Movatterモバイル変換


[0]ホーム

URL:


CN112022135A - Heart rate detection method based on mask neural network independent component decomposition principle - Google Patents

Heart rate detection method based on mask neural network independent component decomposition principle
Download PDF

Info

Publication number
CN112022135A
CN112022135ACN202010774447.XACN202010774447ACN112022135ACN 112022135 ACN112022135 ACN 112022135ACN 202010774447 ACN202010774447 ACN 202010774447ACN 112022135 ACN112022135 ACN 112022135A
Authority
CN
China
Prior art keywords
signal
heart rate
outputting
sub
facial feature
Prior art date
Legal status (The legal status is an assumption and is not a legal conclusion. Google has not performed a legal analysis and makes no representation as to the accuracy of the status listed.)
Granted
Application number
CN202010774447.XA
Other languages
Chinese (zh)
Other versions
CN112022135B (en
Inventor
秦睿
Current Assignee (The listed assignees may be inaccurate. Google has not performed a legal analysis and makes no representation or warranty as to the accuracy of the list.)
Chengdu Liev Technology Co ltd
Original Assignee
Chengdu Liev Technology Co ltd
Priority date (The priority date is an assumption and is not a legal conclusion. Google has not performed a legal analysis and makes no representation as to the accuracy of the date listed.)
Filing date
Publication date
Application filed by Chengdu Liev Technology Co ltdfiledCriticalChengdu Liev Technology Co ltd
Priority to CN202010774447.XApriorityCriticalpatent/CN112022135B/en
Publication of CN112022135ApublicationCriticalpatent/CN112022135A/en
Application grantedgrantedCritical
Publication of CN112022135BpublicationCriticalpatent/CN112022135B/en
Activelegal-statusCriticalCurrent
Anticipated expirationlegal-statusCritical

Links

Images

Classifications

Landscapes

Abstract

The invention discloses a heart rate detection method based on a mask neural network independent component decomposition principle, which comprises the following steps of: s1, inputting facial feature data of the detected person; s2, extracting the facial feature information of the detected person; s3, analyzing the facial feature information of the detected person, screening out key facial feature information, and outputting a signal of the key facial feature; s4, decomposing the signal based on the mask neural network independent component decomposition principle and outputting a plurality of sub-signals; s5, screening a plurality of sub signals, and outputting a heart rate signal meeting the requirement; s6, integrating the heart rate signals and establishing a heart rate curve; and S7, analyzing the heart rate curve and outputting heart rate index information. The non-contact heart rate detection method has the advantages of high detection efficiency and contact reduction.

Description

Heart rate detection method based on mask neural network independent component decomposition principle
Technical Field
The invention relates to the field of heart rate detection, in particular to a non-contact heart rate detection method based on a mask neural network independent component decomposition principle.
Background
The heart rate is one of the important sign parameters that reflect human health, at present, to the detection of heart rate, adopts the heart rate monitor to carry out the contact nature detection mostly, and this kind of mode needs to carry out the wearing of heart rate monitor, and is comparatively complicated, especially during the epidemic situation, loaded down with trivial details wearing process and too much exposure contact can influence patient's treatment process to and increase medical personnel are infected risk.
Disclosure of Invention
Aiming at the problems, the invention provides a non-contact heart rate detection method based on a variational self-coding independent component decomposition principle, which has the advantages of high detection efficiency and contact reduction.
The technical scheme of the invention is as follows:
a heart rate detection method based on a mask neural network independent component decomposition principle comprises the following steps:
s1, inputting facial feature data of the detected person;
s2, extracting the facial feature information of the detected person;
s3, analyzing the facial feature information of the detected person, screening out key facial feature information, calculating the pixel mean value of the key facial feature information, and outputting a signal of the key facial feature;
s4, decomposing the signal based on the mask neural network independent component decomposition principle and outputting a plurality of sub-signals;
s5, screening a plurality of sub signals, and outputting a heart rate signal meeting the requirement;
s6, integrating the heart rate signals and establishing a heart rate curve;
and S7, analyzing the heart rate curve and outputting heart rate index information.
In a further technical solution, in step S4, the method for decomposing the signal information is as follows:
s41, inputting a time domain signal F (0) (F (0) is an original time domain signal, mixing a plurality of sub-signals together, wherein the sub-signals comprise useful signals and useless signals, and performing Fast Fourier Transform (FFT) to convert the signals into frequency domain signals;
s42, inputting the frequency domain signal into a Mask neural network to obtain a frequency Mask (Mask), multiplying the Mask and the frequency domain signal, and outputting the filtered frequency domain signal;
s43, inputting the filtered frequency domain signal, performing Inverse Fast Fourier Transform (IFFT), and reducing the signal into a time domain signal to obtain a sub-signal f (1);
s44, outputting the difference value between the time domain signal F (0) and the sub-signal F (1) to obtain a new signal F (1);
s45, inputting a new signal F (1), repeating the steps S41-S44, and outputting a plurality of sub-signals.
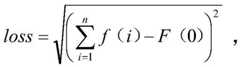
In a further technical solution, in step S44, when calculating the difference between the time domain signal F (0) and the sub-signal F (1), a signal loss is substituted, and a calculation formula of the signal loss is as follows:
Figure BDA0002617869210000021
wherein, F (0) is the original signal, and F (i) is the ith sub-signal.
The invention has the beneficial effects that:
1. according to the invention, by collecting the facial feature information of the detected person, the generated signal is decomposed into a plurality of sub-signals by adopting a variational self-coding independent component decomposition principle, the heart rate signals which do not meet the requirements in the sub-signals are eliminated, the heart rate signals which meet the requirements are integrated, a heart rate curve with more accurate representation can be obtained, detailed and accurate heart rate indexes can be obtained from the heart rate curve, and the detection accuracy is higher.
2. The invention provides a non-contact heart rate detection method, which reduces the complicated wearing process and excessive exposure contact, enables the detection process of a patient to be more efficient, and reduces the risk of infection of medical staff.
Drawings
FIG. 1 is a schematic diagram of signal decomposition according to an embodiment of the present invention;
fig. 2 is a schematic diagram of a variational self-encoder according to an embodiment of the present invention.
Detailed Description
The embodiments of the present invention will be further described with reference to the accompanying drawings.
Example (b):
a heart rate detection method based on a mask neural network independent component decomposition principle comprises the following steps:
s1, inputting facial feature data of the detected person;
s2, extracting the facial feature information of the detected person;
s3, analyzing the facial feature information of the detected person, screening out key facial feature information, calculating the pixel mean value of the key facial feature information, and outputting a signal of the key facial feature;
s4, decomposing the signal based on the mask neural network independent component decomposition principle and outputting a plurality of sub-signals;
s5, screening a plurality of sub signals, and outputting a heart rate signal meeting the requirement;
s6, integrating the heart rate signals and establishing a heart rate curve;
and S7, analyzing the heart rate curve and outputting heart rate index information.
In another embodiment, as shown in fig. 1, in step S4, the method for decomposing the signal information is as follows:
s41, inputting a time domain signal F (0) (F (0) is a time domain signal, mixing a plurality of signals together, wherein the signals comprise useful signals and useless signals, performing Fast Fourier Transform (FFT) on the signals, and converting the signals into frequency domain signals;
s42, inputting the frequency domain signal into a Mask neural network to obtain a frequency Mask (Mask), multiplying the Mask and the frequency domain signal, and outputting the filtered frequency domain signal;
s43, inputting the filtered frequency domain signal, performing Inverse Fast Fourier Transform (IFFT), and reducing the signal into a time domain signal to obtain a sub-signal f (1);
s44, outputting the difference between the time-domain signal F (0) and the sub-signal F (1), and obtaining a new signal F (1), i.e. F (1) ═ F (0) -F (1);
s45, inputting the signal F (1), repeating steps S41-S43 to obtain a sub-signal F (2), and outputting the difference between the time-domain signal F (1) and the sub-signal F (2) to obtain a new signal F (2), i.e. F (2) ═ F (1) -F (2);
s46, inputting a new signal F (2), and repeating the steps S41-S45 until n sub-signals are output.
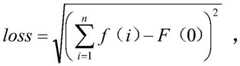
In a further technical solution, in step S44, when calculating the difference between the time domain signal F (0) and the sub-signal F (1), a signal loss is substituted, and a calculation formula of the signal loss is as follows:
Figure BDA0002617869210000041
wherein, F (0) is the original signal, and F (i) is the ith sub-signal.
As shown in the figure2, the masking neural network adopted in this embodiment combines the neural network with the independent component analysis, so that an effective mask can be directly output from the input signal, wherein the gradient equation is:
Figure BDA0002617869210000042
the above-mentioned embodiments only express the specific embodiments of the present invention, and the description thereof is more specific and detailed, but not construed as limiting the scope of the present invention. It should be noted that, for a person skilled in the art, several variations and modifications can be made without departing from the inventive concept, which falls within the scope of the present invention.

Claims (3)

1. A heart rate detection method based on a mask neural network independent component decomposition principle is characterized by comprising the following steps:
s1, inputting facial feature data of the detected person;
s2, extracting the facial feature information of the detected person;
s3, analyzing the facial feature information of the detected person, screening out key facial feature information, and outputting a signal of the key facial feature;
s4, decomposing the signal and outputting a plurality of sub-signals;
s5, screening a plurality of sub signals, and outputting a heart rate signal meeting the requirement;
s6, integrating the heart rate signals and establishing a heart rate curve;
and S7, analyzing the heart rate curve and outputting heart rate index information.
2. The method for detecting heart rate based on the mask neural network independent component decomposition principle as claimed in claim 1, wherein in step S4, the method for decomposing the signal information is as follows:
s41, inputting a time domain signal, performing fast Fourier transform, and converting the time domain signal into a frequency domain signal;
s42, inputting the frequency domain signal into a mask neural network, acquiring a frequency mask, multiplying the frequency mask and the frequency domain signal, and outputting a filtered frequency domain signal;
s43, inputting the filtered frequency domain signal, performing inverse fast Fourier transform, and reducing the frequency domain signal into a time domain signal to obtain a sub-signal;
s44, carrying out difference on the original time domain signal and the sub-signal obtained in the S43 to obtain a new signal;
s45, inputting a new signal, repeating the steps S41-S44 and outputting a plurality of sub-signals.
3. The method for detecting heart rate based on the mask neural network independent component decomposition principle as claimed in claim 2, wherein in step S44, when the difference between the time domain signal and the sub-signal is calculated, the signal loss is substituted, and the calculation formula of the signal loss is as follows:
Figure FDA0002617869200000011
wherein, F (0) is the original signal, and F (i) is the ith sub-signal.
CN202010774447.XA2020-08-042020-08-04Heart rate detection method based on mask neural network independent component decomposition principleActiveCN112022135B (en)

Priority Applications (1)

Application NumberPriority DateFiling DateTitle
CN202010774447.XACN112022135B (en)2020-08-042020-08-04Heart rate detection method based on mask neural network independent component decomposition principle

Applications Claiming Priority (1)

Application NumberPriority DateFiling DateTitle
CN202010774447.XACN112022135B (en)2020-08-042020-08-04Heart rate detection method based on mask neural network independent component decomposition principle

Publications (2)

Publication NumberPublication Date
CN112022135Atrue CN112022135A (en)2020-12-04
CN112022135B CN112022135B (en)2022-08-19

Family

ID=73582015

Family Applications (1)

Application NumberTitlePriority DateFiling Date
CN202010774447.XAActiveCN112022135B (en)2020-08-042020-08-04Heart rate detection method based on mask neural network independent component decomposition principle

Country Status (1)

CountryLink
CN (1)CN112022135B (en)

Citations (7)

* Cited by examiner, † Cited by third party
Publication numberPriority datePublication dateAssigneeTitle
CN106063702A (en)*2016-05-232016-11-02南昌大学A kind of heart rate detection system based on facial video image and detection method
US20160354038A1 (en)*2015-06-032016-12-08Analog Devices, Inc.Removing motion-related artifacts in heart rate measurement systems using iterative mask estimation in frequency-domain
CN107949321A (en)*2015-04-292018-04-20美国亚德诺半导体公司 Temporal Interference Removal and Improved Heart Rate Measurement Tracking Mechanism
CN109259749A (en)*2018-08-292019-01-25南京邮电大学 Non-contact heart rate measurement method based on vision camera
US20190066713A1 (en)*2016-06-142019-02-28The Trustees Of Columbia University In The City Of New YorkSystems and methods for speech separation and neural decoding of attentional selection in multi-speaker environments
US20190192018A1 (en)*2017-12-222019-06-27Imec VzwMethod and System for Time Domain Signal Reconstruction for Representing Heart Activity
CN110705624A (en)*2019-09-262020-01-17广东工业大学Cardiopulmonary sound separation method and system based on multi-signal-to-noise-ratio model

Patent Citations (7)

* Cited by examiner, † Cited by third party
Publication numberPriority datePublication dateAssigneeTitle
CN107949321A (en)*2015-04-292018-04-20美国亚德诺半导体公司 Temporal Interference Removal and Improved Heart Rate Measurement Tracking Mechanism
US20160354038A1 (en)*2015-06-032016-12-08Analog Devices, Inc.Removing motion-related artifacts in heart rate measurement systems using iterative mask estimation in frequency-domain
CN106063702A (en)*2016-05-232016-11-02南昌大学A kind of heart rate detection system based on facial video image and detection method
US20190066713A1 (en)*2016-06-142019-02-28The Trustees Of Columbia University In The City Of New YorkSystems and methods for speech separation and neural decoding of attentional selection in multi-speaker environments
US20190192018A1 (en)*2017-12-222019-06-27Imec VzwMethod and System for Time Domain Signal Reconstruction for Representing Heart Activity
CN109259749A (en)*2018-08-292019-01-25南京邮电大学 Non-contact heart rate measurement method based on vision camera
CN110705624A (en)*2019-09-262020-01-17广东工业大学Cardiopulmonary sound separation method and system based on multi-signal-to-noise-ratio model

Non-Patent Citations (2)

* Cited by examiner, † Cited by third party
Title
许桢杰 等: "基于面部图像的非接触式婴儿心率监测", 《软件导刊》*
陈骏霖 等: "几种循环神经网络和时频掩码在心肺音分离中的应用", 《自动化与信息工程》*

Also Published As

Publication numberPublication date
CN112022135B (en)2022-08-19

Similar Documents

PublicationPublication DateTitle
Chen et al.Epileptic focus localization using discrete wavelet transform based on interictal intracranial EEG
Wang et al.Extracting and selecting distinctive EEG features for efficient epileptic seizure prediction
Singh et al.Optimal selection of wavelet basis function applied to ECG signal denoising
Sharanreddy et al.EEG signal classification for epilepsy seizure detection using improved approximate entropy
CN107616793A (en)Electroencephalogram monitoring device and method with epileptic seizure prediction function
CN108742603A (en) A method and device for EEG detection using kernel function and dictionary pair learning model
Sharma et al.QRS complex detection in ECG signals using the synchrosqueezed wavelet transform
Gnana RajeshAnalysis of MFCC features for EEG signal classification
Arif et al.Design of EEG data acquisition system based on Raspberry Pi 3 for acute ischemic stroke identification
CN108470182B (en)Brain-computer interface method for enhancing and identifying asymmetric electroencephalogram characteristics
Liu et al.Multiscale sample entropy analysis of wrist pulse blood flow signal for disease diagnosis
Athaya et al.Evaluation of different machine learning models for photoplethysmogram signal artifact detection
CN112022135B (en)Heart rate detection method based on mask neural network independent component decomposition principle
Pollreisz et al.Reliable respiratory rate extraction using PPG
Imtiaz et al.Performance-power consumption tradeoff in wearable epilepsy monitoring systems
Rakshit et al.Wavelet sub-bands features-based ECG signal quality assessment scheme for computer-aided monitoring system
Paul et al.Mental stress detection using multimodal characterization of PPG signal for personal healthcare applications
Chavan et al.EEG signals classification and diagnosis using wavelet transform and artificial neural network
CN116491909A (en)Sleep dynamics characterization method based on amplitude modulation multi-scale entropy
Aksentijevic et al.A novel approach to the study of spatio-temporal brain dynamics using change-based complexity
Divya et al.Identification of epileptic seizures using autoencoders and convolutional neural network
Sharanreddy et al.An improved approximate entropy based epilepsy seizure detection using multi-wavelet and artificial neural networks
Ye et al.PPG based Respiration Signal Estimation using VMDPCA
Pavithara et al.Implementation of EEG signal decomposition and feature extraction through efficient wavelet transforms
Shao et al.Cross-Domain Based Deep Neural Network for Obstructive Sleep Apnea Detection via Piezoelectric Ceramic Sensor Array

Legal Events

DateCodeTitleDescription
PB01Publication
PB01Publication
SE01Entry into force of request for substantive examination
SE01Entry into force of request for substantive examination
GR01Patent grant
GR01Patent grant

[8]ページ先頭

©2009-2025 Movatter.jp