Movatterモバイル変換


[0]ホーム

URL:


CN111888623A - Catheter for cardiovascular interventional therapy - Google Patents

Catheter for cardiovascular interventional therapy
Download PDF

Info

Publication number
CN111888623A
CN111888623ACN202010949675.6ACN202010949675ACN111888623ACN 111888623 ACN111888623 ACN 111888623ACN 202010949675 ACN202010949675 ACN 202010949675ACN 111888623 ACN111888623 ACN 111888623A
Authority
CN
China
Prior art keywords
guide wire
puncture needle
value
width
catheter
Prior art date
Legal status (The legal status is an assumption and is not a legal conclusion. Google has not performed a legal analysis and makes no representation as to the accuracy of the status listed.)
Withdrawn
Application number
CN202010949675.6A
Other languages
Chinese (zh)
Inventor
王雪霞
Current Assignee (The listed assignees may be inaccurate. Google has not performed a legal analysis and makes no representation or warranty as to the accuracy of the list.)
Guangzhou Jijia Technology Co ltd
Original Assignee
Guangzhou Jijia Technology Co ltd
Priority date (The priority date is an assumption and is not a legal conclusion. Google has not performed a legal analysis and makes no representation as to the accuracy of the date listed.)
Filing date
Publication date
Application filed by Guangzhou Jijia Technology Co ltdfiledCriticalGuangzhou Jijia Technology Co ltd
Priority to CN202010949675.6ApriorityCriticalpatent/CN111888623A/en
Publication of CN111888623ApublicationCriticalpatent/CN111888623A/en
Withdrawnlegal-statusCriticalCurrent

Links

Images

Classifications

Landscapes

Abstract

The invention discloses a catheter for cardiovascular interventional therapy, relates to the technical field of medical equipment, and particularly relates to a catheter for cardiovascular interventional therapy. This pipe that treatment was used is intervene to cardiovascular, intervene patient's blood vessel with the pjncture needle after, exert elasticity through compression spring to sealed clamp splice, thereby make three sealed clamp splice closure seal puncture needle one end, prevent that blood from spilling over along pjncture needle one end, in addition with seal clamp splice middle part with seal clamp splice in-process prevent penetrating the pjncture needle against the current cushion inside, prevent that rubber cushion middle part centre bore diameter value changes along with the diameter value of seal wire against the current, seal when the seal wire is penetrated through preventing the rubber cushion against the current, thereby prevent that the seal wire from penetrating blood is against the current around the pjncture needle.

Description

Catheter for cardiovascular interventional therapy
Technical Field
The invention relates to the technical field of medical equipment, in particular to a catheter for cardiovascular interventional therapy.
Background
Cardiovascular interventional therapy is a novel cardiovascular disease diagnosis and treatment technology, does not need to open the chest, is guided by an imaging method, is guided by puncturing a body surface blood vessel, is conveyed to a diseased region by means of certain instruments, and is an advanced cardiovascular disease diagnosis and treatment method through a specific catheter operation technology.
In clinical operation, usually a puncture needle is directly punctured into a blood vessel, a guide wire is punctured into a needle cavity of the puncture needle, then a catheter is punctured along the guide wire, then a contrast medium or a treatment medicine is injected into the catheter, or a suppository is injected to treat a suppository, or a common injector is punctured into the blood vessel, then the injector is detached from the puncture needle, then the guide wire is sent into the blood vessel through a puncture needle head, before the operation of puncturing the guide wire or in the process of puncturing the guide wire, blood backflow can be generated to cause bleeding and pollution of a working surface, in addition, when the catheter is punctured into the blood vessel, the puncture needle and the catheter are usually supported by one hand, the guide wire is operated by one hand, or one medical staff supports one medical staff to operate, the operation difficulty is larger, in addition, at present, after the puncture needle is intervened, the guide wire is usually directly punctured, the detection is not carried out on the guide wire, when the guide wire is broken, the guide wire is easy to break during working, which brings serious harm to patients, and therefore, a catheter for cardiovascular interventional therapy is provided.
Disclosure of Invention
Aiming at the defects of the prior art, the invention provides a catheter for cardiovascular interventional therapy, which has the advantages of preventing blood from flowing backwards, reducing the difficulty in interventional therapy, carrying out safety detection on a guide wire and the like, and solves the problems in the background technology.
In order to achieve the purposes of preventing blood from flowing reversely, reducing the difficulty during interventional therapy and carrying out safety detection on the guide wire, the invention is realized by the following technical scheme: a catheter for cardiovascular intervention treatment comprises a supporting base and a current display, wherein a fixed cutting sleeve is fixedly mounted at the top of the supporting base, a connecting rod is movably sleeved on the side surface of the fixed cutting sleeve, a locking screw rod matched with the connecting rod is sleeved on the side surface thread of the fixed cutting sleeve, a clamping frame is fixedly mounted at one end of the connecting rod, an adjusting screw rod is sleeved on the top thread of the clamping frame, a movable clamp is movably sleeved at the bottom end of the adjusting screw rod, a puncture needle is clamped at the bottom of the movable clamp, a guide rod is movably mounted on the left side inside the puncture needle, a sealing clamping block positioned inside the puncture needle is fixedly mounted at one end of the guide rod, a compression spring is movably sleeved outside the guide rod, an anti-reflux rubber mat is movably mounted inside the puncture needle, a central hole is formed in the middle of the anti-reflux rubber mat, and a catheter is movably sleeved in the, and the inside activity of pipe has cup jointed the seal wire, the outside screw thread of pjncture needle has cup jointed the detection ring, and the inside fixed mounting who detects the ring has two to lead electrical slip rings, two lead electrical slip ring and pass through connecting wire and current display electric connection.
Preferably, the fixed cutting sleeve is positioned on the front side of the top of the supporting base, a locking screw rod is sleeved on the thread below the front side of the fixed cutting sleeve, and an arc surface is arranged on the top of the supporting base.
Preferably, the inside fixed mounting of connecting rod one end card frame has the fixation clamp of mutually supporting with the activity clamp, the outside fixed cup joint of connecting rod has the spacing ring.
Preferably, the number of the sealing clamping blocks is three, the three sealing clamping blocks are uniformly distributed in the puncture needle, and the top of each sealing clamping block is provided with a conical groove.
Preferably, the number of the guide rods on the side face of the sealing clamping block is two, the two guide rods are uniformly distributed on the side face of the sealing clamping block, and one end of each guide rod is fixedly provided with a positioning ring positioned outside the puncture needle.
Preferably, the two conductive slip rings are uniformly distributed in the detection ring, and through holes matched with the guide wires are formed in the middle of the two conductive slip rings.
Preferably, the puncture needle is conical in shape, and the diameter value of the right side of the puncture needle is smaller than that of the left side of the puncture needle.
Preferably, a micro expansion support and a micro camera are arranged in front of the puncture needle;
an advancing/retracting actuator is arranged at one end of the guide wire;
a controller and an image display are arranged outside the supporting base;
the image display, the miniature camera and the advancing/retracting actuator are connected with the controller;
the miniature camera is used for collecting an image of the width of a blood vessel in a body, the controller sends an image detection instruction to the miniature camera, and the image detection instruction is generated when the miniature camera receives a detection operation triggered by the controller, controls the miniature camera to collect an environment image of the current environment and transmits the collected image to the image display;
the controller compares the width of the puncture needle with the corresponding blood vessel width according to the blood vessel width condition in the in-vivo blood vessel width image acquired by the micro camera, and the comparison process comprises the following steps:
the blood vessel width acquired by the camera is used as a first width value, the acquired width of the puncture needle is used as a second width value, comparison data are extracted from a preset database according to the first width value and the second width value, the difference value of the first width value and the second width value is analyzed, and a comparison result is generated according to the difference value result;
if the width of the puncture needle is smaller than or equal to the width of the blood vessel, the controller controls the advancing/retracting actuator to push the guide wire to advance continuously;
otherwise, the controller controls the advancement/retraction actuator to retract the guidewire while prompting the mini-dilation support to properly dilate the vessel.
Preferably, a singlechip and an alarm are arranged on the supporting base;
the alarm is connected with the single chip microcomputer;
the single chip microcomputer is used for calculating the integrity of the guide wire according to the current change of the monitoring ring when the guide wire passes through the detection ring, and the method comprises the following specific steps:
the single chip microcomputer is used for calculating the current change quantity of the detection ring when the guide wire passes through the detection ring according to the following formula:
Figure BDA0002676503570000031
wherein Δ I represents the amount of current change of the monitoring loop as the guidewire passes through the detection loop; μ represents a sensitivity coefficient of the detection loop; r represents the total resistance value of the detection ring; Δ U represents a working voltage variation value of the detection ring when the guide wire is monitored; p represents the current density of the current flowing through the detection ring when the detection ring works; representing the dielectric constant of the detection ring in operation;
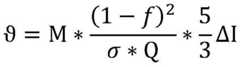
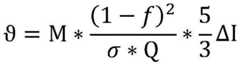
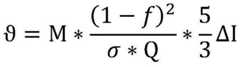
the single chip microcomputer is also used for calculating the integrity of the guide wire according to the following formula:
Figure BDA0002676503570000041
wherein θ represents a complete value of the integrity of the guidewire; f represents the friction loss value of the guide wire during working; σ represents a value of heat loss of the guidewire; m represents a soft durometer value of the guidewire; q represents the accuracy of the guidewire in operation; Δ I represents the amount of current change of the monitoring loop as the guidewire passes through the detection loop (16);
comparing the guide wire integrity value obtained by calculation with a preset guide wire integrity value;
if the guide wire integrity value obtained through calculation is larger than or equal to a preset guide wire integrity value, the guide wire is complete, and the single chip microcomputer controls the alarm to perform first alarm reminding;
otherwise, the single chip microcomputer controls the alarm to carry out second alarm reminding.
The invention provides a catheter for cardiovascular interventional therapy, which has the following beneficial effects:
1. this pipe that treatment was used is intervene to cardiovascular, intervene patient's blood vessel with the pjncture needle after, exert elasticity through compression spring to sealed clamp splice, thereby make three sealed clamp splice closure seal puncture needle one end, prevent that blood from spilling over along pjncture needle one end, in addition with seal clamp splice middle part with seal clamp splice in-process prevent penetrating the pjncture needle against the current cushion inside, prevent that rubber cushion middle part centre bore diameter value changes along with the diameter value of seal wire against the current, seal when the seal wire is penetrated through preventing the rubber cushion against the current, thereby prevent that the seal wire from penetrating blood is against the current around the pjncture needle.
2. This pipe that treatment was used is intervene to cardiovascular, intervene the blood vessel at the pjncture needle after, press the pjncture needle card in the activity and press from both sides the bottom, rotating adjusting screw drives the activity and presss from both sides the removal and fix the pjncture needle in card frame inside, make patient's arm press simultaneously and supporting the base top, through supporting base body and fixed cutting ferrule, the connecting plate, the connecting rod, the card frame, the activity presss from both sides to the pjncture needle and seal wire, the pipe position is fixed, the pjncture needle has been guaranteed, the pipe, the stability of seal wire during operation, do not need medical staff to fix manually, the.
3. This pipe that treatment was used is intervene to cardiovascular, intervene patient's blood vessel with the pjncture needle after, will detect the ring at the pjncture needle outside soon, penetrate sealed clamp splice with the seal wire along two inside conductive slip rings of detection ring inside, make one section of seal wire and current display form closed circuit through two conductive slip rings when the seal wire penetrates, detect one section electric current of seal wire through current display, thereby detect the integrality of seal wire through the change of electric current when the seal wire penetrates, prevent that the seal wire from breaking at the during operation.
4. The catheter for cardiovascular interventional therapy collects the width condition of a blood vessel through the miniature camera, displays the collected image on the image display, compares the collected width of the blood vessel with the width of the puncture needle, judges whether the puncture needle can smoothly reach a target through the blood vessel, and controls the advancing/retracting actuator to push the puncture needle to continue advancing if the width of the puncture needle is less than or equal to the width of the blood vessel, otherwise, controls the miniature expanding support to properly expand the blood vessel, ensures that the puncture needle smoothly passes through, ensures that the puncture needle smoothly goes on in the blood vessel, and does not influence the puncture needle to reach the target for treatment due to the narrow width of the blood vessel.
5. This pipe that treatment was used is intervene to cardiovascular, through the current variation value of single chip microcomputer calculation seal wire detection ring when passing detection ring, thereby calculate the integrality of seal wire according to current variation value, the seal wire integrality that will calculate compares with preset seal wire integrality, if the seal wire integrality that obtains of calculation is greater than or equal to preset seal wire integrality, single chip microcomputer control alarm carries out first warning and reminds, otherwise, single chip microcomputer control alarm carries out the second warning and reminds, this scheme has guaranteed that the seal wire is to the detection of seal wire integrality before getting into the blood vessel, guaranteed can not influence treatment effect or treatment progress because the seal wire is incomplete in the treatment process, the security of seal wire use has been improved.
Drawings
FIG. 1 is a schematic structural view of the present invention;
FIG. 2 is a schematic view of the interior of the needle of the present invention;
FIG. 3 is a schematic view of the sealing jaw of the present invention;
FIG. 4 is a schematic side view of the connecting plate of the present invention;
FIG. 5 is a schematic view of the inner structure of the detection ring according to the present invention;
FIG. 6 is a schematic diagram of the controller connection according to the present invention;
FIG. 7 is a schematic diagram of the connection of the single chip microcomputer of the present invention.
In the figure: 1. a support base; 2. fixing the clamping sleeve; 3. a connecting plate; 4. a connecting rod; 5. locking the screw rod; 6. a clamping frame; 7. adjusting the screw rod; 8. a movable clamp; 9. puncturing needle; 10. a guide bar; 11. sealing the clamping block; 12. a compression spring; 13. an anti-reflux rubber mat; 14. a conduit; 15. a guide wire; 16. a detection ring; 17. a conductive slip ring; 18. a current display.
Detailed Description
The technical solutions in the embodiments of the present invention will be clearly and completely described below with reference to the drawings in the embodiments of the present invention, and it is obvious that the described embodiments are only a part of the embodiments of the present invention, and not all of the embodiments.
Referring to fig. 1 to 5, the present invention provides a technical solution: a catheter for cardiovascular interventional therapy comprises a support base 1 and a current display 18, wherein a fixed cutting sleeve 2 is fixedly installed at the top of the support base 1, a connecting rod 4 is movably sleeved on the side surface of the fixed cutting sleeve 2, a locking screw 5 matched with the connecting rod 4 is sleeved on the side surface thread of the fixed cutting sleeve 2, a clamping frame 6 is fixedly installed at one end of the connecting rod 4, an adjusting screw 7 is sleeved on the top thread of the clamping frame 6, a movable clamp 8 is movably sleeved at the bottom end of the adjusting screw 7, a puncture needle 9 is clamped at the bottom of the movable clamp 8, a guide rod 10 is movably installed on the left side inside the puncture needle 9, a sealing clamp block 11 positioned inside the puncture needle 9 is fixedly installed at one end of the guide rod 10, a compression spring 12 is movably sleeved outside the guide rod 10, an anti-backflow rubber mat 13 is movably installed inside the puncture needle 9, and a center hole is formed in the middle part, the middle part of the sealing clamping block 11 is movably sleeved with a guide pipe 14, the inner part of the guide pipe 14 is movably sleeved with a guide wire 15, the outer thread of the puncture needle 9 is sleeved with a detection ring 16, two conductive sliding rings 17 are fixedly arranged in the detection ring 16, and the two conductive sliding rings 17 are electrically connected with a current display 18 through connecting wires.
Wherein, fixed cuttingferrule 2 is located the front atsupport base 1 top, and locking screw 5 has been cup jointed to the positive below screw thread of fixed cuttingferrule 2, supports the top ofbase 1 and has seted up the arc surface, highly adjusts fixed cuttingferrule 2 through the locking screw 5 of unscrewing fixed cuttingferrule 2 side to make the device can highly adjustpuncture needle 9, makepuncture needle 9 can use with different patients.
Wherein, the inside fixed mounting of connectingrod 4 oneend card frame 6 has the fixation clamp of mutually supporting with activity clamp 8, the external fixation of connectingrod 4 has cup jointed the spacing ring, press from both sides 8 and the fixation clamp ofcard frame 6 inside through the activity and mutually support and fixpuncture needle 9, the stability ofpuncture needle 9 during operation has been guaranteed, in addition, the spacing ring through connectingrod 4 outside is mutually supported connectingrod 4 and the locking screw 5 of connectingrod 4 one end, guarantee through locking screw 5 can locking connectingrod 4.
Wherein, the number of the sealing clamping blocks 11 is three, the three sealing clamping blocks 11 are evenly distributed in thepuncture needle 9, the top of thesealing clamping block 11 is provided with a conical groove, after thepuncture needle 9 is inserted into the blood vessel of the patient, the sealingclamp block 11 is applied with elastic force by thecompression spring 12, so that the three sealing clamp blocks 11 are closed to seal one end of thepuncture needle 9, prevent blood from overflowing along one end of thepuncture needle 9, in addition, one end of theguide wire 15 penetrates into thepuncture needle 9 along the middle part of thesealing clamping block 11 through theanti-reflux rubber cushion 13, the diameter value of the central hole in the middle part of theanti-reflux rubber cushion 13 changes along with the diameter value of theguide wire 15, theguide wire 15 is sealed when penetrating through theanti-reflux rubber cushion 13, therefore, the blood backflow before and after theguide wire 15 penetrates into thepuncture needle 9 is prevented, and the difficulty of clamping theguide wire 15 into thesealing clamping block 11 is reduced by arranging the conical groove at one end of thesealing clamping block 11.
Wherein, the quantity of sealedclamp splice 11side guide bar 10 is two, and twoguide bar 10 evenly distributed are in the side of sealedclamp splice 11, the one end fixed mounting ofguide bar 10 has the holding ring that is locatedpjncture needle 9 outside, restrict sealedclamp splice 11 shift position through twoguide bar 10, stability when sealedclamp splice 11 removes has been guaranteed, in addition, the holding ring throughguide bar 10 one end restrictsguide bar 10 position, prevent that sealedclamp splice 11 and guidebar 10 from droing undercompression spring 12 elastic action, make three sealedclamp splice 11 can remove topjncture needle 9 middle part simultaneously.
Wherein, two leadelectrical slip rings 17 evenly distributed in the inside of detectingring 16, the through-hole of mutually supporting withseal wire 15 is all seted up at two middle parts that leadelectrical slip rings 17, intervene patient's blood vessel withpjncture needle 9 after, will detectring 16 outsidepjncture needle 9 soon, penetrate inside sealedclamp splice 11 withseal wire 15 along two inside leadelectrical slip rings 17 of detectingring 16, makeseal wire 15 one section form closed circuit withcurrent display 18 through two leadelectrical slip rings 17 whenseal wire 15 penetrates, detect one section electric current ofseal wire 15 throughcurrent display 18, thereby detect the integrality ofseal wire 15 through the change of electric current whenseal wire 15 penetrates, prevent thatseal wire 15 from breaking at the during operation.
Thepuncture needle 9 is conical, the diameter value of the right side of thepuncture needle 9 is smaller than that of the left side of the puncture needle, the difficulty of inserting thepuncture needle 9 into a blood vessel is reduced, and the difficulty of working is further reduced.
In conclusion, when the catheter for cardiovascular interventional therapy is used, after a puncture needle 9 is inserted into a blood vessel of a patient, elastic force is applied to the sealing clamping blocks 11 through the compression springs 12, so that the three sealing clamping blocks 11 are closed to seal one end of the puncture needle 9, blood is prevented from overflowing along one end of the puncture needle 9, one end of a guide wire 15 is inserted into the puncture needle 9 through the anti-backflow rubber mat 13 along the middle part of the sealing clamping blocks 11, the diameter value of the central hole in the middle part of the anti-backflow rubber mat 13 changes along with the diameter value of the guide wire 15, the anti-backflow rubber mat 13 is used for sealing when the guide wire 15 is inserted, so that the blood backflow before and after the guide wire 15 is inserted into the puncture needle 9 is prevented, after the puncture needle 9 is inserted into the blood vessel, the puncture needle 9 is clamped at the bottom of the movable clamp 8, the adjusting screw 7 is, through supporting base 1 body and fixed cutting ferrule 2, the connecting plate 3, the connecting rod 4, card frame 6, activity clamp 8 is fixed to puncture needle 9 and seal wire 15, pipe 14 position, after interveneeing patient's blood vessel with puncture needle 9, will detect ring 16 outside puncture needle 9 soon, penetrate sealed clamp splice 11 with seal wire 15 along two inside conductive sliding rings 17 of detection ring 16 inside, make seal wire 15 one section form closed circuit with current display 18 through two conductive sliding rings 17 when seal wire 15 penetrates, detect one section electric current of seal wire 15 through current display 18, detect the integrality of seal wire 15 through the change of electric current when seal wire 15 penetrates, can.
The invention provides a new technical scheme, and the catheter for cardiovascular interventional therapy is shown in figure 6:
a micro expansion support part and a micro camera are arranged in front of thepuncture needle 9;
theguide wire 15 is provided with an advancing/retracting actuator at one end;
a controller and an image display are arranged outside the supportingbase 1;
the image display, the miniature camera and the advancing/retracting actuator are connected with the controller;
the miniature camera is used for collecting an image of the width of a blood vessel in a body, the controller sends an image detection instruction to the miniature camera, and the image detection instruction is generated when the miniature camera receives a detection operation triggered by the controller, controls the miniature camera to collect an environment image of the current environment and transmits the collected image to the image display;
the controller compares the width of thepuncture needle 9 with the corresponding blood vessel width according to the blood vessel width condition in the in-vivo blood vessel width image acquired by the micro camera, and the comparison process comprises the following steps:
the blood vessel width acquired by the camera is used as a first width value, the acquired width of the puncture needle (9) is used as a second width value, comparison data are extracted from a preset database according to the first width value and the second width value, the difference value of the first width value and the second width value is analyzed, and a comparison result is generated according to the difference value result;
if the width of thepuncture needle 9 is smaller than or equal to the width of the blood vessel, the controller controls the advancing/retracting actuator to push theguide wire 15 to advance continuously;
otherwise, the controller controls the advancement/retraction actuator to retract theguidewire 15 while prompting the mini-stent support to properly expand the vessel.
The working principle and the beneficial effects of the technical scheme are as follows: the controller compares the acquired blood vessel width with the width of the puncture needle, judges whether the puncture needle can smoothly reach a target through the blood vessel, controls the advancing/retracting actuator to push the puncture needle to continue advancing if the width of the puncture needle is less than or equal to the blood vessel width, and otherwise controls the micro expansion support to properly expand the blood vessel to ensure that the puncture needle smoothly passes through.
The invention provides a new technical scheme, and the catheter for cardiovascular interventional therapy is shown in figure 7:
thesupport base 1 is provided with a single chip microcomputer and an alarm;
the alarm is connected with the single chip microcomputer;
the single chip microcomputer is used for calculating the integrity of theguide wire 15 according to the current variation of themonitoring ring 16 when theguide wire 15 passes through thedetection ring 16, and the specific steps are as follows:
the single chip microcomputer is used for calculating the current variation of thedetection ring 16 when theguide wire 15 passes through thedetection ring 16 according to the following formula:
Figure BDA0002676503570000101
wherein Δ I represents the amount of change in current of themonitoring loop 16 as thewire 15 passes through thedetection loop 16; μ represents a sensitivity coefficient of thedetection ring 16; r represents the total resistance of thedetection ring 16; Δ U represents a change value of the operating voltage of thedetection ring 16 when monitoring theguide wire 15; ρ represents a current density of a current flowing through thedetection ring 16 when thedetection ring 16 operates; represents the dielectric constant of thedetection ring 16 in operation;
the single chip microcomputer is also used for calculating the integrity of theguide wire 15 according to the following formula:
Figure BDA0002676503570000102
wherein θ represents a complete value of the integrity of theguidewire 15; f represents the value of the friction loss of theguide wire 15 during operation; σ represents a value of heat loss of theguide wire 15; m represents the softness or hardness value of theguidewire 15; q represents the accuracy of theguidewire 15 in operation; Δ I represents the amount of change in current of themonitoring loop 16 as thewire 15 passes through thedetection loop 16;
comparing the integrity value of theguide wire 15 obtained by calculation with the integrity value of thepreset guide wire 15;
if the integrity value of theguide wire 15 obtained by calculation is greater than or equal to the integrity value of thepreset guide wire 15, the integrity of theguide wire 15 is indicated, and the single chip microcomputer controls the alarm to perform first alarm reminding;
otherwise, the single chip microcomputer controls the alarm to carry out second alarm reminding.
In this embodiment, the preset guide wire integrity value refers to a corresponding guide wire integrity value when the integrity of the guide wire is just in accordance with medical use and can meet the effect required by cardiovascular interventional therapy.
The working principle and the beneficial effects of the technical scheme are as follows: the current variation value of the detection ring when the guide wire passes through the detection ring is calculated through the single chip microcomputer, the integrity of the guide wire is calculated according to the current variation value, the calculated integrity of the guide wire is compared with the integrity of the preset guide wire, if the integrity value of the guide wire obtained through calculation is larger than or equal to the integrity value of thepreset guide wire 15, the single chip microcomputer controls the alarm to perform first alarm reminding, otherwise, the single chip microcomputer controls the alarm to perform second alarm reminding, the scheme ensures that the guide wire can not influence the treatment effect or the treatment progress due to the incomplete guide wire in the treatment process, and the use safety of the guide wire is improved.
The above description is only for the preferred embodiment of the present invention, but the scope of the present invention is not limited thereto, and any person skilled in the art should be considered to be within the technical scope of the present invention, and the technical solutions and the inventive concepts thereof according to the present invention should be equivalent or changed within the scope of the present invention.

Claims (9)

1. A catheter for cardiovascular interventional therapy, comprising a support base (1), a current display (18), characterized in that: the anti-reflux rubber gasket is characterized in that a fixed clamping sleeve (2) is fixedly mounted at the top of the supporting base (1), a connecting rod (4) is movably sleeved on the side face of the fixed clamping sleeve (2), a locking screw (5) matched with the connecting rod (4) is sleeved on the side face thread of the fixed clamping sleeve (2), a clamping frame (6) is fixedly mounted at one end of the connecting rod (4), an adjusting screw (7) is sleeved on the top thread of the clamping frame (6), a movable clamp (8) is movably sleeved at the bottom end of the adjusting screw (7), a puncture needle (9) is clamped at the bottom of the movable clamp (8), a guide rod (10) is movably mounted at the left side inside the puncture needle (9), a sealing clamp block (11) located inside the puncture needle (9) is fixedly mounted at one end of the guide rod (10), a compression spring (12) is sleeved on the outside of the guide rod (10), and an anti-reflux rubber gasket (13) is movably, and the middle part of the anti-reflux rubber mat (13) is provided with a central hole, the middle part of the sealing clamping block (11) is movably sleeved with a guide pipe (14), the inner part of the guide pipe (14) is movably sleeved with a guide wire (15), the outer thread of the puncture needle (9) is sleeved with a detection ring (16), two conductive sliding rings (17) are fixedly arranged in the detection ring (16), and the two conductive sliding rings (17) are electrically connected with a current display (18) through connecting wires.
2. A catheter for cardiovascular interventional therapy as set forth in claim 1, wherein: the fixed cutting sleeve (2) is located on the front side of the top of the supporting base (1), a locking screw rod (5) is sleeved on the thread below the front side of the fixed cutting sleeve (2), and an arc surface is formed in the top of the supporting base (1).
3. A catheter for cardiovascular interventional therapy as set forth in claim 1, wherein: the inside fixed mounting of connecting rod (4) one end card frame (6) has the fixation clamp of mutually supporting with activity clamp (8), the external fixation of connecting rod (4) has cup jointed the spacing ring.
4. A catheter for cardiovascular interventional therapy as set forth in claim 1, wherein: the number of the sealing clamping blocks (11) is three, the three sealing clamping blocks (11) are uniformly distributed in the puncture needle (9), and the top of each sealing clamping block (11) is provided with a conical groove.
5. A catheter for cardiovascular interventional therapy as set forth in claim 1, wherein: the number of the guide rods (10) on the side face of the sealing clamping block (11) is two, the two guide rods (10) are uniformly distributed on the side face of the sealing clamping block (11), and one end of each guide rod (10) is fixedly provided with a positioning ring positioned outside the puncture needle (9).
6. A catheter for cardiovascular interventional therapy as set forth in claim 1, wherein: the two conductive sliding rings (17) are uniformly distributed in the detection ring (16), and through holes matched with the guide wires (15) are formed in the middle of the two conductive sliding rings (17).
7. A catheter for cardiovascular interventional therapy as set forth in claim 1, wherein: the puncture needle (9) is conical, and the diameter value of the right side of the puncture needle (9) is smaller than that of the left side of the puncture needle.
8. A catheter for cardiovascular interventional therapy as set forth in claim 1, wherein:
a micro expansion support part and a micro camera are arranged in front of the puncture needle (9);
an advancing/retracting actuator is arranged at one end of the guide wire (15);
a controller and an image display are arranged outside the supporting base (1);
the image display, the miniature camera and the advancing/retracting actuator are connected with the controller;
the miniature camera is used for collecting an image of the width of a blood vessel in a body, the controller sends an image detection instruction to the miniature camera, and the image detection instruction is generated when the miniature camera receives a detection operation triggered by the controller, controls the miniature camera to collect an environment image of the current environment and transmits the collected image to the image display;
the controller compares the width of the puncture needle (9) with the corresponding blood vessel width according to the blood vessel width condition in the in-vivo blood vessel width image acquired by the micro camera, and the comparison process comprises the following steps:
the blood vessel width acquired by the camera is used as a first width value, the acquired width of the puncture needle (9) is used as a second width value, comparison data are extracted from a preset database according to the first width value and the second width value, the difference value of the first width value and the second width value is analyzed, and a comparison result is generated according to the difference value result;
if the width of the puncture needle (9) is smaller than or equal to the width of the blood vessel, the controller controls the advancing/retracting actuator to push the guide wire (15) to advance continuously;
otherwise, the controller controls the advancement/retraction actuator to retract the guidewire (15) while prompting the micro-dilation support to properly dilate the vessel.
9. A catheter for cardiovascular interventional therapy as set forth in claim 1, wherein:
the support base (1) is provided with a singlechip and an alarm;
the alarm is connected with the single chip microcomputer;
the single chip microcomputer is used for calculating the integrity of the guide wire (15) according to the current change of the monitoring ring (16) when the guide wire (15) passes through the detection ring (16), and the method comprises the following specific steps:
the single chip microcomputer is used for calculating the current change quantity of the detection ring (16) when the guide wire (15) passes through the detection ring (16) according to the following formula:
Figure FDA0002676503560000031
wherein Δ I represents an amount of current change of the monitoring loop (16) when the guidewire (15) passes through the detection loop (16); μ represents a sensitivity coefficient of the detection ring (16); r represents the total resistance of the detection ring (16); Δ U represents a change value of an operating voltage of the detection ring (16) when the guide wire (15) is monitored; p represents the current density of the current flowing through the detection ring (16) when the detection ring (16) works; represents the dielectric constant of the detection ring (16) in operation;
the single chip microcomputer is also used for calculating the integrity of the guide wire (15) according to the following formula:
Figure FDA0002676503560000032
wherein θ represents a complete value of the integrity of the guidewire (15); f represents the value of the friction loss of the guide wire (15) during the working process; σ represents a value of heat loss of the guide wire (15); m represents a softness or hardness value of the guide wire (15); q represents the accuracy of the guide wire (15) in operation; Δ I represents an amount of current change of the monitoring loop (16) when the guidewire (15) passes through the detection loop (16);
comparing the integrity value of the guide wire (15) obtained by calculation with the integrity value of a preset guide wire (15);
if the integrity value of the guide wire (15) obtained through calculation is larger than or equal to the integrity value of a preset guide wire (15), the integrity of the guide wire (15) is indicated, and the single chip microcomputer controls the alarm to perform first alarm reminding;
otherwise, the single chip microcomputer controls the alarm to carry out second alarm reminding.
CN202010949675.6A2020-09-102020-09-10Catheter for cardiovascular interventional therapyWithdrawnCN111888623A (en)

Priority Applications (1)

Application NumberPriority DateFiling DateTitle
CN202010949675.6ACN111888623A (en)2020-09-102020-09-10Catheter for cardiovascular interventional therapy

Applications Claiming Priority (1)

Application NumberPriority DateFiling DateTitle
CN202010949675.6ACN111888623A (en)2020-09-102020-09-10Catheter for cardiovascular interventional therapy

Publications (1)

Publication NumberPublication Date
CN111888623Atrue CN111888623A (en)2020-11-06

Family

ID=73224640

Family Applications (1)

Application NumberTitlePriority DateFiling Date
CN202010949675.6AWithdrawnCN111888623A (en)2020-09-102020-09-10Catheter for cardiovascular interventional therapy

Country Status (1)

CountryLink
CN (1)CN111888623A (en)

Cited By (2)

* Cited by examiner, † Cited by third party
Publication numberPriority datePublication dateAssigneeTitle
CN112842795A (en)*2021-02-062021-05-28谢纯Auxiliary device for coronary angiography
CN117797382A (en)*2024-01-262024-04-02湖南省中医药研究院Cardiovascular intervention treatment auxiliary device

Citations (6)

* Cited by examiner, † Cited by third party
Publication numberPriority datePublication dateAssigneeTitle
US6261246B1 (en)*1997-09-292001-07-17Scimed Life Systems, Inc.Intravascular imaging guidewire
CN204484259U (en)*2015-03-052015-07-22王凯峰The special apparatus of a kind of cardio-vascular interventional therapeutic
US20160096003A1 (en)*2014-08-222016-04-07Jaywant P. ParmarAdvanced Electromagnetic Motion and Tracking Peripherally Inserted Central Venous Catheter System with Extended Endovascular Applications
CN207707987U (en)*2017-06-292018-08-10张昌林A kind of Toluidine blue O arterial perfusion device
CN108578878A (en)*2018-05-072018-09-28北京迈迪顶峰医疗科技有限公司Vagina vasorum group and utilize its it is minimally invasive establish blood vessel intervention access method
CN209826903U (en)*2019-02-282019-12-24宗爱芬Cardiovascular interventional therapy equipment

Patent Citations (6)

* Cited by examiner, † Cited by third party
Publication numberPriority datePublication dateAssigneeTitle
US6261246B1 (en)*1997-09-292001-07-17Scimed Life Systems, Inc.Intravascular imaging guidewire
US20160096003A1 (en)*2014-08-222016-04-07Jaywant P. ParmarAdvanced Electromagnetic Motion and Tracking Peripherally Inserted Central Venous Catheter System with Extended Endovascular Applications
CN204484259U (en)*2015-03-052015-07-22王凯峰The special apparatus of a kind of cardio-vascular interventional therapeutic
CN207707987U (en)*2017-06-292018-08-10张昌林A kind of Toluidine blue O arterial perfusion device
CN108578878A (en)*2018-05-072018-09-28北京迈迪顶峰医疗科技有限公司Vagina vasorum group and utilize its it is minimally invasive establish blood vessel intervention access method
CN209826903U (en)*2019-02-282019-12-24宗爱芬Cardiovascular interventional therapy equipment

Cited By (2)

* Cited by examiner, † Cited by third party
Publication numberPriority datePublication dateAssigneeTitle
CN112842795A (en)*2021-02-062021-05-28谢纯Auxiliary device for coronary angiography
CN117797382A (en)*2024-01-262024-04-02湖南省中医药研究院Cardiovascular intervention treatment auxiliary device

Similar Documents

PublicationPublication DateTitle
EP0538259A1 (en)Method and apparatus for locating anatomical cavities
US20100286507A1 (en)Determining the position of a needle
CN111888623A (en)Catheter for cardiovascular interventional therapy
CN114748763B (en) An interventional surgery sheath fixing device
CN112755315B (en)Intelligent venous transfusion nursing management device
CN118844963A (en) Wearable monitoring device for critically ill children and monitoring system thereof
US12171459B2 (en)Auxilliary device and auxilliary method for epidural anesthesia needle placement
CN116138778A (en)Automatic arterial blood sampling device
CN112842795B (en)Auxiliary device for coronary angiography
CN207855757U (en)Long handle probe Interventional Ultrasound paracentesis depth control device
CN112120766A (en) A kind of arterial puncture locator and using method thereof
CN117462126A (en)Automatic arteriovenous blood drawing device capable of measuring blood sugar
CN117503129A (en)Negative pressure blood sampling device
BR102019010504A2 (en) brain clot removal sheathed position sensor and location pad collar
CN213098204U (en)Be used for department of neurology cerebral vessels to intervene puncture positioner
CN104436418A (en)Intracranial hematoma drainage tube capable of measuring cranium pressure
CN205359590U (en)Visual puncture drainage system of brain
CN209712892U (en)A kind of security protection screw electrode
CN215024023U (en)Alarm ring capable of preventing medicine from extravasation
CN106693149A (en)Guide wire, puncturing device adopting guide wire, and method for using puncturing device
CN221180559U (en)Puncture device for pediatric treatment
CN216061636U (en)Trigeminal neuralgia sacculus oppression art pipe of electrified physiology monitor function
CN219331713U (en)Blood vessel detector
CN104783774B (en)Rachiopathy corrective surgery heart bearing load determines device
CN109363664A (en) A safety protection spiral electrode

Legal Events

DateCodeTitleDescription
PB01Publication
PB01Publication
SE01Entry into force of request for substantive examination
SE01Entry into force of request for substantive examination
WW01Invention patent application withdrawn after publication
WW01Invention patent application withdrawn after publication

Application publication date:20201106


[8]ページ先頭

©2009-2025 Movatter.jp