







技术领域technical field
本申请实施例涉及通信技术领域,特别涉及一种获取通信参数的方法、装置、终端及存储介质。The embodiments of the present application relate to the field of communication technologies, and in particular, to a method, apparatus, terminal, and storage medium for acquiring communication parameters.
背景技术Background technique
随着无线通信技术的快速发展,准确估计噪声情况对于提升信号质量有重要意义。其中,信道估计系数的准确计算对于信号质量的影响较大。With the rapid development of wireless communication technology, accurate estimation of noise conditions is of great significance for improving signal quality. Among them, the accurate calculation of the channel estimation coefficient has a great influence on the signal quality.
相关技术中,由于信号情况在实时变化。因此,终端能够实时计算到当前的实时信道估计系数对于提升信号质量有重要帮助。一种可能的计算方式中,终端在计算实时信道估计系数时需要实时进行矩阵求逆的运算。通常,终端采用Cholesky(中文:乔里斯基)分解的方法进行矩阵求逆,进而计算得到信道估计系数。In the related art, since the signal situation changes in real time. Therefore, the terminal can calculate the current real-time channel estimation coefficient in real time, which is of great help to improve the signal quality. In a possible calculation manner, the terminal needs to perform a matrix inversion operation in real time when calculating the real-time channel estimation coefficient. Usually, the terminal uses the Cholesky (Chinese: Cholesky) decomposition method to perform matrix inversion, and then calculates to obtain the channel estimation coefficient.
发明内容SUMMARY OF THE INVENTION
本申请实施例提供了一种获取通信参数的方法、装置、终端及存储介质。所述技术方案如下:Embodiments of the present application provide a method, device, terminal, and storage medium for acquiring communication parameters. The technical solution is as follows:
根据本申请的一方面内容,提供了一种获取通信参数的方法,所述方法包括:According to an aspect of the present application, a method for acquiring communication parameters is provided, the method comprising:
获取通信信号的自相关矩阵;Obtain the autocorrelation matrix of the communication signal;
对所述自相关矩阵进行矩阵分解,得到第一矩阵和第二矩阵,所述自相关矩阵为所述第一矩阵、所述第二矩阵和所述第一矩阵的转置矩阵的乘积;Perform matrix decomposition on the autocorrelation matrix to obtain a first matrix and a second matrix, where the autocorrelation matrix is the product of the first matrix, the second matrix and the transposed matrix of the first matrix;
根据所述第一矩阵的逆矩阵和所述第二矩阵的逆矩阵,得到第三矩阵;Obtain a third matrix according to the inverse matrix of the first matrix and the inverse matrix of the second matrix;
根据所述第三矩阵和所述第一矩阵的转置矩阵,计算所述自相关矩阵的逆矩阵;Calculate the inverse matrix of the autocorrelation matrix according to the third matrix and the transposed matrix of the first matrix;
根据所述自相关矩阵的逆矩阵和相应的互相关矩阵,获取通信参数,所述通信参数用于提高所述通信信号的质量。According to the inverse matrix of the autocorrelation matrix and the corresponding cross-correlation matrix, a communication parameter is obtained, and the communication parameter is used to improve the quality of the communication signal.
根据本申请的另一方面内容,提供了一种获取通信参数的装置,所述装置包括:According to another aspect of the present application, an apparatus for acquiring communication parameters is provided, the apparatus comprising:
矩阵获取模块,用于获取通信信号的自相关矩阵;The matrix acquisition module is used to acquire the autocorrelation matrix of the communication signal;
矩阵分解模块,用于对所述自相关矩阵进行矩阵分解,得到第一矩阵和第二矩阵,所述自相关矩阵为所述第一矩阵、所述第二矩阵和所述第一矩阵的转置矩阵的乘积;A matrix decomposition module, configured to perform matrix decomposition on the autocorrelation matrix to obtain a first matrix and a second matrix, and the autocorrelation matrix is the transformation of the first matrix, the second matrix and the first matrix Set the product of matrices;
矩阵计算模块,用于根据所述第一矩阵的逆矩阵和所述第二矩阵的逆矩阵,得到第三矩阵;a matrix calculation module, configured to obtain a third matrix according to the inverse matrix of the first matrix and the inverse matrix of the second matrix;
矩阵求逆模块,用于根据所述第三矩阵和所述第一矩阵的转置矩阵,计算所述自相关矩阵的逆矩阵;a matrix inversion module, configured to calculate the inverse matrix of the autocorrelation matrix according to the third matrix and the transposed matrix of the first matrix;
参数获取模块,用于根据所述自相关矩阵的逆矩阵和相应的互相关矩阵,获取通信参数,所述通信参数用于提高所述通信信号的质量。A parameter acquisition module, configured to acquire communication parameters according to the inverse matrix of the autocorrelation matrix and the corresponding cross-correlation matrix, where the communication parameters are used to improve the quality of the communication signal.
根据本申请的另一方面内容,提供了一种终端,所述终端包括处理器和存储器,所述存储器中存储有至少一条指令,所述指令由所述处理器加载并执行以实现如本申请各个方面提供的获取通信参数的方法。According to another aspect of the present application, a terminal is provided, the terminal includes a processor and a memory, the memory stores at least one instruction, and the instruction is loaded and executed by the processor to implement the method as described in the present application Methods for obtaining communication parameters provided by various aspects.
根据本申请的另一方面内容,提供了一种计算机可读存储介质,所述存储介质中存储有至少一条指令,所述指令由处理器加载并执行以实现如本申请各个方面提供的获取通信参数的方法。According to another aspect of the present application, there is provided a computer-readable storage medium having stored therein at least one instruction, the instruction being loaded and executed by a processor to implement acquisition communication as provided by various aspects of the present application parameter method.
根据本申请的一个方面,提供了一种计算机程序产品,该计算机程序产品包括计算机指令,该计算机指令存储在计算机可读存储介质中。计算机设备的处理器从计算机可读存储介质读取该计算机指令,处理器执行该计算机指令,使得该计算机设备执行上述获取通信参数的方面的各种可选实现方式中提供的方法。According to one aspect of the present application, there is provided a computer program product comprising computer instructions stored in a computer-readable storage medium. The processor of the computer device reads the computer instructions from the computer-readable storage medium, and the processor executes the computer instructions to cause the computer device to perform the methods provided in various optional implementations of the above-described aspects of obtaining communication parameters.
在本申请提供的获取通信参数的方法中,终端能够在获取通信信号的自相关矩阵之后,采用先分解再求逆矩阵的方式获取自相关矩阵的逆矩阵。在具体的执行过程中,终端能够将自相关矩阵分解为第一矩阵、第二矩阵和第一矩阵的转置矩阵的乘积的形式,随后使用上述已解出的第一矩阵的逆矩阵和第二矩阵的逆矩阵获得第三矩阵,随后,结合第一矩阵的转置矩阵,可以计算得到自相关矩阵的逆矩阵,基于该逆矩阵和相应的互相关矩阵,终端能够获取相应的用于提高通信信号的质量的通信参数。由于自相关矩阵的分解过程中避免了Cholesky分解中涉及的开方运算,降低了计算通信参数的复杂度,提高了获取通信参数的效率。In the method for obtaining communication parameters provided by the present application, after obtaining the autocorrelation matrix of the communication signal, the terminal can obtain the inverse matrix of the autocorrelation matrix by first decomposing and then finding the inverse matrix. In the specific execution process, the terminal can decompose the autocorrelation matrix into the form of the product of the first matrix, the second matrix and the transposed matrix of the first matrix, and then use the inverse matrix of the first matrix and the first matrix solved above. The inverse matrix of the second matrix obtains the third matrix. Then, combined with the transposed matrix of the first matrix, the inverse matrix of the autocorrelation matrix can be calculated. Based on the inverse matrix and the corresponding cross-correlation matrix, the terminal can obtain the corresponding Communication parameter of the quality of the communication signal. Since the square root operation involved in the Cholesky decomposition is avoided in the decomposition process of the autocorrelation matrix, the complexity of calculating the communication parameters is reduced, and the efficiency of obtaining the communication parameters is improved.
附图说明Description of drawings
为了更清楚地介绍本申请实施例中的技术方案,下面将对本申请实施例描述中所需要使用的附图作简单地介绍,显而易见地,下面描述中的附图仅仅是本申请的一些实施例,对于本领域普通技术人员来讲,在不付出创造性劳动的前提下,还可以根据这些附图获得其它的附图。In order to introduce the technical solutions in the embodiments of the present application more clearly, the following briefly introduces the accompanying drawings that need to be used in the description of the embodiments of the present application. Obviously, the drawings in the following description are only some embodiments of the present application. , for those of ordinary skill in the art, other drawings can also be obtained based on these drawings without any creative effort.
图1是本申请实施例涉及的一种求取维纳滤波系数的流程示意图;Fig. 1 is a kind of schematic flowchart of obtaining the Wiener filter coefficient involved in the embodiment of the present application;
图2是本申请一个示例性实施例提供的一种终端的结构框图;2 is a structural block diagram of a terminal provided by an exemplary embodiment of the present application;
图3是本申请一个示例性实施例提供的一种获取通信参数的方法的流程图;3 is a flowchart of a method for acquiring communication parameters provided by an exemplary embodiment of the present application;
图4是本申请另一个示例性实施例提供的一种获取通信参数的方法流程图;4 is a flowchart of a method for acquiring communication parameters provided by another exemplary embodiment of the present application;
图5是本申请实施例提供的一种获取通信参数的方法示意图;5 is a schematic diagram of a method for acquiring communication parameters provided by an embodiment of the present application;
图6是图5所示方案中两种可能的实现方式之间的乘法复杂度的比较示意图;Fig. 6 is the comparison schematic diagram of the multiplication complexity between two possible implementations in the scheme shown in Fig. 5;
图7是图5所示方案中两种可能的实现方式之间的加法复杂度的比较示意图;7 is a schematic diagram of the comparison of the addition complexity between two possible implementations in the scheme shown in FIG. 5;
图8是本申请一个示例性实施例提供的获取通信参数的装置的结构框图。FIG. 8 is a structural block diagram of an apparatus for acquiring communication parameters provided by an exemplary embodiment of the present application.
具体实施方式Detailed ways
为使本申请的目的、技术方案和优点更加清楚,下面将结合附图对本申请实施方式作进一步地详细描述。In order to make the objectives, technical solutions and advantages of the present application clearer, the embodiments of the present application will be further described in detail below with reference to the accompanying drawings.
下面的描述涉及附图时,除非另有表示,不同附图中的相同数字表示相同或相似的要素。以下示例性实施例中所描述的实施方式并不代表与本申请相一致的所有实施方式。相反,它们仅是与如所附权利要求书中所详述的、本申请的一些方面相一致的装置和方法的例子。Where the following description refers to the drawings, the same numerals in different drawings refer to the same or similar elements unless otherwise indicated. The implementations described in the illustrative examples below are not intended to represent all implementations consistent with this application. Rather, they are merely examples of apparatus and methods consistent with some aspects of the present application as recited in the appended claims.
在本申请的描述中,需要理解的是,术语“第一”、“第二”等仅用于描述目的,而不能理解为指示或暗示相对重要性。在本申请的描述中,需要说明的是,除非另有明确的规定和限定,术语“相连”、“连接”应做广义理解,例如,可以是固定连接,也可以是可拆卸连接,或一体地连接;可以是机械连接,也可以是电连接;可以是直接相连,也可以通过中间媒介间接相连。对于本领域的普通技术人员而言,可以具体情况理解上述术语在本申请中的具体含义。此外,在本申请的描述中,除非另有说明,“多个”是指两个或两个以上。“和/或”,描述关联对象的关联关系,表示可以存在三种关系,例如,A和/或B,可以表示:单独存在A,同时存在A和B,单独存在B这三种情况。字符“/”一般表示前后关联对象是一种“或”的关系。In the description of the present application, it should be understood that the terms "first", "second" and the like are used for descriptive purposes only, and should not be construed as indicating or implying relative importance. In the description of this application, it should be noted that, unless otherwise expressly specified and limited, the terms "connected" and "connected" should be understood in a broad sense, for example, it may be a fixed connection, a detachable connection, or an integral connection. Ground connection; it can be a mechanical connection or an electrical connection; it can be directly connected or indirectly connected through an intermediate medium. For those of ordinary skill in the art, the specific meanings of the above terms in this application can be understood in specific situations. Also, in the description of the present application, unless otherwise specified, "a plurality" means two or more. "And/or", which describes the association relationship of the associated objects, means that there can be three kinds of relationships, for example, A and/or B, which can mean that A exists alone, A and B exist at the same time, and B exists alone. The character "/" generally indicates that the associated objects are an "or" relationship.
本申请介绍了一种获取通信参数的方法,需要说明的是,该通信参数在无线通信系统中,对于提升接收信号的质量或者对于提升发送信号的质量有直接的帮助。在一种可能的场景中,该通信参数是信道估计系数。需要说明的是,通信系数还可以是其它涉及矩阵求逆过程的参数,本申请实施例对此不作限定。This application introduces a method for obtaining communication parameters. It should be noted that, in a wireless communication system, the communication parameters directly help improve the quality of received signals or improve the quality of transmitted signals. In one possible scenario, the communication parameters are channel estimation coefficients. It should be noted that the communication coefficient may also be other parameters involved in the matrix inversion process, which is not limited in this embodiment of the present application.
作为一种可能的信道估计方案,维纳滤波方案在3GPP LTE系统和5G NR(NewRadio,新空口)通信系统中,信道估计通常使用维纳滤波方案。维纳滤波方案中涉及有系数计算过程。该系数计算过程通常采用预先设定的系统或者实时计算系数的方法。示意性的,该维纳滤波系数计算过程如图1所示。图1是本申请实施例涉及的一种求取维纳滤波系数的流程示意图。在图1中,包括信噪比(SNR)估计模块110、相关性生成模块120、导频距离图样生成模块130、自相关矩阵生成模块140、互相关矩阵生成模块150、矩阵求逆模块160和维纳系数计算模块170。As a possible channel estimation scheme, the Wiener filtering scheme In the 3GPP LTE system and the 5G NR (New Radio, New Radio) communication system, the Wiener filtering scheme is usually used for channel estimation. The Wiener filtering scheme involves a coefficient calculation process. The coefficient calculation process usually adopts a preset system or a method of calculating coefficients in real time. Illustratively, the calculation process of the Wiener filter coefficient is shown in FIG. 1 . FIG. 1 is a schematic flowchart of a method for obtaining Wiener filter coefficients involved in an embodiment of the present application. In FIG. 1, it includes a signal-to-noise ratio (SNR)
在图1所示的维纳滤波系数的求取流程中,信噪比估计模块110获取信噪比。相关性生成模块120根据时延扩展(des)或多普勒扩展(dos),以及估计的相关性,向自相关矩阵生成模块140输入相关性信号。同时,导频距离图样生成模块130也将根据导频信号的类型,向自相关矩阵生成模块140输入信号。自相关矩阵生成模块140将生成自相关矩阵(ACM)。In the procedure for obtaining the Wiener filter coefficients shown in FIG. 1 , the signal-to-noise
与此同时,相关性生成模块120和导频距离图样生成模块130也向互相关矩阵生成模块150输入信号,使得互相关矩阵生成模块150生成互相关矩阵(CCM)。At the same time, the
随后,自相关矩阵生成模块140生成的自相关矩阵,将输入至矩阵求逆模块160求取自相关矩阵的逆矩阵,该逆矩阵输入至维纳系数计算模块170。维纳系数计算模块170根据输入的自相关矩阵的逆矩阵和互相关矩阵,计算得到维纳系数。Then, the autocorrelation matrix generated by the autocorrelation
在图1所示的维纳系数计算的过程中,可以采用实时计算维纳系数的方法。针对上述矩阵求逆模块160的处理过程,介绍如下。首先,终端对自相关矩阵(也可称为目标矩阵)进行Cholesky分解(又称三角分解)。Cholesky分解能够把一个对称正定的矩阵Φ表示成一个下三角矩阵L和其转置LH的乘积的分解,也即。In the process of calculating the Wiener coefficient shown in FIG. 1 , the method of calculating the Wiener coefficient in real time can be adopted. The processing procedure of the
Φ=LLHΦ=LLH
其中,对于Among them, for
j=0,1,...,(n-1),L分解的第j列主对角线元素为:j=0,1,...,(n-1), the main diagonal elements of the jth column of L decomposition are:
对于i=k,...,(n-1),L的第j列第i行元素为:For i=k, .
由上述计算过程可知,Cholesky分解过程中,在求取主对角线元素时存在求开方操作。It can be seen from the above calculation process that in the process of Cholesky decomposition, there is a square root operation when obtaining the main diagonal elements.
在后续计算过程中,使用Cholesky分解求得L矩阵,根据逆矩阵和L矩阵的理论关系,对L矩阵求逆,得到L-1。再进行矩阵相乘,得到目标矩阵的逆矩阵。具体公式为:In the subsequent calculation process, use the Cholesky decomposition to obtain the L matrix, and according to the theoretical relationship between the inverse matrix and the L matrix, invert the L matrix to obtain L-1 . Then perform matrix multiplication to get the inverse matrix of the target matrix. The specific formula is:
Φ-1=(LLH)-1=(L-1)HL-wΦ-1 =(LLH )-1 =(L-1 )H L-w
令Z=L-1,即Let Z=L-1 , that is
则Φ-1=ZHZ。Then Φ-1 =ZH Z.
由上述介绍可知,Cholesky分解对于要求进行分解的输入矩阵是正定矩阵,当输入矩阵不满足正定条件时,该计算系统中将出现自矩阵不可逆的现象。It can be seen from the above introduction that the input matrix required to be decomposed by Cholesky decomposition is a positive definite matrix. When the input matrix does not satisfy the positive definite condition, the phenomenon of self-matrix irreversibility will occur in the computing system.
由于Cholesky分解要求待分解的自相关矩阵满足正定条件,即矩阵所有特征值必须大于零,故分解得到的下三角矩阵的对角元素也是大于零的。当待分解矩阵不满足正定条件时,待分解矩阵不可逆。也即是说,在当前的系数实时计算过程中,不能获得可以使用的根据实时信道相关性和信道参数计算的逆矩阵和实时系数,而要使用预设的鲁棒的滤波系数,保证当前系数计算的数据流中有可以使用的滤波系数矩阵。Since Cholesky decomposition requires the autocorrelation matrix to be decomposed to satisfy the positive definite condition, that is, all eigenvalues of the matrix must be greater than zero, so the diagonal elements of the lower triangular matrix obtained by decomposition are also greater than zero. When the matrix to be decomposed does not satisfy the positive definite condition, the matrix to be decomposed is irreversible. That is to say, in the current real-time calculation process of coefficients, the inverse matrix and real-time coefficients that can be calculated according to real-time channel correlation and channel parameters cannot be obtained, but the preset robust filter coefficients must be used to ensure the current coefficients. There is a matrix of filter coefficients that can be used in the computed data stream.
另一方面,由于图1提供的计算方式中需要执行开方运算。在该开方运算中,若采用硬件实现,终端将通过CORDIC算法或者查表方法以实现开方运算。(1)若采用CORDIC算法执行开方,则计算复杂度和时延都比较大。(2)若采用查表方法,则需要预存满足当前数据动态范围的表格,会增加终端的内存占用空间,对内存空间的需求较高。On the other hand, the square root operation needs to be performed in the calculation method provided in FIG. 1 . In this square root operation, if implemented by hardware, the terminal will implement the square root operation through the CORDIC algorithm or the table look-up method. (1) If the CORDIC algorithm is used to perform the square root, the computational complexity and time delay are relatively large. (2) If the table lookup method is adopted, it is necessary to pre-store a table that satisfies the dynamic range of the current data, which will increase the memory occupied space of the terminal and require a higher memory space.
为了解决上述方案中计算自相关矩阵的逆矩阵的方案的计算复杂度的弊端。本申请实施例对于获取通信参数的方案进行了改进,介绍如下。In order to solve the disadvantage of the computational complexity of the solution of calculating the inverse matrix of the autocorrelation matrix in the above solution. The embodiments of the present application improve the solution for acquiring communication parameters, which are introduced as follows.
在当前的通信参数的计算中,终端通常采用在每个时隙(slot)实时计算当前时隙维纳滤波所需要的信道估计系数。在此情况下,基于不同的导频距离图样、不同信道参数以及不同的捆绑的资源块(bundle RB)数目,终端能够计算得到相应的信道估计系数。In the calculation of the current communication parameters, the terminal usually uses the channel estimation coefficients required by the Wiener filtering of the current time slot to be calculated in real time in each time slot (slot). In this case, based on different pilot distance patterns, different channel parameters, and different bundled resource block (bundle RB) numbers, the terminal can calculate and obtain corresponding channel estimation coefficients.
示意性的,在每一个信道估计系数的计算过程中,都包含一个N×N维的矩阵求逆运算过程。需要说明的是,N是当前计算的滤波系数的导频样点数(tap)数,即求逆的自相关矩阵的维数为N×N,从而每个slot都需要实时计算多组矩阵的逆矩阵。当单个矩阵求逆的位宽和运算量很大时,整个终端或者计算信道估计系数的系统的计算复杂度较高。基于该现状,本申请将通过针对单个矩阵求逆的复杂度的简化,使得矩阵运算的计算时延变小,从而降低系数计算时延,满足系统时序要求,简化时序控制的复杂度。Illustratively, in the calculation process of each channel estimation coefficient, an N×N-dimensional matrix inversion operation process is included. It should be noted that N is the number of pilot samples (tap) of the currently calculated filter coefficients, that is, the dimension of the inverse autocorrelation matrix is N×N, so each slot needs to calculate the inverse of multiple groups of matrices in real time. matrix. When the bit width and the computational load of a single matrix inversion are large, the computational complexity of the entire terminal or the system for calculating the channel estimation coefficients is relatively high. Based on the current situation, the present application will reduce the calculation delay of matrix operation by simplifying the complexity of inversion of a single matrix, thereby reducing the coefficient calculation delay, meeting the system timing requirements, and simplifying the complexity of timing control.
在本申请实施例设计的方案中,提供了一种基于增强的矩阵求逆过程的信道估计系数实时计算方案。首先本实施例能够根据可逆性判断指示选择相关系数,并对输入目标矩阵的对角线元素进行保护处理,使得要进行求逆的目标矩阵能更好的满足矩阵正定的要求,避免目标矩阵的不可逆性。其次,本实施例采用LDLH分解,避免矩阵分解中的开方操作,并基于分解之后的L矩阵和D矩阵,采用后向递归循环迭代的方法得到目标矩阵的逆矩阵,进一步简化求逆计算复杂度。最后,本实施例根据互相关矩阵和自相关矩阵的逆矩阵,计算维纳滤波系数,并判断系数的有效性后输出给信道估计滤波模块。In the solution designed by the embodiment of the present application, a real-time calculation solution for channel estimation coefficients based on an enhanced matrix inversion process is provided. First of all, this embodiment can select the correlation coefficient according to the reversibility judgment instruction, and perform protection processing on the diagonal elements of the input target matrix, so that the target matrix that needs to be inverted can better meet the requirement of positive definite matrix, and avoid the target matrix irreversibility. Secondly, this embodiment adopts LDLH decomposition to avoid the square root operation in matrix decomposition, and based on the L matrix and D matrix after decomposition, the inverse matrix of the target matrix is obtained by the method of backward recursive loop iteration, which further simplifies the calculation of inversion the complexity. Finally, in this embodiment, the Wiener filter coefficients are calculated according to the inverse matrix of the cross-correlation matrix and the auto-correlation matrix, and the validity of the coefficients is judged and then output to the channel estimation filter module.
为了本申请实施例所示方案易于理解,下面对本申请实施例中出现的若干名词进行介绍。In order to facilitate the understanding of the solutions shown in the embodiments of the present application, several terms appearing in the embodiments of the present application are introduced below.
3GPP(第三代合作伙伴计划,3rd Generation Partnership Project)。3GPP (3rd Generation Partnership Project).
LTE(长期演进,Long Term Evolution)。LTE (Long Term Evolution).
5G NR(第五代移动通信新空口,5G New Radio)。5G NR (5th generation mobile communication new air interface, 5G New Radio).
RS(参考信号,Reference Signal)。RS (Reference Signal).
SNR(信噪比,Signal to noise ratio)。SNR (Signal to Noise Ratio, Signal to noise ratio).
Cholesky分解(乔里斯基分解,Cholesky decomposition)。Cholesky decomposition (Cholesky decomposition).
CORDIC(坐标旋转数字计算方法,Coordinate Rotation Digital Computer)。CORDIC (Coordinate Rotation Digital Computer).
Slot(时隙)。Slot.
示例性地,本申请实施例所示的获取通信参数的方法,可以应用在具有计算能力的终端中,该终端具有收发射频信号的能力。终端可以包括手机、平板电脑、膝上型电脑、台式电脑、电脑一体机、服务器、工作站、电视、机顶盒、智能眼镜、智能手表、数码相机、MP4播放终端、MP5播放终端、学习机、点读机、电纸书、电子词典、车载终端、虚拟现实(VirtualReality,VR)播放终端或增强现实(Augmented Reality,AR)播放终端等。Exemplarily, the method for acquiring communication parameters shown in the embodiments of the present application may be applied to a terminal with computing capability, and the terminal has the capability of sending and receiving radio frequency signals. Terminals can include mobile phones, tablet computers, laptop computers, desktop computers, computer all-in-one computers, servers, workstations, TVs, set-top boxes, smart glasses, smart watches, digital cameras, MP4 playback terminals, MP5 playback terminals, learning machines, point-to-point reading Computers, electronic paper books, electronic dictionaries, in-vehicle terminals, virtual reality (Virtual Reality, VR) playback terminals or augmented reality (Augmented Reality, AR) playback terminals, etc.
请参考图2,图2是本申请一个示例性实施例提供的一种终端的结构框图,如图2所示,该终端包括处理器220和存储器240,所述存储器240中存储有至少一条指令,所述指令由所述处理器220加载并执行以实现如本申请各个方法实施例所述的获取通信参数的方法。Please refer to FIG. 2, which is a structural block diagram of a terminal provided by an exemplary embodiment of the present application. As shown in FIG. 2, the terminal includes a
在本申请中,终端200是具备获取通信参数的功能的电子设备。终端200能够获取通信信号的自相关矩阵;对所述自相关矩阵进行矩阵分解,得到第一矩阵和第二矩阵,所述自相关矩阵为所述第一矩阵、所述第二矩阵和所述第一矩阵的转置矩阵的乘积;根据所述第一矩阵的逆矩阵和所述第二矩阵的逆矩阵,得到第三矩阵;根据所述第三矩阵和所述第一矩阵的转置矩阵,计算所述自相关矩阵的逆矩阵;根据所述自相关矩阵的逆矩阵,获取通信参数,所述通信参数用于提高所述通信信号的质量。In this application, the terminal 200 is an electronic device having a function of acquiring communication parameters. The terminal 200 can obtain the autocorrelation matrix of the communication signal; perform matrix decomposition on the autocorrelation matrix to obtain a first matrix and a second matrix, and the autocorrelation matrix is the first matrix, the second matrix and the The product of the transposed matrix of the first matrix; according to the inverse matrix of the first matrix and the inverse matrix of the second matrix, a third matrix is obtained; according to the transposed matrix of the third matrix and the first matrix , calculate the inverse matrix of the autocorrelation matrix; obtain communication parameters according to the inverse matrix of the autocorrelation matrix, and the communication parameters are used to improve the quality of the communication signal.
处理器220可以包括一个或者多个处理核心。处理器220利用各种接口和线路连接整个终端200内的各个部分,通过运行或执行存储在存储器240内的指令、程序、代码集或指令集,以及调用存储在存储器240内的数据,执行终端200的各种功能和处理数据。可选的,处理器220可以采用数字信号处理(Digital Signal Processing,DSP)、现场可编程门阵列(Field-Programmable Gate Array,FPGA)、可编程逻辑阵列(Programmable LogicArray,PLA)中的至少一种硬件形式来实现。处理器220可集成中央处理器(CentralProcessing Unit,CPU)、图像处理器(Graphics Processing Unit,GPU)和调制解调器等中的一种或几种的组合。其中,CPU主要处理操作系统、用户界面和应用程序等;GPU用于负责显示屏所需要显示的内容的渲染和绘制;调制解调器用于处理无线通信。可以理解的是,上述调制解调器也可以不集成到处理器220中,单独通过一块芯片进行实现。
存储器240可以包括随机存储器(Random Access Memory,RAM),也可以包括只读存储器(Read-Only Memory,ROM)。可选的,该存储器240包括非瞬时性计算机可读介质(non-transitory computer-readable storage medium)。存储器240可用于存储指令、程序、代码、代码集或指令集。存储器240可包括存储程序区和存储数据区,其中,存储程序区可存储用于实现操作系统的指令、用于至少一个功能的指令(比如触控功能、声音播放功能、图像播放功能等)、用于实现下述各个方法实施例的指令等;存储数据区可存储下面各个方法实施例中涉及到的数据等。The
示意性的,本申请所示的实施例能够应用在NR modem芯片中。NR modem芯片包括滤波模块。Illustratively, the embodiments shown in this application can be applied to an NR modem chip. NR modem chips include filter modules.
请参考图3,图3是本申请一个示例性实施例提供的一种获取通信参数的方法的流程图。该获取通信参数的方法可以应用在上述所示的终端中。在图3中,获取通信参数的方法包括:Please refer to FIG. 3 , which is a flowchart of a method for acquiring communication parameters provided by an exemplary embodiment of the present application. The method for acquiring communication parameters can be applied to the terminals shown above. In Figure 3, the method for obtaining communication parameters includes:
步骤310,获取通信信号的自相关矩阵。
在本申请实施例中,终端能够通过指定的集成电路组件执行获取通信参数的计算方案。其中,该集成电路组件可以是芯片或其它具有等同功能的电路组件。在一种可能的获取自相关矩阵的方案中,终端能够通过信噪比、导频距离图样等参数,来计算自相关矩阵。In the embodiment of the present application, the terminal can execute the calculation scheme of acquiring the communication parameters through the specified integrated circuit component. Wherein, the integrated circuit component may be a chip or other circuit components with equivalent functions. In a possible solution for obtaining the autocorrelation matrix, the terminal can calculate the autocorrelation matrix through parameters such as signal-to-noise ratio, pilot distance pattern and the like.
需要说明的是,本申请实施例不对其它能够计算得到自相关矩阵的方案进行限定。It should be noted that the embodiments of the present application do not limit other solutions that can calculate and obtain the autocorrelation matrix.
步骤320,对自相关矩阵进行矩阵分解,得到第一矩阵和第二矩阵,自相关矩阵为第一矩阵、第二矩阵和第一矩阵的转置矩阵的乘积。Step 320: Perform matrix decomposition on the autocorrelation matrix to obtain a first matrix and a second matrix, where the autocorrelation matrix is the product of the first matrix, the second matrix and the transposed matrix of the first matrix.
在本实施例中,终端能够对自相关矩阵进行矩阵分解。需要说明的是,该分解到第一矩阵和第二矩阵,原本的自相关矩阵可以表示为第一矩阵、第二矩阵和第一矩阵的转置矩阵的乘积。由于该分解不涉及开方运算,因此,本实施例提供的矩阵求逆的方案能够降低运算的复杂度。In this embodiment, the terminal can perform matrix decomposition on the autocorrelation matrix. It should be noted that, after decomposing the first matrix and the second matrix, the original autocorrelation matrix can be expressed as the product of the first matrix, the second matrix and the transposed matrix of the first matrix. Since the decomposition does not involve a square root operation, the solution for matrix inversion provided in this embodiment can reduce the complexity of the operation.
步骤330,根据第一矩阵的逆矩阵和第二矩阵的逆矩阵,得到第三矩阵。Step 330: Obtain a third matrix according to the inverse matrix of the first matrix and the inverse matrix of the second matrix.
在本申请实施例中,终端能够在自相关矩阵完成分解后,根据分解得到的第一矩阵的逆矩阵和第二举证的逆矩阵,得到第三矩阵。需要说明的是,由于第一矩阵和第二矩阵在分解过程中都已将其中的元素计算完成。因此,为了便于后续计算,引入第三矩阵。第三矩阵可以是第一矩阵的逆矩阵以及第二矩阵的逆矩阵的乘积。In the embodiment of the present application, after the autocorrelation matrix is decomposed, the terminal can obtain the third matrix according to the inverse matrix of the first matrix and the inverse matrix of the second proof obtained by decomposing. It should be noted that, since the elements of the first matrix and the second matrix have been calculated in the decomposition process. Therefore, in order to facilitate subsequent calculations, a third matrix is introduced. The third matrix may be the product of the inverse of the first matrix and the inverse of the second matrix.
步骤340,根据第三矩阵和第一矩阵的转置矩阵,计算自相关矩阵的逆矩阵。Step 340: Calculate the inverse matrix of the autocorrelation matrix according to the third matrix and the transposed matrix of the first matrix.
在本申请实施例中,终端将根据作为中间量的第三矩阵和第一矩阵的转置矩阵,计算自相关矩阵的逆矩阵。需要说明的是,由于第一矩阵和第二矩阵在前述步骤中均以计算得到。因此,在本步骤中,自相关矩阵中的每一个元素,需要结合第三矩阵和第一矩阵的转置矩阵进行计算。In this embodiment of the present application, the terminal will calculate the inverse matrix of the autocorrelation matrix according to the third matrix as the intermediate quantity and the transposed matrix of the first matrix. It should be noted that, since the first matrix and the second matrix are obtained by calculation in the foregoing steps. Therefore, in this step, each element in the autocorrelation matrix needs to be calculated in combination with the third matrix and the transposed matrix of the first matrix.
步骤350,根据自相关矩阵的逆矩阵和相应的互相关矩阵,获取通信参数,通信参数用于提高所述通信信号的质量。Step 350: Obtain communication parameters according to the inverse matrix of the autocorrelation matrix and the corresponding cross-correlation matrix, and the communication parameters are used to improve the quality of the communication signal.
在本申请实施例提供的应用场景中,终端能够根据自相关矩阵的逆矩阵和相应的互相关矩阵,获取通信参数,该通信参数用于提高所述通信信号的质量。In the application scenario provided by the embodiment of the present application, the terminal can obtain the communication parameter according to the inverse matrix of the autocorrelation matrix and the corresponding cross-correlation matrix, and the communication parameter is used to improve the quality of the communication signal.
在本申请中,通信信号既可以是接收信号,也可以是发射信号,本申请实施例对该应用场景不作限定。本申请实施例能够应用在通信信号的处理过程中,通过对通信信号的自相关矩阵进行处理,最终得到通信参数,再通过通信参数对通信信号进行优化,最终提高通信信号的信号质量。In this application, the communication signal may be either a received signal or a transmitted signal, and the embodiment of the present application does not limit the application scenario. The embodiments of the present application can be applied in the process of processing communication signals, by processing the autocorrelation matrix of the communication signals, finally obtaining communication parameters, and then optimizing the communication signals through the communication parameters, and finally improving the signal quality of the communication signals.
在一种可能的实现方式中,终端还能够将上述步骤中针对矩阵求逆过程的模块进行封装,形成独立的运算组件,应用于通信领域其它需要执行矩阵求逆的过程。例如,针对矩阵求逆过程可以封装成IP,应用于信号解调或者信道状态反馈模块的白化矩阵计算过程中的矩阵求逆。In a possible implementation manner, the terminal can also encapsulate the modules for the matrix inversion process in the above steps to form an independent computing component, which is applied to other processes in the communication field that need to perform matrix inversion. For example, the matrix inversion process can be encapsulated into an IP, which is applied to the matrix inversion in the process of signal demodulation or the whitening matrix calculation process of the channel state feedback module.
综上所述,在本申请提供的获取通信参数的方法中,终端能够在获取通信信号的自相关矩阵之后,采用先分解再求逆矩阵的方式获取自相关矩阵的逆矩阵。在具体的执行过程中,终端能够将自相关矩阵分解为第一矩阵、第二矩阵和第一矩阵的转置矩阵的乘积的形式,随后使用上述已解出的第一矩阵的逆矩阵和第二矩阵的逆矩阵获得第三矩阵,随后,结合第一矩阵的转置矩阵,可以计算得到自相关矩阵的逆矩阵,基于该逆矩阵和相应的互相关矩阵,终端能够获取相应的用于提高通信信号的质量的通信参数。由于自相关矩阵的分解过程中避免了Cholesky分解中涉及的开方运算,降低了计算通信参数的复杂度,提高了获取通信参数的效率。To sum up, in the method for obtaining communication parameters provided by the present application, after obtaining the autocorrelation matrix of the communication signal, the terminal can obtain the inverse matrix of the autocorrelation matrix by first decomposing and then finding the inverse matrix. In the specific execution process, the terminal can decompose the autocorrelation matrix into the form of the product of the first matrix, the second matrix and the transposed matrix of the first matrix, and then use the inverse matrix of the first matrix and the first matrix solved above. The inverse matrix of the second matrix obtains the third matrix. Then, combined with the transposed matrix of the first matrix, the inverse matrix of the autocorrelation matrix can be calculated. Based on the inverse matrix and the corresponding cross-correlation matrix, the terminal can obtain the corresponding Communication parameter of the quality of the communication signal. Since the square root operation involved in the Cholesky decomposition is avoided in the decomposition process of the autocorrelation matrix, the complexity of calculating the communication parameters is reduced, and the efficiency of obtaining the communication parameters is improved.
基于上一个实施例所公开的方案,终端还能够详细地从下述四个方面对基于矩阵求逆的获取通信参数的方案进行优化。(1)使用LDLH分解替代传统的Cholesky分解;(2)对输入的自相关矩阵进行预处理,也即对输入数据进行保护处理;(3)采用后向递归循环迭代得到目标矩阵Φ的逆矩阵Φ-1;(4)在整个维纳滤波系数计算过程中,增加可逆性和有效性判断模块。详情请参考如下实施例。Based on the solution disclosed in the previous embodiment, the terminal can further optimize the solution for acquiring communication parameters based on matrix inversion from the following four aspects in detail. (1) Use LDLH decomposition to replace the traditional Cholesky decomposition; (2) Preprocess the input autocorrelation matrix, that is, protect the input data; (3) Use backward recursive loop iteration to obtain the inverse of the target matrix Φ Matrix Φ-1 ; (4) In the whole process of Wiener filter coefficient calculation, add reversibility and validity judgment module. For details, please refer to the following examples.
请参见图4,图4是本申请另一个示例性实施例提供的一种获取通信参数的方法流程图。该获取通信参数的方法可以应用在上述所示的终端中。在图4中,该获取通信参数的方法包括:Please refer to FIG. 4 , which is a flowchart of a method for acquiring communication parameters provided by another exemplary embodiment of the present application. The method for acquiring communication parameters can be applied to the terminals shown above. In Figure 4, the method for acquiring communication parameters includes:
步骤411,获取信道的信噪比。Step 411: Obtain the signal-to-noise ratio of the channel.
在本申请实施例中,终端能够在计算自相关矩阵前,通过指定的硬件组件或者数据通道获取信道的信噪比。In this embodiment of the present application, the terminal can obtain the signal-to-noise ratio of the channel through a specified hardware component or data channel before calculating the autocorrelation matrix.
步骤412,获取导频距离图样。
示意性的,终端能够获取相应的导频距离图样。Illustratively, the terminal can obtain the corresponding pilot distance pattern.
步骤413,获取相关系数。
在本申请实施例中,相关系数可以包括统计相关系数和估计相关系数。In this embodiment of the present application, the correlation coefficient may include a statistical correlation coefficient and an estimated correlation coefficient.
步骤414,根据信道的信噪比、导频距离图样和相关系数,计算自相关矩阵。Step 414: Calculate the autocorrelation matrix according to the signal-to-noise ratio of the channel, the pilot distance pattern and the correlation coefficient.
步骤415,响应于信道的信噪比大于第一门限值,将自相关矩阵的主对角线元素加目标增量,目标增量为正数。
其中,在本申请实施例中,通信参数包括信道估计系数。Wherein, in this embodiment of the present application, the communication parameters include channel estimation coefficients.
步骤421,响应于自相关矩阵中的最大数值的元素位于主对角线上,对自相关矩阵进行矩阵分解,得到第一矩阵和第二矩阵。Step 421, in response to the element with the largest value in the autocorrelation matrix being located on the main diagonal, perform matrix decomposition on the autocorrelation matrix to obtain a first matrix and a second matrix.
步骤422,响应于第二矩阵的主对角线元素的绝对值小于等于第二门限值,将统计相关系数作为相关系数。Step 422, in response to the absolute value of the main diagonal elements of the second matrix being less than or equal to the second threshold value, use the statistical correlation coefficient as the correlation coefficient.
步骤423,响应于第二矩阵的主对角线元素为负数,将统计相关系数作为相关系数。
步骤424,响应于自相关矩阵中的最大数值的元素位于主对角线之外,将统计相关系数作为相关系数。
示意性的,当终端将统计相关系数作为通信系数之后,终端将重新按照统计相关系数计算自相关矩阵,也即重新执行步骤413及后续步骤。Illustratively, after the terminal uses the statistical correlation coefficient as the communication coefficient, the terminal will recalculate the autocorrelation matrix according to the statistical correlation coefficient, that is,
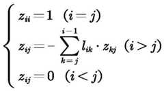
步骤431,根据第二矩阵的主对角线元素,获得第三矩阵的主对角线元素,第二矩阵的主对角线元素和第三矩阵的主对角线元素互为倒数。Step 431: Obtain the main diagonal elements of the third matrix according to the main diagonal elements of the second matrix, and the main diagonal elements of the second matrix and the main diagonal elements of the third matrix are reciprocals of each other.
步骤432,根据第一矩阵的元素的数值,得到第一矩阵的转置矩阵的元素的数值。Step 432: Obtain the value of the element of the transposed matrix of the first matrix according to the value of the element of the first matrix.
步骤433,针对自相关矩阵的逆矩阵的上三角区域,响应于元素所在行数最大且所在列数最大,计算元素的数值。
需要说明的是,若一个元素是第i行第j列的元素,则该元素的行数是i,该元素的列数是j。It should be noted that if an element is an element in the i-th row and the j-th column, the row number of the element is i, and the column number of the element is j.
在另一种可能的实施方式中,终端可以通过执行步骤(1)和步骤(2)来实现步骤433中所示的计算元素的数值。In another possible implementation manner, the terminal may implement the value of the calculation element shown in
步骤(1),针对自相关矩阵的逆矩阵的上三角区域中的元素,确定没有计算得到出数值的待计算元素。Step (1), for the elements in the upper triangular region of the inverse matrix of the autocorrelation matrix, determine the elements to be calculated for which no numerical value has been obtained by calculation.
步骤(2),响应于待计算元素所在行数最大且所在列数最大,计算待计算元素的数值。Step (2), in response to the element to be calculated having the largest number of rows and the largest number of columns, calculating the value of the element to be calculated.
步骤441,根据自相关矩阵和相应的互相关矩阵,计算维纳滤波系数。Step 441: Calculate the Wiener filter coefficients according to the autocorrelation matrix and the corresponding cross-correlation matrix.
步骤442,响应于维纳滤波系数的实部或虚部的绝对值大于第三门限值,将统计相关系数作为相关系数。
步骤443,响应于维纳滤波系数向量的和的平方值大于第四门限值,将统计相关系数作为相关系数。
综上所述,在本申请提供的获取通信参数的方法中,终端能够通过信噪比、导频距离图样和相关系数确定自相关矩阵,在获取通信信号的自相关矩阵之后,采用先分解再求逆矩阵的方式获取自相关矩阵的逆矩阵。在具体的执行过程中,终端能够将自相关矩阵分解为第一矩阵、第二矩阵和第一矩阵的转置矩阵的乘积的形式,随后使用上述已解出的第一矩阵的逆矩阵和第二矩阵的逆矩阵获得第三矩阵,随后,结合第一矩阵的转置矩阵,可以计算得到自相关矩阵的逆矩阵,基于该逆矩阵和相应的互相关矩阵,终端能够获取相应的用于提高通信信号的质量的通信参数。由于自相关矩阵的分解过程中避免了Cholesky分解中涉及的开方运算,降低了计算通信参数的复杂度,提高了获取通信参数的效率。To sum up, in the method for obtaining communication parameters provided by the present application, the terminal can determine the autocorrelation matrix through the signal-to-noise ratio, the pilot frequency distance pattern and the correlation coefficient. The inverse matrix of the autocorrelation matrix is obtained by finding the inverse matrix. In the specific execution process, the terminal can decompose the autocorrelation matrix into the form of the product of the first matrix, the second matrix and the transposed matrix of the first matrix, and then use the inverse matrix of the first matrix and the first matrix solved above. The inverse matrix of the second matrix obtains the third matrix. Then, combined with the transposed matrix of the first matrix, the inverse matrix of the autocorrelation matrix can be calculated. Based on the inverse matrix and the corresponding cross-correlation matrix, the terminal can obtain the corresponding Communication parameter of the quality of the communication signal. Since the square root operation involved in the Cholesky decomposition is avoided in the decomposition process of the autocorrelation matrix, the complexity of calculating the communication parameters is reduced, and the efficiency of obtaining the communication parameters is improved.
本实施例提供的获取通信参数的方法,还能够对输入目标矩阵进行自相关矩阵调整过程,也即输入数据进行保护处理,从数据源头降低矩阵发生不可逆的概率。提高了矩阵求逆过程的鲁棒性,避免发生不可逆时带来的控制复杂度和计算复杂度的提升。The method for obtaining communication parameters provided in this embodiment can also perform an autocorrelation matrix adjustment process on the input target matrix, that is, perform protection processing on the input data, so as to reduce the probability that the matrix is irreversible from the data source. The robustness of the matrix inversion process is improved, and the increase in control complexity and computational complexity caused by irreversibility is avoided.
本实施例提供的获取通信参数的方法,还能够在矩阵求逆进行分解的过程中,使用第一矩阵和第二矩阵的分解过程代替了传统的矩阵分解过程中的开方运算,简化了系统实现复杂度。The method for obtaining communication parameters provided in this embodiment can also use the decomposition process of the first matrix and the second matrix to replace the square root operation in the traditional matrix decomposition process in the process of matrix inversion and decomposition, which simplifies the system. Implementation complexity.
本实施例提供的获取通信参数的方法,还能够通过多次可逆性判断和有效性判断,保证维纳系数计算结果的可靠性。The method for obtaining communication parameters provided by this embodiment can also ensure the reliability of the Wiener coefficient calculation result through multiple reversibility judgments and validity judgments.
请参见图5,图5是本申请实施例提供的一种获取通信参数的方法示意图。在图5所示的实现过程中,包括下列7个阶段。Referring to FIG. 5 , FIG. 5 is a schematic diagram of a method for acquiring communication parameters provided by an embodiment of the present application. In the implementation process shown in Figure 5, the following seven stages are included.
阶段(1)相关系数选择判断。Stage (1) Correlation coefficient selection judgment.
根据可逆性判断模块1输出的判断指示1,或可逆性判断模块2输出的判断指示2,或系数有效性判断模块3输出的判断指示3,若三个判断指示中,有任意一个判断指示值为“No”,则选择“统计相关系数”作为相关系数选择判断模块的输出;否则,选择“估计相关系数”作为相关系数选择判断模块的输出。According to the judgment indication 1 output by the reversibility judgment module 1, or the judgment indication 2 output by the reversibility judgment module 2, or the judgment indication 3 output by the coefficient validity judgment module 3, if any of the three judgment indications has a judgment indication value If it is "No", select "Statistical correlation coefficient" as the output of the correlation coefficient selection judgment module; otherwise, select "Estimated correlation coefficient" as the output of the correlation coefficient selection judgment module.
在初始状态,(1)还没有得到“估计相关系数”时,选择“统计相关系数”作为相关系数选择判断模块的输出。(2)当能够得到“估计相关系数”时(即用于估计相关系数的模块开始存在有效输出时),默认使用“估计相关系数”作为相关系数选择判断模块的输出。In the initial state, (1) when the "estimated correlation coefficient" has not been obtained, select the "statistical correlation coefficient" as the output of the correlation coefficient selection judgment module. (2) When the "estimated correlation coefficient" can be obtained (that is, when the module for estimating correlation coefficient begins to have valid output), the "estimated correlation coefficient" is used by default as the output of the correlation coefficient selection judgment module.
阶段(2)自相关矩阵Φ和互相关矩阵Θ计算Stage (2) Autocorrelation matrix Φ and cross-correlation matrix Θ calculation
使用相关系数选择判断模块输出的相关系数,信噪比SNR估计模块输出的SNR值,以及导频距离图样计算模块输出的导频距离图样,来计算信道估计自相关矩阵Φ。使用相关系数选择判断模块输出的相关系数,以及导频距离图样计算模块输出的导频距离图样,来计算信道估计互相关矩阵Θ。Use the correlation coefficient output by the correlation coefficient selection judgment module, the SNR value output by the signal-to-noise ratio SNR estimation module, and the pilot distance pattern output by the pilot distance pattern calculation module to calculate the channel estimation autocorrelation matrix Φ. The channel estimation cross-correlation matrix Θ is calculated by using the correlation coefficient output by the correlation coefficient selection judgment module and the pilot frequency distance pattern output by the pilot frequency distance pattern calculation module.
自相关矩阵的计算方法为:The calculation method of the autocorrelation matrix is:
其中,R(Δk)是阶段(1)中相关系数选择判断模块的输出。Δk=kj-ki是RS REj和RS REi之间的距离。是噪声功率。I是一个N×N的单位阵。Among them, R(Δk) is the output of the correlation coefficient selection and judgment module in stage (1). Δk=kj−ki is the distance between RS REj and RS REi. is the noise power. I is an N×N identity matrix.
互相关矩阵的计算方法为:The calculation method of the cross-correlation matrix is:
Φhh′=[R(k0-ki)R(k1-ki)…R(kN-1-ki)]Φhh′ = [R(k0 -ki )R(k1 -ki )...R(kN-1 -ki )]
其中,R(Δk)是阶段(1)中相关系数选择判断模块的输出。Δk=kj-ki是RS REj和滤波输出位置REi的距离。Among them, R(Δk) is the output of the correlation coefficient selection and judgment module in stage (1). Δk = kj - ki is the distance between the RS REj and the filtered output position REi.
阶段(3)自相关矩阵调整。Stage (3) Autocorrelation matrix adjustment.
对阶段(2)中计算得到的自相关矩阵,进行如下调整:The autocorrelation matrix calculated in stage (2) is adjusted as follows:
若阶段(2)中计算自相关矩阵使用的SNR值大于TH1(门限值1)dB,则在自相关矩阵的主对角线元素上,加上10^(-TH1/10);否则,此模块透传。If the SNR value used to calculate the autocorrelation matrix in stage (2) is greater than TH1 (threshold value 1) dB, add 10^(-TH1/10) to the main diagonal elements of the autocorrelation matrix; otherwise, This module is transparently transmitted.
阶段(4)可逆性判断1模块。Stage (4) Reversibility judgment 1 module.
统计自相关矩阵Φ中所有元素的最大值以及最大值在矩阵中的位置,若最大值出现在Φ的主对角线上,则可逆性判断1模块输出判断指示值为“Yes”,继续进行下一步的LDLH分解操作;否则,输出判断指示值为“No”,此时本次系数计算过程终止,跳回到1中进行相关系数选择判断,选择“统计相关系数”作为相关系数选择判断模块的输出,并重复阶段(1)至阶段(4)进行计算。Count the maximum value of all elements in the autocorrelation matrix Φ and the position of the maximum value in the matrix. If the maximum value appears on the main diagonal of Φ, the reversibility judgment module 1 outputs the judgment indication value of "Yes", and continues. The next step is the LDLH decomposition operation; otherwise, the output judgment indication value is "No", and the coefficient calculation process is terminated at this time, and jump back to 1 to perform the correlation coefficient selection judgment, and select "Statistical correlation coefficient" as the correlation coefficient selection judgment. output of the module, and repeat stages (1) to (4) for calculation.
阶段(5)LDLH分解操作。Stage (5) LDLH decomposition operation.
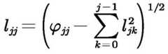
若目标矩阵Φ为一对称矩阵且其所有顺序主子式均不为零时,则Φ可以唯一的分解为:If the target matrix Φ is a symmetric matrix and all its sequential main subforms are not zero, then Φ can be uniquely decomposed into:
Φ=LDLHΦ=LDLH
其中,L为一个下三角矩阵且主对角线元素为1,D为一个对角矩阵(只在主对角线元素上有非零值),D=diag(dii)。即,Among them, L is a lower triangular matrix and the main diagonal element is 1, D is a diagonal matrix (only the main diagonal elements have non-zero values), D=diag(dii ). which is,
ljj=1(j=0,…,(N-1))ljj =1(j=0,...,(N-1))
在上述算式中,Cholesky分解法运算过程中涉及到开方操作计算复杂度高的问题,在LDLH分解法中则避免了这一问题。In the above formula, the calculation process of the Cholesky decomposition method involves the problem of high computational complexity of the square root operation, which is avoided in the LDLH decomposition method.
示意性的,使用LDLH分解求得的L矩阵和D矩阵,可以根据所求逆矩阵Φ-1和L及D矩阵的理论关系,对L矩阵和D矩阵分别求逆,再进行矩阵相乘,得到目标矩阵的逆矩阵。Illustratively, using the L matrix and D matrix obtained by the LDLH decomposition, the L matrix and the D matrix can be inverted respectively according to the theoretical relationship between the inverse matrix Φ-1 and the L and D matrices, and then the matrix multiplication can be performed. , get the inverse of the target matrix.
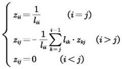
阶段(6)可逆性判断2模块。Stage (6) Reversibility Judgment 2 Module.
示意性的,在阶段(5)中的LDLH分解过程中,需要对分解得到的D矩阵元素进行数值分析,若满足:D矩阵主对角线元素的绝对值<=TH2(第二门限值),或,D矩阵主对角线元素为负值,则,可逆性判断1模块输出判断指示值为“No”,此时本次系数计算过程终止,跳回到阶段(1)中进行相关系数选择判断,选择“统计相关系数”作为相关系数选择判断模块的输出,并重复阶段(1)至阶段(6)进行计算;否则,输出判断指示值为“Yes”,启动阶段(7)中后向递归求逆的过程。Illustratively, in the LDLH decomposition process in stage (5), it is necessary to carry out numerical analysis on the elements of the D matrix obtained by the decomposition, if the following conditions are met: the absolute value of the main diagonal elements of the D matrix <= TH2 (the second threshold value), or, if the main diagonal element of the D matrix is negative, then the output judgment indication value of the reversibility judgment 1 module is "No", at this time, the coefficient calculation process is terminated, and it jumps back to stage (1) to carry out Correlation coefficient selection judgment, select "statistical correlation coefficient" as the output of the correlation coefficient selection judgment module, and repeat the calculation from stage (1) to stage (6); otherwise, the output judgment indication value is "Yes", and the stage (7) is started. The process of backward recursive inversion.
阶段(7),后向递归求逆。Stage (7), backward recursive inversion.
在方案(7-1)中,通常在对目标矩阵进行LDLH分解后,求解目标矩阵Φ-1的逆矩阵的方法为:In scheme (7-1), usually after the target matrix is decomposed by LDLH , the method for solving the inverse matrix of the target matrix Φ-1 is:
Φ-1=(LDLH)-1=(L-1)HD-1L-1Φ-1 =(LDLH )-1 =(L-1 )H D-1 L-1
令Z=L-1,即Let Z=L-1 , that is
则Φ-1=ZHD-1Z。Then Φ-1 =ZH D-1 Z.
在方案(7-2)中,对目标矩阵进行LDLH分解后,不再基于上述描述中逆矩阵Φ-1和LDLH分解得到的L矩阵和D矩阵的理论关系进行求逆。而是根据上三角矩阵的特点,采用按列后向递归循环迭代得到目标矩阵的逆矩阵,从而进一步简化求逆计算复杂度。具体的后向递归求逆方法为:In the solution (7-2), after the LDLH decomposition is performed on the target matrix, the inversion is no longer performed based on the theoretical relationship between the L matrix and the D matrix obtained by the inverse matrix Φ-1 and the LDLH decomposition in the above description. Instead, according to the characteristics of the upper triangular matrix, the inverse matrix of the target matrix is obtained by the column-wise backward recursive loop iteration, thereby further simplifying the computational complexity of the inversion. The specific backward recursive inversion method is:
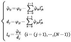
令Φ-1=P,Let Φ-1 =P,
令B=D-1L-1,则Let B=D-1 L-1 , then
LHP=BLH P = B
令LH=M,则Let LH =M, then
MP=BMP=B
将上式写成矩阵元素的形式(以输入Φ矩阵为3x3矩阵为例),即Write the above formula in the form of matrix elements (take the input Φ matrix as an example of a 3x3 matrix), that is
可以看到,由于自相关矩阵和其逆矩阵均为Hermitian矩阵,因此P矩阵可以直接表示成共轭对称矩阵的形式。It can be seen that since the autocorrelation matrix and its inverse matrix are both Hermitian matrices, the P matrix can be directly expressed in the form of a conjugate symmetric matrix.
对于等式右侧B矩阵的各个元素,按列后向递归的顺序为:For each element of the B matrix on the right side of the equation, the order of column backward recursion is:
此时,可以看到,在按列后向递归循环迭代求解逆矩阵P的过程中,只有B矩阵的主对角线元素{bii},i=0,…,(N-1)参与了运算,N为输入Φ矩阵的维度。因此,B矩阵的计算可以简化为主对角元素{bii}的计算,即不需要计算B矩阵除主对角元素以外的其他下三角元素。主对角元素{bii}的计算方法为:At this point, it can be seen that only the main diagonal elements {bii }, i=0, ..., (N-1) of the B matrix participate in the process of iteratively solving the inverse matrix P by the column backward recursive loop. Operation, N is the dimension of the input Φ matrix. Therefore, the calculation of the B matrix can be simplified to the calculation of the main diagonal elements {bii }, that is, there is no need to calculate other lower triangular elements of the B matrix except the main diagonal elements. The main diagonal element {bii } is calculated as:
其中,dii为D矩阵的主对角线元素,即where dii is the main diagonal element of the D matrix, that is
D=diag(dii)D=diag(dii )
dii在阶段(5)中已经计算得到。dii has been calculated in stage (5).
M矩阵可以由阶段(5)中计算得到的L矩阵,进行简单的共轭转置操作后得到,即The M matrix can be obtained from the L matrix calculated in stage (5) after a simple conjugate transpose operation, namely
P矩阵的计算公式为:The formula for calculating the P matrix is:
当i>j时,When i>j,
阶段(8),维纳滤波系数的计算。Stage (8), calculation of Wiener filter coefficients.
由阶段(2)中计算的互相关矩阵Φ和阶段(7)中计算的自相关矩阵的逆矩阵Φ-1,计算维纳滤波系数W=ΘΦ-1。From the cross-correlation matrix Φ calculated in stage (2) and the inverse matrix Φ-1 of the autocorrelation matrix calculated in stage (7), the Wiener filter coefficient W=ΘΦ-1 is calculated.
阶段(9),系数有效性判断3模块。Stage (9), coefficient validity judgment module 3.
对阶段(8)中计算的维纳滤波系数,进行系数有效性判断,若满足:任意一个维纳系数的实部或虚部的绝对值>TH3,或,一个维纳滤波系数向量的和的平方值>TH4,则,有效性判断3模块输出判断指示值为“No”,此时本次系数计算过程终止,跳回到阶段(1)中进行相关系数选择判断,选择“统计相关系数”作为相关系数选择判断模块的输出,并重复步骤阶段(1)至阶段(8)进行计算维纳滤波系数,并输出给滤波模块;否则,输出判断指示值为“Yes”,将当前计算的维纳滤波系数,输出给滤波模块。For the Wiener filter coefficients calculated in stage (8), the validity of the coefficients is judged, if it satisfies: the absolute value of the real part or imaginary part of any Wiener coefficient> TH3, or, the sum of a Wiener filter coefficient vector If the squared value > TH4, then the output judgment indication value of the validity judgment module 3 is "No". At this time, the coefficient calculation process is terminated, and jump back to the stage (1) to select the correlation coefficient and select "Statistical correlation coefficient". Select the output of the judgment module as the correlation coefficient, and repeat the steps (1) to (8) to calculate the Wiener filter coefficient, and output to the filter module; otherwise, the output judgment indication value is "Yes", and the currently calculated dimension Nano filter coefficient, output to filter module.
其中,TH3(第三门限)和TH4(第四门限)为预设的可通过软件进行配置的门限值。Among them, TH3 (third threshold) and TH4 (fourth threshold) are preset threshold values that can be configured through software.
阶段(9)中输出的,即为系数计算模块最终输出的维纳滤波系数,可提供给后续信道估计滤波模块用于信道估计维纳滤波。The output in stage (9) is the Wiener filter coefficient finally output by the coefficient calculation module, which can be provided to the subsequent channel estimation filter module for channel estimation Wiener filter.
请参见图6和图7,图6是图5所示方案中两种可能的实现方式之间的乘法复杂度的比较示意图。图7是图5所示方案中两种可能的实现方式之间的加法复杂度的比较示意图。由图6和图7所示的内容可知,图5所示方案以及图4所示方案能够降低终端求取通信参数的复杂度。Please refer to FIG. 6 and FIG. 7 . FIG. 6 is a schematic diagram showing the comparison of multiplication complexity between two possible implementations in the solution shown in FIG. 5 . FIG. 7 is a schematic diagram illustrating the comparison of the addition complexity between two possible implementations in the solution shown in FIG. 5 . It can be known from the contents shown in FIG. 6 and FIG. 7 that the solution shown in FIG. 5 and the solution shown in FIG. 4 can reduce the complexity of obtaining the communication parameters by the terminal.
在图6中,曲线610表示图5所示方案中阶段(7)中的方案(7-1)的乘法复杂度,曲线620表示图5所示方案中阶段(7)后向递归求逆中方案(7-2)的乘法复杂度。In FIG. 6, the
在图7中,曲线710表示图5所示方案中阶段(7)中的方案(7-1)的加法复杂度,曲线720表示图5所示方案中阶段(7)后向递归求逆中方案(7-2)的加法复杂度。In FIG. 7, the
图6和图7所分析的自相关矩阵的维度包括4×4,8×8,12×12,16×16,20×20。结合图6和图7,可以看到,方案(7-2)的求逆方式(图中标示为Target Method),会比直接求逆的方法(图中标示为Legacy Method)复杂度降低很多。以矩阵维度为12x12为例,使用方案(7-2),需要572次复乘(复数乘法)+495次复加(复数加法),而方案(7-1)的求逆方案需要936次复乘+726次复加。当矩阵维度扩大为20x20时,使用方案(7-2),需要2660次复乘+2451次复加,而方案(7-1)需要4200次复乘+3610次复加。这里所描述的计算复杂度,是针对单个矩阵求逆的计算复杂度进行的比较。在实际产品中,通常在一个时隙(slot)中,会计算几十个甚至上百个矩阵的逆矩阵,此时使用本方案中推荐的后向递归求逆方案,系统复杂度降低的绝对数量会更加明显。The dimensions of the autocorrelation matrix analyzed in Figures 6 and 7 include 4×4, 8×8, 12×12, 16×16, 20×20. Combining Figures 6 and 7, it can be seen that the inversion method of Scheme (7-2) (marked as Target Method in the figure) is much less complex than the direct inversion method (marked as Legacy Method in the figure). Taking the matrix dimension of 12x12 as an example, using scheme (7-2) requires 572 complex multiplications (complex multiplication) + 495 complex additions (complex addition), while the inversion scheme of scheme (7-1) requires 936 complex additions. Multiply +726 times to add. When the matrix dimension is expanded to 20x20, using scheme (7-2) requires 2660 complex multiplications + 2451 complex additions, while scheme (7-1) requires 4200 complex multiplications + 3610 complex additions. The computational complexity described here is a comparison of the computational complexity of a single matrix inversion. In actual products, the inverse matrices of dozens or even hundreds of matrices are usually calculated in a time slot. At this time, the backward recursive inversion scheme recommended in this scheme is used, and the system complexity is absolutely reduced. The number will be more obvious.
本实施例提供的获取通信参数的方法,能够对输入目标矩阵进行自相关矩阵调整过程,也即输入数据进行保护处理,从数据源头降低矩阵发生不可逆的概率。提高了矩阵求逆过程的鲁棒性,避免发生不可逆时带来的控制复杂度和计算复杂度的提升。The method for obtaining communication parameters provided by this embodiment can perform an autocorrelation matrix adjustment process on the input target matrix, that is, perform protection processing on the input data, so as to reduce the probability that the matrix is irreversible from the data source. The robustness of the matrix inversion process is improved, and the increase in control complexity and computational complexity caused by irreversibility is avoided.
本实施例提供的获取通信参数的方法,还能够在矩阵求逆进行分解的过程中,使用第一矩阵和第二矩阵的分解过程代替了传统的矩阵分解过程中的开方运算,简化了系统实现复杂度。The method for obtaining communication parameters provided in this embodiment can also use the decomposition process of the first matrix and the second matrix to replace the square root operation in the traditional matrix decomposition process in the process of matrix inversion and decomposition, which simplifies the system. Implementation complexity.
本实施例提供的获取通信参数的方法,还能够通过多次可逆性判断和有效性判断,保证维纳系数计算结果的可靠性。The method for obtaining communication parameters provided by this embodiment can also ensure the reliability of the Wiener coefficient calculation result through multiple reversibility judgments and validity judgments.
下述为本申请装置实施例,可以用于执行本申请方法实施例。对于本申请装置实施例中未披露的细节,请参照本申请方法实施例。The following are apparatus embodiments of the present application, which can be used to execute the method embodiments of the present application. For details not disclosed in the device embodiments of the present application, please refer to the method embodiments of the present application.
请参考图8,图8是本申请一个示例性实施例提供的获取通信参数的装置的结构框图。该获取通信参数的装置可以通过软件、硬件或者两者的结合实现成为终端的全部或一部分。该装置包括:Please refer to FIG. 8 , which is a structural block diagram of an apparatus for acquiring communication parameters provided by an exemplary embodiment of the present application. The device for acquiring communication parameters can be implemented as all or a part of the terminal through software, hardware or a combination of the two. The device includes:
矩阵获取模块810,用于获取通信信号的自相关矩阵;a
矩阵分解模块820,用于对所述自相关矩阵进行矩阵分解,得到第一矩阵和第二矩阵,所述自相关矩阵为所述第一矩阵、所述第二矩阵和所述第一矩阵的转置矩阵的乘积;A
矩阵计算模块830,用于根据所述第一矩阵的逆矩阵和所述第二矩阵的逆矩阵,得到第三矩阵;a
矩阵求逆模块840,用于根据所述第三矩阵和所述第一矩阵的转置矩阵,计算所述自相关矩阵的逆矩阵;a
参数获取模块850,用于根据所述自相关矩阵的逆矩阵和相应的互相关矩阵,获取通信参数,所述通信参数用于提高所述通信信号的质量。A
在一个可选的实施例中,所述矩阵求逆模块840,用于根据所述第二矩阵的主对角线元素,获得所述第三矩阵的主对角线元素,所述第二矩阵的主对角线元素和所述第三矩阵的主对角线元素互为倒数;根据所述第一矩阵的元素的数值,得到所述第一矩阵的转置矩阵的元素的数值;针对所述自相关矩阵的逆矩阵的上三角区域,响应于元素所在行数最大且所在列数最大,计算所述元素的数值。In an optional embodiment, the
在一个可选的实施例中,所述矩阵求逆模块840,用于针对所述自相关矩阵的逆矩阵的上三角区域中的元素,确定没有计算得到出数值的待计算元素;In an optional embodiment, the
响应于所述待计算元素所在行数最大且所在列数最大,计算所述待计算元素的数值。In response to the maximum number of rows and the maximum number of columns where the element to be calculated is located, the numerical value of the element to be calculated is calculated.
在一个可选的实施例中,所述矩阵获取模块810,用于获取信道的信噪比;获取导频距离图样;获取相关系数;根据所述信道的信噪比、所述导频距离图样和相关系数,计算所述自相关矩阵;响应于所述信道的信噪比大于第一门限值,将所述自相关矩阵的主对角线元素加目标增量,所述目标增量为正数。其中,所述通信参数包括信道估计系数。In an optional embodiment, the
在一个可选的实施例中,所述装置还包括执行模块,所述执行模块用于响应于所述自相关矩阵中的最大数值的元素位于主对角线上,执行所述对所述自相关矩阵进行矩阵分解,得到第一矩阵和第二矩阵的步骤;响应于所述自相关矩阵中的最大数值的元素位于主对角线之外,将统计相关系数作为所述相关系数。In an optional embodiment, the apparatus further includes an execution module, and the execution module is configured to execute the pairing of the autocorrelation matrix in response to the element with the largest value in the autocorrelation matrix being located on the main diagonal. The correlation matrix is subjected to matrix decomposition to obtain the first matrix and the second matrix; in response to the element with the largest value in the autocorrelation matrix being located outside the main diagonal, the statistical correlation coefficient is used as the correlation coefficient.
在一个可选的实施例中,所述执行模块还用于响应于所述第二矩阵的主对角线元素的绝对值小于等于第二门限值,将统计相关系数作为所述相关系数;或,响应于所述第二矩阵的主对角线元素为负数,将统计相关系数作为所述相关系数。In an optional embodiment, the executing module is further configured to use a statistical correlation coefficient as the correlation coefficient in response to the absolute value of the main diagonal element of the second matrix being less than or equal to a second threshold value; Or, in response to the main diagonal element of the second matrix being a negative number, a statistical correlation coefficient is used as the correlation coefficient.
在一个可选的实施例中,所述参数获取模块850,用于根据所述自相关矩阵和相应的互相关矩阵,计算维纳滤波系数;响应于维纳滤波系数的实部或虚部的绝对值大于第三门限值,将统计相关系数作为所述相关系数;或,响应于维纳滤波系数向量的和的平方值大于第四门限值,将统计相关系数作为所述相关系数。In an optional embodiment, the
在一个可选的实施例中,所述执行模块响应于所述维纳滤波系数的实部或虚部的绝对值小于等于所述第三门限值,且,所述维纳滤波系数向量的和的平方值小于等于所述第四门限值,根据所述维纳滤波系数处理通信信号。In an optional embodiment, the execution module responds that the absolute value of the real part or the imaginary part of the Wiener filter coefficient is less than or equal to the third threshold value, and the value of the Wiener filter coefficient vector is equal to or less than the third threshold value. The square value of the sum is less than or equal to the fourth threshold value, and the communication signal is processed according to the Wiener filter coefficient.
综上所述,在本申请提供的获取通信参数的装置中,终端能够在获取通信信号的自相关矩阵之后,采用先分解再求逆矩阵的方式获取自相关矩阵的逆矩阵。在具体的执行过程中,终端能够将自相关矩阵分解为第一矩阵、第二矩阵和第一矩阵的转置矩阵的乘积的形式,随后使用上述已解出的第一矩阵的逆矩阵和第二矩阵的逆矩阵获得第三矩阵,随后,结合第一矩阵的转置矩阵,可以计算得到自相关矩阵的逆矩阵,基于该逆矩阵和相应的互相关矩阵,终端能够获取相应的用于提高通信信号的质量的通信参数。由于自相关矩阵的分解过程中避免了Cholesky分解中涉及的开方运算,降低了计算通信参数的复杂度,提高了获取通信参数的效率。To sum up, in the apparatus for obtaining communication parameters provided by the present application, after obtaining the autocorrelation matrix of the communication signal, the terminal can obtain the inverse matrix of the autocorrelation matrix by first decomposing and then finding the inverse matrix. In the specific execution process, the terminal can decompose the autocorrelation matrix into the form of the product of the first matrix, the second matrix and the transposed matrix of the first matrix, and then use the inverse matrix of the first matrix and the first matrix solved above. The inverse matrix of the second matrix obtains the third matrix. Then, combined with the transposed matrix of the first matrix, the inverse matrix of the autocorrelation matrix can be calculated. Based on the inverse matrix and the corresponding cross-correlation matrix, the terminal can obtain the corresponding Communication parameter of the quality of the communication signal. Since the square root operation involved in the Cholesky decomposition is avoided in the decomposition process of the autocorrelation matrix, the complexity of calculating the communication parameters is reduced, and the efficiency of obtaining the communication parameters is improved.
本实施例提供的获取通信参数的装置,还能够对输入目标矩阵进行自相关矩阵调整过程,也即输入数据进行保护处理,从数据源头降低矩阵发生不可逆的概率。提高了矩阵求逆过程的鲁棒性,避免发生不可逆时带来的控制复杂度和计算复杂度的提升。The apparatus for obtaining communication parameters provided in this embodiment can also perform an autocorrelation matrix adjustment process on the input target matrix, that is, perform protection processing on the input data, so as to reduce the probability that the matrix is irreversible from the data source. The robustness of the matrix inversion process is improved, and the increase in control complexity and computational complexity caused by irreversibility is avoided.
本实施例提供的获取通信参数的装置,还能够在矩阵求逆进行分解的过程中,使用第一矩阵和第二矩阵的分解过程代替了传统的矩阵分解过程中的开方运算,简化了系统实现复杂度。The device for obtaining communication parameters provided in this embodiment can also use the decomposition process of the first matrix and the second matrix to replace the square root operation in the traditional matrix decomposition process in the process of matrix inversion and decomposition, which simplifies the system. Implementation complexity.
本实施例提供的获取通信参数的装置,还能够通过多次可逆性判断和有效性判断,保证维纳系数计算结果的可靠性。The device for acquiring communication parameters provided in this embodiment can also ensure the reliability of the Wiener coefficient calculation result through multiple reversibility judgments and validity judgments.
本申请实施例还提供了一种计算机可读介质,该计算机可读介质存储有至少一条指令,所述至少一条指令由所述处理器加载并执行以实现如上各个实施例所述的获取通信参数的方法。Embodiments of the present application further provide a computer-readable medium, where the computer-readable medium stores at least one instruction, and the at least one instruction is loaded and executed by the processor to implement the acquisition of communication parameters as described in the above embodiments Methods.
需要说明的是:上述实施例提供的获取通信参数的装置在执行获取通信参数的方法时,仅以上述各功能模块的划分进行举例说明,实际应用中,可以根据需要而将上述功能分配由不同的功能模块完成,即将设备的内部结构划分成不同的功能模块,以完成以上描述的全部或者部分功能。另外,上述实施例提供的获取通信参数的装置与获取通信参数的方法实施例属于同一构思,其具体实现过程详见方法实施例,这里不再赘述。It should be noted that when the apparatus for acquiring communication parameters provided in the above embodiments executes the method for acquiring communication parameters, only the division of the above functional modules is used as an example for illustration. The functional modules of the device are completed, that is, the internal structure of the device is divided into different functional modules to complete all or part of the functions described above. In addition, the apparatus for obtaining communication parameters provided in the above embodiments and the method embodiments for obtaining communication parameters belong to the same concept, and the specific implementation process thereof is detailed in the method embodiments, which will not be repeated here.
上述本申请实施例序号仅仅为了描述,不代表实施例的优劣。The above-mentioned serial numbers of the embodiments of the present application are only for description, and do not represent the advantages or disadvantages of the embodiments.
本领域普通技术人员可以理解实现上述实施例的全部或部分步骤可以通过硬件来完成,也可以通过程序来指令相关的硬件完成,所述的程序可以存储于一种计算机可读存储介质中,上述提到的存储介质可以是只读存储器,磁盘或光盘等。Those of ordinary skill in the art can understand that all or part of the steps of implementing the above embodiments can be completed by hardware, or can be completed by instructing relevant hardware through a program, and the program can be stored in a computer-readable storage medium. The storage medium mentioned may be a read-only memory, a magnetic disk or an optical disk, etc.
以上所述仅为本申请的能够实现的示例性的实施例,并不用以限制本申请,凡在本申请的精神和原则之内,所作的任何修改、等同替换、改进等,均应包含在本申请的保护范围之内。The above descriptions are only exemplary embodiments that can be implemented in the present application, and are not intended to limit the present application. Any modifications, equivalent replacements, improvements, etc. made within the spirit and principles of the present application shall be included in the within the scope of protection of this application.
| Application Number | Priority Date | Filing Date | Title |
|---|---|---|---|
| CN202010820423.3ACN111935746B (en) | 2020-08-14 | 2020-08-14 | Method, device, terminal and storage medium for acquiring communication parameters |
| Application Number | Priority Date | Filing Date | Title |
|---|---|---|---|
| CN202010820423.3ACN111935746B (en) | 2020-08-14 | 2020-08-14 | Method, device, terminal and storage medium for acquiring communication parameters |
| Publication Number | Publication Date |
|---|---|
| CN111935746Atrue CN111935746A (en) | 2020-11-13 |
| CN111935746B CN111935746B (en) | 2024-01-09 |
| Application Number | Title | Priority Date | Filing Date |
|---|---|---|---|
| CN202010820423.3AActiveCN111935746B (en) | 2020-08-14 | 2020-08-14 | Method, device, terminal and storage medium for acquiring communication parameters |
| Country | Link |
|---|---|
| CN (1) | CN111935746B (en) |
| Publication number | Priority date | Publication date | Assignee | Title |
|---|---|---|---|---|
| CN112816948A (en)* | 2020-12-31 | 2021-05-18 | 中国电子科技集团公司第十四研究所 | Method for realizing self-adaptive signal processing by using hermitian matrix symmetry |
| CN115022131A (en)* | 2022-05-25 | 2022-09-06 | Oppo广东移动通信有限公司 | Method, device, device and storage medium for generating Wiener filter coefficients |
| CN115277315A (en)* | 2022-07-21 | 2022-11-01 | 北京中科晶上科技股份有限公司 | LMMSE channel estimation method, device and signal processing system |
| CN115549739A (en)* | 2021-06-30 | 2022-12-30 | 华为技术有限公司 | A method and device for obtaining a precoding matrix |
| Publication number | Priority date | Publication date | Assignee | Title |
|---|---|---|---|---|
| CN102123127A (en)* | 2010-12-31 | 2011-07-13 | 意法·爱立信半导体(北京)有限公司 | Coefficient calculation method and coefficient calculation device of time-domain channel estimation filter |
| CN103532888A (en)* | 2012-07-02 | 2014-01-22 | 中兴通讯股份有限公司 | Data processing apparatus and method for eliminating interference |
| CN105426345A (en)* | 2015-12-25 | 2016-03-23 | 南京大学 | Matrix inverse operation method |
| WO2016172980A1 (en)* | 2015-04-30 | 2016-11-03 | 华为技术有限公司 | Channel estimation method and device, and terminal |
| CN107241070A (en)* | 2016-03-29 | 2017-10-10 | 大唐移动通信设备有限公司 | A kind of method, FPGA the and DPD processing systems of determination DPD coefficients |
| CN107483090A (en)* | 2017-09-07 | 2017-12-15 | 深圳清华大学研究院 | Realization method of massive MIMO system precoding based on LDLT decomposition |
| CN108595637A (en)* | 2018-04-25 | 2018-09-28 | 攀枝花学院 | Various visual angles correlation analysis method based on data distribution characteristics |
| CN108828655A (en)* | 2018-03-19 | 2018-11-16 | 中国石油天然气集团有限公司 | Processing method, device and the computer storage medium of trace gather record and stacked section |
| CN109740117A (en)* | 2019-01-31 | 2019-05-10 | 广东工业大学 | A Robust and Fast Magnetic Localization Algorithm |
| Publication number | Priority date | Publication date | Assignee | Title |
|---|---|---|---|---|
| CN102123127A (en)* | 2010-12-31 | 2011-07-13 | 意法·爱立信半导体(北京)有限公司 | Coefficient calculation method and coefficient calculation device of time-domain channel estimation filter |
| CN103532888A (en)* | 2012-07-02 | 2014-01-22 | 中兴通讯股份有限公司 | Data processing apparatus and method for eliminating interference |
| WO2016172980A1 (en)* | 2015-04-30 | 2016-11-03 | 华为技术有限公司 | Channel estimation method and device, and terminal |
| CN105426345A (en)* | 2015-12-25 | 2016-03-23 | 南京大学 | Matrix inverse operation method |
| CN107241070A (en)* | 2016-03-29 | 2017-10-10 | 大唐移动通信设备有限公司 | A kind of method, FPGA the and DPD processing systems of determination DPD coefficients |
| CN107483090A (en)* | 2017-09-07 | 2017-12-15 | 深圳清华大学研究院 | Realization method of massive MIMO system precoding based on LDLT decomposition |
| CN108828655A (en)* | 2018-03-19 | 2018-11-16 | 中国石油天然气集团有限公司 | Processing method, device and the computer storage medium of trace gather record and stacked section |
| CN108595637A (en)* | 2018-04-25 | 2018-09-28 | 攀枝花学院 | Various visual angles correlation analysis method based on data distribution characteristics |
| CN109740117A (en)* | 2019-01-31 | 2019-05-10 | 广东工业大学 | A Robust and Fast Magnetic Localization Algorithm |
| Title |
|---|
| 梁子豪等: "一种适用于MIMO系统MMSE检测的LDLT分解硬件实现", 《微电子学与计算机》* |
| 梁子豪等: "一种适用于MIMO系统MMSE检测的LDLT分解硬件实现", 《微电子学与计算机》, no. 08, 5 August 2018 (2018-08-05)* |
| 韩文俊等: "基于HLS的Cholesky分解矩阵求逆算法的设计", 《电子技术与软件工程》* |
| 韩文俊等: "基于HLS的Cholesky分解矩阵求逆算法的设计", 《电子技术与软件工程》, no. 17, 7 September 2018 (2018-09-07)* |
| Publication number | Priority date | Publication date | Assignee | Title |
|---|---|---|---|---|
| CN112816948A (en)* | 2020-12-31 | 2021-05-18 | 中国电子科技集团公司第十四研究所 | Method for realizing self-adaptive signal processing by using hermitian matrix symmetry |
| CN115549739A (en)* | 2021-06-30 | 2022-12-30 | 华为技术有限公司 | A method and device for obtaining a precoding matrix |
| CN115549739B (en)* | 2021-06-30 | 2024-11-22 | 华为技术有限公司 | A method and device for obtaining a precoding matrix |
| CN115022131A (en)* | 2022-05-25 | 2022-09-06 | Oppo广东移动通信有限公司 | Method, device, device and storage medium for generating Wiener filter coefficients |
| CN115277315A (en)* | 2022-07-21 | 2022-11-01 | 北京中科晶上科技股份有限公司 | LMMSE channel estimation method, device and signal processing system |
| CN115277315B (en)* | 2022-07-21 | 2023-08-25 | 北京中科晶上科技股份有限公司 | LMMSE channel estimation method, device and signal processing system |
| Publication number | Publication date |
|---|---|
| CN111935746B (en) | 2024-01-09 |
| Publication | Publication Date | Title |
|---|---|---|
| CN111935746B (en) | Method, device, terminal and storage medium for acquiring communication parameters | |
| CN110263909B (en) | Image recognition method and device | |
| US11249721B2 (en) | Multiplication circuit, system on chip, and electronic device | |
| CN109255774B (en) | Image fusion method, device and equipment | |
| KR102556644B1 (en) | Apparatus and method for successive multi-frame image denoising | |
| CN108765322B (en) | Image denoising method and device | |
| CN110276096B (en) | Method for improving prediction capability of deep learning model, electronic device and storage medium | |
| CN109359556A (en) | A kind of method for detecting human face and system based on low-power-consumption embedded platform | |
| Yao et al. | A compact hardware architecture for bilateral filter with the combination of approximate computing and look-up table | |
| CN108960041B (en) | Image feature extraction method and device | |
| CN111145128B (en) | Color enhancement method and related device | |
| CN109117945B (en) | Processor and processing method thereof, chip packaging structure and electronic device | |
| Dohi et al. | Deep-pipelined FPGA implementation of ellipse estimation for eye tracking | |
| CN112862095A (en) | Self-distillation learning method and device based on characteristic analysis and readable storage medium | |
| CN103020908B (en) | The method and apparatus of image noise reduction | |
| WO2020134547A1 (en) | Fixed-point acceleration method and apparatus for data, electronic device and storage medium | |
| CN112084023B (en) | Data parallel processing method, electronic device and computer readable storage medium | |
| CN114494036A (en) | A kind of image saturation adjustment method, apparatus, computer equipment and storage medium | |
| US20240414030A1 (en) | Method and device for learning-based channel estimation with data pre-processing | |
| WO2013089752A1 (en) | Techniques for improving stereo block matching with the pyramid method | |
| CN114327637B (en) | Data conversion method, device, electronic device, medium and computer program product | |
| KR20250071921A (en) | Facial recognition method and device | |
| CN113038055B (en) | Image processing method, device and electronic equipment | |
| TW202218362A (en) | System and method for channel estimation | |
| CN110060210A (en) | Image processing method and relevant apparatus |
| Date | Code | Title | Description |
|---|---|---|---|
| PB01 | Publication | ||
| PB01 | Publication | ||
| SE01 | Entry into force of request for substantive examination | ||
| SE01 | Entry into force of request for substantive examination | ||
| GR01 | Patent grant | ||
| GR01 | Patent grant |