Movatterモバイル変換


[0]ホーム

URL:


CN111932626B - Train door positioning method and system based on linear array image variable-proportion recovery - Google Patents

Train door positioning method and system based on linear array image variable-proportion recovery
Download PDF

Info

Publication number
CN111932626B
CN111932626BCN202010939327.0ACN202010939327ACN111932626BCN 111932626 BCN111932626 BCN 111932626BCN 202010939327 ACN202010939327 ACN 202010939327ACN 111932626 BCN111932626 BCN 111932626B
Authority
CN
China
Prior art keywords
train
door
vehicle
image
vehicle door
Prior art date
Legal status (The legal status is an assumption and is not a legal conclusion. Google has not performed a legal analysis and makes no representation as to the accuracy of the status listed.)
Active
Application number
CN202010939327.0A
Other languages
Chinese (zh)
Other versions
CN111932626A (en
Inventor
占栋
张志豪
李想
徐波
向文剑
张楠
曹伟
周蕾
黄瀚韬
钟尉
Current Assignee (The listed assignees may be inaccurate. Google has not performed a legal analysis and makes no representation or warranty as to the accuracy of the list.)
China Railway Chengdu Group Co Ltd
Chengdu Tangyuan Electric Co Ltd
Original Assignee
Chengdu Tangyuan Electric Co Ltd
Priority date (The priority date is an assumption and is not a legal conclusion. Google has not performed a legal analysis and makes no representation as to the accuracy of the date listed.)
Filing date
Publication date
Application filed by Chengdu Tangyuan Electric Co LtdfiledCriticalChengdu Tangyuan Electric Co Ltd
Priority to CN202010939327.0ApriorityCriticalpatent/CN111932626B/en
Publication of CN111932626ApublicationCriticalpatent/CN111932626A/en
Application grantedgrantedCritical
Publication of CN111932626BpublicationCriticalpatent/CN111932626B/en
Activelegal-statusCriticalCurrent
Anticipated expirationlegal-statusCritical

Links

Images

Classifications

Landscapes

Abstract

The invention discloses a train door positioning method and a train door positioning system based on linear array image variable proportion recovery, wherein a linear array camera arranged at an entrance end fixed position acquires a train entrance scanning image by adopting a fixed line frequency; identifying the train number in the scanned image, and acquiring the width of a train door of the current train from a train number-train type database according to the train number; identifying each vehicle door target in the scanned image, and recording the vehicle door front side horizontal pixel coordinate and the vehicle door rear side horizontal pixel coordinate of each vehicle door in the scanned image; calculating a first local distortion coefficient of each vehicle door, and fitting the whole distortion coefficient of the train according to the first local distortion coefficient; calculating the actual width of each vehicle door and the distance from the front side or the rear side of each vehicle door to the vehicle head according to the overall distortion coefficient; and acquiring the position of the train head after the train is stopped stably, and outputting the positioning result of each train door according to the relative distance from each train door to the train head. The invention also provides a train door positioning system based on the linear array image variable-proportion recovery.

Description

Train door positioning method and system based on linear array image variable-proportion recovery
Technical Field
The invention belongs to the field of high-speed railways/intercity railway platform doors, and particularly relates to a train door positioning method and system based on linear array imaging.
Background
The rapid development of the high-speed railway enables people to go out more conveniently, and the platform safety problem is attracted attention in recent years. The platform door is used as an isolation barrier for separating people and vehicles, and the safety of trains, passengers and station workers can be effectively guaranteed. Different from a subway, the shield door of the high-speed rail station needs to meet the stop requirements of different types of arriving trains, and the accurate positioning of the positions of the doors of various trains for entering and stopping the station is the basis for self-adaptive control of the high-speed rail station door.
Known prior solutions are: the method comprises the steps of obtaining information of the train type to be entered on the basis of a train running diagram, such as the Chinese patent application No. CN108382403A, and calculating the position of each train door after the train is stopped stably according to the position of the train head or the train tail and the distance between each train door and the train head contained in the information of the train type, such as the Chinese patent application No. CN 107246204A. However, the vehicle body deformation error including the coupling position due to the vehicle reconnection mode and the train operation causes a large accumulated error in the door position at the rear end.
Disclosure of Invention
In order to solve the technical problems, the invention provides a train door positioning method based on linear array image variable-proportion recovery, and aims to overcome the defect that the positioning precision of the conventional high-speed rail platform door on the train stop train door is not enough.
The invention is realized by adopting the following technical scheme:
the train door positioning method based on linear array image variable-scale recovery comprises the following steps:
s100, a linear array camera arranged at the fixed position of the station entering end acquires a scanning image of the train entering the station by adopting a fixed line frequency; the line scan camera is calibrated in advance: which scans at the fixed line frequency at a reference speedVrefA moving standard component, wherein the unit pixel distance in the formed linear array image corresponds to the reference width of the world coordinate systemWref
Step S200, identifying the train number in the scanning image, and acquiring the width of the door of the current train from a train number-vehicle type database according to the train numberWstd1
Step S300, identifying each vehicle door target in the scanned image, and recording the horizontal pixel coordinates of the front side of each vehicle door in the imageR1(i) And horizontal pixel coordinates of the rear side of the vehicle doorL1(i),Calculate the firstiInitial width of individual door
Figure DEST_PATH_IMAGE001
iThe serial number of the car door from the car head;
step S400, calculatingiFirst local distortion coefficient of individual vehicle door
Figure 323272DEST_PATH_IMAGE002
Fitting the global distortion coefficient of the train according to the first local distortion coefficient of each door
Figure DEST_PATH_IMAGE003
WhereinxIs the horizontal pixel coordinate of the image,
Figure 616850DEST_PATH_IMAGE004
the unit pixel distance corresponds to the width of the image coordinate system for different horizontal pixel positions;
step S500, calculating the actual width of each vehicle door according to the overall distortion coefficient
Figure DEST_PATH_IMAGE005
And the distance from the front side or the rear side of each door to the vehicle head;
and S600, acquiring the locomotive position of the train after the train is stopped stably, and outputting the positioning result of each vehicle door according to the relative distance from each vehicle door to the locomotive.
Although the train reconnection position and/or the length of a single train car may find deformation due to long-term operation, such deformation may cause a deviation in the door positioning on the tail side due to accumulation from the head to the tail. But particularly, the deformation of each car door is almost negligible, and the train door positioning method based on linear array image variable proportion recovery is realized based on the characteristic that a single train door has no deformation.
Optionally, step S200 further includes obtaining the window width of the current train from the train number-train type database according to the train numberWstd2
Step S300 further comprises identifying the scanned imageEach window target in the image, and the window front side horizontal pixel coordinates of each window in the image are recordedR2(i) And horizontal pixel coordinate of rear side of car windowL2(i) Calculating the firstiWidth of individual window
Figure 64012DEST_PATH_IMAGE006
iThe serial number of the car window from the car head;
step S400 includes: calculate the firstiSecond local distortion coefficient of individual window
Figure 253685DEST_PATH_IMAGE007
Fitting an overall distortion coefficient of the train based on the first local distortion coefficient of each door and the second local distortion coefficient of each windowR(x)。
Further, step S400 fits the global distortion coefficient using a cubic polynomialR(x). Considering that the acceleration of the train in the process of station entering and deceleration is generally constant or the acceleration changes linearly, the distortion width of the linear array camera imaging is inversely proportional to the train speed, and the integral train distortion coefficient meeting the positioning precision requirement can be obtained by adopting cubic polynomial fitting.
Another aspect of the present invention provides a train door positioning system based on linear array image scaling recovery, comprising:
the linear array camera is arranged at the fixed position of the station entering end and is used for acquiring a train station entering scanning image by adopting a fixed line frequency; the line scan camera is calibrated in advance: which scans at the fixed line frequency at a reference speedVrefA moving standard component, wherein the unit pixel distance in the formed linear array image corresponds to the reference width of the world coordinate systemWref
The initial width recognition module of the vehicle door is used for recognizing each vehicle door target in the scanned image and recording the horizontal pixel coordinate of the front side of the vehicle door of each vehicle door in the imageR(i) And horizontal pixel coordinates of the rear side of the vehicle doorL(i) Calculating the firstiInitial width of individual door
Figure 153508DEST_PATH_IMAGE008
iThe serial number of the car door from the car head;
the train number-train type database is used for storing train numbers and train type information corresponding to the train numbers, and the train type information comprises the width of a train doorWstd1
A module for acquiring local distortion of vehicle door for calculatingiFirst local distortion coefficient of individual vehicle door
Figure 109831DEST_PATH_IMAGE009
The train integral distortion fitting module is used for fitting the integral distortion coefficient of the train according to the first local distortion coefficient of each vehicle door
Figure 677079DEST_PATH_IMAGE010
WhereinxIs the horizontal pixel coordinate of the image,
Figure DEST_PATH_IMAGE011
the unit pixel distance corresponds to the width of the image coordinate system for different horizontal pixel positions;
a relative position calculating module of the vehicle door for calculating the actual width of each vehicle door according to the integral distortion coefficient
Figure 37653DEST_PATH_IMAGE005
And the distance from the front side or the rear side of each door to the vehicle head;
and the vehicle door position positioning module is used for acquiring the position of the train head after the train is stably stopped and outputting the positioning result of each vehicle door according to the relative distance from each vehicle door to the train head.
Optionally, the vehicle type information stored in the vehicle number-vehicle type database further includes a vehicle window widthWstd2(ii) a The train door positioning system further comprises:
the vehicle window initial width identification module is used for identifying each vehicle window target in the scanned image and recording the horizontal pixel coordinates of the front side of each vehicle window in the imageR2(i) And horizontal pixel coordinate of rear side of car windowL2(i) Calculating the firstiWidth of individual window
Figure 690351DEST_PATH_IMAGE006
iThe serial number of the car window from the car head;
a window local distortion acquisition module for calculatingiSecond local distortion coefficient of individual window
Figure 60153DEST_PATH_IMAGE007
And the train overall distortion fitting module fits the train overall distortion coefficient according to the first local distortion coefficient of each door and the second local distortion coefficient of each windowR(x)。
Further, the train integral distortion fitting module adopts cubic polynomial to fit the integral distortion coefficientR(x)。
Compared with the prior art, the invention has the beneficial effects that:
1. the method realizes the positioning of the train doors for the entrance and the stop of the train for controlling the opening of the high-speed railway platform door based on the linear array imaging variable-proportion recovery mode for the first time, has high automation degree compared with the conventional scheme of positioning the train doors based on the train running chart or the train type database and the width and the distance between the train doors in the train type information, better accords with objective practice, and avoids the inaccurate positioning of the train doors caused by the prior information errors such as reconnection positions and the like.
2. The invention scans and images the train which enters the station based on the linear array camera with fixed line frequency, and because the train enters the station in a deceleration process, the train image acquired with fixed line frequency has width distortion. The method creatively measures the local distortion coefficient of each train door position according to the standard width of the train door, then fits the whole train distortion coefficient according to all the local distortion coefficients, realizes variable ratio recovery based on the whole distortion coefficient, and realizes the positioning of the train door positions of different types of high-speed trains for entering and stopping on the basis of not depending on any external information source.
3. In the further scheme of the invention, the larger distance between the vehicle doors is considered, and the fitting precision of the whole train distortion coefficient is further improved by increasing the mode of calculating the local distortion of the vehicle windows, so that the positioning precision of the vehicle doors is improved.
Drawings
The invention will be described in further detail with reference to the following description taken in conjunction with the accompanying drawings and detailed description, in which:
FIG. 1 is a flow chart of a train door positioning method according to an embodiment of the invention;
FIG. 2 is a schematic scanning imaging diagram and a structural diagram of a positioning system of a line-scan camera according to an embodiment of the present invention;
FIG. 3 is a schematic diagram of fitting the distortion coefficient of the train according to an embodiment of the present invention;
FIG. 4 is a diagram of a convolutional neural network model for vehicle door identification in accordance with an embodiment of the present invention;
the labels in the figure are: 10-line camera, 20-computing terminal.
Detailed Description
Example 1
Embodiment 1 provides a train door positioning method based on linear array imaging and a speed curve, as shown in fig. 1, including:
step S100, thelinear array camera 10 arranged at the fixed position of the station entering end acquires a scanning image of the train station entering by adopting a fixed line frequency; theline camera 10 is calibrated in advance: which scans at the fixed line frequency at a reference speedVrefA moving standard component, wherein the unit pixel distance in the formed linear array image corresponds to the reference width of the world coordinate systemWref
Step S200, identifying the train number in the scanning image, and acquiring the width of the door of the current train from a train number-vehicle type database according to the train numberWstd1
Step S300, identifying each vehicle door target in the scanned image, and recording the horizontal pixel coordinates of the front side of each vehicle door in the imageR1(i) And horizontal pixel coordinates of the rear side of the vehicle doorL1(i) Calculating the firstiInitial width of individual door
Figure 216328DEST_PATH_IMAGE001
iThe serial number of the car door from the car head;
step S400, calculatingiFirst local distortion coefficient of individual vehicle door
Figure 154328DEST_PATH_IMAGE002
Fitting the global distortion coefficient of the train according to the first local distortion coefficient of each door
Figure 763164DEST_PATH_IMAGE003
WhereinxIs the horizontal pixel coordinate of the image,
Figure 202235DEST_PATH_IMAGE004
the unit pixel distance corresponds to the width of the image coordinate system for different horizontal pixel positions;
step S500, calculating the actual width of each vehicle door according to the overall distortion coefficient
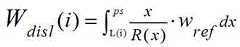
Figure 212917DEST_PATH_IMAGE005
And the distance from the front side or the rear side of each door to the vehicle head;
and S600, acquiring the locomotive position of the train after the train is stopped stably, and outputting the positioning result of each vehicle door according to the relative distance from each vehicle door to the locomotive.
In step S500, the distance from the front side of each door to the head
Figure 180873DEST_PATH_IMAGE012
Distance from rear side of each door to head
Figure DEST_PATH_IMAGE013
WhereinpsThe horizontal pixel coordinates of the head frame image in the scanned image are obtained.
Since the scanning frequency of theline camera 10 is fixed, the horizontal length of each target of the train body in the line image is inversely proportional to the train speed. As shown in fig. 2, the front side of the train passes through theline camera 10 first, and the rear side of the train passes through theline camera 10, and the train entering is a deceleration process, so that the width of the train door in the line image is changed from narrow to wide from the front side to the rear side. In the embodiment, a calibratedlinear array camera 10 is adopted to scan train entering images, the door positioning is directly carried out on each door target in the linear array images, the transformation ratio correction is carried out on distorted images through the door and window width prior information, and the train entering door positioning based on the linear array images is ingeniously realized based on the transformation ratio recovery of the linear array images.
Preferably, the step S200 further includes obtaining the window width of the current train from the train number-train type database according to the train numberWstd2
Step S300 further comprises identifying each window target in the scanned image, and recording the window front side horizontal pixel coordinates of each window in the imageR2(i) And horizontal pixel coordinate of rear side of car windowL2(i) Calculating the firstiWidth of individual window
Figure 542584DEST_PATH_IMAGE006
iThe serial number of the car window from the car head;
step S400 includes: calculate the firstiSecond local distortion coefficient of individual window
Figure 519767DEST_PATH_IMAGE007
Fitting an overall distortion coefficient of the train based on the first local distortion coefficient of each door and the second local distortion coefficient of each windowR(x)。
Step S400 of fitting the overall distortion coefficient by using a cubic polynomialR(x) As shown in fig. 3. Considering that the acceleration of the train in the process of station entering and deceleration is generally constant or the acceleration changes linearly, the distortion width of the linear array camera imaging is inversely proportional to the train speed, and the integral train distortion coefficient meeting the positioning precision requirement can be obtained by adopting cubic polynomial fitting.
In step S200, the train number in the scanned image is identified by using the trained first convolutional neural network. In addition, there are many well-established car number identification schemes in the prior art, such as the patent of the invention CN108734158B previously filed by the applicant.
In step S300, train doors in the scanned image are identified using the trained second convolutional neural network. Specifically, before training the convolutional neural network, 2000 side views of various high-speed trains under different backgrounds are found out from a database, the position of a car door in each image is manually marked, and the obtained position information is converted into a data format (an xml file) input by a CNN network through a script.
Fig. 4 shows a model example of a second convolutional neural network, where the leftmost layer is an input layer and a single-channel line camera image to be detected is input; the input layer is followed by a convolution layer, and the purpose is to perform multi-dimensional feature extraction on the input image by using 32 5-by-5 convolution kernels, wherein a ReLU activation function is adopted in an excitation layer, and the main purpose of the ReLU activation function is to realize non-linear change of image features. The maximum pooling layer is connected behind the convolution layer to reduce image redundant information and increase the calculation speed. After several pooling layers and convolution layers there are fully connected layers arranged as two-dimensional tensors containing convolution kernels of 7 x 64, which can also be considered as a convolution of only one row of 7 x 64 data. And the last layer is an output layer, and the identification and positioning operation of the vehicle door target is realized by using a softmax activation function.
Similarly, train windows in the scanned image are identified using a trained third convolutional neural network.
Example 2
Embodiment 2 provides a train door positioning system based on linear array image scaling recovery, which implements the train door positioning method described inembodiment 1, and includes:
the linear array camera is arranged at the fixed position of the station entering end and is used for acquiring a train station entering scanning image by adopting a fixed line frequency; the line scan camera is calibrated in advance: which scans at the fixed line frequency at a reference speedVrefA moving standard component, wherein the unit pixel distance in the formed linear array image corresponds to the reference width of the world coordinate systemWref
The distance measuring device is arranged at the fixed position of the station outlet and used for measuring the position of the train head after the train is stopped stably;
initial width of car doorA recognition module for recognizing each vehicle door target in the scanned image and recording the horizontal pixel coordinates of the front side of each vehicle door in the imageR(i) And horizontal pixel coordinates of the rear side of the vehicle doorL(i) Calculating the firstiInitial width of individual door
Figure 775168DEST_PATH_IMAGE001
iThe serial number of the car door from the car head;
the train number-train type database is used for storing train numbers and train type information corresponding to the train numbers, and the train type information comprises the width of a train doorWstd1
A module for acquiring local distortion of vehicle door for calculatingiFirst local distortion coefficient of individual vehicle door
Figure 179604DEST_PATH_IMAGE009
The train integral distortion fitting module is used for fitting the integral distortion coefficient of the train according to the first local distortion coefficient of each vehicle door
Figure 763032DEST_PATH_IMAGE014
WhereinxIs the horizontal pixel coordinate of the image,
Figure 278327DEST_PATH_IMAGE011
the unit pixel distance corresponds to the width of the image coordinate system for different horizontal pixel positions;
a relative position calculating module of the vehicle door for calculating the actual width of each vehicle door according to the integral distortion coefficient
Figure 263601DEST_PATH_IMAGE005
And the distance from the front side or the rear side of each door to the vehicle head;
and the vehicle door position positioning module is used for acquiring the position of the train head after the train is stably stopped and outputting the positioning result of each vehicle door according to the relative distance from each vehicle door to the train head.
Optionally, the vehicle type information stored in the vehicle number-vehicle type database further includes a vehicle window widthWstd2(ii) a The train door positioning system further comprises:
the vehicle window initial width identification module is used for identifying each vehicle window target in the scanned image and recording the horizontal pixel coordinates of the front side of each vehicle window in the imageR2(i) And horizontal pixel coordinate of rear side of car windowL2(i) Calculating the firstiWidth of individual window
Figure 432414DEST_PATH_IMAGE006
iThe serial number of the car window from the car head;
a window local distortion acquisition module for calculatingiSecond local distortion coefficient of individual window
Figure 440821DEST_PATH_IMAGE007
And the train overall distortion fitting module fits the train overall distortion coefficient according to the first local distortion coefficient of each door and the second local distortion coefficient of each windowR(x)。
The vehicle door initial width identification module, the vehicle window initial width identification module, the vehicle door local distortion acquisition module, the vehicle window local distortion acquisition module, the train overall distortion fitting module, the vehicle door relative position calculation module and the vehicle door position positioning module are configured to be functional modules integrated in thecalculation terminal 20.
Further, the train integral distortion fitting module adopts cubic polynomial to fit the integral distortion coefficientR(x)。
In summary, after reading the present disclosure, those skilled in the art should make various other modifications without creative efforts according to the technical solutions and concepts of the present disclosure, which are within the protection scope of the present disclosure.

Claims (6)

1. The train door positioning method based on linear array image variable-proportion recovery is characterized by comprising the following steps of:
step S100, setting up at the end of the stationThe linear array camera at the position acquires a train station-entering scanning image by adopting a fixed line frequency; the line scan camera is calibrated in advance: which scans at the fixed line frequency at a reference speedVrefA moving standard component, wherein the unit pixel distance in the formed linear array image corresponds to the reference width of the world coordinate systemWref
Step S200, identifying the train number in the scanning image, and acquiring the width of the door of the current train from a train number-vehicle type database according to the train numberWstd1
Step S300, identifying each vehicle door target in the scanned image, and recording the horizontal pixel coordinates of the front side of each vehicle door in the imageR1(i) And horizontal pixel coordinates of the rear side of the vehicle doorL1(i) Calculating the firstiInitial width of individual door
Figure 565304DEST_PATH_IMAGE001
iThe serial number of the car door from the car head;
step S400, calculatingiFirst local distortion coefficient of individual vehicle door
Figure 336951DEST_PATH_IMAGE002
Fitting the global distortion coefficient of the train according to the first local distortion coefficient of each door
Figure 553169DEST_PATH_IMAGE003
WhereinxIs the horizontal pixel coordinate of the image,
Figure 435674DEST_PATH_IMAGE004
the unit pixel distance corresponds to the width of the image coordinate system for different horizontal pixel positions;
step S500, calculating the actual width of each vehicle door according to the overall distortion coefficient
Figure 178371DEST_PATH_IMAGE005
And the distance from the front side or the rear side of each door to the vehicle head;
and S600, acquiring the locomotive position of the train after the train is stopped stably, and outputting the positioning result of each vehicle door according to the relative distance from each vehicle door to the locomotive.
2. The train door positioning method as claimed in claim 1, wherein: step S200 also comprises the step of obtaining the window width of the current train from the train number-train type database according to the train numberWstd2
Step S300 further comprises identifying each window target in the scanned image, and recording the window front side horizontal pixel coordinates of each window in the imageR2(i) And horizontal pixel coordinate of rear side of car windowL2(i) Calculating the firstiWidth of individual window
Figure 120919DEST_PATH_IMAGE006
iThe serial number of the car window from the car head;
step S400 includes: calculate the firstiSecond local distortion coefficient of individual window
Figure 824433DEST_PATH_IMAGE007
Fitting an overall distortion coefficient of the train based on the first local distortion coefficient of each door and the second local distortion coefficient of each windowR(x)。
3. The train door positioning method according to claim 1 or 2, characterized in that: step S400 of fitting the overall distortion coefficient by using a cubic polynomialR(x)。
4. Train door positioning system based on linear array image becomes proportion and resumes, its characterized in that includes:
the linear array camera is arranged at the fixed position of the station entering end and is used for acquiring a train station entering scanning image by adopting a fixed line frequency; the line scan camera is calibrated in advance: which scans at the fixed line frequency at a reference speedVrefMoving standard, in the line image formedThe unit pixel distance corresponds to the reference width of the world coordinate systemWref
The distance measuring device is arranged at the fixed position of the station outlet and used for measuring the position of the train head after the train is stopped stably;
the initial width recognition module of the vehicle door is used for recognizing each vehicle door target in the scanned image and recording the horizontal pixel coordinate of the front side of the vehicle door of each vehicle door in the imageR(i) And horizontal pixel coordinates of the rear side of the vehicle doorL(i) Calculating the firstiInitial width of individual door
Figure 245050DEST_PATH_IMAGE001
iThe serial number of the car door from the car head;
the train number-train type database is used for storing train numbers and train type information corresponding to the train numbers, and the train type information comprises the width of a train doorWstd1
A module for acquiring local distortion of vehicle door for calculatingiFirst local distortion coefficient of individual vehicle door
Figure 983199DEST_PATH_IMAGE008
The train integral distortion fitting module is used for fitting the integral distortion coefficient of the train according to the first local distortion coefficient of each vehicle door
Figure 96649DEST_PATH_IMAGE009
WhereinxIs the horizontal pixel coordinate of the image,
Figure 287458DEST_PATH_IMAGE004
the unit pixel distance corresponds to the width of the image coordinate system for different horizontal pixel positions;
a relative position calculating module of the vehicle door for calculating the actual width of each vehicle door according to the integral distortion coefficient
Figure 511766DEST_PATH_IMAGE005
And front or rear side of each door to the headThe distance of (d);
and the vehicle door position positioning module is used for acquiring the position of the train head after the train is stably stopped and outputting the positioning result of each vehicle door according to the relative distance from each vehicle door to the train head.
5. The train door positioning system of claim 4, wherein: the vehicle type information stored in the vehicle number-vehicle type database further comprises vehicle window widthWstd2(ii) a It still includes:
the vehicle window initial width identification module is used for identifying each vehicle window target in the scanned image and recording the horizontal pixel coordinates of the front side of each vehicle window in the imageR2(i) And horizontal pixel coordinate of rear side of car windowL2(i) Calculating the firstiWidth of individual window
Figure 714209DEST_PATH_IMAGE006
iThe serial number of the car window from the car head;
a window local distortion acquisition module for calculatingiSecond local distortion coefficient of individual window
Figure 998560DEST_PATH_IMAGE010
And the train overall distortion fitting module fits the train overall distortion coefficient according to the first local distortion coefficient of each door and the second local distortion coefficient of each windowR(x)。
6. The train door positioning system of claim 4 or 5, wherein: the train integral distortion fitting module adopts cubic polynomial to fit the integral distortion coefficientR(x)。
CN202010939327.0A2020-09-092020-09-09Train door positioning method and system based on linear array image variable-proportion recoveryActiveCN111932626B (en)

Priority Applications (1)

Application NumberPriority DateFiling DateTitle
CN202010939327.0ACN111932626B (en)2020-09-092020-09-09Train door positioning method and system based on linear array image variable-proportion recovery

Applications Claiming Priority (1)

Application NumberPriority DateFiling DateTitle
CN202010939327.0ACN111932626B (en)2020-09-092020-09-09Train door positioning method and system based on linear array image variable-proportion recovery

Publications (2)

Publication NumberPublication Date
CN111932626A CN111932626A (en)2020-11-13
CN111932626Btrue CN111932626B (en)2020-12-22

Family

ID=73308805

Family Applications (1)

Application NumberTitlePriority DateFiling Date
CN202010939327.0AActiveCN111932626B (en)2020-09-092020-09-09Train door positioning method and system based on linear array image variable-proportion recovery

Country Status (1)

CountryLink
CN (1)CN111932626B (en)

Families Citing this family (2)

* Cited by examiner, † Cited by third party
Publication numberPriority datePublication dateAssigneeTitle
CN113222298B (en)*2021-06-102023-04-14中铁二院工程集团有限责任公司Platform door configuration method based on determined vehicle type and platform door
CN115294299A (en)*2022-08-012022-11-04成都唐源智控技术有限责任公司 Apparatus, system and method for identifying train parking status based on the combination of radar and camera

Citations (1)

* Cited by examiner, † Cited by third party
Publication numberPriority datePublication dateAssigneeTitle
CN110702423A (en)*2019-09-162020-01-17南京工程学院Dynamic stability analysis method and device for metro vehicle door system

Family Cites Families (7)

* Cited by examiner, † Cited by third party
Publication numberPriority datePublication dateAssigneeTitle
JP4794160B2 (en)*2004-03-312011-10-19日東電工株式会社 Surface shape measuring apparatus and surface shape measuring method
AU2007217477A1 (en)*2006-02-212007-08-30Adt Security Services, Inc.System and method for remotely attended delivery
CN106340011B (en)*2016-08-232019-01-18天津光电高斯通信工程技术股份有限公司A kind of automatic detection recognition method that lorry door is opened
CN108104657A (en)*2017-05-222018-06-01张丽High ferro car door proof mechanism
CN109117849A (en)*2018-07-172019-01-01中国铁道科学研究院集团有限公司The application of depth learning technology train running monitoring early warning system AT STATION
CN111104937A (en)*2019-11-252020-05-05上海眼控科技股份有限公司Vehicle door information detection method and device, computer equipment and storage medium
CN111547071B (en)*2020-05-252021-07-06成都唐源电气股份有限公司High-speed railway platform door with adjustable door opening position

Patent Citations (1)

* Cited by examiner, † Cited by third party
Publication numberPriority datePublication dateAssigneeTitle
CN110702423A (en)*2019-09-162020-01-17南京工程学院Dynamic stability analysis method and device for metro vehicle door system

Also Published As

Publication numberPublication date
CN111932626A (en)2020-11-13

Similar Documents

PublicationPublication DateTitle
CN111932626B (en)Train door positioning method and system based on linear array image variable-proportion recovery
CN112201078B (en)Automatic parking space detection method based on graph neural network
RU2473442C2 (en)Method and system for identification of data about train
CN109435942A (en)A kind of parking stall line parking stall recognition methods and device based on information fusion
CA2033228A1 (en)Position and heading detecting device for self controlled vehicle
CN108877237B (en)Vehicle running speed integrated resolving system and method based on monitoring video image
CN112927303B (en)Lane line-based automatic driving vehicle-mounted camera pose estimation method and system
CN109509223A (en)Front vehicles distance measuring method based on deep learning
CN115435700B (en)Device for rapidly and automatically measuring limit of trackside equipment
CN109657596A (en)A kind of vehicle appearance component identification method based on deep learning
CN110472527A (en)A kind of track line detecting method and system
CN115690061A (en)Container terminal truck collection detection method based on vision
CN115857040A (en)Dynamic visual detection device and method for foreign matters on locomotive roof
CN113591643A (en)Underground vehicle station entering and exiting detection system and method based on computer vision
CN110728720B (en)Method, apparatus, device and storage medium for camera calibration
CN113788051A (en)Train on-station running state monitoring and analyzing system
CN111775966B (en)Train door positioning method and system based on linear array imaging
CN103605960A (en)Traffic state identification method based on fusion of video images with different focal lengths
CN118552946A (en) A method for automatic identification and detection of cables in mining areas
CN119085667A (en) A path automatic collection system and method
CN113569663A (en)Method for measuring lane deviation of vehicle
CN118587426A (en) A lightweight dual-channel railway foreign body intrusion detection method
CN118154928A (en) A railway freight car floor damage identification method and system based on multi-scale feature fusion
CN113723331B (en)Method and device for carrying out passenger clearing judgment based on subway carriage video
CN111161215B (en)Detection apparatus capable of identifying color of printer

Legal Events

DateCodeTitleDescription
PB01Publication
PB01Publication
SE01Entry into force of request for substantive examination
SE01Entry into force of request for substantive examination
GR01Patent grant
GR01Patent grant
TR01Transfer of patent right
TR01Transfer of patent right

Effective date of registration:20211122

Address after:610000, No. two, section 11, North Ring Road, Chengdu, Sichuan

Patentee after:China Railway Chengdu Bureau Group Co.,Ltd.

Patentee after:Chengdu Tangyuan Electric Co., Ltd

Address before:No. 355, Wuxing fifth road, Wuhou District, Chengdu City, Sichuan Province

Patentee before:CHENGDU TANGYUAN ELECTRIC Co.,Ltd.


[8]ページ先頭

©2009-2025 Movatter.jp