Movatterモバイル変換


[0]ホーム

URL:


CN111911988B - Intelligent control method and system for heat storage and release and energy saving of solid heat accumulator - Google Patents

Intelligent control method and system for heat storage and release and energy saving of solid heat accumulator
Download PDF

Info

Publication number
CN111911988B
CN111911988BCN202010777599.5ACN202010777599ACN111911988BCN 111911988 BCN111911988 BCN 111911988BCN 202010777599 ACN202010777599 ACN 202010777599ACN 111911988 BCN111911988 BCN 111911988B
Authority
CN
China
Prior art keywords
heat
temperature
accumulator
solid
heat storage
Prior art date
Legal status (The legal status is an assumption and is not a legal conclusion. Google has not performed a legal analysis and makes no representation as to the accuracy of the status listed.)
Active
Application number
CN202010777599.5A
Other languages
Chinese (zh)
Other versions
CN111911988A (en
Inventor
徐耀祖
徐景久
商向东
朱丹
刘天龙
王爽
Current Assignee (The listed assignees may be inaccurate. Google has not performed a legal analysis and makes no representation or warranty as to the accuracy of the list.)
Shenyang Huawei Engineering Technology Co ltd
Original Assignee
Shenyang Huawei Engineering Technology Co ltd
Priority date (The priority date is an assumption and is not a legal conclusion. Google has not performed a legal analysis and makes no representation as to the accuracy of the date listed.)
Filing date
Publication date
Application filed by Shenyang Huawei Engineering Technology Co ltdfiledCriticalShenyang Huawei Engineering Technology Co ltd
Priority to CN202010777599.5ApriorityCriticalpatent/CN111911988B/en
Publication of CN111911988ApublicationCriticalpatent/CN111911988A/en
Application grantedgrantedCritical
Publication of CN111911988BpublicationCriticalpatent/CN111911988B/en
Activelegal-statusCriticalCurrent
Anticipated expirationlegal-statusCritical

Links

Images

Classifications

Landscapes

Abstract

An intelligent control method and system for heat storage and release and energy conservation of a solid heat accumulator belong to the technical field of solid heat accumulation. The intelligent control method for heat storage and release and energy saving of the solid heat accumulator comprises the following steps: s1, presetting the total heat storage amount of the heat storage body in the solid heat storage device within 24 hours from the initial heat storage time to the next day and the temperature of the heat supply outlet water of the solid heat storage device in each period within 24 hours; s2, the solid heat accumulator starts to accumulate and release heat, and from the initial heat accumulation time, the heat accumulation temperature of the heat accumulator in the heat accumulation period is calculated in real time, and the heat accumulation time is determined as follows: and when the heat storage temperature of the heat accumulator is greater than or equal to the real-time temperature of the heat accumulator, stopping heat storage, and continuously releasing heat of the solid heat accumulator till the end of the 24 hours. The solid heat accumulator heat storage and release energy-saving intelligent control method and system reasonably and effectively control the solid heat accumulation system according to the outdoor temperature, the indoor set temperature and the building area, so that the heating requirement of a terminal user can be met, and energy can be saved.

Description

Intelligent control method and system for heat storage and release and energy saving of solid heat accumulator
Technical Field
The invention relates to the technical field of solid heat storage, in particular to a heat storage and release energy-saving intelligent control method and system for a solid heat accumulator.
Background
With the development of the times and the improvement of the living standard of people, the difference between the peak and the valley of the power supply is gradually increased, and in order to relieve the contradiction, the power department in China pushes the peak and valley electricity price and encourages to support the application of the low valley energy storage technology. Solid heat storage technology is increasingly receiving attention from people due to its characteristics of safety, environmental protection and convenient adjustment. The solid heat storage technology has obvious peak load regulation and valley fill effects, so that corresponding benefits are obtained between power production enterprises and users. When the initial heating period in winter and the environmental temperature in winter are higher, if heat is stored and released according to the same standard in the late winter period and the lower temperature, the energy is wasted.
The solid heat accumulator can convert electric energy into heat energy for storage in the electricity consumption valley period, and the stored heat energy can be used in the electricity consumption peak period to continuously release the heat energy to the heating system, so that the electricity consumption pressure in the electricity consumption peak period is relieved. The solid heat storage system can save the operation cost of a user, balance the load of a power plant and has good market prospect. However, in the operation process of the solid heat storage system, due to different ambient temperatures, different weather conditions and different user requirements in the heating period, if the heat storage time, temperature and heating outlet water temperature of the solid heat storage device are controlled according to the same method, energy waste and certain economic loss are caused to a certain extent.
Disclosure of Invention
In order to solve the technical problems of energy waste and the like caused in the control process of a solid heat accumulator system in the prior art, the invention provides an intelligent control method and system for heat storage and release of a solid heat accumulator, which can reasonably and effectively control the solid heat accumulator system according to outdoor temperature, indoor set temperature and building area, can ensure the heating requirement of a terminal user, can save energy to the maximum extent, and avoids energy waste.
In order to achieve the purpose, the technical scheme of the invention is as follows:
an intelligent control method for heat storage and release and energy conservation of a solid heat accumulator comprises the following steps:
s1, presetting the total heat storage amount of the heat storage body in the solid heat storage device within 24 hours from the initial heat storage time to the next day and the temperature of the heat supply outlet water of the solid heat storage device in each period within 24 hours;
s1.1, presetting the total heat storage amount of the heat accumulator as follows:
building heating heat load index q in ith periodiComprises the following steps:
Figure BDA0002619035190000011
in the formula, qiIs a heat load index of the i-th period, W/m2,i=0,1,2…,23;K1Is the heat transfer coefficient of the building outer wall, W/(m)2·℃);、K2Is the heat transfer coefficient of the building window, W/(m)2·℃);K3Is the heat transfer coefficient of the top roof of the building, W/(m)2·℃);K4Is the heat transfer coefficient of the ground of the building bottom layer, W/(m)2·℃);S1M is the area of the outer wall of the building2;S2Is the area of the building window, m2;S3Is the area of the top roof of the building, m2;S4Is the area of the ground of the building floor, m2;TsniSetting the indoor temperature for the ith time period; t isswiThe outdoor temperature in the ith time period; a is the building area, m2
The total heat storage quantity Q of the heat accumulatortxComprises the following steps:
Figure BDA0002619035190000021
in the formula, the total heat storage quantity Q of the heat accumulatortxIn kWh;
Qtxi=qiA (1.3)
in the formula, QtxiThe heat storage amount, kWh, of each time period of the heat accumulator in 24 hours from the initial heat storage time of the solid heat accumulator to the next day;
s1.2, presetting the temperature T of the hot water supply outlet of the solid heat accumulator in each period within 24 hoursywgi
Figure BDA0002619035190000022
In the formula, vwSetting hot water flow m in heating system3/h;ρwIs hot water average density kg/m3,cwThe specific heat capacity of hot water, kJ/(kg. DEG C); etagrIs the pipeline loss coefficient; t iswhiSetting the backwater temperature at the temperature of DEG C for each time interval;
eta ofgrComprises the following steps:
Figure BDA0002619035190000023
in the formula, TywgPresetting the average value of the temperature of the heating water outlet within 24 hours in the previous day at DEG C; t iswhSetting the average value of the backwater temperature in 24 hours in the previous day at DEG C; t isgwThe temperature of the outer surface of the pipeline is kept at the temperature of DEG C; lambda [ alpha ]bwThe thermal conductivity coefficient of the thermal insulation material is W/m DEG C; d1The diameter of the pipeline heat-insulating layer is mm; d0Is the outer diameter of the pipeline, mm; l isghThe total length of a water supply pipe and a water return pipe of a heating system is m;
Figure BDA0002619035190000024
the wind speed (0 is taken for a buried pipe) of the heat-insulating outer surface of the pipeline is m/s; q'txiThe heat storage quantity Q of the heat storage body in each period from the initial heat storage time of the solid heat accumulator to the next day within 24 hourstxiAverage value of (d);
s2, the solid heat accumulator starts to accumulate and release heat, and from the initial heat accumulation time, the heat accumulation temperature of the heat accumulator in the heat accumulation period is calculated in real time, and the heat accumulation time is determined as follows:
the heat storage temperature T of the heat storage body in the heat storage period of the solid heat accumulator is obtained through the heat storage total amount of the heat storage body in the solid heat accumulator within 24 hours from the heat storage initial time to the next dayyxr
Figure BDA0002619035190000031
In the formula, m is the total mass of the heat accumulator, kg; c is the specific heat capacity of the heat accumulator, kJ/(kg DEG C); b is the heat accumulation termination time; qjJ is 0,1, …, b, kWh, the heat supply of the solid regenerator during the heat storage period; etaxrThe heat storage efficiency coefficient; etaygPresetting a margin coefficient; t isxrcSetting the initial heat accumulation temperature of the heat accumulator at DEG C;
heat supply Q of solid heat accumulator during heat accumulationjComprises the following steps:
Figure BDA0002619035190000032
in the formula, vwsFor real-time hot water flow of heating system, m3/h;TgsSupplying the temperature of the hot water and the outlet water to the solid heat accumulator in real time; t ishsReal-time return water temperature of the solid heat accumulator;
when the heat storage temperature T of the heat storage bodyyxrAnd when the temperature is higher than or equal to the real-time temperature of the heat accumulator, stopping heat accumulation, and continuously releasing heat of the solid heat accumulator till the end of the 24 hours.
Further, the step S2 includes presetting the hot outlet water temperature T in the solid heat accumulator in each time intervalywgiAnd (3) self-adaptive adjustment:
according to the real-time return water temperature T of the solid heat accumulatorhsAnd the set return water temperature T of the hot water at the momentwhiObtaining a fluctuation temperature difference delta:
Δ=Ths-Twhi
temperature T of hot supply outlet water of each time interval of solid heat accumulatorywgiSelf-adaptive adjustment is carried out, and the adjusted preset hot water supply temperature Tywgi' is:
Tywgi'=Tywgi-Δ。
preferably, the heat storage efficiency coefficient ηxrWas 1.05.
Preferably, the preset margin coefficient ηygWas 1.05.
Preferably, the heat accumulation termination time b is less than or equal to 10.
The heat storage and release energy-saving intelligent control system of the solid heat accumulator controls the heat storage and release of the solid heat accumulator by the heat storage and release energy-saving intelligent control method of the solid heat accumulator, wherein the solid heat accumulator comprises a heat storage part and a heat release part, and the heat storage part comprises a heat accumulator and resistance wires distributed on the heat accumulator; the heat release part comprises a heat exchanger and a variable frequency centrifugal fan, the air inlet of the heat exchanger is communicated with the heat accumulator, the air outlet of the heat exchanger is provided with the variable frequency centrifugal fan, the water outlet and the water return port of the heat exchanger are both communicated with a heating system and used for circularly supplying heat,
the heat storage and release energy-saving intelligent control system of the solid heat accumulator comprises a PLC controller, and a data collector, a temperature sensor I, a temperature sensor II, a temperature sensor III and a flowmeter which are respectively connected with the PLC controller;
the PLC is arranged in the control cabinet, the PLC is connected with the resistance wire through the high-voltage feed-out cabinet, and the PLC controls the heating of the resistance wire through the high-voltage feed-out cabinet; the control cabinet is connected with a variable frequency motor of the variable frequency centrifugal fan and is used for controlling the working frequency of the variable frequency motor;
the data acquisition unit acquires the outdoor temperature of each time period from the initial heat storage moment to the next day within 24 hours of the moment of the solid heat accumulator and inputs the outdoor temperature to the PLC;
the first temperature sensor is arranged on the heat accumulator and used for collecting the real-time temperature of the heat accumulator;
the second temperature sensor is arranged at a water outlet of the heat exchanger and used for acquiring the temperature of the solid heat accumulator for supplying heat and yielding water in real time;
the temperature sensor III is arranged at a water return port of the heat exchanger and used for collecting the real-time water return temperature of the solid heat accumulator;
the flowmeter is arranged at a water return port of the heat exchanger and used for collecting the real-time hot water flow of the heating system.
Further, the data collector comprises a gateway module, a protocol converter and an RS-485 interface, the gateway module is connected with the PLC through the protocol converter and the RS-485 interface, the gateway module is further connected with a PC end webpage, and the collected outdoor temperature of the solid heat accumulator in each time period from the initial heat accumulation time to the next day within 24 hours is input into the PLC.
Furthermore, an air outlet of the variable-frequency centrifugal fan is connected with the heat accumulator.
The invention has the beneficial effects that:
the invention can preset the total heat storage amount of the heat accumulator and the temperature of the heat supply water outlet in each time interval according to the outdoor temperature of the weather forecast, and stops heat storage in time according to the heat storage temperature of the heat accumulator, thereby not only ensuring the heating requirement of a terminal user, but also saving energy to the maximum extent, avoiding energy waste, greatly reducing the operation cost and having important significance on reasonable utilization of the energy.
Additional features and advantages of the invention will be set forth in part in the detailed description which follows.
Drawings
Fig. 1 is a schematic structural diagram of an intelligent heat storage and release energy-saving control system of a solid heat accumulator according to an embodiment of the present invention.
Reference numerals in the drawings of the specification include:
the method comprises the following steps of 1-a PLC (programmable logic controller), 2-a data collector, 3-a high-voltage output cabinet, 4-a resistance wire, 5-a heat accumulator, 6-a heat exchanger, 7-a variable frequency motor, 8-a circulating fan, 9-a temperature sensor I, 10-a temperature sensor II, 11-a temperature sensor III, 12-a pressure gauge, 13-a flow meter, 14-a water outlet and 15-a water return port.
Detailed Description
The technical solutions in the embodiments of the present invention will be clearly and completely described below with reference to the drawings in the embodiments of the present invention, and it is obvious that the described embodiments are only a part of the embodiments of the present invention, and not all of the embodiments.
In the description of the present invention, it is to be understood that the terms "longitudinal", "lateral", "vertical", "up", "down", "front", "back", "left", "right", "vertical", "horizontal", "top", "bottom", "inner", "outer", etc., indicate orientations or positional relationships based on those shown in the drawings, and are used only for convenience in describing the present invention and for simplicity in description, and do not indicate or imply that the device or element being referred to must have a particular orientation, be constructed and operated in a particular orientation, and thus, should not be construed as limiting the present invention. Furthermore, the terms "a," "an," "two," and "three" are used for descriptive purposes only and are not to be construed as indicating or implying relative importance.
In the description of the present invention, unless otherwise specified and limited, it is to be noted that the terms "mounted," "connected," and "connected" are to be interpreted broadly, and may be, for example, a mechanical connection or an electrical connection, a communication between two elements, a direct connection, or an indirect connection via an intermediate medium, and specific meanings of the terms may be understood by those skilled in the art according to specific situations.
In order to solve the problems in the prior art, the invention provides an intelligent control method for heat storage, heat release and energy saving of a solid heat accumulator, which comprises the following steps:
s1, presetting the total heat storage amount of theheat storage body 5 in the solid heat accumulator within 24 hours from the initial heat storage time to the next day and the temperature of the hot supply water of the solid heat accumulator in each period of 24 hours;
s1.1, presetting the total heat storage amount of theheat accumulator 5 as follows:
building heating heat load index q in ith periodiComprises the following steps:
Figure BDA0002619035190000051
in the formula, qiIs a heat load index of the i-th period, W/m2,i=0,1,2…,23;K1Is the heat transfer coefficient of the building outer wall, W/(m)2·℃);、K2Is the heat transfer coefficient of the building window, W/(m)2·℃);K3Is the heat transfer coefficient of the top roof of the building, W/(m)2·℃);K4Is the heat transfer coefficient of the ground of the building bottom layer, W/(m)2·℃);S1M is the area of the outer wall of the building2;S2Is the area of the building window, m2;S3Is the area of the top roof of the building, m2;S4Is the area of the ground of the building floor, m2;TsniSetting the indoor temperature for the ith time period; t isswiThe outdoor temperature in the ith time period; a is the building area, m2
Total heat storage quantity Q ofheat storage body 5txComprises the following steps:
Figure BDA0002619035190000061
in the formula, the heat storage total amount Q of theheat storage body 5txIn kWh;
Qtxi=qiA (1.3)
in the formula, QtxiThe heat storage amount of each time interval, kWh, of theheat accumulator 5 from the initial heat storage time of the solid heat accumulator to the next day within 24 hours of the time;
s1.2, presetting the temperature T of the hot water supply outlet of the solid heat accumulator in each period within 24 hoursywgi
Figure BDA0002619035190000062
In the formula, vwSetting hot water flow m in heating system3/h;ρwIs hot water average density kg/m3,cwThe specific heat capacity of hot water, kJ/(kg. DEG C); etagrIs the pipeline loss coefficient; t iswhiSetting the backwater temperature at the temperature of DEG C for each time interval;
ηgrcomprises the following steps:
Figure BDA0002619035190000063
in the formula, TywgPresetting the average value of the temperature of the heating water outlet within 24 hours in the previous day at DEG C; t iswhSetting the average value of the backwater temperature in 24 hours in the previous day at DEG C; t isgwThe temperature of the outer surface of the pipeline is kept at the temperature of DEG C; lambda [ alpha ]bwThe thermal conductivity coefficient of the thermal insulation material is W/m DEG C; d1The diameter of the pipeline heat-insulating layer is mm; d0Is the outer diameter of the pipeline, mm; l isghThe total length of a water supply pipe and a water return pipe of a heating system is m;
Figure BDA0002619035190000065
the wind speed (0 is taken for a buried pipe) of the heat-insulating outer surface of the pipeline is m/s; q'txiThe heat storage quantity Q of theheat storage body 5 in each period from the initial heat storage time of the solid heat accumulator to the next day within 24 hourstxiAverage value of (d);
s2, the solid heat accumulator starts to accumulate and release heat, and calculates the heat accumulation temperature of theheat accumulator 5 in the heat accumulation period in real time from the heat accumulation initial time to determine the heat accumulation time:
the heat storage temperature T of theheat storage body 5 in the heat storage period of the solid heat accumulator is obtained through the heat storage total amount of theheat storage body 5 in the solid heat accumulator within 24 hours from the heat storage initial time to the next dayyxr
Figure BDA0002619035190000064
In the formula, m is the total mass of theheat accumulator 5, kg; c is the specific heat capacity of theheat accumulator 5, kJ/(kg DEG C); b is the heat accumulation termination time; qjJ is 0,1, …, b, kWh, the heat supply of the solid regenerator during the heat storage period; etaxrThe heat storage efficiency coefficient; etaygPresetting a margin coefficient; t isxrcSetting an initial heat storage temperature, DEG C, for theheat accumulator 5;
heat supply Q of solid heat accumulator during heat accumulationjComprises the following steps:
Figure BDA0002619035190000071
in the formula, vwsFor real-time hot water flow of heating system, m3/h;TgsSupplying the temperature of the hot water and the outlet water to the solid heat accumulator in real time; t ishsReal-time return water temperature of the solid heat accumulator;
when the heat storage temperature T of theheat storage body 5yxrAnd when the temperature is higher than or equal to the real-time temperature of theheat accumulator 5, stopping heat accumulation, and continuously releasing heat of the solid heat accumulator till the end of the 24 hours.
Further, step S2 includes presetting the hot outlet water temperature T in the solid heat accumulator in each time intervalywgiAnd (3) self-adaptive adjustment:
according to the real-time return water temperature T of the solid heat accumulatorhsAnd the set return water temperature T of the hot water at the momentwhiObtaining a fluctuation temperature difference delta:
Δ=Ths-Twhi
supply of solid heat accumulator per periodHot water outlet temperature TywgiSelf-adaptive adjustment is carried out, and the adjusted preset hot water supply temperature Tywgi' is:
Tywgi'=Tywgi-Δ。
preferably, the heat storage efficiency coefficient ηxrIs 1.05; preset margin coefficient etaygIs 1.05; the heat accumulation termination time b is less than or equal to 10.
In the invention, the heating system pumps water through the pump, and the power of the pump is stable, so the flow change of hot water in the heating system is small. The heat accumulation initial time to the next day is 24 hours a day, and each period is divided by each hour, wherein the whole time of each hour is the starting point of each period. Preferably, the real-time hot water flow v of the heating systemwsSolid heat accumulator real-time heat supply and water outlet temperature TgsReal-time return water temperature T of solid heat accumulatorhsAre collected at the end of each period, e.g., 1-3 minutes further until the next period, for calculating QjBy comparing the heat storage temperature T of theheat storage body 5 at the end of this periodyxrDetermining whether theheat accumulator 5 needs to continuously accumulate heat in the next time period according to the real-time temperature of theheat accumulator 5; when the preset hot water supply and outlet temperature is adjusted in a self-adaptive mode, data can be extracted every five minutes and 5 minutes, such as the whole hour, 5 minutes, 10 minutes and the like; of course, the extraction time and interval of each data in the present invention can be set according to the specific heating requirement.
As shown in fig. 1, the invention also provides an intelligent heat storage, release and energy saving control system for the solid heat accumulator, which controls the heat storage and release of the solid heat accumulator by the intelligent heat storage, release and energy saving control method for the solid heat accumulator, wherein the solid heat accumulator comprises a heat storage part and a release part, and the heat storage part comprises aheat accumulator 5 and resistance wires 4 distributed on theheat accumulator 5; the heat release part comprises aheat exchanger 6 and a variable frequency centrifugal fan, an air inlet of theheat exchanger 6 is communicated with theheat accumulator 5, an air outlet of theheat exchanger 6 is provided with the variable frequency centrifugal fan, awater outlet 14 and awater return port 15 of theheat exchanger 6 are both communicated with a heating system and used for circularly supplying heat,
the intelligent heat accumulation and release energy-saving control system of the solid heat accumulator comprises a PLC (programmable logic controller) 1, and adata collector 2, a temperature sensor I9, atemperature sensor II 10, atemperature sensor III 11 and aflowmeter 13 which are respectively connected with the PLC 1;
the PLC controller 1 is arranged in the control cabinet, the PLC controller 1 is connected with the resistance wire 4 through the high-voltage output cabinet 3, and the PLC controller 1 controls the resistance wire 4 to heat through the high-voltage output cabinet 3; the control cabinet is connected with avariable frequency motor 7 of the variable frequency centrifugal fan and is used for controlling the working frequency of thevariable frequency motor 7;
thedata acquisition unit 2 acquires the outdoor temperature of each time period from the initial heat storage time to the next day within 24 hours of the time of the solid heat accumulator and inputs the outdoor temperature to the PLC controller 1;
thefirst temperature sensor 9 is arranged on theheat accumulator 5 and used for collecting the real-time temperature of theheat accumulator 5;
thesecond temperature sensor 10 is arranged at awater outlet 14 of theheat exchanger 6 and used for collecting the temperature of the solid heat accumulator for supplying heat and water in real time;
thethird temperature sensor 11 is arranged at awater return port 15 of theheat exchanger 6 and used for collecting the real-time water return temperature of the solid heat accumulator;
theflowmeter 13 is arranged at awater return port 15 of theheat exchanger 6 and used for collecting the real-time hot water flow of the heating system.
In the invention, a PLC (programmable logic controller) 1 is arranged in a control cabinet, when heat accumulation starts, the control cabinet controls a high-voltage output cabinet 3 to be opened, so that resistance wires 4 connected in a star shape are heated, the resistance wires 4 are distributed in a heat accumulator 5, the resistance wires 4 generate heat, heat accumulation is carried out through the heat accumulator 5, and when the heat accumulation temperature T of the heat accumulator 5 is higher than the heat accumulation temperature TyxrWhen the real-time temperature of the heat accumulator 5 acquired by the first temperature sensor 9 is higher than or equal to the real-time temperature of the heat accumulator 5 acquired by the second temperature sensor, the PLC 1 controls the high-pressure feed-out cabinet 3 to be closed, the resistance wire 4 stops heating, the heat accumulator 5 stops heat accumulation, at the moment, the heat accumulation amount of the solid heat accumulator reaches the heat supply amount required in the remaining time period within 24 hours, and of course, the remaining time comprises the electricity consumption peak time period, namely, the heat accumulation total amount of the heat accumulator 5 is equal to the sum of the heat supply amount of the heat accumulator 5 during the heat accumulation period and the heat supply amount of the heat accumulator 5 in the remaining time after the heat accumulation is finished; the PLC 1 can obtain the heat supply amount of the solid heat accumulator during the heat accumulation period according to the real-time hot water flow, the real-time heat supply outlet water temperature and the real-time return water temperature; the PLC controller 1 supplies heat according to the real-time heat supply and water temperatureControlling the working frequency of a variable frequency motor 7 of the variable frequency centrifugal fan to enable the real-time heat supply outlet water temperature to be the preset heat supply outlet water temperature; the PLC 1 carries out self-adaptive adjustment on the preset heat supply water outlet temperature according to the real-time water return temperature.
Specifically, thedata acquisition unit 2 comprises a gateway module, a protocol converter and an RS-485 interface, the gateway module is connected with the PLC controller 1 through the protocol converter and the RS-485 interface, the gateway module is also connected with a PC end webpage, and the outdoor temperature of the acquired solid heat accumulator in each time period from the initial heat accumulation time to the next day within 24 hours is input into the PLC controller 1.
In the invention, a gateway module acquires 'local weather forecast' script data of a weather forecast official network through a PC (personal computer) end webpage data extraction tool (import. io), the script data is transmitted to a protocol converter through a network, the protocol converter outputs data to a PLC (programmable logic controller) 1 through an RS-485 interface, and the PLC 1 presets heat storage quantity meeting the heating requirement of a user and the temperature of heating outlet water in each time period according to weather forecast temperature information transmitted by the network. In actual use, the PLC controller 1 may compare the outdoor temperature of each time interval with historical weather data (pre-input into the PLC controller 1), and if the deviation between the outdoor temperature of each time interval and the historical weather data is too large, the PLC controller 1 reports an error and performs manual intervention and error correction; the heat load index calculated by the PLC controller 1 can be compared with a local heat load curve which is input into the PLC controller 1 in advance, the accuracy of the preset data is verified, if the deviation is overlarge, the PLC controller 1 also reports errors, and the errors are corrected through manual intervention. When the difference between the weather forecast temperature information or preset data which is lack of network transmission and the local heating period heat load curve is large, the historical weather data is referred for presetting, the preset data is transmitted to the PLC 1 in a unified mode, and the PLC 1 regulates and controls the work of the solid heat accumulator.
In a preferred embodiment, the air outlet of the variable frequency centrifugal fan is connected with theheat accumulator 5. In this embodiment, theheat accumulator 5 is communicated with the air inlet of theheat exchanger 6 through a connecting air duct, the variable frequency centrifugal fan is arranged at the air outlet of theheat exchanger 6, the variable frequency centrifugal fan comprises avariable frequency motor 7 and a circulating fan 8 which are connected with each other, the PLC controller 1 controls the working frequency of thevariable frequency motor 7 to realize the control of the flow rate of high temperature hot air to exchange heat with water in theheat exchanger 6, low temperature hot air discharged by the circulating fan 8 is sent to the heat accumulator through the air duct to be stored, that is, the PLC controller 1 controls thevariable frequency motor 7 according to the temperature of the heatsupply water outlet 14 of theheat exchanger 6, thevariable frequency motor 7 controls the circulating fan 8 to generate high temperature circulating air, heat exchange is carried out through theheat exchanger 6, hot water is sent to the end user through the heating system, the heating requirement of the end user is met, and simultaneously the heat generated by the low temperature circulating air is recycled to theheat accumulator 5, avoid causing the waste of energy. If the temperature of the hot water is required to be increased, the PLC controller 1 increases the frequency of thevariable frequency motor 7; if the temperature of the hot water is required to be kept unchanged, the PLC controller 1 keeps the frequency of thevariable frequency motor 7 unchanged. In actual work, thewater return port 15 of theheat exchanger 6 is provided with water return of a heating system and also appropriately supplemented with water, but the supplemented water amount is small, the influence on the water return temperature is small, and the supplemented water amount is ignored; thewater outlet 14 and thewater return port 15 of theheat exchanger 6 are respectively provided with apressure gauge 12 for displaying pressure and ensuring the safe operation of the solid heat accumulator.
According to the invention, a PLC (programmable logic controller) 1 calculates a heat load index of each time period according to an outdoor temperature of each time period and an indoor set temperature (preset and input into the PLC 1) of each time period within 24 hours from an initial heat storage time to the next day of a solid heat accumulator at the time and a building area, obtains a total heat storage amount of a heat accumulator 5 in 24 hours according to the heat load index of each time period, obtains a heat storage temperature of the heat accumulator 5 in a heat storage period according to the total heat storage amount of the heat accumulator 5, and controls the heating time of a resistance wire 4 through a high-pressure feed-out cabinet 3 according to the real-time temperature of the heat accumulator 5 and the heat storage temperature of the heat accumulator 5 collected by a temperature sensor I9; the PLC 1 obtains preset heating water outlet temperature according to the set hot water flow, the pipeline loss coefficient, the set return water temperature in each time interval and the like in the heating system, collects the real-time heating water outlet temperature according to the second temperature sensor 10, controls the working frequency of the variable frequency motor 7, enables the real-time heating water outlet temperature to be the preset heating water outlet temperature, and can meet the heating requirements of users and fully save energy through the heat accumulation and release intelligent control system of the solid heat accumulator.
Examples
In the embodiment, the heat storage and release energy-saving intelligent control system of the solid heat accumulator is controlled by adopting a heat storage and release energy-saving intelligent control method of the solid heat accumulator.
The building area of an office building is 5000m2The examples are given by way of illustration:
by measuring, the heat transfer coefficient K of the building outer wall1Is 1.5W/(m)2DEG C.); heat transfer coefficient K of building window2Is 6.2W/(m)2DEG C.); heat transfer coefficient K of top roof of building3Is 1.2W/(m)2DEG C.); heat transfer coefficient K of building ground floor4Is 1.0W/(m)2DEG C.); area S of building exterior wall1Is 1986m2(ii) a Area S of building window2Is 1025m2(ii) a Area S of the top roof of the building3Is 1120m2(ii) a Area S of the building' S ground floor4Is 1120m2
Indoor set temperature of each time period is Tsn0,Tsn1…,Tsn23As shown in graph 1:
TABLE 1 indoor set temperature per time period (Unit:. degree. C.)
Time periodIndoor set temperature
0:00-4:0016
5:00-6:0018
7:00-16:0020
17:00-19:0018
20:00-0:0016
According to the forecast temperature of the day after the heating period, the outdoor temperature of each time interval is Tsw0,Tsw1…,Tsw23As shown in table 2:
TABLE 2 outdoor temperature per time period (unit:. degree. C.)
Time0:001:002:003:004:005:006:007:008:009:0010:0011:00
Temperature of-13-14-15-17-19-18-17-16-15-13-11-9
Time12:0013:0014:0015:0016:0017:0018:0019:0020:0021:0022:0023:00
Temperature of-7-6-6-7-7-7-7-8-9-10-11-13
Inputting the indoor set temperature for each time zone and the outdoor temperature for each time zone in tables 1 and 2 and equations 1.1, 1.2 and 1.3 into the PLC controller 1 to calculate the heat load index q for each time zoneiHeat storage 5 total heat storage amount QtxAnd the preset heating outlet water temperature T of the solid heat accumulator in each time period within 24 hoursywgi
Specifically, it is found from formula 1.1:
Figure BDA0002619035190000101
analogizing in turn to obtain the heat load index q of each time interval1,q2,…,q23As shown in table 3:
TABLE 3 Heat load index per time period (unit: W/m)2)
q0q1q2q3q4q5q6q7q8q9q10q11
68.470.873.277.982.680.282.680.282.677.973.268.4
q12q13q14q15q16q17q18q19q20q21q22q23
63.761.461.463.763.763.759.061.463.761.463.768.4
This is achieved according to formula 1.2 and formula 1.3:
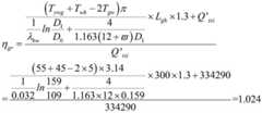
Figure BDA0002619035190000111
the pipeline loss coefficient is calculated according to equation 1.5:
Figure BDA0002619035190000112
in the formula, the average value T of the temperature of the heating water outlet is preset within 24 hours of the previous dayywgIs 55 ℃; the previous day 2Setting the average value T of the temperature of the returned water within 4 hourswhIs 45 ℃; temperature T of outer surface of pipeline heat insulationgwIs 5 ℃; thermal conductivity lambda of the insulation materialbw0.032W/m.DEG.C; diameter D of pipe insulating layer1Is 159 mm; pipe outside diameter D0Is 109 mm; total length L of water supply and return pipe of heating systemghIs 300 m; pipeline heat-preservation outer surface wind speed
Figure BDA0002619035190000114
Is 0m/s (the buried pipe is 0); the heat storage quantity Q of theheat accumulator 5 in each period from the initial heat storage time of the solid heat accumulator to the next day within 24 hourstxiAverage value of Q'txi334.29 kWh;
according to formula 1.4, it follows:
Figure BDA0002619035190000113
analogizing in turn to obtain the preset heat supply outlet water temperature T of the solid heat accumulator in each time intervalywgiAs shown in table 4:
TABLE 4 Preset Hot Outlet temperature of solid Heat storage at Each time period (Unit:. degree. C.)
Tywg0Tywg1Tywg2Tywg3Tywg4Tywg5Tywg6Tywg7Tywg8Tywg9Tywg10Tywg11
51.751.952.152.653.152.853.152.853.152.652.151.7
Tywg12Tywg13Tywg14Tywg15Tywg16Tywg17Tywg18Tywg19Tywg20Tywg21Tywg22Tywg23
51.751.051.051.251.251.250.851.051.251.051.251.7
When the solid heat accumulator starts to accumulate and release heat, the real-time hot water flow v of the heating system is collected at the end of each time periodwsSolid heat accumulator real-time heat supply and water outlet temperature TgsReal-time return water temperature T of solid heat accumulatorhsThe heat supply Q of the solid heat accumulator during heat accumulation was obtained according to test 1.7jThen, the heat storage temperature T of theheat storage body 5 in the heat storage period of the solid heat storage device is obtained according to the formula 1.6yxrAnd the heat storage temperature T of theheat storage body 5 is adjustedyxrComparing the real-time temperature of theheat accumulator 5 acquired by thefirst temperature sensor 9 when the heat accumulation temperature T of theheat accumulator 5 is higheryxrAnd when the temperature is higher than or equal to the real-time temperature of theheat accumulator 5, stopping heat accumulation, and continuously releasing heat of the solid heat accumulator till the end of the 24 hours.
In this example, the total mass m of theheat accumulator 5 was 63000 kg; the specific heat capacity c of theheat accumulator 5 is 1kJ/(kg DEG C); theheat accumulator 5 sets the initial heat accumulation temperature TxrcIs 100 ℃.
While embodiments of the invention have been shown and described, it will be understood by those of ordinary skill in the art that: various changes, modifications, substitutions and alterations can be made to the embodiments without departing from the principles and spirit of the invention, the scope of which is defined by the claims and their equivalents.

Claims (8)

1. The intelligent control method for heat storage and release and energy saving of the solid heat accumulator is characterized by comprising the following steps of:
s1, presetting the total heat storage amount of the heat storage body in the solid heat storage device within 24 hours from the initial heat storage time to the next day and the temperature of the heat supply outlet water of the solid heat storage device in each period within 24 hours;
s1.1, presetting the total heat storage amount of the heat accumulator as follows:
building heating heat load index q in ith periodiComprises the following steps:
Figure FDA0002619035180000011
in the formula, qiIs a heat load index of the i-th period, W/m2,i=0,1,2…,23;K1Is the heat transfer coefficient of the building outer wall, W/(m)2·℃);、K2Is the heat transfer coefficient of the building window, W/(m)2·℃);K3Is the heat transfer coefficient of the top roof of the building, W/(m)2·℃);K4Is the heat transfer coefficient of the ground of the building bottom layer, W/(m)2·℃);S1M is the area of the outer wall of the building2;S2Is the area of the building window, m2;S3Is the area of the top roof of the building, m2;S4Is the area of the ground of the building floor, m2;TsniSetting the indoor temperature for the ith time period; t isswiThe outdoor temperature in the ith time period; a is the building area, m2
The total heat storage quantity Q of the heat accumulatortxComprises the following steps:
Figure FDA0002619035180000012
in the formula, the total heat storage quantity Q of the heat accumulatortxIn kWh;
Qtxi=qiA (1.3)
in the formula, QtxiThe heat storage amount, kWh, of each time period of the heat accumulator in 24 hours from the initial heat storage time of the solid heat accumulator to the next day;
s1.2, presetting the temperature T of the hot water supply outlet of the solid heat accumulator in each period within 24 hoursywgi
Figure FDA0002619035180000013
In the formula, vwSetting hot water flow m in heating system3/h;ρwIs hot water average density kg/m3,cwThe specific heat capacity of hot water, kJ/(kg. DEG C); etagrIs the pipeline loss coefficient; t iswhiSetting the backwater temperature at the temperature of DEG C for each time interval;
eta ofgrComprises the following steps:
Figure FDA0002619035180000021
in the formula, TywgPresetting the average value of the temperature of the heating water outlet within 24 hours in the previous day at DEG C; t iswhSetting the average value of the backwater temperature in 24 hours in the previous day at DEG C; t isgwThe temperature of the outer surface of the pipeline is kept at the temperature of DEG C; lambda [ alpha ]bwThe thermal conductivity coefficient of the thermal insulation material is W/m DEG C; d1The diameter of the pipeline heat-insulating layer is mm; d0Is the outer diameter of the pipeline, mm; l isghThe total length of a water supply pipe and a water return pipe of a heating system is m;
Figure FDA0002619035180000024
the wind speed (0 is taken for a buried pipe) of the heat-insulating outer surface of the pipeline is m/s; q'txiThe heat accumulation initial time of the solid heat accumulator is up to the next dayHeat storage quantity Q of heat storage body in each period of 24 hourstxiAverage value of (d);
s2, the solid heat accumulator starts to accumulate and release heat, and from the initial heat accumulation time, the heat accumulation temperature of the heat accumulator in the heat accumulation period is calculated in real time, and the heat accumulation time is determined as follows:
the heat storage temperature T of the heat storage body in the heat storage period of the solid heat accumulator is obtained through the heat storage total amount of the heat storage body in the solid heat accumulator within 24 hours from the heat storage initial time to the next dayyxr
Figure FDA0002619035180000022
In the formula, m is the total mass of the heat accumulator, kg; c is the specific heat capacity of the heat accumulator, kJ/(kg DEG C); b is the heat accumulation termination time; qjJ is 0,1, …, b, kWh, the heat supply of the solid regenerator during the heat storage period; etaxrThe heat storage efficiency coefficient; etaygPresetting a margin coefficient; t isxrcSetting the initial heat accumulation temperature of the heat accumulator at DEG C;
heat supply Q of solid heat accumulator during heat accumulationjComprises the following steps:
Figure FDA0002619035180000023
in the formula, vwsFor real-time hot water flow of heating system, m3/h;TgsSupplying the temperature of the hot water and the outlet water to the solid heat accumulator in real time; t ishsReal-time return water temperature of the solid heat accumulator;
when the heat storage temperature T of the heat storage bodyyxrAnd when the temperature is higher than or equal to the real-time temperature of the heat accumulator, stopping heat accumulation, and continuously releasing heat of the solid heat accumulator till the end of the 24 hours.
2. The intelligent control method for heat storage and release and energy saving of the solid heat accumulator as claimed in claim 1, wherein the step S2 further comprises presetting the temperature T of the hot outlet water in the solid heat accumulator for each time periodywgiAnd (3) self-adaptive adjustment:
according to the real-time return water temperature T of the solid heat accumulatorhsAnd the set return water temperature T of the hot water at the momentwhiObtaining a fluctuation temperature difference delta:
Δ=Ths-Twhi
temperature T of hot supply outlet water of each time interval of solid heat accumulatorywgiSelf-adaptive adjustment is carried out, and the adjusted preset hot water supply temperature Tywgi' is:
Tywgi'=Tywgi-Δ。
3. the intelligent heat storage and release energy-saving control method for the solid heat accumulator as claimed in claim 1, wherein the heat storage efficiency coefficient ηxrWas 1.05.
4. The intelligent control method for heat storage, discharge and energy saving of the solid heat accumulator as claimed in claim 1, wherein the preset margin coefficient ηygWas 1.05.
5. The intelligent control method for the heat storage, the heat release and the energy saving of the solid heat accumulator according to claim 1, characterized in that the heat storage termination time b is less than or equal to 10.
6. The intelligent control system for heat accumulation, heat release and energy saving of the solid heat accumulator controls heat accumulation and release of the solid heat accumulator according to the intelligent control method for heat accumulation, heat release and energy saving of the solid heat accumulator, wherein the solid heat accumulator comprises a heat accumulation part and a heat release part, and the heat accumulation part comprises a heat accumulator and resistance wires distributed on the heat accumulator; the heat release part comprises a heat exchanger and a variable frequency centrifugal fan, the air inlet of the heat exchanger is communicated with the heat accumulator, the air outlet of the heat exchanger is provided with the variable frequency centrifugal fan, the water outlet and the water return port of the heat exchanger are both communicated with a heating system and used for circulating heat supply,
the heat storage and release energy-saving intelligent control system of the solid heat accumulator comprises a PLC controller, and a data collector, a temperature sensor I, a temperature sensor II, a temperature sensor III and a flowmeter which are respectively connected with the PLC controller;
the PLC is arranged in the control cabinet, the PLC is connected with the resistance wire through the high-voltage feed-out cabinet, and the PLC controls the heating of the resistance wire through the high-voltage feed-out cabinet; the control cabinet is connected with a variable frequency motor of the variable frequency centrifugal fan and is used for controlling the working frequency of the variable frequency motor;
the data acquisition unit acquires the outdoor temperature of each time period from the initial heat storage moment to the next day within 24 hours of the moment of the solid heat accumulator and inputs the outdoor temperature to the PLC;
the first temperature sensor is arranged on the heat accumulator and used for collecting the real-time temperature of the heat accumulator;
the second temperature sensor is arranged at a water outlet of the heat exchanger and used for acquiring the temperature of the solid heat accumulator for supplying heat and yielding water in real time;
the temperature sensor III is arranged at a water return port of the heat exchanger and used for collecting the real-time water return temperature of the solid heat accumulator;
the flowmeter is arranged at a water return port of the heat exchanger and used for collecting the real-time hot water flow of the heating system.
7. The intelligent control system for heat storage, heat release and energy saving of the solid heat accumulator as claimed in claim 6, wherein the data collector comprises a gateway module, a protocol converter and an RS-485 interface, the gateway module is connected with the PLC controller through the protocol converter and the RS-485 interface, the gateway module is further connected with a PC end web page, and the collected outdoor temperature of the solid heat accumulator in each period from the initial moment of heat storage to the next day within 24 hours is input into the PLC controller.
8. The intelligent control system for heat storage, heat release and energy saving of the solid heat accumulator as claimed in claim 6, wherein the exhaust outlet of the variable frequency centrifugal fan is connected with the heat accumulator.
CN202010777599.5A2020-08-052020-08-05Intelligent control method and system for heat storage and release and energy saving of solid heat accumulatorActiveCN111911988B (en)

Priority Applications (1)

Application NumberPriority DateFiling DateTitle
CN202010777599.5ACN111911988B (en)2020-08-052020-08-05Intelligent control method and system for heat storage and release and energy saving of solid heat accumulator

Applications Claiming Priority (1)

Application NumberPriority DateFiling DateTitle
CN202010777599.5ACN111911988B (en)2020-08-052020-08-05Intelligent control method and system for heat storage and release and energy saving of solid heat accumulator

Publications (2)

Publication NumberPublication Date
CN111911988A CN111911988A (en)2020-11-10
CN111911988Btrue CN111911988B (en)2021-07-23

Family

ID=73287128

Family Applications (1)

Application NumberTitlePriority DateFiling Date
CN202010777599.5AActiveCN111911988B (en)2020-08-052020-08-05Intelligent control method and system for heat storage and release and energy saving of solid heat accumulator

Country Status (1)

CountryLink
CN (1)CN111911988B (en)

Families Citing this family (3)

* Cited by examiner, † Cited by third party
Publication numberPriority datePublication dateAssigneeTitle
CN112902720B (en)*2020-12-312022-07-05中国航天空气动力技术研究院Design method of heat accumulator of ceramic hollow brick heat accumulator
CN113654387A (en)*2021-08-312021-11-16中国船舶重工集团公司第七0三研究所Intelligent heat storage method of solid-state heat storage device based on internet weather collection
CN113864857A (en)*2021-08-312021-12-31中国船舶重工集团公司第七0三研究所Intelligent heat release method of high-efficiency solid-state heat storage device based on weather collection of Internet/meteorological station

Citations (6)

* Cited by examiner, † Cited by third party
Publication numberPriority datePublication dateAssigneeTitle
CA2200896A1 (en)*1997-03-041998-09-25Nazir DosaniThermal storage controller
CN205747100U (en)*2016-07-012016-11-30国网冀北节能服务有限公司A kind of heating system that can circulate accumulation of heat
CN108361799A (en)*2017-12-312018-08-03国家电网公司A kind of thermal storage type electric heating system optimized operation automatic control device and method based on electricity price a few days ago
CN109539359A (en)*2018-10-152019-03-29国网辽宁省电力有限公司The phase transformation electric heat-storage heating system and method for divided working status PID+ adaptive feedforward compensation
CN109713715A (en)*2018-12-112019-05-03国网甘肃省电力公司电力科学研究院A kind of hot stored electric heating load control method based on mixed integer dynamic optimization
CN110220238A (en)*2019-05-222019-09-10国网辽宁省电力有限公司大连供电公司A kind of solid electricity heating thermal storage heating crew qiting method

Patent Citations (6)

* Cited by examiner, † Cited by third party
Publication numberPriority datePublication dateAssigneeTitle
CA2200896A1 (en)*1997-03-041998-09-25Nazir DosaniThermal storage controller
CN205747100U (en)*2016-07-012016-11-30国网冀北节能服务有限公司A kind of heating system that can circulate accumulation of heat
CN108361799A (en)*2017-12-312018-08-03国家电网公司A kind of thermal storage type electric heating system optimized operation automatic control device and method based on electricity price a few days ago
CN109539359A (en)*2018-10-152019-03-29国网辽宁省电力有限公司The phase transformation electric heat-storage heating system and method for divided working status PID+ adaptive feedforward compensation
CN109713715A (en)*2018-12-112019-05-03国网甘肃省电力公司电力科学研究院A kind of hot stored electric heating load control method based on mixed integer dynamic optimization
CN110220238A (en)*2019-05-222019-09-10国网辽宁省电力有限公司大连供电公司A kind of solid electricity heating thermal storage heating crew qiting method

Also Published As

Publication numberPublication date
CN111911988A (en)2020-11-10

Similar Documents

PublicationPublication DateTitle
CN111911988B (en)Intelligent control method and system for heat storage and release and energy saving of solid heat accumulator
CN109063925B (en) An optimal operation method of regional comprehensive energy system considering load aggregators
CN112541213B (en) Modeling method for heating system water temperature prediction model
CN108151132B (en)Control method, device and system of air source heat pump and air source heat pump
CN104654449B (en)Distributed electric heat energy storage heating control system and method
CN108844123B (en)Sectional type intelligent heating method and system
CN110543713B (en)Heat pump-floor heating system control method considering user comfort and building heat storage
CN201434445Y (en) Intelligent overall heat exchange unit
CN106845701A (en)A kind of integrated energy system optimization method based on heat supply network and house thermal inertia
CN116857863B (en) Multi-energy complementary system optimization control method and device based on large-scale ground source heat pump
CN103064285A (en)Heat pump heating multi-objective optimization control method based on model
CN1952494A (en)Method and device for simultaneously implementing heat regulation and heat measurement
CN112464466A (en)Optimal scheduling method and device for heat accumulating type electric heating system
CN110474370B (en) A collaborative control system and method for air conditioner controllable load and photovoltaic energy storage system
CN212320021U (en)Intelligent combined control system of modular cold and hot water air conditioning unit
CN101922783A (en)Enthalpy control-based method and system for controlling energy conservation of air conditioner
CN108361799A (en)A kind of thermal storage type electric heating system optimized operation automatic control device and method based on electricity price a few days ago
CN109028275B (en)User-side building multi-energy optimization scheduling method
CN206846864U (en)Double thermal source heat accumulating type intelligent heating systems
CN211129137U (en)Hydrologic cycle control by temperature change big-arch shelter
CN111637613A (en) Intelligent joint control system and control method for modular cold and hot water air conditioning units
CN111967683A (en)Optimal power flow modeling method for thermoelectric coupling network considering user comfort
CN105698412A (en)Control method of concentrated solar water heating system using weather forecast
CN207674642U (en)A kind of multi-source central air-conditioning hot-water integration device
CN112856571B (en)Combined heating system with complementation of electric heating and hot water heating and regulation and control method

Legal Events

DateCodeTitleDescription
PB01Publication
PB01Publication
SE01Entry into force of request for substantive examination
SE01Entry into force of request for substantive examination
GR01Patent grant
GR01Patent grant

[8]ページ先頭

©2009-2025 Movatter.jp