS、轮速传感器、横向加速度传感器、纵向加速度传感器分别获得自车位置、自车速度、自车纵向加速度、自车横向加速度并将其处传递给决策单元;Step 1), DGPS, wheel speed sensor, lateral acceleration sensor, longitudinal acceleration sensor respectively obtain the position of the vehicle, the speed of the vehicle, the longitudinal acceleration of the vehicle, and the lateral acceleration of the vehicle and transmit them to the decision-making unit;
步骤2),决策单元控制通信单元将自车位置、自车速度、自车纵向加速度、自车横向加速度以周期性广播形式发送至周围预设距离内的车辆,同时接收周围预设距离内的车辆发送回的各自的位置、速度、纵向加速度和横向加速度;Step 2), the decision-making unit controls the communication unit to send the position of the vehicle, the speed of the vehicle, the longitudinal acceleration of the vehicle, and the lateral acceleration of the vehicle to the vehicles within a preset distance around them in the form of periodic broadcast, and at the same time receive the vehicle within the preset distance. the respective position, velocity, longitudinal and lateral accelerations sent back by the vehicle;
步骤3),如果决策单元接收到自车ECU的变道信号,自车进入所述换道状态,自车为换道车辆:Step 3), if the decision-making unit receives the lane-changing signal from the ECU of the own vehicle, the own vehicle enters the lane-changing state, and the own vehicle is a lane-changing vehicle:
步骤3.1),换道车辆SV的决策单元根据自车位置、自车速度、自车纵向加速度、自车横向加速度判断多车协同换道的可行性:Step 3.1), the decision-making unit of the lane-changing vehicle SV judges the feasibility of multi-vehicle cooperative lane changing according to the position of the vehicle, the speed of the vehicle, the longitudinal acceleration of the vehicle, and the lateral acceleration of the vehicle:
步骤3.1.1),在进行换道可行性的判断前先计算换道时间Tlc,所述换道时间Tlc是指换道车辆从开始起步换道到结束换道的时间,其与本发明提出的换道车辆SV横向控制策略有关;Step 3.1.1), before judging the feasibility of changing lanes, calculate the lane-changing time Tlc , the lane-changing time Tlc refers to the time from the start of the lane-changing vehicle to the end of the lane-changing time, which is different from this time. It is related to the SV lateral control strategy of the lane-changing vehicle proposed by the invention;
在所述换道车辆横向控制策略策略中,我们令变道车辆的横向加速度按照正弦函数变化:In the lateral control strategy of the lane-changing vehicle, we make the lateral acceleration of the lane-changing vehicle vary according to a sine function:
其中asv,y(t)为换道车辆SV横向加速度,ay,max为最大横向加速度,Tlc即为变道时间;where asv, y(t) is the lateral acceleration of the lane-changing vehicle SV, ay, max is the maximum lateral acceleration, and Tlc is the lane-changing time;
将上式积分两次,即可得到换道车辆SV的横向位置变化规律:By integrating the above formula twice, the lateral position change rule of the lane-changing vehicle SV can be obtained:
取标准车道宽为3.5m,即令ysv,y(t)=3.5,则可求得换道时间Taking the standard lane width as 3.5m, even if ysv, y(t) = 3.5, the lane change time can be obtained
步骤3.1.2),确定车间安全距离模型;Step 3.1.2), determine the workshop safety distance model;
定义换道车辆与协同车辆间的安全距离模型,即第一安全距离模型为:Define the safety distance model between the lane-changing vehicle and the cooperative vehicle, that is, the first safety distance model is:
协同车辆与非协同车辆间的安全距离模型,即第二安全距离模型为:The safety distance model between cooperative vehicles and non-cooperative vehicles, that is, the second safety distance model is:
ΔX2≥ΔX2S=Ts*vf+L+ds (4)ΔX2≥ΔX2S =Ts *vf +L+ds (4)
式中,ΔX1为换道车辆与协同车辆质心纵向位置差,ΔX1S为换道车辆与协同车辆的临界安全距离,vf为后车车速,Ts为预设的驾驶员最大反应时间,L为预设标准车身长度,ds为预设最小安全停车距离,θ为车体横摆角,ΔX2为非协同车辆与协同车辆质心纵向位置差,ΔX1S为非协同车辆与协同车辆的临界安全距离;In the formula, ΔX1 is the longitudinal position difference of the center of mass of the lane-changing vehicle and the cooperative vehicle, ΔX1S is the critical safety distance between the lane-changing vehicle and the cooperative vehicle, vf is the speed of the rear vehicle, Ts is the preset maximum reaction time of the driver, L is the preset standard body length, ds is the preset minimum safe parking distance, θ is the yaw angle of the vehicle body, ΔX2 is the longitudinal position difference of the center of mass of the non-cooperative vehicle and the cooperative vehicle, ΔX1S is the critical safety of the non-cooperative vehicle and the cooperative vehicle distance;
步骤3.1.3),计算换道车辆SV纵向期望加速度可行范围;Step 3.1.3), calculate the feasible range of the expected longitudinal acceleration of the lane-changing vehicle SV;
令变道过程中非协同车辆保持初始时刻速度匀速行驶,协同车辆FV、PV分别以预设的最大安全减速度阈值和预设的最大安全加速度阈值做匀减速和匀加速运动,换道车辆以最小纵向加速度aSV,min匀加速至换道中间时刻与FV之间恰好满足所述第一安全距离模型,以最大纵向加速度aSV,max匀加速至结束时刻Tlc与PV之间恰好满足所述第一安全距离模型,求出aSV,min和aSV,max;根据所述计算方案,aSV,min,aSV,max可通过下列方程组求解:During the lane changing process, the non-cooperative vehicles keep the initial speed and drive at a uniform speed, and the cooperative vehicles FV and PV perform uniform deceleration and uniform acceleration at the preset maximum safe deceleration threshold and preset maximum safe acceleration threshold respectively. Minimum longitudinal acceleration aSV, min uniform acceleration to the middle moment of lane change and FV just meet the first safety distance model, with the maximum longitudinal acceleration aSV, max uniform acceleration to the end time Tlc and PV just meet the first safety distance model, find aSV, min and aSV, max ; according to the calculation scheme, aSV, min , aSV, max can be solved by the following equations:
步骤3.1.4),换道可行性判断;Step 3.1.4), determine the feasibility of changing lanes;
若在步骤3.1.3所述假设情况下,存在换道车辆SV纵向期望加速度可行范围,即所求aSV,min<aSV,max,这时可行性判断合格,否则不合格;If under the assumption described in step 3.1.3, there is a feasible range of the expected longitudinal acceleration of the lane-changing vehicle SV, that is, the required aSV,min <aSV,max , then the feasibility judgment is qualified, otherwise it is not qualified;
步骤3.2),SV通过通信单元向PV、FV、NFV、NPV发出换道信号,换道车辆SV与协同车辆PV、FV开始进行协同换道,非协同车辆NFV、NPV进入匀速行驶状态,同时,换道车辆SV再次收集当前时刻t0下与步骤2相同的信息,作为初始时刻参数;Step 3.2), the SV sends a lane-changing signal to PV, FV, NFV, and NPV through the communication unit, and the lane-changing vehicle SV and the coordinated vehicle PV and FV begin to perform a coordinated lane change, and the non-cooperative vehicle NFV and NPV enter a state of constant speed driving. At the same time, The lane-changing vehicle SV collects the same information as in step 2 at the current time t0 again as the initial time parameter;
步骤3.3),换道车辆利用当前时刻三辆车的参数信息,通过求解最优规划问题,确定三辆车的期望纵向加速度,这一步是整个过程的关键,也是最重要的一步;Step 3.3), the lane-changing vehicle uses the parameter information of the three vehicles at the current moment to determine the expected longitudinal acceleration of the three vehicles by solving the optimal planning problem. This step is the key to the entire process and the most important step;
所述最优规划问题以总相对动能密度作为多车协同换道控制的优化目标,将换道过程以中间时刻为界分成两个阶段,第一阶段即在开始到中间时刻目标函数为:The optimal planning problem takes the total relative kinetic energy density as the optimization objective of multi-vehicle cooperative lane-changing control, and takes the lane-changing process as an intermediate time. It is divided into two stages for the boundary. The first stage is the objective function from the beginning to the middle time:
第二阶段即从中间时刻到换道结束时刻目标函数为:The second stage, that is, from the middle time to the end of the lane change, the objective function is:
式中,Fj,j+1(Tlc)为换道车辆与协同车辆以所求期望加速度匀加速行驶至换道结束时刻时第j+1辆车与第j辆车的相对能量密度,mj+1为第j+1辆车质量,Lj为第j辆车车身长,xj(Tlc)为换道车辆与协同车辆以所求期望加速度匀加速行驶至换道结束时刻时第j辆车位置,vj(Tlc)为换道车辆与协同车辆以所求期望加速度匀加速行驶至换道结束时刻时第j辆车纵向速度,特别的,当vj(Tlc)>vj+1(Tlc)时,取vj(Tlc)=vj+1(Tlc),为换道车辆与协同车辆以所求期望加速度匀加速行驶至换道中间时刻时第j+1辆车与第j辆车的相对能量密度,为换道车辆与协同车辆以所求期望加速度匀加速行驶至换道中间时刻时第j辆车位置,为换道车辆与协同车辆以所求期望加速度匀加速行驶至换道中间时刻时第j辆车纵向速度;In the formula, Fj, j+1 (Tlc ) is the relative energy density of the j+1-th vehicle and the j-th vehicle when the lane-changing vehicle and the cooperating vehicle accelerate uniformly at the desired desired acceleration to the end of the lane-changing time, mj+1 is the mass of the j+1 th vehicle, Lj is the body length of the j th vehicle, and xj (Tlc ) is the time when the lane-changing vehicle and the cooperating vehicle accelerate uniformly at the desired desired acceleration to the end time of the lane-changing The position of the j-th vehicle, vj (Tlc ) is the longitudinal velocity of the j-th vehicle when the lane-changing vehicle and the cooperating vehicle accelerate uniformly at the desired desired acceleration to the end of the lane-changing time. In particular, when vj (Tlc ) When >vj+1 (Tlc ), take vj (Tlc )=vj+1 (Tlc ), is the relative energy density of the j+1-th vehicle and the j-th vehicle when the lane-changing vehicle and the cooperating vehicle accelerate uniformly at the desired desired acceleration to the middle time of the lane-changing, is the position of the jth vehicle when the lane-changing vehicle and the cooperating vehicle accelerate uniformly at the desired desired acceleration to the middle time of the lane-changing, is the longitudinal speed of the j-th vehicle when the lane-changing vehicle and the cooperating vehicle accelerate uniformly at the desired desired acceleration to the middle time of the lane-changing;
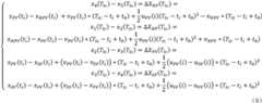
所述目标函数中参数xj(Tlc)-xj+1(Tlc)、vj(Tlc)-vj+1(Tlc)具体计算方法如下:The specific calculation methods of parameters xj (Tlc )-xj+1 (Tlc ), vj (Tlc )-vj+1 (Tlc ) in the objective function are as follows:
其中,uX(i)即为所求车辆X第i个控制周期内的纵向期望加速度,xX(ti)为车辆X在ti时刻的纵向位置,vX(ti)为车辆X在ti时刻的纵向速度;Among them, uX (i) is the desired longitudinal acceleration of the vehicle X in the ith control cycle, xX (ti ) is the longitudinal position of the vehicle X at time ti , and vX (ti ) is the vehicle X longitudinal velocity at time ti ;
所述最优规划问题的约束条件包括以下四个部分;The constraints of the optimal planning problem include the following four parts;
一是加速度约束:One is the acceleration constraint:
其中ucmin、ucmax为预设的最佳舒适加速度范围的最小值和最大值,ubmin为预设的最大减速度;Among them, ucmin and ucmax are the minimum and maximum values of the preset optimal comfortable acceleration range, and ubmin is the preset maximum deceleration;
二是加速度率约束:The second is the acceleration rate constraint:
其中,Jcmax为预设的最佳舒适加速度率范围的最大值;Among them, Jcmax is the maximum value of the preset optimal comfortable acceleration rate range;
三是协同车辆与非协同车辆安全距离约束(所述约束是在假设协同车辆以该期望加速度匀加速行驶,在换道结束时刻两车间满足安全距离模型的条件下建立的):The third is the safety distance constraint between the cooperative vehicle and the non-cooperative vehicle (the constraint is established on the assumption that the cooperative vehicle travels at the expected acceleration with uniform acceleration, and the two vehicles satisfy the safety distance model at the end of the lane change):
其中ΔXNF(Tlc)、ΔXNP(Tlc)表示假设FV、PV以该期望加速度匀加速行驶,在换道结束时刻时刻NFV与FV、NPV与PV纵向间距,具体计算见公式8;Among them, ΔXNF (Tlc ) and ΔXNP (Tlc ) represent the longitudinal distances between NFV and FV, NPV and PV at the end of lane change, assuming that FV and PV drive at the desired acceleration uniformly.
四是换道车辆与非协同车辆安全距离约束:Fourth, the safety distance constraints between lane-changing vehicles and non-cooperative vehicles:
其中ΔXSF(Tlc)、ΔXSP(Tlc)表示假设协同车辆与换道车辆以各自期望加速度匀加速行驶,在换道结束时刻时刻SV与FV、SV与PV纵向间距具体计算见公式(8);Among them, ΔXSF (Tlc ) and ΔXSP (Tlc ) represent the assumption that the cooperating vehicle and the lane-changing vehicle are traveling at uniform acceleration with their respective expected accelerations. The specific calculation of the longitudinal distances between SV and FV, and SV and PV at the end of the lane-changing time is shown in the formula ( 8);
步骤3.4),所述换道车辆通过通信单元将计算得到的纵向期望加速度传给协同车辆,协同车辆获得相应的纵向期望加速度;Step 3.4), the lane-changing vehicle transmits the calculated longitudinal desired acceleration to the cooperative vehicle through the communication unit, and the cooperative vehicle obtains the corresponding longitudinal desired acceleration;
步骤3.5),所述换道车辆的控制单元在当前控制期间内自动控制车辆纵向加速度以预设最大纵向加速度率变化至纵向期望加速度,同时自动控制车辆横向加速度以预设正弦函数规律变化至对应时刻的横向期望加速度;Step 3.5), the control unit of the lane-changing vehicle automatically controls the longitudinal acceleration of the vehicle to change to the desired longitudinal acceleration with a preset maximum longitudinal acceleration rate during the current control period, and automatically controls the lateral acceleration of the vehicle to change to the corresponding longitudinal acceleration with a preset sine function law. lateral desired acceleration at time;
步骤3.6),所述换道车辆决策系统判断换道时间是否到,如果未到,则从步骤3.2)循环继续到步骤3.6),如果换道时间已到,则开始执行步骤3.7);Step 3.6), the lane-changing vehicle decision-making system judges whether the lane-changing time is up, if not, then cycle from step 3.2) to step 3.6), if the lane-changing time has arrived, then start to execute step 3.7);
步骤3.7),多车协同换道结束,系统停止控制车辆,通信单元将结束信息传给协同与非协同车辆,提示单元通知驾驶员再次操作车辆;Step 3.7), the multi-vehicle cooperative lane change ends, the system stops controlling the vehicle, the communication unit transmits the end information to the cooperative and non-cooperative vehicles, and the prompt unit informs the driver to operate the vehicle again;
步骤4),如图3所示,如果决策单元接收到其他车辆的换道信号,车辆进入所述协同或非协同状态,此时发出换道信号的车辆为换道车辆,自车为协同或非协同车辆,当前时刻为换道初始时刻:Step 4), as shown in Figure 3, if the decision-making unit receives the lane-changing signal of other vehicles, the vehicle enters the cooperative or non-cooperative state, and the vehicle that sends the lane-changing signal is a lane-changing vehicle, and the own vehicle is a cooperative or non-cooperative vehicle. For non-cooperative vehicles, the current moment is the initial moment of lane change:
步骤4.1),自车根据通信单元接收到的换道车辆和预设范围内其他车辆的位置信息判断自车行驶状态:若自车与换道车辆相邻,则进入协同状态;若自车处于换道车辆相邻车辆的前、后方,则进入非协同状态;Step 4.1), the self-vehicle judges the driving state of the self-vehicle according to the position information of the lane-changing vehicle received by the communication unit and other vehicles within the preset range: if the self-vehicle is adjacent to the lane-changing vehicle, it will enter the cooperative state; The front and rear of adjacent vehicles of the lane-changing vehicle enter the non-cooperative state;
步骤4.2),自车若处于所述协同状态,则通信单元不断接收来自换道车辆发送的纵向期望输入,控制单元根据所述纵向期望输入精确控制自车行驶;若处于协同状态,则继续保持初始时刻速度进行匀速行驶;Step 4.2), if the self-vehicle is in the cooperative state, the communication unit continuously receives the longitudinal desired input sent from the lane-changing vehicle, and the control unit precisely controls the driving of the self-vehicle according to the longitudinal desired input; if it is in the cooperative state, it continues to maintain Drive at a uniform speed at the initial moment;
步骤4.3),自车通信系统若接收到来自换道车辆的结束信息,提示单元提示驾驶员再次操作车辆;Step 4.3), if the self-vehicle communication system receives the end information from the lane-changing vehicle, the prompting unit prompts the driver to operate the vehicle again;
以上提供的控制方法中的可行性判断、参数计算、方程求解等内容可以通过软件编程实现。The feasibility judgment, parameter calculation, equation solving, etc. in the control method provided above can be realized by software programming.
本技术领域技术人员可以理解的是,除非另外定义,这里使用的所有术语(包括技术术语和科学术语)具有与本发明所属领域中的普通技术人员的一般理解相同的意义。还应该理解的是,诸如通用字典中定义的那些术语应该被理解为具有与现有技术的上下文中的意义一致的意义,并且除非像这里一样定义,不会用理想化或过于正式的含义来解释。It will be understood by those skilled in the art that, unless otherwise defined, all terms (including technical and scientific terms) used herein have the same meaning as commonly understood by one of ordinary skill in the art to which this invention belongs. It should also be understood that terms such as those defined in the general dictionary should be understood to have meanings consistent with their meanings in the context of the prior art and, unless defined as herein, are not to be taken in an idealized or overly formal sense. explain.
以上所述的具体实施方式,对本发明的目的、技术方案和有益效果进行了进一步详细说明,所应理解的是,以上所述仅为本发明的具体实施方式而已,并不用于限制本发明,凡在本发明的精神和原则之内,所做的任何修改、等同替换、改进等,均应包含在本发明的保护范围之内。The specific embodiments described above further describe the purpose, technical solutions and beneficial effects of the present invention in further detail. It should be understood that the above descriptions are only specific embodiments of the present invention, and are not intended to limit the present invention. Any modification, equivalent replacement, improvement, etc. made within the spirit and principle of the present invention shall be included within the protection scope of the present invention.
| Application Number | Priority Date | Filing Date | Title |
|---|---|---|---|
| CN202010766329.4ACN112040392B (en) | 2020-08-03 | 2020-08-03 | A multi-vehicle cooperative lane change control system and method based on vehicle-vehicle communication |
| Application Number | Priority Date | Filing Date | Title |
|---|---|---|---|
| CN202010766329.4ACN112040392B (en) | 2020-08-03 | 2020-08-03 | A multi-vehicle cooperative lane change control system and method based on vehicle-vehicle communication |
| Publication Number | Publication Date |
|---|---|
| CN112040392Atrue CN112040392A (en) | 2020-12-04 |
| CN112040392B CN112040392B (en) | 2021-07-09 |
| Application Number | Title | Priority Date | Filing Date |
|---|---|---|---|
| CN202010766329.4AActiveCN112040392B (en) | 2020-08-03 | 2020-08-03 | A multi-vehicle cooperative lane change control system and method based on vehicle-vehicle communication |
| Country | Link |
|---|---|
| CN (1) | CN112040392B (en) |
| Publication number | Priority date | Publication date | Assignee | Title |
|---|---|---|---|---|
| CN113177663A (en)* | 2021-05-20 | 2021-07-27 | 启迪云控(上海)汽车科技有限公司 | Method and system for processing intelligent network connection application scene |
| CN113253728A (en)* | 2021-05-18 | 2021-08-13 | 兆边(上海)科技有限公司 | Control response type distributed vehicle collaborative formation method and device and terminal equipment |
| CN113301533A (en)* | 2021-07-28 | 2021-08-24 | 武汉理工大学 | Perception information compensation system and method based on vehicle-vehicle communication |
| US20210331672A1 (en)* | 2018-09-25 | 2021-10-28 | Volkswagen Aktiengesellschaft | Method and Device for Supporting a Lane Changing Procedure for a Vehicle |
| CN114454884A (en)* | 2022-02-28 | 2022-05-10 | 重庆长安汽车股份有限公司 | Automatic driving vehicle cooperative lane changing method and equipment |
| CN114566065A (en)* | 2022-03-04 | 2022-05-31 | 中智行(苏州)科技有限公司 | Multi-vehicle cooperative lane changing method based on vehicle-road cooperation |
| CN114771553A (en)* | 2022-06-21 | 2022-07-22 | 国汽智控(北京)科技有限公司 | Method and device for controlling vehicle running, vehicle and storage medium |
| CN114999229A (en)* | 2022-08-02 | 2022-09-02 | 联友智连科技有限公司 | Method, system and readable storage medium for changing lane of vehicle |
| CN115384497A (en)* | 2022-05-25 | 2022-11-25 | 东北林业大学 | Intelligent vehicle wet and slippery road surface lane change track planning method and system |
| CN115830886A (en)* | 2023-02-09 | 2023-03-21 | 西南交通大学 | Method, device, equipment and medium for calculating time series of intelligent networked vehicle cooperative lane change |
| Publication number | Priority date | Publication date | Assignee | Title |
|---|---|---|---|---|
| CN103496366A (en)* | 2013-09-09 | 2014-01-08 | 北京航空航天大学 | Active-lane-changing collision-avoidance control method and device based on vehicle-vehicle coordination |
| CN104900089A (en)* | 2015-06-27 | 2015-09-09 | 奇瑞汽车股份有限公司 | Lane-changing early warning device based on vehicle-vehicle coordination |
| CN104960524A (en)* | 2015-07-16 | 2015-10-07 | 北京航空航天大学 | Multi-vehicle coordinating lane changing control system and method based on vehicle-vehicle communication |
| CN105679093A (en)* | 2016-02-23 | 2016-06-15 | 江苏大学 | Multi-vehicle coordination collision avoidance system and method based on vehicle-vehicle communication |
| US20170287331A1 (en)* | 2016-03-31 | 2017-10-05 | Delphi Technologies, Inc. | Cooperative Automated Vehicle System |
| CN108717268A (en)* | 2018-06-22 | 2018-10-30 | 南京航空航天大学 | The fastest maneuvering control system and control method for automatic driving based on optimal control and safety distance |
| Publication number | Priority date | Publication date | Assignee | Title |
|---|---|---|---|---|
| CN103496366A (en)* | 2013-09-09 | 2014-01-08 | 北京航空航天大学 | Active-lane-changing collision-avoidance control method and device based on vehicle-vehicle coordination |
| CN104900089A (en)* | 2015-06-27 | 2015-09-09 | 奇瑞汽车股份有限公司 | Lane-changing early warning device based on vehicle-vehicle coordination |
| CN104960524A (en)* | 2015-07-16 | 2015-10-07 | 北京航空航天大学 | Multi-vehicle coordinating lane changing control system and method based on vehicle-vehicle communication |
| CN105679093A (en)* | 2016-02-23 | 2016-06-15 | 江苏大学 | Multi-vehicle coordination collision avoidance system and method based on vehicle-vehicle communication |
| US20170287331A1 (en)* | 2016-03-31 | 2017-10-05 | Delphi Technologies, Inc. | Cooperative Automated Vehicle System |
| CN108717268A (en)* | 2018-06-22 | 2018-10-30 | 南京航空航天大学 | The fastest maneuvering control system and control method for automatic driving based on optimal control and safety distance |
| Title |
|---|
| FEN LIN, KAIZHENG WANG, YOUQUN ZHAO, SHAOBO WANG: "Integrated Avoid Collision Control of Autonomous Vehicle Based on Trajectory Re-Planning and V2V Information Interaction", 《SENSORS (BASEL)》* |
| LUKUN WANG, XIAOYING ZHAO, HAO SU, GONGYOU TANG: "Lane changing trajectory planning and tracking control for intelligent vehicle on curved road", 《SPRINGERPLUS》* |
| Publication number | Priority date | Publication date | Assignee | Title |
|---|---|---|---|---|
| US11745739B2 (en)* | 2018-09-25 | 2023-09-05 | Volkswagen Aktiengesellschaft | Method and device for supporting a lane changing procedure for a vehicle |
| US20210331672A1 (en)* | 2018-09-25 | 2021-10-28 | Volkswagen Aktiengesellschaft | Method and Device for Supporting a Lane Changing Procedure for a Vehicle |
| CN113253728A (en)* | 2021-05-18 | 2021-08-13 | 兆边(上海)科技有限公司 | Control response type distributed vehicle collaborative formation method and device and terminal equipment |
| CN113177663A (en)* | 2021-05-20 | 2021-07-27 | 启迪云控(上海)汽车科技有限公司 | Method and system for processing intelligent network connection application scene |
| CN113177663B (en)* | 2021-05-20 | 2023-11-24 | 云控智行(上海)汽车科技有限公司 | Processing method and system of intelligent network application scene |
| CN113301533A (en)* | 2021-07-28 | 2021-08-24 | 武汉理工大学 | Perception information compensation system and method based on vehicle-vehicle communication |
| CN113301533B (en)* | 2021-07-28 | 2021-11-23 | 武汉理工大学 | Perception information compensation system and method based on vehicle-vehicle communication |
| CN114454884A (en)* | 2022-02-28 | 2022-05-10 | 重庆长安汽车股份有限公司 | Automatic driving vehicle cooperative lane changing method and equipment |
| CN114566065A (en)* | 2022-03-04 | 2022-05-31 | 中智行(苏州)科技有限公司 | Multi-vehicle cooperative lane changing method based on vehicle-road cooperation |
| CN114566065B (en)* | 2022-03-04 | 2024-02-27 | 天翼交通科技有限公司 | Multi-vehicle cooperation type lane changing method based on vehicle-road cooperation |
| CN115384497A (en)* | 2022-05-25 | 2022-11-25 | 东北林业大学 | Intelligent vehicle wet and slippery road surface lane change track planning method and system |
| CN115384497B (en)* | 2022-05-25 | 2025-07-29 | 东北林业大学 | Intelligent vehicle wet and slippery road surface lane change track planning method and system |
| CN114771553A (en)* | 2022-06-21 | 2022-07-22 | 国汽智控(北京)科技有限公司 | Method and device for controlling vehicle running, vehicle and storage medium |
| CN114999229A (en)* | 2022-08-02 | 2022-09-02 | 联友智连科技有限公司 | Method, system and readable storage medium for changing lane of vehicle |
| CN115830886A (en)* | 2023-02-09 | 2023-03-21 | 西南交通大学 | Method, device, equipment and medium for calculating time series of intelligent networked vehicle cooperative lane change |
| Publication number | Publication date |
|---|---|
| CN112040392B (en) | 2021-07-09 |
| Publication | Publication Date | Title |
|---|---|---|
| CN112040392A (en) | Multi-vehicle cooperative lane change control system and method based on vehicle-to-vehicle communication | |
| CN113246985B (en) | Intelligent network vehicle merging and changing control method for expressway ramps under mixed-traveling condition | |
| CN104960524B (en) | Many cars collaboration lane change control system and its method based on truck traffic | |
| CN106218638B (en) | A Coordinated Lane Changing Control Method for Intelligent Networked Vehicles | |
| CN106601002B (en) | Entrance ramp vehicle passing guiding system and method under Internet of vehicles environment | |
| CN108447266B (en) | An intelligent networked vehicle collaborative lane change and queuing control method | |
| CN113799800B (en) | Automatic lane changing and overtaking track planning method for unmanned vehicle | |
| CN114613179B (en) | Gathering traffic method and control system for networked autonomous vehicles at mixed intersections | |
| CN108986488B (en) | A method and device for determining a collaborative trajectory of a ramp-merge in a vehicle-to-vehicle communication environment | |
| CN106991846B (en) | A control method for forced lane change of expressway vehicles in the environment of the Internet of Vehicles | |
| CN109410561B (en) | Uniform and heterogeneous formation driving control method for vehicles on highway | |
| CN111016893B (en) | An adaptive cruise control system and control method for intelligent vehicle extension game lane keeping in congested environment | |
| CN112233413B (en) | A multi-lane spatiotemporal trajectory optimization method for intelligent networked vehicles | |
| CN110379182B (en) | Ramp confluence area cooperative control system based on generalized dynamics of vehicle and road | |
| CN106708057A (en) | Intelligent vehicle formation driving method | |
| CN108922177A (en) | Speed control system and method when a kind of automatic driving vehicle passes through intersection | |
| CN106448194A (en) | Traffic signal in crossroad and vehicle coordinated control method, device and vehicle | |
| CN109493593B (en) | An optimization method of bus running trajectory considering comfort | |
| CN107226089A (en) | A collision avoidance strategy for driverless cars | |
| Yang et al. | A less-disturbed ecological driving strategy for connected and automated vehicles | |
| CN105966396A (en) | Vehicle collision avoidance control method based on driver collision avoidance behavior | |
| CN110930697A (en) | A rule-based intelligent networked vehicle collaborative entry control method | |
| CN110435655B (en) | Electric automobile fleet self-adaptive cruise optimization method considering regenerative braking | |
| CN111754774B (en) | Safe self-organizing traffic control method for intelligent network-connected automobile at expressway ramp port | |
| CN111325975B (en) | A centralized optimization and coordination method for intelligent networked vehicles in the entrance area |
| Date | Code | Title | Description |
|---|---|---|---|
| PB01 | Publication | ||
| PB01 | Publication | ||
| SE01 | Entry into force of request for substantive examination | ||
| SE01 | Entry into force of request for substantive examination | ||
| GR01 | Patent grant | ||
| GR01 | Patent grant |