




技术领域technical field
本发明涉及三维地质技术领域,具体涉及一种三维地质断层网络不确定性分析方法、系统及存储介质。The invention relates to the technical field of three-dimensional geology, in particular to a method, system and storage medium for uncertainty analysis of a three-dimensional geological fault network.
背景技术Background technique
当地壳存在裂缝时,地壳两侧的断层块平行于断层面相对于彼此移动,会产生地质断层。断层会造成地震,也能够直接影响地底资源的勘探与开采。断层本身形态多样,结构离散复杂,具有不确定性和分散性,对断层的不确定性进行分析是当前研究的一大热点。When there are cracks in the crust, fault blocks on either side of the crust move relative to each other parallel to the fault plane, creating geological faults. Faults can cause earthquakes and can directly affect the exploration and exploitation of underground resources. The fault itself has various shapes, discrete and complex structure, and has uncertainty and dispersion. The analysis of the uncertainty of the fault is a major focus of current research.
现有技术在分析断层时,一般结合认知学和地质统计学,对断层进行三维建模,以模拟真实的地质断层。现有技术在对断层进行三维建模时,一般通过人工交互连接相邻断层轮廓线上的特征匹配点形成最终的断层面模型。When analyzing faults in the prior art, three-dimensional modeling of faults is generally combined with cognition and geostatistics to simulate real geological faults. In the prior art, when three-dimensional modeling of a fault is performed, the final fault plane model is generally formed by manually interactively connecting the feature matching points on the contour lines of adjacent faults.
然而本申请的发明人发现,由于现有技术需要人工对断层轮廓线进行连接,建模过程复杂,建模效率较低,往往需要花费大量的时间进行人工交互工作。即现有技术对地质断层进行三维建模时存在效率低的缺点。However, the inventors of the present application found that, since the prior art requires manual connection of fault contours, the modeling process is complicated, the modeling efficiency is low, and a large amount of time is often required for manual interaction. That is, the prior art has the disadvantage of low efficiency when performing three-dimensional modeling of geological faults.
发明内容SUMMARY OF THE INVENTION
(一)解决的技术问题(1) Technical problems solved
针对现有技术的不足,本发明提供了一种三维地质断层网络不确定性分析方法、系统及存储介质,解决了现有技术对地质断层进行三维建模时效率低的技术问题。Aiming at the deficiencies of the prior art, the present invention provides a method, system and storage medium for uncertainty analysis of a three-dimensional geological fault network, which solves the technical problem of low efficiency in three-dimensional modeling of geological faults in the prior art.
(二)技术方案(2) Technical solutions
为实现以上目的,本发明通过以下技术方案予以实现:To achieve the above purpose, the present invention is achieved through the following technical solutions:
本发明解决其技术问题所提供的一种三维地质断层网络不确定性分析方法,所述分析方法由计算机执行,包括以下步骤:The present invention solves its technical problem and provides a three-dimensional geological fault network uncertainty analysis method. The analysis method is executed by a computer and includes the following steps:
获取地质断层轮廓线数据和地质断层产状信息,形成历史数据;Obtain geological fault contour data and geological fault occurrence information to form historical data;
基于所述历史数据获取三维地质断层隐式曲面;obtaining a three-dimensional geological fault implicit surface based on the historical data;
分析所述三维地质断层隐式曲面的空间拓扑关系,并转化为二叉树结构,得到三维地质断层二叉树;Analyzing the spatial topological relationship of the implicit surface of the three-dimensional geological fault, and converting it into a binary tree structure to obtain a three-dimensional geological fault binary tree;
遍历所述三维地质断层二叉树,得到三维地质断层网络模型;Traverse the three-dimensional geological fault binary tree to obtain a three-dimensional geological fault network model;
基于所述三维地质断层网络模型获取信息熵指标,所述信息熵指标用于评价所述三维地质断层网络模型的不确定性。An information entropy index is obtained based on the three-dimensional geological fault network model, and the information entropy index is used to evaluate the uncertainty of the three-dimensional geological fault network model.
优选的,所述三维地质断层隐式曲面的获取方法包括:Preferably, the method for obtaining the implicit surface of the three-dimensional geological fault includes:
将所述地质断层轮廓线数据采样为三维稀疏点云;sampling the geological fault profile data into a three-dimensional sparse point cloud;
从所述三维稀疏点云中提取约束点;从所述地质断层产状信息中提取断层面法向量;Extracting constraint points from the three-dimensional sparse point cloud; extracting the normal vector of the fault plane from the geological fault occurrence information;
将所述约束点和所述断层面法向量输入到预设的Hermite径向基函数中,得到断层面隐函数模型;Inputting the constraint point and the normal vector of the fault plane into a preset Hermite radial basis function to obtain an implicit function model of the fault plane;
基于所述断层面隐函数模型对地质断层进行可视化操作,得到三维地质断层隐式曲面。Based on the hidden function model of the fault plane, the geological fault is visualized to obtain a three-dimensional geological fault implicit surface.
优选的,所述基于所述断层面隐函数模型对地质断层进行可视化操作,包括:Preferably, the visualization operation on geological faults based on the fault plane implicit function model includes:
根据可视化精度将地质断层空间划分为预设网格分辨率的网格单元集合,基于所述断层面隐函数模型计算每一个网格单元的函数值,形成三维数据场;According to the visualization accuracy, the geological fault space is divided into a set of grid units with preset grid resolution, and the function value of each grid unit is calculated based on the fault plane implicit function model to form a three-dimensional data field;
基于Marching Cubes算法提取所述三维数据场中的零等值面作为断层面模型,使用OpenGL可视化图形库对所述断层面模型在三维空间中进行渲染表达,得到三维断层面可视化模型。Based on the Marching Cubes algorithm, the zero isosurface in the three-dimensional data field is extracted as the fault plane model, and the OpenGL visualization graphics library is used to render and express the fault plane model in the three-dimensional space, so as to obtain a three-dimensional fault plane visualization model.
优选的,所述三维地质断层二叉树的获取方法包括:Preferably, the method for obtaining the three-dimensional geological fault binary tree includes:
将所述三维地质断层隐式曲面的主断层作为根节点,将所述三维地质断层隐式曲面两侧区域作为子节点;当所述两侧区域存在断层面时,对所述两侧区域进行划分,生成子树,对所有子树继续划分直至所有的断层面均处理完毕,最终形成三维地质断层二叉树。The main fault of the implicit surface of the three-dimensional geological fault is used as the root node, and the areas on both sides of the implicit surface of the three-dimensional geological fault are used as child nodes; Divide, generate subtrees, continue to divide all subtrees until all fault planes are processed, and finally form a three-dimensional geological fault binary tree.
优选的,所述信息熵指标的获取方法包括:Preferably, the method for obtaining the information entropy index includes:
将所述断层面法向量转换为三维极坐标系下的极坐标法向量,基于预设的vMF概率分布模型描述所述极坐标法向量的不确定性;Converting the fault plane normal vector into a polar coordinate normal vector under a three-dimensional polar coordinate system, and describing the uncertainty of the polar coordinate normal vector based on a preset vMF probability distribution model;
基于预设的分布函数模型对所述极坐标法向量进行模拟采样,得到若干组采样法向量数据,基于若干组采样法向量数据获取若干组三维地质断层网络模型;The polar coordinate normal vector is simulated and sampled based on the preset distribution function model to obtain several sets of sampled normal vector data, and based on the several sets of sampled normal vector data, several sets of three-dimensional geological fault network models are obtained;
将地质断层空间分为若干个网格单元,对每个网格单元赋予一个单元属性;统计若干组三维地质断层网络模型建模时每个网格单元属于每个地质单元的地质属性概率;基于所述地质属性概率获取每个网格单元的网格信息熵;计算所有网格信息熵的平均值,得到信息熵指标。Divide the geological fault space into several grid units, and assign a unit attribute to each grid unit; count the geological attribute probability that each grid unit belongs to each geological unit when modeling several groups of 3D geological fault network models; based on The geological attribute probability obtains the grid information entropy of each grid unit; calculates the average value of all grid information entropy to obtain the information entropy index.
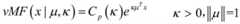
优选的,所述预设的vMF概率分布模型为:Preferably, the preset vMF probability distribution model is:
其中:in:
μ表示概率分布的主方向向量;μ represents the main direction vector of the probability distribution;
μT表示主方向向量的转置向量;μT represents the transposed vector of the main direction vector;
κ为紧密系数,表示围绕主方向的其它方向的紧密程度;κ is the compactness coefficient, indicating the compactness of other directions around the main direction;
Cp(κ)表示归一化常数。Cp (κ) represents a normalization constant.
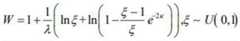
优选的,所述预设的分布函数模型为:Preferably, the preset distribution function model is:
V~U(0,2π)V~U(0,2π)
其中:in:
W和V为伪随机向量Xshape=[arccosW,V,1]的待求参数;W and V are the parameters to be found of the pseudo-random vector Xshape =[arccosW,V,1];
U(a,b)表示均匀分布;U(a,b) means uniform distribution;
λ表示扰动参数。λ represents the perturbation parameter.
优选的,所述地质属性概率的获取方法包括:Preferably, the method for obtaining the geological attribute probability includes:
其中:in:
Px(Ui)表示第x个网格单元被判定为Ui类的概率;Px (Ui ) represents the probability that the xth grid unit is judged to be of class Ui ;
n表示若干组三维地质断层网络模型的数量;n represents the number of several groups of three-dimensional geological fault network models;
Ui表示第i类地质单元;Ui represents the i-th type of geological unit;
表示第x个网格单元被判定为Ui类的模型数量; Indicates the number of models for which the xth grid unit is judged to be of class Ui ;
所述网格信息熵的获取方法包括:The method for obtaining the grid information entropy includes:
其中:in:
Hx表示第x个网格单元的网格信息熵;Hx represents the grid information entropy of the xth grid unit;
k表示地质单元的数量。k represents the number of geological units.
本发明解决其技术问题所提供的一种三维地质断层网络不确定性分析系统,所述系统包括计算机,所述计算机包括:A three-dimensional geological fault network uncertainty analysis system provided by the present invention to solve its technical problems, the system includes a computer, and the computer includes:
至少一个存储单元;at least one storage unit;
至少一个处理单元;at least one processing unit;
其中,所述至少一个存储单元中存储有至少一条指令,所述至少一条指令由所述至少一个处理单元加载并执行以实现以下步骤:Wherein, at least one instruction is stored in the at least one storage unit, and the at least one instruction is loaded and executed by the at least one processing unit to realize the following steps:
获取地质断层轮廓线数据和地质断层产状信息,形成历史数据;Obtain geological fault contour data and geological fault occurrence information to form historical data;
基于所述历史数据获取三维地质断层隐式曲面;obtaining a three-dimensional geological fault implicit surface based on the historical data;
分析所述三维地质断层隐式曲面的空间拓扑关系,并转化为二叉树结构,得到三维地质断层二叉树;Analyzing the spatial topological relationship of the implicit surface of the three-dimensional geological fault, and converting it into a binary tree structure to obtain a three-dimensional geological fault binary tree;
遍历所述三维地质断层二叉树,得到三维地质断层网络模型;Traverse the three-dimensional geological fault binary tree to obtain a three-dimensional geological fault network model;
基于所述三维地质断层网络模型获取信息熵指标,所述信息熵指标用于评价所述三维地质断层网络模型的不确定性。An information entropy index is obtained based on the three-dimensional geological fault network model, and the information entropy index is used to evaluate the uncertainty of the three-dimensional geological fault network model.
本发明解决其技术问题所提供的一种非暂态计算机可读存储介质,所述非暂态计算机可读存储介质存储计算机指令,所述计算机指令使所述计算机执行如上述的三维地质断层网络不确定性分析方法。A non-transitory computer-readable storage medium provided by the present invention to solve its technical problems, the non-transitory computer-readable storage medium stores computer instructions, and the computer instructions cause the computer to execute the above-mentioned three-dimensional geological fault network Uncertainty Analysis Methods.
(三)有益效果(3) Beneficial effects
本发明提供了一种三维地质断层网络不确定性分析方法、系统及存储介质。与现有技术相比,具备以下有益效果:The invention provides an uncertainty analysis method, system and storage medium of a three-dimensional geological fault network. Compared with the prior art, it has the following beneficial effects:
本发明通过获取地质断层轮廓线数据和地质断层产状信息,形成历史数据;基于历史数据获取三维地质断层隐式曲面;分析三维地质断层隐式曲面的空间拓扑关系,并转化为二叉树结构,得到三维地质断层二叉树;遍历三维地质断层二叉树,得到三维地质断层网络模型;基于三维地质断层网络模型获取信息熵指标,信息熵指标用于评价三维地质断层网络模型的不确定性。本发明结合隐函数曲面对地质断层进行模拟分析,并转化为二叉树,通过二叉树进行三维建模,在建模时的自动化程度高,缩短了建模时间,尤其是针对多条断层出现交叉、削截等情形的复杂断层,提高了三维建模的效率。本发明可以广泛应用于地质勘探等领域。The present invention forms historical data by acquiring geological fault outline data and geological fault occurrence information; obtains a three-dimensional geological fault implicit surface based on the historical data; analyzes the spatial topological relationship of the three-dimensional geological fault implicit surface, and converts it into a binary tree structure to obtain Three-dimensional geological fault binary tree; traverse the three-dimensional geological fault binary tree to obtain a three-dimensional geological fault network model; obtain the information entropy index based on the three-dimensional geological fault network model, and the information entropy index is used to evaluate the uncertainty of the three-dimensional geological fault network model. The present invention simulates and analyzes geological faults in combination with implicit function surfaces, converts them into a binary tree, and conducts three-dimensional modeling through the binary tree. It can improve the efficiency of 3D modeling by cutting complex faults such as truncation. The invention can be widely used in the fields of geological exploration and the like.
附图说明Description of drawings
为了更清楚地说明本发明实施例或现有技术中的技术方案,下面将对实施例或现有技术描述中所需要使用的附图作简单地介绍,显而易见地,下面描述中的附图仅仅是本发明的一些实施例,对于本领域普通技术人员来讲,在不付出创造性劳动的前提下,还可以根据这些附图获得其他的附图。In order to explain the embodiments of the present invention or the technical solutions in the prior art more clearly, the following briefly introduces the accompanying drawings that need to be used in the description of the embodiments or the prior art. Obviously, the accompanying drawings in the following description are only These are some embodiments of the present invention. For those of ordinary skill in the art, other drawings can also be obtained according to these drawings without creative efforts.
图1为本发明实施例所提供的三维地质断层网络不确定性分析方法的整体流程图;1 is an overall flow chart of a method for analyzing uncertainty of a three-dimensional geological fault network provided by an embodiment of the present invention;
图2中的左图a为本发明一个实施例中断层面及法向量关系示意图,图2中的右图b为本发明一个实施例中断层面的平面投影示意图;The left figure a in FIG. 2 is a schematic diagram of the relationship between the interrupt level and the normal vector according to an embodiment of the present invention, and the right figure b in FIG. 2 is a plane projection schematic diagram of the interrupt level according to an embodiment of the present invention;
图3中的左图a为本发明一个实施例中断层面的网络构造示意图,图3中的右图b为本发明一个实施例中断层空间的二叉树结构示意图;The left diagram a in FIG. 3 is a schematic diagram of the network structure of an interrupt layer according to an embodiment of the present invention, and the right diagram b in FIG. 3 is a schematic diagram of a binary tree structure of the interrupt layer space according to an embodiment of the present invention;
图4为本发明一个实施例中水银洞矿区实例区域地质简图;4 is a schematic diagram of regional geology of the example of the Shuiyindong mining area in one embodiment of the present invention;
图5中的左图a为本发明一个实施例中实例区域断层关系平面示意图,图5中的右图b为本发明一个实施例中实例区域断层二叉树示意图。The left figure a in FIG. 5 is a schematic plan view of the fault relationship of an example area in an embodiment of the present invention, and the right figure b in FIG. 5 is a schematic diagram of a binary tree of an example area fault in an embodiment of the present invention.
具体实施方式Detailed ways
为使本发明实施例的目的、技术方案和优点更加清楚,对本发明实施例中的技术方案进行清楚、完整地描述,显然,所描述的实施例是本发明一部分实施例,而不是全部的实施例。基于本发明中的实施例,本领域普通技术人员在没有作出创造性劳动前提下所获得的所有其他实施例,都属于本发明保护的范围。In order to make the purposes, technical solutions and advantages of the embodiments of the present invention clearer, the technical solutions in the embodiments of the present invention are described clearly and completely. Obviously, the described embodiments are part of the embodiments of the present invention, rather than all the implementations. example. Based on the embodiments of the present invention, all other embodiments obtained by those of ordinary skill in the art without creative efforts shall fall within the protection scope of the present invention.
本申请实施例通过提供一种三维地质断层网络不确定性分析方法、系统及存储介质,解决了现有技术效率低的问题,实现断层三维建模时效率的提高。The embodiments of the present application solve the problem of low efficiency in the prior art by providing a method, system and storage medium for analyzing uncertainty of a three-dimensional geological fault network, and improve the efficiency of three-dimensional fault modeling.
本申请实施例中的技术方案为解决上述技术问题,总体思路如下:The technical solutions in the embodiments of the present application are to solve the above-mentioned technical problems, and the general idea is as follows:
本发明实施例通过获取地质断层轮廓线数据和地质断层产状信息,形成历史数据;基于历史数据获取三维地质断层隐式曲面;分析三维地质断层隐式曲面的空间拓扑关系,并转化为二叉树结构,得到三维地质断层二叉树;遍历三维地质断层二叉树,得到三维地质断层网络模型;基于三维地质断层网络模型获取信息熵指标,信息熵指标用于评价三维地质断层网络模型的不确定性。本发明实施例结合隐函数曲面对地质断层进行模拟分析,并转化为二叉树,通过二叉树进行三维建模,在建模时的自动化程度高,缩短了建模时间,尤其是针对多条断层出现交叉、削截等情形的复杂断层,提高了三维建模的效率。本发明实施例可以广泛应用于地质勘探等领域。The embodiment of the present invention forms historical data by acquiring geological fault contour line data and geological fault occurrence information; acquires a three-dimensional geological fault implicit surface based on the historical data; analyzes the spatial topological relationship of the three-dimensional geological fault implicit surface, and converts it into a binary tree structure , obtain the 3D geological fault binary tree; traverse the 3D geological fault binary tree to obtain the 3D geological fault network model; obtain the information entropy index based on the 3D geological fault network model, and the information entropy index is used to evaluate the uncertainty of the 3D geological fault network model. In the embodiment of the present invention, geological faults are simulated and analyzed in combination with the implicit function surface, and converted into a binary tree, and three-dimensional modeling is performed through the binary tree. The degree of automation in modeling is high, and the modeling time is shortened, especially for the occurrence of multiple faults. Complex faults such as intersections and truncations improve the efficiency of 3D modeling. The embodiments of the present invention can be widely used in the fields of geological exploration and the like.
为了更好的理解上述技术方案,下面将结合说明书附图以及具体的实施方式对上述技术方案进行详细的说明。In order to better understand the above technical solutions, the above technical solutions will be described in detail below with reference to the accompanying drawings and specific embodiments.
本发明实施例提供了一种三维地质断层网络不确定性分析方法,该方法由计算机执行,如图1所示,包括以下步骤:An embodiment of the present invention provides a method for analyzing uncertainty of a three-dimensional geological fault network. The method is executed by a computer, as shown in FIG. 1 , and includes the following steps:
S1、获取地质断层轮廓线数据和地质断层产状信息,形成历史数据;S1. Obtain geological fault outline data and geological fault occurrence information to form historical data;
S2、基于上述历史数据获取三维地质断层隐式曲面;S2. Obtain a three-dimensional geological fault implicit surface based on the above historical data;
S3、分析上述三维地质断层隐式曲面的空间拓扑关系,并转化为二叉树结构,得到三维地质断层二叉树;S3, analyze the spatial topological relationship of the implicit surface of the three-dimensional geological fault, and convert it into a binary tree structure to obtain a three-dimensional geological fault binary tree;
S4、遍历上述三维地质断层二叉树,得到三维地质断层网络模型;S4, traverse the above-mentioned three-dimensional geological fault binary tree to obtain a three-dimensional geological fault network model;
S5、基于上述三维地质断层网络模型获取信息熵指标,上述信息熵指标用于评价上述三维地质断层网络模型的不确定性。S5. Obtain an information entropy index based on the above-mentioned three-dimensional geological fault network model, and the above-mentioned information entropy index is used to evaluate the uncertainty of the above-mentioned three-dimensional geological fault network model.
本发明实施例通过获取地质断层轮廓线数据和地质断层产状信息,形成历史数据;基于历史数据获取三维地质断层隐式曲面;分析三维地质断层隐式曲面的空间拓扑关系,并转化为二叉树结构,得到三维地质断层二叉树;遍历三维地质断层二叉树,得到三维地质断层网络模型;基于三维地质断层网络模型获取信息熵指标,信息熵指标用于评价三维地质断层网络模型的不确定性。本发明实施例结合隐函数曲面对地质断层进行模拟分析,并转化为二叉树,通过二叉树进行三维建模,在建模时的自动化程度高,缩短了建模时间,尤其是针对多条断层出现交叉、削截等情形的复杂断层,提高了三维建模的效率。本发明实施例可以广泛应用于地质勘探等领域。The embodiment of the present invention forms historical data by acquiring geological fault contour line data and geological fault occurrence information; acquires a three-dimensional geological fault implicit surface based on the historical data; analyzes the spatial topological relationship of the three-dimensional geological fault implicit surface, and converts it into a binary tree structure , obtain the 3D geological fault binary tree; traverse the 3D geological fault binary tree to obtain the 3D geological fault network model; obtain the information entropy index based on the 3D geological fault network model, and the information entropy index is used to evaluate the uncertainty of the 3D geological fault network model. In the embodiment of the present invention, geological faults are simulated and analyzed in combination with the implicit function surface, and converted into a binary tree, and three-dimensional modeling is performed through the binary tree. The degree of automation in modeling is high, and the modeling time is shortened, especially for the occurrence of multiple faults. Complex faults such as intersections and truncations improve the efficiency of 3D modeling. The embodiments of the present invention can be widely used in the fields of geological exploration and the like.
下面对各步骤进行具体分析。Each step is analyzed in detail below.
在步骤S1中,获取地质断层轮廓线数据和地质断层产状信息,形成历史数据。In step S1, the geological fault contour line data and geological fault occurrence information are acquired to form historical data.
具体的,本发明实施例在当地地质的勘探线剖面图中结合地质解译,使用数字化方式提取断层二维轮廓线数据和产状信息,并转换到三维空间,得到地质断层轮廓线数据和地质断层产状信息。Specifically, the embodiment of the present invention combines geological interpretation in the local geological prospecting line profile, uses a digital method to extract two-dimensional fault contour line data and occurrence information, and converts them to three-dimensional space to obtain geological fault contour line data and geological information. Fault occurrence information.
在步骤S2中,基于上述历史数据获取三维地质断层隐式曲面。In step S2, a three-dimensional geological fault implicit surface is obtained based on the above historical data.
具体的,包括以下步骤:Specifically, it includes the following steps:
S201、将上述地质断层轮廓线数据采样为三维稀疏点云。S201. Sampling the above-mentioned geological fault outline data into a three-dimensional sparse point cloud.
S202、从上述三维稀疏点云中提取约束点;从上述地质断层产状信息中提取断层面法向量。S202, extracting constraint points from the above-mentioned three-dimensional sparse point cloud; extracting the normal vector of the fault plane from the above-mentioned geological fault occurrence information.
具体的,本发明实施例从三维稀疏点云中提取节点作为曲面重建的约束点位置坐标p(px,py,pz),而断层面的法向量信息作为垂直于断层面的方向信息与描述断层几何形态的走向、倾向、倾角等要素具有相应的几何关系。Specifically, in the embodiment of the present invention, nodes are extracted from the three-dimensional sparse point cloud as the position coordinates p(px , py , pz ) of the constraint points for surface reconstruction, and the normal vector information of the fault plane is taken as the direction information perpendicular to the fault plane. It has a corresponding geometric relationship with elements such as strike, dip, and dip that describe the geometry of the fault.
如图2中的左图a所示,定义极坐标系下法向量方向代表法向量在水平面上的投影与X轴的夹角,θ代表法向量与Z轴的夹角,单位法向量的长度r等于1。根据几何关系可以证明与断层走向方位角大小相等,θ与断层面的倾角大小相等。最后将极坐标系下法向量转换为直角坐标系下法向量N(Nx,Ny,Nz),构成数据对(N,p);图2中的右图b表示断层面在XY平面上的投影。As shown in the left figure a in Figure 2, define the normal vector direction in the polar coordinate system Represents the angle between the projection of the normal vector on the horizontal plane and the X axis, θ represents the angle between the normal vector and the Z axis, and the length r of the unit normal vector is equal to 1. According to the geometric relationship, it can be proved that It is equal to the azimuth angle of fault strike, and θ is equal to the dip angle of the fault plane. Finally, the normal vector in the polar coordinate system is converted into the normal vector N (Nx , Ny , Nz ) in the rectangular coordinate system to form a data pair (N, p); the right image b in Figure 2 indicates that the fault plane is on the XY plane projection on.
S203、将上述约束点和上述断层面法向量输入到预设的Hermite径向基函数中,得到断层面隐函数模型。S203 , inputting the above-mentioned constraint point and the above-mentioned normal vector of the fault plane into a preset Hermite radial basis function to obtain an implicit function model of the fault plane.
具体的,本发明实施例选用径向基隐式曲面Hermite径向基函数(Hermite RadialBasis Function,HRBF)的数学函数模型,将获取的约束点坐标与法向量数据对(N,p)作为原始输入数据,得到断层面的隐函数模型f(p)。Specifically, in the embodiment of the present invention, the mathematical function model of the radial basis implicit surface Hermite Radial Basis Function (HRBF) is selected, and the obtained pair of constraint point coordinates and normal vector data (N, p) is used as the original input data to obtain the implicit function model f(p) of the fault plane.
在本发明实施例中,隐函数模型f(p)为:In the embodiment of the present invention, the implicit function model f(p) is:
其中:in:
pi表示曲面上已知采样点坐标;pi represents the known sampling point coordinates on the surface;
表示径向基核函数,本发明实施例选择为距离的三次方; represents the radial basis kernel function, which is selected as the cube of the distance in the embodiment of the present invention;
▽表示梯度计算;<a,b>表示两个向量的内积;▽ represents gradient calculation; <a,b> represents the inner product of two vectors;
αi与βi表示为由已知采样点坐标条件决定的隐函数待定系数矩阵。αi and βi are expressed as the implicit function undetermined coefficient matrix determined by the known sampling point coordinate conditions.
通过上述隐函数模型可以得到三维空间中一个曲面模型,具体的,其位于曲面上的位置坐标的函数值均等于0;位于曲面内部的函数值均大于0;位于曲面外部的函数值均小于0。A surface model in three-dimensional space can be obtained through the above implicit function model. Specifically, the function values of the position coordinates on the surface are all equal to 0; the function values located inside the surface are all greater than 0; the function values located outside the surface are all less than 0 .
S204、基于上述断层面隐函数模型对地质断层进行可视化操作,得到三维地质断层隐式曲面。S204 , performing a visualization operation on the geological fault based on the above-mentioned fault plane implicit function model to obtain a three-dimensional geological fault implicit surface.
具体的,根据可视化精度将地质断层空间划分为预设网格分辨率的网格单元集合,基于所述断层面隐函数模型计算每一个网格单元的函数值,形成三维数据场;Specifically, according to the visualization precision, the geological fault space is divided into a set of grid units with a preset grid resolution, and the function value of each grid unit is calculated based on the fault plane implicit function model to form a three-dimensional data field;
基于Marching Cubes算法提取所述三维数据场中的零等值面作为断层面模型,使用OpenGL可视化图形库对所述断层面模型在三维空间中进行渲染表达,得到三维断层面可视化模型。Based on the Marching Cubes algorithm, the zero isosurface in the three-dimensional data field is extracted as the fault plane model, and the OpenGL visualization graphics library is used to render and express the fault plane model in the three-dimensional space, so as to obtain a three-dimensional fault plane visualization model.
具体的,三维断层面可视化模型即为三维地质断层隐式曲面的可视化表达。本发明实施例利用计算机可视化技术对上述三维断层面可视化模型进行显示和交互操作,以观察模型在三维空间中的几何形态,以进一步观测地质断层。Specifically, the 3D fault plane visualization model is the visual expression of the implicit surface of the 3D geological fault. The embodiment of the present invention utilizes computer visualization technology to display and interactively operate the above-mentioned three-dimensional fault plane visualization model, so as to observe the geometric shape of the model in three-dimensional space, so as to further observe the geological fault.
在步骤S3中,分析上述三维地质断层隐式曲面的空间拓扑关系,并转化为二叉树结构,得到三维地质断层二叉树。In step S3, the spatial topological relationship of the implicit surface of the three-dimensional geological fault is analyzed, and converted into a binary tree structure to obtain a three-dimensional geological fault binary tree.
具体的,将上述三维地质断层隐式曲面的主断层作为根节点,将上述三维地质断层隐式曲面两侧区域作为子节点;当上述两侧区域存在断层面时,对上述两侧区域进行划分,生成子树,对所有子树继续划分直至所有的断层面均处理完毕,最终形成三维地质断层二叉树。Specifically, the main fault of the implicit surface of the three-dimensional geological fault is used as the root node, and the areas on both sides of the implicit surface of the three-dimensional geological fault are used as child nodes; when there are fault planes in the areas on both sides, the areas on both sides are divided. , generate subtrees, continue to divide all subtrees until all fault planes are processed, and finally form a three-dimensional geological fault binary tree.
在本发明的一个实施例中:In one embodiment of the invention:
根据隐函数曲面的定义,一个表示断层的零等值面可以将建模空间分为两部分:According to the definition of implicit function surface, a zero isosurface representing a fault can divide the modeling space into two parts:
将断层面f作为根节点,根节点的选取可以根据实际区域断层之间相互交叉和、削截情况,选择主断层或交叉较多的断层。f两侧的区域B-和B+分别作为断层面f的子节点,在B-和B+区域中可能又会存在其它断层面,分别重新对B-和B+区域进行划分生成新的子树。继续处理生成的新子树直到模型区域内所有断层均被处理完毕并添加到断层二叉树中,最终形成一棵完整表达断层空间关系的二叉树。Taking the fault plane f as the root node, the selection of the root node can be based on the intersection and truncation of the actual regional faults, and the main fault or the fault with more intersections can be selected. The areas B- and B+ on both sides of f are respectively used as child nodes of the fault plane f, and there may be other fault planes in the B- and B+ areas, and the B- and B+ areas are divided again to generate new sub-nodes Tree. Continue to process the generated new subtree until all the faults in the model area are processed and added to the fault binary tree, and finally a binary tree that fully expresses the spatial relationship of faults is formed.
图3中的左图a为一个简单的断层网络空间关系的示意图,图3中的右图b为对应空间关系构建的断层空间二叉树T。记F表示断层面,B表示被划分的子区域。F1,F2,F3为断层所对应的节点;B4,B5,B6,B7表示经过划分之后的空间区域。根据空间中断层面与两侧区域的所属关系以及断层二叉树的构建过程可以得出:二叉树的每一个非叶子节点对应一个断层面,而其每一个叶子节点表示由断层面划分之后的空间区域。The left figure a in Figure 3 is a schematic diagram of a simple fault network spatial relationship, and the right figure b in Figure 3 is the fault space binary tree T constructed corresponding to the spatial relationship. Denote F to represent the fault plane, and B to represent the divided sub-regions. F1, F2, and F3 are the nodes corresponding to the faults; B4, B5, B6, and B7 represent the space regions after division. According to the relationship between the spatial discontinuity level and the areas on both sides and the construction process of the fault binary tree, it can be concluded that each non-leaf node of the binary tree corresponds to a fault level, and each leaf node represents the space area divided by the fault level.
在步骤S4中,遍历上述三维地质断层二叉树,得到三维地质断层网络模型。In step S4, the above-mentioned three-dimensional geological fault binary tree is traversed to obtain a three-dimensional geological fault network model.
具体的,包括以下步骤:Specifically, it includes the following steps:
S401、处理根节点:读入断层二叉树T的根节点作为父节点ParentNode,该节点是非叶子节点,对应为一个断层面,提取该断层面的轮廓线数据使用S2中三维断层面可视化模型的建模流程构建面模型,同时该面模型将原始建模区域划分为左子区域LB和右子区域RB,两个子区域分别对应根节点的两个左右子节点LeftNode和RightNode,将ParentNode标记为已处理,继续处理两个子节点。S401, process the root node: read the root node of the fault binary tree T as the parent node ParentNode, the node is a non-leaf node, corresponding to a fault plane, extract the contour data of the fault plane and use the modeling of the three-dimensional fault plane visualization model in S2 The process builds a surface model. At the same time, the surface model divides the original modeling area into a left sub-region LB and a right sub-region RB. The two sub-regions correspond to the left and right sub-nodes LeftNode and RightNode of the root node respectively, and the ParentNode is marked as processed. Continue processing two child nodes.
S402、处理LeftNode节点:判断LeftNode节点是否是叶子节点,如果该节点是非叶子节点,则其对应为一个断层面,重复S401中针对非叶子节点的操作;反之如果该节点是叶子节点,则表示该节点对应的区域内不再包含其它断层,直接将该节点标记为已处理。S402, processing the LeftNode node: judging whether the LeftNode node is a leaf node, if the node is a non-leaf node, it corresponds to a fault plane, and repeats the operation for the non-leaf node in S401; otherwise, if the node is a leaf node, it means the The area corresponding to the node no longer contains other faults, and the node is directly marked as processed.
S403、处理RightNode节点:处理方式同S402中的LeftNode节点。S403, processing the RightNode node: the processing method is the same as that of the LeftNode node in S402.
S404、当二叉树中所有节点均被标记为已处理,说明所有断层面模型均已构建,至此区域内复杂断层网络模型构建完成。S404 , when all nodes in the binary tree are marked as processed, it means that all fault plane models have been constructed, and the construction of the complex fault network model in this area is completed.
在步骤S5中,基于上述三维地质断层网络模型获取信息熵指标,上述信息熵指标用于评价上述三维地质断层网络模型的不确定性。In step S5, an information entropy index is obtained based on the above-mentioned three-dimensional geological fault network model, and the above-mentioned information entropy index is used to evaluate the uncertainty of the above-mentioned three-dimensional geological fault network model.
具体的,包括以下步骤:Specifically, it includes the following steps:
S501、将上述断层面法向量转换为三维极坐标系下的极坐标法向量,基于预设的vMF概率分布模型描述所述极坐标法向量的不确定性。S501. Convert the normal vector of the fault plane into a polar coordinate normal vector in a three-dimensional polar coordinate system, and describe the uncertainty of the polar coordinate normal vector based on a preset vMF probability distribution model.
具体的,为了方便地将断层面的法向量描述为三维空间中的方向信息,将三维直角坐标系下的法向量N(Nx,Ny,Nz)坐标转换为三维极坐标系下的法向量坐标进行处理。选用适合于极坐标系的vMF(von Mises–Fisher)概率分布函数来描述方向的不确定性。vMF概率分布是一种常用的描述方向数据的概率分布模型,其概率密度函数表示如下:Specifically, in order to conveniently describe the normal vector of the fault plane as the direction information in the three-dimensional space, the coordinates of the normal vector N (Nx , Ny , Nz ) in the three-dimensional rectangular coordinate system are converted into the three-dimensional polar coordinate system. normal vector Coordinates are processed. The vMF (von Mises–Fisher) probability distribution function suitable for the polar coordinate system is selected to describe the uncertainty of the orientation. vMF probability distribution is a commonly used probability distribution model for describing direction data, and its probability density function is expressed as follows:
其中:in:
μ表示概率分布的主方向向量(即进行不确定性模拟的法向量方向);μ represents the main direction vector of the probability distribution (that is, the direction of the normal vector for uncertainty simulation);
μT表示主方向向量的转置向量;μT represents the transposed vector of the main direction vector;
κ为紧密系数,表示围绕主方向的其它方向的紧密程度;κ is the compactness coefficient, indicating the compactness of other directions around the main direction;
Cp(κ)表示归一化常数。Cp (κ) represents a normalization constant.
vMF概率分布模型保证定义围绕主方向向量的方向数据能够满足轴对称要求,从而可以更加全面地描述主方向向量可能存在的不确定性因素,因此比较适合用于定义断层面法向量信息的不确定性概率模型。The vMF probability distribution model ensures that the direction data defined around the main direction vector can meet the requirements of axisymmetric, so that the possible uncertainty factors of the main direction vector can be described more comprehensively, so it is more suitable for defining the uncertainty of the normal vector information of the fault plane. Sexual probability model.
S502、基于预设的分布函数模型对上述极坐标法向量进行模拟采样,得到若干组采样法向量数据,基于若干组采样法向量数据获取若干组三维地质断层网络模型。S502. Perform simulated sampling on the polar coordinate normal vector based on a preset distribution function model to obtain several sets of sampled normal vector data, and obtain several sets of three-dimensional geological fault network models based on the several sets of sampled normal vector data.
在极坐标系下定义一个伪随机向量Xshape=[arccosW,V,1]对原始法向量方向μ进行随机扰动来模拟一定范围内μ的不确定情形。A pseudo-random vector Xshape =[arccosW,V,1] is defined in the polar coordinate system to randomly perturb the original normal vector direction μ to simulate the uncertainty of μ within a certain range.
W,V为伪随机向量的待求参数,其中,W通过扰动参数λ和满足均匀分布的参数ξ确定;V由均匀分布确定。根据W和V可确定极坐标系下法向量的采样结果,用于后续信息熵的计算。W, V are the parameters to be obtained for the pseudo-random vector, wherein, W is determined by the disturbance parameter λ and the parameter ξ satisfying the uniform distribution; V is determined by the uniform distribution. According to W and V, the sampling result of the normal vector in the polar coordinate system can be determined for subsequent calculation of information entropy.
具体的,W与V分别按照如下的分布函数模型进行模拟采样:Specifically, W and V are simulated and sampled according to the following distribution function models:
V~U(0,2π)V~U(0,2π)
其中:in:
U(a,b)表示均匀分布;U(a,b) means uniform distribution;
λ表示扰动参数。λ represents the perturbation parameter.
λ作为模拟的扰动参数,对应于vMF概率分布函数中的紧密系数。λ is used as a perturbation parameter for the simulation, corresponding to the tightness coefficient in the vMF probability distribution function.
需要说明的是,本发明实施例将紧密系数κ设定为扰动参数λ,λ≥0且λ越大表示模拟采样的方向与原始法向量方向越集中,调整合适的λ值大小进行多次模拟采样得到多组原始建模数据。扰动参数λ值设置考虑断层相互交错的复杂性对建模不确定性定量评价的影响,将约束点与断层面之间的空间距离作为影响原始建模数据中约束点位置的因素,以此确定原始建模数据中不同约束点位置的扰动参数大小,采用变化的扰动参数计算信息熵指标与统一扰动参数下的计算结果进行对比分析。It should be noted that, in the embodiment of the present invention, the tightness coefficient κ is set as the disturbance parameter λ, λ≥0 and the larger the λ is, the more concentrated the direction of the simulation sampling and the original normal vector direction, and the appropriate λ value is adjusted to perform multiple simulations. Sampling to obtain multiple sets of original modeling data. The setting of the disturbance parameter λ takes into account the influence of the complexity of the interlaced faults on the quantitative evaluation of modeling uncertainty, and takes the spatial distance between the constraint point and the fault plane as a factor that affects the position of the constraint point in the original modeling data. The size of the disturbance parameters at different constraint point positions in the original modeling data is compared and analyzed by using the changed disturbance parameters to calculate the information entropy index and the calculation results under the unified disturbance parameters.
考虑约束点与断层面之间的空间距离影响设置不同κ值的算法原理:假定约束点位置与各个断层之间距离之和越小说明该点处数据离断层面越近,对断层网络模型结果影响越大,设置较大的紧密系数来模拟该点法向量方向的偏差;反之约束点位置与各个断层之间距离之和越大说明该点处数据离断层面越远,对断层网络模型结果影响相对越小,设置较小的紧密系数。具体的,紧密系数的设置方法如下:Considering the influence of the spatial distance between the constraint point and the fault plane, the algorithm principle of setting different κ values: it is assumed that the smaller the sum of the distance between the constraint point position and each fault, the closer the data at the point is to the fault plane, and the result of the fault network model. The larger the influence is, the larger the tightness coefficient is to simulate the deviation of the normal vector direction of the point; on the contrary, the larger the sum of the distance between the position of the constraint point and each fault, the farther the data at the point is from the fault plane, and the result of the fault network model will be affected. The smaller the effect is, the smaller the tightness factor is. Specifically, the setting method of the tightness coefficient is as follows:
首先基于断层网络建模方法构建出各个断层面模型,使用不规则三角网格式进行存储显示,约束点位置与断层面的距离定义为约束点到不规则三角网的最短距离;Firstly, each fault plane model is constructed based on the fault network modeling method, and is stored and displayed in the irregular triangular mesh format. The distance between the position of the constraint point and the fault plane is defined as the shortest distance from the constraint point to the irregular triangular network;
然后计算每一个断层面的约束点位置与其它断层面的空间距离之和,统计所有约束点位置的计算结果并进行距离分组,按距离分组设置不同紧密系数。Then calculate the sum of the spatial distance between the constraint point position of each fault plane and other fault planes, count the calculation results of all constraint point positions and group them by distance, and set different tightness coefficients according to the distance grouping.
对于给定的一个扰动参数,按照上述分布函数模型采样获得多组随机向量Xshape集合。将原始法向量方向分别旋转Xshape集合中每个元素对应的角度即可获得多组模拟采样的断层面法向量数据,随后基于断层网络建模方法构建多组三维地质断层网络模型。For a given disturbance parameter, multiple sets of random vectors Xshape are obtained by sampling according to the above distribution function model. The original normal vector direction is rotated by the angle corresponding to each element in the Xshape set to obtain multiple sets of simulated and sampled fault plane normal vector data, and then multiple sets of 3D geological fault network models are constructed based on the fault network modeling method.
S503、将地质断层空间分为若干个网格单元,对每个网格单元赋予一个单元属性;统计若干组三维地质断层网络模型建模时每个网格单元属于每个地质单元的地质属性概率;基于上述地质属性概率获取每个网格单元的网格信息熵;计算所有网格信息熵的平均值,得到信息熵指标。S503. Divide the geological fault space into several grid units, and assign a unit attribute to each grid unit; count the geological attribute probability that each grid unit belongs to each geological unit when modeling several groups of three-dimensional geological fault network models ; Obtain the grid information entropy of each grid unit based on the above geological attribute probability; calculate the average value of all grid information entropy to obtain the information entropy index.
具体的,将整个建模空间细分为若干个网格单元,为每一个网格赋予一类单元属性(在三维地质建模中该属性表示为网格属于某一类地质单元U),针对模型集合中的多组断层网络比较模型,统计每个网格可能属于哪一类地质单元。然后根据统计结果计算出每一处网格在建模过程中所属于每一类地质单元Ui的概率Px(Ui):Specifically, the entire modeling space is subdivided into several grid units, and a type of unit attribute is assigned to each grid (in 3D geological modeling, the attribute is expressed as the grid belongs to a certain type of geological unit U). Multiple groups of fault networks in the model set compare models and count which type of geological unit each grid may belong to. Then, according to the statistical results, the probability Px (Ui ) of each grid belonging to each type of geological unit Ui during the modeling process is calculated:
其中:in:
Px(Ui)表示第x个网格单元被判定为Ui类的概率;Px (Ui ) represents the probability that the xth grid unit is judged to be of class Ui ;
n表示若干组三维地质断层网络模型的数量;n represents the number of several groups of three-dimensional geological fault network models;
Ui表示第i类地质单元;Ui represents the i-th type of geological unit;
表示第x个网格单元被判定为Ui类的模型数量。 Indicates the number of models for which the xth grid cell is judged to be of class Ui .
本发明实施例设定整个区域中存在k类不同的地质单元,地质属性概率Px与此处的网格信息熵Hx存在如下的关系:The embodiment of the present invention assumes that there are k types of different geological units in the entire area, and the geological attribute probability Px and the grid information entropy Hx here have the following relationship:
其中:in:
Hx表示第x个网格单元的网格信息熵;Hx represents the grid information entropy of the xth grid unit;
k表示地质单元的数量。k represents the number of geological units.
Hx是一个无单位的标量,其大小直接反映了对应位置处信息的复杂程度。在三维断层网络模型结果中:熵值越大表示该位置的地质属性越复杂,模型的不确定性程度越高;反之,模型的不确定性程度越小。Hx is a unitless scalar whose size directly reflects the complexity of the information at the corresponding location. In the results of the three-dimensional fault network model: the larger the entropy value, the more complex the geological properties of the location, and the higher the uncertainty of the model; otherwise, the smaller the uncertainty of the model.
当Hx=0时表示该位置只可能属于一类地质单元,具有唯一确定的情形。将每一网格单元的信息熵值在三维空间中进行可视化显示可以直观地观察出整个建模空间中不确定性程度较高的区域。对于整体模型的不确定性,计算所有网格信息熵的平均值HM作为信息熵指标,用于评价三维地质断层网络模型的不确定性。When Hx =0, it means that the location can only belong to one type of geological unit, and has a unique definite situation. Visually displaying the information entropy value of each grid unit in three-dimensional space can visually observe the regions with high degree of uncertainty in the entire modeling space. For the uncertainty of the overall model, the average value HM of the information entropy of all grids is calculated as the information entropy index, which is used to evaluate the uncertainty of the three-dimensional geological fault network model.
在本发明的一个实施例中,以具体实例验证本发明的准确性:In one embodiment of the present invention, the accuracy of the present invention is verified with specific examples:
具体的,以位于灰家堡金矿田中部的贵州省水银洞金矿床包含多条断层的47号~129号勘探线范围区域作为实例研究区。Specifically, the area of exploration line No. 47 to No. 129 in the Shuiyindong gold deposit in Guizhou Province, which is located in the middle of the Huijiabao gold ore field, contains multiple faults as a case study area.
(1)实例区域断层标注与建模数据获取(1) Instance area fault labeling and modeling data acquisition
选定区域地质简图如图4所示,区域内出露地层主要为上二叠统长兴组(P3c)、上二叠统大隆组(P3d)以及下三叠统夜郎组第一段(T1y1),研究区包含两条东西向断裂F101和F105以及两条近南北走向断裂F201和F203。其中,F101断层位于灰家堡背斜北翼近轴部,贯穿全区,倾角50°~55°,为一倾向北的逆断层;F105断层发育于灰家堡背斜南翼近轴部倾角45°~55°,为一条倾向南的逆断层;F201断层为一条倾向东,倾角80°左右的正断层。F203断层为一总体向西倾斜的陡倾角正断层,倾角一般>70°。大致在73线和117线附近,F105断层分别被F203断层及F201断层切割使其出现了比较明显的移位现象,故将其错开的三部分记为F105-1断层、F105-2断层和F105-3断层分开处理。The geological map of the selected area is shown in Figure 4. The exposed strata in the area are mainly the Upper Permian Changxing Formation (P3c), the Upper Permian Dalong Formation (P3d) and the first member of the Lower Triassic Yelang Formation (T1y1), the study area contains two east-west faults F101 and F105 and two near-north-south faults F201 and F203. Among them, the F101 fault is located in the paraxial part of the northern flank of the Huijiapu anticline, running through the whole area, with a dip angle of 50° to 55°, and is a reverse fault dipping north; 45°~55° is a reverse fault dipping south; the F201 fault is a normal fault dipping eastward with a dip angle of about 80°. The F203 fault is a steeply dipping normal fault generally dipping westward, and the dip angle is generally >70°. Roughly in the vicinity of
结合地质解译,利用ArcGIS软件分别导入47号~129号勘探线剖面图,配准后圈定对应的断层范围轮廓线,并采用VC++6.0自编数据转换程序将其数字化的边界线从二维空间转换到三维立体空间中,依次对三维线串数据进行约束点采样处理,并通过断层的产状信息描述近似估计每个断层面的法向量得到三维断层网络建模的原始输入数据。Combined with geological interpretation, ArcGIS software was used to import the profiles of exploration lines No. 47 to No. 129, and the corresponding fault range contour lines were delineated after registration. The 3D space is converted into a 3D space, and the 3D line string data is sequentially sampled by constraint points, and the normal vector of each fault plane is approximately estimated by the fault occurrence information description to obtain the original input data of 3D fault network modeling.
(2)基于隐函数曲面的断层网络建模软件FaultMod软件开发(2) FaultMod software development of fault network modeling software based on implicit function surface
采用VC++编程语言,在Visual studio 2010集成开发环境中使用图形界面框架MFC与跨平台三维可视化图形库OpenGL,利用发明内容三维断层隐式曲面构建中的计算求解断层曲面的径向基隐式函数模型和三维断层面的可视化显示方法和算法设计,以及使用断层二叉树数据结构构建断层网络模型和基于信息熵(Entropy)的断层网络模型不确定性定量评价技术方法,开发基于HRBF隐函数曲面的断层隐式建模软件FaultMod,包括以下功能模块:模型数据读取模块;断层曲面隐函数模型的计算求解模块;三维断层面的可视化显示模块;断层二叉树结构生成模块;断层网络不确定性分析与定量评价模块;结果保存模块。以下各步骤都是采用该软件进行计算的。Using VC++ programming language, using the graphical interface framework MFC and cross-platform 3D visualization graphics library OpenGL in the Visual studio 2010 integrated development environment, using the calculation in the construction of the three-dimensional fault implicit surface of the invention to solve the radial basis implicit function model of the fault surface The visual display method and algorithm design of the three-dimensional fault plane, as well as the use of the fault binary tree data structure to construct the fault network model and the information entropy (Entropy)-based method for the quantitative evaluation of the uncertainty of the fault network model, and the development of the fault hidden function surface based on HRBF. It includes the following functional modules: model data reading module; calculation and solution module of fault surface implicit function model; visual display module of 3D fault plane; fault binary tree structure generation module; fault network uncertainty analysis and quantitative evaluation module; result saving module. The following steps are all calculated using this software.
(3)实例断层网络模型构建(3) Instance fault network model construction
分析实例区域内平面地质图中断层构造的空间分布情况以及剖面图中各断层线位置,如图5中的左图a所示,并构建该研究区域内的断层二叉树结构如图5中的右图b所示。整个研究区域被6条断层构建的断层网络划分成7个子区域。遍历断层二叉树,依次构建每一个断层节点对应的断层面模型并将其在三维空间中显示,最终得到研究区内三维断层网络模型。Analyze the spatial distribution of the fault structure in the planar geological map and the position of each fault line in the cross-sectional view, as shown in the left panel a in Figure 5, and construct the fault binary tree structure in the study area as shown on the right in Figure 5 shown in Figure b. The entire study area is divided into 7 sub-areas by a fault network constructed by 6 faults. Traverse the fault binary tree, construct the fault plane model corresponding to each fault node in turn, and display it in three-dimensional space, and finally obtain the three-dimensional fault network model in the study area.
(4)实例断层网络模型不确定分析与定量评价(4) Uncertainty Analysis and Quantitative Evaluation of Example Fault Network Model
实现设置变化扰动参数:Implement setting change perturbation parameters:
依据约束点个数以及与断层距离分组设置扰动参数,按等间距法将整个距离区间范围分为5组,根据每组区间的距离大小以及包含的约束点数量设置扰动参数,如表1所示。其中,第1组和第2组距离较小且包含约束点数量较多,设置两组的紧密系数κ=100,该参数表示在95%的置信区间下围绕该点原始法向量方向的11°扰动范围以内进行模拟采样。从第3组开始,各组包含的约束点数量较前两组明显较少且依次递减,因此设置其紧密系数分别为κ=80,κ=70与κ=60。The disturbance parameters are grouped according to the number of constraint points and the distance from the fault. The entire distance range is divided into 5 groups according to the equal spacing method. The disturbance parameters are set according to the distance of each group and the number of constraint points included, as shown in Table 1. . Among them, the distance between the first group and the second group is small and contains a large number of constraint points, and the tightness coefficient of the two groups is set to κ=100, which represents 11° around the original normal vector direction of the point under the 95% confidence interval Analog sampling is performed within the disturbance range. Starting from the third group, the number of constraint points contained in each group is significantly smaller than that of the first two groups and decreases sequentially, so the tightness coefficients are set as κ=80, κ=70 and κ=60 respectively.
表1依据约束点与断层距离的紧密系数设置Table 1 Setting of the tightness coefficient according to the distance between the constraint point and the fault
然后根据上述参数设置方案对应每一个约束点位置计算的断层距离分别进行模拟采样,获得的断层网络模型的信息熵可视化结果。Then, according to the above parameter setting scheme, corresponding to the fault distance calculated by each constraint point position, simulation sampling is performed respectively, and the information entropy visualization result of the fault network model is obtained.
根据结果可知断层网络模型信息熵较大值均分布在断层面附近,并沿断层面向两侧逐渐递减,这一结果表达了断层网络模型不确定性受建模约束点到断层距离影响。According to the results, the larger information entropy values of the fault network model are distributed near the fault plane, and gradually decrease along the fault plane to both sides. This result shows that the uncertainty of the fault network model is affected by the distance from the modeling constraint point to the fault.
表2研究区各子区域网格单元信息熵统计指标(变化扰动参数)Table 2 Statistical indicators of grid cell information entropy in each sub-region of the study area (variation disturbance parameters)
表2为实例区7个子区域(B1~B7)内网格单元信息熵的统计指标(最大值、最小值及平均值等)的计算结果。由结果可以看出,B1、B2、B3、B4、B5、B6子区域由于有值的信息熵网格单元均分布在断层面附近,距离断层面较远区域信息熵为0;而B7子区域由于该区域内的约束点位于整体建模区域的边界位置,根据断层距离计算结果被分组为紧密系数最小的一组,表现为具有较高的不确定性。而代表熵值较大的偏红色区域大致分布在F201断层、F203断层分别与F105断层错切的位置,说明此处建模结果存在较大的不确定性,通过与区域地质图分析进行对比,证实了构建的模型具有合理性。Table 2 shows the calculation results of statistical indicators (maximum value, minimum value, average value, etc.) of the information entropy of grid cells in the seven sub-regions (B1-B7) of the example region. It can be seen from the results that the B1, B2, B3, B4, B5, and B6 sub-regions are distributed near the fault plane due to the valuable information entropy grid cells, and the information entropy of the region farther from the fault plane is 0; while the B7 sub-region Since the constraint points in this area are located at the boundary of the overall modeling area, the calculation results of fault distances are grouped into a group with the smallest tightness coefficient, which shows high uncertainty. The reddish areas representing larger entropy values are roughly distributed at the positions where the F201 fault, the F203 fault and the F105 fault are respectively staggered, indicating that there is a large uncertainty in the modeling results here. The constructed model is confirmed to be reasonable.
本发明实施例还提供了一种三维地质断层网络不确定性分析系统,上述系统包括计算机,上述计算机包括:The embodiment of the present invention also provides a three-dimensional geological fault network uncertainty analysis system, the system includes a computer, and the computer includes:
至少一个存储单元;at least one storage unit;
至少一个处理单元;at least one processing unit;
其中,上述至少一个存储单元中存储有至少一条指令,上述至少一条指令由上述至少一个处理单元加载并执行以实现以下步骤:Wherein, at least one instruction is stored in the above-mentioned at least one storage unit, and the above-mentioned at least one instruction is loaded and executed by the above-mentioned at least one processing unit to realize the following steps:
S1、获取地质断层轮廓线数据和地质断层产状信息,形成历史数据;S1. Obtain geological fault outline data and geological fault occurrence information to form historical data;
S2、基于上述历史数据获取三维地质断层隐式曲面;S2. Obtain a three-dimensional geological fault implicit surface based on the above historical data;
S3、分析上述三维地质断层隐式曲面的空间拓扑关系,并转化为二叉树结构,得到三维地质断层二叉树;S3, analyze the spatial topological relationship of the implicit surface of the three-dimensional geological fault, and convert it into a binary tree structure to obtain a three-dimensional geological fault binary tree;
S4、遍历上述三维地质断层二叉树,得到三维地质断层网络模型;S4, traverse the above-mentioned three-dimensional geological fault binary tree to obtain a three-dimensional geological fault network model;
S5、基于上述三维地质断层网络模型获取信息熵指标,上述信息熵指标用于评价上述三维地质断层网络模型的不确定性。S5. Obtain an information entropy index based on the above-mentioned three-dimensional geological fault network model, and the above-mentioned information entropy index is used to evaluate the uncertainty of the above-mentioned three-dimensional geological fault network model.
可理解的是,本发明实施例提供的上述分析系统与上述分析方法相对应,其有关内容的解释、举例、有益效果等部分可以参考三维地质断层网络不确定性分析方法中的相应内容,此处不再赘述。It is understandable that the above-mentioned analysis system provided by the embodiment of the present invention corresponds to the above-mentioned analysis method, and the explanation, examples, beneficial effects and other parts of the relevant content can refer to the corresponding content in the uncertainty analysis method of three-dimensional geological fault network, this It is not repeated here.
本发明实施例还提供了一种非暂态计算机可读存储介质,上述非暂态计算机可读存储介质存储计算机指令,上述计算机指令使上述计算机执行如上述的三维地质断层网络不确定性分析方法。Embodiments of the present invention further provide a non-transitory computer-readable storage medium, where the non-transitory computer-readable storage medium stores computer instructions, and the computer instructions cause the computer to execute the above-mentioned method for analyzing the uncertainty of a three-dimensional geological fault network .
具体的,上述以软件功能单元的形式实现的集成的单元,可以存储在一个计算机可读取存储介质中。上述软件功能单元存储在一个存储介质中,包括若干指令用以使得一台计算机设备(可以是个人计算机,服务器,或者网络设备等)或处理器(processor)执行本发明各个实施例所述方法的部分步骤。而前述的存储介质包括:U盘、移动硬盘、只读存储器(Read-Only Memory,ROM)、随机存取存储器(Random Access Memory,RAM)、磁碟或者光盘等各种可以存储程序代码的介质。Specifically, the above-mentioned integrated units implemented in the form of software functional units may be stored in a computer-readable storage medium. The above-mentioned software functional unit is stored in a storage medium, and includes several instructions to cause a computer device (which may be a personal computer, a server, or a network device, etc.) or a processor (processor) to execute the methods described in the various embodiments of the present invention. some steps. The aforementioned storage medium includes: U disk, mobile hard disk, read-only memory (Read-Only Memory, ROM), random access memory (Random Access Memory, RAM), magnetic disk or optical disk and other media that can store program codes .
综上所述,与现有技术相比,具备以下有益效果:To sum up, compared with the prior art, it has the following beneficial effects:
本发明实施例通过获取地质断层轮廓线数据和地质断层产状信息,形成历史数据;基于历史数据获取三维地质断层隐式曲面;分析三维地质断层隐式曲面的空间拓扑关系,并转化为二叉树结构,得到三维地质断层二叉树;遍历三维地质断层二叉树,得到三维地质断层网络模型;基于三维地质断层网络模型获取信息熵指标,信息熵指标用于评价三维地质断层网络模型的不确定性。本发明实施例结合隐函数曲面对地质断层进行模拟分析,并转化为二叉树,通过二叉树进行三维建模,在建模时的自动化程度高,缩短了建模时间,尤其是针对多条断层出现交叉、削截等情形的复杂断层,提高了三维建模的效率。本发明实施例可以广泛应用于地质勘探等领域。The embodiment of the present invention forms historical data by acquiring geological fault contour line data and geological fault occurrence information; acquires a three-dimensional geological fault implicit surface based on the historical data; analyzes the spatial topological relationship of the three-dimensional geological fault implicit surface, and converts it into a binary tree structure , obtain the 3D geological fault binary tree; traverse the 3D geological fault binary tree to obtain the 3D geological fault network model; obtain the information entropy index based on the 3D geological fault network model, and the information entropy index is used to evaluate the uncertainty of the 3D geological fault network model. In the embodiment of the present invention, geological faults are simulated and analyzed in combination with the implicit function surface, and converted into a binary tree, and three-dimensional modeling is performed through the binary tree. The degree of automation in modeling is high, and the modeling time is shortened, especially for the occurrence of multiple faults. Complex faults such as intersections and truncations improve the efficiency of 3D modeling. The embodiments of the present invention can be widely used in the fields of geological exploration and the like.
需要说明的是,在本文中,诸如第一和第二等之类的关系术语仅仅用来将一个实体或者操作与另一个实体或操作区分开来,而不一定要求或者暗示这些实体或操作之间存在任何这种实际的关系或者顺序。而且,术语“包括”、“包含”或者其任何其他变体意在涵盖非排他性的包含,从而使得包括一系列要素的过程、方法、物品或者设备不仅包括那些要素,而且还包括没有明确列出的其他要素,或者是还包括为这种过程、方法、物品或者设备所固有的要素。在没有更多限制的情况下,由语句“包括一个……”限定的要素,并不排除在包括所述要素的过程、方法、物品或者设备中还存在另外的相同要素。It should be noted that, in this document, relational terms such as first and second are only used to distinguish one entity or operation from another entity or operation, and do not necessarily require or imply any relationship between these entities or operations. any such actual relationship or sequence exists. Moreover, the terms "comprising", "comprising" or any other variation thereof are intended to encompass a non-exclusive inclusion such that a process, method, article or device that includes a list of elements includes not only those elements, but also includes not explicitly listed or other elements inherent to such a process, method, article or apparatus. Without further limitation, an element qualified by the phrase "comprising a..." does not preclude the presence of additional identical elements in a process, method, article or apparatus that includes the element.
以上实施例仅用以说明本发明的技术方案,而非对其限制;尽管参照前述实施例对本发明进行了详细的说明,本领域的普通技术人员应当理解:其依然可以对前述各实施例所记载的技术方案进行修改,或者对其中部分技术特征进行等同替换;而这些修改或者替换,并不使相应技术方案的本质脱离本发明各实施例技术方案的精神和范围。The above embodiments are only used to illustrate the technical solutions of the present invention, but not to limit them; although the present invention has been described in detail with reference to the foregoing embodiments, those of ordinary skill in the art should understand that: The recorded technical solutions are modified, or some technical features thereof are equivalently replaced; and these modifications or replacements do not make the essence of the corresponding technical solutions deviate from the spirit and scope of the technical solutions of the embodiments of the present invention.
| Application Number | Priority Date | Filing Date | Title |
|---|---|---|---|
| CN202010489659.3ACN111968227B (en) | 2020-06-02 | 2020-06-02 | Three-dimensional geological fault network uncertainty analysis method, system and storage medium |
| Application Number | Priority Date | Filing Date | Title |
|---|---|---|---|
| CN202010489659.3ACN111968227B (en) | 2020-06-02 | 2020-06-02 | Three-dimensional geological fault network uncertainty analysis method, system and storage medium |
| Publication Number | Publication Date |
|---|---|
| CN111968227A CN111968227A (en) | 2020-11-20 |
| CN111968227Btrue CN111968227B (en) | 2022-09-16 |
| Application Number | Title | Priority Date | Filing Date |
|---|---|---|---|
| CN202010489659.3AActiveCN111968227B (en) | 2020-06-02 | 2020-06-02 | Three-dimensional geological fault network uncertainty analysis method, system and storage medium |
| Country | Link |
|---|---|
| CN (1) | CN111968227B (en) |
| Publication number | Priority date | Publication date | Assignee | Title |
|---|---|---|---|---|
| CN115687800A (en)* | 2021-07-30 | 2023-02-03 | 中国移动通信集团有限公司 | Method and device for determining survey plan |
| CN114882185B (en)* | 2022-05-06 | 2024-05-31 | 天津大学 | Fault uncertainty morphology modeling method based on mixed density neural network |
| CN116645484B (en)* | 2023-07-26 | 2023-10-03 | 航天宏图信息技术股份有限公司 | Geological curved surface model construction method and device, electronic equipment and storage medium |
| CN117115378B (en)* | 2023-10-20 | 2024-02-06 | 中南大学 | A method for reconstructing the maximum information entropy surface in the fracture surface |
| CN118673803B (en)* | 2024-06-18 | 2025-03-07 | 兰州交通大学 | Automatic cutting method and system of abnormal cross-section of regional fracture three-dimensional model based on knowledge graph |
| Publication number | Priority date | Publication date | Assignee | Title |
|---|---|---|---|---|
| CN102495427A (en)* | 2011-12-10 | 2012-06-13 | 北京航空航天大学 | Interface perception ray tracing method based on implicit model expression |
| US8600708B1 (en)* | 2009-06-01 | 2013-12-03 | Paradigm Sciences Ltd. | Systems and processes for building multiple equiprobable coherent geometrical models of the subsurface |
| CN103514630A (en)* | 2013-10-16 | 2014-01-15 | 北京石油化工学院 | Fault structure three-dimensional modeling method |
| Publication number | Priority date | Publication date | Assignee | Title |
|---|---|---|---|---|
| CN101303414B (en)* | 2008-05-22 | 2011-03-30 | 北京航空航天大学 | A Level Set-Based Method for Generating Strata and Geological Bodies |
| Publication number | Priority date | Publication date | Assignee | Title |
|---|---|---|---|---|
| US8600708B1 (en)* | 2009-06-01 | 2013-12-03 | Paradigm Sciences Ltd. | Systems and processes for building multiple equiprobable coherent geometrical models of the subsurface |
| CN102495427A (en)* | 2011-12-10 | 2012-06-13 | 北京航空航天大学 | Interface perception ray tracing method based on implicit model expression |
| CN103514630A (en)* | 2013-10-16 | 2014-01-15 | 北京石油化工学院 | Fault structure three-dimensional modeling method |
| Title |
|---|
| 三维点云处理及隐式曲面三维重构技术的研究与实现;武敬民;《中国优秀博硕士学位论文全文数据库(硕士)信息科技辑》;20140815;第10-15页* |
| 基于径向基函数曲面的矿体隐式自动三维建模方法;郭甲腾等;《煤炭学报》;20160831;第41卷(第8期);第2130-2135页* |
| 基于杨赤中推估法空间插值的三维地质隐式建模;邹艳红等;《地质学刊》;20170928(第03期);全文* |
| 最大熵在岩体结构面间距分布估计中的应用研究;左育龙等;《岩石力学与工程学报》;20170415;全文* |
| Publication number | Publication date |
|---|---|
| CN111968227A (en) | 2020-11-20 |
| Publication | Publication Date | Title |
|---|---|---|
| CN111968227B (en) | Three-dimensional geological fault network uncertainty analysis method, system and storage medium | |
| CN102867330B (en) | Spatial Complex Horizontal Reconstruction Method Based on Region Division | |
| CN101303414A (en) | A Level Set-Based Method for Generating Strata and Geological Bodies | |
| CN102867332B (en) | Based on the multistage subdivided meshes curved surface fitting method of complex boundary constraint | |
| CN115469361B (en) | Clastic rock stratum three-dimensional geological modeling method | |
| CN118015219B (en) | Method, device and equipment for generating geological model based on qualitative Kriging interpolation | |
| CN107221028A (en) | A kind of geologic body closed surface three-dimensional rebuilding method based on seismic interpretation data | |
| CN107481320A (en) | A kind of gridless routing of three-dimensional geological modeling | |
| CN116630568B (en) | Geological three-dimensional model generation method and device based on point, line and surface structures | |
| Xu et al. | Developing an extended IFC data schema and mesh generation framework for finite element modeling | |
| CN106226817B (en) | More attribute earthquake data visualization methods based on continuous parallel coordinates | |
| CN116342798A (en) | Tunnel bad geological body three-dimensional modeling method based on advanced forecast data | |
| CN105302951A (en) | A Finite Element Mesh Surface Subdivision Method | |
| CN102609614B (en) | Excavation analysis method aiming at complex ore body | |
| Yang et al. | A hybrid spatial index for massive point cloud data management and visualization | |
| Taranchuk | The integrated computer complex of an estimation and adapting of digital geological models | |
| CN112053438B (en) | Ore formation deep inference modeling method based on level set | |
| Yuan et al. | 3D geological fine modeling and dynamic updating method of fault slope in open-pit coal mine | |
| CN115758792A (en) | Geological disaster assessment method and device based on digital numerical integration | |
| Chen et al. | Simulating excavation processes for large-scale underground geological models using dynamic Boolean operations with spatial hash indexing and multiscale point clouds | |
| Cheng et al. | A virtual globe-based three-dimensional dynamic visualization method for gas diffusion | |
| Zhang et al. | An automatic unified modeling method of geological object and engineering object based on tri-prism (TP) | |
| CN106846481A (en) | Geological profile generation method | |
| Neuhauser et al. | Adaptive sampling of 3d spatial correlations for focus+ context visualization | |
| Amiraghdam et al. | LOOPS: LOcally Optimized Polygon Simplification |
| Date | Code | Title | Description |
|---|---|---|---|
| PB01 | Publication | ||
| PB01 | Publication | ||
| SE01 | Entry into force of request for substantive examination | ||
| SE01 | Entry into force of request for substantive examination | ||
| GR01 | Patent grant | ||
| GR01 | Patent grant |