











技术领域technical field
本发明涉及无线传输技术领域,尤其涉及一种数字通信信号同步解调方法及其装置。The present invention relates to the technical field of wireless transmission, and in particular, to a digital communication signal synchronous demodulation method and device thereof.
背景技术Background technique
在无线传输系统中,对于有载波调制的数字调制信号的接收,一般采用正交调节器进行载波相干解调,提取中频数字信号。但是,由于实际传输过程中存在多径时变效应,发射机和接收机并不能产生理想而精确的同步载波;因相对运动而引入的多普勒频移,使得中频数字信号中难免存在频率偏差和相位偏差,导致无法实现完全的载波解调。尤其是,在高速高动态场景中,往往会因为较高的加速度和加加速度导致较大的多普勒频率、多普勒频率变化甚至是多普勒频率二阶和二阶以上变化率,影响对频率偏差和相位偏差的准确估计,一定程度上影响解调过程中对符号的判决,进而影响系统传输的BER(Bit ErrorRate,误比特率)。In a wireless transmission system, for the reception of a digital modulated signal with carrier modulation, a quadrature regulator is generally used for coherent demodulation of the carrier wave to extract an intermediate frequency digital signal. However, due to the multi-path time-varying effect in the actual transmission process, the transmitter and receiver cannot generate an ideal and accurate synchronous carrier; the Doppler frequency shift introduced by relative motion makes it inevitable that there is a frequency deviation in the IF digital signal and phase deviation, resulting in the inability to achieve complete carrier demodulation. In particular, in high-speed and high-dynamic scenarios, high acceleration and jerk often lead to large Doppler frequency, Doppler frequency change, and even Doppler frequency second-order and above-order rate of change, affecting The accurate estimation of the frequency deviation and the phase deviation affects the decision of the symbol in the demodulation process to a certain extent, and then affects the BER (Bit ErrorRate, bit error rate) of the system transmission.
所以,要实现完全的载波解调需要进行载波同步(载波跟踪),即使正交解调器中的本地振荡跟踪接收信号中隐含的载波频率和瞬时相位,进而解决解调载波中因存在频差或相差使得解调信号出现失真情况,进而实现对调制信号进行高精度实时解调恢复。Therefore, to achieve complete carrier demodulation, carrier synchronization (carrier tracking) is required, even if the local oscillation in the quadrature demodulator tracks the carrier frequency and instantaneous phase implied in the received signal, and then solves the problem of the existence of frequency in the demodulated carrier. The difference or phase difference makes the demodulated signal distorted, so as to realize high-precision real-time demodulation and recovery of the modulated signal.
但是传统的载波解调同步方法,如Costas环、平方环等锁相环方法和差分解调方法,存在的弊端如下:However, the traditional carrier demodulation synchronization methods, such as Costas loop, square loop and other phase-locked loop methods and differential demodulation methods, have the following disadvantages:
1)传统的差分解调方法仅利用相邻符号时刻信息对基带数字信号进行判决,导致解调性能有限;1) The traditional differential demodulation method only uses the time information of adjacent symbols to judge the baseband digital signal, resulting in limited demodulation performance;
2)为了适应多普勒的高动态变化范围,则必须增加环路带宽和提高锁相环阶数;但是,增加环路带宽在一定程度上会增多进入锁相环的高噪声,进而恶化传输系统的性能;另外,提高锁相环阶数,虽然可以消除多普勒的高动态变化范围带来的稳态误差,但同时会导致噪声的引入和系统计算复杂度的提高,进而影响高速高动态通信传输系统的实时性;2) In order to adapt to the high dynamic range of Doppler, it is necessary to increase the loop bandwidth and increase the order of the phase-locked loop; however, increasing the loop bandwidth will increase the high noise entering the phase-locked loop to a certain extent, thereby deteriorating the transmission. In addition, increasing the order of the phase-locked loop can eliminate the steady-state error caused by the high dynamic range of Doppler, but at the same time will lead to the introduction of noise and increase the computational complexity of the system, which will affect the high speed and high speed. Real-time nature of dynamic communication transmission system;
3)需要基于足够长的信号序列,才能完成对载波的高精度同步;3) It needs to be based on a long enough signal sequence to complete the high-precision synchronization of the carrier;
4)多径时变环境下,信道系数快速时变,导致无法利用导频信息或者基于已知的先验信息进行最优无偏估计并补偿,且会一定程度上影响接收端解调过程中对符号的判决,进而影响系统传输的误比特率。4) In a multi-path time-varying environment, the channel coefficients are rapidly time-varying, which makes it impossible to use pilot information or based on known prior information for optimal unbiased estimation and compensation, which will affect the demodulation process of the receiver to a certain extent. The decision on the symbol, which in turn affects the bit error rate of the system transmission.
所以,亟需一种在高速高动态场景下,高实时性和高信噪比的数字通信信号同步解调方法。Therefore, there is an urgent need for a synchronous demodulation method for digital communication signals with high real-time performance and high signal-to-noise ratio in high-speed and high-dynamic scenarios.
发明内容SUMMARY OF THE INVENTION
本发明提供一种数字通信信号同步解调方法及其装置,其主要利用滑动窗结合压缩感知算法对调制信号进行恢复和频率预估计,利用低阶锁相环完成多普勒频移的精同步,并通过智能学习纠正基带数字信号的相位偏差和检测判决,解决了高速高动态场景中低信噪比的问题。The invention provides a digital communication signal synchronous demodulation method and device, which mainly use sliding window combined with compressed sensing algorithm to recover and pre-estimate the frequency of the modulated signal, and use a low-order phase-locked loop to complete the precise synchronization of Doppler frequency shift , and through intelligent learning to correct the phase deviation and detection decision of the baseband digital signal, it solves the problem of low signal-to-noise ratio in high-speed and high-dynamic scenes.
为实现上述目的,本发明还提供一种数字通信信号同步解调方法,应用于电子装置,数字通信信号同步解调方法包括:To achieve the above purpose, the present invention also provides a method for synchronous demodulation of digital communication signals, which is applied to electronic devices. The method for synchronous demodulation of digital communication signals includes:
S110、通过接收天线阵列接收发射机形成的电磁波信号,并将其转换成射频信号;S110, receiving the electromagnetic wave signal formed by the transmitter through the receiving antenna array, and converting it into a radio frequency signal;
S120、将射频信号下变频至可采样接收的中频数字信号;S120, down-converting the radio frequency signal to an intermediate frequency digital signal that can be sampled and received;
S130、对采样接收的中频数字信号利用匹配滤波器滤除符号间干扰和带外噪声;S130. Use a matched filter to filter out intersymbol interference and out-of-band noise on the sampled received intermediate frequency digital signal;
S140、对滤除符号间干扰和带外噪声的中频数字信号通过固定长度的滑动窗进行观测,并通过压缩感知算法获得重构的载波频域信号和频率信息;根据重构的载波频域信号和频率信息,通过数控振荡器获得残余多普勒频偏信号和调制信号,并通过低阶锁相环对残余多普勒频偏信号进行提取与同步,获得基带数字信号;S140: Observing the intermediate frequency digital signal filtered out of inter-symbol interference and out-of-band noise through a fixed-length sliding window, and obtaining a reconstructed carrier frequency domain signal and frequency information by a compressed sensing algorithm; according to the reconstructed carrier frequency domain signal and frequency information, obtain the residual Doppler frequency offset signal and modulation signal through the numerical control oscillator, and extract and synchronize the residual Doppler frequency offset signal through the low-order phase-locked loop to obtain the baseband digital signal;
S150、纠正基带数字信号的时钟偏差,以获得符号同步后的基带数字信号;S150, correct the clock deviation of the baseband digital signal to obtain the baseband digital signal after symbol synchronization;
S160、对符号同步后的基带数字信号进行符号相位的智能检测判决;S160, perform intelligent detection and judgment of symbol phase on the baseband digital signal after symbol synchronization;
S170、将智能检测判决后的基带数字信号的符号进行解调,获得用户数据。S170: Demodulate the symbols of the baseband digital signal determined by the intelligent detection to obtain user data.
进一步,优选的,在步骤S160中对基带数字信号进行符号相位的智能检测判决的方法包括:Further, preferably, in step S160, the method for intelligently detecting and judging the symbol phase of the baseband digital signal includes:
利用预先训练好的目标时变相偏模型,通过多径时变效应产生的时变幅度偏差序列建立基带数字信号与符号判决相位的映射关系,对基带数字信号进行相位偏差的纠正和符号相位的检测判决;其中,时变幅度偏差序列为相邻符号时刻和历史符号时刻的基带数字信号。Using the pre-trained target time-varying phase deviation model, the mapping relationship between the baseband digital signal and the symbol decision phase is established through the time-varying amplitude deviation sequence generated by the multipath time-varying effect, and the phase deviation correction and symbol phase detection are performed on the baseband digital signal. decision; wherein, the time-varying amplitude deviation sequence is the baseband digital signal at the adjacent symbol time and the historical symbol time.
进一步的,优选的,在步骤S160中对基带数字信号进行符号相位的智能检测判决的方法通过机器学习算法实现,所述机器学习算法为贝叶斯正则化算法、量化共轭梯度法、加权阻尼最小二乘方法中的一种或多种。Further, preferably, in step S160, the method for intelligently detecting and judging the symbol phase of the baseband digital signal is implemented by a machine learning algorithm, and the machine learning algorithm is a Bayesian regularization algorithm, a quantized conjugate gradient method, and a weighted damping method. One or more of the least squares methods.
进一步,优选的,目标时变相偏模型为,针对基带数字信号的时变幅度偏差序列,对源模型采用迁移学习进行搭建的卷积神经网络;Further, preferably, the target time-varying phase bias model is a convolutional neural network constructed by using migration learning for the source model for the time-varying amplitude bias sequence of the baseband digital signal;
目标时变相偏模型的训练方法包括:The training methods of the target time-varying phase bias model include:
通过静态和动态训练数据集,利用多径时变效应产生的时变幅度偏差序列进行训练;Using the time-varying amplitude deviation sequence generated by the multipath time-varying effect for training through static and dynamic training datasets;
卷积神经网络的目标函数J为:The objective function J of the convolutional neural network is:
其中,||·||1表示1范数,Ωt是目标时变相偏模型,Ωs表示源模型,Γ控制迁移正则化的数量,C控制损失函数的权重,yi表示第i个数据集对应的符号判决数据,Ai表示第i个数据集对应的同步后基带数字信号幅度信息,M表示静态和动态训练数据集的总数。where ||·||1 represents the 1 norm, Ωt is the target time-varying phase bias model, Ωs represents the source model, Γ controls the amount of transfer regularization, C controls the weight of the loss function, and yi represents the ith data The symbol decision data corresponding to the set, Ai represents the synchronized baseband digital signal amplitude information corresponding to the ith data set, and M represents the total number of static and dynamic training data sets.
进一步,优选的,步骤S140中通过压缩感知算法获得重构的载波频域信号和频率信息的方法包括:Further, preferably, in step S140, the method for obtaining the reconstructed carrier frequency domain signal and frequency information through a compressed sensing algorithm includes:
S210、利用通过固定长度的滑动窗进行观测的中频数字信号,构建初始测量矩阵和恢复矩阵,并获得线性测量;S210, using the intermediate frequency digital signal observed through a fixed-length sliding window to construct an initial measurement matrix and a recovery matrix, and obtain a linear measurement;
S220、通过线性测量计算恢复矩阵列向量与残差的投影系数,并确定最大投影系数的位置;S220, calculating the projection coefficient of the column vector of the restoration matrix and the residual by linear measurement, and determining the position of the maximum projection coefficient;
S230、通过加入最大投影系数所处的恢复矩阵和更新临时测量矩阵,进而更新当前的恢复信号的最小二乘解和残差;S230, by adding the restoration matrix where the maximum projection coefficient is located and updating the temporary measurement matrix, then update the least squares solution and residual of the current restoration signal;
S240、根据信号测量数计算恢复正确率,所述恢复正确率大于预设阈值,判断迭代次数是否大于稀疏度,若是,则停止迭代,进而获得重构的载波频域信号和频率信息;若否,则重复步骤S220进行循环迭代,以至所述迭代次数大于稀疏度,获得重构的载波频域信号和频率信息。S240. Calculate the recovery correct rate according to the signal measurement number, where the recovery correct rate is greater than a preset threshold, determine whether the number of iterations is greater than the sparseness, and if so, stop the iteration, and then obtain the reconstructed carrier frequency domain signal and frequency information; , step S220 is repeated to perform loop iteration until the number of iterations is greater than the sparsity, and the reconstructed carrier frequency domain signal and frequency information are obtained.
进一步,优选的,步骤S240中恢复正确率的预设阈值为Further, preferably, the preset threshold of the recovery correct rate in step S240 is
其中,N表示接收信号测量数,且c1和c2均表示正的常数,d表示信号的维数,m表示稀疏度。where N represents the number of received signal measurements, and Both c1 and c2 represent positive constants, d represents the dimension of the signal, and m represents the sparsity.
进一步,优选的,在电磁波轨道角动量双信道中,应用数字通信信号同步解调方法的信道为主信道。Further, preferably, in the electromagnetic wave orbital angular momentum dual channel, the channel to which the digital communication signal synchronous demodulation method is applied is the main channel.
为实现上述目的,本发明还提供一种数字通信信号同步解调系统,包括信号发射单元和信号接收单元;其中,In order to achieve the above object, the present invention also provides a digital communication signal synchronous demodulation system, including a signal transmitting unit and a signal receiving unit; wherein,
所述信号发射单元,用于通过发射机将基带数字信号转换成电磁波信号;The signal transmitting unit is used to convert the baseband digital signal into an electromagnetic wave signal through a transmitter;
所述信号接收单元,用于通过接收机将电磁波信号解调同步为基带数字信号;且所述信号接收单元包括接收天线阵列模块、中频数字信号接收模块、匹配滤波模块、压缩感知载波同步模块、定时同步模块、检测判决模块和用户数据获取模块;The signal receiving unit is used to demodulate and synchronize the electromagnetic wave signal into a baseband digital signal through a receiver; and the signal receiving unit includes a receiving antenna array module, an intermediate frequency digital signal receiving module, a matched filtering module, a compressed sensing carrier synchronization module, Timing synchronization module, detection and judgment module and user data acquisition module;
所述接收天线阵列模块,用于通过接收天线阵列接收发射机形成的电磁波信号,并将其转换成射频信号;The receiving antenna array module is used for receiving the electromagnetic wave signal formed by the transmitter through the receiving antenna array, and converting it into a radio frequency signal;
所述中频数字信号接收模块,用于将所述射频信号下变频至可采样接收的中频数字信号;The intermediate frequency digital signal receiving module is used for down-converting the radio frequency signal to an intermediate frequency digital signal that can be sampled and received;
所述匹配滤波模块,用于对采样接收的所述中频数字信号利用匹配滤波器滤除符号间干扰和带外噪声;The matched filter module is used to filter out intersymbol interference and out-of-band noise by using a matched filter for the sampled received intermediate frequency digital signal;
所述压缩感知载波同步模块,用于对滤除符号间干扰和带外噪声的中频数字信号通过固定长度的滑动窗进行观测,并通过压缩感知算法获得重构的载波频域信号和频率信息;根据重构的载波频域信号和频率信息,通过数控振荡器获得残余多普勒频偏信号和调制信号,并通过低阶锁相环对所述残余多普勒频偏信号进行提取与同步,获得基带数字信号;The compressed sensing carrier synchronization module is used to observe the intermediate frequency digital signal filtered out of inter-symbol interference and out-of-band noise through a fixed-length sliding window, and obtain the reconstructed carrier frequency domain signal and frequency information through a compressed sensing algorithm; According to the reconstructed carrier frequency domain signal and frequency information, the residual Doppler frequency offset signal and modulation signal are obtained through the numerical control oscillator, and the residual Doppler frequency offset signal is extracted and synchronized through the low-order phase-locked loop, Obtain baseband digital signal;
所述定时同步模块,用于纠正所述基带数字信号的时钟偏差,以获得符号同步后的基带数字信号;The timing synchronization module is used to correct the clock deviation of the baseband digital signal to obtain the baseband digital signal after symbol synchronization;
所述检测判决模块,用于对符号同步后的基带数字信号进行符号相位的智能检测判决;The detection and judgment module is used to perform intelligent detection and judgment of symbol phase on the baseband digital signal after symbol synchronization;
所述用户数据获取模块,用于将智能检测判决后的基带数字信号通过星座图进行显示。The user data acquisition module is used for displaying the baseband digital signal after intelligent detection and judgment through a constellation diagram.
为实现上述目的,本发明还提供一种电子装置,该电子装置包括:存储器、处理器,所述存储器中存储有数字通信信号同步解调程序,所述数字通信信号同步解调程序被所述处理器执行时实现如下步骤:In order to achieve the above object, the present invention also provides an electronic device comprising: a memory and a processor, wherein the memory stores a digital communication signal synchronous demodulation program, and the digital communication signal synchronous demodulation program is The processor implements the following steps when executing:
S110、通过接收天线阵列接收发射机形成的电磁波信号,并将其转换成射频信号;S110, receiving the electromagnetic wave signal formed by the transmitter through the receiving antenna array, and converting it into a radio frequency signal;
S120、将射频信号下变频至可采样接收的中频数字信号;S120, down-converting the radio frequency signal to an intermediate frequency digital signal that can be sampled and received;
S130、对采样接收的中频数字信号利用匹配滤波器滤除符号间干扰和带外噪声;S130. Use a matched filter to filter out intersymbol interference and out-of-band noise on the sampled received intermediate frequency digital signal;
S140、对滤除符号间干扰和带外噪声的中频数字信号通过固定长度的滑动窗进行观测,并通过压缩感知算法获得重构的载波频域信号和频率信息;根据重构的载波频域信号和频率信息,通过数控振荡器获得残余多普勒频偏信号和调制信号,并通过低阶锁相环对残余多普勒频偏信号进行提取与同步,获得基带数字信号;S140: Observing the intermediate frequency digital signal filtered out of inter-symbol interference and out-of-band noise through a fixed-length sliding window, and obtaining a reconstructed carrier frequency domain signal and frequency information by a compressed sensing algorithm; according to the reconstructed carrier frequency domain signal and frequency information, obtain the residual Doppler frequency offset signal and modulation signal through the numerical control oscillator, and extract and synchronize the residual Doppler frequency offset signal through the low-order phase-locked loop to obtain the baseband digital signal;
S150、纠正基带数字信号的时钟偏差,以获得符号同步后的基带数字信号;S150, correct the clock deviation of the baseband digital signal to obtain the baseband digital signal after symbol synchronization;
S160、对符号同步后的基带数字信号进行符号相位的智能检测判决;S160, perform intelligent detection and judgment of symbol phase on the baseband digital signal after symbol synchronization;
S170、将智能检测判决后的基带数字信号的符号进行解调,获得用户数据。S170: Demodulate the symbols of the baseband digital signal determined by the intelligent detection to obtain user data.
此外,为实现上述目的,本发明还提供一种计算机可读存储介质,所述计算机可读存储程序存储有计算机程序,所述计算机程序包括数字通信信号同步解调程序,所述数字通信信号同步解调程序被处理器执行时,实现上述数字通信信号同步解调方法的步骤。In addition, in order to achieve the above object, the present invention also provides a computer-readable storage medium, the computer-readable storage program stores a computer program, and the computer program includes a digital communication signal synchronous demodulation program, the digital communication signal synchronization When the demodulation program is executed by the processor, the steps of the above-mentioned digital communication signal synchronous demodulation method are realized.
本发明提出的数字通信信号同步解调方法及其装置,通过压缩感知算法利用载波的稀疏度对载波进行恢复和频率预估计,利用低阶锁相环完成多普勒频移的精同步,提取出基带数字信号,并且通过目标时变相偏模型纠正基带数字信号的相位偏差和检测判决;有益效果如下:The digital communication signal synchronous demodulation method and device provided by the present invention recover and pre-estimate the frequency of the carrier by using the sparseness of the carrier through the compressed sensing algorithm, and use the low-order phase-locked loop to complete the precise synchronization of the Doppler frequency shift. The baseband digital signal is output, and the phase deviation and detection decision of the baseband digital signal are corrected through the target time-varying phase deviation model; the beneficial effects are as follows:
1)、利用预先训练好的目标时变相偏模型实现对基带数字信号未知相位偏差的有效盲估计和检测判决,实现了SNR(Signal-to-Noise Ratio,信噪比)增益的提高;1), using the pre-trained target time-varying phase bias model to achieve effective blind estimation and detection judgment of the unknown phase bias of the baseband digital signal, and achieve the improvement of the SNR (Signal-to-Noise Ratio, signal-to-noise ratio) gain;
2)、通过压缩感知算法利用载波的稀疏度对载波进行恢复和频率预估计,利用低阶锁相环完成多普勒频移的精同步;相比于传统的锁相环方法,在同样SNR的前提下,压缩感知和低阶锁相环结合实现了BER性能的有效提高;降低了跟踪捕获所需的信号长度;2) The compressive sensing algorithm uses the carrier sparsity to recover and pre-estimate the frequency of the carrier, and uses the low-order phase-locked loop to complete the precise synchronization of the Doppler frequency shift; compared with the traditional phase-locked loop method, at the same SNR Under the premise of compressive sensing and low-order phase-locked loop, the BER performance is effectively improved; the signal length required for tracking and acquisition is reduced;
3)、通过压缩感知算法与滑动窗进行结合,实现对输入信号进行实时采集并处理,省去了信号长度划分,并将划分后的信号分别恢复和重构的步骤,降低了恢复重构的复杂度,进而提高恢复重构的速度;3) Through the combination of compressed sensing algorithm and sliding window, the real-time acquisition and processing of the input signal is realized, the signal length division is omitted, and the divided signals are restored and reconstructed respectively, which reduces the recovery and reconstruction time. complexity, thereby improving the speed of recovery and reconstruction;
4)、克服了传统解调同步方法在高速高动态场景下高阶锁相环所带来的高噪声引入,也在一定程度上解决了多径时变环境下因相位偏差带来的高BER问题,提高了符号传输速率;4) It overcomes the high noise introduced by the high-order phase-locked loop caused by the traditional demodulation synchronization method in high-speed and high-dynamic scenarios, and also solves the high BER problem caused by the phase deviation in the multi-path time-varying environment to a certain extent. Improved symbol transmission rate;
5)、可以适用于高速高动态场景,具有高信噪比、低误码率、高鲁棒性和高实时性等诸多显著优点。5) It can be applied to high-speed and high-dynamic scenes, and has many significant advantages such as high signal-to-noise ratio, low bit error rate, high robustness and high real-time performance.
附图说明Description of drawings
图1为本发明较佳实施例的数字通信信号同步解调方法的流程图;1 is a flowchart of a method for synchronous demodulation of digital communication signals according to a preferred embodiment of the present invention;
图2为本发明较佳实施例的压缩感知载波同步的物理架构示意图;FIG. 2 is a schematic diagram of the physical architecture of the compressed sensing carrier synchronization according to the preferred embodiment of the present invention;
图3为本发明较佳实施例的压缩感知载波同步的滑动窗口的原理示意图;3 is a schematic diagram of the principle of a sliding window for compressive sensing carrier synchronization according to a preferred embodiment of the present invention;
图4为本发明较佳实施例的压缩感知信号处理流程的流程图;4 is a flow chart of a compressed sensing signal processing flow according to a preferred embodiment of the present invention;
图5为本发明较佳实施例的压缩感知恢复正确概率的示意图;5 is a schematic diagram of a compressed sensing recovery correct probability according to a preferred embodiment of the present invention;
图6为本发明较佳实施例的压缩感知和二阶锁相环、四阶锁相环、三阶锁相环辅助二阶锁相环BER对比曲线示意图;6 is a schematic diagram of a BER comparison curve between compressed sensing and a second-order phase-locked loop, a fourth-order phase-locked loop, and a third-order phase-locked loop assisted by a second-order phase-locked loop according to a preferred embodiment of the present invention;
图7为本发明较佳实施例的卷积神经网络结构示意图;7 is a schematic structural diagram of a convolutional neural network according to a preferred embodiment of the present invention;
图8为本发明较佳实施例的智能学习前后BER对比曲线示意图;8 is a schematic diagram of a BER comparison curve before and after intelligent learning according to a preferred embodiment of the present invention;
图9为本发明较佳实施例的典型应用场景的BER曲线示意图;9 is a schematic diagram of a BER curve of a typical application scenario of a preferred embodiment of the present invention;
图10为本发明较佳实施例的OAM双信道传输系统的原理示意图;10 is a schematic diagram of the principle of an OAM dual-channel transmission system according to a preferred embodiment of the present invention;
图11为本发明较佳实施例的数字通信信号同步解调系统的结构示意图;11 is a schematic structural diagram of a digital communication signal synchronous demodulation system according to a preferred embodiment of the present invention;
图12为本发明较佳实施例的数字通信信号同步解调方法的电子装置的结构示意图;12 is a schematic structural diagram of an electronic device for a method for synchronous demodulation of digital communication signals according to a preferred embodiment of the present invention;
本发明目的的实现、功能特点及优点将结合实施例,参照附图做进一步说明。The realization, functional characteristics and advantages of the present invention will be further described with reference to the accompanying drawings in conjunction with the embodiments.
具体实施方式Detailed ways
应当理解,此处所描述的具体实施例仅仅用以解释本发明,并不用于限定本发明。It should be understood that the specific embodiments described herein are only used to explain the present invention, but not to limit the present invention.
现有技术在一定程度上存在背景中所述的在高速高动态移动终端运动过程中,传统载波同步算法所需锁相环阶数较高,且SNR低等问题;以及基于具有多径效应的快速时变传输信道中,缺少对未知相位偏差的有效盲估计和检测判决所带来高BER等问题。To a certain extent, the prior art has the problems described in the background that in the process of high-speed and high-dynamic mobile terminal movement, the traditional carrier synchronization algorithm requires a relatively high phase-locked loop order and low SNR; In the fast time-varying transmission channel, the lack of effective blind estimation of unknown phase deviation and the high BER caused by the detection decision.
压缩感知算法可以利用信号在某个变换域中的稀疏性,在远小于奈奎斯特采样定律的情况下,通过压缩后的少量信号和稀疏度来完成对信号的恢复重构。该过程是将信号的压缩与采样相结合,利用先验的稀疏性信息,在保证信号恢复效果的前提下,可以有效降低所需数据量的长度,同时能够降低计算复杂度、提高系统实时性。但是,采用压缩感知算法进行数字通信信号同步解调时,需要对信号进行分段甚至分块处理,即将信号分成很多块,对于每块信号分别进行压缩感知算法处理,从而增加了信号恢复重构的复杂度,影响了恢复重构的速度。The compressed sensing algorithm can use the sparsity of the signal in a certain transform domain to complete the restoration and reconstruction of the signal through a small amount of compressed signal and sparsity when it is much smaller than the Nyquist sampling law. This process combines signal compression and sampling, and uses prior sparsity information to effectively reduce the length of the required amount of data, reduce computational complexity, and improve system real-time performance on the premise of ensuring signal recovery. . However, when the compressed sensing algorithm is used for synchronous demodulation of digital communication signals, the signal needs to be segmented or even divided into blocks, that is, the signal is divided into many blocks, and the compressed sensing algorithm is processed separately for each block signal, thereby increasing the signal recovery and reconstruction. The complexity affects the speed of recovery and reconstruction.
此外,随着2016年谷歌阿尔法狗战胜世界围棋冠军李世石后,人工智能在国内掀起了浪潮。而机器学习是人工智能重要发展方向之一,在信号估计和检测领域中,可以在减少导频数据,甚至不需要导频数据的前提下,实现对信道参数的估计与检测。相比于传统方法,如最大似然估计等方法,在无先验信息的盲估计前提下,可以有效提高对信号的检测和估计的精度。此外,相比于高速高动态场景下的差分解调判决而言,机器学习除了能够利用相邻符号时刻信息外,还可以捕捉历史符号时刻特征,建立并完善学习模型。因此,将机器学习中的一些智能学习算法应用到解调同步中来,在已知载波频率和定时同步的情况下,对信道中发生快速改变的信道系数信息进行盲估计,并且捕捉相邻符号时刻和历史符号时刻信息。通过该过程,建立基带信号(输入)和符号判决相位(输出)的映射关系,替代传统的检测判决环节,降低传输过程的BER。In addition, after Google AlphaGo beat world Go champion Lee Sedol in 2016, artificial intelligence set off a wave in China. Machine learning is one of the important development directions of artificial intelligence. In the field of signal estimation and detection, it is possible to estimate and detect channel parameters without reducing pilot data or even without pilot data. Compared with traditional methods, such as maximum likelihood estimation, under the premise of blind estimation without prior information, the accuracy of signal detection and estimation can be effectively improved. In addition, compared with the differential demodulation judgment in high-speed and high-dynamic scenarios, machine learning can not only use the information of adjacent symbol moments, but also capture the characteristics of historical symbol moments to establish and improve the learning model. Therefore, some intelligent learning algorithms in machine learning are applied to demodulation synchronization, in the case of known carrier frequency and timing synchronization, blindly estimate the channel coefficient information that changes rapidly in the channel, and capture adjacent symbols Moments and historical symbols Moment information. Through this process, the mapping relationship between the baseband signal (input) and the symbol decision phase (output) is established, which replaces the traditional detection and decision link and reduces the BER of the transmission process.
因此,本发明提出了一种基于压缩感知和智能学习的数字通信信号同步解调方法、系统、电子装置和计算机存储介质,简化了传统高阶锁相环设计的复杂结构,抑制了传输过程中引入的高噪声,也提高了系统的实时性,并且大大降低了系统传输过程中的BER。Therefore, the present invention proposes a digital communication signal synchronous demodulation method, system, electronic device and computer storage medium based on compressed sensing and intelligent learning, which simplifies the complex structure of the traditional high-order phase-locked loop design and suppresses the introduction of the transmission process. High noise also improves the real-time performance of the system, and greatly reduces the BER during system transmission.
本发明的数字通信信号同步解调方法,通过对滤除符号间干扰和带外噪声的中频数字信号通过固定长度的滑动窗进行观测,并通过压缩感知算法获得重构的载波频域信号和频率信息;根据重构的载波频域信号和频率信息,通过数控振荡器获得残余多普勒频偏信号和调制信号,并通过低阶锁相环对残余多普勒频偏信号进行提取与同步,获得基带数字信号;进一步通过预先训练好的目标时变相偏模型实现对基带数字信号未知相位偏差的有效盲估计和检测判决进而实现对基带数字信号的精确解调同步。The digital communication signal synchronous demodulation method of the present invention observes the intermediate frequency digital signal filtered out of inter-symbol interference and out-of-band noise through a fixed-length sliding window, and obtains the reconstructed carrier frequency domain signal and frequency through a compressed sensing algorithm. According to the reconstructed carrier frequency domain signal and frequency information, the residual Doppler frequency offset signal and modulation signal are obtained through the numerically controlled oscillator, and the residual Doppler frequency offset signal is extracted and synchronized through the low-order phase-locked loop. Obtain the baseband digital signal; further realize the effective blind estimation and detection judgment of the unknown phase deviation of the baseband digital signal through the pre-trained target time-varying phase deviation model, thereby realizing the accurate demodulation and synchronization of the baseband digital signal.
为了提高基带数字信号的实时性和精准度,本发明提供一种数字通信信号同步解调方法。图1示出了根据本发明的数字通信信号同步解调方法较佳实施例的流程。参照图1所示,该方法可以由一个装置执行,该装置可以由软件和/或硬件实现。In order to improve the real-time performance and accuracy of the baseband digital signal, the present invention provides a method for synchronous demodulation of digital communication signals. FIG. 1 shows the flow of a preferred embodiment of a method for synchronous demodulation of digital communication signals according to the present invention. Referring to FIG. 1 , the method may be performed by an apparatus, and the apparatus may be implemented by software and/or hardware.
具体地说,基于压缩感知算法和智能学习的数字通信信号同步解调方法包括步骤S110-步骤S170。Specifically, the method for synchronous demodulation of digital communication signals based on compressive sensing algorithm and intelligent learning includes steps S110-S170.
S110、通过接收天线阵列接收发射机形成的电磁波信号,并将其转换成射频信号。S110. Receive the electromagnetic wave signal formed by the transmitter through the receiving antenna array, and convert it into a radio frequency signal.
具体地说,接收天线阵列将自由空间中进行传输的电磁波信号转换成后续可以进行处理的射频信号。Specifically, the receiving antenna array converts electromagnetic wave signals transmitted in free space into radio frequency signals that can be processed subsequently.
由于多普勒效应和多径时变传输信道的影响,接收天线阵列接收到的信号可以写成如下形式:Due to the Doppler effect and the multipath time-varying transmission channel, the signal received by the receiving antenna array can be written in the following form:
其中,rk是k时刻实际接收到的信号,A是接收到信号的幅度大小,fc是载波频率,fk是多普勒频移,c是电磁波传输速度,θ是移动目标与接收目标之间的夹角,k是采样点时刻,是传输信道中的未知相位,nk是传输过程中引入的噪声。Among them, rk is the signal actually received at time k, A is the amplitude of the received signal, fc is the carrier frequency, fk is the Doppler frequency shift, c is the transmission speed of the electromagnetic wave, θ is the moving target and the receiving target The angle between , k is the sampling point time, is the unknown phase in the transmission channel, and nk is the noise introduced during transmission.
需要说明的是:It should be noted:
对于高速高动态移动终端而言,瞬时移动速度vk表示为:For high-speed and high-dynamic mobile terminals, the instantaneous moving speed vk is expressed as:
其中,in,
v0、a0和a1分别表示目标移动的初速度、加速度和加加速度。v0 , a0 and a1 represent the initial velocity, acceleration and jerk of the target movement, respectively.
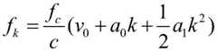
若假设夹角θ为0,此时多普勒频移最大,结合以上公式可将多普勒频移fk表示为:If the included angle θ is assumed to be 0, the Doppler frequency shift is the largest at this time. Combined with the above formula, the Doppler frequency shift fk can be expressed as:
进而可得锁相环环路需要跟踪的动态变化范围表示为:Then the dynamic range of the phase-locked loop loop that needs to be tracked can be obtained Expressed as:
在步骤S110中发射机形成电磁波信号的方法包括:In step S110, the method for the transmitter to form an electromagnetic wave signal includes:
S310、通过随机序列生成器对基带数字信号进行仿真,将仿真后的基带数字信号进行QPSK调制,获得调制信号;S310, simulate the baseband digital signal by using a random sequence generator, and perform QPSK modulation on the simulated baseband digital signal to obtain a modulated signal;
其中,对基带数字信号进行仿真是随机序列生成器生成随机数替代用户数据进行仿真,而基带数字信号进行QPSK调制,调制后分别得到I(In-phase,同相)路和Q(Quadrature,正交)路的信号。Among them, the simulation of the baseband digital signal is that the random sequence generator generates random numbers instead of user data for simulation, while the baseband digital signal is QPSK modulated, and after modulation, I (In-phase, in-phase) and Q (Quadrature, quadrature) are obtained respectively. ) signal.
信号调制可以是ASK(Amplitude Shift Keying,振幅键控)、FSK(FrequencyShift Keying,频移键控)、PSK(Phase Shift Keying,相移键控)、QAM(QuadratureAmplitude Modulation,正交振幅调制)等任何调制方式中的任意一种,对此不做具体限定。Signal modulation can be ASK (Amplitude Shift Keying, Amplitude Keying), FSK (FrequencyShift Keying, Frequency Shift Keying), PSK (Phase Shift Keying, Phase Shift Keying), QAM (Quadrature Amplitude Modulation, Quadrature Amplitude Modulation) and any other Any one of the modulation modes is not specifically limited.
S320、将调制信号利用成型滤波器进行脉冲成型为中频数字信号,并滤除中频数字信号的符号间干扰和带外噪声;S320, using a shaping filter to pulse shape the modulated signal into an intermediate frequency digital signal, and filter out intersymbol interference and out-of-band noise of the intermediate frequency digital signal;
也就是说,基于I(In-phase,同相)路和Q(Quadrature,正交)路的信号通过升余弦成型滤波的脉冲成型,在一定程度上可以消除符号间干扰。That is to say, the signals based on the I (In-phase, in-phase) path and the Q (Quadrature, quadrature) path are pulse-shaped by raised cosine shaping filtering, which can eliminate inter-symbol interference to a certain extent.
S330、将中频数字信号上变频至可由天线进行传输的射频信号;S330, up-converting the intermediate frequency digital signal to a radio frequency signal that can be transmitted by an antenna;
也就是说,将中频数字信号上变频至所发射频点,即转化成可以由天线进行传输的相应频点的射频信号。That is to say, the intermediate frequency digital signal is up-converted to the transmitted radio frequency point, that is, converted into a radio frequency signal of the corresponding frequency point that can be transmitted by the antenna.
S340、通过发射天线阵列将射频信号转换成电磁波信号。即将射频信号转换成自由空间中能够进行传播的电磁波信号。S340. Convert the radio frequency signal into an electromagnetic wave signal through the transmitting antenna array. It converts radio frequency signals into electromagnetic wave signals that can propagate in free space.
其中,需要说明的是,所述电磁波包括光波、微波、毫米波以及太赫兹波中的一种或多种。对此不作具体限定。Wherein, it should be noted that the electromagnetic waves include one or more of light waves, microwaves, millimeter waves, and terahertz waves. This is not specifically limited.
发射天线阵列和/或所述接收天线阵列中的天线可以为喇叭天线、抛物面天线、卡塞格伦天线、贴片天线、阵列天线中的任意一种,对此不作具体限定。The antennas in the transmitting antenna array and/or the receiving antenna array may be any one of a horn antenna, a parabolic antenna, a Cassegrain antenna, a patch antenna, and an array antenna, which is not specifically limited.
S120、将射频信号下变频至可采样接收的中频数字信号。S120. Down-convert the radio frequency signal to an intermediate frequency digital signal that can be sampled and received.
具体地说,为了硬件采样率,将射频信号下变频至中频数字信号进行采样接收。Specifically, for the hardware sampling rate, the radio frequency signal is down-converted to an intermediate frequency digital signal for sampling and reception.
在具体实施过程中,中频接收过程也可以用相应频点的射频接收进行替换,射频接收后直接对射频信号进行采样和处理。In the specific implementation process, the intermediate frequency receiving process can also be replaced by the radio frequency receiving at the corresponding frequency point, and the radio frequency signal is directly sampled and processed after the radio frequency receiving.
S130、对采样接收的中频数字信号利用匹配滤波器滤除符号间干扰和带外噪声。S130. Use a matched filter to filter out intersymbol interference and out-of-band noise on the sampled received intermediate frequency digital signal.
具体地说,匹配滤波器和信号发射端中的成型滤波器是一对升余弦滤波器,用于降低中频数字信号的符号间干扰并滤除带外噪声。换句话说,该匹配滤波过程跟信号发射端的成型滤波过程是由具有同样滚降系数的升余弦滤波器来实现的,通过上述升余弦滤波器以降低带外噪声对信号的干扰。Specifically, the matched filter and the shaping filter in the signal transmitting end are a pair of raised cosine filters, which are used to reduce the inter-symbol interference of the intermediate frequency digital signal and filter out out-of-band noise. In other words, the matched filtering process and the shaping filtering process at the signal transmitting end are implemented by a raised cosine filter with the same roll-off coefficient, and the above-mentioned raised cosine filter is used to reduce the interference of out-of-band noise to the signal.
S140、对滤除符号间干扰和带外噪声的中频数字信号通过固定长度的滑动窗进行观测,并通过压缩感知算法获得重构的载波频域信号和频率信息;根据重构的载波频域信号和频率信息,通过数控振荡器获得残余多普勒频偏信号和调制信号,并通过低阶锁相环对残余多普勒频偏信号进行提取与同步,获得基带数字信号。S140: Observing the intermediate frequency digital signal filtered out of inter-symbol interference and out-of-band noise through a fixed-length sliding window, and obtaining a reconstructed carrier frequency domain signal and frequency information through a compressed sensing algorithm; according to the reconstructed carrier frequency domain signal and frequency information, obtain the residual Doppler frequency offset signal and modulation signal through a numerically controlled oscillator, and extract and synchronize the residual Doppler frequency offset signal through a low-order phase-locked loop to obtain a baseband digital signal.
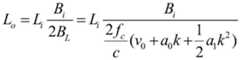
结合高速高动态场景下,需要跟踪的动态变化范围,可得接收机锁相环输出端的Lo如下表示:Combined with the dynamic variation range that needs to be tracked in high-speed and high-dynamic scenarios, the Lo at the output of the receiver's phase-locked loop can be expressed as follows:
其中,Li表示输入信号的SNR,Bi表示输入信号的带宽,BL表示环路噪声带宽。Among them,Li represents the SNR of the input signal, B irepresents the bandwidth of the input signal, andBL represents the loop noise bandwidth.
需要说明的是,这里的环路带宽在一定程度上可以认为等于多普勒频移。因为锁相环结构若是想跟踪多普勒频移,则要对环路带宽进行相应的设置,与之同时,环路噪声也会被同样引入。It should be noted that the loop bandwidth here can be regarded as equal to the Doppler frequency shift to a certain extent. Because if the phase-locked loop structure wants to track the Doppler frequency shift, the loop bandwidth must be set accordingly, and at the same time, the loop noise will also be introduced.
通过上述公式可见,锁相环结构输入和输出的信噪比是不同的,输出的信噪比依赖环路带宽;当环路带宽存在的时候,会牺牲信噪比。对于高速高动态场景而言,移动终端存在加加速度,即存在多普勒频移的二阶导数。此时,传统的锁相环结构必须达到四阶或以上,才能在一定程度上消除跟踪稳态误差。即使采用三阶锁相环辅助二阶锁相环的结构,也会因为环路噪声带宽的增加,而使得接收机锁相环输出端的SNR(Signal-to-Noise Ratio,信噪比)下降,使得高噪声对接收信号的影响增大,进而影响传输系统的BER性能。It can be seen from the above formula that the input and output signal-to-noise ratios of the phase-locked loop structure are different, and the output signal-to-noise ratio depends on the loop bandwidth; when the loop bandwidth exists, the signal-to-noise ratio will be sacrificed. For high-speed and high-dynamic scenarios, the mobile terminal has jerk, that is, the second derivative of the Doppler frequency shift. At this time, the traditional phase-locked loop structure must reach the fourth order or above, in order to eliminate the tracking steady-state error to a certain extent. Even if the structure of the third-order phase-locked loop assisted by the second-order phase-locked loop is adopted, the SNR (Signal-to-Noise Ratio) at the output of the receiver's phase-locked loop will decrease due to the increase of the loop noise bandwidth. This increases the influence of high noise on the received signal, which in turn affects the BER performance of the transmission system.
因此,用压缩感知和低阶小带宽锁相环的结构替代高阶大带宽锁相环结构,压缩感知利用所需提取载波的稀疏性来对高动态变化的多普勒频移变化进行预估计,通过多次采样以达到卡尔曼滤波类似滤除噪声的效果,低阶小带宽锁相环则用于消除稳态误差。而压缩感知算法和低阶小带宽锁相环相比于其他结构,可以一定程度上减小环路带宽,从而获得信噪比的增益。具体地说,压缩感知载波同步方法包括压缩感知算法和低阶小带宽锁相环,其中,压缩感知利用载波的稀疏性对载波进行恢复和频率预估计,再由低阶小带宽锁相环完成多普勒频移精同步,进而提取得到基带信号。需要说明的是这里的低阶小带宽锁相环可以是二阶锁相环或三阶锁相环。Therefore, the high-order large-bandwidth phase-locked loop structure is replaced by the structure of compressed sensing and low-order small-bandwidth phase-locked loop. , through multiple sampling to achieve the effect of filtering noise similar to Kalman filter, low-order small bandwidth phase-locked loop is used to eliminate steady-state errors. Compared with other structures, the compressive sensing algorithm and the low-order small-bandwidth phase-locked loop can reduce the loop bandwidth to a certain extent, so as to obtain the gain of the signal-to-noise ratio. Specifically, the compressive sensing carrier synchronization method includes a compressive sensing algorithm and a low-order small-bandwidth phase-locked loop, wherein the compressive sensing uses the sparseness of the carrier to recover and pre-estimate the frequency of the carrier, and then complete the low-order small-bandwidth phase-locked loop. Doppler frequency shift and precise synchronization, and then extract the baseband signal. It should be noted that the low-order small-bandwidth phase-locked loop here may be a second-order phase-locked loop or a third-order phase-locked loop.
图2示出了根据本发明的压缩感知载波同步的较佳实施例的物理架构示意。参照图2所示,FIG. 2 shows a schematic diagram of the physical structure of a preferred embodiment of the compressed sensing carrier synchronization according to the present invention. Referring to Figure 2,
中频数字信号通过压缩感知算法得到的重构载波频域信号和频率信息,然后根据得到的重构载波频域信号和频率信息,通过数控振荡器产生相应频率的同相和正交分量,与中频数字信号进行相乘得到残余多普勒频偏信号;再由低阶小带宽锁相环结构完成对该残余多普勒频偏信号的提取与同步,最后得到解调后的基带数字信号。在一个具体的实施例中,低阶小带宽锁相环为二阶锁相环。The intermediate frequency digital signal obtains the reconstructed carrier frequency domain signal and frequency information through the compressed sensing algorithm, and then according to the obtained reconstructed carrier frequency domain signal and frequency information, the numerical control oscillator generates the in-phase and quadrature components of the corresponding frequency, which are compared with the intermediate frequency digital signal. The signal is multiplied to obtain the residual Doppler frequency offset signal; then the extraction and synchronization of the residual Doppler frequency offset signal is completed by the low-order small bandwidth phase-locked loop structure, and finally the demodulated baseband digital signal is obtained. In a specific embodiment, the low-order small-bandwidth phase-locked loop is a second-order phase-locked loop.
需要说明的是,二阶锁相环由低通滤波器、鉴相器和环路滤波器组成。通过压缩感知算法对中频数字信号进行频率的预估计,其中估计出的频率也包括多普勒频偏,然后用二阶锁相环对跟踪稳态误差进行消除,能够在保证SNR的前提下,较好实现对高速高动态多普勒频移的跟踪。It should be noted that the second-order phase-locked loop consists of a low-pass filter, a phase detector and a loop filter. Pre-estimate the frequency of the intermediate frequency digital signal through the compressed sensing algorithm, and the estimated frequency also includes the Doppler frequency offset, and then use the second-order phase-locked loop to eliminate the tracking steady-state error, which can ensure the SNR under the premise of, It is better to realize the tracking of high-speed and high-dynamic Doppler frequency shift.
压缩感知算法和二阶锁相环结构一方面可以提高接收机的SNR,另一方面也降低了高阶锁相环设计的复杂度,便于实时将中频数字信号搬到基带数字信号,为后续的定时同步和智能学习环节,提供一定的实时性保障,并且加快定时同步对时钟偏差的收敛迭代速度。The compressed sensing algorithm and the second-order phase-locked loop structure can improve the SNR of the receiver on the one hand, and reduce the complexity of the high-order phase-locked loop design on the other hand, which facilitates the transfer of the intermediate frequency digital signal to the baseband digital signal in real time for subsequent timing synchronization. and intelligent learning links, provide a certain real-time guarantee, and speed up the convergence and iteration speed of timing synchronization to clock deviation.
为了解决采用压缩感知算法进行数字通信信号同步解调时,需要对信号进行分段甚至分块处理的问题。本发明的数字通信信号同步解调方法在高速高动态场景中,通过对压缩感知输入信号进行滑动窗结构的设计,实现对输入信号进行采集并处理。In order to solve the problem that the signal needs to be segmented or even divided into blocks when the compressive sensing algorithm is used for synchronous demodulation of digital communication signals. The digital communication signal synchronous demodulation method of the present invention realizes the collection and processing of the input signal by designing the sliding window structure for the compressed sensing input signal in the high-speed and high-dynamic scene.
图3示出了根据本发明的压缩感知载波同步的滑动窗的较佳实施例的原理示意图。参照图3所示,FIG. 3 shows a schematic schematic diagram of a preferred embodiment of a sliding window for compressive sensing carrier synchronization according to the present invention. Referring to Figure 3,
压缩感知载波同步的输入信号滑动窗结构中,滑动窗长度为N,在不同符号时刻,均对滑动窗内的信号多普勒频移进行预估计。In the input signal sliding window structure of compressive sensing carrier synchronization, the length of the sliding window is N, and the Doppler frequency shift of the signal in the sliding window is pre-estimated at different symbol times.
传统压缩感知算法都是基于对信号的分段甚至分块处理,即将信号分成很多块,对于每块信号分别进行压缩感知算法处理。但在本发明压缩感知载波同步过程中,为了便于对信号的实时处理(满足一定的实时性),则必须对输入信号的结构进行设计,采用滑动窗的设计,实时对滑动窗的信号进行处理与恢复。The traditional compressive sensing algorithm is based on the segmentation or even block processing of the signal, that is, the signal is divided into many blocks, and the compressed sensing algorithm is processed separately for each block of the signal. However, in the process of the compressed sensing carrier synchronization of the present invention, in order to facilitate the real-time processing of the signal (to meet a certain real-time performance), the structure of the input signal must be designed, and the design of the sliding window is adopted to process the signal of the sliding window in real time. with recovery.
其中,将压缩感知载波同步的输入信号滑动窗结构中。对于本领域技术人员而言,滑动窗结构参照郁祎琳、徐永海、刘晓博.滑窗迭代DFT的谐波电流检测方法【J】.电力系统保护与控制,2011,第39卷第13期78-81。Among them, the input signal synchronized by the compressed sensing carrier is in a sliding window structure. For those skilled in the art, the structure of sliding window refers to Yu Yilin, Xu Yonghai, Liu Xiaobo. Sliding window iterative DFT harmonic current detection method [J]. Power System Protection and Control, 2011, Vol. 39, No. 13 78 -81.
在本发明的压缩感知算法与滑窗结构相结合,实现了物理层面的数据存储,通过不断剔除前一时刻的采样数据,补充最新的实时采样数据,以加快采样数据的更新运算速度。对采样数据无需进行加权,直接将滑动窗的数据存储输入到压缩感知算法中,进行实时运算处理。将不断滑动循环存储数据的读取理解为滑动窗结构。The compressed sensing algorithm of the present invention is combined with the sliding window structure to realize the data storage at the physical level. By continuously eliminating the sampling data of the previous moment, the latest real-time sampling data is supplemented to speed up the update operation speed of the sampling data. The sampling data does not need to be weighted, and the data storage of the sliding window is directly input into the compressed sensing algorithm for real-time operation processing. The reading of continuously sliding and circulating storage data is understood as a sliding window structure.
需要说明的是,接收信号测量数应该小于或等于滑动窗长度。若是降采样率采样,则接收信号测量数小于滑动窗长度;若是等采样率采样,则接收信号测量数等于滑动窗长度。It should be noted that the number of received signal measurements should be less than or equal to the length of the sliding window. If sampling at a down sampling rate, the number of received signal measurements is less than the length of the sliding window; if sampling at the same sampling rate, the number of received signal measurements is equal to the length of the sliding window.
由于OMP(Orthogonal Matching Pursuit,正交匹配追踪)重构算法有着较快的收敛速度,因此采用OMP重构算法。Since the OMP (Orthogonal Matching Pursuit, Orthogonal Matching Pursuit) reconstruction algorithm has a faster convergence rate, the OMP reconstruction algorithm is adopted.
图4示出了根据本发明的压缩感知信号处理流程的流程。参照图4所示,FIG. 4 shows the flow of the compressed sensing signal processing flow according to the present invention. Referring to Figure 4,
通过压缩感知算法获得重构的载波频域信号和频率信息的方法包括步骤S210-S240。在一个具体的实施例中,压缩感知算法为OMP重构算法。The method for obtaining a reconstructed carrier frequency domain signal and frequency information through a compressive sensing algorithm includes steps S210-S240. In a specific embodiment, the compressed sensing algorithm is an OMP reconstruction algorithm.
S210、利用通过固定长度的滑动窗进行观测的中频数字信号,构建初始测量矩阵和恢复矩阵,并获得线性测量;S210, using the intermediate frequency digital signal observed through a fixed-length sliding window to construct an initial measurement matrix and a recovery matrix, and obtain a linear measurement;
S220、通过线性测量计算恢复矩阵列向量与残差的投影系数,并确定最大投影系数的位置;S220, calculating the projection coefficient of the column vector of the restoration matrix and the residual by linear measurement, and determining the position of the maximum projection coefficient;
S230、通过加入最大投影系数所处的恢复矩阵和更新临时测量矩阵,进而更新当前的恢复信号的最小二乘解和残差;S230, by adding the restoration matrix where the maximum projection coefficient is located and updating the temporary measurement matrix, then update the least squares solution and residual of the current restoration signal;
S240、根据信号测量数计算恢复正确率,所述恢复正确率大于预设阈值,判断迭代次数是否大于稀疏度,若是,则停止迭代,进而获得重构的载波频域信号和频率信息;若否,则重复步骤S220进行循环迭代,以至所述迭代次数大于稀疏度,获得重构的载波频域信号和频率信息。S240. Calculate the recovery correct rate according to the signal measurement number, where the recovery correct rate is greater than a preset threshold, determine whether the number of iterations is greater than the sparseness, and if so, stop the iteration, and then obtain the reconstructed carrier frequency domain signal and frequency information; , step S220 is repeated to perform loop iteration until the number of iterations is greater than the sparsity, and the reconstructed carrier frequency domain signal and frequency information are obtained.
具体地说,下变频后的中频数字信号x通过固定长度为N的窗口进行观测,其进入压缩感知过程;Specifically, the down-converted intermediate frequency digital signal x is observed through a window with a fixed length of N, which enters the compressed sensing process;
构建初始测量矩阵Φ和恢复矩阵;其中,恢复矩阵如下表示:Construct the initial measurement matrix Φ and the recovery matrix; where the recovery matrix is expressed as follows:
其中,测量矩阵Φ是满足RIP(Restricted Isometry Property,有限等距性质)准则的N×d的高斯矩阵,是FFT(Fast Fourier Transform,快速傅里叶变换)稀疏基;Among them, the measurement matrix Φ is an N×d Gaussian matrix that satisfies the RIP (Restricted Isometric Property) criterion, is FFT (Fast Fourier Transform, Fast Fourier Transform) sparse basis;
进而获得线性测量,线性测量如下表示:Then a linear measure is obtained, which is expressed as follows:
y=Φxy=Φx
通过计算恢复矩阵阵列向量与残差的内积(即残差的投影系数),即将恢复矩阵的每一列向量均与残差值做点乘;并确定最大内积的位置Ut;将该最大位置Ut处的恢复矩阵加入并更新临时测量矩阵,继而更新当前的恢复信号的最小二乘解;最小二乘解如下表示:By calculating the inner product of the recovery matrix array vector and the residual (ie, the projection coefficient of the residual), each column vector of the recovery matrix is dot-multiplied with the residual value; and the position Ut of the maximum inner product is determined; The recovery matrix at position Ut is added to and updated the temporary measurement matrix, and then the least squares solution of the current recovered signal is updated; the least squares solution is expressed as follows:
y'=(UtTUt)-1Ut·yy'=(UtT Ut )-1 Ut ·y
利用恢复信号的最小二乘解更新残差,根据信号测量数计算恢复正确率;判断迭代次数是否大于稀疏度,若是,则停止迭代,进而获得重构的载波频域信号和频率信息;若否,则重复步骤S220进行循环迭代,以至所述迭代次数大于稀疏度,获得重构的载波频域信号和频率信息。Use the least squares solution of the recovered signal to update the residual, and calculate the recovery correct rate according to the number of signal measurements; determine whether the number of iterations is greater than the sparsity, if so, stop the iteration, and then obtain the reconstructed carrier frequency domain signal and frequency information; , step S220 is repeated to perform loop iteration until the number of iterations is greater than the sparsity, and the reconstructed carrier frequency domain signal and frequency information are obtained.
其中,步骤S240中恢复正确率的预设阈值为Wherein, the preset threshold of the recovery correct rate in step S240 is
其中,N表示接收信号测量数,且where N represents the number of received signal measurements, and
c1和c2均表示正的常数,d表示信号的维数,m表示稀疏度。Both c1 and c2 represent positive constants, d represents the dimension of the signal, and m represents the sparsity.
需要说明的是,恢复正确率是为了表达当接收信号测量数足够大时,通过对信号的多次采样使得信号的恢复正确概率大幅度提高,当测量数达到一定值时,恢复正确概率可以无限接近于1,不影响通信传输性能。It should be noted that the recovery accuracy rate is to express that when the received signal measurement number is large enough, the signal recovery accuracy probability is greatly improved by sampling the signal multiple times. When the measurement number reaches a certain value, the recovery accuracy probability can be infinite. It is close to 1 and does not affect the communication transmission performance.
图5示出了根据本发明的压缩感知恢复正确概率的较佳实施例的原理示意图。参照图5所示,Fig. 5 shows a schematic diagram of the principle of a preferred embodiment of the compressed sensing method for restoring the correct probability according to the present invention. Referring to Figure 5,
由此可见,随着接收信号测量数的增加,通过对信号的多次采样使得信号的恢复正确概率大幅度提高,当测量数达到一定值时,恢复正确概率可以无限接近于1,进而满足传输要求。It can be seen that with the increase of the number of received signal measurements, the probability of correct recovery of the signal is greatly improved by sampling the signal multiple times. When the number of measurements reaches a certain value, the probability of correct recovery can be infinitely close to 1, thus satisfying the transmission requirements. Require.
为了验证本发明的压缩感知和二阶锁相环结构的正确性和有效性,分别采用压缩感知和二阶小带宽锁相环、四阶大带宽锁相环、三阶锁相环辅助二阶锁相环这三种方法进行技术效果对比。In order to verify the correctness and effectiveness of the compressed sensing and second-order phase-locked loop structures of the present invention, the compressed sensing and second-order small-bandwidth phase-locked loops, the fourth-order large-bandwidth phase-locked loops, and the third-order phase-locked loops are used to assist the second-order The three methods of phase-locked loop are compared for technical effect.
图6示出了应用本发明的数字通信信号同步解调方法的压缩感知和二阶锁相环、四阶锁相环、三阶锁相环辅助二阶锁相环BER对比曲线示意图。参照图6所示,横坐标为不同SNR,纵坐标为不同方法对应的BER,通过随着SNR的不断变化,BER的变化情况来对该方法加以验证。6 shows a schematic diagram of a BER comparison curve between compressed sensing and second-order phase-locked loop, fourth-order phase-locked loop, and third-order phase-locked loop-assisted second-order phase-locked loop using the digital communication signal synchronous demodulation method of the present invention. Referring to FIG. 6 , the abscissa is the different SNR, and the ordinate is the BER corresponding to the different method. The method is verified by the change of the BER with the continuous change of the SNR.
假设采用压缩感知和二阶锁相环方法时环路输出SNR为10dB,那么此时对应四阶锁相环环路方法时输出SNR就能够达到14dB,根据接收机锁相环输出端SNR公式计算可知,环路失锁门限降低1.4倍。这也在一定程度上有效降低了同样BER时所需的SNR,最大可达4dB。Assuming that the output SNR of the loop is 10dB when the compressed sensing and second-order PLL methods are used, then the output SNR can reach 14dB when corresponding to the fourth-order PLL loop method. Calculate according to the SNR formula of the receiver PLL output. It can be seen that the loop loss-of-lock threshold is reduced by 1.4 times. This also effectively reduces the SNR required for the same BER to a certain extent, up to a maximum of 4dB.
下面以弹道导弹为例,将本发明的数字通信信号同步解调方法中所提出的压缩感知和二阶小带宽锁相环结构应用到该实际场景中进行仿真,假设场景参数如下表1所示。Taking a ballistic missile as an example, the compressed sensing and second-order small-bandwidth phase-locked loop structures proposed in the digital communication signal synchronous demodulation method of the present invention are applied to the actual scene for simulation, assuming that the scene parameters are shown in Table 1 below .
表1实际场景参数Table 1 Actual scene parameters
图7示出了本发明的典型应用场景的BER曲线示意图;如图7所示,横坐标为SNR,纵坐标为BER,获得随着SNR变化的BER曲线;从图中可以发现,采用压缩感知和二阶锁相环方法时的BER低于门限值3.8×10-3,当高于门限值3.8×10-3时,则认为严重误码,无法使用。而且,当弹道导弹移动速度从最大22马赫提高至30马赫时环路仍能够正常工作。Figure 7 shows a schematic diagram of the BER curve of a typical application scenario of the present invention; as shown in Figure 7, the abscissa is SNR, the ordinate is BER, and the BER curve that changes with SNR is obtained; it can be found from the figure that compressed sensing is adopted When the BER of the second-order phase-locked loop method is lower than the threshold value of 3.8×10-3 , when it is higher than the threshold value of 3.8×10-3 , it is regarded as a serious bit error and cannot be used. Also, the loop still works when the ballistic missile moves from a maximum speed of Mach 22 to Mach 30.
需要说明的是,在高速高动态场景所带来的较高环路带宽下,由于所用的测量数相对较少,压缩感知恢复正确概率会存在一定的误码平底,这也使得该方法在应用的时候同样存在误码平底。如果当测量数足够大,即接收端采样率足够高时,误码平底可以得到消除。It should be noted that under the high loop bandwidth brought by high-speed and high-dynamic scenarios, due to the relatively small number of measurements used, the correct probability of compressive sensing recovery will have a certain error flat bottom, which also makes this method suitable for application. There is also a flat-bottom error when . If the number of measurements is large enough, that is, the sampling rate of the receiver is high enough, the error flat bottom can be eliminated.
由此可见,本发明的数字通信信号同步解调方法的压缩感知算法有助于实现对多普勒频移的提取和预估计,同时在同样BER前提下也较大幅度降低了系统所需SNR指标;针对相同SNR时,降低了BER,从而有效获得BER性能的提高,进而提高了传输信号的质量。It can be seen that the compressed sensing algorithm of the digital communication signal synchronous demodulation method of the present invention is helpful to realize the extraction and pre-estimation of the Doppler frequency shift, and at the same time, it also greatly reduces the SNR required by the system under the same BER premise Indicator; for the same SNR, the BER is reduced, thereby effectively improving the BER performance, thereby improving the quality of the transmitted signal.
S150、纠正基带数字信号的时钟偏差,以获得符号同步后的基带数字信号。为了纠正基带数字信号的时钟偏差可以采用传统的Gardner算法,采用内插滤波器、定时误差检测器、环路滤波器和控制器完成对基带数字信号的定时同步。其中,控制器又由数控振荡器和小数间隔计算模块组成。S150. Correct the clock deviation of the baseband digital signal to obtain a symbol-synchronized baseband digital signal. In order to correct the clock deviation of the baseband digital signal, the traditional Gardner algorithm can be used, and the timing synchronization of the baseband digital signal is completed by using an interpolation filter, a timing error detector, a loop filter and a controller. Among them, the controller is composed of numerical control oscillator and decimal interval calculation module.
具体地说,定时同步过程基于本地固定时钟,对载波同步后的基带数字信号进行四倍过采样,而后不断通过控制器中数控振荡器溢出的小数插值间隔,内插滤波器才能不断确定插值基点;定时误差检测器通过比较不同符号判决点的采样值,确定定时误差的方向和大小;环路滤波器通过比例和积分环节调整环路收敛的速度和带宽,最后由控制器反馈给内插滤波器。如此形成了一个完整的闭环,将时钟误差信号加以检测并修正,以获得符号同步后的基带数字信号。Specifically, the timing synchronization process is based on the local fixed clock, and the baseband digital signal after carrier synchronization is four times oversampled, and then the interpolation filter can continuously determine the interpolation base point through the decimal interpolation interval overflowed by the numerical control oscillator in the controller. ; The timing error detector determines the direction and size of the timing error by comparing the sampling values of different symbol decision points; the loop filter adjusts the speed and bandwidth of the loop convergence through the proportional and integral links, and finally the controller feeds back to the interpolation filter device. In this way, a complete closed loop is formed, and the clock error signal is detected and corrected to obtain the baseband digital signal after symbol synchronization.
S160、对符号同步后的基带数字信号进行符号相位的智能检测判决。S160. Perform intelligent detection and judgment of symbol phase on the baseband digital signal after symbol synchronization.
用一般智能学习方法完成相位同步和检测判决,传输信道由于多径时变效应的影响,使得经过载波同步和定时同步后的基带信号相位未知,且难以直接进行判决。The general intelligent learning method is used to complete the phase synchronization and detection judgment. Due to the influence of multipath time-varying effect, the phase of the baseband signal after carrier synchronization and timing synchronization is unknown, and it is difficult to directly judge.
在一个具体的实施例中对基带数字信号进行符号相位的智能检测判决的方法包括:In a specific embodiment, the method for intelligently detecting and judging the symbol phase of the baseband digital signal includes:
利用预先训练好的目标时变相偏模型,通过多径时变效应产生的时变幅度偏差序列建立基带数字信号与符号判决相位的映射关系,对基带数字信号进行相位偏差的纠正和符号相位的检测判决;其中,时变幅度偏差序列为相邻符号时刻和历史符号时刻的基带数字信号。Using the pre-trained target time-varying phase deviation model, the mapping relationship between the baseband digital signal and the symbol decision phase is established through the time-varying amplitude deviation sequence generated by the multipath time-varying effect, and the phase deviation correction and symbol phase detection are performed on the baseband digital signal. decision; wherein, the time-varying amplitude deviation sequence is the baseband digital signal at the adjacent symbol time and the historical symbol time.
目标时变相偏模型为,针对基带数字信号的时变幅度偏差序列,对源模型采用迁移学习进行搭建的卷积神经网络。此处实施例为上述卷积神经网络基于ImageNet数据集训练好的CNN模型AlexNet,针对信道系数的快速时变幅度衰落,采用迁移学习搭建的网络结构。The target time-varying phase bias model is a convolutional neural network constructed by using transfer learning for the source model for the time-varying amplitude bias sequence of the baseband digital signal. The embodiment here is the CNN model AlexNet trained by the above-mentioned convolutional neural network based on the ImageNet data set, and the network structure is constructed by transfer learning for the fast time-varying amplitude fading of the channel coefficients.
图8示出了本发明卷积神经网络较佳实施例的结构示意图;如图8所示,卷积神经网络的网络结构共八层,其中前五层为卷积层,第六层、第七层、第八层包括池化层,全连接层和输出层(包括DropOut层)。Figure 8 shows a schematic structural diagram of a preferred embodiment of the convolutional neural network of the present invention; as shown in Figure 8, the network structure of the convolutional neural network has a total of eight layers, of which the first five layers are convolutional layers, the sixth layer, the first layer The seventh and eighth layers include the pooling layer, the fully connected layer and the output layer (including the DropOut layer).
通过静态和动态训练数据集,利用多径时变效应产生的时变幅度偏差序列对上述卷积神经网络的后三层进行训练;The last three layers of the above-mentioned convolutional neural network are trained by using the time-varying amplitude deviation sequence generated by the multi-path time-varying effect through static and dynamic training data sets;
卷积神经网络的目标函数J为:The objective function J of the convolutional neural network is:
其中,||·||1表示1范数,Ωt是目标时变相偏模型,Ωs表示源AlexNet模型,Γ控制迁移正则化的数量,C控制损失函数的权重,yi表示第i个数据集对应的符号判决数据,Ai表示第i个数据集对应的同步后基带数字信号幅度信息,M表示静态和动态训练数据集的总数。where ||·||1 represents the 1 norm, Ωt is the target time-varying phase bias model, Ωs represents the source AlexNet model, Γ controls the amount of transfer regularization, C controls the weight of the loss function, and yi represents the ith The symbol decision data corresponding to the data set, Ai represents the synchronized baseband digital signal amplitude information corresponding to the ith data set, and M represents the total number of static and dynamic training data sets.
具体地说,对于迁移学习的卷积神经网络,输入分别为固定信道幅度衰减产生多径时延输入基带信号的幅度信息、多普勒频率动态变化带来的变化信道幅度衰减产生多径时延输入基带信号的幅度信息,输出均是对应的符号判决相位信息。Specifically, for the convolutional neural network of transfer learning, the input is the amplitude information of the input baseband signal caused by the fixed channel amplitude attenuation to generate multipath delay, and the variable channel amplitude attenuation caused by the dynamic change of Doppler frequency to generate multipath delay. The amplitude information of the baseband signal is input, and the output is the corresponding symbol decision phase information.
但是,需要说明的是,上述智能学习采用网络结构不限于迁移学习,也可以是其他卷积神经网络等网络结构,而相应算法也可以包括贝叶斯正则化算法、量化共轭梯度法、加权阻尼最小二乘方法等机器学习算法中的一种或多种,对此不做具体限定。However, it should be noted that the network structure used in the above intelligent learning is not limited to transfer learning, but can also be other network structures such as convolutional neural networks, and the corresponding algorithms can also include Bayesian regularization algorithm, quantized conjugate gradient method, weighted One or more of the machine learning algorithms such as the damped least squares method, which is not specifically limited.
利用训练好的迁移学习网络去对未知多径效应产生的时变幅度偏差序列进行测试,通过不停的迭代修正,最后将其应用到符号检测判决的盲估计。The trained transfer learning network is used to test the time-varying amplitude deviation sequence generated by the unknown multipath effect, and iteratively corrects it, and finally applies it to the blind estimation of the symbol detection decision.
图9示出了本发明智能学习前后BER对比曲线示意图;如图9所示,Figure 9 shows a schematic diagram of the BER comparison curve before and after intelligent learning of the present invention; as shown in Figure 9,
通过对比迁移学习前后的QPSK(Quadrature Phase Shift Keying正交相移键控)曲线,能够发现迁移学习方法能够提高3dB左右的SNR增益。此外,在同样的SNR前提下,当采用迁移学习时,可以采用高阶调制如QAM达到同样的BER性能。由此可见,采用迁移学习的数字通信信号同步解调方法提高了环路接收机的门限值,高阶调制获得传输速率的收益。By comparing the QPSK (Quadrature Phase Shift Keying) curves before and after transfer learning, it can be found that the transfer learning method can improve the SNR gain by about 3dB. In addition, under the same SNR premise, when using transfer learning, high-order modulation such as QAM can be used to achieve the same BER performance. It can be seen that the synchronous demodulation method of digital communication signals using transfer learning improves the threshold value of the loop receiver, and the high-order modulation obtains the benefit of the transmission rate.
综上,用压缩感知和低阶小带宽锁相环结构完成高速高动态场景中的载波同步,该结构针对载波稀疏信号,对载波频率(包括多普勒频移)进行一步预估计,通过多次采样,以达到卡尔曼滤波类似滤除噪声的效果,以提高环路SNR性能,间接降低传输信号的BER。在保证载波跟踪准确性的基础上,一定程度上避免了高阶锁相环保证环路稳定性的设计所带来的困难,也减少了载波同步的所需信号序列长度,从而提高系统的实时性,并且降低接收机处理的计算复杂度。In summary, the carrier synchronization in high-speed and high-dynamic scenarios is accomplished by using compressed sensing and low-order small-bandwidth phase-locked loop structure. This structure performs one-step pre-estimation of the carrier frequency (including Doppler frequency shift) for the carrier sparse signal. sub-sampling, to achieve the effect of Kalman filtering similar to filtering noise, to improve the SNR performance of the loop, and indirectly reduce the BER of the transmitted signal. On the basis of ensuring the accuracy of carrier tracking, to a certain extent, the difficulties caused by the design of high-order phase-locked loops to ensure loop stability are avoided, and the length of the required signal sequence for carrier synchronization is also reduced, thereby improving the real-time performance of the system. And reduce the computational complexity of receiver processing.
用迁移学习的智能学习方法对快速时变信道系数进行盲估计,利用相邻符号时刻和以往符号时刻信息以建立基带信号(输入)和符号判决相位(输出)的映射关系;采用迁移学习的数字通信信号同步解调方法有助于该系统完成相位同步和检测判决,降低系统的BER。The intelligent learning method of transfer learning is used to blindly estimate the fast time-varying channel coefficients, and the information of adjacent symbol moments and past symbol moments is used to establish the mapping relationship between the baseband signal (input) and the symbol decision phase (output). The synchronous demodulation method of the communication signal helps the system to complete phase synchronization and detection judgment, and reduces the BER of the system.
S170、将智能检测判决后的基带数字信号的符号进行解调,获得用户数据。S170: Demodulate the symbols of the baseband digital signal determined by the intelligent detection to obtain user data.
即将I路和Q路的信号通过星座图进行直观的显示,最后得到恢复后的用户数据。That is, the signals of the I road and the Q road are visually displayed through the constellation diagram, and finally the restored user data is obtained.
在电磁波轨道角动量双信道中,应用数字通信信号同步解调方法的信道为主信道。In the dual channel of electromagnetic wave orbital angular momentum, the channel using the synchronous demodulation method of digital communication signal is the main channel.
图10为本发明的OAM双信道传输系统的较佳实施例的原理示意图;如图10所示,FIG. 10 is a schematic diagram of the principle of a preferred embodiment of the OAM dual-channel transmission system of the present invention; as shown in FIG. 10 ,
OAM双信道传输系统包括信号发射单元和信号接收单元,而信号发射单元,包括信号调制模块、射频发射模块、OAM选择产生模块、和发射阵列天线;信号接收单元包括接收天线阵列和中频接收模块以及双解调信道;双解调信道包括主信道和OAM信道;其中,应用本发明的数字通信信号同步解调方法的信道作为主信道。也就是说,主信道包括压缩感知载波同步环节、定时同步环节和智能学习环节;OAM信道包括压缩感知环节和智能学习环节。The OAM dual-channel transmission system includes a signal transmitting unit and a signal receiving unit, and the signal transmitting unit includes a signal modulation module, a radio frequency transmitting module, an OAM selection generating module, and a transmitting array antenna; the signal receiving unit includes a receiving antenna array and an intermediate frequency receiving module and Dual demodulation channels; the dual demodulation channels include a main channel and an OAM channel; wherein, the channel to which the digital communication signal synchronous demodulation method of the present invention is applied is used as the main channel. That is to say, the main channel includes a compressed sensing carrier synchronization link, a timing synchronization link and an intelligent learning link; the OAM channel includes a compressed sensing link and an intelligent learning link.
需要说明的是,其中的压缩感知载波同步环节的具体实施方式与上述压缩感知载波同步的方法相同,智能学习环节与上述迁移学习的卷积神经网络的具体实施方式相同。It should be noted that the specific implementation of the compressed sensing carrier synchronization link is the same as the above-mentioned compressed sensing carrier synchronization method, and the intelligent learning link is the same as the specific implementation of the above-mentioned convolutional neural network for transfer learning.
具体地说,用户数据通过信号调制模块环节后变成中频数字信号,再转换成射频信号,通过OAM选择产生模块产生相应的OAM模态组合,并将其馈送给发射天线阵列。该发射天线阵列将不同的OAM模态组合信号转换成自由空间能够传输的电磁波信号。该电磁波信号通过传输信道后,由接收天线阵列进行接收,并将其转换成后续模块能够处理的射频信号。同时为了便于降采样率接收,中频接收模块将其下变频转换成中频数字信号。Specifically, the user data is converted into an intermediate frequency digital signal after passing through the signal modulation module, and then converted into a radio frequency signal, and the corresponding OAM modal combination is generated by the OAM selection and generation module, and fed to the transmitting antenna array. The transmitting antenna array converts the combined signals of different OAM modes into electromagnetic wave signals that can be transmitted in free space. After the electromagnetic wave signal passes through the transmission channel, it is received by the receiving antenna array and converted into a radio frequency signal that can be processed by subsequent modules. At the same time, in order to facilitate the reception of the down-sampling rate, the intermediate frequency receiving module down-converts it into an intermediate frequency digital signal.
对于主信道解调而言,压缩感知载波同步环节通过多次采样,完成对该中频数字信号的频率预估计与载波同步,定时同步环节降低符号间的串扰,以实现符号偏差的纠正与同步。智能学习,如迁移学习,通过对多普勒快速时变衰落信道进行估计,并捕捉相邻符号时刻和历史符号时刻信息,进而完成基带符号判决。最后,主信道传输的用户数据1能够被得到。For the main channel demodulation, the compressive sensing carrier synchronization link completes the frequency pre-estimation and carrier synchronization of the intermediate frequency digital signal through multiple sampling, and the timing synchronization link reduces the crosstalk between symbols to realize the correction and synchronization of symbol deviation. Intelligent learning, such as transfer learning, completes the baseband symbol decision by estimating the Doppler fast time-varying fading channel and capturing the information of adjacent symbol moments and historical symbol moments. Finally,
此外,对于OAM信道而言,通过压缩感知算法重建第二频域中的频谱,而通过智能学习方法辅助检测与识别其OAM模态。具体地说,通过压缩感知环节建立接收信号与第二频域频移的映射关系,将相同频率的相位差信息变换到第二频域中,此时,第二频域中的不同频率谱线对应着不同的OAM模态组合。但由于多径时变环境的影响,即使可以建立接收信号与第二频域中频移之间的关系,频移的位置和幅度也会受到间接影响。这将使得频移与OAM模态之间的映射关系时变,影响对OAM模态的检测与识别。因此,利用迁移学习对多径时变信道进行盲估计,以建立OAM信道第二频域中频谱与OAM模态的对应映射关系,替代传统的最大似然估计方法完成对OAM模态的识别。当OAM模态被识别后,那么通过OAM信道不同模态组合传输的用户数据2也能够被得到。最后,基于主信道传输的用户数据1和OAM信道不同模态组合传输的用户数据2,用户数据也得以被获取。In addition, for the OAM channel, the compressed sensing algorithm is used to reconstruct the spectrum in the second frequency domain, and the intelligent learning method is used to assist in the detection and identification of its OAM mode. Specifically, the mapping relationship between the received signal and the frequency shift of the second frequency domain is established through the compressed sensing link, and the phase difference information of the same frequency is transformed into the second frequency domain. At this time, the spectral lines of different frequencies in the second frequency domain are Corresponding to different OAM modal combinations. However, due to the influence of the multipath time-varying environment, even if the relationship between the received signal and the frequency shift in the second frequency domain can be established, the position and magnitude of the frequency shift will be indirectly affected. This will make the mapping relationship between the frequency shift and the OAM mode time-varying, which affects the detection and identification of the OAM mode. Therefore, transfer learning is used to blindly estimate multipath time-varying channels to establish the corresponding mapping relationship between the spectrum and OAM mode in the second frequency domain of the OAM channel, and replace the traditional maximum likelihood estimation method to complete the identification of the OAM mode. After the OAM modalities are identified, the user data 2 transmitted through the different modalities of the OAM channel can also be obtained. Finally, based on the
基于此,在一个具体的实施例中,OAM双信道传输系统中的OAM信道和主信道均可以采用压缩感知和智能学习来完成解调。Based on this, in a specific embodiment, both the OAM channel and the main channel in the OAM dual-channel transmission system can be demodulated by using compressed sensing and intelligent learning.
需要说明的是,接收天线阵列之间不同相位差与不同的OAM模态组合建立对应映射关系的方法也可以包括相位梯度法、相位旋转方法、虚拟旋转天线内插方法、单点检测方法中的一种或多种。在此不做具体的限定。It should be noted that the methods for establishing corresponding mapping relationships between different phase differences between the receiving antenna arrays and different OAM modal combinations may also include phase gradient methods, phase rotation methods, virtual rotating antenna interpolation methods, and single-point detection methods. one or more. No specific limitation is made here.
图11为本发明的数字通信信号同步解调系统的较佳实施例的结构;参照图11所示,Fig. 11 is the structure of the preferred embodiment of the digital communication signal synchronous demodulation system of the present invention; with reference to Fig. 11,
一种数字通信信号同步解调系统100,包括信号发射单元110和信号接收单元120;其中,A digital communication signal
所述信号发射单元110,用于通过发射机将基带数字信号转换成电磁波信号;The
所述信号接收单元120,用于通过接收机将电磁波信号解调同步为基带数字信号。The
其中,所述信号发射单元110包括信号调制模块111、成型滤波模块112、射频发射模块113和发射天线阵列模块114;Wherein, the
所述信号调制模块111,用于通过随机序列生成器对基带数字信号进行仿真,将仿真后的基带数字信号进行QPSK调制,获得调制信号;The
所述成型滤波模块112,用于将调制信号利用成型滤波器进行脉冲成型为中频数字信号,并滤除所述中频数字信号的符号间干扰和带外噪声;The shaping
所述射频发射模块113,用于将所述中频数字信号上变频至可由天线进行传输的射频信号;The radio
所述发射天线阵列模块114,通过发射天线阵列将所述射频信号转换成电磁波信号;The transmitting
所述信号接收单元120包括接收天线阵列模块121、中频数字信号接收模块122、匹配滤波模块123、压缩感知载波同步模块124、定时同步模块125、检测判决模块126和用户数据获取模块127;The
所述接收天线阵列模块121,用于通过接收天线阵列接收发射机形成的电磁波信号,并将其转换成射频信号;The receiving
所述中频数字信号接收模块122,用于将所述射频信号下变频至可采样接收的中频数字信号;The intermediate frequency digital
所述匹配滤波模块123,用于对采样接收的所述中频数字信号利用匹配滤波器滤除符号间干扰和带外噪声;The matched
所述压缩感知载波同步模块124,用于对滤除符号间干扰和带外噪声的中频数字信号通过固定长度的滑动窗进行观测,并通过压缩感知算法获得重构的载波频域信号和频率信息;根据重构的载波频域信号和频率信息,通过数控振荡器获得残余多普勒频偏信号和调制信号,并通过低阶锁相环对所述残余多普勒频偏信号进行提取与同步,获得基带数字信号;The compressed sensing
所述定时同步模块125,用于纠正所述基带数字信号的时钟偏差,以获得符号同步后的基带数字信号;The
所述检测判决模块126,用于对符号同步后的基带数字信号进行符号相位的智能检测判决;The detection and
所述用户数据获取模块127,用于将智能检测判决后的基带数字信号的符号进行解调,获得用户数据。The user
本发明提供一种数字通信信号同步解调方法,应用于一种电子装置12。The present invention provides a digital communication signal synchronous demodulation method, which is applied to an
图12示出了根据本发明数字通信信号同步解调方法较佳实施例的应用环境。FIG. 12 shows the application environment of the preferred embodiment of the digital communication signal synchronous demodulation method according to the present invention.
参照图12所示,在本实施例中,电子装置12可以是服务器、智能手机、平板电脑、便携计算机、桌上型计算机等具有运算功能的终端设备。Referring to FIG. 12 , in this embodiment, the
该电子装置12包括:处理器1202、存储器1201、通信总线1203及网络接口1204。The
存储器1201包括至少一种类型的可读存储介质。所述至少一种类型的可读存储介质可为如闪存、硬盘、多媒体卡、卡型存储器1201等的非易失性存储介质。在一些实施例中,所述可读存储介质可以是所述电子装置12的内部存储单元,例如该电子装置12的硬盘。在另一些实施例中,所述可读存储介质也可以是所述电子装置12的外部存储器1201,例如所述电子装置12上配备的插接式硬盘,智能存储卡(Smart Media Card,SMC),安全数字(Secure Digital,SD)卡,闪存卡(Flash Card)等。The
在本实施例中,所述存储器1201的可读存储介质通常用于存储安装于所述电子装置12的数字通信信号同步解调程序1200等。所述存储器1201还可以用于暂时地存储已经输出或者将要输出的数据。In this embodiment, the readable storage medium of the
处理器1202在一些实施例中可以是一中央处理器(Central Processing Unit,CPU),微处理器或其他数据处理芯片,用于运行存储器1201中存储的程序代码或处理数据,例如执行数字通信信号同步解调程序1200等。The
通信总线1203用于实现这些组件之间的连接通信。The
网络接口1204可选地可以包括标准的有线接口、无线接口(如WI-FI接口),通常用于在该电子装置12与其他电子设备之间建立通信连接。The
图12仅示出了具有组件1201-1204的电子装置12,但是应理解的是,并不要求实施所有示出的组件,可以替代的实施更多或者更少的组件。Figure 12 shows only the
可选地,该电子装置12还可以包括用户接口,用户接口可以包括输入单元比如键盘(Keyboard)、语音输入装置比如麦克风(microphone)等具有语音识别功能的设备、语音输出装置比如音响、耳机等,可选地用户接口还可以包括标准的有线接口、无线接口。Optionally, the
可选地,该电子装置12还可以包括显示器,显示器也可以称为显示屏或显示单元。在一些实施例中可以是LED显示器、液晶显示器、触控式液晶显示器以及有机发光二极管(Organic Light-Emitting Diode,OLED)触摸器等。显示器用于显示在电子装置12中处理的信息以及用于显示可视化的用户界面。Optionally, the
可选地,该电子装置12还可以包括射频(Radio Frequency,RF)电路,传感器、音频电路等等,在此不再赘述。Optionally, the
在图12所示的装置实施例中,作为一种计算机存储介质的存储器1201中可以包括操作系统、以及数字通信信号同步解调程序1200;处理器1202执行存储器1201中存储的数字通信信号同步解调程序1200时实现如下步骤:S110、通过接收天线阵列接收发射机形成的电磁波信号,并将其转换成射频信号;In the apparatus embodiment shown in FIG. 12 , the
S120、将射频信号下变频至可采样接收的中频数字信号;S120, down-converting the radio frequency signal to an intermediate frequency digital signal that can be sampled and received;
S130、对采样接收的中频数字信号利用匹配滤波器滤除符号间干扰和带外噪声;S130. Use a matched filter to filter out intersymbol interference and out-of-band noise on the sampled received intermediate frequency digital signal;
S140、对滤除符号间干扰和带外噪声的中频数字信号通过固定长度的滑动窗进行观测,并通过压缩感知算法获得重构的载波频域信号和频率信息;根据重构的载波频域信号和频率信息,通过数控振荡器获得残余多普勒频偏信号和调制信号,并通过低阶锁相环对残余多普勒频偏信号进行提取与同步,获得基带数字信号;S140: Observing the intermediate frequency digital signal filtered out of inter-symbol interference and out-of-band noise through a fixed-length sliding window, and obtaining a reconstructed carrier frequency domain signal and frequency information by a compressed sensing algorithm; according to the reconstructed carrier frequency domain signal and frequency information, obtain the residual Doppler frequency offset signal and modulation signal through the numerical control oscillator, and extract and synchronize the residual Doppler frequency offset signal through the low-order phase-locked loop to obtain the baseband digital signal;
S150、纠正基带数字信号的时钟偏差,以获得符号同步后的基带数字信号;S150, correct the clock deviation of the baseband digital signal to obtain the baseband digital signal after symbol synchronization;
S160、对符号同步后的基带数字信号进行符号相位的智能检测判决;S160, perform intelligent detection and judgment of symbol phase on the baseband digital signal after symbol synchronization;
S170、将智能检测判决后的基带数字信号的符号进行解调,获得用户数据。S170: Demodulate the symbols of the baseband digital signal determined by the intelligent detection to obtain user data.
在其他实施例中,数字通信信号同步解调程序1200还可以被分割为一个或者多个模块,一个或者多个模块被存储于存储器1201中,并由处理器1202执行,以完成本发明。本发明所称的模块是指能够完成特定功能的一系列计算机程序指令段。数字通信信号同步解调程序1200可以分为信号发射单元110和信号接收单元120。In other embodiments, the digital communication signal
此外,本发明还提出一种计算机可读存储介质,主要包括存储数据区和存储程序区,存储程序区可存储操作系统、至少一个功能所需的应用程序,所述计算机可读存储介质中包括数字通信信号同步解调程序,所述数字通信信号同步解调程序被处理器执行时实现如数字通信信号同步解调方法的操作。In addition, the present invention also proposes a computer-readable storage medium, which mainly includes a storage data area and a storage program area, and the storage program area can store an operating system and an application program required by at least one function, and the computer-readable storage medium includes A digital communication signal synchronous demodulation program, which, when executed by a processor, implements operations such as a digital communication signal synchronous demodulation method.
本发明之计算机可读存储介质的具体实施方式与上述数字通信信号同步解调方法、系统、电子装置的具体实施方式大致相同,在此不再赘述。The specific implementations of the computer-readable storage medium of the present invention are substantially the same as the specific implementations of the above-mentioned digital communication signal synchronous demodulation method, system, and electronic device, and will not be repeated here.
总的来说,本发明数字通信信号同步解调方法及其装置,通过利用预先训练好的目标时变相偏模型实现对基带数字信号未知相位偏差的有效盲估计和检测判决,通过压缩感知算法利用载波的稀疏度对载波进行恢复和频率预估计,利用低阶锁相环完成多普勒频移的精同步;通过压缩感知算法与滑动窗进行结合,实现对输入信号进行实时采集并处理,省去了信号长度划分,并将划分后的信号分别恢复和重构的步骤,降低了恢复重构的复杂度,进而提高恢复重构的速度;可以适用于高速高动态场景,具有高信噪比、低误码率、高鲁棒性和高实时性等诸多显著优点。In general, the digital communication signal synchronous demodulation method and device of the present invention realize effective blind estimation and detection judgment of the unknown phase deviation of the baseband digital signal by using the pre-trained target time-varying phase deviation model, and use the compressed sensing algorithm to use The sparsity of the carrier is used to recover and pre-estimate the frequency of the carrier, and the low-order phase-locked loop is used to complete the precise synchronization of the Doppler frequency shift; through the combination of the compressed sensing algorithm and the sliding window, the real-time acquisition and processing of the input signal is realized. The steps of dividing the signal length and restoring and reconstructing the divided signals respectively reduce the complexity of restoration and reconstruction, thereby improving the speed of restoration and reconstruction; it can be applied to high-speed and high-dynamic scenes, and has a high signal-to-noise ratio , low error rate, high robustness and high real-time performance and many other significant advantages.
需要说明的是,在本文中,术语“包括”、“包含”或者其任何其他变体意在涵盖非排他性的包含,从而使得包括一系列要素的过程、装置、物品或者方法不仅包括那些要素,而且还包括没有明确列出的其他要素,或者是还包括为这种过程、装置、物品或者方法所固有的要素。在没有更多限制的情况下,由语句“包括一个……”限定的要素,并不排除在包括该要素的过程、装置、物品或者方法中还存在另外的相同要素。It should be noted that, herein, the terms "comprising", "comprising" or any other variation thereof are intended to encompass non-exclusive inclusion, such that a process, device, article or method comprising a series of elements includes not only those elements, It also includes other elements not expressly listed or inherent to such a process, apparatus, article or method. Without further limitation, an element qualified by the phrase "comprising a..." does not preclude the presence of additional identical elements in the process, apparatus, article, or method that includes the element.
上述本发明实施例序号仅仅为了描述,不代表实施例的优劣。通过以上的实施方式的描述,本领域的技术人员可以清楚地了解到上述实施例方法可借助软件加必需的通用硬件平台的方式来实现,当然也可以通过硬件,但很多情况下前者是更佳的实施方式。基于这样的理解,本发明的技术方案本质上或者说对现有技术做出贡献的部分可以以软件产品的形式体现出来,该计算机软件产品存储在如上所述的一个存储介质(如ROM/RAM、磁碟、光盘)中,包括若干指令用以使得一台终端设备(可以是手机,计算机,服务器,或者网络设备等)执行本发明各个实施例所述的方法。The above-mentioned serial numbers of the embodiments of the present invention are only for description, and do not represent the advantages or disadvantages of the embodiments. From the description of the above embodiments, those skilled in the art can clearly understand that the methods of the above embodiments can be implemented by means of software plus a necessary general hardware platform, and of course hardware can also be used, but in many cases the former is better implementation. Based on such understanding, the technical solutions of the present invention can be embodied in the form of software products in essence or the parts that make contributions to the prior art, and the computer software products are stored in a storage medium (such as ROM/RAM) as described above. , magnetic disk, optical disc), including several instructions to make a terminal device (which may be a mobile phone, a computer, a server, or a network device, etc.) to execute the methods described in the various embodiments of the present invention.
以上仅为本发明的优选实施例,并非因此限制本发明的专利范围,凡是利用本发明说明书及附图内容所作的等效结构或等效流程变换,或直接或间接运用在其他相关的技术领域,均同理包括在本发明的专利保护范围内。The above are only preferred embodiments of the present invention, and are not intended to limit the scope of the present invention. Any equivalent structure or equivalent process transformation made by using the contents of the description and drawings of the present invention, or directly or indirectly applied in other related technical fields , are similarly included in the scope of patent protection of the present invention.
| Application Number | Priority Date | Filing Date | Title |
|---|---|---|---|
| CN202010564458.5ACN111884685B (en) | 2020-06-19 | 2020-06-19 | Digital communication signal synchronous demodulation method and device |
| Application Number | Priority Date | Filing Date | Title |
|---|---|---|---|
| CN202010564458.5ACN111884685B (en) | 2020-06-19 | 2020-06-19 | Digital communication signal synchronous demodulation method and device |
| Publication Number | Publication Date |
|---|---|
| CN111884685Atrue CN111884685A (en) | 2020-11-03 |
| CN111884685B CN111884685B (en) | 2021-08-24 |
| Application Number | Title | Priority Date | Filing Date |
|---|---|---|---|
| CN202010564458.5AExpired - Fee RelatedCN111884685B (en) | 2020-06-19 | 2020-06-19 | Digital communication signal synchronous demodulation method and device |
| Country | Link |
|---|---|
| CN (1) | CN111884685B (en) |
| Publication number | Priority date | Publication date | Assignee | Title |
|---|---|---|---|---|
| CN112888061A (en)* | 2021-01-13 | 2021-06-01 | 浪潮软件科技有限公司 | Narrow-band Internet of things timing synchronization method based on compressed sensing |
| CN113194052A (en)* | 2021-04-01 | 2021-07-30 | 上海交通大学 | Reconfigurable radio frequency direct digital modulation communication system |
| CN113765838A (en)* | 2021-11-05 | 2021-12-07 | 易兆微电子(杭州)股份有限公司 | DPSK signal demodulation method, device, equipment and storage medium |
| CN113965435A (en)* | 2021-10-14 | 2022-01-21 | 中国电子科技集团公司第五十四研究所 | A high dynamic frequency tracking method suitable for low speed signals |
| CN114205196A (en)* | 2021-12-16 | 2022-03-18 | 山东航天电子技术研究所 | Blind estimation method for MPSK signal SNR under environment with phase offset |
| CN114374590A (en)* | 2022-01-18 | 2022-04-19 | 雅泰歌思(上海)通讯科技有限公司 | Symbol timing synchronization optimization method based on one-way pilot frequency |
| CN114629766A (en)* | 2022-01-30 | 2022-06-14 | 北京邮电大学 | Symbol decision method, device, electronic device and storage medium in optical fiber communication |
| CN115208729A (en)* | 2021-04-13 | 2022-10-18 | 三星电子株式会社 | Systems, methods, and apparatus for machine learning based symbol timing recovery |
| US20220368378A1 (en)* | 2021-05-12 | 2022-11-17 | Rockwell Collins, Inc. | Linear induction motor excitation modulation based communication |
| CN115396270A (en)* | 2022-07-28 | 2022-11-25 | 北京理工大学 | Frequency modulation signal time-frequency synchronization system and method based on data type identification |
| CN115412176A (en)* | 2022-07-20 | 2022-11-29 | 西安空间无线电技术研究所 | A Coherent Optical Communication Carrier Recovery Method Based on Minimum Gradient Algorithm |
| CN115632742A (en)* | 2022-08-31 | 2023-01-20 | 深圳市中易腾达科技股份有限公司 | Signal processing method, signal processing device, electronic equipment and storage medium |
| CN119402332A (en)* | 2024-11-07 | 2025-02-07 | 上海交通大学 | A signal detection method based on dual pilot block structure |
| CN119728362A (en)* | 2025-02-27 | 2025-03-28 | 雅泰歌思(上海)通讯科技有限公司 | A method for large-range carrier frequency deviation capture and low steady-state error tracking |
| Publication number | Priority date | Publication date | Assignee | Title |
|---|---|---|---|---|
| CN101895380A (en)* | 2010-04-02 | 2010-11-24 | 厦门大学 | Blind estimation bit synchronization method for differential chaotic modulation communication system |
| CN104852875A (en)* | 2015-03-26 | 2015-08-19 | 中国人民解放军理工大学通信工程学院卫星通信军队重点实验室 | Frequency offset estimation method for high-dynamic large-frequency-offset burst signals |
| CN105553905A (en)* | 2015-12-17 | 2016-05-04 | 清华大学 | Bit synchronization method and device for 2FSK signal |
| CN106817333A (en)* | 2017-01-05 | 2017-06-09 | 西安电子科技大学 | High dynamic carrier synchronization method based on open-loop acquisition Yu Closed loop track |
| CN107911329A (en)* | 2017-11-15 | 2018-04-13 | 中国电子科技集团公司第四十研究所 | A kind of signal analyzer ofdm signal demodulation method |
| CN108183877A (en)* | 2018-01-11 | 2018-06-19 | 成都烨软科技有限公司 | A kind of multi-tone frequency demodulated signal method based on FPGA |
| CN109150233A (en)* | 2018-09-13 | 2019-01-04 | 南京理工大学 | A kind of modulation-demo-demodulation method of direct expansion dpsk signal |
| CN110572179A (en)* | 2019-07-18 | 2019-12-13 | 西安空间无线电技术研究所 | A Wideband Hop Spread Signal Tracking System with Low Signal-to-Noise Ratio |
| Publication number | Priority date | Publication date | Assignee | Title |
|---|---|---|---|---|
| CN101895380A (en)* | 2010-04-02 | 2010-11-24 | 厦门大学 | Blind estimation bit synchronization method for differential chaotic modulation communication system |
| CN104852875A (en)* | 2015-03-26 | 2015-08-19 | 中国人民解放军理工大学通信工程学院卫星通信军队重点实验室 | Frequency offset estimation method for high-dynamic large-frequency-offset burst signals |
| CN105553905A (en)* | 2015-12-17 | 2016-05-04 | 清华大学 | Bit synchronization method and device for 2FSK signal |
| CN106817333A (en)* | 2017-01-05 | 2017-06-09 | 西安电子科技大学 | High dynamic carrier synchronization method based on open-loop acquisition Yu Closed loop track |
| CN107911329A (en)* | 2017-11-15 | 2018-04-13 | 中国电子科技集团公司第四十研究所 | A kind of signal analyzer ofdm signal demodulation method |
| CN108183877A (en)* | 2018-01-11 | 2018-06-19 | 成都烨软科技有限公司 | A kind of multi-tone frequency demodulated signal method based on FPGA |
| CN109150233A (en)* | 2018-09-13 | 2019-01-04 | 南京理工大学 | A kind of modulation-demo-demodulation method of direct expansion dpsk signal |
| CN110572179A (en)* | 2019-07-18 | 2019-12-13 | 西安空间无线电技术研究所 | A Wideband Hop Spread Signal Tracking System with Low Signal-to-Noise Ratio |
| Title |
|---|
| EHAB SALAHAT ET AL.: "A zero-crossing digital phase-locked loop architecture with hyperbolic nonlinearity for high Doppler environments", 《2014 21ST IEEE INTERNATIONAL CONFERENCE ON ELECTRONICS, CIRCUITS AND SYSTEMS (ICECS)》* |
| KEISUKE NAKAMURA ET AL.: "A frequency synchronization scheme for time varying Doppler-shift compensation using the direct return signal", 《2016 IEEE MTT-S INTERNATIONAL MICROWAVE SYMPOSIUM (IMS)》* |
| 严晓东: "大频偏、高动态扩频信号同步、抗干扰技术及实现", 《中国优秀硕士学位论文全文数据库 信息科技辑》* |
| 张靖: "基于DSP的DFT鉴相数字锁相策略研究及应用", 《电力电子技术》* |
| 王国平: "通信系统中多普勒频移估计的研究", 《中国优秀硕士学位论文全文数据库 信息科技辑》* |
| Publication number | Priority date | Publication date | Assignee | Title |
|---|---|---|---|---|
| CN112888061B (en)* | 2021-01-13 | 2024-01-09 | 浪潮通信技术有限公司 | Narrowband Internet of things timing synchronization method based on compressed sensing |
| CN112888061A (en)* | 2021-01-13 | 2021-06-01 | 浪潮软件科技有限公司 | Narrow-band Internet of things timing synchronization method based on compressed sensing |
| CN113194052A (en)* | 2021-04-01 | 2021-07-30 | 上海交通大学 | Reconfigurable radio frequency direct digital modulation communication system |
| CN115208729B (en)* | 2021-04-13 | 2024-12-03 | 三星电子株式会社 | Method and apparatus for machine learning based symbol timing recovery |
| CN115208729A (en)* | 2021-04-13 | 2022-10-18 | 三星电子株式会社 | Systems, methods, and apparatus for machine learning based symbol timing recovery |
| US11979203B2 (en)* | 2021-05-12 | 2024-05-07 | Rockwell Collins, Inc. | Linear induction motor excitation modulation based communication |
| US20220368378A1 (en)* | 2021-05-12 | 2022-11-17 | Rockwell Collins, Inc. | Linear induction motor excitation modulation based communication |
| CN113965435A (en)* | 2021-10-14 | 2022-01-21 | 中国电子科技集团公司第五十四研究所 | A high dynamic frequency tracking method suitable for low speed signals |
| CN113965435B (en)* | 2021-10-14 | 2024-04-16 | 中国电子科技集团公司第五十四研究所 | High dynamic frequency tracking method suitable for low-speed signals |
| CN113765838A (en)* | 2021-11-05 | 2021-12-07 | 易兆微电子(杭州)股份有限公司 | DPSK signal demodulation method, device, equipment and storage medium |
| CN113765838B (en)* | 2021-11-05 | 2022-03-25 | 易兆微电子(杭州)股份有限公司 | DPSK signal demodulation method, device, equipment and storage medium |
| CN114205196B (en)* | 2021-12-16 | 2024-01-26 | 山东航天电子技术研究所 | A blind estimation method for MPSK signal SNR in an environment with phase offset |
| CN114205196A (en)* | 2021-12-16 | 2022-03-18 | 山东航天电子技术研究所 | Blind estimation method for MPSK signal SNR under environment with phase offset |
| CN114374590A (en)* | 2022-01-18 | 2022-04-19 | 雅泰歌思(上海)通讯科技有限公司 | Symbol timing synchronization optimization method based on one-way pilot frequency |
| CN114629766B (en)* | 2022-01-30 | 2023-09-05 | 北京邮电大学 | Symbol judgment method, device, electronic equipment and storage medium in optical fiber communication |
| CN114629766A (en)* | 2022-01-30 | 2022-06-14 | 北京邮电大学 | Symbol decision method, device, electronic device and storage medium in optical fiber communication |
| CN115412176A (en)* | 2022-07-20 | 2022-11-29 | 西安空间无线电技术研究所 | A Coherent Optical Communication Carrier Recovery Method Based on Minimum Gradient Algorithm |
| CN115396270A (en)* | 2022-07-28 | 2022-11-25 | 北京理工大学 | Frequency modulation signal time-frequency synchronization system and method based on data type identification |
| CN115632742A (en)* | 2022-08-31 | 2023-01-20 | 深圳市中易腾达科技股份有限公司 | Signal processing method, signal processing device, electronic equipment and storage medium |
| CN119402332A (en)* | 2024-11-07 | 2025-02-07 | 上海交通大学 | A signal detection method based on dual pilot block structure |
| CN119728362A (en)* | 2025-02-27 | 2025-03-28 | 雅泰歌思(上海)通讯科技有限公司 | A method for large-range carrier frequency deviation capture and low steady-state error tracking |
| Publication number | Publication date |
|---|---|
| CN111884685B (en) | 2021-08-24 |
| Publication | Publication Date | Title |
|---|---|---|
| CN111884685B (en) | Digital communication signal synchronous demodulation method and device | |
| Hanna et al. | Signal processing-based deep learning for blind symbol decoding and modulation classification | |
| CN107835035B (en) | Open-loop demodulation method and device for short-frame burst communication with low signal-to-noise ratio | |
| CN108270715B (en) | Carrier recovery system and method suitable for high-order 4096-QAM | |
| CN106130939B (en) | An iterative method for fast time-varying channel estimation in MIMO-OFDM systems | |
| CN110417515B (en) | A Massive MIMO Signal Detection Method Based on Discrete Iterative Estimation | |
| CN105871765A (en) | Wireless communication carrier wave tracking method based on FFT assistant S-PLL | |
| CN106961403A (en) | A kind of OFDM underwater sound voice communication Doppler effect correction methods of estimation based on sparse channel model | |
| CN115250216A (en) | A joint channel estimation and signal detection method for underwater acoustic OFDM based on deep learning | |
| CN111884973A (en) | Data receiving method for receiving end of single carrier frequency domain equalization system | |
| CN106817333B (en) | High Dynamic Carrier Synchronization Method Based on Open-Loop Acquisition and Closed-Loop Tracking | |
| CN108650203B (en) | A Modulation Pattern Recognition Method Based on Reconnaissance Receiver | |
| CN115514596B (en) | OTFS communication receiver signal processing method and device based on convolutional neural network | |
| CN104199063B (en) | A kind of blind frequency discriminator processing method based on cross product algorithm | |
| Jiang et al. | Radio Frequency Fingerprint Identification Using Conditional Generative Adversarial Network for SAT-AIS | |
| Mei et al. | CRNN-ResNet: Combined CRNN and ResNet networks for OFDM receivers | |
| US20190028322A1 (en) | Joint noncoherent demodulation and carrier frequency offset correction based on non-linear filtering | |
| CN109756435A (en) | A kind of frequency deviation estimating method of pair of signal | |
| CN116170263B (en) | A MPSK-type burst signal modulation recognition method and system based on AlexNet network | |
| CN103346839A (en) | Coherent light communication dispersion compensation method based on ridge regression analysis | |
| CN108401582B (en) | A kind of GEO satellite mobile communication system initial frequency synchronization method adapting to TDMA/FDMA systems | |
| US8891695B2 (en) | Maximizing the viterbi winning path metric to estimate carrier phase offset in continuous phase modulated signals | |
| CN109005139A (en) | A kind of quadrature amplitude modulation demodulation method and its planisphere optimization method | |
| Hu et al. | A squeeze‐and‐excitation network for SNR estimation of communication signals | |
| Ye et al. | Deep learning based CS channel estimation in MIMO system |
| Date | Code | Title | Description |
|---|---|---|---|
| PB01 | Publication | ||
| PB01 | Publication | ||
| SE01 | Entry into force of request for substantive examination | ||
| SE01 | Entry into force of request for substantive examination | ||
| GR01 | Patent grant | ||
| GR01 | Patent grant | ||
| CF01 | Termination of patent right due to non-payment of annual fee | Granted publication date:20210824 | |
| CF01 | Termination of patent right due to non-payment of annual fee |