Movatterモバイル変換


[0]ホーム

URL:


CN111946321B - Proppant parameter design method for sand-filling temporary plugging fracturing - Google Patents

Proppant parameter design method for sand-filling temporary plugging fracturing
Download PDF

Info

Publication number
CN111946321B
CN111946321BCN202010978585.XACN202010978585ACN111946321BCN 111946321 BCN111946321 BCN 111946321BCN 202010978585 ACN202010978585 ACN 202010978585ACN 111946321 BCN111946321 BCN 111946321B
Authority
CN
China
Prior art keywords
group
proppant
particle size
volume fraction
temporary plugging
Prior art date
Legal status (The legal status is an assumption and is not a legal conclusion. Google has not performed a legal analysis and makes no representation as to the accuracy of the status listed.)
Active
Application number
CN202010978585.XA
Other languages
Chinese (zh)
Other versions
CN111946321A (en
Inventor
张俊成
朱炬辉
李德旗
邹龙庆
刘臣
李军龙
齐天俊
杨海
Current Assignee (The listed assignees may be inaccurate. Google has not performed a legal analysis and makes no representation or warranty as to the accuracy of the list.)
China National Petroleum Corp
CNPC Chuanqing Drilling Engineering Co Ltd
Original Assignee
China National Petroleum Corp
CNPC Chuanqing Drilling Engineering Co Ltd
Priority date (The priority date is an assumption and is not a legal conclusion. Google has not performed a legal analysis and makes no representation as to the accuracy of the date listed.)
Filing date
Publication date
Application filed by China National Petroleum Corp, CNPC Chuanqing Drilling Engineering Co LtdfiledCriticalChina National Petroleum Corp
Priority to CN202010978585.XApriorityCriticalpatent/CN111946321B/en
Publication of CN111946321ApublicationCriticalpatent/CN111946321A/en
Application grantedgrantedCritical
Publication of CN111946321BpublicationCriticalpatent/CN111946321B/en
Activelegal-statusCriticalCurrent
Anticipated expirationlegal-statusCritical

Links

Images

Classifications

Landscapes

Abstract

The invention provides a proppant parameter design method for sand-packed temporary plugging fracturing. The proppant parameter design method may include the steps of: determining the inlet width of a crack in a fracturing section of the horizontal well; obtaining the average particle size of the proppant particles according to the inlet width; and obtaining the non-dimensional temporary plugging volume fraction of the proppant particles required by sand-packed temporary plugging according to the average particle size and the inlet width. The proppant parameter design method takes the correlation between the particle concentration and the temporary plugging performance into consideration, and overcomes the defect that the existing design method only optimizes the one-sidedness of the particle size distribution.

Description

Proppant parameter design method for sand-filling temporary plugging fracturing
Technical Field
The invention relates to the technical field of oil and gas field development, in particular to a proppant parameter design method for sand-packed temporary plugging fracturing.
Background
In recent years, shale gas resources have become hot spots for unconventional oil and gas exploration and development in China. At present, more than 50 shale gas mine property rights are formed in China, 17 ten thousand square kilometers are involved in the country, and most of the shale gas mine property rights are concentrated in the ancient marine border area of the Sichuan basin. Among them, the shale gas fields of Changning, weiyuan and Zhaotong in the south of Sichuan have been successfully built into the national grade shale gas demonstration area, and the total productivity is expected to reach 150 billion cubic meters in 2020.
With the continuous progress of the shale gas development technology in China, the shale gas exploitation cost is gradually reduced, and the development process is continuously promoted. At present, dense distribution cluster perforation is generally adopted to be matched with a composite fracturing process such as subsection temporary plugging and steering to implement reconstruction and induce a fracture network at home, a certain effect is successfully achieved, and a plurality of challenges are met. When the fracturing construction operation is implemented, the sleeve of the shaft of a part of horizontal well is distorted and deformed, and the drift diameter of the well bore is sharply reduced. The casing pipe warp and the necking down leads to the below position of accident section can't use downhole tool to seal and separate the segmentation and turn to for effective transformation can't be implemented to partial well section, directly influences whole effect and the later stage productivity construction of full well section fracturing. Due to the difficulty in performing staged fracturing successfully, the test yield of individual casing deformation wells is even one third of that of adjacent normal wells. Besides the challenge to the implementation of fracturing production increasing operation, the deformation of the casing pipe leads the integrity of the shaft to be incapable of being guaranteed, engineering risks are brought to subsequent gas production operation, the life cycle of the gas well is indirectly shortened, and the economic benefit of the development of the whole shale gas area is influenced.
Well site tests and construction show that the sand-filling temporary plugging process can effectively solve the problem that mechanical packing segmentation cannot be adopted in the fracturing process due to casing change. At present, the research on the intra-seam proppant mainly focuses on the intra-seam migration and laying process, and the research on the blocking mechanical behavior of the sand is still insufficient.
Disclosure of Invention
In view of the deficiencies in the prior art, it is an object of the present invention to address one or more of the problems in the prior art as set forth above. For example, one of the objectives of the present invention is to provide a proppant parameter design method for sand-packed temporary plugging fracturing, so as to overcome the one-sidedness of the existing parameter design that only optimizes the particle size distribution and does not optimize the mass concentration.
In order to achieve the purpose, the invention provides a proppant parameter design method for sand-packed temporary plugging fracturing. The proppant parameter design method may include the steps of: determining the inlet width of a crack in a fracturing section of the horizontal well; obtaining the average particle size of the proppant particles according to the inlet width; and obtaining the non-dimensional temporary plugging volume fraction of the proppant particles required by sand-packed temporary plugging according to the average particle size and the inlet width.
In an exemplary embodiment of the present invention, obtaining the average particle diameter of the proppant particles according to the inlet width may include: the average particle size of the proppant is obtained by formula 2,
the formula 2 is:
4A>wi
wherein A is the average particle size of the proppant particles, wi The width of a crack inlet in a horizontal well fracturing section to be designed.
In an exemplary embodiment of the present invention, obtaining a dimensionless number of volume of proppant particles needed to achieve sand pack plugging based on the average particle size and the inlet width may comprise: the dimensionless temporary plugging volume fraction of the proppant particles is obtained by formula 3,
formula 3 is:
Figure BDA0002686729240000021
wherein B is the dimensionless temporary plugging volume fraction of the proppant particles, A is the average particle size of the proppant particles, wi E is a natural constant, and k is 0.5-0.9, which is the width of a crack inlet in a fracturing section of the horizontal well to be designed.
In an exemplary embodiment of the present invention, the proppant parameter design method may further include the steps of:
selecting two groups of proppant particles with different particle sizes, recording the proppant particles as a group 1 and a group 2, judging whether the particle size of the group 1 is smaller than that of the group 2 after the group 1 and the group 2 are mixed to meet the average particle size, and acquiring the densities of the mixed group 1 and the mixed group 2 under the condition of meeting the average particle size;
and obtaining the mass concentration of the propping agent according to the density and the dimensionless temporary plugging volume fraction.
In one exemplary embodiment of the present invention, in the case where the average particle diameter is not satisfied after the group 1 and the group 2 are mixed, the particle diameter of a group of proppant particles having a smaller particle diameter may be increased.
In an exemplary embodiment of the present invention, the average particle diameter of the mixture of the group 1 and the group 2 may be obtained by formula 4, where formula 4 is:
Figure BDA0002686729240000031
wherein A is the average particle diameter of the mixture of group 1 and group 2, ax Is the particle size of the x-th particle in group 1, vax Is the volume fraction of the x-th particle in group 1, by Is the particle size of the y-th particle in the particles of group 2, vby The volume fraction of the y-th particle in the group 2, and the value of V is 0.6-0.8.
In an exemplary embodiment of the present invention, the group 1 and the group 2 may further satisfy formula 5, where formula 5 is:
Figure BDA0002686729240000032
wherein, by Is the particle size of the y-th particle in group 2, vby Is the volume fraction of the y-th particle in subgroup 2, ax Is the particle size of the x-th particle in group 1, vax Is the volume fraction of the X-th particle in subgroup 1, Y is the total number of particle species in subgroup 2, and X is the total number of particle species in subgroup 1.
In one exemplary embodiment of the present invention, in the case where group 1 and group 2 do not satisfy formula 5, the particle size of a group of proppant particles having a smaller particle size may be increased.
In an exemplary embodiment of the invention, deriving a proppant mass concentration from the density and the dimensionless plugging volume fraction may comprise: the proppant mass concentration was obtained byequation 6,
formula 6 is:
C=0.64ρB,
wherein C is the mass concentration of the proppant required by temporary plugging, B is the dimensionless temporary plugging volume fraction of the proppant particles, and rho is the density of the mixture of the group 1 and the group 2.
Compared with the prior art, the beneficial effects of the invention can include: the design method considers the correlation between the particle concentration and the temporary plugging performance, overcomes the defect that the existing optimization design method only optimizes the particle size distribution and does not optimize the one-sidedness of mass concentration, and can meet the actual construction design requirement.
Drawings
The above and other objects and features of the present invention will become more apparent from the following description taken in conjunction with the accompanying drawings, in which:
FIG. 1 is a schematic flow diagram of a proppant parameter design method for sand pack frac in an example of the invention;
FIG. 2 illustrates a fracture job construction graph in one example of the invention.
Detailed Description
Hereinafter, the proppant parameter design method for sand pack temporary plugging fracturing of the present invention will be described in detail with reference to the accompanying drawings and exemplary embodiments.
The invention provides a proppant parameter design method for sand-packed temporary plugging fracturing.
In one exemplary embodiment of the present invention, the proppant parameter design method may include the steps of:
s1: and determining the inlet width of the fracture in the fracturing section of the horizontal well.
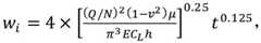
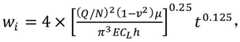
Specifically, the inlet width may be obtained by collecting geological and engineering parameters of the target block, and by any fracturing model or professional fracturing software. For example, the calculation can be performed using a PKN (i.e., perkins-Kern-Nordgren fracturing model), and specifically, the calculation can be performed using a PKN model according to formula 1, where formula 1 can be:
Figure BDA0002686729240000041
in formula 1, wi The method comprises the steps of (1) setting the width m (unit) of a crack inlet in a fracturing section of a horizontal well to be designed; q is the discharge capacity of the fracturing fluid, m3 (ii) s (units); n is the number of perforating clusters of the fracturing section and has no dimension (unit); v is the rock poisson's ratio, dimensionless (in units); mu is the viscosity of the fracturing fluid, MPa.s (unit); pi is the circumference ratio; e is the Young's modulus of the reservoir rock, MPa (units); cL Is the fluid loss coefficient, m/s-0.5 (unit); h is the fracture height (or zone thickness), m (units); t is the fracturing time, s (units).
S2: and obtaining the average particle size of the proppant particles according to the inlet width.
Specifically, S2 may include: the average particle size of the proppant particles is obtained by formula 2, which formula 2 may be:
4A>wi
in formula 2, a is the average particle diameter of the proppant particles, m (units); w is ai The width m (units) of the fracture entrance in the fractured section of the horizontal well to be designed.
In this embodiment, the selection of proppant particles may include the steps of:
s201: selecting two groups of proppant particles with different particle sizes, recording the proppant particles as a group 1 and a group 2, judging whether the particle size of the group 1 is smaller than that of the group 2 after the group 1 and the group 2 are mixed to meet the average particle size, and acquiring the density of the mixed group 1 and the mixed group 2 under the condition of meeting the average particle size.
In this embodiment, the average particle diameter of the mixture of the group 1 and the group 2 can be obtained by formula 4, where formula 4 is:
Figure BDA0002686729240000051
in formula 4, a is the average particle diameter of the proppant particles, m (units); a isx Is the particle size, m (units), of the x-th particle in group 1; v. ofax Dimensionless (unit) as the volume fraction of the xth particle in subgroup 1; by Particle size, m (units), of the y-th particle in the particles of group 2; v. ofby Is the volume fraction of the y-th particle in subgroup 2, dimensionless (unit); v takes a value of 0.6 to 0.8.
In the present example, in the case where the average particle diameter is not satisfied after the group 1 and the group 2 are mixed, the particle diameter of one group (group 1) of proppant particles having a smaller particle diameter is increased.
S202: and obtaining the mass concentration of the propping agent according to the density and the dimensionless temporary plugging volume fraction.
In addition, in the case where the average particle diameters of two groups of proppants having different particle diameters are selected to satisfy formula 2, the group 1 and the group 2 may also satisfy formula 5, where formula 5 is:
Figure BDA0002686729240000052
in formula 5, by Is the particle size, m (units), of the y-th particle in grouping 2; v. ofby Is the volume fraction of the y-th particle in subgroup 2, dimensionless (unit); a isx Is the particle size, m (units), of the xth particle in grouping 1; v. ofax Is the volume fraction of the x-th particle in subgroup 1, dimensionless (unit); y is the total number of particle species in group 2; x is the total number of particle species in group 1.
In the case where group 1 and group 2 do not satisfy formula 5, satisfying formula 5 can be achieved by increasing the particle size of a group (group 1) of proppant particles having a smaller particle size.
S3: and obtaining the non-dimensional temporary plugging volume fraction of the proppant particles required by sand-packed temporary plugging according to the average particle size and the inlet width.
In this embodiment, S3 may specifically include: the dimensionless temporary plugging volume fraction of proppant particles is obtained by formula 3, which formula 3 can be:
Figure BDA0002686729240000061
in formula 3, B is the dimensionless temporary plugging volume fraction, dimensionless (unit) of the proppant particle; a is the average particle size of the proppant particle, m (units); w is ai Is the crack entrance width, m (units); e is a natural constant; k is 0.5-0.9.
In this embodiment, when the value is less than 0.5, the proppant will not block the fracture seam at all; when the value of k is more than 0.9, the proppant can block the crack opening, and the use amount of the proppant is increased, so that the proppant is wasted, and even the condition of burying a shaft can occur. Further, k may be 0.6 or k may be 0.7.
In this embodiment, the proppant parameter design method may further include S4, where S4 may be:
obtaining a proppant mass concentration from the density and the dimensionless temporary plugging volume fraction comprises: the proppant mass concentration is obtained byequation 6,
formula 6 is:
C=0.64ρB,
3. and if possible, please give the adverse effect of exceeding the upper and lower limits of the range at the same time.
Informula 6, C is the proppant mass concentration required for temporary plugging, kg/m3 (unit); b is the dimensionless temporary plugging volume fraction of the proppant particles, and the dimensionless (unit); ρ is the density of the mixed group 1 and group 2 in kg/m3 (unit).
In another exemplary embodiment of the present invention, the proppant parameter design method may include the steps of:
s1: and (4) collecting geological and engineering parameters of the target block, and predicting the inlet width of the crack in the fracturing section of the horizontal well.
In S1, the entry width of the fracture in the horizontal well fracture section can be predicted by equation 1, where equation 1 may be the same as equation 1 described in the previous exemplary embodiment.
S2: determining an average particle size of the proppant particles based on the predicted inlet width.
In S2, the step of determining the average particle size of the proppant particles comprises:
selecting a first group of proppant particles and a second group of proppant particles, wherein the particle size of the first group of proppant particles is larger than that of the second group of proppant particles, and the ratio of the total volume of the first group of proppant particles to the total volume of the second group of proppant particles can be 6-8: 2 to 4, for example, may be 6: or may be 7: or may be 8:2;
calculating the average particle size of the first and second sets of proppant particles;
whether a first criterion (which may be equation 2 described in the previous exemplary embodiment) and a second criterion (which may be equation 5 described in the previous exemplary embodiment) are met is judged, and if the first criterion and the second criterion are met simultaneously, S3 is performed, where the first criterion is: the average particle size of the first and second sets of proppant particles reaches 1/4 or more of the predicted inlet width, the second criterion being: the average particle size of the second group of proppant particles is greater than or equal to 1/5 of the average particle size of the first group of proppant particles.
S3: the dimensionless temporary plugging volume fraction of the proppant particles is calculated from the average particle size of the proppant particles.
In S3, the dimensionless temporary plugging volume fraction of the proppant particle can be calculated by equation 3, which equation 3 may be the same as equation 3 described in the previous exemplary embodiment.
S4: and calculating the mass concentration of the proppant according to the density of the two groups of proppant particles after mixing and the dimensionless temporary plugging volume fraction.
In S4, the proppant mass concentration may be calculated byequation 6, whichequation 6 may be the same asequation 6 in the previous exemplary embodiment.
In still another exemplary embodiment of the present invention, the proppant parameter design method may include the steps of:
s1: and collecting geological and engineering parameters of the target block, and predicting the inlet width of the hydraulic fracture in the horizontal fracturing section by adopting any reasonable hydraulic fracturing model or professional fracturing software (such as a PKN model, namely a Perkins-Kern-Nordgren fracturing model, a KGD model, a planar three-dimensional model, fracPT fracturing software and Meyer fracturing software). For example, using the following PKN model calculation:
Figure BDA0002686729240000081
in the formula, wi The method comprises the steps of (1) setting the width m (unit) of a crack inlet in a fracturing section of a horizontal well to be designed; q is the displacement of the fracturing fluid, m3 (ii) s (units); n is the number of perforating clusters of the fracturing section and has no dimension (unit); v is the rock poisson's ratio, dimensionless (in units); mu is the viscosity of the fracturing fluid, MPa.s (unit); pi is the circumference ratio; e is the Young's modulus of the reservoir rock, MPa (unit); cL Is the fluid loss coefficient, m/s-0.5 (unit); h is the fracture height (or zone thickness), m (units); t is the fracturing time, s (units).
S2: two groups of proppant particles (usually 20/40 mesh and 40/70 mesh) with different sizes are selected and defined as group 1 (large particle size group) and group 2 (small particle size group), respectively. Taking two groups of proppant samples, further carrying out fine screening to obtain respective particle size composition, and calculating the average particle size of two groups of particles after being completely mixed according to the following formula:
Figure BDA0002686729240000082
wherein A is the average particle size of the proppant particles, m (units); a isx Is the particle size, m (units), of the x-th particle in group 1; v. ofax Is the volume fraction of the x-th particle in subgroup 1, dimensionless (unit); by Particle size, m (units), of the y-th particle in the particles of group 2; v. ofby Is the volume of the y-th particle in group 2Fractional, dimensionless (units); v takes a value of 0.6 to 0.8.
The particle size corresponding to the mesh number during screening can be obtained by inquiring the following table:
Figure BDA0002686729240000083
Figure BDA0002686729240000091
s3: determining whether the average particle size of the proppant particles is greater than 1/4 of the predicted fracture seam width:
4A>wi
wherein A is the average particle size of the proppant particles, m (units); w is ai The width m (units) of the fracture entrance in the fractured section of the horizontal well to be designed.
If the 4A calculation result is less than wi And selecting the proppant particles with the particle size of one level larger than that of the original component 1 (one level with smaller mesh number) as the particles selected by the component 1 according to the particle size lookup table corresponding to the mesh number in the screening process in the step S2, and calculating the value A again according to the step S2 until the step S3 is met.
S4: calculating to determine whether the average particle diameter of the particles of the group 2 is greater than or equal to 1/5 of the average particle diameter of the particles of the group 1:
Figure BDA0002686729240000092
wherein, by Is the particle size, m (units), of the y-th particle in grouping 2; v. ofby Is the volume fraction of the y-th particle in subgroup 2, dimensionless (unit); a is ax Is the particle size, m (units), of the x-th particle in group 1; v. ofax Is the volume fraction of the x-th particle in subgroup 1, dimensionless (unit); y is the total number of particle species in group 2; x is the total number of particle species in group 1.
If the average particle size of the particles of the group 2 is smaller than 1/5 of the average particle size of the particles of the group 1, selecting the proppant particles with one level larger than the particle size of the original group 2 (one level smaller than the mesh size) as the selected particles of the group 2 according to the particle size lookup table corresponding to the mesh size during screening in S2 until S4 is satisfied. And after S4 is met, the particle size distribution of the proppant consisting of the group 1 and the group 2 is the particle size of the optimized sand-filled temporary plugging fracturing proppant.
S5: after the particle size and distribution are preferably selected based on the steps S3 and S4, the average particle size A of the particles is recalculated according to the formula for calculating the average particle size in S2. And then calculating the volume fraction of the dimensionless proppant needing to be pumped for realizing sand filling temporary plugging as follows:
Figure BDA0002686729240000093
in the formula, B is dimensionless temporary plugging volume fraction and dimensionless (unit) of proppant particles; a is the average particle size of the proppant particle, m (units); w is ai Is the crack entrance width, m (units); e is a natural constant, and k is 0.5-0.9.
Converting the dimensionless volume fraction B into the mass concentration of the proppant as follows:
C=0.64ρB,
wherein C is the mass concentration of the propping agent required by temporary plugging in kg/m3 (unit); b is the dimensionless temporary plugging volume fraction of the proppant particles and the dimensionless (unit); rho is the density of proppant particles selected for temporary plugging, kg/m3 (unit).
In order that the above-described exemplary embodiments of the invention may be better understood, further description thereof with reference to specific examples is provided below.
Example 1
Take the 5 th section of shale gas well a in a certain block as an example. The well is characterized by smooth stratum production, stable stratum distribution and smooth structure, and is a beneficial shale gas storage area. However, the shale layer of the well area is quite developed, and a large amount of shear dislocation is induced by hydraulic fracturing. After the first section of hydraulic fracturing, the well has a casing deformation accident, a 96mm drift size cannot pass through a casing deformation point, and a bridge plug or a mechanical packing tool cannot be used for staged fracturing. Therefore, the well was then shifted to a sand pack frac process with specific reservoir geology and engineering parameters as shown in the table below.
Figure BDA0002686729240000101
Figure BDA0002686729240000111
As shown in fig. 1, the proppant parameter design method for sand-pack temporary fracturing in the present example may include the following steps:
step 1: substituting the collected target block geology, engineering parameters (shown in the above table) into a PKN model (which may be the same as equation 1 described in the first exemplary embodiment) calculates the entrance width of the hydraulic fracture to be 0.0024m, i.e., 2.4mm, where equation 1 may be:
Figure BDA0002686729240000112
in formula 1, wi The method comprises the steps of (1) setting the width m (unit) of a crack inlet in a fracturing section of a horizontal well to be designed; q is the displacement of the fracturing fluid, m3 (ii) s (units); n is the number of perforating clusters of the fracturing section and has no dimension (unit); v is the rock poisson's ratio, dimensionless (in units); mu is the viscosity of the fracturing fluid, MPa.s (unit); pi is the circumference ratio; e is the Young's modulus of the reservoir rock, MPa (unit); cL Is the fluid loss coefficient, m/s-0.5 (unit); h is the fracture height (or zone thickness), m (units); t is the fracturing time, s (units).
Step 2: two groups of 20/40 mesh and 40/70 mesh proppants were selected and defined as group 1 (20/40 mesh) and group 2 (40/70 mesh), respectively. Two groups of proppant samples were each taken and subjected to further fine screening to obtain respective specific particle size compositions, wherein the proportion of 20/40 mesh particles was 70%, and the average particle size a of the two groups of particles after complete mixing (20/40 mesh particles average particle size 0.73mm,40/70 mesh particles average particle size 0.35 mm) was 0.616mm calculated according to formula 4 (which may be the same as formula 4 described in the first exemplary embodiment), which formula 4 may be:
Figure BDA0002686729240000113
wherein A is the average particle size of the proppant particles, m (units); a isx Is the particle size, m (units), of the xth particle in grouping 1; v. ofax Dimensionless (unit) as the volume fraction of the xth particle in subgroup 1; by Particle size, m (units), of the y-th particle in the particles of group 2; v. ofby Is the volume fraction of the y-th particle in subgroup 2, dimensionless (unit); v takes a value of 0.7; the particle size corresponding to the mesh size in the screening can be shown in the following table.
Particle size (mm)2.382.001.681.411.681.191.00
Number of particles8101214121618
Particle size (mm)0.8410.7070.4000.2970.2500.2100.177
Number of particle meshes20254050607080
And step 3: a =0.616mm greater than 1/4 of the crack width 2.4mm, i.e. 4A > wi (which may be the same as equation 2 described in the first exemplary embodiment), so the proppant mesh count of group 1 is satisfactory.
And 4, step 4: the average particle diameter of the particles of subgroup 2 (40/70 mesh) is 0.35mm, which is 1/5 of the average particle diameter of the particles of subgroup 1 (20/40 mesh) which is 0.73mm, i.e.
Figure BDA0002686729240000121
(which may be the same as equation 5 described in the first exemplary embodiment), the mesh number of the packet 2 is thus satisfactory.
And 5: after the preferred size and distribution of the proppant particles based on steps 3 and 4, the proppant particles are processed according to equation 6The mean particle size a =0.616mm was determined. Subsequently, the dimensionless proppant volume fraction 0.3882 that needs to be pumped in to achieve sand pack plugging is calculated based on equation 3 (which may be the same as equation 3 described in the first exemplary embodiment). Finally, the dimensionless proppant volume fraction B was converted to the proppant mass concentration required for the sand pack temporary plug according to equation 6 (which may be the same asequation 6 described in the first exemplary embodiment) (the apparent density of the quartz sand proppant was equal to about 1650 kg/m)3 ) Is 410kg/m3 The formula 3 may be:
Figure BDA0002686729240000122
in formula 3, B is the dimensionless temporary plugging volume fraction, dimensionless (in units) of the proppant particle; a is the average particle size of the proppant particle, m (units); w is ai Is the crack entrance width, m (units); e is a natural constant, and k takes a value of 0.83;
theformula 6 may be:
C=0.64ρB,
informula 6, C is the proppant mass concentration required for temporary plugging, kg/m3 (unit); b is the dimensionless temporary plugging volume fraction of the proppant particles and the dimensionless (unit); ρ is the density of the mixed group 1 and group 2 in kg/m3 (unit).
The shale gas well A5 th fracturing operation is carried out according to the optimized proppant parameters, a proppant adding program for increasing the sand ratio in a multi-stage mode is adopted, as shown in figure 2 (the construction graph of the fracturing operation is shown in figure 2, the abscissa represents the construction time and the abscissa is the construction time and the time is elapsed from left to right), and finally, the sand adding concentration exceeds 400kg/m3 And the sand filling temporary plugging is successfully carried out, the fracturing monitoring casing pressure is increased steeply, and the effective sand filling temporary plugging optimization design scheme is proved.
In summary, the proppant parameter design method for sand-packed temporary plugging fracturing provided by the invention has the advantages that:
(1) The design method considers the correlation between the particle concentration and the temporary plugging performance, and overcomes the defect that the existing optimization design method only optimizes the particle size distribution and does not optimize the one-sidedness of mass concentration;
(2) Whether designed proppant parameters can form bridging in the fracture or not can be judged through the average particle size (the bridging can be formed in the fracture if the average particle size meets the formula 2), whether stable packing effect can be formed in the fracture or not can be determined according to the particle size ratio (the stable packing effect can be formed in the fracture if the particle size ratio meets the formula 5), and then the proppant concentration with the lowest requirement is determined according to quantitative design, so that the mass concentration obtained by the design method is beneficial to on-site reference use, and therefore the actual construction design requirements are met, especially the blocking mechanical behavior of high-concentration sand with the volume fraction not less than 45%, and even the blocking mechanical behavior of high-concentration sand with the volume fraction as high as 60%.
Although the present invention has been described above in connection with exemplary embodiments, it will be apparent to those skilled in the art that various modifications and changes may be made to the exemplary embodiments of the present invention without departing from the spirit and scope of the invention as defined in the appended claims.

Claims (9)

1. A proppant parameter design method for sand-packed temporary plugging fracturing is characterized by comprising the following steps:
determining the inlet width of a crack in a fracturing section of the horizontal well;
obtaining the average particle size of the proppant particles according to the inlet width;
obtaining the non-dimensional temporary plugging volume fraction of the proppant particles required for realizing sand-filling temporary plugging according to the average particle size and the inlet width;
obtaining the non-dimensional temporary plugging volume fraction of the proppant particles required for realizing sand-packed temporary plugging according to the average particle size and the inlet width, wherein the volume fraction comprises: the dimensionless temporary plugging volume fraction of the proppant particles is obtained by formula 3,
formula 3 is:
Figure FDA0003776816020000011
wherein B is proppantThe particles have a dimensionless temporary plugging volume fraction, A is the average particle size of the proppant particles, wi E is a natural constant, and k is 0.5-0.9, which is the width of a crack inlet in a fracturing section of the horizontal well to be designed.
2. The proppant parameter design method of claim 1, wherein determining the entry width of a fracture in a horizontal well fracture section comprises: the inlet width is determined by equation 1,
formula 1 is:
Figure FDA0003776816020000012
wherein, wi The method comprises the steps of designing the width of a crack inlet in a fracturing section of a horizontal well to be designed, Q is fracturing fluid discharge capacity, N is the number of perforating clusters of the fracturing section, v is the Poisson ratio of rocks, mu is the viscosity of the fracturing fluid, pi is the circumferential rate, E is the Young modulus of reservoir rocks, and CL Is the fluid loss coefficient, h is the fracture height, and t is the fracturing time.
3. The proppant parameter design method of claim 1, wherein deriving an average particle size of proppant particles based on the inlet width comprises: the average particle size of the proppant is obtained by formula 2,
the formula 2 is:
4A>wi
wherein A is the average particle size of the proppant particles, wi The width of a crack inlet in a horizontal well fracturing section to be designed.
4. The proppant parameter design method of claim 1, further comprising the steps of:
selecting two groups of proppant particles with different particle sizes, recording the proppant particles as a group 1 and a group 2, judging whether the particle size of the group 1 is smaller than that of the group 2 after the group 1 and the group 2 are mixed to meet the average particle size, and acquiring the densities of the mixed group 1 and the mixed group 2 under the condition of meeting the average particle size;
and obtaining the mass concentration of the propping agent according to the density and the dimensionless temporary plugging volume fraction.
5. The proppant parameter design method of claim 4, wherein the particle size of a group of proppant particles with smaller particle size is increased in the event that the average particle size is not met after group 1 and group 2 are mixed.
6. The proppant parameter design method of claim 4, wherein the average particle size of the mixed group 1 and group 2 is obtained by formula 4, wherein the formula 4 is:
Figure FDA0003776816020000021
wherein A is the average particle diameter of the mixture of group 1 and group 2, ax Is the particle size of the x-th particle in group 1, vax Is the volume fraction of the x-th particle in group 1, by Is the particle size of the y-th particle in the particles of group 2, vby The volume fraction of the y-th particle in the group 2, and the value of V is 0.6-0.8.
7. The proppant parameter design method of claim 4, wherein group 1 and group 2 further satisfy equation 5, wherein equation 5 is:
Figure FDA0003776816020000022
wherein, by Is the particle size of the y-th particle in group 2, vby Is the volume fraction of the y-th particle in group 2, ax Is the particle size of the x-th particle in group 1, vax Is the volume fraction of the X-th particle in subgroup 1, Y is the total number of particle species in subgroup 2, and X is the total number of particle species in subgroup 1.
8. The proppant parameter design method of claim 7, wherein in the case where group 1 and group 2 do not satisfy formula 5, the particle size of a group of proppant particles having a smaller particle size is increased.
9. The proppant parameter design method of claim 4, wherein deriving a proppant mass concentration from the density and the dimensionless plugging volume fraction comprises: the proppant mass concentration was obtained by equation 6,
formula 6 is:
C=0.64ρB,
wherein C is the mass concentration of the proppant required by temporary plugging, B is the dimensionless temporary plugging volume fraction of the proppant particles, and rho is the density of the mixture of the group 1 and the group 2.
CN202010978585.XA2020-09-172020-09-17Proppant parameter design method for sand-filling temporary plugging fracturingActiveCN111946321B (en)

Priority Applications (1)

Application NumberPriority DateFiling DateTitle
CN202010978585.XACN111946321B (en)2020-09-172020-09-17Proppant parameter design method for sand-filling temporary plugging fracturing

Applications Claiming Priority (1)

Application NumberPriority DateFiling DateTitle
CN202010978585.XACN111946321B (en)2020-09-172020-09-17Proppant parameter design method for sand-filling temporary plugging fracturing

Publications (2)

Publication NumberPublication Date
CN111946321A CN111946321A (en)2020-11-17
CN111946321Btrue CN111946321B (en)2022-11-29

Family

ID=73356379

Family Applications (1)

Application NumberTitlePriority DateFiling Date
CN202010978585.XAActiveCN111946321B (en)2020-09-172020-09-17Proppant parameter design method for sand-filling temporary plugging fracturing

Country Status (1)

CountryLink
CN (1)CN111946321B (en)

Families Citing this family (1)

* Cited by examiner, † Cited by third party
Publication numberPriority datePublication dateAssigneeTitle
CN112855106A (en)*2021-01-212021-05-28西南石油大学Construction method for solid temporary plugging agent steering fracturing

Citations (4)

* Cited by examiner, † Cited by third party
Publication numberPriority datePublication dateAssigneeTitle
CN101747886A (en)*2009-12-212010-06-23新疆石油管理局采油工艺研究院Fracturing fluid stock solution, full-filling preposition-free sand adding fracturing method and fracturing fluid cross-linking solution thereof
BRPI0900383A2 (en)*2009-03-132010-12-21Petroleo Brasileiro Sa Method for determining fracture height after hydraulic fracturing operations
CN108825196A (en)*2018-05-292018-11-16北京捷贝通石油技术股份有限公司A kind of temporary stifled volume fracturing process of screen casing high angle hole
RU2708746C1 (en)*2019-03-052019-12-11Публичное акционерное общество "Татнефть" им. В.Д.ШашинаMethod for proppant multistage hydraulic fracturing of oil formation

Family Cites Families (11)

* Cited by examiner, † Cited by third party
Publication numberPriority datePublication dateAssigneeTitle
US7004255B2 (en)*2003-06-042006-02-28Schlumberger Technology CorporationFracture plugging
US7484564B2 (en)*2005-08-162009-02-03Halliburton Energy Services, Inc.Delayed tackifying compositions and associated methods involving controlling particulate migration
RU2441052C2 (en)*2005-12-232012-01-27Шлюмбергер Текнолоджи Б.В.Propping filler (version)
US7669655B2 (en)*2007-02-132010-03-02Bj Services CompanyMethod of fracturing a subterranean formation at optimized and pre-determined conditions
US20170167222A1 (en)*2015-12-102017-06-15Schlumberger Technology CorporationMethod and composition for controlling fracture geometry
CN108119122B (en)*2017-12-052020-12-15捷贝通石油技术集团股份有限公司Staged fracturing method for casing-deformation complex well
CN109763804B (en)*2018-12-282020-02-04北京大学Staged temporary plugging fracturing method for horizontal well
CN110210144B (en)*2019-06-052019-12-27西南石油大学Optimization design method for promoting uniform expansion of horizontal well fracturing fracture by temporary plugging agent
CN110685657B (en)*2019-10-212021-08-17中国石油化工股份有限公司Method for calculating temporary plugging particle dosage for steering fracturing
CN111350481B (en)*2020-04-172022-11-22中国石油天然气集团有限公司Temporary plugging steering fracturing method among horizontal well clusters and in seams
CN111502593B (en)*2020-06-172020-11-06西南石油大学Method for determining dosage of temporary plugging diversion fracturing phase change temporary plugging agent in crack

Patent Citations (4)

* Cited by examiner, † Cited by third party
Publication numberPriority datePublication dateAssigneeTitle
BRPI0900383A2 (en)*2009-03-132010-12-21Petroleo Brasileiro Sa Method for determining fracture height after hydraulic fracturing operations
CN101747886A (en)*2009-12-212010-06-23新疆石油管理局采油工艺研究院Fracturing fluid stock solution, full-filling preposition-free sand adding fracturing method and fracturing fluid cross-linking solution thereof
CN108825196A (en)*2018-05-292018-11-16北京捷贝通石油技术股份有限公司A kind of temporary stifled volume fracturing process of screen casing high angle hole
RU2708746C1 (en)*2019-03-052019-12-11Публичное акционерное общество "Татнефть" им. В.Д.ШашинаMethod for proppant multistage hydraulic fracturing of oil formation

Non-Patent Citations (1)

* Cited by examiner, † Cited by third party
Title
鄂尔多斯盆地延长组7段Ⅱ类页岩油风险勘探突破及其意义;付金华等;《中国石油勘探》;20200115;第25卷(第01期);第78-92页*

Also Published As

Publication numberPublication date
CN111946321A (en)2020-11-17

Similar Documents

PublicationPublication DateTitle
CN108316908B (en)Temporary plugging volume fracturing technology for closely cutting temporary plugging with high sand content
CN110210144B (en)Optimization design method for promoting uniform expansion of horizontal well fracturing fracture by temporary plugging agent
CN108868748B (en)Method for calculating repeated fracturing fracture opening pressure of shale gas horizontal well
CN112561144B (en)Method for evaluating main control factor of productivity of tight oil fracturing horizontal well and predicting productivity
CN110905472B (en)Method for determining real-time steering fracturing parameters based on composite temporary plugging system
CN112761609B (en)Optimization method for efficient laying of propping agent in hydraulic fracturing operation
CN113850029B (en)Shale gas horizontal well density cutting fracturing perforation parameter optimization design method
Lian et al.A study on casing deformation failure during multi-stage hydraulic fracturing for the stimulated reservoir volume of horizontal shale wells
CN113283197B (en)Sand feeding parameter design method based on complex fracture width distribution
CN109815516A (en)Method and device for predicting productivity of shale gas well
CN104863560A (en)Wide-net fracturing method for shale gas exploitation
CN107705215A (en)A kind of shale reservoir refracturing selects well selections method
CN114233261B (en) A method of staged fracturing to achieve uniform stimulation of oil and gas wells
CN114239308B (en) A multi-scale high-density fracturing parameter optimization method
CN110374569A (en)A kind of uniform remodeling method of compact reservoir and system
CN112963132A (en)Integral fracturing optimization design method for large well group of compact oil horizontal well
CN112417644A (en)Horizontal well multi-section multi-cluster limit flow fracturing process design method
CN114372428A (en)Extension and trans-scale simulation method for multiple clusters of fracturing fractures in horizontal well section of glutenite reservoir
CN111946321B (en)Proppant parameter design method for sand-filling temporary plugging fracturing
CN107133393A (en)Passage pressure break well and story selecting and dynamic parameter Optimization Design
CN108756830B (en)Horizontal well gravel packing simulation calculation method
CN112211626B (en)Optimization method for productivity well testing test type of heterogeneous gas reservoir gas well
CN115705454A (en)Crack propagation simulation fracturing design optimization method based on phase field method
Jang et al.Effect of fracture design parameters on the well performance in a hydraulically fractured shale gas reservoir
CN116502553B (en) Inversion method of fracture plugging skin coefficient and fracture parameters in unconventional oil and gas reservoirs

Legal Events

DateCodeTitleDescription
PB01Publication
PB01Publication
SE01Entry into force of request for substantive examination
SE01Entry into force of request for substantive examination
GR01Patent grant
GR01Patent grant

[8]ページ先頭

©2009-2025 Movatter.jp