Movatterモバイル変換


[0]ホーム

URL:


CN111929633A - Electric energy meter detection system and method based on fusion ant colony algorithm - Google Patents

Electric energy meter detection system and method based on fusion ant colony algorithm
Download PDF

Info

Publication number
CN111929633A
CN111929633ACN202010481578.9ACN202010481578ACN111929633ACN 111929633 ACN111929633 ACN 111929633ACN 202010481578 ACN202010481578 ACN 202010481578ACN 111929633 ACN111929633 ACN 111929633A
Authority
CN
China
Prior art keywords
data
electric energy
energy meter
module
layer
Prior art date
Legal status (The legal status is an assumption and is not a legal conclusion. Google has not performed a legal analysis and makes no representation as to the accuracy of the status listed.)
Pending
Application number
CN202010481578.9A
Other languages
Chinese (zh)
Inventor
常兴智
张军
李建炜
林福平
王再望
党政军
杨杰
屈子旭
李全堂
刘贵平
Current Assignee (The listed assignees may be inaccurate. Google has not performed a legal analysis and makes no representation or warranty as to the accuracy of the list.)
Ningxia LGG Instrument Co Ltd
Original Assignee
Ningxia LGG Instrument Co Ltd
Priority date (The priority date is an assumption and is not a legal conclusion. Google has not performed a legal analysis and makes no representation as to the accuracy of the date listed.)
Filing date
Publication date
Application filed by Ningxia LGG Instrument Co LtdfiledCriticalNingxia LGG Instrument Co Ltd
Priority to CN202010481578.9ApriorityCriticalpatent/CN111929633A/en
Publication of CN111929633ApublicationCriticalpatent/CN111929633A/en
Pendinglegal-statusCriticalCurrent

Links

Images

Classifications

Landscapes

Abstract

The invention discloses an electric energy meter detection system and method based on a fusion ant colony algorithm, and relates to the technical field of electric energy metering. The invention adopts an architecture system of the Internet of things, and can monitor the acquisition capacity and the application capacity of the underlying data in real time in a remote, online manner, so that a user can realize the management and the monitoring of the verification of the electric energy meter without being in the field; according to the invention, through an improved ant colony algorithm, the optimal search of the electric energy meter among the classified electric energy meter data, the classified electric energy meter data or the classified electric energy meter data and the classification attributes is realized, so that a user can quickly find out the optimal value of the target data from various data, and the verification efficiency and the data management capability of the electric energy meter are improved.

Description

Electric energy meter detection system and method based on fusion ant colony algorithm
Technical Field
The invention relates to the technical field of electric energy metering detection, in particular to an electric energy meter detection system and method based on a fusion ant colony algorithm.
Background
The electric energy meter is an important metering device for carrying out electric quantity settlement between a power supply enterprise and a power consumption client, and the metering accuracy of the electric energy meter is directly related to the economic benefits of the power supply enterprise and the power consumption client. When the electric energy meter is checked, an electric energy meter checking device or an electric energy meter checking assembly line is usually adopted, the electric energy meter checking assembly line realizes a series of functions of automatically taking the meter from an outlet of an electric energy meter warehouse, automatically transmitting, automatically opening a screw to open a meter cover, inserting a card according to a programming switch, sending the meter to each detection station and positioning, automatically wiring, checking appearance, performing pressure resistance test, checking functions and errors, automatically disconnecting, transmitting, labeling, screwing, sealing the meter, boxing, and then sending the meter back to an interface of the electric energy meter warehouse by a connection transmission system, the whole process is free of manual operation, the operation is automatically completed according to time sequence, and various types of data can be generated in the processes. In the conventional technology, when a plurality of types of detection data are output, for a user, the optimal target information is difficult to find by a plurality of types of data information, the optimal data information is difficult to find between the same type of data and between different types of data, and the conventional technology is often used for searching by a computer, so that the conventional retrieval technology is not only low in efficiency, but also easy to make mistakes, and difficult to realize the query and application of the data. With the continuous development of electric energy meter verification technology, the demand is more and more vigorous, and therefore, the development and research of an intelligent electric energy meter verification system are imperative.
Disclosure of Invention
Aiming at the defects of the prior art, the invention discloses an electric energy meter detection system and method based on a fusion ant colony algorithm.
The invention adopts the following technical scheme:
an electric energy meter detection system based on a fusion ant colony algorithm, wherein the system comprises:
the electric energy meter calibrating device and the electric energy meter calibrating assembly line or the portable electric energy meter calibrating device are also internally provided with sensors for sensing the environmental information of the electric energy meter, and the sensors sense and transmit various data information of the electric energy meter; the sensors at least comprise a photoelectric sensor, an infrared sensor, a speed sensor, an acceleration sensor, a GIS sensor, a vibration sensor, a ripple wave sensor, a temperature and humidity sensor, an angle sensor, a magnetic field sensor, a rotating speed sensor, an RFID label, GPS equipment, a ray radiation sensor, a heat-sensitive sensor or an energy consumption sensor;
the communication layer is internally provided with a wired communication module or a wireless communication module and is used for receiving and transmitting the data information of the electric energy meter sensed by the detection layer; the wired communication module at least comprises an RS485 communication module or an RS232 communication module, and the wireless communication module at least comprises a TCP/IP network system, a ZigBee wireless network, a GPRS communication module, CDMA wireless communication, a cloud communication module or a Bluetooth communication module; the communication unit also comprises a physical layer, a data link layer, a network layer, a transmission layer, a session layer, a presentation layer and an application layer; wherein the TCP/IP network system at least comprises a network card, a network cable, a hub, a repeater or a modem, and the data link layer at least comprises a network bridge or a switch; the network layer comprises at least a router; the communication layer also comprises a plurality of communication protocols, and the communication protocols at least comprise TCP/IP, UDP, IPSec, MODBUS/TCP, OPC, proprietary protocols, PROFIBUS-DP, MPI, PPI, S7, FX series programming port and serial port protocols, Q series serial port 4C protocols, Ethernet 3E protocols, CC-LINK, A series or ohm dragon HostLink protocols, so as to realize the communication requirements of different electric energy meter interfaces or communication equipment;
the data analysis layer is internally provided with a computer management system or a cloud server and is used for receiving and processing the electric energy meter data information transmitted by the detection layer; the computer management system or the cloud server is provided with a big data management platform, the big data management platform is provided with an infrastructure layer, an information storage layer, an information calculation layer and an information interaction layer, and the infrastructure layer is internally provided with a permission management module, a resource management module, a service management module, a resource addressing module, a data interface module, an information receiving module, an information selection module, an information integration module or an information fusion module; a distributed architecture management module is arranged in the information storage layer, and at least an exception handling module, a data exchange module, a log processing module, a data browsing module, a content retrieval module and a permission authentication module are arranged in the distributed architecture management module; the information computing layer is provided with a data analysis and mining tool library, and the data analysis and mining tool library is at least provided with a text mining module, a statistical analysis module, a data computing module, an algorithm model module, a text indexing module, a semantic indexing module and an auxiliary indexing module; the information interaction layer is provided with an application program module, and the application program module is at least provided with a network setting module, a server and a platform, a storage system, a service and application module, an information system interface, safety equipment, a virtual environment module and a machine room environment information module; the improved ant colony algorithm module is arranged in the data analysis and mining tool library and is integrated with a classification model;
the upper monitoring layer is internally provided with a computer component, a database integrated in the computer component, a monitoring unit and a remote information communication module so as to store, use or transmit data processed by the detection layer; wherein:
the output on detection layer with the input on communication layer is connected, the output on communication layer with the input on data analysis layer is connected, the output on data analysis layer with the input on upper monitoring layer is connected.
The invention also adopts the following technical scheme:
a method for detecting an electric energy meter based on a fusion ant colony algorithm, wherein the method comprises the following steps:
(1) data acquisition: the method comprises the steps that data information measured by the electric energy meter is obtained through a detection layer, wherein the data information comprises electric energy meter parameter information and electric energy meter surrounding environment data information, the electric energy meter parameter information comprises electric energy meter output current, voltage, power factors, ripples or phase sequences, and the electric energy meter surrounding environment data information comprises electric energy meter detection environment voltage, current, harmonic waves, vibration, magnetic fields, electromagnetic interference, temperature, humidity, voltage unbalance, current unbalance, flicker, power factors, power grid clutter interference or load power;
(2) data transmission: transmitting data information detected from the detection layer through the communication layer;
(3) data processing and analysis: the improved ant colony algorithm model fused with the classification algorithm model is used for dividing the attributes of different data types, the ant colony algorithm model is used for searching the optimal values of the data in different data categories among different classification attributes and in the same data attribute, so that a user can quickly find out target data from different databases, the time for searching the data is reduced,
(4) and data monitoring, namely receiving data information output by the data analysis layer through the upper monitoring layer, and realizing remote sharing and application of data.
Further, the improved ant colony algorithm model is as follows: and accessing the ant colony algorithm model in the classification algorithm model, accessing the classification algorithm model in the ant colony algorithm model, accessing the classification algorithm model at the output end of the ant colony algorithm model, or accessing the ant colony algorithm model at the output end of the classification algorithm model.
Further, the classification algorithm model is the K-Means algorithm, the decision tree or the FCM clustering algorithm
Further, the calculation process of the K-Means algorithm is as follows:
(1) selecting k objects from a plurality of electric energy meter detection data sets as initial clustering centers, wherein the electric energy meter detection output data sets are as follows:
X={xm|m=1,2,...,M};
assuming there are d different classification attributes for a data set, then there is A1,A2,...,AdDifferent dimensions, then different data samples x of the electric energy meteri=(xi1,xi2,...,xid)、xj=(xj1,xj2,...,xjd) Is a sample xi、xjCorresponding to d different classification attributes A1,A2,...,AdThe specific value of (a);
(2) calculating the distance from each clustering object to the clustering center to divide the classification attribute, xiAnd xjThe similarity between them is calculated by a distance formula, xiAnd xjThe smaller the distance between, the sample xiAnd xjThe more similar, xiAnd xjThe greater the distance between, sample xiAnd xjThe farther apart the phase difference; the distance formula is:
Figure RE-GDA0002604578360000031
(3) calculating each clustering center again, taking the sample mean value in each cluster as a new clustering center through repeated calculation, and repeating the step (2);
(4) and (4) stopping the calculation when the cluster center is not changed any more or the maximum iteration number is reached, otherwise, repeating the steps (2) and (3).
Further, the clustering performance evaluation formula of the K-Means algorithm is a square error sum criterion function, and the function is as follows:
Figure RE-GDA0002604578360000032
wherein p is the output data set X of the electric energy meteriAn arbitrary value of (1), miFor different cluster centers, E is a function of the sum of squared errors criterion, where mi≥5。
Further, the decision tree algorithm includes training of a classifier, selection of a root node, and selection of a child node.
Further, the FCM clustering algorithm is a fuzzy C-means clustering FCM algorithm.
Further, the ant colony algorithm model construction method comprises the following steps:
(1) initializing; initializing the acquired data information of the electric energy meter, and setting y (t) as y (t) ═ y of the initialized total group y (t) of the selected big data of the electric energy metermaxEnabling the big data asset information detected and output by the electric energy meter to serve as ant elements, initializing all elements of an ant element matrix to be 0 initially, and then randomly selecting the initial positions of the ant elements; wherein an information factor is sought
Figure RE-GDA0002604578360000033
Elicitor beta ∈ [ beta ]minmax](ii) a Finding pheromone concentration volatilization factor
Figure RE-GDA0002604578360000036
(2) Randomly placing m ant elements at N positions, and setting the cycle times of the ant elements for searching paths as NcAccording to Nc+1 sequence is cycled; in performing a data update, the following formula exists:
Figure RE-GDA0002604578360000034
Figure RE-GDA0002604578360000035
Figure RE-GDA0002604578360000041
(3) setting the index number k of the ant element taboo list as 1, and circulating through k + 1;
(4) calculating the probability of the ant selecting the position j according to a state transition probability formula of the following formula; then there are:
Figure RE-GDA0002604578360000042
the Node is a set of positions which are directly connected with the position i and through which ant elements do not pass;
(5) selecting a position with the maximum state transition probability, moving ant elements to the position with the maximum state transition probability, and recording the position into a taboo table;
(6) judging, if all the positions in the set are visited, making k less than m, wherein m is the number of the positions, executing a cycle operation through k +1, and if all the positions in the set are not visited, updating the information amount on each path;
(7) checking a termination condition, checking whether the termination condition is met, wherein the termination condition is that the probability of the ant selecting the position j is more than 83%, and if the termination condition is met, performing further operation;
(8) judging whether a new group is formed, if the termination condition is that the probability of the ant selecting the position j is less than 83%, forming the new group, and updating the pheromone matrix again, wherein the updating method is to recalculate the minimum data matrix D;
(9) and judging whether a termination genetic condition is met, and outputting a calculation result if the termination genetic condition is that the probability of the ant selecting the position j is more than 85% when the termination genetic condition is met.
Further, the ant colony algorithm updates the pheromone matrix more than 3 times.
Further, the relevance correction formula for updating the pheromone matrix by the ant colony algorithm is as follows:
rij(t+n)=ρrij(t)+Δrij (7)
wherein:
Figure RE-GDA0002604578360000043
Figure RE-GDA0002604578360000044
in the formula (9), ρ is a data information residual coefficient, 1- ρ is a volatilization degree of the ant seeking pheromone in a time interval within (t, t + n), and 1- ρ is used for restraining the ant seeking pheromone in a seeking path, so that the quantity of the ant seeking pheromone can not be limited.
Has the positive and beneficial effects that:
the classification algorithm model is adopted to realize classification of various data types, and electric energy meter verification data, parameter data and electric energy meter detection data sensed by a plurality of sensors are classified according to certain attributes, so that users can quickly classify the electric energy meter data, disordered data are ordered, the data processing precision is high, and the data management capability is improved.
The invention also designs an architecture system of the product networking, which can monitor the acquisition capability and the application capability of the underlying data in real time in a remote, online manner, so that the management and the monitoring of the verification of the electric energy meter can be realized without a user visiting the site;
according to the invention, through an improved ant colony algorithm, the optimal search of the electric energy meter among the classified electric energy meter data, the classified electric energy meter data or the classified electric energy meter data and the classification attributes is realized, so that a user can quickly find out the optimal value of the target data from various data, an important technical guarantee is provided for improving the verification efficiency of the electric energy meter, and the verification efficiency and the data management capability of the electric energy meter are greatly improved.
Drawings
Fig. 1 is a schematic structural diagram of an electric energy meter detection system based on a fusion ant colony algorithm according to the invention;
FIG. 2 is a schematic diagram of a big data management platform in the electric energy meter detection system based on the ant colony fusion algorithm;
FIG. 3 is a schematic structural diagram of an improved ant colony algorithm in the method for detecting an electric energy meter based on a fusion ant colony algorithm according to the present invention;
fig. 4 is another schematic diagram of an improved ant colony algorithm in the electric energy meter detection method based on the fusion ant colony algorithm according to the present invention;
FIG. 5 is a schematic diagram of another architecture of an improved ant colony algorithm in the method for detecting an electric energy meter based on a fusion ant colony algorithm according to the present invention;
fig. 6 is a flow diagram of a fuzzy C-means clustering FCM algorithm in the electric energy meter detection method based on the ant colony fusion algorithm.
Detailed Description
The technical solutions in the embodiments of the present invention will be clearly and completely described below with reference to the drawings in the embodiments of the present invention, and it is obvious that the described embodiments are only a part of the embodiments of the present invention, and not all of the embodiments. All other embodiments, which can be derived by a person skilled in the art from the embodiments given herein without making any creative effort, shall fall within the protection scope of the present invention.
Example 1 System
As shown in fig. 1 and fig. 2, an electric energy meter detection system based on a fusogenic ant colony algorithm, wherein the system includes:
the electric energy meter calibrating device and the electric energy meter calibrating assembly line or the portable electric energy meter calibrating device are also internally provided with sensors for sensing the environmental information of the electric energy meter, and the sensors sense and transmit various data information of the electric energy meter; the sensors at least comprise a photoelectric sensor, an infrared sensor, a speed sensor, an acceleration sensor, a GIS sensor, a vibration sensor, a ripple wave sensor, a temperature and humidity sensor, an angle sensor, a magnetic field sensor, a rotating speed sensor, an RFID label, GPS equipment, a ray radiation sensor, a heat-sensitive sensor or an energy consumption sensor;
the communication layer is internally provided with a wired communication module or a wireless communication module and is used for receiving and transmitting the data information of the electric energy meter sensed by the detection layer; the wired communication module at least comprises an RS485 communication module or an RS232 communication module, and the wireless communication module at least comprises a TCP/IP network system, a ZigBee wireless network, a GPRS communication module, CDMA wireless communication, a cloud communication module or a Bluetooth communication module; the communication unit also comprises a physical layer, a data link layer, a network layer, a transmission layer, a session layer, a presentation layer and an application layer; wherein the TCP/IP network system at least comprises a network card, a network cable, a hub, a repeater or a modem, and the data link layer at least comprises a network bridge or a switch; the network layer comprises at least a router; the communication layer also comprises a plurality of communication protocols, and the communication protocols at least comprise TCP/IP, UDP, IPSec, MODBUS/TCP, OPC, proprietary protocols, PROFIBUS-DP, MPI, PPI, S7, FX series programming port and serial port protocols, Q series serial port 4C protocols, Ethernet 3E protocols, CC-LINK, A series or ohm dragon HostLink protocols, so as to realize the communication requirements of different electric energy meter interfaces or communication equipment;
the data analysis layer is internally provided with a computer management system or a cloud server and is used for receiving and processing the electric energy meter data information transmitted by the detection layer; the computer management system or the cloud server is provided with a big data management platform, the big data management platform is provided with an infrastructure layer, an information storage layer, an information calculation layer and an information interaction layer, and the infrastructure layer is internally provided with a permission management module, a resource management module, a service management module, a resource addressing module, a data interface module, an information receiving module, an information selection module, an information integration module or an information fusion module; a distributed architecture management module is arranged in the information storage layer, and at least an exception handling module, a data exchange module, a log processing module, a data browsing module, a content retrieval module and a permission authentication module are arranged in the distributed architecture management module; the information computing layer is provided with a data analysis and mining tool library, and the data analysis and mining tool library is at least provided with a text mining module, a statistical analysis module, a data computing module, an algorithm model module, a text indexing module, a semantic indexing module and an auxiliary indexing module; the information interaction layer is provided with an application program module, and the application program module is at least provided with a network setting module, a server and a platform, a storage system, a service and application module, an information system interface, safety equipment, a virtual environment module and a machine room environment information module; the improved ant colony algorithm module is arranged in the data analysis and mining tool library and is integrated with a classification model;
the upper monitoring layer is internally provided with a computer component, a database integrated in the computer component, a monitoring unit and a remote information communication module so as to store, use or transmit data processed by the detection layer; wherein:
the output on detection layer with the input on communication layer is connected, the output on communication layer with the input on data analysis layer is connected, the output on data analysis layer with the input on upper monitoring layer is connected.
EXAMPLE 2 method
A method for detecting an electric energy meter based on a fusion ant colony algorithm, wherein the method comprises the following steps:
(1) data acquisition: the method comprises the steps that data information measured by the electric energy meter is obtained through a detection layer, wherein the data information comprises electric energy meter parameter information and electric energy meter surrounding environment data information, the electric energy meter parameter information comprises electric energy meter output current, voltage, power factors, ripples or phase sequences, and the electric energy meter surrounding environment data information comprises electric energy meter detection environment voltage, current, harmonic waves, vibration, magnetic fields, electromagnetic interference, temperature, humidity, voltage unbalance, current unbalance, flicker, power factors, power grid clutter interference or load power;
(2) data transmission: transmitting data information detected from the detection layer through the communication layer;
(3) data processing and analysis: the improved ant colony algorithm model fused with the classification algorithm model is used for dividing the attributes of different data types, the ant colony algorithm model is used for searching the optimal values of the data in different data categories among different classification attributes and in the same data attribute, so that a user can quickly find out target data from different databases, the time for searching the data is reduced,
(4) and data monitoring, namely receiving data information output by the data analysis layer through the upper monitoring layer, and realizing remote sharing and application of data.
In the above embodiment, as shown in fig. 3 to fig. 5, the improved ant colony algorithm model is: and accessing the ant colony algorithm model in the classification algorithm model, accessing the classification algorithm model in the ant colony algorithm model, accessing the classification algorithm model at the output end of the ant colony algorithm model, or accessing the ant colony algorithm model at the output end of the classification algorithm model. In this way, the optimum value search of different types of data is realized.
In the above embodiment, the classification algorithm model is the K-Means algorithm, the decision tree, or the FCM clustering algorithm, and in the above embodiment, the calculation process of the K-Means algorithm is as follows:
(1) selecting k objects from a plurality of electric energy meter detection data sets as initial clustering centers, wherein the electric energy meter detection output data sets are as follows:
X={xm|m=1,2,...,M};
assuming there are d different classification attributes for a data set, then there is A1,A2,...,AdIn different dimensions, then
Different data samples x of electric energy meteri=(xi1,xi2,...,xid)、xj=(xj1,xj2,...,xjd) Is a sample xi、xjCorresponding to d different classification attributes A1,A2,...,AdThe specific value of (a);
(2) calculating the distance from each clustering object to the clustering center to divide the classification attribute, xiAnd xjThe similarity between them is calculated by a distance formula, xiAnd xjThe smaller the distance between, the sample xiAnd xjThe more similar, xiAnd xjThe greater the distance between, sample xiAnd xjThe farther apart the phase difference; the distance formula is:
Figure RE-GDA0002604578360000071
(3) calculating each clustering center again, taking the sample mean value in each cluster as a new clustering center through repeated calculation, and repeating the step (2);
(4) and (4) stopping the calculation when the cluster center is not changed any more or the maximum iteration number is reached, otherwise, repeating the steps (2) and (3).
In the above embodiment, the clustering performance evaluation formula of the K-Means algorithm is a square error sum criterion function, where the function is:
Figure RE-GDA0002604578360000072
wherein p is the output data set X of the electric energy meteriAn arbitrary value of (1), miFor different cluster centers, E is a function of the sum of squared errors criterion, where mi≥5。
In the above embodiment, the decision tree algorithm includes training of a classifier, selection of a root node, and selection of a child node, where the decision tree algorithm is constructed by screening different types of electric energy meter data information from a database, and then performing data training, where in the data training, a data sample D is first selected, and assuming that K categories are selected from the data sample, the sample D is selectedThe probability that a point belongs to the k-th class is set to pkThen the kini index of the probability distribution is defined as:
Figure RE-GDA0002604578360000073
then for data sample D, then there are:
Figure RE-GDA0002604578360000074
then C iskIf the data sample is a kth class data sample in the data sample D, the kini index of the data sample D is:
Figure RE-GDA0002604578360000081
wherein D1And D2Is a part divided by the feature A in the data set D, and then the feature with the minimum Gini index is selected
And the corresponding segmentation points are used as the optimal characteristics and the optimal segmentation points,
then determining a root node: selecting a root node of the decision tree according to the kini index calculated by the formula (5), and selecting the attribute with the larger kini index as the root node;
and then determining leaf nodes: selecting leaf nodes of the decision tree according to the calculated kini indexes, and selecting the leaf nodes with smaller kini indexes; then, continuously and repeatedly applying the formula (5) to calculate, and stopping calculating if the number of samples in the node is less than a preset threshold value or the Gini index of the sample set is less than the preset threshold value, then not calculating the classification attribute; constructing a data model through the determined root node and leaf node, and constructing a decision tree according to the data model; the constructed decision tree is in a tree structure, and the user target value is finally output. In this way it is possible to output data results quickly according to different properties,
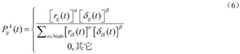
in the above embodiment, the FCM clustering algorithm is a fuzzy C-means clustering FCM algorithm. As shown in fig. 6, the fuzzy C-means clustering FCM algorithm includes the following steps:
(1) initializing, namely, initializing the selected data, so that the calculated data has high precision;
(2) the centroid is calculated, the calculation method evaluates by a weighted average,
Figure RE-GDA0002604578360000082
wherein m is the number of clusters of the cluster; i. j is a class designation; u. ofijRepresents a sample xiMembership belonging to class j, i denotes the ith sample, and x is a sample with d-dimensional features. c. CjIs the center of the j cluster, also having d dimension, | | x | can be any metric that represents distance.
(3) Updating membership matrix
Fuzzy c is a constant iterative calculation of membership uijAnd cluster center cjUntil the optimal value is achieved. The calculation formula is as follows:
Figure RE-GDA0002604578360000083
Figure RE-GDA0002604578360000084
wherein the termination condition of the iteration is as follows:
Figure RE-GDA0002604578360000085
where k is the number of iteration steps and is the error threshold, in a particular embodiment 0 < 3, more preferably
Further, the ant colony algorithm model construction method comprises the following steps:
(1) initializing; initializing the acquired data information of the electric energy meterThe selected initialization total group y (t) of the big data of the electric energy meter is set as y (t) ═ ymaxEnabling the big data asset information detected and output by the electric energy meter to serve as ant elements, initializing all elements of an ant element matrix to be 0 initially, and then randomly selecting the initial positions of the ant elements; wherein an information factor is sought
Figure RE-GDA0002604578360000091
Elicitor beta ∈ [ beta ]minmax](ii) a Finding pheromone concentration volatilization factor
Figure RE-GDA0002604578360000096
(2) Randomly placing m ant elements at N positions, and setting the cycle times of the ant elements for searching paths as NcAccording to Nc+1 sequence is cycled; in performing a data update, the following formula exists:
Figure RE-GDA0002604578360000092
Figure RE-GDA0002604578360000093
Figure RE-GDA0002604578360000094
(3) setting the index number k of the ant element taboo list as 1, and circulating through k + 1;
(4) calculating the probability of the ant selecting the position j according to a state transition probability formula of the following formula; then there are:
Figure RE-GDA0002604578360000095
the Node is a set of positions which are directly connected with the position i and through which ant elements do not pass;
(5) selecting a position with the maximum state transition probability, moving ant elements to the position with the maximum state transition probability, and recording the position into a taboo table;
(6) judging, if all the positions in the set are visited, making k less than m, wherein m is the number of the positions, executing a cycle operation through k +1, and if all the positions in the set are not visited, updating the information amount on each path;
(7) checking a termination condition, checking whether the termination condition is met, wherein the termination condition is that the probability of the ant selecting the position j is more than 83%, and if the termination condition is met, performing further operation;
(8) judging whether a new group is formed, if the termination condition is that the probability of the ant selecting the position j is less than 83%, forming the new group, and updating the pheromone matrix again, wherein the updating method is to recalculate the minimum data matrix D;
(9) and judging whether a termination genetic condition is met, and outputting a calculation result if the termination genetic condition is that the probability of the ant selecting the position j is more than 85% when the termination genetic condition is met.
Further, the ant colony algorithm updates the pheromone matrix more than 3 times.
Further, the relevance correction formula for updating the pheromone matrix by the ant colony algorithm is as follows:
rij(t+n)=ρrij(t)+Δrij (14)
wherein:
Figure RE-GDA0002604578360000101
Figure RE-GDA0002604578360000102
in the formula (16), ρ is a data information residual coefficient, 1- ρ is a volatilization degree of the ant seeking pheromone in a time interval within (t, t + n), and 1- ρ is used for restraining the ant seeking pheromone in a seeking path, so that the quantity of the ant seeking pheromone can not be limited.
Although specific embodiments of the present invention have been described above, it will be understood by those skilled in the art that these specific embodiments are merely illustrative and that various omissions, substitutions and changes in the form of the detail of the methods and systems described above may be made by those skilled in the art without departing from the spirit and scope of the invention. For example, it is within the scope of the present invention to combine the steps of the above-described methods to perform substantially the same function in substantially the same way to achieve substantially the same result. Accordingly, the scope of the invention is to be limited only by the following claims.

Claims (10)

1. The utility model provides an electric energy meter detecting system based on amalgamation ant colony algorithm which characterized in that: the system comprises:
the electric energy meter calibrating device and the electric energy meter calibrating assembly line or the portable electric energy meter calibrating device are also internally provided with sensors for sensing the environmental information of the electric energy meter, and the sensors sense and transmit various data information of the electric energy meter; the sensors at least comprise a photoelectric sensor, an infrared sensor, a speed sensor, an acceleration sensor, a GIS sensor, a vibration sensor, a ripple wave sensor, a temperature and humidity sensor, an angle sensor, a magnetic field sensor, a rotating speed sensor, an RFID label, GPS equipment, a ray radiation sensor, a heat-sensitive sensor or an energy consumption sensor;
the communication layer is internally provided with a wired communication module or a wireless communication module and is used for receiving and transmitting the data information of the electric energy meter sensed by the detection layer; the wired communication module at least comprises an RS485 communication module or an RS232 communication module, and the wireless communication module at least comprises a TCP/IP network system, a ZigBee wireless network, a GPRS communication module, CDMA wireless communication, a cloud communication module or a Bluetooth communication module; the communication unit also comprises a physical layer, a data link layer, a network layer, a transmission layer, a session layer, a presentation layer and an application layer; wherein the TCP/IP network system at least comprises a network card, a network cable, a hub, a repeater or a modem, and the data link layer at least comprises a network bridge or a switch; the network layer comprises at least a router; the communication layer also comprises a plurality of communication protocols, and the communication protocols at least comprise TCP/IP, UDP, IPSec, MODBUS/TCP, OPC, proprietary protocols, PROFIBUS-DP, MPI, PPI, S7, FX series programming port and serial port protocols, Q series serial port 4C protocols, Ethernet 3E protocols, CC-LINK, A series or ohm dragon HostLink protocols, so as to realize the communication requirements of different electric energy meter interfaces or communication equipment;
the data analysis layer is internally provided with a computer management system or a cloud server and is used for receiving and processing the electric energy meter data information transmitted by the detection layer; the computer management system or the cloud server is provided with a big data management platform, the big data management platform is provided with an infrastructure layer, an information storage layer, an information calculation layer and an information interaction layer, and the infrastructure layer is internally provided with a permission management module, a resource management module, a service management module, a resource addressing module, a data interface module, an information receiving module, an information selection module, an information integration module or an information fusion module; a distributed architecture management module is arranged in the information storage layer, and at least an exception handling module, a data exchange module, a log processing module, a data browsing module, a content retrieval module and a permission authentication module are arranged in the distributed architecture management module; the information computing layer is provided with a data analysis and mining tool library, and the data analysis and mining tool library is at least provided with a text mining module, a statistical analysis module, a data computing module, an algorithm model module, a text indexing module, a semantic indexing module and an auxiliary indexing module; the information interaction layer is provided with an application program module, and the application program module is at least provided with a network setting module, a server and a platform, a storage system, a service and application module, an information system interface, safety equipment, a virtual environment module and a machine room environment information module; the improved ant colony algorithm module is arranged in the data analysis and mining tool library and is integrated with a classification model;
the upper monitoring layer is internally provided with a computer component, a database integrated in the computer component, a monitoring unit and a remote information communication module so as to store, use or transmit data processed by the detection layer; wherein:
the output on detection layer with the input on communication layer is connected, the output on communication layer with the input on data analysis layer is connected, the output on data analysis layer with the input on upper monitoring layer is connected.
2. An electric energy meter detection method based on a fusion ant colony algorithm is characterized in that: the method comprises the following steps:
(1) data acquisition: the method comprises the steps that data information measured by the electric energy meter is obtained through a detection layer, wherein the data information comprises electric energy meter parameter information and electric energy meter surrounding environment data information, the electric energy meter parameter information comprises electric energy meter output current, voltage, power factors, ripples or phase sequences, and the electric energy meter surrounding environment data information comprises electric energy meter detection environment voltage, current, harmonic waves, vibration, magnetic fields, electromagnetic interference, temperature, humidity, voltage unbalance, current unbalance, flicker, power factors, power grid clutter interference or load power;
(2) data transmission: transmitting data information detected from the detection layer through the communication layer;
(3) data processing and analysis: the method comprises the steps of dividing attributes of different data types by using an improved ant colony algorithm model fused with a classification algorithm model, and searching data optimal values among different classification attributes and in different data categories in the same data attribute by using the ant colony algorithm model, so that a user can quickly find out target data from different databases, and the time for searching the data is reduced;
(4) and data monitoring, namely receiving data information output by the data analysis layer through the upper monitoring layer, and realizing remote sharing and application of data.
3. The electric energy meter detection method based on the ant colony fusion algorithm according to claim 2, characterized in that: the improved ant colony algorithm model is as follows: and accessing the ant colony algorithm model in the classification algorithm model, accessing the classification algorithm model in the ant colony algorithm model, accessing the classification algorithm model at the output end of the ant colony algorithm model, or accessing the ant colony algorithm model at the output end of the classification algorithm model.
4. The electric energy meter detection method based on the ant colony fusion algorithm according to claim 3, characterized in that: the classification algorithm model is the K-Means algorithm, the decision tree or the FCM clustering algorithm.
5. The electric energy meter detection method based on the ant colony fusion algorithm according to claim 4, characterized in that: the calculation process of the K-Means algorithm is as follows:
(1) selecting k objects from a plurality of electric energy meter detection data sets as initial clustering centers, wherein the set of electric energy meter detection output data is X ═ { X ═ Xm1, 2.. times.m., and if there are d different classification attributes in the data set, there is a1,A2,...,AdDifferent dimensions, then different data samples x of the electric energy meteri=(xi1,xi2,...,xid)、xj=(xj1,xj2,...,xjd) Is a sample xi、xjCorresponding to d different classification attributes A1,A2,...,AdThe specific value of (a);
(2) calculating the distance from each clustering object to the clustering center to divide the classification attribute, xiAnd xjThe similarity between them is calculated by a distance formula, xiAnd xjThe smaller the distance between, the sample xiAnd xjThe more similar, xiAnd xjThe greater the distance between, sample xiAnd xjThe farther apart the phase difference; the distance formula is:
Figure RE-FDA0002723492240000021
(3) calculating each clustering center again, taking the sample mean value in each cluster as a new clustering center through repeated calculation, and repeating the step (2);
(4) when the clustering center is not changed any more or the maximum iteration number is reached, stopping the calculation, otherwise, repeating the steps (2) and (3);
the clustering performance evaluation formula of the K-Means algorithm is a square error sum criterion function, and the function is as follows:
Figure RE-FDA0002723492240000031
wherein p is the output data set X of the electric energy meteriAn arbitrary value of (1), miFor different cluster centers, E is a function of the sum of squared errors criterion, where mi≥5。
6. The electric energy meter detection method based on the ant colony fusion algorithm according to claim 4, characterized in that: the decision tree algorithm includes training of a classifier, selection of a root node, and selection of a child node.
7. The electric energy meter detection method based on the ant colony fusion algorithm according to claim 4, characterized in that: the FCM clustering algorithm is a fuzzy C-means clustering FCM algorithm.
8. The electric energy meter detection method based on the ant colony fusion algorithm according to claim 3, characterized in that: the ant colony algorithm model construction method comprises the following steps:
(1) initializing; initializing the acquired data information of the electric energy meter, and setting the initialization total group y (t) of the selected big data of the electric energy metery(t)=ymaxEnabling the big data asset information detected and output by the electric energy meter to serve as ant elements, initializing all elements of an ant element matrix to be 0 initially, and then randomly selecting the initial positions of the ant elements; wherein an information factor is sought
Figure RE-FDA0002723492240000032
Elicitor beta ∈ [ beta ]minmax]Finding out the pheromone concentration volatility factor rho E [ rho ∈ ]minmax];
(2) Randomly placing m ant elements at N positions, and setting the cycle times of the ant elements for searching paths as NcAccording to Nc+1 sequence is cycled; in performing a data update, the following formula exists:
Figure RE-FDA0002723492240000033
Figure RE-FDA0002723492240000034
Figure RE-FDA0002723492240000035
(3) setting the index number k of the ant element taboo list as 1, and circulating through k + 1;
(4) calculating the probability of the ant selecting the position j according to a state transition probability formula of the following formula; then there are:
Figure RE-FDA0002723492240000036
the Node is a set of positions which are directly connected with the position i and through which ant elements do not pass;
(5) selecting a position with the maximum state transition probability, moving ant elements to the position with the maximum state transition probability, and recording the position into a taboo table;
(6) judging, if all the positions in the set are visited, making k less than m, wherein m is the number of the positions, executing a cycle operation through k +1, and if all the positions in the set are not visited, updating the information amount on each path;
(7) checking a termination condition, checking whether the termination condition is met, wherein the termination condition is that the probability of the ant selecting the position j is more than 83%, and if the termination condition is met, performing further operation;
(8) judging whether a new group is formed, if the termination condition is that the probability of the ant selecting the position j is less than 83%, forming the new group, and updating the pheromone matrix again, wherein the updating method is to recalculate the minimum data matrix D;
(9) and judging whether a termination genetic condition is met, and outputting a calculation result if the termination genetic condition is that the probability of the ant selecting the position j is more than 85% when the termination genetic condition is met.
9. The electric energy meter detection method based on the ant colony fusion algorithm according to claim 8, characterized in that: the ant colony algorithm updates the pheromone matrix more than 3 times.
10. The electric energy meter detection method based on the ant colony fusion algorithm according to claim 9, characterized in that: the relevance correction formula for updating the pheromone matrix by the ant colony algorithm is as follows:
rij(t+n)=ρrij(t)+Δrij (7)
wherein:
Figure RE-FDA0002723492240000041
Figure RE-FDA0002723492240000042
in the formula (9), ρ is a data information residual coefficient, 1- ρ is a volatilization degree of the ant seeking pheromone in a time interval within (t, t + n), and 1- ρ is used for restraining the ant seeking pheromone in a seeking path, so that the quantity of the ant seeking pheromone can not be limited.
CN202010481578.9A2020-05-312020-05-31Electric energy meter detection system and method based on fusion ant colony algorithmPendingCN111929633A (en)

Priority Applications (1)

Application NumberPriority DateFiling DateTitle
CN202010481578.9ACN111929633A (en)2020-05-312020-05-31Electric energy meter detection system and method based on fusion ant colony algorithm

Applications Claiming Priority (1)

Application NumberPriority DateFiling DateTitle
CN202010481578.9ACN111929633A (en)2020-05-312020-05-31Electric energy meter detection system and method based on fusion ant colony algorithm

Publications (1)

Publication NumberPublication Date
CN111929633Atrue CN111929633A (en)2020-11-13

Family

ID=73317107

Family Applications (1)

Application NumberTitlePriority DateFiling Date
CN202010481578.9APendingCN111929633A (en)2020-05-312020-05-31Electric energy meter detection system and method based on fusion ant colony algorithm

Country Status (1)

CountryLink
CN (1)CN111929633A (en)

Cited By (11)

* Cited by examiner, † Cited by third party
Publication numberPriority datePublication dateAssigneeTitle
CN112650177A (en)*2020-12-232021-04-13马陆咀Remote on-line monitoring management system for shrimp culture products and implementation method
CN112688812A (en)*2020-12-232021-04-20浙江大学Reliability perception time-sensitive network routing method applied to power data transmission
CN113218444A (en)*2021-03-312021-08-06中国电力科学研究院有限公司Intelligent sensing method and device for operating environment of electric energy metering device
CN113376562A (en)*2021-06-082021-09-10国网重庆市电力公司营销服务中心CVT (continuously variable transmission) verification method, device and medium based on rolling time window-FCM (fuzzy c-means) clustering
CN114442026A (en)*2021-12-142022-05-06广西电网有限责任公司Three-phase installation type standard meter automatic verification method and system
CN115032583A (en)*2022-06-062022-09-09安徽南瑞中天电力电子有限公司Method and system for rapidly testing metering error of electric energy meter based on ant colony algorithm
CN116106816A (en)*2023-01-132023-05-12北京市腾河智慧能源科技有限公司Electric energy meter error calibration method, system, equipment and medium based on 5G module
CN116153437A (en)*2023-04-192023-05-23乐百氏(广东)饮用水有限公司Water quality safety evaluation and water quality prediction method and system for drinking water source
CN116780781A (en)*2023-08-242023-09-19滇恒能源技术(云南)有限公司Power management method for smart grid access
CN116776454A (en)*2022-03-042023-09-19中国人民解放军空军航空大学Aeroengine on-wing reliability assessment method based on monitoring information fusion
CN116775958A (en)*2023-08-212023-09-19南京卓谦科技服务有限公司 Information query data processing method and device

Citations (9)

* Cited by examiner, † Cited by third party
Publication numberPriority datePublication dateAssigneeTitle
KR20100045584A (en)*2008-10-242010-05-04성균관대학교산학협력단An integrated context generation system based on the ant colony algorithm for hci applications and the method thereof
CN103246958A (en)*2013-05-172013-08-14国家电网公司Production concentrating operation system of provincial power metering center
CN104732091A (en)*2015-03-252015-06-24武汉大学Cellular automaton river bed evolution prediction method based on natural selection ant colony algorithm
CN107357652A (en)*2017-06-162017-11-17北京邮电大学A kind of cloud computing method for scheduling task based on segmentation sequence and standard deviation Dynamic gene
CN108985308A (en)*2017-05-302018-12-11郑州博信知识产权代理有限公司The system and method for electric energy meter presentation quality is quickly analyzed based on data mining algorithm
CN109975740A (en)*2019-05-132019-07-05广东省计量科学研究院(华南国家计量测试中心)A kind of calibrating monitoring system of electric energy meter checking device
CN110287268A (en)*2019-06-302019-09-27智慧谷(厦门)物联科技有限公司A kind of digital asset processing method and system based on block chain
CN110471021A (en)*2018-05-102019-11-19宁夏隆基宁光仪表股份有限公司A kind of electric energy meter calibrating apparatus and method with built-in monitoring base table
CN110490229A (en)*2019-07-162019-11-22昆明理工大学A kind of electric energy meter calibration error diagnostics method based on spark and clustering algorithm

Patent Citations (9)

* Cited by examiner, † Cited by third party
Publication numberPriority datePublication dateAssigneeTitle
KR20100045584A (en)*2008-10-242010-05-04성균관대학교산학협력단An integrated context generation system based on the ant colony algorithm for hci applications and the method thereof
CN103246958A (en)*2013-05-172013-08-14国家电网公司Production concentrating operation system of provincial power metering center
CN104732091A (en)*2015-03-252015-06-24武汉大学Cellular automaton river bed evolution prediction method based on natural selection ant colony algorithm
CN108985308A (en)*2017-05-302018-12-11郑州博信知识产权代理有限公司The system and method for electric energy meter presentation quality is quickly analyzed based on data mining algorithm
CN107357652A (en)*2017-06-162017-11-17北京邮电大学A kind of cloud computing method for scheduling task based on segmentation sequence and standard deviation Dynamic gene
CN110471021A (en)*2018-05-102019-11-19宁夏隆基宁光仪表股份有限公司A kind of electric energy meter calibrating apparatus and method with built-in monitoring base table
CN109975740A (en)*2019-05-132019-07-05广东省计量科学研究院(华南国家计量测试中心)A kind of calibrating monitoring system of electric energy meter checking device
CN110287268A (en)*2019-06-302019-09-27智慧谷(厦门)物联科技有限公司A kind of digital asset processing method and system based on block chain
CN110490229A (en)*2019-07-162019-11-22昆明理工大学A kind of electric energy meter calibration error diagnostics method based on spark and clustering algorithm

Non-Patent Citations (3)

* Cited by examiner, † Cited by third party
Title
刘卫东: ""基于蚁群算法和禁忌搜索的部队机动路径选择"", 《系统工程与电子技术》*
白志霞: ""基于集群智能的智能电能表异常检测技术"", 《电测与仪表》*
薛萍: ""改进蚁群算法与BP 网络融合预测铅酸蓄电池SOC"", 《哈尔滨理工大学学报》*

Cited By (16)

* Cited by examiner, † Cited by third party
Publication numberPriority datePublication dateAssigneeTitle
CN112688812A (en)*2020-12-232021-04-20浙江大学Reliability perception time-sensitive network routing method applied to power data transmission
CN112688812B (en)*2020-12-232022-05-06浙江大学 A reliability-aware time-sensitive network routing method for power data transmission
CN112650177A (en)*2020-12-232021-04-13马陆咀Remote on-line monitoring management system for shrimp culture products and implementation method
CN113218444A (en)*2021-03-312021-08-06中国电力科学研究院有限公司Intelligent sensing method and device for operating environment of electric energy metering device
CN113376562A (en)*2021-06-082021-09-10国网重庆市电力公司营销服务中心CVT (continuously variable transmission) verification method, device and medium based on rolling time window-FCM (fuzzy c-means) clustering
CN114442026A (en)*2021-12-142022-05-06广西电网有限责任公司Three-phase installation type standard meter automatic verification method and system
CN116776454A (en)*2022-03-042023-09-19中国人民解放军空军航空大学Aeroengine on-wing reliability assessment method based on monitoring information fusion
CN115032583A (en)*2022-06-062022-09-09安徽南瑞中天电力电子有限公司Method and system for rapidly testing metering error of electric energy meter based on ant colony algorithm
CN116106816A (en)*2023-01-132023-05-12北京市腾河智慧能源科技有限公司Electric energy meter error calibration method, system, equipment and medium based on 5G module
CN116106816B (en)*2023-01-132024-04-26北京市腾河智慧能源科技有限公司Electric energy meter error calibration method, system, equipment and medium based on 5G module
CN116153437A (en)*2023-04-192023-05-23乐百氏(广东)饮用水有限公司Water quality safety evaluation and water quality prediction method and system for drinking water source
CN116153437B (en)*2023-04-192023-06-30乐百氏(广东)饮用水有限公司Water quality safety evaluation and water quality prediction method and system for drinking water source
CN116775958A (en)*2023-08-212023-09-19南京卓谦科技服务有限公司 Information query data processing method and device
CN116775958B (en)*2023-08-212023-11-21宇文道静Information query data processing method and device
CN116780781A (en)*2023-08-242023-09-19滇恒能源技术(云南)有限公司Power management method for smart grid access
CN116780781B (en)*2023-08-242023-11-10滇恒能源技术(云南)有限公司Power management method for smart grid access

Similar Documents

PublicationPublication DateTitle
CN111929633A (en)Electric energy meter detection system and method based on fusion ant colony algorithm
Lv et al.Industrial security solution for virtual reality
CN111722174A (en)System and method for realizing electric energy meter abnormity diagnosis by applying quantum particle group algorithm
CN110020712B (en) A cluster-based optimized particle swarm BP network prediction method and system
Li et al.Dynamic structure embedded online multiple-output regression for streaming data
Huang et al.A weighted fuzzy C-means clustering method with density peak for anomaly detection in IoT-enabled manufacturing process
CN108255854A (en)Fuzzy neural network data digging method based on particle group optimizing
CN111562541B (en)Software platform for realizing electric energy meter detection data management by applying CART algorithm
CN105867323A (en)Industrial cloud data safety automatic production line based on dynamic clonal selection algorithm
Xia et al.Granular-ball computing: an efficient, robust, and interpretable adaptive multi-granularity representation and computation method
CN116148753A (en)Intelligent electric energy meter operation error monitoring system
CN113687292A (en)System and method for detecting electric energy meter wrong wiring in big data and cloud environment
CN117236699A (en)Network risk identification method and system based on big data analysis
Ullah et al.Adaptive data balancing method using stacking ensemble model and its application to non-technical loss detection in smart grids
CN113645238B (en)DDoS defense method for Handle identification system
CN115619605A (en) A method for assessing the environmental quality of traditional residential buildings based on semantic information
CN118365251A (en)Chemical material warehouse management system based on Internet of things
Yamin et al.Research on matching method for case retrieval process in CBR based on FCM
Ren et al.Prediction of Distribution Network Line Loss Rate Based on Ensemble Learning.
CN117834206A (en)Attack detection method, device, equipment and storage medium for power grid
Rui et al.Context-based intelligent scheduling and knowledge push algorithms for ar-assist communication network maintenance
Li et al.Research on Big Data Text Clustering Algorithm Based on Swarm Intelligence
Şimşek et al.A Study on Deep Learning Methods in the Concept of Digital Industry 4.0
WangAn optimisation of mobile terminal data mining method based on internet of things
LiMultidimensional Information Network Big Data Mining Algorithm Relying on Finite Element Analysis

Legal Events

DateCodeTitleDescription
PB01Publication
PB01Publication
SE01Entry into force of request for substantive examination
SE01Entry into force of request for substantive examination
WD01Invention patent application deemed withdrawn after publication
WD01Invention patent application deemed withdrawn after publication

Application publication date:20201113


[8]ページ先頭

©2009-2025 Movatter.jp