











技术领域technical field
本申请实施例涉及通信技术领域,尤其涉及一种确定信号到达角的方法、装置和系统。The embodiments of the present application relate to the field of communication technologies, and in particular, to a method, apparatus, and system for determining the angle of arrival of a signal.
背景技术Background technique
随着无线通信需求的不断增长,更多的频谱资源被划分为无线通信所用。其中,毫米波频段(30GHz—300GHz)可以提供高达多个GHz的连续带宽资源,已经被IEEE 802.11ad等无线局域网和无线个域网标准所采用。第三代合作伙伴计划(3rd GenerationPartnership Project,3GPP)标准在第15版本(Release 15,R15)中也开始支持毫米波通信,标志着毫米波通信成为了第五代(5-Generation,5G)移动通信系统中的关键技术之一。鉴于毫米波信号频率高、波长短,在空气中传播时会经历严重的路径损耗。为了克服毫米波路径损耗,需要采用基于阵列天线的波束赋形技术将信号能量集中在一个特定方向上,从而提高在这个方向上的天线增益。With the increasing demand for wireless communication, more spectrum resources are allocated for wireless communication. Among them, the millimeter wave frequency band (30GHz-300GHz) can provide continuous bandwidth resources up to multiple GHz, and has been adopted by wireless local area network and wireless personal area network standards such as IEEE 802.11ad. The 3rd Generation Partnership Project (3GPP) standard also began to support millimeter wave communication in Release 15 (R15), marking that millimeter wave communication has become the fifth generation (5-Generation, 5G) mobile communication One of the key technologies in the communication system. Given the high frequencies and short wavelengths of mmWave signals, they experience severe path loss as they travel through the air. In order to overcome the millimeter wave path loss, it is necessary to use the beamforming technology based on the array antenna to concentrate the signal energy in a specific direction, thereby improving the antenna gain in this direction.
现有技术中,可以通过如下方式实现波束训练,通过设计多级波束赋形码本,支持形成不同宽度的训练波束。在进行波束训练时,如图1中的(a)所示,终端和基站彼此使用宽波束进行波束扫描,根据接收信号强度确定粗略波束指向,减小搜索空间范围。然后,如图1中的(b)所示,终端通过窄波束在减小之后的搜索空间内进行波束扫描,根据接收信号强度再次确定波束指向。最终,如图1中的(c)所示基站使用窄波束在终端确定的搜索空间内进行波束扫描,根据接收信号强度最终确定精确的波束指向。In the prior art, beam training can be implemented in the following manner, by designing a multi-level beamforming codebook to support the formation of training beams of different widths. During beam training, as shown in (a) of Figure 1, the terminal and the base station use wide beams to scan each other, determine the rough beam direction according to the received signal strength, and reduce the search space range. Then, as shown in (b) of FIG. 1 , the terminal performs beam scanning in the reduced search space through the narrow beam, and determines the beam pointing again according to the received signal strength. Finally, as shown in (c) in FIG. 1 , the base station uses narrow beams to perform beam scanning in the search space determined by the terminal, and finally determines the precise beam pointing according to the received signal strength.
但是,多级码本的设计要求阵列天线具有多个连接射频前端和基带的射频(RadioFrequency,RF)链路(Chain),但由于射频链路功率消耗大,实现成本高,一般在毫米波通信系统中,射频链路的数量有限,难以形成满足要求的多级码本和相应的天线增益方向图;其次,多级码本法依靠接收信号强度判断波束指向,信号到达角估计的精确度和对多径的分辨能力受限于波束宽度。However, the design of the multi-level codebook requires the array antenna to have multiple radio frequency (RadioFrequency, RF) chains (Chains) connecting the RF front-end and the baseband. In the system, the number of radio frequency links is limited, and it is difficult to form a multi-level codebook and corresponding antenna gain pattern that meet the requirements; secondly, the multi-level codebook method relies on the received signal strength to determine the beam pointing, the accuracy of the signal arrival angle estimation and the The ability to resolve multipath is limited by the beamwidth.
发明内容SUMMARY OF THE INVENTION
本申请实施例提供一种确定信号到达角的方法、装置和系统,用以通过准确的计算信号到达角,从而提高波束训练的效率。Embodiments of the present application provide a method, device and system for determining the angle of arrival of a signal, so as to improve the efficiency of beam training by accurately calculating the angle of arrival of the signal.
为了达到上述目的,本申请实施例提供如下技术方案:In order to achieve the above purpose, the embodiments of the present application provide the following technical solutions:
第一方面,本申请实施例提供一种确定信号到达角的方法,包括:接收设备依次切换多个接收波束接收发送设备在参考信号资源上发送的多次相同的参考信号,得到多次接收信号。多个接收波束的波束方向不同,多个接收波束的波束方向与多次参考信号一一对应。接收设备对多次接收信号执行数字信号处理,得到多次接收信号对应的接收信号矩阵。接收设备对接收信号矩阵中的所有信号元素执行波束映射操作,得到波束映射矩阵。接收设备根据波束映射矩阵以及预设算法,确定发送设备的信号到达角。In a first aspect, an embodiment of the present application provides a method for determining the angle of arrival of a signal, including: a receiving device sequentially switches multiple receiving beams to receive multiple identical reference signals sent by a sending device on a reference signal resource, and obtain multiple received signals . The beam directions of the multiple receiving beams are different, and the beam directions of the multiple receiving beams are in one-to-one correspondence with the multiple reference signals. The receiving device performs digital signal processing on the received signals for multiple times to obtain a received signal matrix corresponding to the multiple received signals. The receiving device performs beam mapping operations on all signal elements in the received signal matrix to obtain a beam mapping matrix. The receiving device determines the signal arrival angle of the transmitting device according to the beam mapping matrix and the preset algorithm.
本申请实施例提供的一种确定信号到达角的方法,由于接收设备通过依次切换多个接收波束以接收发送设备在参考信号资源上发送的多次相同的参考信号,得到多次接收信号,由于信号到达角的估计不依赖波束的精细扫描,这样接收设备在探测发送设备发送的多次参考信号时,无需进行精细的波束扫描,通过依次切换多个接收波束便可以实现粗波束扫描。然后依赖数字信号处理以及预设算法便可以估计信号到达角。这样可以大大减小波束训练开销,实现快速波束训练,从而提高毫米波通信系统的可靠性和稳定性,还有助于实现更为精细的拓扑管理、路由计算和移动性管理。此外,对于本申请实施例提供的方法不仅仅依赖接收信号强度判断最优波束指向,而是利用对多次接收信号执行数字信号处理以估计出AoA,如此一来,既可以获得比基于接收信号强度的波束训练方法更高的精度,还无需进行精细的波束扫描,从而实现既快速又准确的波束训练性能。In the method for determining the angle of arrival of a signal provided by the embodiment of the present application, the receiving device obtains multiple received signals by sequentially switching multiple receiving beams to receive the same reference signal sent by the sending device on the reference signal resource multiple times. The estimation of the angle of arrival of the signal does not depend on the fine scanning of the beam, so that the receiving device does not need to perform the fine beam scanning when detecting multiple reference signals sent by the sending device, and can realize the coarse beam scanning by sequentially switching multiple receiving beams. The angle of arrival of the signal can then be estimated by relying on digital signal processing and preset algorithms. In this way, beam training overhead can be greatly reduced, and fast beam training can be achieved, thereby improving the reliability and stability of the millimeter-wave communication system, and also helping to achieve more refined topology management, routing calculation, and mobility management. In addition, the method provided by the embodiment of the present application does not only rely on the received signal strength to determine the optimal beam pointing, but uses digital signal processing on multiple received signals to estimate the AoA. Intensity beam training methods provide greater accuracy and also eliminate the need for fine beam scanning, resulting in fast and accurate beam training performance.
在一种可能的实现方式中,接收设备对多次接收信号执行数字信号处理,得到多次接收信号对应的接收信号矩阵,包括:接收设备根据多个接收波束的信号参数,从多个接收波束中确定至少一个接收波束。接收设备根据至少一个接收波束,确定至少一个接收波束对应的至少一次接收信号。接收设备对至少一次接收信号执行数字信号处理,将至少一次接收信号对应的接收信号矩阵确定为多次接收信号对应的接收信号矩阵。这样可以对满足要求的至少一次接收信号执行数字信号处理,降低了计算复杂度。In a possible implementation manner, the receiving device performs digital signal processing on the received signals for multiple times to obtain a received signal matrix corresponding to the multiple received signals, including: to determine at least one receive beam. The receiving device determines, according to the at least one receiving beam, at least one received signal corresponding to the at least one receiving beam. The receiving device performs digital signal processing on the at least one received signal, and determines a received signal matrix corresponding to the at least one received signal as a received signal matrix corresponding to the multiple received signals. In this way, digital signal processing can be performed on at least one received signal that meets the requirements, which reduces the computational complexity.
在一种可能的实现方式中,至少一个接收波束为多个接收波束中信号能量大于或等于能量阈值的接收波束。In a possible implementation manner, the at least one receiving beam is a receiving beam whose signal energy is greater than or equal to an energy threshold among the plurality of receiving beams.
在一种可能的实现方式中,多个接收波束的波束方向由切换波束码本确定,切换波束码本包括一列或多列波束赋形向量,一列或多列波束赋形向量中每列波束赋形向量对应一组移相器相移值,每列波束赋形向量用于确定一个接收波束的波束方向。这样接收设备可以按照切换波束码本顺次切换接收波束对多个不同的发送设备发送的参考信号进行接收,由于不同发送设备的信号到达角估计不依赖波束的精细扫描,接收设备的切换波束码本只需进行粗波束扫描。In a possible implementation manner, the beam directions of the multiple receiving beams are determined by a switching beam codebook, and the switching beam codebook includes one or more columns of beamforming vectors, and each column of beamforming vectors in the one or more columns of beamforming vectors The shape vector corresponds to a set of phase shifter phase shift values, and each column of beamforming vectors is used to determine the beam direction of a receive beam. In this way, the receiving device can sequentially switch the receiving beams according to the switching beam codebook to receive the reference signals sent by multiple different sending devices. Only coarse beam scanning is required.
在一种可能的实现方式中,接收设备的阵列天线架构为模拟波束赋形架构,所述接收设备依次切换一列或多列波束赋形向量中每列波束赋形向量,以调整每列波束赋形向量各自对应的接收波束的波束方向。In a possible implementation manner, the array antenna architecture of the receiving device is an analog beamforming architecture, and the receiving device sequentially switches each column of beamforming vectors in one or more columns of beamforming vectors to adjust the beamforming vectors of each column. The beam directions of the receiving beams corresponding to the shape vectors respectively.
在一种可能的实现方式中,接收设备的阵列天线架构为混合波束赋形架构,所述每列波束赋形向量还对应一组数字波束赋形权重;所述接收设备依次切换所述一列或多列波束赋形向量中的至少一列波束赋形向量,以调整与所述至少一列波束赋形向量对应的接收波束的波束方向。In a possible implementation manner, the array antenna architecture of the receiving device is a hybrid beamforming architecture, and each column of beamforming vectors also corresponds to a set of digital beamforming weights; the receiving device sequentially switches the one column or the at least one column of beamforming vectors among the multiple columns of beamforming vectors to adjust the beam direction of the receiving beam corresponding to the at least one column of beamforming vectors.
在一种可能的实现方式中,接收设备根据所述波束映射矩阵以及预设算法,确定发送设备的信号到达角,包括:接收设备根据目标角度范围得到一个或多个待评估角度。接收设备根据波束映射矩阵,计算一个或多个待评估角度中每个待评估角度对应的评估指标。接收设备将一个或多个评估指标中峰值评估指标对应的待评估角度确定为信号到达角。In a possible implementation manner, the receiving device determines the signal arrival angle of the sending device according to the beam mapping matrix and a preset algorithm, including: the receiving device obtains one or more angles to be evaluated according to the target angle range. The receiving device calculates, according to the beam mapping matrix, an evaluation index corresponding to each of the one or more to-be-evaluated angles. The receiving device determines the angle to be evaluated corresponding to the peak evaluation index in the one or more evaluation indexes as the signal arrival angle.
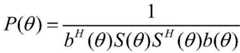
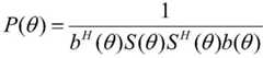
在一种可能的实现方式中,接收设备根据波束映射矩阵,计算一个或多个待评估角度中每个待评估角度对应的评估指标,包括:接收设备根据公式计算每个待评估角度对应的评估指标。其中,S(θ)表示特征向量构建噪声子空间,S(θ)=[qB-L(θ),...,qB(θ)],表示虚拟波束码本的共轭转置矩阵,a(θ)表示待评估方向的阵列响应矢量,SH(θ)表示特征向量构建噪声子空间的共轭转置矩阵,P(θ)表示评估指标。In a possible implementation manner, the receiving device calculates, according to the beam mapping matrix, an evaluation index corresponding to each to-be-evaluated angle among the one or more to-be-evaluated angles, including: the receiving device calculates according to the formula Calculate the evaluation index corresponding to each angle to be evaluated. in, S(θ) represents the noise subspace constructed by the feature vector, S(θ)=[qBL (θ),...,qB (θ)], represents the conjugate transpose matrix of the virtual beam codebook, a(θ) represents the array response vector of the direction to be evaluated,SH (θ) represents the conjugate transpose matrix of the eigenvector constructing the noise subspace, P(θ) represents the evaluation index.
在一种可能的实现方式中,接收设备对接收信号矩阵中的所有信号元素执行波束映射操作,得到波束映射矩阵,包括:接收设备根据所述接收信号矩阵以及与待评估角度有关的系数,得到波束映射矩阵;其中,待评估角度有关的系数其中,a(θ)表示对应于待评估方向的阵列响应矢量,表示虚拟波束码本的第b列,表示切换波束码本的第b列,b大于1且小于或等于所述多次参考信号的数量,所述虚拟波束码本满足不同列向量之间相互正交。In a possible implementation manner, the receiving device performs a beam mapping operation on all signal elements in the received signal matrix to obtain a beam mapping matrix, including: the receiving device obtains, according to the received signal matrix and a coefficient related to the angle to be evaluated, to obtain Beam mapping matrix; where the coefficients related to the angle to be evaluated where a(θ) represents the array response vector corresponding to the direction to be evaluated, represents the bth column of the virtual beam codebook, Indicates the bth column of the switched beam codebook, where b is greater than 1 and less than or equal to the number of the multiple reference signals, and the virtual beam codebook satisfies that different column vectors are mutually orthogonal.
在一种可能的实现方式中,发送设备和所述接收设备采用频分多址FDMA技术或正交频分多址OFDMA技术通信,接收设备对所述多次接收信号执行数字信号处理,得到多次接收信号对应的接收信号矩阵之前,本申请实施例提供的方法还包括:接收设备将多次接收信号从时域转换至频域。这样可以将不同发送设备的多次接收信号从频域区分开来,实现并行计算多个发送设备的信号到达角。In a possible implementation manner, the sending device and the receiving device communicate by using the frequency division multiple access (FDMA) technology or the orthogonal frequency division multiple access (OFDMA) technology, and the receiving device performs digital signal processing on the multiple received signals to obtain multiple Before the received signal matrix corresponding to the secondary received signal, the method provided by the embodiment of the present application further includes: the receiving device converts the multiple received signals from the time domain to the frequency domain. In this way, multiple received signals of different sending devices can be distinguished from the frequency domain, and the signal arrival angles of multiple sending devices can be calculated in parallel.
在一种可能的实现方式中,发送设备和接收设备采用载波侦听多路访问CSMA技术通信或时分多址TDMA技术通信,接收设备依次切换多个接收波束接收发送设备在参考信号资源上发送的多次相同的参考信号,得到多次接收信号,包括:接收设备通过依次切换多个接收波束的波束方向以及采用时域采样信号方法接收发送设备在参考信号资源上发送的多次相同的参考信号,得到多次接收信号。这样可以在时域串行计算多个发送设备的信号到达角。In a possible implementation manner, the sending device and the receiving device use the carrier sense multiple access (CSMA) technology for communication or the time division multiple access (TDMA) technology for communication, and the receiving device switches multiple receiving beams in turn to receive the data sent by the sending device on the reference signal resources. Obtaining the same reference signal multiple times to obtain multiple received signals, including: the receiving device receives the multiple identical reference signals sent by the transmitting device on the reference signal resource by sequentially switching the beam directions of the multiple receiving beams and using the time domain sampling signal method , to get multiple received signals. In this way, the angles of arrival of signals from multiple transmitting devices can be calculated serially in the time domain.
在一种可能的实现方式中,本申请实施例提供的方法还包括:接收设备向发送设备发送控制信令,控制信令用于确定为发送设备配置的参考信号资源和在参考信号资源发送的参考信号的重复次数。这样便于发送设备确定在接收设备指示的参考信号资源上重复发送多次相同的参考信号。In a possible implementation manner, the method provided by the embodiment of the present application further includes: the receiving device sends control signaling to the sending device, where the control signaling is used to determine the reference signal resources configured for the sending device and the reference signal resources sent in the reference signal resources. The number of repetitions of the reference signal. In this way, it is convenient for the sending device to determine to repeatedly send the same reference signal multiple times on the reference signal resource indicated by the receiving device.
在一种可能的实现方式中,发送设备和接收设备采用频分多址FDMA技术或正交频分多址OFDMA技术通信,参考信号资源与接收设备为其他发送设备配置的参考信号资源在频域正交。这样便于接收设备并行计算多个不同的发送设备的信号到达角。In a possible implementation manner, the sending device and the receiving device communicate using the frequency division multiple access (FDMA) technology or the orthogonal frequency division multiple access (OFDMA) technology, and the reference signal resources and the reference signal resources configured by the receiving device for other sending devices are in the frequency domain. Orthogonal. This facilitates the receiving device to calculate the signal arrival angles of multiple different transmitting devices in parallel.
在一种可能的实现方式中,接收设备依次切换多个接收波束的波束方向接收发送设备在参考信号资源上发送的多次相同的参考信号,得到多次接收信号,还包括:接收设备接收其他发送设备同时向接收设备发送的至少一次参考信号。这样便于多个不同的发送设备同时发送多次重复的参考信号,以节省接收设备计算多个不同的发送设备的信号到达角的时间。In a possible implementation manner, the receiving device sequentially switches the beam directions of multiple receiving beams to receive the same reference signal sent by the sending device on the reference signal resource multiple times to obtain multiple received signals, and further includes: the receiving device receives other The reference signal sent by the transmitting device to the receiving device at least once at the same time. In this way, it is convenient for a plurality of different transmitting devices to transmit multiple repeated reference signals at the same time, so as to save the time for the receiving device to calculate the angle of arrival of the signals of the plurality of different transmitting devices.
在一种可能的实现方式中,发送设备和接收设备采用载波侦听多路访问CSMA技术通信或时分多址TDMA技术通信,参考信号资源的时域与接收设备为其他发送设备配置的参考信号资源的时域不同。这样便于接收设备依次计算多个不同的发送设备的信号到达角。In a possible implementation manner, the sending device and the receiving device use the carrier sense multiple access (CSMA) technology for communication or the time division multiple access (TDMA) technology for communication, and the time domain of the reference signal resources is the same as the reference signal resources configured by the receiving device for other sending devices. time domain is different. In this way, it is convenient for the receiving device to sequentially calculate the angle of arrival of signals of a plurality of different transmitting devices.
在一种可能的实现方式中,多次参考信号在时间上连续或者不连续。In a possible implementation manner, the multiple reference signals are continuous or discontinuous in time.
在一种可能的实现方式中,本申请实施例提供的方法还包括:接收设备根据信号到达角,调整接入设备与发送设备之间的接收波束方向。In a possible implementation manner, the method provided by the embodiment of the present application further includes: the receiving device adjusts the direction of the receiving beam between the access device and the sending device according to the signal arrival angle.
第二方面,本申请实施例提供一种确定信号到达角的方法,包括:发送设备确定参考信号资源和在参考信号资源发送的参考信号的重复次数。发送设备根据重复次数在参考信号资源上向接收设备发送多次相同的参考信号,多次参考信号用于计算发送设备的信号到达角。In a second aspect, an embodiment of the present application provides a method for determining an angle of arrival of a signal, including: a sending device determining a reference signal resource and a repetition number of a reference signal sent in the reference signal resource. The sending device sends the same reference signal to the receiving device multiple times on the reference signal resource according to the number of repetitions, and the multiple reference signals are used to calculate the angle of arrival of the signal of the sending device.
在一种可能的实现方式中,发送设备确定参考信号资源和在参考信号资源发送的参考信号的重复次数,包括:发送设备接收来自接收设备的控制信令,控制信令用于确定为发送设备配置的参考信号资源和在参考信号资源发送的参考信号的重复次数。In a possible implementation manner, the sending device determines the reference signal resource and the number of repetitions of the reference signal sent in the reference signal resource, including: the sending device receives control signaling from the receiving device, and the control signaling is used to determine as the sending device The configured reference signal resources and the repetition times of the reference signals sent in the reference signal resources.
在一种可能的实现方式中,发送设备和所述接收设备采用频分多址FDMA技术或正交频分多址OFDMA技术通信,参考信号资源所在的频域资源与所述接收设备为其他发送设备配置的参考信号资源所在的频域资源正交。In a possible implementation manner, the sending device and the receiving device communicate using the frequency division multiple access (FDMA) technology or the orthogonal frequency division multiple access (OFDMA) technology, and the frequency domain resources where the reference signal resources are located and the receiving device are other sending devices. The frequency domain resources where the reference signal resources configured by the device are located are orthogonal.
在一种可能的实现方式中,发送设备和所述接收设备采用载波侦听多路访问CSMA技术通信或时分多址TDMA技术通信,In a possible implementation manner, the sending device and the receiving device use carrier sense multiple access (CSMA) technology for communication or time division multiple access (TDMA) technology for communication,
所述参考信号资源所在的时域资源与所述接收设备为其他发送设备配置的参考信号资源所在的时域资源不同。The time domain resources where the reference signal resources are located are different from the time domain resources where the reference signal resources configured by the receiving device for other sending devices are located.
在一种可能的实现方式中,至少一次参考信号在时间上连续或者不连续。In a possible implementation, at least one reference signal is continuous or discontinuous in time.
第三方面,本申请实施例提供一种通信装置,该通信装置可以实现第一方面或第一方面的任意可能的实现方式中的方法,因此也能实现第一方面或第一方面任意可能的实现方式中的有益效果。该通信装置可以为接收设备,也可以为可以支持接收设备实现第一方面或第一方面的任意可能的实现方式中的方法的装置,例如应用于接收设备中的芯片。该装置可以通过软件、硬件、或者通过硬件执行相应的软件实现上述方法。In a third aspect, an embodiment of the present application provides a communication device, which can implement the first aspect or the method in any possible implementation manner of the first aspect, and thus can also implement the first aspect or any possible implementation manner of the first aspect. Beneficial effects in implementation. The communication device may be a receiving device, or may be a device that can support the receiving device to implement the method in the first aspect or any possible implementation manner of the first aspect, such as a chip applied to the receiving device. The apparatus may implement the above method through software, hardware, or through hardware executing corresponding software.
一种示例,该通信装置,包括:通信单元,用于依次切换多个接收波束接收发送设备在参考信号资源上发送的多次相同的参考信号,得到多次接收信号。多个接收波束的波束方向不同,多个接收波束的波束方向与多次参考信号一一对应。处理单元,用于对多次接收信号执行数字信号处理,得到多次接收信号对应的接收信号矩阵。处理单元,用于对接收信号矩阵中的所有信号元素执行波束映射操作,得到波束映射矩阵。处理单元,用于根据波束映射矩阵以及预设算法,确定发送设备的信号到达角。In an example, the communication apparatus includes: a communication unit configured to switch multiple receiving beams in sequence to receive the same reference signal sent multiple times on the reference signal resource by the sending device to obtain multiple received signals. The beam directions of the multiple receiving beams are different, and the beam directions of the multiple receiving beams are in one-to-one correspondence with the multiple reference signals. The processing unit is configured to perform digital signal processing on the received signals for multiple times to obtain a received signal matrix corresponding to the multiple received signals. The processing unit is configured to perform beam mapping operations on all signal elements in the received signal matrix to obtain a beam mapping matrix. The processing unit is configured to determine the angle of arrival of the signal of the sending device according to the beam mapping matrix and the preset algorithm.
在一种可能的实现方式中,处理单元,具体用于根据多个接收波束的信号参数,从多个接收波束中确定至少一个接收波束,用于根据至少一个接收波束,确定至少一个接收波束对应的至少一次接收信号,以及用于对至少一次接收信号执行数字信号处理,将至少一次接收信号对应的接收信号矩阵确定为多次接收信号对应的接收信号矩阵。In a possible implementation manner, the processing unit is specifically configured to determine at least one receiving beam from the multiple receiving beams according to the signal parameters of the multiple receiving beams, and is configured to determine, according to the at least one receiving beam, corresponding to the at least one receiving beam The at least one received signal is used to perform digital signal processing on the at least one received signal, and the received signal matrix corresponding to the at least one received signal is determined as the received signal matrix corresponding to the multiple received signals.
在一种可能的实现方式中,至少一个接收波束为多个接收波束中信号能量大于或等于能量阈值的接收波束。In a possible implementation manner, the at least one receiving beam is a receiving beam whose signal energy is greater than or equal to an energy threshold among the plurality of receiving beams.
在一种可能的实现方式中,多个接收波束的波束方向由切换波束码本确定,切换波束码本包括一列或多列波束赋形向量,一列或多列波束赋形向量中每列波束赋形向量对应一组移相器相移值,每列波束赋形向量用于确定一个接收波束的波束方向。In a possible implementation manner, the beam directions of the multiple receiving beams are determined by a switching beam codebook, and the switching beam codebook includes one or more columns of beamforming vectors, and each column of beamforming vectors in the one or more columns of beamforming vectors The shape vector corresponds to a set of phase shifter phase shift values, and each column of beamforming vectors is used to determine the beam direction of a receive beam.
在一种可能的实现方式中,接收设备的阵列天线架构为模拟波束赋形架构,通信单元,具体用于依次切换一列或多列波束赋形向量中每列波束赋形向量,以调整每列波束赋形向量各自对应的接收波束的波束方向。In a possible implementation manner, the array antenna architecture of the receiving device is an analog beamforming architecture, and the communication unit is specifically configured to sequentially switch each column of beamforming vectors in one or more columns of beamforming vectors to adjust each column. Beamforming vectors correspond to the beam directions of the receive beams respectively.
在一种可能的实现方式中,接收设备的阵列天线架构为混合波束赋形架构,所述每列波束赋形向量还对应一组数字波束赋形权重;通信单元,具体用于依次切换所述一列或多列波束赋形向量中的至少一列波束赋形向量,以调整与所述至少一列波束赋形向量对应的接收波束的波束方向。In a possible implementation manner, the array antenna architecture of the receiving device is a hybrid beamforming architecture, and each column of beamforming vectors also corresponds to a set of digital beamforming weights; the communication unit is specifically configured to sequentially switch the At least one of the one or more columns of beamforming vectors is used to adjust the beam direction of the receive beam corresponding to the at least one column of beamforming vectors.
在一种可能的实现方式中,处理单元,具体用于根据目标角度范围得到一个或多个待评估角度。处理单元,具体用于根据波束映射矩阵,计算一个或多个待评估角度中每个待评估角度对应的评估指标。处理单元,具体用于将一个或多个评估指标中峰值评估指标对应的待评估角度确定为信号到达角。In a possible implementation manner, the processing unit is specifically configured to obtain one or more angles to be evaluated according to the target angle range. The processing unit is specifically configured to calculate, according to the beam mapping matrix, an evaluation index corresponding to each to-be-evaluated angle among the one or more to-be-evaluated angles. The processing unit is specifically configured to determine the angle to be evaluated corresponding to the peak evaluation index in the one or more evaluation indexes as the signal arrival angle.
在一种可能的实现方式中,处理单元,具体用于根据公式计算每个待评估角度对应的评估指标。其中,S(θ)表示特征向量构建噪声子空间,S(θ)=[qB-L(θ),...,qB(θ)],表示虚拟波束码本的共轭转置矩阵,a(θ)表示待评估方向的阵列响应矢量,SH(θ)表示特征向量构建噪声子空间的共轭转置矩阵,P(θ)表示评估指标。In a possible implementation, the processing unit, specifically for Calculate the evaluation index corresponding to each angle to be evaluated. in, S(θ) represents the noise subspace constructed by the feature vector, S(θ)=[qBL (θ),...,qB (θ)], represents the conjugate transpose matrix of the virtual beam codebook, a(θ) represents the array response vector of the direction to be evaluated,SH (θ) represents the conjugate transpose matrix of the eigenvector constructing the noise subspace, P(θ) represents the evaluation index.
在一种可能的实现方式中,处理单元,具体用于根据所述接收信号矩阵以及与待评估角度有关的系数,得到波束映射矩阵;其中,待评估角度有关的系数其中,a(θ)表示对应于待评估方向的阵列响应矢量,表示虚拟波束码本的第b列,表示切换波束码本的第b列,b大于1且小于或等于所述多次参考信号的数量,所述虚拟波束码本满足不同列向量之间相互正交。In a possible implementation manner, the processing unit is specifically configured to obtain a beam mapping matrix according to the received signal matrix and the coefficient related to the angle to be evaluated; wherein the coefficient related to the angle to be evaluated where a(θ) represents the array response vector corresponding to the direction to be evaluated, represents the bth column of the virtual beam codebook, Indicates the bth column of the switched beam codebook, where b is greater than 1 and less than or equal to the number of the multiple reference signals, and the virtual beam codebook satisfies that different column vectors are mutually orthogonal.
在一种可能的实现方式中,发送设备和所述接收设备采用频分多址FDMA技术或正交频分多址OFDMA技术通信,处理单元,还用于将多次接收信号从时域转换至频域。In a possible implementation manner, the sending device and the receiving device communicate by using a frequency division multiple access (FDMA) technology or an orthogonal frequency division multiple access (OFDMA) technology, and the processing unit is further configured to convert multiple received signals from the time domain to frequency domain.
在一种可能的实现方式中,发送设备和接收设备采用载波侦听多路访问CSMA技术通信或时分多址TDMA技术通信,通信单元,具体用于通过依次切换多个接收波束的波束方向以及采用时域采样信号方法接收发送设备在参考信号资源上发送的多次相同的参考信号,得到多次接收信号。这样可以在时域串行计算多个发送设备的信号到达角。In a possible implementation manner, the transmitting device and the receiving device use the carrier sense multiple access (CSMA) technology to communicate or the time division multiple access (TDMA) technology to communicate, and the communication unit is specifically configured to switch the beam directions of the multiple receiving beams in turn and adopt the The time-domain sampling signal method receives the same reference signal sent by the sending device multiple times on the reference signal resource, and obtains the received signal multiple times. In this way, the angles of arrival of signals from multiple transmitting devices can be calculated serially in the time domain.
在一种可能的实现方式中,通信单元,具体用于向发送设备发送控制信令,控制信令用于确定为发送设备配置的参考信号资源和在参考信号资源发送的参考信号的重复次数。这样便于发送设备确定在接收设备指示的参考信号资源上重复发送多次相同的参考信号。In a possible implementation manner, the communication unit is specifically configured to send control signaling to the sending device, where the control signaling is used to determine the reference signal resource configured for the sending device and the repetition times of the reference signal sent in the reference signal resource. In this way, it is convenient for the sending device to determine to repeatedly send the same reference signal multiple times on the reference signal resource indicated by the receiving device.
在一种可能的实现方式中,发送设备和接收设备采用频分多址FDMA技术或正交频分多址OFDMA技术通信,参考信号资源与接收设备为其他发送设备配置的参考信号资源在频域正交。这样便于接收设备并行计算多个不同的发送设备的信号到达角。In a possible implementation manner, the sending device and the receiving device communicate using the frequency division multiple access (FDMA) technology or the orthogonal frequency division multiple access (OFDMA) technology, and the reference signal resources and the reference signal resources configured by the receiving device for other sending devices are in the frequency domain. Orthogonal. This facilitates the receiving device to calculate the signal arrival angles of multiple different transmitting devices in parallel.
在一种可能的实现方式中,通信单元,还用于接收其他发送设备同时向接收设备发送的至少一次参考信号。这样便于多个不同的发送设备同时发送多次重复的参考信号,以节省接收设备计算多个不同的发送设备的信号到达角的时间。In a possible implementation manner, the communication unit is further configured to receive at least one reference signal simultaneously sent by other sending devices to the receiving device. In this way, it is convenient for a plurality of different transmitting devices to transmit multiple repeated reference signals at the same time, so as to save the time for the receiving device to calculate the angle of arrival of the signals of the plurality of different transmitting devices.
在一种可能的实现方式中,发送设备和接收设备采用载波侦听多路访问CSMA技术通信或时分多址TDMA技术通信,参考信号资源的时域与接收设备为其他发送设备配置的参考信号资源的时域不同。这样便于接收设备依次计算多个不同的发送设备的信号到达角。In a possible implementation manner, the sending device and the receiving device use the carrier sense multiple access (CSMA) technology for communication or the time division multiple access (TDMA) technology for communication, and the time domain of the reference signal resources is the same as the reference signal resources configured by the receiving device for other sending devices. time domain is different. In this way, it is convenient for the receiving device to sequentially calculate the angle of arrival of signals of a plurality of different transmitting devices.
在一种可能的实现方式中,多次参考信号在时间上连续或者不连续。In a possible implementation manner, the multiple reference signals are continuous or discontinuous in time.
在一种可能的实现方式中,处理单元,还用于根据信号到达角,调整接入设备与发送设备之间的接收波束方向。In a possible implementation manner, the processing unit is further configured to adjust the receiving beam direction between the access device and the sending device according to the signal arrival angle.
另一种示例,本申请实施例提供一种通信装置,该通信装置可以是接收设备,也可以是接收设备内的芯片。当该通信装置是接收设备时,该通信单元可以为收发器。该处理单元可以是处理器。该通信装置还可以包括存储单元。该存储单元可以是存储器。该存储单元,用于存储计算机程序代码,计算机程序代码包括指令。该处理单元执行该存储单元所存储的指令,以使该接收设备实现第一方面或第一方面的任意一种可能的实现方式中描述的一种确定信号到达角的方法。当该通信装置是接收设备内的芯片时,该处理单元可以是处理器,该通信单元可以统称为:通信接口。例如,通信接口可以为输入/输出接口、管脚或电路等。该处理单元执行存储单元所存储的计算机程序代码,以使该接收设备实现第一方面或第一方面的任意一种可能的实现方式中描述的一种确定信号到达角的方法,该存储单元可以是该芯片内的存储单元(例如,寄存器、缓存等),也可以是该接收设备内的位于该芯片外部的存储单元(例如,只读存储器、随机存取存储器等)。In another example, an embodiment of the present application provides a communication apparatus, where the communication apparatus may be a receiving device or a chip in the receiving device. When the communication apparatus is a receiving device, the communication unit may be a transceiver. The processing unit may be a processor. The communication device may also include a storage unit. The storage unit may be a memory. The storage unit is used for storing computer program code, and the computer program code includes instructions. The processing unit executes the instructions stored in the storage unit, so that the receiving device implements the method for determining the angle of arrival of a signal described in the first aspect or any possible implementation manner of the first aspect. When the communication device is a chip in the receiving device, the processing unit may be a processor, and the communication unit may be collectively referred to as a communication interface. For example, the communication interface may be an input/output interface, a pin or a circuit, or the like. The processing unit executes the computer program code stored in the storage unit, so that the receiving device implements the method for determining the angle of arrival of a signal described in the first aspect or any possible implementation manner of the first aspect, and the storage unit may It is a storage unit (eg, register, cache, etc.) in the chip, or it may be a storage unit (eg, read-only memory, random access memory, etc.) located outside the chip in the receiving device.
可选的,处理器、通信接口和存储器相互耦合。Optionally, the processor, the communication interface and the memory are coupled to each other.
第四方面,本申请实施例提供一种通信装置,该通信装置可以实现第二方面或第二方面的任意可能的实现方式中的方法,因此也能实现第二方面或第二方面任意可能的实现方式中的有益效果。该通信装置可以为发送设备,也可以为可以支持发送设备实现第二方面或第二方面的任意可能的实现方式中的方法的装置,例如应用于发送设备中的芯片。该装置可以通过软件、硬件、或者通过硬件执行相应的软件实现上述方法。In a fourth aspect, an embodiment of the present application provides a communication device, which can implement the method in the second aspect or any possible implementation manner of the second aspect, and thus can also implement the second aspect or any possible implementation manner of the second aspect. Beneficial effects in implementation. The communication apparatus may be a sending device, or may be an apparatus that can support the sending device to implement the method in the second aspect or any possible implementation manner of the second aspect, for example, a chip applied to the sending device. The apparatus may implement the above method through software, hardware, or through hardware executing corresponding software.
一种示例,该通信装置,包括:处理单元,用于确定参考信号资源和在参考信号资源发送的参考信号的重复次数。通信单元,用于根据重复次数在参考信号资源上向接收设备发送多次相同的参考信号,多次参考信号用于计算发送设备的信号到达角。In one example, the communication apparatus includes: a processing unit configured to determine a reference signal resource and a repetition number of a reference signal sent in the reference signal resource. The communication unit is configured to send the same reference signal multiple times to the receiving device on the reference signal resource according to the repetition times, and the multiple reference signals are used to calculate the signal arrival angle of the sending device.
在一种可能的实现方式中,通信单元,还用于接收来自接收设备的控制信令,控制信令用于确定为发送设备配置的参考信号资源和在参考信号资源发送的参考信号的重复次数。In a possible implementation manner, the communication unit is further configured to receive control signaling from the receiving device, where the control signaling is used to determine the reference signal resource configured for the sending device and the repetition times of the reference signal sent in the reference signal resource .
在一种可能的实现方式中,发送设备和接收设备采用频分多址FDMA技术或正交频分多址OFDMA技术通信,参考信号资源所在的频域资源与接收设备为其他发送设备配置的参考信号资源所在的频域资源正交。In a possible implementation manner, the sending device and the receiving device communicate using the frequency division multiple access (FDMA) technology or the orthogonal frequency division multiple access (OFDMA) technology, and the frequency domain resources where the reference signal resources are located are the reference signals configured by the receiving device for other sending devices. The frequency domain resources where the signal resources are located are orthogonal.
在一种可能的实现方式中,发送设备和接收设备采用载波侦听多路访问CSMA技术通信或时分多址TDMA技术通信,参考信号资源所在的时域资源与接收设备为其他发送设备配置的参考信号资源所在的时域资源不同。In a possible implementation manner, the sending device and the receiving device use the carrier sense multiple access (CSMA) technology for communication or the time division multiple access (TDMA) technology for communication, and the time domain resources where the reference signal resources are located are the reference signals configured by the receiving device for other sending devices. The time domain resources where the signal resources are located are different.
在一种可能的实现方式中,至少一次参考信号在时间上连续或者不连续。In a possible implementation, at least one reference signal is continuous or discontinuous in time.
另一种示例,本申请实施例提供一种通信装置,该通信装置可以是发送设备,也可以是发送设备内的芯片。当该通信装置是发送设备时,该通信单元可以为收发器。该处理单元可以是处理器。该通信装置还可以包括存储单元。该存储单元可以是存储器。该存储单元,用于存储计算机程序代码,计算机程序代码包括指令。该处理单元执行该存储单元所存储的指令,以使该发送设备实现第二方面或第二方面的任意一种可能的实现方式中描述的一种确定信号到达角的方法。当该通信装置是发送设备内的芯片时,该处理单元可以是处理器,该通信单元可以统称为:通信接口。例如,通信接口可以为输入/输出接口、管脚或电路等。该处理单元执行存储单元所存储的计算机程序代码,以使该发送设备实现第二方面或第二方面的任意一种可能的实现方式中描述的一种确定信号到达角的方法,该存储单元可以是该芯片内的存储单元(例如,寄存器、缓存等),也可以是该发送设备内的位于该芯片外部的存储单元(例如,只读存储器、随机存取存储器等)。In another example, an embodiment of the present application provides a communication apparatus, where the communication apparatus may be a sending device or a chip in the sending device. When the communication device is a transmission device, the communication unit may be a transceiver. The processing unit may be a processor. The communication device may also include a storage unit. The storage unit may be a memory. The storage unit is used for storing computer program code, and the computer program code includes instructions. The processing unit executes the instructions stored in the storage unit, so that the sending device implements the method for determining the angle of arrival of a signal described in the second aspect or any possible implementation manner of the second aspect. When the communication device is a chip in the sending device, the processing unit may be a processor, and the communication unit may be collectively referred to as a communication interface. For example, the communication interface may be an input/output interface, a pin or a circuit, or the like. The processing unit executes the computer program code stored in the storage unit, so that the sending device implements the method for determining the angle of arrival of a signal described in the second aspect or any possible implementation manner of the second aspect, and the storage unit can It is a storage unit (for example, a register, a cache, etc.) in the chip, or a storage unit (for example, a read-only memory, a random access memory, etc.) located outside the chip in the sending device.
可选的,处理器、通信接口和存储器相互耦合。Optionally, the processor, the communication interface and the memory are coupled to each other.
第五方面,本申请实施例提供一种计算机可读存储介质,计算机可读存储介质中存储有计算机程序或指令,当计算机程序或指令在计算机上运行时,使得计算机执行如第一方面至第一方面的任意一种可能的实现方式中描述的一种确定信号到达角的方法。In a fifth aspect, embodiments of the present application provide a computer-readable storage medium, where a computer program or instruction is stored, and when the computer program or instruction is run on a computer, the computer executes the steps from the first aspect to the first aspect. A method for determining the angle of arrival of a signal described in any one possible implementation manner of an aspect.
第六方面,本申请实施例提供一种计算机可读存储介质,计算机可读存储介质中存储有计算机程序或指令,当计算机程序或指令在计算机上运行时,使得计算机执行如第二方面至第二方面的任意一种可能的实现方式中描述的一种确定信号到达角的方法。In a sixth aspect, an embodiment of the present application provides a computer-readable storage medium, where a computer program or instruction is stored, and when the computer program or instruction is run on a computer, the computer executes the steps from the second aspect to the sixth aspect. A method for determining the angle of arrival of a signal described in any possible implementation manner of the second aspect.
第七方面,本申请实施例提供一种包括指令的计算机程序产品,当指令在计算机上运行时,使得计算机执行第一方面或第一方面的各种可能的实现方式中描述的一种确定信号到达角的方法。In a seventh aspect, an embodiment of the present application provides a computer program product including instructions, which, when the instructions are run on a computer, cause the computer to execute a determination signal described in the first aspect or various possible implementations of the first aspect The way to reach the angle.
第八方面,本申请提供一种包括指令的计算机程序产品,当指令在计算机上运行时,使得计算机执行第二方面或第二方面的各种可能的实现方式中描述的一种确定信号到达角的方法。In an eighth aspect, the present application provides a computer program product comprising instructions that, when the instructions are run on a computer, cause the computer to perform a method of determining the angle of arrival of a signal described in the second aspect or various possible implementations of the second aspect Methods.
第九方面,本申请实施例提供一种通信系统,该通信系统包括接收设备和至少一个发送设备。其中,接收设备用于执行第一方面及第一方面的各种可能的实现方式中描述的一种确定信号到达角的方法,发送设备用于执行第二方面及第二方面的各种可能的实现方式中描述的一种确定信号到达角的方法。In a ninth aspect, an embodiment of the present application provides a communication system, where the communication system includes a receiving device and at least one sending device. The receiving device is configured to perform the method for determining the angle of arrival of a signal described in the first aspect and various possible implementations of the first aspect, and the sending device is configured to perform the second aspect and various possible implementations of the second aspect. A method for determining the angle of arrival of a signal as described in Implementation.
第十方面,本申请实施例提供一种通信装置,该通信装置包括处理器和存储介质,所述存储介质存储有指令,所述指令被所述处理器运行时,实现如第一方面或第一方面的各种可能的实现方式描述的一种确定信号到达角的方法。In a tenth aspect, an embodiment of the present application provides a communication device, the communication device includes a processor and a storage medium, where the storage medium stores instructions, and when the instructions are run by the processor, the first aspect or the first aspect is implemented. Various possible implementations of an aspect describe a method for determining the angle of arrival of a signal.
第十一方面,本申请实施例提供一种通信装置,该通信装置包括处理器和存储介质,所述存储介质存储有指令,所述指令被所述处理器运行时,实现如第二方面或第二方面的各种可能的实现方式描述的一种确定信号到达角的方法。In an eleventh aspect, an embodiment of the present application provides a communication device, where the communication device includes a processor and a storage medium, where the storage medium stores instructions, and when the instructions are executed by the processor, the second aspect or Various possible implementation manners of the second aspect describe a method for determining the angle of arrival of a signal.
第十二方面,本申请实施例提供了一种通信装置,该通信装置包括一个或者多个模块,用于实现上述第一方面、第二方面的方法,该一个或者多个模块可以与上述第一方面、第二方面的方法中的各个步骤相对应。In a twelfth aspect, an embodiment of the present application provides a communication device, where the communication device includes one or more modules for implementing the methods of the first aspect and the second aspect, and the one or more modules can be combined with the above-mentioned first aspect In one aspect, the various steps in the method of the second aspect correspond.
第十三方面,本申请实施例提供一种芯片,该芯片包括处理器和通信接口,通信接口和处理器耦合,处理器用于运行计算机程序或指令,以实现第一方面或第一方面的各种可能的实现方式中所描述的一种确定信号到达角的方法,通信接口用于与所述芯片之外的其它模块进行通信。In a thirteenth aspect, an embodiment of the present application provides a chip, where the chip includes a processor and a communication interface, the communication interface and the processor are coupled, and the processor is configured to run a computer program or instructions to implement the first aspect or each aspect of the first aspect In a method for determining the angle of arrival of a signal described in a possible implementation manner, the communication interface is used to communicate with other modules other than the chip.
第十四方面,本申请实施例提供一种芯片,该芯片包括处理器和通信接口,通信接口和处理器耦合,处理器用于运行计算机程序或指令,以实现第二方面或第二方面的各种可能的实现方式中所描述的一种确定信号到达角的方法,通信接口用于与芯片之外的其它模块进行通信。In a fourteenth aspect, an embodiment of the present application provides a chip, where the chip includes a processor and a communication interface, the communication interface is coupled to the processor, and the processor is configured to run a computer program or instructions to implement the second aspect or each of the second aspects. A method for determining the angle of arrival of a signal described in a possible implementation manner, and the communication interface is used to communicate with other modules outside the chip.
上述提供的任一种装置或计算机存储介质或计算机程序产品或芯片或通信系统均用于执行上文所提供的对应的方法,因此,其所能达到的有益效果可参考上文提供的对应的方法中对应方案的有益效果,此处不再赘述。Any device or computer storage medium or computer program product or chip or communication system provided above is used to execute the corresponding method provided above. Therefore, the beneficial effect that can be achieved can refer to the corresponding provided above. The beneficial effects of the corresponding solutions in the method will not be repeated here.
附图说明Description of drawings
图1为本申请实施例提供的一种波束训练的示意图;FIG. 1 is a schematic diagram of a beam training provided by an embodiment of the present application;
图2a为本申请实施例提供的一种数字波束赋形架构;FIG. 2a is a digital beamforming architecture provided by an embodiment of the present application;
图2b为本申请实施例提供的一种模拟波束赋形架构;FIG. 2b is an analog beamforming architecture provided by an embodiment of the present application;
图2c为本申请实施例提供的一种混合波束赋形架构;FIG. 2c is a hybrid beamforming architecture provided by an embodiment of the present application;
图3为本申请实施例提供的一种估算AOA的结构示意图;3 is a schematic structural diagram of an estimated AOA provided by an embodiment of the present application;
图4为本申请实施例提供的一种通信系统的结构示意图;FIG. 4 is a schematic structural diagram of a communication system provided by an embodiment of the present application;
图5为本申请实施例提供的一种确定信号到达角的方法的流程示意图;5 is a schematic flowchart of a method for determining an angle of arrival of a signal according to an embodiment of the present application;
图6为本申请实施例提供的另一种确定信号到达角的方法的流程示意图;6 is a schematic flowchart of another method for determining the angle of arrival of a signal provided by an embodiment of the present application;
图7为本申请实施例提供的一种通信装置的结构示意图;FIG. 7 is a schematic structural diagram of a communication device according to an embodiment of the present application;
图8为本申请实施例提供的另一种通信装置的结构示意图;FIG. 8 is a schematic structural diagram of another communication device provided by an embodiment of the present application;
图9为本申请实施例提供的一种通信设备的结构示意图;FIG. 9 is a schematic structural diagram of a communication device provided by an embodiment of the present application;
图10为本申请实施例提供的一种芯片的结构示意图。FIG. 10 is a schematic structural diagram of a chip according to an embodiment of the present application.
具体实施方式Detailed ways
本申请实施例中术语“和/或”,仅仅是一种描述关联对象的关联关系,表示可以存在三种关系,例如,A和/或B,可以表示:单独存在A,同时存在A和B,单独存在B这三种情况。另外,本申请实施例中字符“/”,一般表示前后关联对象是一种“或”的关系。The term "and/or" in this embodiment of the present application is only an association relationship to describe associated objects, indicating that there may be three kinds of relationships, for example, A and/or B, which may indicate that A exists alone, and A and B exist at the same time. , there are three cases of B alone. In addition, the character "/" in the embodiments of the present application generally indicates that the related objects before and after are an "or" relationship.
需要说明的是,本申请实施例中,“示例性的”或者“例如”等词用于表示作例子、例证或说明。本申请实施例中被描述为“示例性的”或者“例如”的任何实施例或设计方案不应被解释为比其他实施例或设计方案更优选或更具优势。确切而言,使用“示例性的”或者“例如”等词旨在以具体方式呈现相关概念。It should be noted that, in the embodiments of the present application, words such as "exemplary" or "for example" are used to represent examples, illustrations, or illustrations. Any embodiment or design described in the embodiments of the present application as "exemplary" or "such as" should not be construed as preferred or advantageous over other embodiments or designs. Rather, the use of words such as "exemplary" or "such as" is intended to present the related concepts in a specific manner.
本申请实施例描述的网络架构以及业务场景是为了更加清楚的说明本申请实施例的技术方案,并不构成对于本申请实施例提供的技术方案的限定,本领域普通技术人员可知,随着网络架构的演变和新业务场景的出现,本申请实施例提供的技术方案对于类似的技术问题,同样适用。The network architecture and service scenarios described in the embodiments of the present application are for the purpose of illustrating the technical solutions of the embodiments of the present application more clearly, and do not constitute a limitation on the technical solutions provided by the embodiments of the present application. The evolution of the architecture and the emergence of new business scenarios, the technical solutions provided in the embodiments of the present application are also applicable to similar technical problems.
在介绍本申请实施例之前,首先解释本申请实施例中涉及到的相关名词:Before introducing the embodiments of the present application, first explain the related terms involved in the embodiments of the present application:
射频链路(RF chain):连接射频天线与基带数字信号处理单元的一系列器件的总称。一般包括模数转换器(Analog to Digital Converter,ADC)/数模转换器(Digital toAnalog Converter,DAC)、混频器、振荡器、滤波器等。RF chain: The general term for a series of devices connecting the RF antenna and the baseband digital signal processing unit. Generally, it includes an analog-to-digital converter (Analog to Digital Converter, ADC)/digital-to-analog converter (Digital to Analog Converter, DAC), a mixer, an oscillator, a filter, and the like.
阵列天线:由多个天线按照一定的几何结构排列形成的一个天线阵列,包括一维的线性阵列天线,二维的矩形阵列天线。其中,每个天线又称为阵元。例如,多个天线可以按照预设间距排列形成的一个天线阵列。Array antenna: an antenna array formed by arranging multiple antennas according to a certain geometric structure, including one-dimensional linear array antennas and two-dimensional rectangular array antennas. Among them, each antenna is also called an array element. For example, a plurality of antennas can be arranged according to a preset interval to form an antenna array.
波束赋形(beamforming):通过调节馈送到阵列天线的每个阵元的信号的相位(有时也调节幅度),也就是给每个阵元的信号进行加权,达到让信号能量聚集到某一个方向的作用,即形成一个方向性的波束。Beamforming: By adjusting the phase (and sometimes the amplitude) of the signal fed to each array element of the array antenna, that is, weighting the signal of each array element, so that the signal energy can be concentrated in a certain direction , that is, to form a directional beam.
数字波束赋形(digital beamforming)架构:阵列天线中的每个阵元都通过一个射频链路与基带数字信号处理单元相连,因此,波束赋形完全通过基带数字信号处理的方式完成。如图2a所示。在图2a中阵元1、阵元2、…、阵元N中每个阵元与一个RF chain连接,即在图2a中具有N个RF chain。该N个RF chain与基带数字信号处理单元相连。该基带数字信号处理单元用于进行数字波束赋形。Digital beamforming (digital beamforming) architecture: Each element in the array antenna is connected to the baseband digital signal processing unit through a radio frequency link. Therefore, beamforming is completely completed by baseband digital signal processing. As shown in Figure 2a. In Fig. 2a, each of the
模拟波束赋形(analog beamforming)架构:一个阵列天线只使用一个射频链路与基带信号处理单元相连,其中的每个阵元都接有一个移相器,用来控制每路信号的相位偏移,即波束赋形在射频模拟域完成。如图2b所示,在图2b中N个阵元中每个阵元与一个移相器连接,即在图2b中具有N个移相器。该N个移相器与一个RF chain连接,该RF chain与基带信号处理单元连接。Analog beamforming (analog beamforming) architecture: an array antenna uses only one RF link to connect to the baseband signal processing unit, and each array element is connected to a phase shifter to control the phase offset of each signal , that is, beamforming is done in the RF analog domain. As shown in Fig. 2b, each of the N array elements in Fig. 2b is connected to a phase shifter, that is, there are N phase shifters in Fig. 2b. The N phase shifters are connected to an RF chain, which is connected to the baseband signal processing unit.
混合波束赋形(hybrid beamforming)架构:一个阵列天线使用多个射频链路与基带信号处理单元相连,其中射频链路的数目小于天线阵元的数目,波束赋形通过射频模拟域的移相器和数字域的信号处理共同完成。如图2c所示,在图2c中N个阵元中每个阵元与模拟波束赋形单元连接,利用射频模拟域的移相器控制每路信号的相位偏移后经过I个RFchain与基带信号处理单元连接。Hybrid beamforming architecture: an array antenna is connected to the baseband signal processing unit using multiple radio frequency links, where the number of radio frequency links is less than the number of antenna elements, and the beamforming is passed through a phase shifter in the radio frequency analog domain It is done together with signal processing in the digital domain. As shown in Figure 2c, in Figure 2c, each of the N array elements is connected to an analog beamforming unit, and the phase shifter in the RF analog domain is used to control the phase shift of each signal through I RFchain and baseband. Signal processing unit connection.
示例性的,图2a-图2c中各个阵元之间以均匀线性阵列(Uniform Linear Array,ULA)为例进行描述,即各个阵元之间的间距相等。当然在实际过程中各个阵元之间的间距可以相等,也可以不相等,本申请实施例对此不做限定。Exemplarily, in FIG. 2a- FIG. 2c, each array element is described by taking a uniform linear array (Uniform Linear Array, ULA) as an example, that is, the spacing between each array element is equal. Of course, in the actual process, the distances between the array elements may be equal or unequal, which is not limited in this embodiment of the present application.
多信号分类算法(Multiple Signal Classification,MUSIC)算法是一种高分辨率的基于阵列天线的信号到达角(Angle of Arrival,AoA)估计算法。如图3所示,传统的MUSIC算法适用于数字波束赋形架构,每个阵元收到的射频信号通过各自的RF chain被转换为数字基带信号,MUSIC算法对这些数字基带信号进行处理,估计出信号AoA。The Multiple Signal Classification (MUSIC) algorithm is a high-resolution angle of arrival (Angle of Arrival, AoA) estimation algorithm based on an array antenna. As shown in Figure 3, the traditional MUSIC algorithm is suitable for the digital beamforming architecture. The RF signals received by each array element are converted into digital baseband signals through their respective RF chains. The MUSIC algorithm processes these digital baseband signals and estimates out signal AoA.
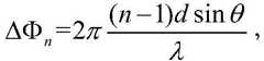
具体过程如下:如图3中的(a)所示,以平面波的信号AoA为θx为例,该平面波以θx到达接收机的ULA天线。该ULA天线由N个在一条直线上等间距排列的阵元组成,相邻阵元之间的间距为d。定义任意信号AoA θ以阵列的法线方向为参考方向。当信号AoA为法线方向时,θ=0°。当信号AoA顺时针旋转时,θ增大。当信号AoA逆时针旋转时,θ减小。因此,-90°<θ<90°。当0<θ<90°时,平面波最先到达阵元N,平面波最后到达阵元1,阵元n与阵元1之间的波程差为xn=(n-1)dsinθ,n=1,...,N。阵元序号越大,相位越超前,阵元n超前阵元1的相位差为同理,当-90°<θ<0°时,阵元n超前阵元1的相位差为:此时θ和△Φn为负值,其中,λ为信号载波的波长。为了描述上述性质,以阵元1为参考阵元,定义均匀直线天线阵的阵列响应矢量为:The specific process is as follows: As shown in (a) of FIG. 3 , taking the signal AoA of the plane wave as θx as an example, the plane wave reaches the ULA antenna of the receiver at θx . The ULA antenna consists of N array elements arranged at equal intervals on a straight line, and the interval between adjacent array elements is d. Define the arbitrary signal AoA θ with the normal direction of the array as the reference direction. When the signal AoA is in the normal direction, θ=0°. As the signal AoA rotates clockwise, θ increases. As the signal AoA rotates counterclockwise, θ decreases. Therefore, -90°<θ<90°. When 0<θ<90°, the plane wave arrives at array element N first, and the plane wave arrives at array element 1 last. The wave path difference between array element n and array element 1 is xn =(n-1)dsinθ,n= 1,...,N. The larger the array element number is, the more advanced the phase is. The phase difference of the array element n ahead of the array element 1 is: Similarly, when -90°<θ<0°, the phase difference of array element n ahead of array element 1 is: At this time, θ andΔΦn are negative values, where λ is the wavelength of the signal carrier. In order to describe the above properties, with array element 1 as the reference array element, the array response vector of the uniform linear antenna array is defined as:
对于一个信号AoA为θx的接收信号,其基带离散时间信号矢量模型可以表示为:y(m)=s(m)a(θx)+n(m)。其中,m表示采样时间,s(m)表示阵元1接收到的复数采样信号,n(m)表示噪声矢量。MUSIC算法利用接收到的阵列信号矢量y(m)来估计θx,具体步骤如下述步骤1-步骤5。For a received signal whose signal AoA is θx , its baseband discrete-time signal vector model can be expressed as: y(m)=s(m)a(θx )+n(m). Among them, m represents the sampling time, s(m) represents the complex sampling signal received by the array element 1, and n(m) represents the noise vector. The MUSIC algorithm uses the received array signal vector y(m) to estimate θx , and the specific steps are as follows in steps 1-5.
步骤1、用M个采样点估计接收信号矢量的互相关矩阵。Step 1. Use M sampling points to estimate the cross-correlation matrix of the received signal vector.
其中,Ryy表示互相关矩阵,M表示采样点数量。 Among them, Ryy represents the cross-correlation matrix, and M represents the number of sampling points.
步骤2、分解互相关矩阵Ryy的特征值。
Ryyqn=λnqn,n=1,...,N。其中,λ1≥λ2≥…≥λN≥0Ryy qn =λn qn , n=1, . . . , N. where λ1 ≥λ2 ≥…≥λN ≥0
步骤3、N-1个最小的特征值对应的特征向量张成一个噪声空间。Step 3. The eigenvectors corresponding to the N-1 smallest eigenvalues are stretched into a noise space.
Sn=[q2,...,qN],其中,Sn表示噪声空间。Sn = [q2 , . . . , qN ], whereSn represents the noise space.
其中,阵列响应矢量a(θx)与Sn相互正交,即Among them, the array response vector a(θx ) andSn are orthogonal to each other, namely
步骤4、在一定的角度范围内,对θ值进行搜索,求得空间谱函数Step 4. Search the θ value within a certain angle range to obtain the spatial spectral function
步骤5、利用上述正交性可知,空间谱函数的峰值所对应的θ值即为θx的估计值。Step 5. Using the above-mentioned orthogonality, it can be known that the θ value corresponding to the peak value of the spatial spectral function is the estimated value of θx .
为了降低计算复杂度,在进行数字信号处理时,可以先进行数字波束赋形,将接收信号从阵元空间转换为波束空间(降维)。如图3中的(b)所示,数字波束赋形矩阵W的维度是N×K,其中K<N,只要其满足条件WHW=I,上述MUSIC算法所利用的正交关系就依然满足,MUSIC算法可以利用降维之后的信号估计出信号AoA。In order to reduce the computational complexity, when digital signal processing is performed, digital beamforming can be performed first to convert the received signal from the array element space to the beam space (dimension reduction). As shown in (b) of Figure 3, the dimension of the digital beamforming matrix W is N×K, where K<N, as long as it satisfies the condition WH W=I, the orthogonal relationship used by the above MUSIC algorithm is still Satisfaction, the MUSIC algorithm can use the signal after dimension reduction to estimate the signal AoA.
如图4所示,图4示出了本申请实施例提供的一种通信系统的结构示意图。该系统包括:一个或多个发送设备(例如,发送设备10、发送设备20和发送设备30)和与该一个或多个发送设备通信的至少一个接收设备40(图4中仅示出了三个发送设备,在实际场景中可以包括三个以上或者三个以下的发送设备)。图4中以发送设备为终端,接收设备40为基站为例。As shown in FIG. 4 , FIG. 4 shows a schematic structural diagram of a communication system provided by an embodiment of the present application. The system includes: one or more sending devices (eg, sending
本申请实施例中的接收设备40和发送设备中配置有阵列天线。Array antennas are configured in the receiving
本申请实施例结合发送设备和接收设备描述各个实施例,其中,发送设备可以为接入设备,接收设备为终端;或者,发送设备可以为终端,接收设备可以为接入设备。例如,在本申请实施例中,以发送设备为终端,接收设备可以为接入设备(例如,基站)为例。或者,发送设备可以为终端(例如,UE),接收设备可以为接入设备(例如,基站)。当然对于中继系统,该接收设备40和发送设备可以为中继基站。或者,该接收设备40为宿主基站,发送设备为中继基站。或者接收设备40为中继基站,发送设备为终端。The embodiments of this application describe various embodiments in conjunction with a sending device and a receiving device, where the sending device may be an access device and the receiving device may be a terminal; or, the sending device may be a terminal and the receiving device may be an access device. For example, in this embodiment of the present application, a sending device is used as a terminal, and a receiving device may be an access device (eg, a base station) as an example. Alternatively, the transmitting device may be a terminal (eg, a UE), and the receiving device may be an access device (eg, a base station). Of course, for a relay system, the receiving
在本申请实施例中,发送设备可以分布于整个网络中,发送设备可以是静态的或移动的。In this embodiment of the present application, the sending device may be distributed in the entire network, and the sending device may be static or mobile.
应理解,发送设备向接收设备40发送的数据或者控制信息可以直接到达接收设备40,当然发送设备发送的数据或者控制信息也可以经过障碍物(例如反射体)之后再到达接收设备40。对于接收设备40而言其可以具有至少一个接收波束(beam),该至少一个接收波束中每个接收波束可以在其覆盖范围内接收来自发送设备的数据或者控制信息。本申请实施例中可以将用于发送控制信息或数据的波束称为传输波束。将用于接收控制信息或数据的波束称为接收波束。It should be understood that the data or control information sent by the sending device to the receiving
本申请实施例中以接收设备40为基站为例,基站可以通过beamforming技术(如数字(Digital)beamforming或者模拟(Analog)beamforming)来形成多个传输波束或者接收波束。其中,传输波束可以用于基站向终端发送下行控制信息或者下行数据。接收波束可以用于基站接收来自终端的上行控制信息或者上行数据。In the embodiment of the present application, the receiving
各个传输波束或接收波束覆盖的角度可以相同或者不同,不同覆盖角度的传输波束或接收波束可以存在重叠部分。例如,基站可以用覆盖角度较宽的传输波束发送下行控制信息,用覆盖角度较窄的传输波束发送下行数据。The angles covered by each transmission beam or reception beam may be the same or different, and there may be overlapping portions of transmission beams or reception beams with different coverage angles. For example, the base station may use a transmission beam with a wider coverage angle to send downlink control information, and use a transmission beam with a narrow coverage angle to send downlink data.
以发送设备为终端为例,终端也可以通过beamforming技术形成多个接收波束或多个传输波束,对应于基站所使用的传输波束,确定使用某一个或者多个接收波束来接收。终端可以在其中的一个或者多个接收波束或者接收波束集或波束组的覆盖范围内接收基站发送的下行信息。为描述方便,本申请实施例中所涉及的波束可以指代单个或者多个波束。Taking the transmitting device as the terminal as an example, the terminal can also form multiple receiving beams or multiple transmission beams through beamforming technology, and determine to use one or more receiving beams for reception corresponding to the transmission beams used by the base station. The terminal may receive downlink information sent by the base station within the coverage of one or more receiving beams or receiving beam sets or beam groups. For the convenience of description, the beam involved in this embodiment of the present application may refer to a single beam or multiple beams.
本申请实施例中的波束可以理解为空间资源,可以指具有能量传输指向性的发送或接收预编码向量。并且,该发送或接收预编码向量能够通过索引信息进行标识。其中,能量传输指向性可以指在一定空间位置内,接收经过该预编码向量进行预编码处理后的信号具有较好的接收功率,如满足接收解调信噪比等;能量传输指向性也可以指通过该预编码向量接收来自不同空间位置发送的相同信号具有不同的接收功率。The beam in this embodiment of the present application may be understood as a space resource, which may refer to a transmit or receive precoding vector with energy transmission directivity. And, the transmitted or received precoding vector can be identified by index information. Among them, the energy transmission directivity may refer to a certain spatial position, the received signal after precoding processing by the precoding vector has good reception power, such as satisfying the signal-to-noise ratio of reception and demodulation, etc.; the energy transmission directivity may also be It means that the same signal received from different spatial positions through the precoding vector has different received power.
可选地,终端或基站可以有不同的预编码向量,不同的终端或基站也可以有不同的预编码向量,即对应不同的波束。Optionally, terminals or base stations may have different precoding vectors, and different terminals or base stations may also have different precoding vectors, that is, corresponding to different beams.
针对终端或基站的配置或者能力,一个终端或基站在同一时刻可以使用多个不同的预编码向量中的一个或者多个,即同时可以形成一个或多个波束。波束的信息可以通过索引信息进行标识。可选地,所述索引信息可以对应配置终端的资源标识(identity,ID),比如,所述索引信息可以对应配置的信道状态信息参考信号(Channel statusinformation Reference Signal,CSI-RS)的ID或者资源,也可以对应配置的上行探测参考信号(Sounding Reference Signal,SRS)的ID或者资源。或者,可选地,所述索引信息也可以是通过波束承载的信号或信道显示或隐式承载的索引信息,比如,所述索引信息可以是通过波束发送的同步信号或者广播信道指示该波束的索引信息。According to the configuration or capability of a terminal or a base station, a terminal or a base station may use one or more of multiple different precoding vectors at the same time, that is, one or more beams may be formed at the same time. The information of the beam can be identified by index information. Optionally, the index information may correspond to the resource identifier (identity, ID) of the configured terminal, for example, the index information may correspond to the ID or resource of the configured channel status information reference signal (Channel status information Reference Signal, CSI-RS) , and may also correspond to the ID or resource of the configured uplink sounding reference signal (Sounding Reference Signal, SRS). Or, optionally, the index information may also be index information displayed or implicitly carried by a signal or channel carried by a beam, for example, the index information may be a synchronization signal sent by a beam or a broadcast channel indicating the beam index information.
应理解,如图4所示的通信系统可以用于5G NR毫米波通信系统中,任意两个有通信需求的节点之间进行波束对准。这两个节点可以分别是基站和终端,在5G NR中继系统中,也可以是中继基站之间、中继基站和终端之间、中继基站和宿主基站之间进行波束训练和对准,在5G NR D2D通信系统中,也可以是两个终端之间进行波束训练和对准,即发送设备和接收设备均为终端。本申请实施例还可用于基于IEEE 802.11ad/ay、IEEE 802.15.3c标准的毫米波无线局域网和个域网中,任意两个有通信需求的节点之间进行波束训练和对准。It should be understood that the communication system shown in FIG. 4 can be used in a 5G NR millimeter wave communication system, and beam alignment is performed between any two nodes that have communication requirements. These two nodes can be a base station and a terminal respectively. In the 5G NR relay system, beam training and alignment can also be performed between relay base stations, between relay base stations and terminals, and between relay base stations and donor base stations. , in the 5G NR D2D communication system, beam training and alignment can also be performed between two terminals, that is, both the transmitting device and the receiving device are terminals. The embodiments of the present application can also be used for beam training and alignment between any two nodes that have communication requirements in millimeter-wave wireless local area networks and personal area networks based on the IEEE 802.11ad/ay and IEEE 802.15.3c standards.
为了克服毫米波信号严重的路径损耗,一个或多个发送设备和接收设备40都配置有阵列天线。当接收设备40(例如,基站)与一个或多个发送设备(例如,终端)需要进行数据传输时,首先需要进行波束对准。波束对准包含终端侧的波束指向和基站侧波束指向的确定,由于终端侧波束指向的确定可以直接探测基站侧广播的下行参考信号,进而利用本申请实施例中描述的估计信号到达角的方式指导终端侧的波束指向,更为直接和简单。因此,下述实施例以基站利用每个终端发送的上行参考信号确定基站侧波束指向的过程为例。In order to overcome the severe path loss of mmWave signals, one or more of the transmitting and receiving
终端(terminal)是一种向用户提供语音和/或数据连通性的设备。例如,具有无线连接功能的手持式设备、车载设备等。终端也可以称为:终端设备(terminal Equipment)、用户设备(User Equipment,UE)、接入终端(Access Terminal)、用户单元(User Unit)、用户站(User Station)、移动站(Mobile Station)、移动台(Mobile)、远方站(RemoteStation)、远程终端(Remote Terminal)、移动设备(Mobile Equipment)、用户终端(UserTerminal)、无线通信设备(Wireless Telecom Equipment)、用户代理(User Agent)、用户装备(User Equipment)或用户装置。终端设备可以是无线局域网(Wireless Local AreaNetworks,WLAN)中的站点(Station,STA),可以是蜂窝电话、无绳电话、会话启动协议(Session Initiation Protocol,SIP)电话、无线本地环路(Wireless Local Loop,WLL)站、个人数字处理(Personal Digital Assistant,PDA)设备、具有无线通信功能的手持设备、计算设备或连接到无线调制解调器的其它处理设备、车载设备、可穿戴设备以及下一代通信系统(例如,第五代(Fifth-Generation,5G)通信网络)中的终端或者未来演进的公共陆地移动网络(Public Land Mobile Network,PLMN)网络中的终端等。其中,5G还可以被称为新空口(New Radio,NR)。在本申请中,终端所执行的方法具体可以由所述终端中的芯片来实现。A terminal is a device that provides voice and/or data connectivity to a user. For example, handheld devices, in-vehicle devices, etc. with wireless connectivity. A terminal may also be referred to as: terminal equipment (terminal Equipment), user equipment (User Equipment, UE), access terminal (Access Terminal), user unit (User Unit), user station (User Station), mobile station (Mobile Station) , Mobile Station (Mobile), Remote Station (RemoteStation), Remote Terminal (Remote Terminal), Mobile Equipment (Mobile Equipment), User Terminal (User Terminal), Wireless Telecom Equipment (Wireless Telecom Equipment), User Agent (User Agent), User Equipment (User Equipment) or user equipment. The terminal device may be a station (Station, STA) in a wireless local area network (Wireless Local Area Networks, WLAN), may be a cellular phone, a cordless phone, a Session Initiation Protocol (Session Initiation Protocol, SIP) phone, a wireless local loop (Wireless Local Loop) , WLL) stations, Personal Digital Assistant (PDA) devices, handheld devices with wireless communication capabilities, computing devices or other processing devices connected to wireless modems, in-vehicle devices, wearable devices, and next-generation communication systems such as , a terminal in a fifth-generation (Fifth-Generation, 5G) communication network) or a terminal in a future evolved public land mobile network (Public Land Mobile Network, PLMN) network, and the like. Among them, 5G can also be called New Radio (New Radio, NR). In this application, the method executed by the terminal may be specifically implemented by a chip in the terminal.
作为示例,在本发明实施例中,该终端还可以是可穿戴设备。可穿戴设备也可以称为穿戴式智能设备,是应用穿戴式技术对日常穿戴进行智能化设计、开发出可以穿戴的设备的总称,如眼镜、手套、手表、服饰及鞋等。可穿戴设备即直接穿在身上,或是整合到用户的衣服或配件的一种便携式设备。可穿戴设备不仅仅是一种硬件设备,更是通过软件支持以及数据交互、云端交互来实现强大的功能。广义穿戴式智能设备包括功能全、尺寸大、可不依赖智能手机实现完整或者部分的功能,例如:智能手表或智能眼镜等,以及只专注于某一类应用功能,需要和其它设备如智能手机配合使用,如各类进行体征监测的智能手环、智能首饰等。As an example, in this embodiment of the present invention, the terminal may also be a wearable device. Wearable devices can also be called wearable smart devices, which are the general term for the intelligent design of daily wear and the development of wearable devices using wearable technology, such as glasses, gloves, watches, clothing and shoes. A wearable device is a portable device that is worn directly on the body or integrated into the user's clothing or accessories. Wearable device is not only a hardware device, but also realizes powerful functions through software support, data interaction, and cloud interaction. In a broad sense, wearable smart devices include full-featured, large-scale, complete or partial functions without relying on smart phones, such as smart watches or smart glasses, and only focus on a certain type of application function, which needs to cooperate with other devices such as smart phones. Use, such as all kinds of smart bracelets, smart jewelry, etc. for physical sign monitoring.
接入设备可以是用于与终端通信的设备。接入设备也可以称为无线接入设备或网络设备,即与终端通过无线技术通信的设备。接入设备可以是无线局域网(Wireless LocalArea Networks,WLAN)中的接入点(access point,AP),GSM或CDMA中的基站(BaseTransceiver Station,BTS),也可以是WCDMA中的基站(NodeB,NB),还可以是LTE中的演进型基站(evolved Node B,eNB或eNodeB),或者中继站或接入点,或者车载设备、可穿戴设备以及5G无线中继通信系统中的下一代节点B(The Next Generation Node B,gNB)、未来无线中继通信系统中的基站或无线网(wireless-fidelity,WiFi)系统中的接入节点等,本申请的实施例对接入设备所采用的具体技术和具体设备形态不做限定。在本申请中,接入设备所执行的方法具体可以由所述接入设备中的芯片来实现。An access device may be a device used to communicate with a terminal. An access device may also be referred to as a wireless access device or a network device, that is, a device that communicates with a terminal through wireless technology. The access device may be an access point (AP) in a wireless local area network (Wireless Local Area Networks, WLAN), a base station (BaseTransceiver Station, BTS) in GSM or CDMA, or a base station (NodeB, NB) in WCDMA ), it can also be an evolved Node B (evolved Node B, eNB or eNodeB) in LTE, or a relay station or access point, or a next-generation Node B (The Next Generation Node B, gNB), the base station in the future wireless relay communication system or the access node in the wireless network (wireless-fidelity, WiFi) system, etc., the embodiments of the present application adopt the specific technology and The specific device form is not limited. In this application, the method executed by the access device may be specifically implemented by a chip in the access device.
另外,在本发明实施例中,接入设备为小区提供服务,终端通过该小区使用的传输资源(例如,频域资源,或者说,频谱资源)与接入设备进行通信。该小区可以是接入设备(例如基站)对应的小区,小区可以属于宏基站,也可以属于小小区(small cell)对应的基站,这里的小小区可以包括:城市小区(Metro cell)、微小区(Micro cell)、微微小区(Picocell)、毫微微小区(Femto cell)等,这些小小区具有覆盖范围小和发射功率低的特点,适用于提供高速率的数据传输服务。In addition, in this embodiment of the present invention, an access device provides services for a cell, and a terminal communicates with the access device through transmission resources (eg, frequency domain resources, or spectrum resources) used by the cell. The cell may be a cell corresponding to an access device (such as a base station), and the cell may belong to a macro base station or a base station corresponding to a small cell. The small cell here may include: a metro cell, a micro cell (Micro cell), pico cell (Picocell), femto cell (Femto cell), etc. These small cells have the characteristics of small coverage and low transmit power, and are suitable for providing high-speed data transmission services.
本发明实施例提供的方法和装置,可以应用于终端或接入设备,该终端或接入设备包括硬件层、运行在硬件层之上的操作系统层,以及运行在操作系统层上的应用层。该硬件层包括中央处理器(central processing unit,CPU)、内存管理单元(memorymanagement unit,MMU)和内存(也称为主存)等硬件。该操作系统可以是任意一种或多种通过进程(process)实现业务处理的计算机操作系统,例如,Linux操作系统、Unix操作系统、Android操作系统、iOS操作系统或windows操作系统等。该应用层包含浏览器、通讯录、文字处理软件、以及即时通信软件等应用。并且,在本发明实施例中,传输信号的方法的执行主体的具体结构,本发明实施例并未特别限定,只要能够通过运行记录有本发明实施例的传输信号的方法的代码的程序,以根据本发明实施例的传输信号的方法进行通信即可,例如,本发明实施例的无线通信的方法的执行主体可以是终端或接入设备,或者,是终端或接入设备中能够调用程序并执行程序的功能模块。The method and apparatus provided by the embodiments of the present invention can be applied to a terminal or an access device, where the terminal or access device includes a hardware layer, an operating system layer running on the hardware layer, and an application layer running on the operating system layer . The hardware layer includes hardware such as a central processing unit (CPU), a memory management unit (MMU), and memory (also called main memory). The operating system may be any one or more computer operating systems that implement business processing through processes, such as a Linux operating system, a Unix operating system, an Android operating system, an iOS operating system, or a Windows operating system. The application layer includes applications such as browsers, address books, word processing software, and instant messaging software. In addition, in the embodiment of the present invention, the specific structure of the execution body of the method for transmitting a signal is not particularly limited in the embodiment of the present invention, as long as the program that records the code of the method for transmitting a signal according to the embodiment of the present invention can be executed to It is sufficient to perform communication according to the method for transmitting signals in the embodiment of the present invention. For example, the execution subject of the wireless communication method in the embodiment of the present invention may be a terminal or an access device, or a terminal or an access device that can call a program and The function module that executes the program.
此外,本发明实施例的各个方面或特征可以实现成方法、装置或使用标准编程和/或工程技术的制品。本申请中使用的术语“制品”涵盖可从任何计算机可读器件、载体或介质访问的计算机程序。例如,计算机可读介质可以包括,但不限于:磁存储器件(例如,硬盘、软盘或磁带等),光盘(例如,压缩盘(compact disc,CD)、数字通用盘(digital versatiledisc,DVD)等),智能卡和闪存器件(例如,可擦写可编程只读存储器(erasableprogrammable read-only memory,EPROM)、卡、棒或钥匙驱动器等)。另外,本文描述的各种存储介质可代表用于存储信息的一个或多个设备和/或其它机器可读介质。术语“机器可读介质”可包括但不限于,无线信道和能够存储、包含和/或承载指令和/或数据的各种其它介质。Furthermore, various aspects or features of embodiments of the present invention may be implemented as methods, apparatus or articles of manufacture using standard programming and/or engineering techniques. The term "article of manufacture" as used in this application encompasses a computer program accessible from any computer readable device, carrier or medium. For example, computer readable media may include, but are not limited to, magnetic storage devices (eg, hard disks, floppy disks, or magnetic tapes, etc.), optical disks (eg, compact discs (CDs), digital versatile discs (DVDs), etc. ), smart cards and flash memory devices (eg, erasable programmable read-only memory (EPROM), cards, sticks or key drives, etc.). Additionally, various storage media described herein can represent one or more devices and/or other machine-readable media for storing information. The term "machine-readable medium" may include, but is not limited to, wireless channels and various other media capable of storing, containing, and/or carrying instructions and/or data.
应理解,本申请实施例提供的一种确定信号到达角的方法中,由接收设备执行的所有步骤也可以由应用于接收设备中的芯片来执行,由发送设备执行的所有步骤也可以由应用于发送设备中的芯片来执行。下述实施例以接收设备和发送设备交互为例进行说明。It should be understood that, in the method for determining the angle of arrival of a signal provided by the embodiment of the present application, all steps performed by the receiving device may also be performed by a chip applied to the receiving device, and all steps performed by the sending device may also be performed by the application It is executed by the chip in the sending device. The following embodiments take the interaction between a receiving device and a sending device as an example for description.
如图5所示,图5示出了一种确定信号到达角的方法的具体流程示意图,该方法包括:As shown in FIG. 5, FIG. 5 shows a specific flowchart of a method for determining the angle of arrival of a signal, and the method includes:
步骤101、发送设备确定参考信号资源和在参考信号资源发送的参考信号的重复次数。Step 101: The sending device determines the reference signal resource and the repetition times of the reference signal sent in the reference signal resource.
示例性的,步骤101中的发送设备可以如图4中的终端。Exemplarily, the sending device in step 101 may be a terminal as shown in FIG. 4 .
应理解,本申请实施例中的参考信号资源为特定的无线帧上的参考信号资源。该特定的无线帧上的参考信号资源可用于发送设备向接收设备发送参考信号。It should be understood that the reference signal resources in the embodiments of the present application are reference signal resources on a specific radio frame. The reference signal resources on the specific radio frame can be used by the transmitting device to transmit the reference signal to the receiving device.
示例性的,在5G系统中,该特定的无线帧可以为5G系统所定义的上行符号或上行时隙或上行子帧。在LTE系统中,该特定的无线帧可以为LTE系统所定义的上行子帧或特殊子帧。Exemplarily, in a 5G system, the specific radio frame may be an uplink symbol, an uplink time slot, or an uplink subframe defined by the 5G system. In the LTE system, the specific radio frame may be an uplink subframe or a special subframe defined by the LTE system.
该参考信号资源可以表示一组用于该发送设备发送参考信号的资源集合。在时域上,该参考信号资源可以持续一个或多个时间单元,在5G系统或LTE系统中,该时间单元可以为正交频分复用技术(Orthogonal Frequency Division Multiplexing,OFDM)符号,该一个或多个时间单元可以连续也可以不连续。在频域上,该参考信号资源可以包括一个或多个频率单元,在5G系统或LTE系统中,该频率单元可以为资源块(Resource Block,RB),该一个或者多个频率单元可以连续也可以不连续。The reference signal resource may represent a set of resources for the transmitting device to transmit the reference signal. In the time domain, the reference signal resource may last for one or more time units. In the 5G system or the LTE system, the time unit may be an orthogonal frequency division multiplexing (Orthogonal Frequency Division Multiplexing, OFDM) symbol. The one or multiple time units may or may not be consecutive. In the frequency domain, the reference signal resource may include one or more frequency units. In a 5G system or an LTE system, the frequency unit may be a resource block (Resource Block, RB), and the one or more frequency units may be continuous or continuous. Can be discontinuous.
示例性的,参考信号资源包括资源1、资源2和资源3,该资源1和资源2连续,资源2和资源3不连续。该资源1、资源2和资源3可用于发送相同的参考信号。Exemplarily, the reference signal resources include resource 1,
步骤102、发送设备根据重复次数在参考信号资源上向接收设备发送多次相同的参考信号。Step 102: The sending device sends the same reference signal to the receiving device multiple times on the reference signal resource according to the number of repetitions.
具体的,该多次参考信号用于计算发送设备的信号到达角。Specifically, the multiple reference signals are used to calculate the signal arrival angle of the sending device.
本申请实施例中的步骤102也可以具有如下表述:对于一个参考信号,发送设备在参考信号资源上按照重复次数重复向接收设备发送该参考信号。对于同一个发送设备而言,其每次向接收设备发送的参考信号所使用的参考信号资源可以相同,也可以不相同,本申请实施例对此不作限定。Step 102 in this embodiment of the present application may also have the following expression: For a reference signal, the sending device repeatedly sends the reference signal to the receiving device on the reference signal resource according to the repetition times. For the same sending device, the reference signal resources used by the reference signal sent to the receiving device each time may be the same or different, which is not limited in this embodiment of the present application.
本申请实施例中发送设备重复向接收设备发送的多次参考信号在时间上可以连续也可以不连续。例如,对于时间不连续的情况,则接收设备发送完一次参考信号之后,可以在预设时间之后在发送下一次参考信号。In this embodiment of the present application, the reference signals repeatedly sent by the sending device to the receiving device may be continuous or discontinuous in time. For example, in the case of discontinuous time, after the receiving device sends the reference signal once, it may send the next reference signal after a preset time.
示例性的,以参考信号的重复次数为2为例,则发送设备可以在参考信号资源1上向接收设备发送第1次参考信号,发送设备在参考信号资源2上向接收设备发送第2次参考信号。或者,发送设备依次在参考信号资源2上向接收设备发送第1次参考信号和第2次参考信号。Exemplarily, taking the number of repetitions of the reference signal as 2 as an example, the sending device may send the first reference signal to the receiving device on the reference signal resource 1, and the sending device may send the second reference signal to the receiving device on the
本申请实施例中发送设备发送的多次参考信号中每次参考信号通过L个传播路径到达接收设备,对应L个信号到达角。其中,L为正整数。In the embodiment of the present application, in the multiple times of reference signals sent by the sending device, each reference signal reaches the receiving device through L propagation paths, corresponding to L signal arrival angles. Among them, L is a positive integer.
应理解,如果参考信号的重复次数为K,则发送设备在参考信号资源上将同一个参考信号重复K次。K为大于或等于1的整数。It should be understood that if the number of repetitions of the reference signal is K, the transmitting device repeats the same reference signal K times on the reference signal resource. K is an integer greater than or equal to 1.
步骤103、接收设备依次切换多个接收波束接收发送设备在参考信号资源上发送的多次相同的参考信号,得到多次接收信号。多个接收波束的波束方向不同,多个接收波束的波束方向与多次参考信号一一对应。Step 103: The receiving device sequentially switches the multiple receiving beams to receive the same reference signal sent by the sending device on the reference signal resource for multiple times to obtain multiple received signals. The beam directions of the multiple receiving beams are different, and the beam directions of the multiple receiving beams are in one-to-one correspondence with the multiple reference signals.
例如,接收设备可以为如图4中的接入设备。For example, the receiving device may be the access device as shown in FIG. 4 .
应理解,同一个参考信号通过不同的传播路径传播至接收设备,接收设备对同一个参考信号使用多个不同的接收波束接收时,得到的多次接收信号不同。例如,该多次接收信号的采样点序列在幅度和/或相位上存在差异。It should be understood that the same reference signal is propagated to the receiving device through different propagation paths, and when the receiving device uses multiple different receiving beams to receive the same reference signal, the multiple received signals obtained are different. For example, the sampling point sequences of the multiple received signals differ in amplitude and/or phase.
在一种实现中,步骤103具体可以通过以下方式实现:接收设备通过依次切换多个接收波束,以采用多个接收波束中每个接收波束接收每个接收波束各自对应的参考信号。In one implementation, step 103 may be specifically implemented in the following manner: the receiving device switches the multiple receive beams in sequence, so as to use each receive beam in the multiple receive beams to receive the reference signal corresponding to each receive beam.
应理解,该多个接收波束中不同的接收波束具有不同的波束方向。当然,该不同的接收波束的接收方向可以存在部分重叠,换句话说不同的接收波束的接收方向可以具有交集。It should be understood that different receiving beams in the plurality of receiving beams have different beam directions. Of course, the receiving directions of the different receiving beams may partially overlap, in other words, the receiving directions of the different receiving beams may have an intersection.
示例性的,以发送设备在同一个参考信号资源1上向接收设备重复发送多次相同的参考信号为例,接收设备具有接收波束1、接收波束2以及接收波束3。其中,接收波束1用于接收发送设备在参考信号资源1上发送的第1次参考信号,接收波束2用于接收发送设备在参考信号资源1上发送的第2次参考信号,接收波束3用于接收发送设备在参考信号资源1上发送的第3次参考信号。例如,接收设备采用接收波束1接收第1次参考信号之后,可以将接收波束从接收波束1切换至接收波束2以接收发送设备在参考信号资源1上发送的第2次参考信号,在接收到第2次参考信号之后可以将接收波束从接收波束2切换至接收波束3,以采用接收波束3接收第3次参考信号。Exemplarily, taking the sending device repeatedly sending the same reference signal to the receiving device multiple times on the same reference signal resource 1 as an example, the receiving device has a receiving beam 1 , a
步骤104、接收设备对多次接收信号执行数字信号处理,得到多次接收信号对应的接收信号矩阵。Step 104: The receiving device performs digital signal processing on the multiple times of received signals to obtain a received signal matrix corresponding to the multiple times of received signals.
步骤105、接收设备对接收信号矩阵中的所有信号元素执行波束映射操作,得到波束映射矩阵。Step 105: The receiving device performs a beam mapping operation on all signal elements in the received signal matrix to obtain a beam mapping matrix.
步骤106、接收设备根据波束映射矩阵以及预设算法,确定发送设备的信号到达角。Step 106: The receiving device determines the angle of arrival of the signal of the transmitting device according to the beam mapping matrix and the preset algorithm.
本申请实施例提供的一种确定信号到达角的方法,由于接收设备通过依次切换多个接收波束以接收发送设备在参考信号资源上发送的多次相同的参考信号,得到多次接收信号,由于信号到达角的估计不依赖波束的精细扫描,这样接收设备在探测发送设备发送的多次参考信号时,无需进行精细的波束扫描,通过依次切换多个接收波束便可以实现粗波束扫描。然后依赖数字信号处理以及预设算法便可以估计信号到达角。这样可以大大减小波束训练开销,实现快速波束训练,从而提高毫米波通信系统的可靠性和稳定性,还有助于实现更为精细的拓扑管理、路由计算和移动性管理。此外,对于本申请实施例提供的方法不仅仅依赖接收信号强度判断最优波束指向,而是利用对多次接收信号执行数字信号处理以估计出AoA,如此一来,既可以获得比基于接收信号强度的波束训练方法更高的精度,还无需进行精细的波束扫描,从而实现既快速又准确的波束训练性能。In the method for determining the angle of arrival of a signal provided by the embodiment of the present application, the receiving device obtains multiple received signals by sequentially switching multiple receiving beams to receive the same reference signal sent by the sending device on the reference signal resource multiple times. The estimation of the angle of arrival of the signal does not depend on the fine scanning of the beam, so that the receiving device does not need to perform the fine beam scanning when detecting multiple reference signals sent by the sending device, and can realize the coarse beam scanning by sequentially switching multiple receiving beams. The angle of arrival of the signal can then be estimated by relying on digital signal processing and preset algorithms. In this way, beam training overhead can be greatly reduced, and fast beam training can be achieved, thereby improving the reliability and stability of the millimeter-wave communication system, and also helping to achieve more refined topology management, routing calculation, and mobility management. In addition, the method provided by the embodiment of the present application does not only rely on the received signal strength to determine the optimal beam pointing, but uses digital signal processing on multiple received signals to estimate the AoA. Intensity beam training methods provide greater accuracy and also eliminate the need for fine beam scanning, resulting in fast and accurate beam training performance.
在另一种可能的实施例中,如图6所示,本申请实施例提供的方法包括:步骤204、步骤205、步骤206、步骤207、步骤208以及步骤209。其中,步骤204-步骤209可以对应参考步骤101-步骤106中的描述,此处不再赘述。在图6所示的实施例中,在步骤204之前还包括:In another possible embodiment, as shown in FIG. 6 , the method provided by this embodiment of the present application includes: step 204 , step 205 , step 206 , step 207 , step 208 , and step 209 . Wherein, steps 204 to 209 may correspond to the descriptions in reference to steps 101 to 106, which will not be repeated here. In the embodiment shown in FIG. 6, before step 204, it further includes:
步骤201、接收设备获取切换波束码本和虚拟波束码本。Step 201: The receiving device acquires the switched beam codebook and the virtual beam codebook.
示例性的,切换波束码本可以为N×K维的码本该N×K维的码本中每一列对应一个波束赋形向量,一个波束赋形向量对应了一组移相器相移值。N表示阵元数量,K个波束赋形向量形成的波束将整个扇区对应的角度范围分为K份。K的大小取决于阵元个数N以及当前小区内的信道状况,阵元数量越少、信道状况越好,则所需要的K越小。在已有的利用接收信号强度的波束训练机制中,波束训练的精度和波束切换或扫描的次数是成正比的,即波束切换的次数越多,波束训练的精度越高,要想获得较高的波束训练精度,就需要进行非常精细的波束切换或扫描,造成极大的开销。Exemplarily, the switching beam codebook may be an N×K-dimensional codebook Each column in the N×K-dimensional codebook corresponds to a beamforming vector, and a beamforming vector corresponds to a set of phase shifter phase shift values. N represents the number of array elements, and the beam formed by the K beamforming vectors divides the angle range corresponding to the entire sector into K parts. The size of K depends on the number of array elements N and the channel condition in the current cell. The smaller the number of array elements and the better the channel condition, the smaller the required K is. In the existing beam training mechanism using received signal strength, the accuracy of beam training is proportional to the number of beam switching or scanning, that is, the more the number of beam switching, the higher the accuracy of beam training. If the beam training accuracy is high, very fine beam switching or scanning is required, resulting in great overhead.
本申请实施例中切换波束码本和虚拟波束码本可以是接收设备自己建立的,也可以是预存储在接收设备中的。In the embodiment of the present application, the switching beam codebook and the virtual beam codebook may be established by the receiving device itself, or may be pre-stored in the receiving device.
在本申请实施例中,由于不依赖接收信号强度确定波束指向,这里的波束切换次数可以大大降低,只依赖波束粗扫搜集上来的信号,就可以通过数字信号处理的方式估计出精确的信号AoA,用信号AoA指导波束训练。In the embodiment of the present application, since the beam pointing is determined without relying on the received signal strength, the number of beam switching here can be greatly reduced, and the accurate signal AoA can be estimated by digital signal processing only by relying on the signals collected by the rough scan of the beam. , using the signal AoA to guide beam training.
示例性的,虚拟波束码本可以为N×B维的码本其中,L<B<K,L是发送设备上行传输时所经历的路径个数。B的大小取决于当前环境中散射体的多少,环境中的散射体造成的多径分量L越多,则所需要的B越大。换句话说,对于一个已经配置的B的值,意味着在当前配置下,可以估计出的上行传输路径个数最多为B-1。码本中的每一列满足关系意味着虚拟波束码本中的每一列所对应的虚拟波束方向满足其中,c表示光速,f表示载波频率,d表示阵元间距。Exemplarily, the virtual beam codebook may be an N×B-dimensional codebook Wherein, L<B<K, L is the number of paths experienced by the sending device during uplink transmission. The size of B depends on the number of scatterers in the current environment. The more multipath components L caused by the scatterers in the environment, the greater the required B. In other words, for an already configured value of B, it means that under the current configuration, the number of uplink transmission paths that can be estimated is at most B-1. Each column in the codebook satisfies the relation It means that the virtual beam direction corresponding to each column in the virtual beam codebook satisfies in, c represents the speed of light, f represents the carrier frequency, and d represents the distance between the array elements.
相应的,本申请实施例步骤103或步骤206中的多个接收波束的波束方向由切换波束码本确定,切换波束码本包括一列或多列波束赋形向量,一列或多列波束赋形向量中每列波束赋形向量对应一组移相器相移值,每列波束赋形向量用于确定一个接收波束的波束方向。具体的,切换波束码本可以参考下述实施例中的描述,此处不再赘述。Correspondingly, the beam directions of the multiple receiving beams in step 103 or step 206 in this embodiment of the present application are determined by the switching beam codebook, and the switching beam codebook includes one or more columns of beamforming vectors, and one or more columns of beamforming vectors. Each column of beamforming vectors corresponds to a set of phase shifter phase shift values, and each column of beamforming vectors is used to determine the beam direction of a receiving beam. Specifically, for the switching beam codebook, reference may be made to the description in the following embodiments, which will not be repeated here.
由于本申请实施例提供的方法适用的场景不同,步骤206的具体实现也存在差异,因此下述将结合不同的场景分别介绍步骤206的具体实现:Since the applicable scenarios of the methods provided in the embodiments of the present application are different, the specific implementation of step 206 is also different. Therefore, the following will introduce the specific implementation of step 206 in combination with different scenarios:
场景1)、发送设备和接收设备的阵列天线架构为采用模拟波束赋形架构,发送设备和接收设备采用频分多址(frequency division multiple access,FDMA)技术或正交频分多址(Orthogonal Frequency Division Multiple Access,OFDMA)技术通信。Scenario 1), the array antenna architecture of the transmitting device and the receiving device adopts an analog beamforming architecture, and the transmitting device and the receiving device adopt frequency division multiple access (frequency division multiple access, FDMA) technology or orthogonal frequency division multiple access (Orthogonal Frequency Division Multiple Access (Orthogonal Frequency Division Multiple Access) Division Multiple Access, OFDMA) technology communication.
在一种可能的实现方式中,步骤206具体可以通过下述方式具体实现:接收设备使用不同指向的接收波束对该发送设备和其他发送设备同时发送的多次参考信号进行检测。具体来说,接收设备顺次使用切换波束码本W中的第1到第K个波束赋形向量来同时检测该发送设备和其他发送设备发送的多次参考信号。每个接收波束持续一个OFDM符号,该OFDM符号与发送设备发送的参考信号所占用的OFDM符号一一对应。最终得到多次参考信号中每次参考信号所对应的接收信号。例如,在场景1中每次参考信号所对应的接收信号可以为时域离散时间信号。该机制使得在模拟波束赋形架构下,也可以使用MUSIC算法进行AoA估计。具体来说,传统的MUSIC需要多个RF chain,使用数字波束赋形降低计算复杂度,数字波束赋形在基带完成。而在模拟波束赋形下,只能通过波束时分切换的方式,搜集对应着多个波束赋形向量的信号,利用这些信号作为传统MUSIC算法的输入参数,估计出AoA。In a possible implementation manner, step 206 may be specifically implemented in the following manner: the receiving device detects multiple reference signals simultaneously sent by the transmitting device and other transmitting devices by using receiving beams with different directions. Specifically, the receiving device sequentially uses the 1st to Kth beamforming vectors in the switched beam codebook W to simultaneously detect multiple reference signals sent by the sending device and other sending devices. Each receive beam lasts for one OFDM symbol, and the OFDM symbols correspond one-to-one with the OFDM symbols occupied by the reference signal sent by the transmitting device. Finally, the received signal corresponding to each reference signal in the multiple reference signals is obtained. For example, in scenario 1, the received signal corresponding to each reference signal may be a discrete time signal in the time domain. This mechanism makes it possible to use the MUSIC algorithm for AoA estimation under the analog beamforming architecture. Specifically, the traditional MUSIC requires multiple RF chains, and the computational complexity is reduced by using digital beamforming, which is completed at the baseband. In analog beamforming, the signals corresponding to multiple beamforming vectors can only be collected by beam time-division switching, and the AoA can be estimated by using these signals as input parameters of the traditional MUSIC algorithm.
相应的,在场景1中为了准确计算发送设备的信号到达角,接收设备首先将不同发送设备发送的每次参考信号所对应的接收信号转换到频域,在频域将不同发送设备发送的每次参考信号区分开来,分别计算每个发送设备的信号到达角。Correspondingly, in Scenario 1, in order to accurately calculate the signal arrival angle of the sending device, the receiving device first converts the received signal corresponding to each reference signal sent by different sending devices to the frequency domain, and in the frequency domain, converts each signal sent by different sending devices to the frequency domain. The secondary reference signals are distinguished, and the signal arrival angle of each transmitting device is calculated separately.
因此,作为一种可能的实现,本申请实施例中接收设备对多次接收信号执行数字信号处理以下方式实现:接收设备将多次接收信号从时域转换至频域。Therefore, as a possible implementation, in the embodiment of the present application, the receiving device performs digital signal processing on the multiple-time received signal to achieve the following manner: the receiving device converts the multiple-time received signal from the time domain to the frequency domain.
具体的,接收设备将同时接收到来自该发送设备的多次接收信号和来自其他发送设备的多次接收信号进行快速傅里叶逆变换(Inverse Fast Fourier Transform,IFFT)时频转换,通过子载波将对应于不同发送设备的接收信号区分开,每个发送设备的接收信号占用J个子载波,不同发送设备中每个发送设备对应一个K×J维的频域接收信号矩阵YK×J。Specifically, the receiving device performs an Inverse Fast Fourier Transform (IFFT) time-frequency conversion on the multiple received signals from the sending device and the multiple received signals from other sending devices at the same time. Distinguish received signals corresponding to different transmitting devices, each transmitting device occupies J subcarriers, and each transmitting device in different transmitting devices corresponds to a K×J-dimensional frequency domain receiving signal matrix YK×J .
为了降低计算复杂度,本申请实施例中可以对多次接收信号中满足要求的至少一次接收信号执行数字信号处理,得到多次接收信号对应的接收信号矩阵。In order to reduce the computational complexity, in this embodiment of the present application, digital signal processing may be performed on at least one received signal that meets the requirements among the multiple received signals, to obtain a received signal matrix corresponding to the multiple received signals.
作为本申请的一种可能的实现,本申请实施例中的步骤207具体可以通过以下方式实现:As a possible implementation of the present application, step 207 in this embodiment of the present application may be specifically implemented in the following manner:
接收设备根据多个接收波束的信号参数,从多个接收波束中确定至少一个接收波束。The receiving device determines at least one receive beam from the plurality of receive beams according to signal parameters of the plurality of receive beams.
接收设备根据至少一个接收波束,确定至少一个接收波束对应的至少一次接收信号。The receiving device determines, according to the at least one receiving beam, at least one received signal corresponding to the at least one receiving beam.
接收设备对至少一次接收信号执行数字信号处理,得到多次接收信号对应的接收信号矩阵。The receiving device performs digital signal processing on at least one received signal to obtain a received signal matrix corresponding to multiple received signals.
示例性的,对于一个发送设备来说,接收设备根据多个接收波束的信号参数,从多个接收波束中确定至少一个接收波束,可以通过以下方式实现:接收设备根据多个接收波束的信号参数从多个接收波束中选择信号参数满足要求的至少一个接收波束。例如,以信号参数为信号能量为例,接收设备根据多个接收波束的信号能量,从多个接收波束中选择信号能量大于或等于能量阈值的接收波束作为至少一个接收波束。Exemplarily, for a sending device, the receiving device determines at least one receiving beam from the multiple receiving beams according to the signal parameters of the multiple receiving beams, which can be implemented in the following manner: At least one receiving beam whose signal parameters meet the requirements is selected from the plurality of receiving beams. For example, taking the signal parameter as the signal energy as an example, the receiving device selects a receiving beam whose signal energy is greater than or equal to an energy threshold from the multiple receiving beams as at least one receiving beam according to the signal energy of the multiple receiving beams.
例如,接收设备从K个接收波束中选取B(B小于或等于K,且B大于或等于1)个接收信号能量大于或等于能量阈值的接收波束(可以简称为:有效接收波束)。该接收波束分别对应的波束赋形向量组成有效波束赋形矩阵对应的频域接收信号形成一个B×J维的有效接收信号矩阵YB×J(即多次接收信号对应的接收信号矩阵)。其中,第B行第J列的元素代表第B个有效接收波束在第J个子载波上接收到的OFDM符号。For example, the receiving device selects B (B is less than or equal to K, and B is greater than or equal to 1) receiving beams with received signal energy greater than or equal to an energy threshold from K receiving beams (may be simply referred to as: effective receiving beams). The beamforming vectors corresponding to the receiving beams respectively form an effective beamforming matrix The corresponding received signals in the frequency domain form a B×J-dimensional effective received signal matrix YB×J (that is, a received signal matrix corresponding to multiple received signals). The elements in the Bth row and the Jth column represent the OFDM symbols received by the Bth effective receiving beam on the Jth subcarrier.
应理解,本申请实施例中至少一个接收波束对应的至少一次接收信号指:该至少一个接收波束中每个接收波束上接收到的一次接收信号。It should be understood that the at least one received signal corresponding to at least one receive beam in this embodiment of the present application refers to: the one receive signal received on each receive beam in the at least one receive beam.
场景2)、发送设备和接收设备的阵列天线架构为采用模拟波束赋形架构,发送设备和接收设备采用载波侦听多路访问(Carrier Sense Multiple Access,CSMA)技术通信或时分多址(Time Division Multiple Acces,TDMA)技术通信。Scenario 2), the array antenna architecture of the transmitting device and the receiving device adopts an analog beamforming architecture, and the transmitting device and the receiving device use the carrier sense multiple access (Carrier Sense Multiple Access, CSMA) technology communication or Time Division Multiple Access (Time Division Multiple Access) Multiple Access, TDMA) technical communication.
在一种可能的实现方式中,步骤206具体可以通过下述方式具体实现:接收设备使用具有不同波束方向的接收波束对一个发送设备发送的多次参考信号进行检测。具体来说,接收设备顺次使用切换波束码本W中第1到第K个波束赋形向量来检测该发送设备发送的重复了K次的参考信号,每个接收波束内检测到M(M为大于或等于1的整数)个信号采样点,最终形成一个K×M维的接收信号采样点矩阵YK×M,作为多次接收信号。In a possible implementation manner, step 206 may be specifically implemented in the following manner: the receiving device uses receive beams with different beam directions to detect multiple reference signals sent by a transmitting device. Specifically, the receiving device sequentially uses the 1st to Kth beamforming vectors in the switched beam codebook W to detect the reference signal repeated K times sent by the transmitting device, and M(M) is detected in each receiving beam. is an integer greater than or equal to 1) signal sampling points, and finally a K×M-dimensional received signal sampling point matrix YK×M is formed as multiple received signals.
相应的,在场景2中接收设备可以直接利用时域采样信号进行信号到达角估计。Correspondingly, in
作为本申请的一种可能的实现,本申请实施例中的步骤207具体可以通过以下方式实现:As a possible implementation of the present application, step 207 in this embodiment of the present application may be specifically implemented in the following manner:
接收设备根据多个接收波束的信号参数,从多个接收波束中确定至少一个接收波束。The receiving device determines at least one receive beam from the plurality of receive beams according to signal parameters of the plurality of receive beams.
接收设备根据至少一个接收波束,确定至少一个接收波束对应的至少一次接收信号。The receiving device determines, according to the at least one receiving beam, at least one received signal corresponding to the at least one receiving beam.
接收设备将至少一次接收信号对应的接收信号矩阵,作为多次接收信号对应的接收信号矩阵。The receiving device uses the received signal matrix corresponding to the at least one received signal as the received signal matrix corresponding to the multiple received signals.
例如,接收设备从K个接收波束中选取B个接收信号能量最大的接收波束作为有效波束,其对应的波束赋形向量组成有效波束赋形矩阵对应的接收信号形成一个B×M维的有效接收信号矩阵YB×M,其中第B行第M列的元素代表第B个有效波束收到的第M个采样点。For example, the receiving device selects B receiving beams with the highest received signal energy from the K receiving beams as effective beams, and the corresponding beamforming vectors form an effective beamforming matrix The corresponding received signals form a B×M-dimensional effective received signal matrix YB×M , wherein the elements of the B-th row and the M-th column represent the M-th sampling point received by the B-th effective beam.
在场景1和场景2中,接收设备依次切换所述一列或多列波束赋形向量中每列波束赋形向量,以调整所述每列波束赋形向量各自对应的接收波束的波束方向。In Scenario 1 and
场景3)、发送设备和接收设备的阵列天线架构为采用混合波束赋形架构,此时,发送设备和接收设备可以采用FDMA技术或OFDMA技术通信。也可以采用CSMA技术通信或TDMA技术通信。Scenario 3), the array antenna architecture of the transmitting device and the receiving device adopts a hybrid beamforming architecture. At this time, the transmitting device and the receiving device can communicate using the FDMA technology or the OFDMA technology. It is also possible to use CSMA technology communication or TDMA technology communication.
在一种可能的实现方式中,发送设备和接收设备采用FDMA技术或OFDMA技术通信时,场景3中步骤206具体可以通过下述方式具体实现方式可以参考场景1中的描述。区别在于,对于混合波束赋形架构,由于混合波束赋形架构具备同时实现多个接收波束的能力,假设能够同时形成的接收波束数量为I个,那么当I>K时,该步骤只需消耗一个OFDM符号,当I<K时,该步骤需要消耗个OFDM符号,该OFDM符号与发送设备发送参考信号所占用的OFDM符号一一对应。混合波束赋形架构能够进一步降低波束训练开销。In a possible implementation manner, when the sending device and the receiving device communicate using the FDMA technology or the OFDMA technology, step 206 in scenario 3 may be specifically implemented in the following manner, and reference may be made to the description in scenario 1. The difference is that for the hybrid beamforming architecture, since the hybrid beamforming architecture has the ability to realize multiple receiving beams at the same time, assuming that the number of receiving beams that can be formed at the same time is I, then when I>K, this step only needs to consume One OFDM symbol, when I<K, this step needs to consume OFDM symbols, the OFDM symbols are in one-to-one correspondence with the OFDM symbols occupied by the transmitting device to transmit the reference signal. The hybrid beamforming architecture can further reduce beam training overhead.
此外,发送设备和接收设备采用FDMA技术或OFDMA技术通信时,场景3中步骤207具体可以参考场景1中的描述。In addition, when the sending device and the receiving device communicate by using the FDMA technology or the OFDMA technology, the step 207 in the scenario 3 may refer to the description in the scenario 1 for details.
在另一种可能的实现方式中,发送设备和接收设备采用CSMA技术通信或TDMA技术通信时,场景3中步骤206具体可以通过下述方式具体实现方式可以参考场景2中的描述。In another possible implementation, when the sending device and the receiving device communicate using the CSMA technology or the TDMA technology, step 206 in scenario 3 can be specifically implemented in the following manner, and reference can be made to the description in
此外,在发送设备和接收设备采用CSMA技术通信或TDMA技术通信时,场景3中步骤207具体可以参考场景2中的描述,此处不再赘述。In addition, when the sending device and the receiving device communicate using the CSMA technology or the TDMA technology, the step 207 in the scenario 3 can refer to the description in the
应理解,在场景3中每列波束赋形向量除了对应一组移相器相移值之外,还可以对应一组数字波束赋形权重;所述接收设备依次切换所述一列或多列波束赋形向量中的至少一列波束赋形向量,以调整与所述至少一列波束赋形向量对应的接收波束的波束方向。It should be understood that in scenario 3, in addition to corresponding to a set of phase shifter phase shift values, each column of beamforming vectors may also correspond to a set of digital beamforming weights; the receiving device sequentially switches the one or more columns of beams at least one column of beamforming vectors in the beamforming vectors to adjust the beam direction of the receiving beam corresponding to the at least one column of beamforming vectors.
针对上述场景1-场景3,本申请实施例中的步骤209具体可以通过以下方式实现:For the above scenarios 1 to 3, step 209 in this embodiment of the present application may be specifically implemented in the following manner:
S1、接收设备根据目标角度范围得到一个或多个待评估角度。S1. The receiving device obtains one or more angles to be evaluated according to the target angle range.
示例性的,该目标角度范围可以是发送设备初始接入接收设备时所确定的角度范围,在5G或LTE系统中,该角度范围可以是一个扇区。Exemplarily, the target angular range may be an angular range determined when the sending device initially accesses the receiving device, and in a 5G or LTE system, the angular range may be a sector.
作为一种具体实现,本申请实施例中的S1可以通过以下方式实现:以目标角度范围为(θl,θu)为例,则接收设备可以按照一个固定的角度△θ将目标角度范围分为一个或多个待评估角度。例如,θ=θl:△θ:θu。As a specific implementation, S1 in this embodiment of the present application may be implemented in the following manner: taking the target angle range as (θl , θu ) as an example, the receiving device may divide the target angle range into two parts according to a fixed angle Δθ is one or more angles to be evaluated. For example, θ=θl :Δθ:θu .
S2、接收设备根据所述波束映射矩阵,计算所述一个或多个待评估角度中每个待评估角度对应的评估指标。S2. The receiving device calculates, according to the beam mapping matrix, an evaluation index corresponding to each angle to be evaluated among the one or more angles to be evaluated.
其中,对于任意的一个待评估角度θ,该待评估角度θ对应的评估指标P(θ)的计算方法如下:所述接收设备根据公式计算所述每个待评估角度对应的评估指标,其中,S(θ)表示特征向量构建噪声子空间,S(θ)=[qB-L(θ),...,qB(θ)],表示虚拟波束码本的共轭转置矩阵,a(θ)表示待评估方向的阵列响应矢量,SH(θ)表示特征向量构建噪声子空间的共轭转置矩阵,P(θ)表示评估指标。Wherein, for any angle θ to be evaluated, the calculation method of the evaluation index P(θ) corresponding to the angle θ to be evaluated is as follows: the receiving device according to the formula Calculate the evaluation index corresponding to each angle to be evaluated, wherein, S(θ) represents the feature vector to construct the noise subspace, S(θ)=[qBL (θ),..., qB (θ)], Represents the conjugate transpose matrix of the virtual beam codebook, a(θ) represents the array response vector of the direction to be evaluated,SH (θ) represents the conjugate transpose matrix of the eigenvector constructing the noise subspace, P(θ) represents the evaluation index.
具体的,定义波束映射操作为其中b=1,…,B,j=1,…,J;以场景1或场景3中的有效频域接收信号矩阵YB×J为例,对有效频域接收信号矩阵YB×J中的所有信号元素进行波束映射,得到求得中不同波束对应信号的协方差矩阵对R(θ)进行特征值分解并将其特征值按照从大到小的顺序排列R(θ)qb(θ)=λb(θ)qb(θ),其中b=1,…,B,λ1≥λ2≥…≥λB≥0。接收设备可以用B-L个最小的特征值对应的特征向量构建噪声子空间S(θ)=[qB-L(θ),…,qB(θ)]。Specifically, the beam mapping operation is defined as where b=1,...,B,j=1,...,J; Taking the effective frequency-domain received signal matrix YB×J in Scenario 1 or Scenario 3 as an example, perform beam mapping on all signal elements in the effective frequency-domain received signal matrix YB×J to obtain get The covariance matrix of the corresponding signals of different beams in Perform eigenvalue decomposition on R(θ) and arrange its eigenvalues in descending order R(θ)qb (θ)=λb (θ)qb (θ), where b=1,..., B,λ1 ≥λ2 ≥…≥λB ≥0. The receiving device may use the eigenvectors corresponding to the BL smallest eigenvalues to construct a noise subspace S(θ)=[qBL (θ), . . . , qB (θ)].
S3、接收设备将一个或多个评估指标中峰值评估指标对应的待评估角度确定为所述发送设备的信号到达角。S3. The receiving device determines the angle to be evaluated corresponding to the peak evaluation index in the one or more evaluation indexes as the signal arrival angle of the transmitting device.
应理解,峰值评估指标即可以指一个或多个评估指标中评估指标最大的。It should be understood that the peak evaluation index may refer to the largest evaluation index among one or more evaluation indexes.
在一种可选的实现方式中,本申请实施例提供的方法还包括:接收设备根据所述多次接收信号对应的接收信号矩阵以及与待评估角度有关的系数,将所述接收信号矩阵映射成为波束映射矩阵;其中,所述待评估角度有关的系数其中,a(θ)表示对应于待评估方向的阵列响应矢量,表示虚拟波束码本的第b列,表示切换波束码本的第b列,b大于1且小于或等于多次参考信号的数量。In an optional implementation manner, the method provided by the embodiment of the present application further includes: the receiving device maps the received signal matrix according to the received signal matrix corresponding to the multiple received signals and the coefficient related to the angle to be evaluated Be the beam mapping matrix; wherein, the coefficients related to the angle to be evaluated where a(θ) represents the array response vector corresponding to the direction to be evaluated, represents the bth column of the virtual beam codebook, Indicates the bth column of the switched beam codebook, where b is greater than 1 and less than or equal to the number of multiple reference signals.
在一种可选的实现方式中,虚拟波束码本满足不同列向量之间相互正交。In an optional implementation manner, the virtual beam codebook satisfies that different column vectors are mutually orthogonal.
在一种可能的实现方式中,如果发送设备中具有预配置信息,该预配置信息至少包括:预存储的参考信号资源以及与该预存储的参考信号资源对应的参考信号的重复次数,则本申请实施例中的步骤204可以通过以下方式实现:发送设备根据预配置信息,确定参考信号资源和在参考信号资源发送的参考信号的重复次数。In a possible implementation manner, if the sending device has pre-configuration information, the pre-configuration information includes at least: pre-stored reference signal resources and the repetition times of the reference signals corresponding to the pre-stored reference signal resources, then this Step 204 in the embodiment of the application may be implemented in the following manner: the sending device determines the reference signal resource and the repetition times of the reference signal sent in the reference signal resource according to the pre-configured information.
在另一种可能的实施例中,如图6所示,本申请实施例提供的方法在步骤204之前还包括:In another possible embodiment, as shown in FIG. 6 , before step 204, the method provided by this embodiment of the present application further includes:
步骤202、接收设备向发送设备发送控制信令,该控制信令用于确定为发送设备配置的参考信号资源和在参考信号资源发送的参考信号的重复次数。Step 202: The receiving device sends control signaling to the sending device, where the control signaling is used to determine the reference signal resource configured for the sending device and the repetition times of the reference signal sent in the reference signal resource.
以接收设备为基站,发送设备为终端为例,则步骤202可以为下行控制信令(Downcontrol information,DCI)。该DCI用于确定为发送设备配置的参考信号资源和参考信号的重复次数。Taking the receiving device as the base station and the sending device as the terminal as an example, step 202 may be downlink control signaling (Downcontrol information, DCI). The DCI is used to determine the reference signal resource configured for the transmitting device and the repetition times of the reference signal.
具体的,接收设备向发送设备发送下行控制信道,该下行控制信道中携带DCI。例如,下行控制信道可以为物理下行控制信道(Physical Downlink Control Channel,PDCCH)。Specifically, the receiving device sends a downlink control channel to the transmitting device, and the downlink control channel carries the DCI. For example, the downlink control channel may be a physical downlink control channel (Physical Downlink Control Channel, PDCCH).
本申请实施例中接收设备可以为发送设备动态配置参考信号资源和参考信号的重复次数。或者接收设备也可以为发送设备半静态配置参考信号资源和参考信号的重复次数。其中,所谓接收设备为发送设备动态配置参考信号资源和参考信号的重复次数指:在每个波束训练周期内,接收设备为发送设备配置参考信号资源和参考信号的重复次数。所谓接收设备为发送设备半静态配置参考信号资源和参考信号的重复次数指:接收设备为发送设备配置的参考信号资源和参考信号的重复次数不仅适用于当前波束训练周期,也可以适用于下一个波束训练周期。In this embodiment of the present application, the receiving device may dynamically configure the reference signal resources and the repetition times of the reference signal for the transmitting device. Alternatively, the receiving device may also semi-statically configure the reference signal resources and the repetition times of the reference signal for the transmitting device. Wherein, the so-called reference signal resources and reference signal repetition times configured dynamically by the receiving device for the transmitting device refer to: in each beam training period, the receiving device configures the reference signal resources and the repetition times of the reference signal for the transmitting device. The so-called repetition times of reference signal resources and reference signals semi-statically configured by the receiving device for the transmitting device refer to: the reference signal resources and the repetition times of the reference signals configured by the receiving device for the transmitting device are not only applicable to the current beam training period, but also applicable to the next beam training period. Beam training period.
步骤203、发送设备接收来自接收设备的控制信令。Step 203: The sending device receives the control signaling from the receiving device.
在另一种可能的实现方式中,本申请实施例中的步骤204具体可以通过以下方式实现:发送设备根据控制信令确定参考信号资源和参考信号的重复次数。In another possible implementation manner, step 204 in this embodiment of the present application may be specifically implemented in the following manner: the sending device determines the reference signal resource and the repetition times of the reference signal according to the control signaling.
需要说明的是,如果发送设备根据预配置信息确定参考信号资源和参考信号的重复次数,则步骤202和步骤203可以省略。也即202和步骤203为可选的步骤。当然,如果发送设备根据预配置信息自主确定参考信号资源和参考信号的重复次数之后,发送设备还需要向接收设备发送设备自主确定的参考信号资源的信息和重复次数,这样便于接收设备确定在哪个参考信号资源接收发送设备重复发送的多次参考信号。It should be noted that, if the sending device determines the reference signal resource and the repetition times of the reference signal according to the pre-configured information, steps 202 and 203 may be omitted. That is, step 202 and step 203 are optional steps. Of course, if the sending device autonomously determines the reference signal resources and the number of repetitions of the reference signal according to the preconfigured information, the sending device also needs to send the information about the reference signal resources and the number of repetitions of the reference signal resources independently determined by the device to the receiving device, so that the receiving device can determine where The reference signal resource receives the reference signals repeatedly sent by the sending device.
应理解,在发送设备可以自主确定参考信号资源和重复次数的情况下,如果接收设备通过步骤202为发送设备配置参考信号资源和重复次数,则发送设备以接收设备配置的参考信号资源和重复次数执行步骤204和步骤205。It should be understood that in the case where the sending device can independently determine the reference signal resources and the number of repetitions, if the receiving device configures the reference signal resources and the number of repetitions for the sending device through step 202, the sending device uses the reference signal resources and the number of repetitions configured by the receiving device. Steps 204 and 205 are performed.
由于发送设备和接收设备之间所采用的通信技术不同,接收设备为发送设备配置的参考信号资源存在差异,下述将分别介绍:Due to the different communication technologies used between the sending device and the receiving device, the reference signal resources configured by the receiving device for the sending device are different, which will be introduced separately as follows:
示例1)、发送设备和接收设备采用频分多址(frequency division multipleaccess,FDMA)技术或正交频分多址(Orthogonal Frequency Division Multiple Access,OFDMA)技术通信。Example 1) The transmitting device and the receiving device communicate using a frequency division multiple access (frequency division multiple access, FDMA) technology or an orthogonal frequency division multiple access (Orthogonal Frequency Division Multiple Access, OFDMA) technology.
在示例1)中接收设备为该发送设备配置的参考信号资源与接收设备为其他发送设备配置的参考信号资源在频域正交。也即接收设备为包括该发送设备在内的多个发送设备分别配置时频资源,不同的发送设备在频域上占用不同的子载波或载波,不同的发送设备在时域上可以占用相同的OFDM符号或FDM符号。In Example 1), the reference signal resources configured by the receiving device for the sending device are orthogonal to the reference signal resources configured by the receiving device for other sending devices in the frequency domain. That is, the receiving device configures time-frequency resources for multiple transmitting devices including the transmitting device. Different transmitting devices occupy different sub-carriers or carriers in the frequency domain, and different transmitting devices can occupy the same sub-carriers or carriers in the time domain. OFDM symbols or FDM symbols.
在示例1)中多次参考信号中每次占用一个OFDM符号、J个子载波。In Example 1), the multiple reference signals occupy one OFDM symbol and J subcarriers each time.
也即如果发送设备和接收设备采用OFDMA技术或FDMA技术通信时,接收设备可以为多个不同的发送设备配置在频域正交的参考信号资源,这样便于多个不同的发送设备同时在各自的参考信号资源上向接收设备发送多次参考信号。从而可以使得接收设备对多个不同的发送设备并行或同时进行波束训练,互不冲突。由于不同发送设备可以在被分配的时频资源上重复发送参考信号,因此,多个发送设备可以并行进行波束训练最终实现既快速又准确的波束训练性能。That is, if the sending device and the receiving device communicate using OFDMA technology or FDMA technology, the receiving device can configure reference signal resources orthogonal to the frequency domain for multiple different sending devices, which is convenient for multiple different sending devices to communicate in their respective The reference signal is sent to the receiving device multiple times on the reference signal resource. Therefore, the receiving device can perform beam training on multiple different transmitting devices in parallel or at the same time without conflicting with each other. Since different transmitting devices can repeatedly transmit reference signals on the allocated time-frequency resources, multiple transmitting devices can perform beam training in parallel, and finally achieve fast and accurate beam training performance.
此外,接收设备为不同发送设备配置的重复次数可以相同,也可以不相同。In addition, the number of repetitions configured by the receiving device for different sending devices may be the same or different.
例如,接收设备为发送设备10配置的参考信号资源位于频域资源1、接收设备为发送设备20配置的参考信号资源位于频域资源2。接收设备为发送设备30配置的参考信号资源位于频域资源3。其中,频域资源1、频域资源2、频域资源3在频域正交。For example, the reference signal resource configured by the receiving device for the sending
需要说明的是,不同的发送设备同时向接收设备发送一次参考信号时,所使用的参考信号资源不同。例如,第一次传输时,发送设备1使用子载波1、子载波2以及子载波3发送第一次参考信号,发送设备2使用子载波4、和子载波5发送第一次参考信号。但是对于不同次传输的参考信号,其所占用的参考信号资源可以相同。例如,第一次传输时,发送设备1使用子载波1、子载波2以及子载波3发送第一次参考信号,发送设备2使用子载波4、和子载波5发送第一次参考信号。第二次传输时,发送设备1使用子载波4、和子载波5发送第二次参考信号。发送设备2使用子载波1、子载波2发送第二次参考信号。It should be noted that when different transmitting devices simultaneously transmit a reference signal to a receiving device once, the used reference signal resources are different. For example, in the first transmission, sending device 1 uses subcarrier 1,
示例2)、发送设备和接收设备采用载波侦听多路访问(Carrier Sense MultipleAccess,CSMA)技术通信或时分多址(Time Division Multiple Acces,TDMA)技术通信。Example 2) The sending device and the receiving device use the carrier sense multiple access (Carrier Sense Multiple Access, CSMA) technology to communicate or the time division multiple access (Time Division Multiple Access, TDMA) technology to communicate.
在示例2)中接收设备为该发送设备配置的参考信号资源的时域与接收设备为其他发送设备配置的参考信号资源的时域不同。也即接收设备为不同发送设备配置的参考信号资源被分配到不同的时间区间上,这样可以使得多个不同的发送设备在不同的时间区间内利用各自配置的参考信号资源向接收设备发送参考信号。从而多个不同的发送设备可以串行进行波束训练,互不冲突。应理解,在CSMA或TDMA技术中,每个时刻,只有一个发送设备占用信道,即占用所有的频域载波。In Example 2), the time domain of the reference signal resources configured by the receiving device for the transmitting device is different from the time domain of the reference signal resources configured by the receiving device for other transmitting devices. That is, the reference signal resources configured by the receiving device for different sending devices are allocated to different time intervals, so that multiple different sending devices can use their configured reference signal resources to send reference signals to the receiving device in different time intervals. . Therefore, multiple different transmitting devices can perform beam training in series without conflicting with each other. It should be understood that in the CSMA or TDMA technology, at each moment, only one transmitting device occupies the channel, that is, occupies all the frequency domain carriers.
例如,接收设备为发送设备1配置的参考信号资源位于时域1,接收设备为发送设备2配置的参考信号资源位于时域2。For example, the reference signal resources configured by the receiving device for the transmitting device 1 are located in the time domain 1, and the reference signal resources configured by the receiving device for the transmitting
在示例2)中接收设备为不同发送设备配置的重复次数可以相同,也可以不相同。In Example 2), the number of repetitions configured by the receiving device for different sending devices may be the same or different.
需要说明的是,在示例1)和示例2)中发送设备和接收设备的阵列天线架构为模拟波束赋形架构,且接收设备为发送设备配置的重复次数为K表示波束赋形向量的个数。K为大于或等于1的整数。It should be noted that, in Example 1) and Example 2), the array antenna architecture of the transmitting device and the receiving device is an analog beamforming architecture, and the number of repetitions configured by the receiving device for the transmitting device is K indicating the number of beamforming vectors. . K is an integer greater than or equal to 1.
示例3)、发送设备和接收设备的阵列天线架构为混合波束赋形架构。当阵列天线架构为模拟波束赋形架构时,系统多址方式考虑两种情况:OFDMA或(FDMA)、CSMA(或TDMA),这两种多址方式的区别在于多个发送设备是否可以同时进行AoA估计。同理,当阵列天线架构为混合波束赋形架构时,系统多址方式存在同样的两种情况。示例3)仅结合OFDMA系统进行说明。Example 3), the array antenna architecture of the transmitting device and the receiving device is a hybrid beamforming architecture. When the array antenna architecture is an analog beamforming architecture, the system multiple access method considers two situations: OFDMA or (FDMA), CSMA (or TDMA). The difference between these two multiple access methods is whether multiple transmitting devices can perform simultaneous AoA estimates. Similarly, when the array antenna architecture is a hybrid beamforming architecture, the same two situations exist in the system multiple access method. Example 3) is only described in conjunction with the OFDMA system.
混合波束赋形架构能够同时形成多个不同指向的波束,进一步降低波束切换的开销,该多个不同指向的波束数目用I表示。不同终端利用不同的子载波同时发送上行参考信号,从而能够并行进行波束训练,互不冲突。每个UE发送上行参考信号的时频资源以及该参考信号的生效次数由BS通过下行控制信令进行配置。The hybrid beamforming architecture can simultaneously form multiple beams with different directions, further reducing the overhead of beam switching. The number of the multiple beams with different directions is denoted by I. Different terminals use different subcarriers to send uplink reference signals at the same time, so that beam training can be performed in parallel without conflicting with each other. The time-frequency resource for sending the uplink reference signal by each UE and the number of times the reference signal is valid are configured by the BS through downlink control signaling.
需要说明的是,发送设备和接收设备的阵列天线架构为混合波束赋形架构时,为发送设备配置的参考信号资源可以与示例1)一样,即多个不同的发送设备的参考信号资源在频域正交。当然,在发送设备和接收设备的阵列天线架构为混合波束赋形架构时,为发送设备配置的参考信号资源可以与示例2)一样,即多个不同的发送设备的参考信号资源具有不同的时域。It should be noted that when the array antenna architecture of the transmitting device and the receiving device is a hybrid beamforming architecture, the reference signal resources configured for the transmitting device may be the same as in Example 1), that is, the reference signal resources of multiple different transmitting devices are in frequency Domain Orthogonal. Of course, when the array antenna architecture of the transmitting device and the receiving device is a hybrid beamforming architecture, the reference signal resources configured for the transmitting device may be the same as in Example 2), that is, the reference signal resources of multiple different transmitting devices have different timings. area.
具体示例可以示例1)中的描述,但是与示例1)的区别在于:在示例3)中每次参考信号占用一个OFDM符号、J个子载波,相同的参考信号在时间轴上重复次,即重复次数为其中I表示混合波束赋形能够同时形成的波束数量。A specific example can be described in Example 1), but the difference from Example 1) is that in Example 3) each reference signal occupies one OFDM symbol and J subcarriers, and the same reference signal is repeated on the time axis times, that is, the number of repetitions is where I represents the number of beams that can be simultaneously formed by hybrid beamforming.
在一种可能的实施例中,如图6所示,本申请实施例提供的方法还包括:In a possible embodiment, as shown in FIG. 6 , the method provided by the embodiment of the present application further includes:
步骤210、接收设备根据所述信号到达角,调整所述接入设备与所述发送设备之间的接收波束方向。Step 210: The receiving device adjusts the direction of the receiving beam between the access device and the sending device according to the angle of arrival of the signal.
即在确定信号到达角之后,接收设备使用信号到达角指导后续接入设备与所述发送设备进行数据传输的波束指向,即波束对准。具体的,在得到信号到达角之后,根据信号传输路径的互易性,将波束赋形方向配置为估计出的信号到达角方向,即可实现波束对准,然后进行数据传输。如果检测出了多个信号到达角方向,可以结合信号能量,进一步确定一个或几个最优信号到达角方向作为波束指向。That is, after the angle of arrival of the signal is determined, the receiving device uses the angle of arrival of the signal to guide the beam orientation for data transmission between the subsequent access device and the sending device, that is, beam alignment. Specifically, after obtaining the angle of arrival of the signal, according to the reciprocity of the signal transmission path, the beamforming direction is configured as the direction of the estimated angle of arrival of the signal, so as to realize beam alignment and then perform data transmission. If multiple signal arrival angle directions are detected, one or several optimal signal arrival angle directions can be further determined as beam pointing by combining the signal energy.
上述主要从各个网元之间交互的角度对本申请实施例的方案进行了介绍。可以理解的是,各个网元,例如接收设备、发送设备等为了实现上述功能,其包括了执行各个功能相应的硬件结构和/或软件模块。本领域技术人员应该很容易意识到,结合本文中所公开的实施例描述的各示例的单元及算法步骤,本申请能够以硬件或硬件和计算机软件的结合形式来实现。某个功能究竟以硬件还是计算机软件驱动硬件的方式来执行,取决于技术方案的特定应用和设计约束条件。专业技术人员可以对每个特定的应用来使用不同方法来实现所描述的功能,但是这种实现不应认为超出本申请的范围。The foregoing mainly introduces the solutions of the embodiments of the present application from the perspective of interaction between various network elements. It can be understood that, in order to implement the above functions, each network element, such as a receiving device, a sending device, etc., includes corresponding hardware structures and/or software modules for performing each function. Those skilled in the art should easily realize that the present application can be implemented in hardware or a combination of hardware and computer software with the units and algorithm steps of each example described in conjunction with the embodiments disclosed herein. Whether a function is performed by hardware or computer software driving hardware depends on the specific application and design constraints of the technical solution. Skilled artisans may implement the described functionality using different methods for each particular application, but such implementations should not be considered beyond the scope of this application.
本申请实施例可以根据上述方法示例接收设备、发送设备进行功能单元的划分,例如,可以对应各个功能划分各个功能单元,也可以将两个或两个以上的功能集成在一个处理单元中。上述集成的单元既可以采用硬件的形式实现,也可以采用软件功能单元的形式实现。需要说明的是,本申请实施例中对单元的划分是示意性的,仅仅为一种逻辑功能划分,实际实现时可以有另外的划分方式。In this embodiment of the present application, the receiving device and the transmitting device may be divided into functional units according to the foregoing method example. For example, each functional unit may be divided according to each function, or two or more functions may be integrated into one processing unit. The above-mentioned integrated units may be implemented in the form of hardware, or may be implemented in the form of software functional units. It should be noted that the division of units in the embodiments of the present application is illustrative, and is only a logical function division, and other division methods may be used in actual implementation.
上面结合图1至图6,对本申请实施例的方法进行了说明,下面对本申请实施例提供的执行上述方法的通信装置进行描述。本领域技术人员可以理解,方法和装置可以相互结合和引用,本申请实施例提供的通信装置可以执行上述无线承载的配置方法中由第一终端、接收设备、网络设备执行的步骤。The methods of the embodiments of the present application have been described above with reference to FIG. 1 to FIG. 6 , and the following describes the communication apparatuses provided by the embodiments of the present application for executing the above methods. Those skilled in the art can understand that the methods and apparatuses can be combined and referenced with each other, and the communication apparatus provided by the embodiments of the present application can perform the steps performed by the first terminal, the receiving device, and the network device in the above-mentioned wireless bearer configuration method.
下面以采用对应各个功能划分各个功能模块为例进行说明:The following is an example of dividing each function module corresponding to each function to illustrate:
在采用集成的单元的情况下,图7示出了上述实施例中所涉及的一种通信装置,该通信装置可以包括:处理单元101,以及通信单元102。In the case of using an integrated unit, FIG. 7 shows a communication apparatus involved in the above-mentioned embodiment, and the communication apparatus may include: a processing unit 101 and a communication unit 102 .
一种示例,该图7所示的通信装置为接收设备,或者为应用于接收设备中的芯片。在这种情况下,通信单元102,用于支持该通信装置执行上述实施例中由接收设备执行的步骤103。处理单元101,用于支持通信装置执行上述实施例中由接收设备执行的步骤104、步骤105以及步骤106。In an example, the communication apparatus shown in FIG. 7 is a receiving device, or a chip applied in the receiving device. In this case, the communication unit 102 is configured to support the communication apparatus to perform step 103 performed by the receiving device in the above-mentioned embodiment. The processing unit 101 is configured to support the communication apparatus to perform step 104, step 105 and step 106 performed by the receiving device in the above embodiment.
另一种示例,该通信装置为接收设备,或者为应用于接收设备中的芯片。在这种情况下,通信单元102,用于支持该通信装置执行上述实施例中由接收设备执行的步骤206。处理单元101,用于支持通信装置执行上述实施例中由接收设备执行的步骤207、步骤208以及步骤209。In another example, the communication apparatus is a receiving device, or a chip applied in the receiving device. In this case, the communication unit 102 is configured to support the communication apparatus to perform step 206 performed by the receiving device in the above-mentioned embodiment. The processing unit 101 is configured to support the communication apparatus to perform step 207, step 208 and step 209 performed by the receiving device in the above embodiment.
在一种可能的实施例中,处理单元101,还用于支持通信装置执行上述实施例中由接收设备执行的步骤201以及步骤210。In a possible embodiment, the processing unit 101 is further configured to support the communication apparatus to perform step 201 and step 210 performed by the receiving device in the foregoing embodiment.
再一种示例,该图7所示的通信装置为发送设备,或者为应用于发送设备中的芯片。在这种情况下,通信单元102,用于支持该通信装置执行上述实施例中由发送设备执行的步骤102。处理单元101,用于支持通信装置执行上述实施例中由发送设备执行的步骤101。In another example, the communication apparatus shown in FIG. 7 is a sending device, or a chip applied in the sending device. In this case, the communication unit 102 is configured to support the communication apparatus to perform step 102 performed by the sending device in the above-mentioned embodiment. The processing unit 101 is configured to support the communication apparatus to perform step 101 performed by the sending device in the foregoing embodiment.
又一种示例,该图7所示的通信装置为发送设备,或者为应用于发送设备中的芯片。在这种情况下,通信单元102,用于支持该通信装置执行上述实施例中由发送设备执行的步骤205。处理单元101,用于支持通信装置执行上述实施例中由发送设备执行的步骤204。In another example, the communication apparatus shown in FIG. 7 is a sending device, or a chip applied in the sending device. In this case, the communication unit 102 is configured to support the communication apparatus to perform step 205 performed by the sending device in the above-mentioned embodiment. The processing unit 101 is configured to support the communication apparatus to perform step 204 performed by the sending device in the foregoing embodiment.
在一种可能的实施例中,通信单元102,还用于支持通信装置执行上述实施例中由发送设备执行的步骤203。In a possible embodiment, the communication unit 102 is further configured to support the communication apparatus to perform step 203 performed by the sending device in the foregoing embodiment.
在一种可选的实施例中,该图7所示的通信装置还可以包括:存储单元。当通信装置为接收设备或为应用于接收设备中的芯片时,该存储单元可以用于存储切换波束码本和虚拟波束码本。当通信装置为发送设备或为应用于发送设备中的芯片时,该存储单元可以用于存储发送设备的参考信号资源的位置信息以及参考信号的重复次数。In an optional embodiment, the communication apparatus shown in FIG. 7 may further include: a storage unit. When the communication device is a receiving device or a chip applied in the receiving device, the storage unit can be used to store the switched beam codebook and the virtual beam codebook. When the communication apparatus is a sending device or a chip applied in the sending device, the storage unit may be used to store the location information of the reference signal resource of the sending device and the repetition times of the reference signal.
在采用集成的单元的情况下,图8示出了上述实施例中所涉及的通信装置的一种可能的逻辑结构示意图。该通信装置包括:处理模块112和通信模块113。处理模块112用于对通信装置的动作进行控制管理,例如,处理模块112用于执行在通信装置进行信息/数据处理的步骤。通信模块113用于支持通信装置进行信息/数据发送或者接收的步骤。In the case of using an integrated unit, FIG. 8 shows a schematic diagram of a possible logical structure of the communication device involved in the above embodiment. The communication device includes: a
在一种可能的实施例中,通信装置还可以包括存储模块111,用于存储通信装置可的程序代码和数据。In a possible embodiment, the communication device may further include a
一种示例,图8所示的通信装置为接收设备,或者为应用于接收设备中的芯片。在这种情况下,通信模块113,用于支持通信装置执行上述实施例中由接收设备执行的步骤103。处理模块112,用于支持通信装置执行上述实施例中的步骤104、步骤105以及步骤106。As an example, the communication apparatus shown in FIG. 8 is a receiving device, or a chip applied in the receiving device. In this case, the
另一种示例,图8所示的通信装置为接收设备,或者为应用于接收设备中的芯片。在这种情况下,通信模块113,用于支持通信装置执行上述实施例中由接收设备执行的步骤206。处理模块112,用于支持通信装置执行上述实施例中的步骤207、步骤208以及步骤209。In another example, the communication apparatus shown in FIG. 8 is a receiving device, or a chip applied in the receiving device. In this case, the
在一种可能的实施例中,处理模块112,还用于支持通信装置执行上述实施例中由接收设备执行的步骤201以及步骤210。In a possible embodiment, the
再一种示例,该图8所示的通信装置为发送设备,或者为应用于发送设备中的芯片。在这种情况下,通信模块113,用于支持该通信装置执行上述实施例中由发送设备执行的步骤102。处理模块112,用于支持通信装置执行上述实施例中由发送设备执行的步骤101。In another example, the communication apparatus shown in FIG. 8 is a sending device, or a chip applied in the sending device. In this case, the
又一种示例,该图8所示的通信装置为发送设备,或者为应用于发送设备中的芯片。在这种情况下,通信模块113,用于支持该通信装置执行上述实施例中由发送设备执行的步骤205。处理模块112,用于支持通信装置执行上述实施例中由发送设备执行的步骤204。In another example, the communication apparatus shown in FIG. 8 is a sending device, or a chip applied in the sending device. In this case, the
在一种可能的实施例中,通信模块113,还用于支持通信装置执行上述实施例中由发送设备执行的步骤203。In a possible embodiment, the
其中,处理模块112可以是处理器或控制器,例如可以是中央处理器单元,通用处理器,数字信号处理器,专用集成电路,现场可编程门阵列或者其他可编程逻辑器件、晶体管逻辑器件、硬件部件或者其任意组合。其可以实现或执行结合本发明公开内容所描述的各种示例性的逻辑方框,模块和电路。处理器也可以是实现计算功能的组合,例如包含一个或多个微处理器组合,数字信号处理器和微处理器的组合等等。通信模块113可以是收发器、收发电路或通信接口等。存储模块111可以是存储器。The
当处理模块112为处理器41或处理器45,通信模块113为收发器43时,存储模块111为存储器42时,本申请所涉及的通信装置可以为图9所示的通信设备。When the
如图9所示,图9示出了本申请实施例提供一种通信设备的硬件结构示意图。本申请实施例中的发送设备和接收设备的硬件结构可以参考如图9所示的结构。该通信设备包括处理器41,通信线路44以及至少一个收发器43。As shown in FIG. 9 , FIG. 9 shows a schematic diagram of a hardware structure of a communication device provided by an embodiment of the present application. For the hardware structure of the sending device and the receiving device in the embodiment of the present application, reference may be made to the structure shown in FIG. 9 . The communication device includes a
处理器41可以是一个通用中央处理器(central processing unit,CPU),微处理器,特定应用集成电路(application-specific integrated circuit,ASIC),或一个或多个用于控制本申请方案程序执行的集成电路。The
通信线路44可包括一通路,在上述组件之间传送信息。Communication link 44 may include a path to communicate information between the components described above.
收发器43,使用任何收发器一类的装置,用于与其他设备或通信网络通信,如以太网,无线接入网(radio access network,RAN),无线局域网(wireless local areanetworks,WLAN)等。The
可选的,该通信设备还可以包括存储器42。Optionally, the communication device may further include a
存储器42可以是只读存储器(read-only memory,ROM)或可存储静态信息和指令的其他类型的静态存储设备,随机存取存储器(random access memory,RAM)或者可存储信息和指令的其他类型的动态存储设备,也可以是电可擦可编程只读存储器(electricallyerasable programmable read-only memory,EEPROM)、只读光盘(compact disc read-only memory,CD-ROM)或其他光盘存储、光碟存储(包括压缩光碟、激光碟、光碟、数字通用光碟、蓝光光碟等)、磁盘存储介质或者其他磁存储设备、或者能够用于携带或存储具有指令或数据结构形式的期望的程序代码并能够由计算机存取的任何其他介质,但不限于此。存储器可以是独立存在,通过通信线路44与处理器相连接。存储器也可以和处理器集成在一起。The
其中,存储器42用于存储执行本申请方案的计算机执行指令,并由处理器41来控制执行。处理器41用于执行存储器42中存储的计算机执行指令,从而实现本申请下述实施例提供的无线承载的配置方法。The
可选的,本申请实施例中的计算机执行指令也可以称之为应用程序代码,本申请实施例对此不作具体限定。Optionally, the computer-executed instructions in the embodiment of the present application may also be referred to as application code, which is not specifically limited in the embodiment of the present application.
在具体实现中,作为一种实施例,处理器41可以包括一个或多个CPU,例如图9中的CPU0和CPU1。In a specific implementation, as an embodiment, the
在具体实现中,作为一种实施例,通信设备可以包括多个处理器,例如图9中的处理器41和处理器45。这些处理器中的每一个可以是一个单核(single-CPU)处理器,也可以是一个多核(multi-CPU)处理器。这里的处理器可以指一个或多个设备、电路、和/或用于处理数据(例如计算机程序指令)的处理核。In a specific implementation, as an embodiment, the communication device may include multiple processors, such as the
一种示例,图9所示的通信设备为接收设备,收发器43,用于支持通信设备执行上述实施例中由接收设备执行的步骤103。处理器41或处理器45,用于支持通信设备执行上述实施例中的步骤104、步骤105以及步骤106。As an example, the communication device shown in FIG. 9 is a receiving device, and the
另一种示例,图9所示的通信设备为接收设备,收发器43,用于支持通信设备执行上述实施例中由接收设备执行的步骤206。处理器41或处理器45,用于支持通信设备执行上述实施例中的步骤207、步骤208以及步骤209。In another example, the communication device shown in FIG. 9 is a receiving device, and the
在一种可能的实施例中,处理器41或处理器45,还用于支持通信设备执行上述实施例中由接收设备执行的步骤201以及步骤210。In a possible embodiment, the
再一种示例,该图9所示的通信设备为发送设备,收发器43,用于支持该通信设备执行上述实施例中由发送设备执行的步骤102。处理器41或处理器45,用于支持通信设备执行上述实施例中由发送设备执行的步骤101。In another example, the communication device shown in FIG. 9 is a sending device, and the
又一种示例,该图9所示的通信设备为发送设备,收发器43,用于支持该通信设备执行上述实施例中由发送设备执行的步骤205。处理器41或处理器45,用于支持通信设备执行上述实施例中由发送设备执行的步骤204。In another example, the communication device shown in FIG. 9 is a sending device, and the
图10是本申请实施例提供的芯片150的结构示意图。芯片150包括一个或两个以上(包括两个)处理器1510和通信接口1530。FIG. 10 is a schematic structural diagram of a
可选的,该芯片150还包括存储器1540,存储器1540可以包括只读存储器和随机存取存储器,并向处理器1510提供操作指令和数据。存储器1540的一部分还可以包括非易失性随机存取存储器(non-volatile random access memory,NVRAM)。Optionally, the
在一些实施方式中,存储器1540存储了如下的元素,执行模块或者数据结构,或者他们的子集,或者他们的扩展集。In some embodiments,
在本申请实施例中,通过调用存储器1540存储的操作指令(该操作指令可存储在操作系统中),执行相应的操作。In this embodiment of the present application, the corresponding operation is performed by calling the operation instruction stored in the memory 1540 (the operation instruction may be stored in the operating system).
一种可能的实现方式中为:接收设备、发送设备所用的芯片的结构类似,不同的装置可以使用不同的芯片以实现各自的功能。A possible implementation manner is that the structures of the chips used by the receiving device and the transmitting device are similar, and different devices may use different chips to realize their respective functions.
处理器1510控制接收设备、发送设备中任一个的处理操作,处理器1510还可以称为中央处理单元(central processing unit,CPU)。The
存储器1540可以包括只读存储器和随机存取存储器,并向处理器1510提供指令和数据。存储器1540的一部分还可以包括非易失性随机存取存储器(non-volatile randomaccess memory,NVRAM)。例如应用中存储器1540、通信接口1530以及存储器1540通过总线系统1520耦合在一起,其中总线系统1520除包括数据总线之外,还可以包括电源总线、控制总线和状态信号总线等。但是为了清楚说明起见,在图10中将各种总线都标为总线系统1520。
上述本申请实施例揭示的方法可以应用于处理器1510中,或者由处理器1510实现。处理器1510可能是一种集成电路芯片,具有信号的处理能力。在实现过程中,上述方法的各步骤可以通过处理器1510中的硬件的集成逻辑电路或者软件形式的指令完成。上述的处理器1510可以是通用处理器、数字信号处理器(digital signal processing,DSP)、专用集成电路(application specific integrated circuit,ASIC)、现成可编程门阵列(field-programmable gate array,FPGA)或者其他可编程逻辑器件、分立门或者晶体管逻辑器件、分立硬件组件。可以实现或者执行本申请实施例中的公开的各方法、步骤及逻辑框图。通用处理器可以是微处理器或者该处理器也可以是任何常规的处理器等。结合本申请实施例所公开的方法的步骤可以直接体现为硬件译码处理器执行完成,或者用译码处理器中的硬件及软件模块组合执行完成。软件模块可以位于随机存储器,闪存、只读存储器,可编程只读存储器或者电可擦写可编程存储器、寄存器等本领域成熟的存储介质中。该存储介质位于存储器1540,处理器1510读取存储器1540中的信息,结合其硬件完成上述方法的步骤。The methods disclosed in the above embodiments of the present application may be applied to the
一种可能的实现方式中,通信接口1530用于执行图5或图6所示的实施例中的接收设备、发送设备的接收和发送的步骤。处理器1510用于执行图5或图6所示的实施例中的接收设备、发送设备的处理的步骤。In a possible implementation manner, the
以上通信单元可以是一种该装置的接口电路或通信接口,用于从其它装置接收信号。例如,当该装置以芯片的方式实现时,该通信单元是该芯片用于从其它芯片或装置接收信号或发送信号的接口电路或通信接口。The above communication unit may be an interface circuit or a communication interface of the device for receiving signals from other devices. For example, when the device is implemented in the form of a chip, the communication unit is an interface circuit or a communication interface used by the chip to receive or transmit signals from other chips or devices.
在上述实施例中,存储器存储的供处理器执行的指令可以以计算机程序产品的形式实现。计算机程序产品可以是事先写入在存储器中,也可以是以软件形式下载并安装在存储器中。In the above-described embodiments, the instructions stored by the memory for execution by the processor may be implemented in the form of a computer program product. The computer program product can be pre-written in the memory, or downloaded and installed in the memory in the form of software.
计算机程序产品包括一个或多个计算机指令。在计算机上加载和执行计算机程序指令时,全部或部分地产生按照本申请实施例的流程或功能。计算机可以是通用计算机、专用计算机、计算机网络、或者其他可编程装置。计算机指令可以存储在计算机可读存储介质中,或者从一个计算机可读存储介质向另一计算机可读存储介质传输,例如,计算机指令可以从一个网站站点、计算机、服务器或数据中心通过有线(例如同轴电缆、光纤、数字用户线(DSL))或无线(例如红外、无线、微波等)方式向另一个网站站点、计算机、服务器或数据中心进行传输。计算机可读存储介质可以是计算机能够存储的任何可用介质或者是包括一个或多个可用介质集成的服务器、数据中心等数据存储设备。可用介质可以是磁性介质,(例如,软盘、硬盘、磁带)、光介质(例如,DVD)、或者半导体介质(例如固态硬盘solid statedisk,SSD)等。A computer program product includes one or more computer instructions. When the computer program instructions are loaded and executed on a computer, the procedures or functions according to the embodiments of the present application are generated in whole or in part. The computer may be a general purpose computer, a special purpose computer, a computer network, or other programmable device. Computer instructions may be stored in or transmitted from one computer-readable storage medium to another computer-readable storage medium, for example, the computer instructions may be transmitted from a website site, computer, server, or data center over a wire (e.g. coaxial cable, fiber optic, digital subscriber line (DSL)) or wireless (eg, infrared, wireless, microwave, etc.) to another website site, computer, server, or data center. The computer-readable storage medium can be any available medium that can be stored by a computer or a data storage device such as a server, data center, etc. that includes one or more available media integrated. Useful media may be magnetic media (eg, floppy disks, hard disks, magnetic tapes), optical media (eg, DVDs), or semiconductor media (eg, solid state disks, SSDs), and the like.
一方面,提供一种计算机可读存储介质,计算机可读存储介质中存储有指令,当指令被运行时,使得接收设备或者应用于接收设备中的芯片执行实施例中的步骤103、步骤104、步骤105以及步骤106。In one aspect, a computer-readable storage medium is provided, where instructions are stored in the computer-readable storage medium, and when the instructions are executed, the receiving device or a chip applied in the receiving device executes steps 103, 104, Step 105 and Step 106.
另一方面,提供一种计算机可读存储介质,计算机可读存储介质中存储有指令,当指令被运行时,使得接收设备或者应用于接收设备中的芯片执行实施例中的步骤201、步骤206、步骤207、步骤208、步骤209、步骤210。On the other hand, a computer-readable storage medium is provided, where instructions are stored in the computer-readable storage medium, and when the instructions are executed, the receiving device or the chip applied in the receiving device executes steps 201 and 206 in the embodiments. , Step 207 , Step 208 , Step 209 , Step 210 .
再一方面,提供一种计算机可读存储介质,计算机可读存储介质中存储有指令,当指令被运行时,使得发送设备或者应用于发送设备中的芯片执行实施例中的步骤101、和步骤102。In another aspect, a computer-readable storage medium is provided, where instructions are stored in the computer-readable storage medium, and when the instructions are executed, the sending device or a chip applied in the sending device executes step 101 and steps in the embodiments 102.
又一方面,提供一种计算机可读存储介质,计算机可读存储介质中存储有指令,当指令被运行时,使得发送设备或者应用于发送设备中的芯片执行实施例中的步骤203、步骤204、步骤205。In another aspect, a computer-readable storage medium is provided, where instructions are stored in the computer-readable storage medium, and when the instructions are executed, the sending device or a chip applied in the sending device executes steps 203 and 204 in the embodiments , step 205 .
前述的可读存储介质可以包括:U盘、移动硬盘、只读存储器、随机存取存储器、磁碟或者光盘等各种可以存储程序代码的介质。The aforementioned readable storage medium may include: U disk, removable hard disk, read-only memory, random access memory, magnetic disk or optical disk and other media that can store program codes.
一方面,提供一种包括指令的计算机程序产品,计算机程序产品中存储有指令,当指令被运行时,使得接收设备或者应用于接收设备中的芯片执行实施例中的步骤103、步骤104、步骤105以及步骤106。On the one hand, a computer program product including instructions is provided, and instructions are stored in the computer program product, and when the instructions are executed, the receiving device or a chip applied in the receiving device executes steps 103, 104, and 104 in the embodiments. 105 and step 106.
另一方面,提供一种包括指令的计算机程序产品,计算机程序产品中存储有指令,当指令被运行时,使得接收设备或者应用于接收设备中的芯片执行实施例中的步骤201、步骤206、步骤207、步骤208、步骤209、步骤210。On the other hand, a computer program product including instructions is provided, wherein the instructions are stored in the computer program product, and when the instructions are executed, the receiving device or the chip applied in the receiving device executes steps 201, 206, Step 207, Step 208, Step 209, Step 210.
又一方面,提供一种包括指令的计算机程序产品,计算机程序产品中存储有指令,当指令被运行时,使得发送设备或者应用于发送设备中的芯片执行实施例中的步骤101、和步骤102。In yet another aspect, a computer program product including instructions is provided, and instructions are stored in the computer program product, and when the instructions are executed, the sending device or a chip applied in the sending device executes steps 101 and 102 in the embodiments .
再一方面,提供一种包括指令的计算机程序产品,计算机程序产品中存储有指令,当指令被运行时,使得发送设备或者应用于发送设备中的芯片执行实施例中的步骤203、步骤204、步骤205。In yet another aspect, a computer program product including instructions is provided, the computer program product stores instructions, and when the instructions are executed, the sending device or the chip applied in the sending device executes steps 203, 204, 204, Step 205.
一方面,提供一种芯片,该芯片应用于接收设备中,芯片包括至少一个处理器和通信接口,通信接口和至少一个处理器耦合,处理器用于运行指令,以执行实施例中的步骤103、步骤104、步骤105以及步骤106。On the one hand, a chip is provided, the chip is applied in a receiving device, the chip includes at least one processor and a communication interface, the communication interface is coupled with the at least one processor, and the processor is used for running instructions to perform steps 103, Step 104 , Step 105 and Step 106 .
又一方面,提供一种芯片,该芯片应用于接收设备中,芯片包括至少一个处理器和通信接口,通信接口和至少一个处理器耦合,处理器用于运行指令,以执行实施例中的步骤201、步骤206、步骤207、步骤208、步骤209、步骤210。In another aspect, a chip is provided, the chip is applied in a receiving device, the chip includes at least one processor and a communication interface, the communication interface is coupled to the at least one processor, and the processor is used for running instructions to execute step 201 in the embodiment , Step 206 , Step 207 , Step 208 , Step 209 , Step 210 .
一方面,提供一种芯片,该芯片应用于发送设备中,芯片包括至少一个处理器和通信接口,通信接口和至少一个处理器耦合,处理器用于运行指令,以执行实施例中的步骤101、和步骤102。On the one hand, a chip is provided, the chip is applied in a sending device, the chip includes at least one processor and a communication interface, the communication interface is coupled with the at least one processor, and the processor is used for running instructions to perform steps 101, and step 102.
又一方面,提供一种芯片,该芯片应用于发送设备中,芯片包括至少一个处理器和通信接口,通信接口和至少一个处理器耦合,处理器用于运行指令,以执行实施例中的步骤203、步骤204、步骤205。In yet another aspect, a chip is provided, the chip is applied in a sending device, the chip includes at least one processor and a communication interface, the communication interface is coupled to the at least one processor, and the processor is used for running an instruction to perform step 203 in the embodiment , Step 204 , Step 205 .
在上述实施例中,可以全部或部分地通过软件、硬件、固件或者其任意组合来实现。当使用软件程序实现时,可以全部或部分地以计算机程序产品的形式来实现。该计算机程序产品包括一个或多个计算机指令。在计算机上加载和执行计算机程序指令时,全部或部分地产生按照本申请实施例的流程或功能。计算机可以是通用计算机、专用计算机、计算机网络、或者其他可编程装置。计算机指令可以存储在计算机可读存储介质中,或者从一个计算机可读存储介质向另一个计算机可读存储介质传输,例如,计算机指令可以从一个网站站点、计算机、服务器或者数据中心通过有线(例如同轴电缆、光纤、数字用户线(digitalsubscriber line,简称DSL))或无线(例如红外、无线、微波等)方式向另一个网站站点、计算机、服务器或数据中心进行传输。计算机可读存储介质可以是计算机能够存取的任何可用介质或者是包括一个或多个可以用介质集成的服务器、数据中心等数据存储设备。可用介质可以是磁性介质(例如,软盘、硬盘、磁带),光介质(例如,DVD)、或者半导体介质(例如固态硬盘(solid state disk,简称SSD))等。In the above-mentioned embodiments, it may be implemented in whole or in part by software, hardware, firmware or any combination thereof. When implemented using a software program, it can be implemented in whole or in part in the form of a computer program product. The computer program product includes one or more computer instructions. When the computer program instructions are loaded and executed on a computer, the procedures or functions according to the embodiments of the present application are generated in whole or in part. The computer may be a general purpose computer, a special purpose computer, a computer network, or other programmable device. Computer instructions may be stored in or transmitted from one computer-readable storage medium to another computer-readable storage medium, for example, the computer instructions may be transmitted from a website site, computer, server, or data center over a wire (e.g. Coaxial cable, optical fiber, digital subscriber line (DSL)) or wireless (eg infrared, wireless, microwave, etc.) means to transmit to another website site, computer, server or data center. Computer-readable storage media can be any available media that can be accessed by a computer or data storage devices including one or more servers, data centers, etc., that can be integrated with the media. Useful media may be magnetic media (eg, floppy disks, hard disks, magnetic tapes), optical media (eg, DVD), or semiconductor media (eg, solid state disk (SSD)), and the like.
尽管在此结合各实施例对本申请进行了描述,然而,在实施所要求保护的本申请过程中,本领域技术人员通过查看附图、公开内容、以及所附权利要求书,可理解并实现公开实施例的其他变化。在权利要求中,“包括”(comprising)一词不排除其他组成部分或步骤,“一”或“一个”不排除多个的情况。单个处理器或其他单元可以实现权利要求中列举的若干项功能。相互不同的从属权利要求中记载了某些措施,但这并不表示这些措施不能组合起来产生良好的效果。Although the application is described herein in conjunction with various embodiments, in practicing the claimed application, those skilled in the art can understand and implement the disclosure by reviewing the drawings, the disclosure, and the appended claims Other variations of the embodiment. In the claims, the word "comprising" does not exclude other components or steps, and "a" or "an" does not exclude a plurality. A single processor or other unit may fulfill the functions of several items recited in the claims. The mere fact that certain measures are recited in mutually different dependent claims does not indicate that these measures cannot be combined to advantage.
尽管结合具体特征及其实施例对本申请进行了描述,显而易见的,在不脱离本申请的精神和范围的情况下,可对其进行各种修改和组合。相应地,本说明书和附图仅仅是所附权利要求所界定的本申请的示例性说明,且视为已覆盖本申请范围内的任意和所有修改、变化、组合或等同物。显然,本领域的技术人员可以对本申请进行各种改动和变型而不脱离本申请的精神和范围。这样,倘若本申请的这些修改和变型属于本申请权利要求及其等同技术的范围之内,则本申请也意图包括这些改动和变型在内。Although the application has been described in conjunction with specific features and embodiments thereof, it will be apparent that various modifications and combinations can be made therein without departing from the spirit and scope of the application. Accordingly, this specification and drawings are merely exemplary illustrations of the application as defined by the appended claims, and are deemed to cover any and all modifications, variations, combinations or equivalents within the scope of this application. Obviously, those skilled in the art can make various changes and modifications to the present application without departing from the spirit and scope of the present application. Thus, if these modifications and variations of the present application fall within the scope of the claims of the present application and their equivalents, the present application is also intended to include these modifications and variations.
| Application Number | Priority Date | Filing Date | Title |
|---|---|---|---|
| CN201910364303.4ACN111865370A (en) | 2019-04-30 | 2019-04-30 | A method, device and system for determining the angle of arrival of a signal |
| Application Number | Priority Date | Filing Date | Title |
|---|---|---|---|
| CN201910364303.4ACN111865370A (en) | 2019-04-30 | 2019-04-30 | A method, device and system for determining the angle of arrival of a signal |
| Publication Number | Publication Date |
|---|---|
| CN111865370Atrue CN111865370A (en) | 2020-10-30 |
| Application Number | Title | Priority Date | Filing Date |
|---|---|---|---|
| CN201910364303.4AWithdrawnCN111865370A (en) | 2019-04-30 | 2019-04-30 | A method, device and system for determining the angle of arrival of a signal |
| Country | Link |
|---|---|
| CN (1) | CN111865370A (en) |
| Publication number | Priority date | Publication date | Assignee | Title |
|---|---|---|---|---|
| CN112564731A (en)* | 2020-12-03 | 2021-03-26 | 维沃移动通信有限公司 | Signal processing circuit, method and electronic device |
| CN112910524A (en)* | 2021-02-03 | 2021-06-04 | 电子科技大学 | Millimeter wave beam tracking method based on probability model |
| CN113050030A (en)* | 2021-03-26 | 2021-06-29 | 北京八腕蓝通科技有限公司 | Positioning method and device based on angle of arrival ranging |
| CN113423062A (en)* | 2021-06-25 | 2021-09-21 | Oppo广东移动通信有限公司 | Communication method and related device |
| CN117411529A (en)* | 2023-10-25 | 2024-01-16 | 广州海格通信集团股份有限公司 | Beam alignment method, device, network equipment and storage medium |
| WO2024066348A1 (en)* | 2022-09-28 | 2024-04-04 | 中兴通讯股份有限公司 | Angle-of-arrival estimation method and apparatus for channel sounding reference signal (srs) |
| CN117411529B (en)* | 2023-10-25 | 2025-10-17 | 广州海格通信集团股份有限公司 | Beam alignment method, device, network equipment and storage medium |
| Publication number | Priority date | Publication date | Assignee | Title |
|---|---|---|---|---|
| CN108023841A (en)* | 2016-11-04 | 2018-05-11 | 华为技术有限公司 | Method, device, network equipment and terminal for sending and receiving quasi-co-location information |
| CN108293172A (en)* | 2015-10-08 | 2018-07-17 | 波尔特公司 | Angle of Arrival Positioning System for Tracking Objects |
| CN108337031A (en)* | 2017-12-22 | 2018-07-27 | 南京理工大学 | Mixing angle-of- arrival estimation based on Root-MUSIC in extensive MIMO |
| US20180278317A1 (en)* | 2015-12-30 | 2018-09-27 | Samsung Electronics Co., Ltd | Method and apparatus for channel state information reference signal (csi-rs) |
| CN108632008A (en)* | 2017-03-24 | 2018-10-09 | 华为技术有限公司 | Reference signal transmission technology |
| CN109150467A (en)* | 2017-06-16 | 2019-01-04 | 华为技术有限公司 | Communication means, relevant device and computer storage medium |
| US20190037351A1 (en)* | 2005-12-15 | 2019-01-31 | Polte Corporation | Angle of arrival (aoa) positioning method and system for positional finding and tracking objects using reduced attenuation rf technology |
| US20190081753A1 (en)* | 2017-09-11 | 2019-03-14 | Lenovo (Singapore) Pte. Ltd. | Reference signals for radio link monitoring |
| Publication number | Priority date | Publication date | Assignee | Title |
|---|---|---|---|---|
| US20190037351A1 (en)* | 2005-12-15 | 2019-01-31 | Polte Corporation | Angle of arrival (aoa) positioning method and system for positional finding and tracking objects using reduced attenuation rf technology |
| CN108293172A (en)* | 2015-10-08 | 2018-07-17 | 波尔特公司 | Angle of Arrival Positioning System for Tracking Objects |
| US20180278317A1 (en)* | 2015-12-30 | 2018-09-27 | Samsung Electronics Co., Ltd | Method and apparatus for channel state information reference signal (csi-rs) |
| CN108023841A (en)* | 2016-11-04 | 2018-05-11 | 华为技术有限公司 | Method, device, network equipment and terminal for sending and receiving quasi-co-location information |
| CN108632008A (en)* | 2017-03-24 | 2018-10-09 | 华为技术有限公司 | Reference signal transmission technology |
| CN109150467A (en)* | 2017-06-16 | 2019-01-04 | 华为技术有限公司 | Communication means, relevant device and computer storage medium |
| US20190081753A1 (en)* | 2017-09-11 | 2019-03-14 | Lenovo (Singapore) Pte. Ltd. | Reference signals for radio link monitoring |
| CN108337031A (en)* | 2017-12-22 | 2018-07-27 | 南京理工大学 | Mixing angle-of- arrival estimation based on Root-MUSIC in extensive MIMO |
| Publication number | Priority date | Publication date | Assignee | Title |
|---|---|---|---|---|
| CN112564731A (en)* | 2020-12-03 | 2021-03-26 | 维沃移动通信有限公司 | Signal processing circuit, method and electronic device |
| CN112910524A (en)* | 2021-02-03 | 2021-06-04 | 电子科技大学 | Millimeter wave beam tracking method based on probability model |
| CN113050030A (en)* | 2021-03-26 | 2021-06-29 | 北京八腕蓝通科技有限公司 | Positioning method and device based on angle of arrival ranging |
| CN113423062A (en)* | 2021-06-25 | 2021-09-21 | Oppo广东移动通信有限公司 | Communication method and related device |
| CN113423062B (en)* | 2021-06-25 | 2022-04-01 | Oppo广东移动通信有限公司 | Communication method and related device |
| WO2024066348A1 (en)* | 2022-09-28 | 2024-04-04 | 中兴通讯股份有限公司 | Angle-of-arrival estimation method and apparatus for channel sounding reference signal (srs) |
| CN117411529A (en)* | 2023-10-25 | 2024-01-16 | 广州海格通信集团股份有限公司 | Beam alignment method, device, network equipment and storage medium |
| CN117411529B (en)* | 2023-10-25 | 2025-10-17 | 广州海格通信集团股份有限公司 | Beam alignment method, device, network equipment and storage medium |
| Publication | Publication Date | Title |
|---|---|---|
| CN111865370A (en) | A method, device and system for determining the angle of arrival of a signal | |
| KR102811191B1 (en) | Apparatus and method for estmating direction in wireless communication system | |
| CN110971359B (en) | Method and equipment for indicating beam information in wireless communication network | |
| WO2018127151A1 (en) | Precoding matrix instruction method, apparatus and system | |
| Obara et al. | Joint processing of analog fixed beamforming and CSI-based precoding for super high bit rate massive MIMO transmission using higher frequency bands | |
| WO2018202215A1 (en) | Uplink signal configuration method and apparatus, and uplink signal determination method and apparatus | |
| EP3609086B1 (en) | Apparatuses and methods of user equipment specific codebook design | |
| US20250055521A1 (en) | Methods, baseband unit system, aggregation unit and radio unit of a distributed base station system for handling downlink communication | |
| CN114598415A (en) | Electronic device and operation method thereof, wireless communication system and wireless communication method | |
| US20250167833A1 (en) | Communication method and apparatus | |
| WO2023011185A1 (en) | Channel information measurement method and communication apparatus | |
| WO2021062810A1 (en) | Method for sending sounding reference signal, and related product | |
| CN108123745B (en) | A data transmission method, receiver and transmitter | |
| WO2022262532A1 (en) | Symbol transmission method and communication apparatus | |
| EP4038759B1 (en) | Method and network device for beam vector selection | |
| EP4214856A1 (en) | Technique for dual-polarized beamforming | |
| US20250063586A1 (en) | Methods, baseband unit system, aggregation unit and radio unit of a distributed base station system for handling uplink communication | |
| EP4302419B1 (en) | Baseband unit, radio unit and methods in a wireless communications networks | |
| US20250300859A1 (en) | Channel reciprocity transform for multiple frequency beam-forming | |
| US20240195472A1 (en) | Baseband unit, radio unit and methods in a wireless communications network | |
| KR20220142154A (en) | Apparatus and method for performing communiation based on tae in wireless communication system | |
| CN109510683B (en) | Method for sending and receiving reference signal, network equipment and terminal equipment | |
| CN119997240A (en) | A measurement reporting method and related device | |
| WO2025090242A1 (en) | Techniques for speedy determination of adaptive beam weights | |
| WO2025036059A1 (en) | Channel measurement method, and apparatus |
| Date | Code | Title | Description |
|---|---|---|---|
| PB01 | Publication | ||
| PB01 | Publication | ||
| SE01 | Entry into force of request for substantive examination | ||
| SE01 | Entry into force of request for substantive examination | ||
| WW01 | Invention patent application withdrawn after publication | Application publication date:20201030 | |
| WW01 | Invention patent application withdrawn after publication |