
技术领域technical field
本发明涉及停车棚技术领域,尤其涉及基于智慧城市光储充一体化停车棚的共享充电服务系统。The invention relates to the technical field of parking sheds, in particular to a shared charging service system based on a smart city light-storage-charging integrated parking shed.
背景技术Background technique
光伏发电,储能系统和电动车是当前国家重点发展的产业,获得了广泛的关注和快速的发展。光储充一体化停车棚是集合太阳能光伏发电,储能系统调控和电动车辆充电功能一体化的智能新能源综合应用系统。Photovoltaic power generation, energy storage systems and electric vehicles are currently key industries in the country and have gained extensive attention and rapid development. The light storage and charging integrated parking shed is an intelligent new energy comprehensive application system that integrates solar photovoltaic power generation, energy storage system regulation and electric vehicle charging functions.
公开号CN109658616A公开了一种固定充电桩及其管理系统,涉及电动汽车充电及其管理系统,其中包括固定充电桩、后台管理系统、客户端;所述的固定充电桩包括控制器、充电枪、刷卡模块、显示屏、通信模块和功率模块;所述的客户端与后台管理系统通过网络进行连接,该系统的在网络信号差时,能继续充电,有利于提高用户的充电体验。Publication No. CN109658616A discloses a fixed charging pile and its management system, involving electric vehicle charging and its management system, including a fixed charging pile, a background management system, and a client; the fixed charging pile includes a controller, a charging gun, A card swiping module, a display screen, a communication module and a power module; the client and the background management system are connected through the network, the system can continue to charge when the network signal is poor, which is beneficial to improve the user's charging experience.
但在实际运营的过程中,充电桩中的大量充电车位被占用,占用的情况包括:非电动车辆占用车位和电动车辆占用车位等,这些情况都会导致充电桩的利用率低,使很多需要充电的车辆在关键时刻找不到充电车位,也会使充电车位资源浪费,造成一定的经济损失;However, in the process of actual operation, a large number of charging parking spaces in the charging piles are occupied, including: non-electric vehicles occupying parking spaces and electric vehicles occupying parking spaces. Many vehicles cannot find a charging parking space at a critical moment, which will also waste charging parking space resources and cause certain economic losses;
且某些电动车电池长时间使用,电池老化,在充电桩充电可能会导致电动车起火,造成安全事故。And some electric vehicle batteries are used for a long time and the batteries are aging. Charging at the charging pile may cause the electric vehicle to catch fire and cause safety accidents.
发明内容SUMMARY OF THE INVENTION
针对现有技术存在的不足,本发明目的是提供基于智慧城市光储充一体化停车棚的共享充电服务系统,本发明通过采集经过的车辆的视频信息和音频信息,识别车辆是否有排气管及分析音频内容,来判断车辆是电动车或汽油车,解决了充电桩被汽油车占车位的问题,具有设备简单,检测数据准确的优点;当电动车的充电线与充电桩相连接进行充电时,采集电动车的电池数据并进行分析和处理,得到电池的危险系数和电池的故障系数;当危险系数大于等于预定值或故障系数大于等于阈值,及时预警,提示车主更换电池,同时控制器控制充电桩断电,避免因电动车电池长时间使用老化造成的风险。Aiming at the deficiencies of the prior art, the purpose of the present invention is to provide a shared charging service system based on a smart city light-storage-charging integrated parking shed. The present invention identifies whether the vehicle has an exhaust pipe by collecting the video information and audio information of the passing vehicle. And analyze the audio content to determine whether the vehicle is an electric vehicle or a gasoline vehicle, which solves the problem that the charging pile is occupied by a gasoline vehicle, and has the advantages of simple equipment and accurate detection data; when the charging line of the electric vehicle is connected to the charging pile for charging When the battery data of the electric vehicle is collected, analyzed and processed, the risk coefficient of the battery and the failure coefficient of the battery are obtained; when the risk coefficient is greater than or equal to the predetermined value or the failure coefficient is greater than or equal to the threshold value, an early warning is given in time, prompting the owner to replace the battery, and the controller Control the power outage of the charging pile to avoid the risks caused by the long-term use of electric vehicle batteries and aging.
本发明的目的可以通过以下技术方案实现:基于智慧城市光储充一体化停车棚的共享充电服务系统,包括摄像头、数据分析模块、音频采集模块、地锁模块、控制器、故障预测模块、数据采集模块以及显示模块;The purpose of the present invention can be achieved through the following technical solutions: a shared charging service system based on a smart city light-storage-charging integrated parking shed, including a camera, a data analysis module, an audio collection module, a ground lock module, a controller, a fault prediction module, a data Acquisition module and display module;
所述摄像头设置于停车棚内用于实时录制进入停车棚内的车辆的视频信息并将视频信息通过Zigbee无线网络传输到控制器,所述控制器用于将视频信息传输到数据分析模块,所述数据分析模块与互联网连接,所述音频采集模块用于采集车辆的音频信息并将车辆的音频信息传输至控制器;所述控制器将车辆的视频信息和车辆的音频信息传输至数据分析模块;The camera is arranged in the parking shed to record the video information of the vehicle entering the parking shed in real time and transmit the video information to the controller through the Zigbee wireless network, and the controller is used to transmit the video information to the data analysis module. The data analysis module is connected to the Internet, and the audio collection module is used to collect the audio information of the vehicle and transmit the audio information of the vehicle to the controller; the controller transmits the video information of the vehicle and the audio information of the vehicle to the data analysis module;
所述数据分析模块用于接收车辆的视频信息和车辆的音频信息并对视频信息和音频信息进行识别分析,识别进入的车辆是汽油车还是电动车;所述数据分析模块的具体分析步骤如下:The data analysis module is used to receive the video information of the vehicle and the audio information of the vehicle, and identify and analyze the video information and the audio information, and identify whether the entering vehicle is a gasoline vehicle or an electric vehicle; the specific analysis steps of the data analysis module are as follows:
步骤一:获取进入停车棚内的车辆的视频信息,识别进入的车辆是否有排气管,如果有排气管,则判断为汽油车,发出警告显示,提醒汽油车离开,不要私占充电桩的充电位;如果没有排气管,继续步骤二;Step 1: Obtain the video information of the vehicle entering the parking shed, and identify whether the entering vehicle has an exhaust pipe. If there is an exhaust pipe, it is judged as a gasoline vehicle, and a warning display is issued to remind the gasoline vehicle to leave and not to occupy the charging pile privately. the charging position; if there is no exhaust pipe, continue to step 2;
步骤二:获取车辆的音频信息,根据音频信息判断是电动机还是发动机,如果是电动机则判断为电动车,收起地锁,允许停放;如果是发动机则判断为汽油车,发出警告显示,提醒汽油车离开不要私占充电桩的充电位,地锁保持展开状态;Step 2: Obtain the audio information of the vehicle, and judge whether it is an electric motor or an engine according to the audio information. If it is an electric motor, it is judged as an electric vehicle, and the ground lock is retracted to allow parking; if it is an engine, it is judged as a gasoline vehicle, and a warning display is issued to remind the gasoline vehicle. When the car leaves, do not occupy the charging position of the charging pile privately, and the ground lock remains unfolded;
当电动车的充电线与充电桩相连接进行充电时,所述数据采集模块用于采集电动车的电池数据并将电动车的电池数据传输至故障预测模块;When the charging line of the electric vehicle is connected to the charging pile for charging, the data acquisition module is used to collect battery data of the electric vehicle and transmit the battery data of the electric vehicle to the fault prediction module;
所述故障预测模块用于接收电动车的电池数据并进行分析,具体步骤包括:The fault prediction module is used to receive and analyze the battery data of the electric vehicle, and the specific steps include:
SS1:获取流经电池的实时电流值并标记为I0;SS1: Get the real-time current value flowing through the battery and mark it as I0 ;
SS2:获取电池两端的实时电压值并标记为U0;SS2: Obtain the real-time voltage value at both ends of the battery and mark it as U0 ;
SS3:根据公式R0=U0/I0获取所述电池在直流充电状态下的电阻值R0;SS3: Obtain the resistance value R0 of the battery in the DC charging state according to the formula R0 =U0 /I0 ;
SS4:将电池的生产日期与系统当前时间进行时间差计算获取得到电池的生产时长并标记为SC;SS4: Calculate the time difference between the production date of the battery and the current time of the system to obtain the production time of the battery and mark it as SC;
将电池的安装日期与系统当前时间进行时间差计算获取得到电池的使用时长并标记为SA;Calculate the time difference between the installation date of the battery and the current time of the system to obtain the usage time of the battery and mark it as SA;
SS5:根据所述电池在直流充电状态下的电阻值R0及所述电池在出厂时的直流充电电阻值R1获取所述电池的危险系数;利用公式LH=(RB-R1)/(RB-R0)获取得到电池的危险系数LH;其中RB为所述电池的电池容量下降至70%时在直流充电状态下的电阻值;SS5: Obtain the risk factor of the battery according to the resistance value R0 of the battery in the DC charging state and the DC charging resistance value R1 of the battery at the factory; use the formula LH=(RB-R1 )/( RB-R0 ) obtains the risk factor LH of the battery; wherein RB is the resistance value of the battery in the DC charging state when the battery capacity of the battery drops to 70%;
SS6:将电池的危险系数LH与预定值进行比对;SS6: Compare the risk factor LH of the battery with a predetermined value;
若LH大于等于预定值,则评估所述电池处于危险状态,发出预警信号,提示车主更换电池,并将预警信号传输至控制器;If LH is greater than or equal to a predetermined value, the battery is assessed to be in a dangerous state, an early warning signal is issued to prompt the owner to replace the battery, and the warning signal is transmitted to the controller;
若LH小于预定值,则执行步骤SS7;If LH is less than the predetermined value, execute step SS7;
SS7:将生产时长、使用时长和危险系数进行去量化处理并取其值;SS7: Dequantify the production time, use time and risk factor and take their values;
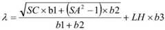
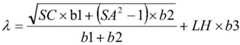
SS8:利用公式计算得到电池的故障系数λ;b1、b2和b3均为预设比例系数;SS8: Utilize formulas Calculate the failure coefficient λ of the battery; b1, b2 and b3 are all preset proportional coefficients;
SS8:若λ大于等于阈值,则评估所述电池处于危险状态,发出预警信号,提示车主更换电池,并将预警信号传输至控制器。SS8: If λ is greater than or equal to the threshold, it is evaluated that the battery is in a dangerous state, an early warning signal is issued to prompt the owner to replace the battery, and the warning signal is transmitted to the controller.
进一步地,所述地锁模块安装在充电桩前方的充电位上,所述地锁模块的初始状态是展开拒绝停放状态,收到数据分析模块的识别为电动车信号时,则收起地锁,允许停放;Further, the ground lock module is installed on the charging position in front of the charging pile, and the initial state of the ground lock module is a state of unfolding and refusing to park, and when receiving a signal identified by the data analysis module as an electric vehicle, the ground lock is retracted. , allowing parking;
进一步地,所述控制器接收到预警信号控制充电桩断电并将预警信号传输至显示模块,所述显示模块接收预警信号并实时显示电池危险字眼;Further, the controller receives the warning signal to control the power off of the charging pile and transmits the warning signal to the display module, and the display module receives the warning signal and displays the words of battery danger in real time;
进一步地,所述电池数据包括流经电池的实时电流值、实时电压值和电池的基本信息;所述电池的基本信息包括电池的生产日期和安装日期;所述数据采集模块包括电流传感器和电压传感器;所述音频采集模块包括多个振动频率传感器。Further, the battery data includes the real-time current value, real-time voltage value and basic information of the battery flowing through the battery; the basic information of the battery includes the production date and installation date of the battery; the data acquisition module includes a current sensor and a voltage a sensor; the audio collection module includes a plurality of vibration frequency sensors.
本发明的有益效果是:The beneficial effects of the present invention are:
1、本发明通过摄像头和音频采集模块采集经过的车辆的视频信息和音频信息,识别车辆是否有排气管及分析音频内容,来判断车辆是电动车或汽油车,解决了充电桩被汽油车占车位的问题,具有设备简单,检测数据准确的优点;1. The present invention collects the video information and audio information of the passing vehicle through the camera and the audio collection module, identifies whether the vehicle has an exhaust pipe and analyzes the audio content to determine whether the vehicle is an electric vehicle or a gasoline vehicle, and solves the problem that the charging pile is blocked by a gasoline vehicle. The problem of occupying parking spaces has the advantages of simple equipment and accurate detection data;
2、本发明通过数据采集模块采集电动车在充电过程中的的电池数据;并对电池数据进行分析;获取直流充电状态下流经电池的实时电流值、实时电压值;得到电池在直流充电状态下的电阻值R0;根据电池在直流充电状态下的电阻值R0及电池在出厂时的直流充电电阻值R1获取电池的危险系数LH;若LH大于等于预定值,则评估电池处于危险状态,发出预警信号,提示车主更换电池;2. The present invention collects the battery data of the electric vehicle during the charging process through the data acquisition module; analyzes the battery data; obtains the real-time current value and real-time voltage value flowing through the battery in the DC charging state; obtains the battery in the DC charging state The resistance value R0 of the battery is obtained; the risk factor LH of the battery is obtained according to the resistance value R0 of the battery in the DC charging state and the DC charging resistance value R1 of the battery at the factory; if LH is greater than or equal to a predetermined value, it is estimated that the battery is in a dangerous state , issue an early warning signal, prompting the owner to replace the battery;
若LH小于预定值;则将生产时长、使用时长和危险系数进行去量化处理并取其值,利用公式计算得到电池的故障系数λ,若λ大于等于阈值,则评估电池处于危险状态,发出预警信号,提示车主更换电池,并将预警信号传输至控制器,控制器接收到预警信号控制充电桩断电并将预警信号传输至显示模块,显示模块接收预警信号并实时显示电池危险字眼,及时提示风险;避免因电动车电池长时间使用老化造成的风险。If LH is less than the predetermined value; then dequantify the production time, use time and risk factor and take their values, using the formula Calculate the failure coefficient λ of the battery. If λ is greater than or equal to the threshold value, the battery is evaluated as being in a dangerous state, and an early warning signal is issued to prompt the owner to replace the battery, and the warning signal is transmitted to the controller. The controller receives the warning signal and controls the power off of the charging pile. The warning signal is transmitted to the display module, and the display module receives the warning signal and displays the battery danger words in real time, prompting the risk in time; avoiding the risk caused by the long-term use and aging of the electric vehicle battery.
附图说明Description of drawings
为了便于本领域技术人员理解,下面结合附图对本发明作进一步的说明。In order to facilitate the understanding of those skilled in the art, the present invention will be further described below with reference to the accompanying drawings.
图1为本发明的系统框图。FIG. 1 is a system block diagram of the present invention.
具体实施方式Detailed ways
下面将结合本发明实施例中的附图,对本发明实施例中的技术方案进行清楚、完整地描述,显然,所描述的实施例仅仅是本发明一部分实施例,而不是全部的实施例。基于本发明中的实施例,本领域普通技术人员在没有作出创造性劳动前提下所获得的所有其它实施例,都属于本发明保护的范围。The technical solutions in the embodiments of the present invention will be clearly and completely described below with reference to the accompanying drawings in the embodiments of the present invention. Obviously, the described embodiments are only a part of the embodiments of the present invention, rather than all the embodiments. Based on the embodiments of the present invention, all other embodiments obtained by those of ordinary skill in the art without creative efforts shall fall within the protection scope of the present invention.
如图1所示,基于智慧城市光储充一体化停车棚的共享充电服务系统,包括摄像头、数据分析模块、音频采集模块、地锁模块、控制器、故障预测模块、数据采集模块以及显示模块;As shown in Figure 1, a shared charging service system based on a smart city light-storage-charging integrated parking shed includes a camera, a data analysis module, an audio acquisition module, a ground lock module, a controller, a fault prediction module, a data acquisition module and a display module ;
所述摄像头设置于停车棚内用于实时录制进入停车棚内的车辆的视频信息并将视频信息通过Zigbee无线网络传输到控制器,所述控制器用于将视频信息传输到数据分析模块,所述数据分析模块与互联网连接,所述音频采集模块用于采集车辆的音频信息并将车辆的音频信息传输至控制器;所述音频采集模块包括多个振动频率传感器,均与控制器通信连接,所述控制器将车辆的视频信息和车辆的音频信息传输至数据分析模块;The camera is arranged in the parking shed to record the video information of the vehicle entering the parking shed in real time and transmit the video information to the controller through the Zigbee wireless network, and the controller is used to transmit the video information to the data analysis module. The data analysis module is connected to the Internet, and the audio collection module is used to collect the audio information of the vehicle and transmit the audio information of the vehicle to the controller; the audio collection module includes a plurality of vibration frequency sensors, all of which are connected in communication with the controller, so The controller transmits the video information of the vehicle and the audio information of the vehicle to the data analysis module;
所述控制器延时启动音频采集模块;The controller delays starting the audio collection module;
所述地锁模块安装在充电桩前方的充电位上,所述地锁模块的初始状态是展开拒绝停放状态,收到控制器的识别为电动车信号时,则收起地锁,允许停放;The ground lock module is installed on the charging position in front of the charging pile, and the initial state of the ground lock module is a state of unfolding and refusing to park, and when receiving a signal identified by the controller as an electric vehicle, the ground lock is retracted and parking is allowed;
所述数据分析模块用于接收车辆的视频信息和车辆的音频信息并对视频信息和音频信息进行识别分析,识别进入的车辆是汽油车还是电动车;所述数据分析模块的具体分析步骤如下:The data analysis module is used to receive the video information of the vehicle and the audio information of the vehicle, and identify and analyze the video information and the audio information, and identify whether the entering vehicle is a gasoline vehicle or an electric vehicle; the specific analysis steps of the data analysis module are as follows:
步骤一:获取进入停车棚内的车辆的视频信息,识别进入的车辆是否有排气管,如果有排气管,判断为汽油车,发出警告显示,提醒汽油车离开不要私占充电桩的充电位;如果没有排气管,继续步骤二;Step 1: Obtain the video information of the vehicle entering the parking shed, and identify whether the entering vehicle has an exhaust pipe. If there is an exhaust pipe, it is judged as a gasoline vehicle, and a warning display is issued to remind the gasoline vehicle to leave and not to charge the charging pile privately. position; if there is no exhaust pipe, continue to step 2;
步骤二:获取车辆的音频信息,根据音频信息判断是电动机还是发动机,如果是电动机则判断为电动车,收起地锁,允许停放;如果是发动机则判断为汽油车,发出警告显示,提醒汽油车离开不要私占充电桩的充电位,地锁保持展开状态;Step 2: Obtain the audio information of the vehicle, and judge whether it is an electric motor or an engine according to the audio information. If it is an electric motor, it is judged as an electric vehicle, and the ground lock is retracted to allow parking; if it is an engine, it is judged as a gasoline vehicle, and a warning display is issued to remind the gasoline vehicle. When the car leaves, do not occupy the charging position of the charging pile privately, and the ground lock remains unfolded;
当电动车的充电线与充电桩相连接进行充电时,所述数据采集模块用于采集电动车的电池数据并将电动车的电池数据传输至故障预测模块,所述电池数据包括流经电池的实时电流值、实时电压值和电池的基本信息;所述电池的基本信息包括电池的生产日期和安装日期;所述数据采集模块包括电流传感器和电压传感器;When the charging line of the electric vehicle is connected to the charging pile for charging, the data acquisition module is used to collect battery data of the electric vehicle and transmit the battery data of the electric vehicle to the fault prediction module, where the battery data includes the data flowing through the battery. Real-time current value, real-time voltage value and basic information of the battery; the basic information of the battery includes the production date and installation date of the battery; the data acquisition module includes a current sensor and a voltage sensor;
所述故障预测模块用于接收电动车的电池数据并进行分析,具体步骤包括:The fault prediction module is used to receive and analyze the battery data of the electric vehicle, and the specific steps include:
SS1:获取流经电池的实时电流值并标记为I0;SS1: Get the real-time current value flowing through the battery and mark it as I0 ;
SS2:获取电池两端的实时电压值并标记为U0;SS2: Obtain the real-time voltage value at both ends of the battery and mark it as U0 ;
SS3:根据公式R0=U0/I0获取所述电池在直流充电状态下的电阻值R0;SS3: Obtain the resistance value R0 of the battery in the DC charging state according to the formula R0 =U0 /I0 ;
SS4:将电池的生产日期与系统当前时间进行时间差计算获取得到电池的生产时长并标记为SC;SS4: Calculate the time difference between the production date of the battery and the current time of the system to obtain the production time of the battery and mark it as SC;
将电池的安装日期与系统当前时间进行时间差计算获取得到电池的使用时长并标记为SA;Calculate the time difference between the installation date of the battery and the current time of the system to obtain the usage time of the battery and mark it as SA;
SS5:根据所述电池在直流充电状态下的电阻值R0及所述电池在出厂时的直流充电电阻值R1获取所述电池的危险系数;利用公式LH=(RB-R1)/(RB-R0)获取得到电池的危险系数LH;其中RB为所述电池的电池容量下降至70%时在直流充电状态下的电阻值;对于电动车、电瓶车等车辆使用的电池而言,当电池的电池容量下降到70%时,该电池可以判断为老化;继续使用可能发生着火等危险;SS5: Obtain the risk factor of the battery according to the resistance value R0 of the battery in the DC charging state and the DC charging resistance value R1 of the battery at the factory; use the formula LH=(RB-R1 )/( RB-R0 ) to obtain the risk factor LH of the battery; where RB is the resistance value of the battery under the DC charging state when the battery capacity of the battery drops to 70%; for batteries used in electric vehicles, battery vehicles and other vehicles, when When the battery capacity of the battery drops to 70%, the battery can be judged to be aging; if it continues to be used, there may be dangers such as fire;
SS6:将电池的危险系数LH与预定值进行比对;SS6: Compare the risk factor LH of the battery with a predetermined value;
若LH大于等于预定值,则评估所述电池处于危险状态,发出预警信号,提示车主更换电池,并将预警信号传输至控制器;If LH is greater than or equal to a predetermined value, the battery is assessed to be in a dangerous state, an early warning signal is issued to prompt the owner to replace the battery, and the warning signal is transmitted to the controller;
若LH小于预定值,则执行步骤SS7;If LH is less than the predetermined value, execute step SS7;
SS7:将生产时长、使用时长和危险系数进行去量化处理并取其值;SS7: Dequantify the production time, use time and risk factor and take their values;
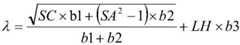
SS8:利用公式计算得到电池的故障系数λ;b1、b2和b3均为预设比例系数;SS8: Utilize formulas Calculate the failure coefficient λ of the battery; b1, b2 and b3 are all preset proportional coefficients;
SS8:若λ大于等于阈值,则评估所述电池处于危险状态,发出预警信号,提示车主更换电池,并将预警信号传输至控制器;SS8: If λ is greater than or equal to the threshold, it is evaluated that the battery is in a dangerous state, an early warning signal is issued to prompt the owner to replace the battery, and the warning signal is transmitted to the controller;
所述控制器接收到预警信号控制充电桩断电并将预警信号传输至显示模块,所述显示模块接收预警信号并实时显示电池危险字眼。The controller receives the pre-warning signal to control the power off of the charging pile and transmits the pre-warning signal to the display module, and the display module receives the pre-warning signal and displays the words of battery danger in real time.
基于智慧城市光储充一体化停车棚的共享充电服务系统,在工作时,首先摄像头实时录制进入停车棚内的车辆的视频信息并将视频信息通过Zigbee无线网络传输到控制器,音频采集模块采集车辆的音频信息并将车辆的音频信息传输至控制器;所述数据分析模块用于接收车辆的视频信息和车辆的音频信息并对视频信息和音频信息进行识别分析,识别进入的车辆是汽油车还是电动车;如果是汽油车,则发出警告显示,提醒汽油车离开不要私占充电桩的充电位,地锁保持展开状态;通过采集经过的车辆的视频信息和音频信息,识别车辆是否有排气管及分析音频内容,来判断车辆是电动车或汽油车,解决了充电桩被汽油车占车位的问题,具有设备简单,检测数据准确的优点;The shared charging service system based on the smart city light storage and charging integrated parking shed, when working, the camera first records the video information of the vehicle entering the parking shed in real time and transmits the video information to the controller through the Zigbee wireless network, and the audio collection module collects the video information. The audio information of the vehicle and the audio information of the vehicle are transmitted to the controller; the data analysis module is used to receive the video information of the vehicle and the audio information of the vehicle, and identify and analyze the video information and audio information, and identify that the entering vehicle is a gasoline vehicle It is still an electric vehicle; if it is a gasoline vehicle, a warning display will be issued, reminding the gasoline vehicle not to occupy the charging position of the charging pile privately, and the ground lock will remain in the unfolded state; by collecting the video information and audio information of the passing vehicles, it can identify whether the vehicle has a row The trachea and analysis of the audio content can determine whether the vehicle is an electric vehicle or a gasoline vehicle, which solves the problem that the charging pile is occupied by a gasoline vehicle, and has the advantages of simple equipment and accurate detection data;
当电动车的充电线与充电桩相连接进行充电时,所述数据采集模块用于采集电动车的电池数据并将电动车的电池数据传输至故障预测模块;获取直流充电状态下流经电池的实时电流值、实时电压值;得到所述电池在直流充电状态下的电阻值R0;根据所述电池在直流充电状态下的电阻值R0及所述电池在出厂时的直流充电电阻值R1获取所述电池的危险系数LH;若LH大于等于预定值,则评估所述电池处于危险状态,发出预警信号,提示车主更换电池;若LH小于预定值;则将生产时长、使用时长和危险系数进行去量化处理并取其值,利用公式计算得到电池的故障系数λ,若λ大于等于阈值,则评估所述电池处于危险状态,发出预警信号,提示车主更换电池,并将预警信号传输至控制器,所述控制器接收到预警信号控制充电桩断电并将预警信号传输至显示模块,所述显示模块接收预警信号并实时显示电池危险字眼,及时提示风险;避免因电动车电池长时间使用老化造成的风险。When the charging line of the electric vehicle is connected to the charging pile for charging, the data acquisition module is used to collect the battery data of the electric vehicle and transmit the battery data of the electric vehicle to the fault prediction module; obtain the real-time data flowing through the battery in the DC charging state Current value, real-time voltage value; obtain the resistance value R 0 of the battery in the DC charging state; according to the resistance value R0 of the battery in the DC charging state and the DC charging resistance value R1of the battery at the factory Obtain the risk factor LH of the battery; if the LH is greater than or equal to a predetermined value, the battery is assessed to be in a dangerous state, and an early warning signal is issued to prompt the owner to replace the battery; if the LH is less than the predetermined value; Perform dequantization and take its value, using the formula Calculate the failure coefficient λ of the battery. If λ is greater than or equal to the threshold, the battery is assessed to be in a dangerous state, an early warning signal is issued to prompt the owner to replace the battery, and the early warning signal is transmitted to the controller, and the controller receives the warning signal to control The charging pile is powered off and the warning signal is transmitted to the display module, the display module receives the warning signal and displays the battery danger words in real time, prompting the risk in time; avoiding the risk caused by the long-term use and aging of the electric vehicle battery.
上述公式均是由采集大量数据进行软件模拟及相应专家进行参数设置处理,得到与真实结果符合的公式。The above formulas are obtained by collecting a large amount of data for software simulation and corresponding experts for parameter setting processing, and obtaining formulas that are consistent with the real results.
以上公开的本发明优选实施例只是用于帮助阐述本发明。优选实施例并没有详尽叙述所有的细节,也不限制该发明仅为的具体实施方式。显然,根据本说明书的内容,可作很多的修改和变化。本说明书选取并具体描述这些实施例,是为了更好地解释本发明的原理和实际应用,从而使所属技术领域技术人员能很好地理解和利用本发明。本发明仅受权利要求书及其全部范围和等效物的限制。The above-disclosed preferred embodiments of the present invention are provided only to help illustrate the present invention. The preferred embodiments do not describe all the details and do not limit the invention to specific embodiments only. Obviously, many modifications and variations are possible in light of the contents of this specification. These embodiments are selected and described in this specification in order to better explain the principles and practical applications of the present invention, so that those skilled in the art can well understand and utilize the present invention. The present invention is to be limited only by the claims and their full scope and equivalents.
| Application Number | Priority Date | Filing Date | Title |
|---|---|---|---|
| CN202010928499.8ACN112009294A (en) | 2020-09-07 | 2020-09-07 | Sharing charging service system based on smart city light storage and charging integrated parking shed |
| Application Number | Priority Date | Filing Date | Title |
|---|---|---|---|
| CN202010928499.8ACN112009294A (en) | 2020-09-07 | 2020-09-07 | Sharing charging service system based on smart city light storage and charging integrated parking shed |
| Publication Number | Publication Date |
|---|---|
| CN112009294Atrue CN112009294A (en) | 2020-12-01 |
| Application Number | Title | Priority Date | Filing Date |
|---|---|---|---|
| CN202010928499.8AWithdrawnCN112009294A (en) | 2020-09-07 | 2020-09-07 | Sharing charging service system based on smart city light storage and charging integrated parking shed |
| Country | Link |
|---|---|
| CN (1) | CN112009294A (en) |
| Publication number | Priority date | Publication date | Assignee | Title |
|---|---|---|---|---|
| CN113580990A (en)* | 2021-06-07 | 2021-11-02 | 广东劲天科技有限公司 | Charging management method, terminal and system |
| CN113665398A (en)* | 2021-07-22 | 2021-11-19 | 广东劲天科技有限公司 | Charging gun fault detection method, terminal and system |
| CN113851760A (en)* | 2021-09-26 | 2021-12-28 | 上汽通用五菱汽车股份有限公司 | Temperature control method of battery system, vehicle and readable storage medium |
| CN115158064A (en)* | 2022-07-07 | 2022-10-11 | 杭州悦马爱赏科技股份有限公司 | Parking stall control and battery charging outfit intelligent system |
| CN115489372A (en)* | 2022-09-15 | 2022-12-20 | 南京开关厂股份有限公司 | Intelligent charging cabinet management and control system based on data acquisition |
| CN119832724A (en)* | 2024-12-23 | 2025-04-15 | 南京邮电大学盐城大数据研究院有限公司 | Method and system for managing charging area of electric vehicle in community |
| Publication number | Priority date | Publication date | Assignee | Title |
|---|---|---|---|---|
| CN113580990A (en)* | 2021-06-07 | 2021-11-02 | 广东劲天科技有限公司 | Charging management method, terminal and system |
| CN113665398A (en)* | 2021-07-22 | 2021-11-19 | 广东劲天科技有限公司 | Charging gun fault detection method, terminal and system |
| CN113851760A (en)* | 2021-09-26 | 2021-12-28 | 上汽通用五菱汽车股份有限公司 | Temperature control method of battery system, vehicle and readable storage medium |
| CN115158064A (en)* | 2022-07-07 | 2022-10-11 | 杭州悦马爱赏科技股份有限公司 | Parking stall control and battery charging outfit intelligent system |
| CN115489372A (en)* | 2022-09-15 | 2022-12-20 | 南京开关厂股份有限公司 | Intelligent charging cabinet management and control system based on data acquisition |
| CN115489372B (en)* | 2022-09-15 | 2023-10-24 | 南京开关厂股份有限公司 | Intelligent charging cabinet management and control system based on data acquisition |
| CN119832724A (en)* | 2024-12-23 | 2025-04-15 | 南京邮电大学盐城大数据研究院有限公司 | Method and system for managing charging area of electric vehicle in community |
| Publication | Publication Date | Title |
|---|---|---|
| CN112009294A (en) | Sharing charging service system based on smart city light storage and charging integrated parking shed | |
| CN109523087B (en) | Electric automobile quick charging station energy storage monitoring system and method based on deep learning | |
| CN113030740B (en) | Storage battery abnormity detection method and device, electronic equipment and storage medium | |
| CN110416636A (en) | A power battery management system and method based on cloud data management | |
| CN108062627A (en) | A kind of demand response analysis method based on non-intrusion type electricity consumption data | |
| CN107528095B (en) | Low-voltage battery failure prediction method based on new energy vehicle memory card data | |
| CN114069856A (en) | Remote monitoring system and method for electric vehicle charging facility | |
| CN104348205A (en) | SOC-SOH (state of charge-state of health)-based distributed BMS (Battery Management System) | |
| CN110703100B (en) | Full life cycle remote monitering system of power lithium cell | |
| CN111654096A (en) | Outdoor equipment control method, device, equipment and storage medium | |
| CN113928158B (en) | Non-invasive electric bicycle monitoring method and system based on model self-learning | |
| CN115526355A (en) | Intelligent monitoring management method and system for shared vehicles and electronic equipment | |
| CN118906889B (en) | Electric pile charging data detection method | |
| CN106864288A (en) | Communication base station charging pile integrating apparatus | |
| CN109828135A (en) | A kind of meter reading carrying out meter reading using handheld meter reading machine is abnormal to judge process | |
| CN110341541A (en) | A kind of new-energy automobile battery management system and application method | |
| CN111323673A (en) | Equipment system of patrolling and examining based on power consumption monitoring | |
| CN116811645A (en) | Charging pile cluster data remote on-line monitoring system based on 5G communication | |
| CN115333159A (en) | Civil building is with layer parking stall "grain storage is directly gentle" virtual power plant | |
| CN205430625U (en) | Electric automobile automobile -mounted terminal based on car networking | |
| KR20220075078A (en) | Monitoring and control of energy management for economic operation of building-integrated photovoltaic power generation facilities | |
| CN118572882B (en) | An integrated charging and discharging management system for photovoltaic energy storage charging stations | |
| CN117565724B (en) | Method for identifying abnormal state of charging pile | |
| CN110614933A (en) | Electric automobile remote management and control platform that charges | |
| CN113128854B (en) | New energy vehicle operation safety performance inspection method, device and system |
| Date | Code | Title | Description |
|---|---|---|---|
| PB01 | Publication | ||
| PB01 | Publication | ||
| SE01 | Entry into force of request for substantive examination | ||
| SE01 | Entry into force of request for substantive examination | ||
| WW01 | Invention patent application withdrawn after publication | ||
| WW01 | Invention patent application withdrawn after publication | Application publication date:20201201 |