Movatterモバイル変換


[0]ホーム

URL:


CN112039811B - Calculation method in time-frequency synchronization process - Google Patents

Calculation method in time-frequency synchronization process
Download PDF

Info

Publication number
CN112039811B
CN112039811BCN202010624742.7ACN202010624742ACN112039811BCN 112039811 BCN112039811 BCN 112039811BCN 202010624742 ACN202010624742 ACN 202010624742ACN 112039811 BCN112039811 BCN 112039811B
Authority
CN
China
Prior art keywords
npss
frequency offset
calculation
preset
result
Prior art date
Legal status (The legal status is an assumption and is not a legal conclusion. Google has not performed a legal analysis and makes no representation as to the accuracy of the status listed.)
Active
Application number
CN202010624742.7A
Other languages
Chinese (zh)
Other versions
CN112039811A (en
Inventor
陈住生
胡峰
黄巍
熊连海
程健
Current Assignee (The listed assignees may be inaccurate. Google has not performed a legal analysis and makes no representation or warranty as to the accuracy of the list.)
Wuhan Mengxin Technology Co ltd
Original Assignee
Wuhan Mengxin Technology Co ltd
Priority date (The priority date is an assumption and is not a legal conclusion. Google has not performed a legal analysis and makes no representation as to the accuracy of the date listed.)
Filing date
Publication date
Application filed by Wuhan Mengxin Technology Co ltdfiledCriticalWuhan Mengxin Technology Co ltd
Priority to CN202010624742.7ApriorityCriticalpatent/CN112039811B/en
Publication of CN112039811ApublicationCriticalpatent/CN112039811A/en
Priority to PCT/CN2021/085255prioritypatent/WO2022001267A1/en
Application grantedgrantedCritical
Publication of CN112039811BpublicationCriticalpatent/CN112039811B/en
Activelegal-statusCriticalCurrent
Anticipated expirationlegal-statusCritical

Links

Images

Classifications

Landscapes

Abstract

The invention discloses a calculation method in a time-frequency synchronization process, which comprises the following steps: the method comprises the steps of carrying out downsampling processing on received sampled data, carrying out autocorrelation operation on received sampled data in a time domain at different orthogonal frequency division multiple access symbol intervals, carrying out interframe combination and combination of different symbol intervals on obtained autocorrelation values, judging whether NPSS exists according to signal-to-noise ratio and the autocorrelation values after combination processing, carrying out preliminary calculation on time bias and decimal frequency bias according to the autocorrelation values after combination processing, judging whether coarse cross-correlation calculation and fine cross-correlation calculation are carried out according to judgment results, and reducing the operation amount of calculating time bias frequency bias in the synchronization process and simultaneously improving the correct judgment rate of whether NPSS exists.

Description

Calculation method in time-frequency synchronization process
Technical Field
The invention relates to the field of synchronous signal processing, in particular to a calculation method in a time-frequency synchronization process.
Background
The first step of starting up the UE of the narrowband internet of things NB-IoT (Narrow Band Internet of Things) system is to perform frequency point synchronization on the frequency band supported by the UE, find a center frequency point of an NB-IoT cell possibly residing in the UE, and acquire time and frequency synchronization of the cell through a large number of autocorrelation cross-correlation operations.
Aiming at the problem of large calculation amount, the method is provided, and a GNSS global navigation system is combined, so that a time point of 1ms of an air interface is acquired, a data starting point from the front end of a radio frequency is a starting point of 1ms of an air wireless interface, and a DCXO is utilized to limit possible frequency offset within a range of +/-7.5 KHz, so that the window range of blind search in a time domain and a frequency domain is reduced to reduce the calculation amount.
Disclosure of Invention
The invention aims to solve the technical problem of providing a calculation method in a time-frequency synchronization process aiming at the defects of the prior art.
The technical scheme for solving the technical problems is as follows: a method of computation in a time-frequency synchronization process, comprising:
step 1, carrying out downsampling processing on received sampling data, carrying out autocorrelation operation in a time domain at different orthogonal frequency division multiple access symbol intervals, carrying out combination of radio frame-to-frame and different symbol intervals on the obtained autocorrelation values, judging whether NPSS exists according to a signal-to-noise ratio and the combined autocorrelation values, and initially calculating time offset and decimal frequency offset according to the combined autocorrelation values;
step 2, if the NPSS exists according to the signal-to-noise ratio and the combined autocorrelation value, performing frequency offset compensation on the sampling data downsampled to the first preset downsampling rate and the small-multiple frequency offset obtained in the step 1, performing coarse cross-correlation calculation on the sampling data and the NPSS sequence which is locally generated and subjected to integer frequency offset compensation, judging whether the NPSS exists according to the signal-to-noise ratio and the coarse cross-correlation calculation result, and calculating the updating time offset and the updating frequency offset according to the coarse cross-correlation calculation result;
and step 3, if judging that NPSS exists according to the signal-to-noise ratio and the coarse cross-correlation calculation result, carrying out two-section fine cross-correlation calculation on the received sampling data and the NPSS sequence which is locally generated and subjected to frequency offset compensation obtained in the step 2 under a second preset sampling rate, carrying out conjugate difference calculation on the two-section fine cross-correlation calculation result, carrying out wireless frame-to-frame combination on the conjugate difference calculation result, and calculating final time offset and frequency offset according to the wireless frame-to-frame combination result.
The beneficial effects of the invention are as follows: the method has the advantages that the presence or absence of the NPSS is judged continuously, the frequency offset is calculated continuously, after the coarse cross correlation and the fine cross correlation are calculated, the range of the time offset and the frequency offset is locked gradually, the window range of blind search in the time domain and the frequency domain can be reduced, the calculated amount can be reduced, the operation amount in the synchronization process can be reduced, the time-frequency synchronization time is reduced, and meanwhile, the correct judgment rate of whether the NPSS exists is improved.
On the basis of the technical scheme, the invention can be improved as follows.
Further, the step 1 specifically comprises the following steps:
step 101, dividing the received sampling data into intervals at equal intervals according to a radio frame with a preset length, executing step 102 when the number of a first radio frame is smaller than a first preset number, and executing step 109 when the number of the first radio frame is larger than the first preset number;
step 102, downsampling the received data to a first preset sampling rate;
step 103, measuring data according to a preset offset from the first wireless frame number sequence;
104, performing autocorrelation calculation on the data according to the preset offset;
step 105, carrying out interframe combination on the result of the autocorrelation calculation;
step 106, combining the inter-frame combining results among different symbol interval correlation values;
step 107, carrying out maximum correlation peak calculation, signal to noise ratio and correlation peak judgment and time offset estimation on the combined autocorrelation vector;
step 108, performing decimal frequency offset estimation according to the maximum correlation peak;
and step 109, judging whether to execute the step 2 according to the result of the correlation peak judgment.
The beneficial effects of adopting the further scheme are as follows: and acquiring initial time offset and frequency offset for further time-frequency synchronous processing through autocorrelation operation.
Further, the step 2 specifically includes:
step 201, if NPSS exists, dividing the sampled data downsampled to the first preset downsampling rate into intervals according to the radio frames with preset lengths at equal intervals, executing step 202 when the number of the second radio frame is smaller than the second preset number, and executing step 210 when the number of the second radio frame is larger than the second preset number;
step 202, extracting first sampling data in step 201 according to the time offset obtained by sliding autocorrelation calculation;
step 203, performing small-multiple frequency offset compensation correction on the first sampling data;
step 204, generating a local time domain NPSS signal sequence according to a protocol;
step 205, performing integer frequency offset compensation on the local time domain NPSS signal sequence;
step 206, performing coarse cross-correlation calculation according to the decimal frequency offset compensated received data and the integer frequency offset compensated local generation sequence;
step 207, performing inter-frame accumulation on the result of the coarse cross-correlation calculation;
step 208, sorting and judging whether the NPSS exists according to the accumulation result of the step 207;
step 209, updating the time offset and the frequency offset according to the accumulation sequencing result in step 208;
and step 210, judging whether to execute the step 3 according to the calculation result of the coarse cross correlation.
The beneficial effects of adopting the further scheme are as follows: further refines the frequency offset time offset calculation and the decision of whether NPSS exists or not through coarse cross correlation.
Further, the step 3 specifically includes:
step 301, if there is an NPSS, dividing the received sampling data into intervals at a second preset sampling rate according to a radio frame with a preset length, executing step 302 when a third radio frame number is smaller than a third preset sequence number, and executing step 308 when the third radio frame number is larger than the third preset sequence number;
step 302, extracting the sampling data including NPSS in step 301 according to the time offset in step 206;
step 303, generating a local time domain NPSS signal sequence according to a protocol;
step 304, performing frequency offset compensation on the local time domain NPSS signal sequence according to the frequency offset in step 209;
step 305, performing fine cross-correlation calculation according to the received data in step 302 and the sequence after the local generation and frequency offset compensation in step 304 in two segments;
step 306, performing conjugate difference product calculation on the result of the two sections of fine cross-correlation calculation;
step 307, performing wireless inter-frame accumulation on the result of the conjugate difference product calculation and the history value;
step 308, performing update calculation processing of time offset and frequency offset on the accumulated result.
The beneficial effects of adopting the further scheme are as follows: the specific values of the time offset and the frequency offset are finally locked through the calculation of the fine cross correlation, so that the data processing amount is reduced, and the calculation rate is improved.
Additional aspects of the invention will be set forth in part in the description which follows and, in part, will be obvious from the description, or may be learned by practice of the invention.
Drawings
FIG. 1 is a schematic flow chart of an embodiment of a method for calculating in a time-frequency synchronization process according to the present invention;
FIG. 2 is a schematic diagram of a sliding autocorrelation process according to another embodiment of a calculation method in a time-frequency synchronization process of the present invention;
FIG. 3 is a schematic diagram of a coarse cross-correlation process according to another embodiment of the present invention;
fig. 4 is a schematic diagram of a fine cross-correlation flow provided in other embodiments of a calculation method in a time-frequency synchronization process according to the present invention.
Detailed Description
The principles and features of the present invention are described below with reference to the drawings, the illustrated embodiments are provided for illustration only and are not intended to limit the scope of the present invention.
As shown in fig. 1, a flowchart provided by an embodiment of a computing method in a time-frequency synchronization process of the present invention includes:
step 1, carrying out downsampling processing on received sampling data, carrying out autocorrelation operation in a time domain at different orthogonal frequency division multiple access symbol intervals, carrying out combination of radio frame-to-frame and different symbol intervals on the obtained autocorrelation values, judging whether NPSS exists according to a signal-to-noise ratio and the combined autocorrelation values, and initially calculating time offset and decimal frequency offset according to the combined autocorrelation values;
step 2, if the NPSS exists according to the signal-to-noise ratio and the combined autocorrelation value, performing frequency offset compensation on the sampling data downsampled to the first preset downsampling rate and the small-multiple frequency offset obtained in the step 1, performing coarse cross-correlation calculation on the sampling data and the NPSS sequence which is locally generated and subjected to integer frequency offset compensation, judging whether the NPSS exists according to the signal-to-noise ratio and the coarse cross-correlation calculation result, and calculating the updating time offset and the updating frequency offset according to the coarse cross-correlation calculation result;
and step 3, if judging that NPSS exists according to the signal-to-noise ratio and the coarse cross-correlation calculation result, carrying out two-section fine cross-correlation calculation on the received sampling data and the NPSS sequence which is locally generated and subjected to frequency offset compensation obtained in the step 2 under a second preset sampling rate, carrying out conjugate difference calculation on the two-section fine cross-correlation calculation result, carrying out wireless frame-to-frame combination on the conjugate difference calculation result, and calculating final time offset and frequency offset according to the wireless frame-to-frame combination result.
The method has the advantages that the presence or absence of the NPSS is judged continuously, the frequency offset is calculated continuously, after the coarse cross correlation and the fine cross correlation are calculated, the range of the time offset and the frequency offset is locked gradually, the window range of blind search in the time domain and the frequency domain can be reduced, the calculated amount can be reduced, the operation amount in the synchronization process can be reduced, the time-frequency synchronization time is reduced, and meanwhile, the correct judgment rate of whether the NPSS exists is improved.
It should be noted that, in step 1, the data received by the rf front end is data aligned with 1ms of the air interface provided by the GNSS global navigation service, and the downsampling process is performed on the received sampled data to downsample the received signal 8 times of the 1.92MHz sampling rate to a sampling rate of 240 KHz; in step 2, downsampling to a first preset downsampling rate is: the received signal is 8 times downsampled to the sampling rate of 240 KHz; in step 3, the second preset sampling rate is: 1.92MHz sampling rate.
Preferably, in any of the above embodiments, step 1 specifically includes:
step 101, dividing the received sampling data into intervals at equal intervals according to a radio frame with a preset length, executing step 102 when the number of a first radio frame is smaller than a first preset number, and executing step 109 when the number of the first radio frame is larger than the first preset number;
step 102, downsampling the received data to a first preset sampling rate;
step 103, measuring data according to a preset offset from the first wireless frame number sequence;
104, performing autocorrelation calculation on the data;
step 105, carrying out interframe combination on the result of the autocorrelation calculation;
step 106, combining the inter-frame combining results among different symbol interval correlation values;
step 107, carrying out maximum correlation peak calculation, signal to noise ratio, correlation peak judgment and time offset estimation on the combined vector;
step 108, performing decimal frequency offset estimation according to the maximum correlation peak;
and step 109, judging whether to execute the step 2 according to the result of the correlation peak judgment.
It should be noted that, as shown in the sliding autocorrelation flow chart provided in other embodiments of the calculation method in the time-frequency synchronization process of fig. 2, for example:
step 101, dividing the data vector continuously received at the next radio frequency at the second preset sampling rate into intervals according to the equal intervals of 10ms radio frames (i.e. 19200 Samples), and the sampled data input is expressed as:
Figure BDA0002564360740000071
wherein,,
Figure BDA0002564360740000072
Fn =[0,1,…Nrf-max ]wherein F isn For radio frame number, Nrf_max A maximum of 10ms frame number for one continuous reception of radio frequency.
When Fn At 128 or less, step 102 is performed, wherein Fn =Fn +1, when Fn If 128, then step 109 is performed directly;
step 102, downsampling the sampled data to a first preset sampling rate at 8-1-mm intervals,
denoted as d '= [ d ]'0 ,d′1 ,…,d′2399 ,…];
Step 103, for the radio frame number Fn Within the 8 times downsampled data, from the offset τ position, 187 sample data in 11 OFDMA symbols are taken for autocorrelation calculation, and a vector composed of the data taken each time is expressed as:
Figure BDA0002564360740000073
wherein,,
Figure BDA0002564360740000074
i=0~186,LNPSS for the data of the sample points in question,
rτ,l =[rτ,17l ,rτ,17l+1 ,…,rτ,17l+16 ],l=0~10
τ=subFrameNum*240+m,subFrameNum∈[0,1,…9],m∈[49,53];
the GNSS global navigation service enables the radio frequency front end to provide data with 1ms of air interface alignment;
104, calculating the autocorrelation result for the tau-fetch data set according to the offset
Figure BDA0002564360740000075
Figure BDA0002564360740000076
τ=subFrameNum*240+m,subFrameNum∈[0,1,…9],m∈[49,53],
Wherein F isn For sliding the 10ms index of the autocorrelation, it is initialized to 0 at the beginning of the autocorrelation process, k denotes the different ofdma symbol intervals, sl For the substitution code coverage set 1, -1, -1,1} mth element;
step 105, according to the autocorrelation result
Figure BDA0002564360740000081
Inter-frame combination is performed, and the reliability of NPSS detection can be further improved by using inter-frame accumulation. The method comprises the following steps:
Figure BDA0002564360740000082
τ=subFrameNum*240+m,subFrameNum∈[0,1,…9],m∈[49,53];
step 106, combining the different relevant OFDMA symbol intervals k, with the specific formula:
Figure BDA0002564360740000083
τ=subFrameNum*240+m,subFrameNum∈[0,1,…9],m∈[49,53]
the vector after combination is obtained, and the specific formula is as follows:
Figure BDA0002564360740000084
step 107, according to the absolute value of the vector and the decision and time offset estimation according to the correlation peak,
the maximum correlation peak is:
Figure BDA0002564360740000085
average power of noise is
Figure BDA0002564360740000086
Wherein the method comprises the steps of
Figure BDA0002564360740000087
τ=subFrameNum*240+m,subFrameNum∈[0,1,…9],m∈[49,53]
The decision formula is Ppeak >Pnoise *ThAR ,ThAR Is an autocorrelation decision threshold;
if so, judging that NPSS exists.
When the decision is established, the time offset is estimated as: TOAR240KHz =τpeak
Step 108, performing decimal frequency offset estimation according to the maximum correlation peak:
Figure BDA0002564360740000088
step 109, the autocorrelation section ends and decides whether to perform the following cross-correlation process according to the decision result.
Preferably, in any of the foregoing embodiments, step 2 specifically includes:
the step 2 specifically comprises the following steps:
step 201, if NPSS exists, dividing the sampled data downsampled to the first preset downsampling rate into intervals according to the radio frames with preset lengths at equal intervals, executing step 202 when the number of the second radio frame is smaller than the second preset number, and executing step 210 when the number of the second radio frame is larger than the second preset number;
step 202, extracting first sampling data in step 201 according to the time offset obtained by sliding autocorrelation calculation;
step 203, performing small-multiple frequency offset compensation correction on the first sampling data;
step 204, generating a local time domain NPSS signal sequence according to a protocol;
step 205, performing integer frequency offset compensation on the local time domain NPSS signal sequence;
step 206, performing coarse cross-correlation calculation according to the decimal frequency offset compensated received data and the integer frequency offset compensated local generation sequence;
step 207, performing inter-frame accumulation on the result of the coarse cross-correlation calculation;
step 208, sorting and judging whether the NPSS exists according to the accumulation result of the step 207;
step 209, updating the time offset and the frequency offset according to the accumulation sequencing result in step 208;
and step 210, judging whether to execute the step 3 according to the calculation result of the coarse cross correlation.
Further elaboration of the calculation of the data such as the frequency offset is performed through coarse cross-correlation.
It should be noted that the first sampling data is sampling data that may include NPSS;
as shown in fig. 3, the specific operation method of step 2 may refer to the following:
step 201, data corresponding to a sampling rate of 240khz after 8 times downsampling of data with a sampling rate of 1.92MHz from a radio frequency front end is:
d″=[d″0 ,d″1 ,…,d″2399 ,…]
wherein:
Figure BDA0002564360740000091
Fn =Fn +1,Fn initial value is 0, when Fn When 68 is smaller or smaller, step 202 is executed, when Fn >68, step 210 is performed;
step 202, extracting data containing the primary synchronization signal in step 201 according to sliding autocorrelation timing, and the specific formula is as follows:
Figure BDA0002564360740000101
step 203, for dτ,k According to FOAR240KHz The decimal frequency offset correction is carried out, and the specific formula is as follows:
Figure BDA0002564360740000102
λk counting the input points corresponding to the received data at a sampling rate of 1.92M;
step 204, generating a local time domain primary synchronization signal sequence according to a protocol synchronization signal generation formula, wherein the specific formula is as follows:
d_localk ,k∈[0,1,2,…,188];
step 205, performing integer frequency offset compensation on the time domain primary synchronization signal sequence, and specifically adopting the following formula:
Figure BDA0002564360740000103
Figure BDA0002564360740000104
step 206, calculating coarse cross-correlation, and recording the result as
Figure BDA0002564360740000105
Figure BDA0002564360740000106
Fn Representing the number of wireless frames, k is more than or equal to 0 and less than or equal to 188, -Nifo ≤τ≤Nifo ,Nifo =2,i=-1,0,1;
Step 207, inter-frame accumulation of coarse cross-correlation, and the specific formula is as follows:
Figure BDA0002564360740000107
Fn representing radio frame number, -Nifo ≤τ≤Nifo ,Nifo =2,i=-1,0,1;
Step 208, performing a decision of the primary synchronization signal according to the result in step 207, and specifically the following formula is:
Figure BDA0002564360740000108
if the following equation is satisfied, it is determined that the primary synchronization signal has been successfully detected and further confirmed,
sumMax32*ThCR > sumE, sumMax32 is the first 32 energy summations of the ordered sequence, sumE is the total energy summations;
step 209, updating the time offset and the frequency offset of the judgment result, wherein the specific formula is as follows:
Figure BDA0002564360740000109
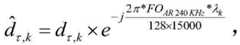
the updated time bias is: TOCR240KHz =TOAR240KHz +τ_out,
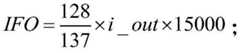
The updated frequency offset is: FO (FO)CR240KHz =FOAR240KHz +IFO,
Wherein the coarse integer frequency offset result is
Figure BDA0002564360740000111
Step 210, the coarse synchronization cross-correlation section ends and determines whether to perform the following fine synchronization cross-correlation procedure.
Preferably, in any of the foregoing embodiments, step 3 specifically includes:
step 301, if there is an NPSS, dividing the received sampling data into intervals at a second preset sampling rate according to a radio frame with a preset length, executing step 302 when a third radio frame number is smaller than a third preset sequence number, and executing step 308 when the third radio frame number is larger than the third preset sequence number;
step 302, extracting the sampling data including NPSS in step 301 according to the time offset in step 206;
step 303, generating a local time domain NPSS signal sequence according to a protocol;
step 304, performing frequency offset compensation on the local time domain NPSS signal sequence according to the frequency offset in step 209;
step 305, performing fine cross-correlation calculation according to the received data in step 302 and the sequence after the local generation and frequency offset compensation in step 304 in two segments;
step 306, performing conjugate difference product calculation on the result of the two sections of fine cross-correlation calculation;
step 307, performing wireless inter-frame accumulation on the result of the conjugate difference product calculation and the history value;
step 308, performing update calculation processing of time offset and frequency offset on the accumulated result.
It should be noted that, as shown in fig. 4, the specific operation method of step 3 may refer to the following:
step 301, the data corresponding to 1.92Mhz sampling rate from the rf front end is:
d″=[d″0 ,d″1 ,…,d″19199 ],
Figure BDA0002564360740000112
Fn =Fn +1,Fn initial value is 0, when Fn When 64 is smaller or smaller, step 302 is performed, when Fn At > 64, step 308 is performed;
step 302, extracting data containing a primary synchronization signal from the data corresponding to the sampling rate of 1.92Mhz, wherein the specific formula is as follows:
Figure BDA0002564360740000121
step 303, generating a local time domain primary synchronization signal sequence according to a generation formula of the protocol primary synchronization signal, wherein the specific formula is as follows:
d_localk ,k∈[0,1,2,…,1507];
step 304, performing frequency offset compensation on the generated data of the primary synchronization signal, where a specific formula is as follows:
Figure BDA0002564360740000122
step 305, calculating a fine cross-correlation for the data in step 302 and step 304 respectively, and specifically the following formula is as follows:
Figure BDA0002564360740000123
Figure BDA0002564360740000124
step 306, performing conjugate differential product on the fine cross-correlation value, and the specific formula is as follows:
CRτ =conj(CRτ,half0 ).*CRτ,half1
step 307, accumulating the numerical value and the history value after the conjugate difference product, and the specific formula is as follows:
Figure BDA0002564360740000125
wherein->
Figure BDA0002564360740000126
The initial value is 0;
jump to step 301 for execution;
step 308, updating calculation of time offset and frequency offset,
Figure BDA0002564360740000127
Figure BDA0002564360740000128
wherein,,
Figure BDA0002564360740000129
-24≤τ≤24。
the reader will appreciate that in the description of this specification, a description of terms "one embodiment," "some embodiments," "examples," "specific examples," or "some examples," etc., means that a particular feature, structure, material, or characteristic described in connection with the embodiment or example is included in at least one embodiment or example of the invention. In this specification, schematic representations of the above terms are not necessarily directed to the same embodiment or example. Furthermore, the particular features, structures, materials, or characteristics described may be combined in any suitable manner in any one or more embodiments or examples. Furthermore, the different embodiments or examples described in this specification and the features of the different embodiments or examples may be combined and combined by those skilled in the art without contradiction.
The present invention is not limited to the above embodiments, and various equivalent modifications and substitutions can be easily made by those skilled in the art within the technical scope of the present invention, and these modifications and substitutions are intended to be included in the scope of the present invention. Therefore, the protection scope of the invention is subject to the protection scope of the claims.

Claims (3)

1. A method of computing in a time-frequency synchronization process, comprising:
step 1, carrying out downsampling processing on received sampling data, carrying out autocorrelation operation in a time domain at different orthogonal frequency division multiple access symbol intervals, carrying out combination of radio frame-to-frame and different symbol intervals on the obtained autocorrelation values, judging whether NPSS exists according to a signal-to-noise ratio and the combined autocorrelation values, and initially calculating time offset and decimal frequency offset according to the combined autocorrelation values;
step 2, if the NPSS exists according to the signal-to-noise ratio and the combined autocorrelation value, performing frequency offset compensation on the sampling data downsampled to the first preset downsampling rate and the small-multiple frequency offset obtained in the step 1, performing coarse cross-correlation calculation on the sampling data and the NPSS sequence which is locally generated and subjected to integer frequency offset compensation, judging whether the NPSS exists according to the signal-to-noise ratio and the coarse cross-correlation calculation result, and calculating the updating time offset and the updating frequency offset according to the coarse cross-correlation calculation result;
step 3, if the NPSS exists according to the signal-to-noise ratio and the coarse cross-correlation calculation result, carrying out two-section fine cross-correlation calculation on the received sampling data and the NPSS sequence which is locally generated and subjected to frequency offset compensation obtained in the step 2 under a second preset sampling rate, carrying out conjugate difference calculation on the two-section fine cross-correlation calculation result, carrying out wireless frame-to-frame combination on the conjugate difference calculation result, and calculating final time offset and frequency offset according to the wireless frame-to-frame combination result;
wherein, step 1 specifically comprises:
step 101, dividing the received sampling data into intervals at equal intervals according to a radio frame with a preset length, executing step 102 when the number of a first radio frame is smaller than a first preset number, and executing step 109 when the number of the first radio frame is larger than the first preset number; step 102, downsampling the received data to a first preset sampling rate;
step 103, measuring data according to a preset offset from the first wireless frame number sequence;
104, performing autocorrelation calculation on the data according to the preset offset;
step 105, carrying out interframe combination on the result of the autocorrelation calculation;
step 106, combining the inter-frame combining results among different symbol interval correlation values;
step 107, carrying out maximum correlation peak calculation, signal to noise ratio and correlation peak judgment and time offset estimation on the combined autocorrelation vector;
step 108, performing decimal frequency offset estimation according to the maximum correlation peak;
and step 109, judging whether to execute the step 2 according to the result of the correlation peak judgment.
2. The method according to claim 1, wherein step 2 specifically comprises:
step 201, if NPSS exists, dividing the sampled data downsampled to the first preset downsampling rate into intervals according to the radio frames with preset lengths at equal intervals, executing step 202 when the number of the second radio frame is smaller than the second preset number, and executing step 210 when the number of the second radio frame is larger than the second preset number;
step 202, extracting first sampling data in step 201 according to the time offset obtained by sliding autocorrelation calculation;
step 203, performing small-multiple frequency offset compensation correction on the first sampling data;
step 204, generating a first local time domain NPSS signal sequence according to a protocol;
step 205, performing integer frequency offset compensation on the local time domain NPSS signal sequence; step 206, performing coarse cross-correlation calculation according to the decimal frequency offset compensated received data and the integer frequency offset compensated local generation sequence;
step 207, performing inter-frame accumulation on the result of the coarse cross-correlation calculation; step 208, sorting and judging whether the NPSS exists according to the accumulation result of the step 207;
step 209, updating the time offset and the frequency offset according to the accumulation sequencing result in step 208; and step 210, judging whether to execute the step 3 according to the calculation result of the coarse cross correlation.
3. The method according to claim 2, wherein the step 3 specifically comprises:
step 301, if there is an NPSS, dividing the received sampling data into intervals at a second preset sampling rate according to a radio frame with a preset length, executing step 302 when a third radio frame number is smaller than a third preset sequence number, and executing step 308 when the third radio frame number is larger than the third preset sequence number;
step 302, extracting the sampling data including NPSS in step 301 according to the time offset in step 206;
step 303, generating a local time domain NPSS signal sequence according to a protocol;
step 304, performing frequency offset compensation on the local time domain NPSS signal sequence according to the frequency offset in step 209;
step 305, performing fine cross-correlation calculation according to the received data in step 302 and the sequence after the local generation and frequency offset compensation in step 304 in two segments;
step 306, performing conjugate difference product calculation on the result of the two sections of fine cross-correlation calculation; step 307, performing wireless inter-frame accumulation on the result of the conjugate difference product calculation and the history value;
step 308, performing update calculation processing of time offset and frequency offset on the accumulated result.
CN202010624742.7A2020-07-012020-07-01Calculation method in time-frequency synchronization processActiveCN112039811B (en)

Priority Applications (2)

Application NumberPriority DateFiling DateTitle
CN202010624742.7ACN112039811B (en)2020-07-012020-07-01Calculation method in time-frequency synchronization process
PCT/CN2021/085255WO2022001267A1 (en)2020-07-012021-04-02Method for calculation during time and frequency synchronization process

Applications Claiming Priority (1)

Application NumberPriority DateFiling DateTitle
CN202010624742.7ACN112039811B (en)2020-07-012020-07-01Calculation method in time-frequency synchronization process

Publications (2)

Publication NumberPublication Date
CN112039811A CN112039811A (en)2020-12-04
CN112039811Btrue CN112039811B (en)2023-06-30

Family

ID=73579806

Family Applications (1)

Application NumberTitlePriority DateFiling Date
CN202010624742.7AActiveCN112039811B (en)2020-07-012020-07-01Calculation method in time-frequency synchronization process

Country Status (2)

CountryLink
CN (1)CN112039811B (en)
WO (1)WO2022001267A1 (en)

Families Citing this family (8)

* Cited by examiner, † Cited by third party
Publication numberPriority datePublication dateAssigneeTitle
CN112039811B (en)*2020-07-012023-06-30武汉梦芯科技有限公司Calculation method in time-frequency synchronization process
CN112904386A (en)*2021-01-152021-06-04武汉梦芯科技有限公司Method and system for compensating LoRa Doppler frequency offset based on GNSS
CN114124628B (en)*2021-09-092023-10-20广州粒子微电子有限公司Method, device and storage medium for estimating frequency offset in narrowband Internet of things
CN114189289B (en)*2021-11-262023-07-11中电科思仪科技(安徽)有限公司Terahertz signal rapid synchronization method
CN115460684B (en)*2022-11-092023-03-24北京智芯微电子科技有限公司Primary synchronization signal PSS timing synchronization method, device and equipment of 5G-NR system
CN115955291B (en)*2023-03-092023-05-23北京智联安科技有限公司Method and equipment for reducing NBIOT network cell search false detection probability
CN118101405B (en)*2024-01-302024-09-10嘉兴雅港复合材料有限公司Frequency offset compensation method and device in OFDM system under fast moving scene
CN118055484B (en)*2024-04-152024-07-16北京智芯微电子科技有限公司HRF synchronous detection method and device, storage medium and controller

Citations (4)

* Cited by examiner, † Cited by third party
Publication numberPriority datePublication dateAssigneeTitle
CN104065604A (en)*2013-03-212014-09-24联想(北京)有限公司Signal synchronization method, receiving end and system
CN106656453A (en)*2017-02-052017-05-10苏州维特比信息技术有限公司 Synchronization device and method in narrowband wireless communication terminal
CN108123774A (en)*2017-12-272018-06-05中山大学花都产业科技研究院A kind of narrowband Internet of Things down link synchronisation method and its system
CN109428848A (en)*2017-08-292019-03-05苏州优尼赛信息科技有限公司Downlink primary synchronization signal essence synchronous detection and estimation method in a kind of NB-loT system

Family Cites Families (5)

* Cited by examiner, † Cited by third party
Publication numberPriority datePublication dateAssigneeTitle
US10542511B2 (en)*2016-08-082020-01-21Electronics And Telecommunications Research InstituteMethod and apparatus for primary synchronization in internet of things
CN109302364A (en)*2017-12-122019-02-01上海创远仪器技术股份有限公司A kind of frequency deviation estimating method for NB_IoT system
GB2573531B (en)*2018-05-082021-04-21Advanced Risc Mach LtdMethod for estimating carrier frequency offset
CN111093252B (en)*2019-12-272021-09-28重庆物奇科技有限公司Rapid hierarchical searching method for narrow-band Internet of things NB-IoT
CN112039811B (en)*2020-07-012023-06-30武汉梦芯科技有限公司Calculation method in time-frequency synchronization process

Patent Citations (4)

* Cited by examiner, † Cited by third party
Publication numberPriority datePublication dateAssigneeTitle
CN104065604A (en)*2013-03-212014-09-24联想(北京)有限公司Signal synchronization method, receiving end and system
CN106656453A (en)*2017-02-052017-05-10苏州维特比信息技术有限公司 Synchronization device and method in narrowband wireless communication terminal
CN109428848A (en)*2017-08-292019-03-05苏州优尼赛信息科技有限公司Downlink primary synchronization signal essence synchronous detection and estimation method in a kind of NB-loT system
CN108123774A (en)*2017-12-272018-06-05中山大学花都产业科技研究院A kind of narrowband Internet of Things down link synchronisation method and its system

Non-Patent Citations (1)

* Cited by examiner, † Cited by third party
Title
R1-1700037 "Synchronization signals for NR";Huawei等;《3GPP tsg_ran\WG1_RL1》;20170109;全文*

Also Published As

Publication numberPublication date
WO2022001267A1 (en)2022-01-06
CN112039811A (en)2020-12-04

Similar Documents

PublicationPublication DateTitle
CN112039811B (en)Calculation method in time-frequency synchronization process
US10778496B2 (en)OFDM system synchronization tracking method and apparatus
US7062282B2 (en)Method and apparatus for frequency synchronization in a digital transmission system
US8346545B2 (en)Model-based distortion compensating noise reduction apparatus and method for speech recognition
EP1955466B1 (en)Blind bandwidth detection for a sample stream
EP1469647B1 (en)OFDM symbol synchronisation
KR20110099050A (en) Robust Timing Acquisition Method and System for Channel Fading
CN109792698B (en)Receiver and method for compensating frequency error of reference clock
KR100555709B1 (en) Symbol timing error detection device and channel timing error detection method using channel profile of digital receiver
EP2842283B1 (en)Method and Apparatus for frequency error estimation in a wireless communications
EP1854306B1 (en)Tunable filter for tone detection
CN104378317A (en)Burst signal frequency deviation correction method applied to satellite phones
US20190109698A1 (en)Time synchronisation method, insensitive to power variations, associated receiver and computer program
CN116170263B (en) A MPSK-type burst signal modulation recognition method and system based on AlexNet network
CN101103556A (en)Method and system for synchronization between a transmitter and a receiver in a wireless communication system
CN114244674B (en)Frequency offset estimation method and device for ultra-wideband baseband receiver
CN109347594A (en)The method for realizing the search of the signal cell 5G based on signal analyzer platform
CN1722717A (en) Frequency Estimation Method and System
US20080240296A1 (en)Iterative sequential carrier acquisition
JP5100536B2 (en) Delay profile estimation apparatus and delay profile estimation method
EP4422082A1 (en)System and method for sub-nyquist synchronization to a received signal in an impulse radio ultra-wide band receiver
CN106411806A (en)FB (Frequency Correction Burst) pulse sequence search method and device
Górriz et al.Effective speech/pause discrimination using an integrated bispectrum likelihood ratio test
CN120111501A (en) A method for extracting radio frequency fingerprint of WiFi devices based on robust reference device receiver
CN101478519A (en)Fine synchronization method and receiver

Legal Events

DateCodeTitleDescription
PB01Publication
PB01Publication
SE01Entry into force of request for substantive examination
SE01Entry into force of request for substantive examination
GR01Patent grant
GR01Patent grant

[8]ページ先頭

©2009-2025 Movatter.jp