





技术领域technical field
本发明主要用于生命信号检测,特别涉及一种基于OMP的静态人体心跳和呼吸信号分离重构方法。The invention is mainly used for life signal detection, and particularly relates to a method for separating and reconstructing static human heartbeat and respiration signals based on OMP.
背景技术Background technique
传统生命信号检测方法有压力传感器法、心电图法等方法。然而,这些方法通过直接接触身体达到监测心跳和呼吸信号的目地,使得被测量者感到不适甚至无法进行检测。同时,由于人体各种生理活动引起体表微动,接触式方法的检测结果会受体表微动的干扰。非接触式生命信号探测技术可以在不接触身体的情况下,实现呼吸和心跳信号检测,能够给人体提供更加轻松和舒适的体验。 EarlySense推出的非接触式监护传感器,通过监测患者的心率、呼吸等数据进行新冠肺炎(COVID-19)患者的筛查。因此,随着现代社会对健康医疗的重视,非接触式生命信号探测技术日益成为最吸引人的技术之一。Traditional life signal detection methods include pressure sensor method, electrocardiogram method and other methods. However, these methods achieve the purpose of monitoring heartbeat and breathing signals through direct contact with the body, making the measured person feel uncomfortable or even unable to detect. At the same time, due to the micro-movement of the body surface caused by various physiological activities of the human body, the detection results of the contact method will be disturbed by the surface micro-motion. The non-contact life signal detection technology can realize the detection of breathing and heartbeat signals without touching the body, which can provide a more relaxed and comfortable experience for the human body. The non-contact monitoring sensor launched by EarlySense can screen patients with new coronary pneumonia (COVID-19) by monitoring the patient's heart rate, breathing and other data. Therefore, with the emphasis on health care in modern society, non-contact life signal detection technology has increasingly become one of the most attractive technologies.
基于此,线性调频连续波(frequency modulated continuous wave,FMCW) 非接触式生命监测雷达是非接触式生命特征监测技术领域的研究热点。FMCW 雷达不仅能通过多普勒检测获得目标的位移运动,还能通过距离测量算法得到目标的绝对距离。FMCW雷达传感器通过向人体发射特定波形的电磁波,对回波信号的相位进行提取和处理,进而检测人体呼吸和心跳的运动特征。雷达生命信号检测技术除了直接监测呼吸心跳信号,在抢险救援、睡眠监测、跌倒检测等领域有着广阔的应用需求。Based on this, frequency modulated continuous wave (FMCW) non-contact life monitoring radar is a research hotspot in the field of non-contact life sign monitoring technology. FMCW radar can not only obtain the displacement movement of the target through Doppler detection, but also obtain the absolute distance of the target through the distance measurement algorithm. The FMCW radar sensor extracts and processes the phase of the echo signal by emitting electromagnetic waves with a specific waveform to the human body, and then detects the movement characteristics of the human body's breathing and heartbeat. In addition to directly monitoring breathing and heartbeat signals, radar life signal detection technology has broad application requirements in fields such as emergency rescue, sleep monitoring, and fall detection.
由于生命信号是呼吸和心跳的复合信号,虽然心跳和呼吸信号是周期性的,但当谐波频率和噪声频率存在时,使得主要的呼吸信号并不是理想的周期性正弦波,心跳和呼吸频率很容易被淹没在谐波或噪声中。特别是心跳频率,即使差分后使得心跳频率更明显,当主要的呼吸信号不是周期性时,容易出现大于心跳频率峰值的谐波峰值,使得频域1D-FFT方法和时域自相关方法估计错误,必须先分离心跳和呼吸信号。已有研究根据呼吸与心跳频率范围不同,设计两个带通滤波器完成呼吸和心跳信号分离。然而,由于呼吸运动造成的胸腔位移远大于心跳,生命信号中呼吸信号幅度远大于心跳信号,因此呼吸信号的高次谐波幅度可能超过心跳信号幅度,对心跳信号的提取造成很大的干扰。当信号和噪声的频谱重叠时,呼吸和心跳信号估计准确率严重下降,甚至无法恢复。值得注意的是,有研究者提出经验模态分解实现呼吸和心跳信号的分离,但其计算开销非常大。Since the vital signal is a composite signal of respiration and heartbeat, although the heartbeat and respiration signals are periodic, when harmonic frequencies and noise frequencies exist, the main respiration signal is not an ideal periodic sine wave, the heartbeat and respiration frequencies It's easy to get lost in harmonics or noise. Especially the heartbeat frequency, even if the difference makes the heartbeat frequency more obvious, when the main respiratory signal is not periodic, it is easy to appear harmonic peaks larger than the peak value of the heartbeat frequency, making the
因此,本发明利用正交匹配追踪法(Orthogonal Matching Pursuit,OMP)对心跳和呼吸信号进行分离重构,提高心率和呼吸率检测的准确率。Therefore, the present invention utilizes the orthogonal matching pursuit method (Orthogonal Matching Pursuit, OMP) to separate and reconstruct the heartbeat and respiration signals, thereby improving the detection accuracy of the heartbeat and respiration rate.
发明内容SUMMARY OF THE INVENTION
基于上述现有呼吸和心跳信号分离方法的缺陷和不足,本发明提供了一种基于正交匹配追踪的FMCW雷达静态人体心跳和呼吸信号分离重构方法。本发明首先根据人体目标的雷达回波信号获取距离信息构建距离-时间图(Range-Time- Map,RTM),以确定待检测人体目标所在位置。然后进行I/Q两路直流偏移校正,利用扩展的微分交叉乘法(extendeddifferentiate and cross multiply,DACM)算法对非线性解调相位进行展开,同时采用差分相位对心跳信号进行增强以进一步提取由呼吸和胸腔位移运动引起的准确的相位变化信息。最后采用正交匹配追踪法对心跳和呼吸信号进行分离重构,有效的减小谐波、噪声对心率和呼吸频率估计的影响。Based on the defects and deficiencies of the above-mentioned existing methods for separating breathing and heartbeat signals, the present invention provides a method for separating and reconstructing static human heartbeat and breathing signals of FMCW radar based on orthogonal matching pursuit. The present invention first obtains the distance information according to the radar echo signal of the human target and constructs a range-time map (Range-Time-Map, RTM) to determine the position of the human target to be detected. Then carry out I/Q two-way DC offset correction, use the extended differential and cross multiply (DACM) algorithm to expand the nonlinear demodulation phase, and use the differential phase to enhance the heartbeat signal to further extract from the breath. and accurate phase change information due to thoracic displacement motion. Finally, the orthogonal matching tracking method is used to separate and reconstruct the heartbeat and respiration signals, which can effectively reduce the influence of harmonics and noise on the estimation of heart rate and respiration frequency.
一种基于OMP的静态人体心跳和呼吸信号分离重构方法,具体包括以下步骤:A kind of OMP-based static human heartbeat and respiration signal separation and reconstruction method, specifically comprises the following steps:
1)利用FMCW雷达采集人体目标信息得到雷达中频信号,对单帧中频信号做快速傅里叶变化得到距离向量矩阵Rm,再通过时间进行多帧累积,将n帧距离向量以列形式构建距离-时间矩阵RT=[R1,R2,…Rm]m×n,从而得到距离-时间图 (Range-Time-Map,RTM),进而通过不同距离区间的最大平均功率来确定待检测目标;1) Use FMCW radar to collect human target information to obtain radar intermediate frequency signal, perform fast Fourier transformation on single frame intermediate frequency signal to obtain distance vector matrix Rm , and then accumulate multiple frames through time, and construct distance vectors in the form of columns from n frames of distance vectors -Time matrix RT =[R1 , R2 ,...Rm ]m×n , thereby obtaining a range-time map (Range-Time-Map, RTM), and then determining the to-be-detected by the maximum average power in different distance intervals Target;
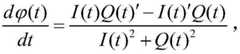
2)将待检测的人体目标信号B(t)进行正交下变换,并用差分放大器进行直流校正,得到I(t)和Q(t)两路信号组成的复数信号I(t)+j·Q(t),使用非线性反正切解调得到呼吸心跳信号相位值接着使用DACM算法将反正切三角函数计算变为求导运算其中Q(t)′和I(t)′分别是Q(t)和I(t) 的微分形式,最后在离散形式下,通过时间累加还原出2) Perform quadrature down-conversion of the human body target signal B(t) to be detected, and perform DC correction with a differential amplifier to obtain a complex signal I(t)+j composed of two signals of I(t) and Q(t) Q(t), using nonlinear arctangent demodulation to obtain the phase value of the respiratory heartbeat signal Then use the DACM algorithm to change the arctangent trigonometric function calculation into a derivative operation where Q(t)' and I(t)' are the differential forms of Q(t) and I(t), respectively, and finally, in the discrete form, they are restored by time accumulation.
3)采用正交匹配追踪法(Orthogonal Matching Pursuit,OMP)算法对呼吸和心跳信号进行分离重构,其具体步骤如下:3) Using the orthogonal matching pursuit method (Orthogonal Matching Pursuit, OMP) algorithm to separate and reconstruct the breathing and heartbeat signals, and the specific steps are as follows:
3a)心跳频率区间为[0.8Hz-2Hz],呼吸频率区间为[0.1Hz-0.5Hz],设计两个二阶级联的四阶IIR带通滤波器将心跳和呼吸信号分离,其采样率为20Hz,将差分信号分别经过设计的两个带通滤波器,分离出心跳和呼吸信号;3a) The heartbeat frequency range is [0.8Hz-2Hz], and the breathing frequency range is [0.1Hz-0.5Hz]. Two second-stage cascaded fourth-order IIR bandpass filters are designed to separate the heartbeat and breathing signals. The sampling rate is At 20Hz, the differential signal is passed through two designed band-pass filters to separate the heartbeat and respiration signals;
3b)心跳和呼吸信号的稀疏表示x=ψ(α+w),其中Ψ={ψ1,ψ2,ψ3,…,ψN}为频域正交变换基,α为N×1的权重系数,w为噪声,将原始信号投影到M×N测量矩阵Φ上得到x的非自适投影值 y=Φx=ΦΨ(α+w)=ACSα+Z,其中,ACS=ΦΨ为感知矩阵,Z=ΦΨw为噪声的投影值,为了获得无噪的心跳和呼吸信号,分别保留y中k=1个重要分量;3b) Sparse representation of heartbeat and respiration signals x=ψ(α+w), where ψ={ψ1 , ψ2 , ψ3 ,...,ψN } is the frequency domain orthogonal transform basis, and α is N×1 Weight coefficient, w is noise, project the original signal to the M×N measurement matrix Φ to obtain the non-adaptive projection value of x y=Φx=ΦΨ(α+w)=ACS α+Z, where ACS =ΦΨ is the perception matrix, Z=ΦΨw is the projection value of the noise, in order to obtain the noiseless heartbeat and respiration signals, respectively keep k=1 important component in y;
3c)求解L1范数最优值,arg min||α||1 s.t.||Acsα-y||2≤ε,其中ε为噪声边界,得到权重系数α,由x=ψα重构出原始信号x;3c) Solve the optimal value of L1 norm, arg min||α||1 st||Acs α-y||2 ≤ε, where ε is the noise boundary, obtain the weight coefficient α, which is reconstructed from x=ψα original signal x;
3d)当重构信号频谱峰值等于原始信号频谱峰值时,输出重构信号3d) When the spectral peak of the reconstructed signal is equal to the spectral peak of the original signal, output the reconstructed signal
3e)找出重构信号频谱所有峰值并保留在[0.8Hz-2Hz]频谱区间的峰,利用差分法去除呼吸谐波峰,统计重构信号峰值对应频率出现的次数定义一个频率权重系数k代表重构对应频率出现次数,计算其心跳频率为其中fi是每组重构信号的峰值频率,呼吸率由快速傅里叶变化获得。3e) Find all the peaks of the reconstructed signal spectrum and keep the peaks in the [0.8Hz-2Hz] spectrum range, use the difference method to remove the respiratory harmonic peaks, and count the number of occurrences of the corresponding frequencies of the reconstructed signal peaks define a frequency weighting factor k represents the number of occurrences of the corresponding frequency of reconstruction, and the heartbeat frequency is calculated as where fi is the peak frequency of each group of reconstructed signals, and the respiration rate is obtained by fast Fourier transform.
本发明具有以下优点:对比传统的技术方法,本发明通过FMCW雷达实现非接触式检测人体生命特征信号,使得应用范围更加广泛,使用条件更加宽松。避免传统接触式检测设备带给患者的束缚和不舒适感。基于现有的技术问题,提供了一种基于正交匹配追踪法的静态人体心跳和呼吸信号分离重构方法。它有效地减小谐波、噪声对心率和呼吸频率估计的影响,并大大提高呼吸率和心率的检测准确率。The present invention has the following advantages: compared with the traditional technical methods, the present invention realizes non-contact detection of human vital signs through FMCW radar, so that the application range is wider and the use conditions are more relaxed. Avoid the restraint and discomfort that traditional contact testing equipment brings to patients. Based on the existing technical problems, a method for separating and reconstructing static human heartbeat and respiration signals based on an orthogonal matching pursuit method is provided. It effectively reduces the influence of harmonics and noise on the estimation of heart rate and respiratory rate, and greatly improves the detection accuracy of respiratory rate and heart rate.
附图说明Description of drawings
图1人体心跳和呼吸信号检测流程图Figure 1. Flow chart of human heartbeat and respiration signal detection
图2 RTM构建流程图Figure 2 RTM construction flow chart
图3呼吸滤波器幅频响应图Figure 3 Amplitude-frequency response diagram of breathing filter
图4心跳滤波器幅频响应图Fig.4 Amplitude-frequency response diagram of heartbeat filter
图5心跳和呼吸波形及其频谱图Figure 5 Heartbeat and respiration waveforms and their spectrograms
图6 OMP重构心跳和呼吸信号及其频谱图Figure 6 OMP reconstructed heartbeat and respiration signals and their spectrograms
具体实施方式Detailed ways
本发明所采用的技术方案为:一种基于OMP的静态人体心跳和呼吸信号分离重构方法,其主要包括以下步骤:The technical scheme adopted in the present invention is: a kind of OMP-based static human heartbeat and respiration signal separation and reconstruction method, which mainly comprises the following steps:
1)FMCW雷达信号调制方式有两种,分别是锯齿波和三角波,本发明中采用锯齿波调制方式。雷达系统的发射信号在传播过程中遇到物体发生反射,经过时延td后雷达接收到回波信号,FMCW雷达的发射信号为可表示为:1) There are two modulation modes of FMCW radar signal, namely sawtooth wave and triangular wave. In the present invention, the sawtooth wave modulation mode is adopted. The transmitted signal of the radar system is reflected by the object during the propagation process. After the delay td , the radar receives the echo signal. The transmitted signal of the FMCW radar can be expressed as:
其中,是线性调频信号的斜率,代表频率的变化率,fc是线性调频信号起始频率,B是带宽,ATX是发射信号的幅值,Tc是线性调频信号脉宽,为相位噪声。in, is the slope of the chirp signal, representing the rate of change of the frequency, fc is the starting frequency of the chirp signal, B is the bandwidth, ATX is the amplitude of the transmitted signal, Tc is the pulse width of the chirp signal, is the phase noise.
假设R(t)是胸腔运动位移,雷达传感器到人体距离为d0,则胸腔到雷达的距离x(t)=R(t)+d0,时延可以得到接收信号:Assuming that R(t) is the movement displacement of the thorax, and the distance from the radar sensor to the human body is d0 , then the distance from the thorax to the radar is x(t)=R(t)+d0 , the time delay The received signal can be obtained:
回波信号和发送信号通过I/Q两路正交混合后,再经过低通滤波器得到中频信号SIF(t):After the echo signal and the transmitted signal are mixed in quadrature through I/Q, the intermediate frequency signal SIF (t) is obtained through a low-pass filter:
2)根据步骤1)FMCW雷达的目标距离计算为:2) According to step 1) the target distance of the FMCW radar is calculated as:
其中Fs是采样率,c是光速,S是锯齿波扫频的斜率。在A/D后获取的单帧拍频信号为快采样和慢采样组成的二维矩阵,纵轴对应扫频数构建的慢时间轴,横轴为快时间采样点数Msamples。为抑制旁瓣泄露,加汉明窗滤波,同时对快时间采样点进行FFT获取距离-FFT向量进而得到对应雷达视场距离分布。采用多扫频方式,利用二维矩阵中N个扫频按列计算获得均值距离谱。基于多扫频相干累积得到的距离谱构建距离-时间图,具体地构建流程如图2所示。where Fs is the sampling rate, c is the speed of light, and S is the slope of the sawtooth sweep. The single-frame beat signal obtained after A/D is a two-dimensional matrix composed of fast sampling and slow sampling. The vertical axis corresponds to the slow time axis constructed by the sweep number, and the horizontal axis is the number of fast time sampling points Msamples . In order to suppress sidelobe leakage, a Hamming window filter is added, and at the same time, FFT is performed on the fast-time sampling points to obtain the distance-FFT vector, and then the corresponding radar field of view distance distribution is obtained. The multi-sweep method is adopted, and the mean distance spectrum is obtained by calculating the N sweeps in the two-dimensional matrix by column. The distance-time map is constructed based on the distance spectrum obtained by multi-sweep coherent accumulation, and the specific construction process is shown in Fig. 2 .
3)根据2)所确定的距离区间来提取相位信息。对检测到的目标经过干扰消除后,然后将该帧数据进行距离-FFT,从识别的距离区间提取相位值进行生命特征估计。在步骤1)中的(3)式中,对于单个目标检测,其信号表达形式:3) Extract phase information according to the distance interval determined in 2). After the interference of the detected target is eliminated, the frame data is then subjected to distance-FFT, and the phase value is extracted from the identified distance interval to estimate the vital signs. In formula (3) in step 1), for single target detection, its signal expression form:
B(t)=cos(2πfbnTm+ψl) (6)B(t)=cos(2πfb nTm +ψl ) (6)
4)I/Q两路解调信号表示为:4) The I/Q two-way demodulation signal is expressed as:
BI(t)=AIcos(2πfbnTm+ψl)+DCI (7)BI (t)=AI cos(2πfb nTm +ψl )+DCI (7)
BQ(t)=AQsin(2πfbnTm+ψl)+DCQ (8)BQ (t)=AQ sin(2πfb nTm +ψl )+DCQ (8)
式中AI/AQ是I/Q两路通道的幅值,DCI/DCQ分别是其两路的直流偏置。直流偏移主要受到电路元件缺陷的影响,因此需校正干扰的直流分量获取采用圆中心动态直流偏移跟踪,该方法使用高效的梯度下降算法可以实现动态直流偏移跟踪,然后进行直流偏移校正。对I/Q两路进行直流偏移校正,令 AI=AQ=AR,得:In the formula, AI /AQ is the amplitude of the two channels of I/Q, and DCI /DCQ are the DC offsets of the two channels respectively. The DC offset is mainly affected by the defects of circuit components, so it is necessary to correct the interference of the DC component to obtain Using the dynamic DC offset tracking at the center of the circle, this method uses an efficient gradient descent algorithm to achieve dynamic DC offset tracking, and then performs DC offset correction. Perform DC offset correction on the I/Q two circuits, let AI =AQ =AR , we can get:
|BI(t)-DCI|2+|BQ(t)-DCQ|2=AR2 (9)|BI (t)-DCI |2 +|BQ (t)-DCQ |2 =AR2 (9)
采用梯度下降算法,最小化以下优化函数:Using the gradient descent algorithm, minimize the following optimization function:
当上式取得最小值时,将取得最优结果。When the above formula takes the minimum value, the optimal result will be obtained.
5)使用扩展的微分交叉乘法算法。令该算法可以自动进行相位补偿和解决相位模糊的问题。DACM算法将反正切函数变为求导运算,则:5) Use the extended differential cross-multiplication algorithm. make The algorithm can automatically perform phase compensation and solve the problem of phase ambiguity. The DACM algorithm turns the arctangent function into a derivative operation, then:
式中Q(t)′与I(t)′分别是Q(t)和I(t)的微分形式。将该式用离散形式表示并将积分变为累加得:where Q(t)' and I(t)' are the differential forms of Q(t) and I(t), respectively. Representing this formula in discrete form and turning the integral into accumulation, we get:
6)采用OMP算法对呼吸和心跳信号进行分离重构,其具体步骤如下:6) adopt OMP algorithm to carry out separation and reconstruction to respiration and heartbeat signal, and its concrete steps are as follows:
6a)心跳频率区间为[0.8Hz-2Hz],呼吸频率区间为[0.1Hz-0.5Hz]。设计两个二阶级联的四阶IIR带通滤波器将心跳和呼吸信号分离;其采样率为20Hz。呼吸和心跳信号滤波幅频响应如图3和图4所示。将差分信号分别经过设计的两个带通滤波器,分离出心跳和呼吸信号,如图5所示。6a) The heartbeat frequency range is [0.8Hz-2Hz], and the breathing frequency range is [0.1Hz-0.5Hz]. Two second-stage cascaded fourth-order IIR bandpass filters are designed to separate the heartbeat and respiration signals; the sampling rate is 20Hz. The filtered amplitude-frequency responses of the respiration and heartbeat signals are shown in Figures 3 and 4. Pass the differential signal through two designed band-pass filters to separate the heartbeat and respiration signals, as shown in Figure 5.
6b)心跳信号和呼吸信号具有稀疏性,心跳和呼吸信号的稀疏表示:6b) Heartbeat signal and breathing signal have sparseness, the sparse representation of heartbeat and breathing signal:
x=ψ(α+w) (13)x=ψ(α+w) (13)
其中Ψ={ψ1,ψ2,ψ3,…,ψN}频域正交变换基,α为N×1的权重系数,w 为噪声。保留非自适应线性投影值y中K个重要特征分量,将原始信号投影到 M×N的测量矩阵Φ=[φ1,φ2,φ3,…,φN]上,则信号x的自适应投影值where Ψ={ψ1 , ψ2 , ψ3 ,...,ψN } frequency domain orthogonal transform basis, α is a weight coefficient of N×1, and w is noise. Retain the K important eigencomponents in the non-adaptive linear projection value y, and project the original signal to the M×N measurement matrix Φ=[φ1 , φ2 , φ3 ,..., φN ], then the automatic signal x Adapt projection value
y=Φx=ΦΨ(α+w)=ACSα+Z (14)y=Φx=ΦΨ(α+w)=ACS α+Z (14)
其中,ACS=ΦΨ为感知矩阵,Z=ΦΨw为噪声的投影值。Among them, ACS =ΦΨ is the perception matrix, and Z=ΦΨw is the projection value of the noise.
6c)测量矩阵M<<N,y中重构x是一个不适定问题,故方程(14)是一个欠定方程。Φ与ΨH极端不相似,所以用L1范数求出最优值,即:6c) The measurement matrix M<<N, the reconstruction of x in y is an ill-posed problem, so equation (14) is an underdetermined equation. Φ and ΨH are extremely dissimilar, so the L1 norm is used to find the optimal value, namely:
arg min||α||1 s.t.||Acsα-y||2≤ε (15)arg min||α||1 st||Acs α-y||2 ≤ε (15)
其中是α的L1范数,ε是噪声边界。求出α后由式(13)重构信号x。分别保留y中k=1个重要分量,用来获得无噪的心跳或呼吸信号。in is the L1 norm of α and ε is the noise boundary. After obtaining α, the signal x is reconstructed by equation (13). The k=1 important components in y are respectively reserved to obtain a noiseless heartbeat or respiration signal.
6d)为保证所重构出来的信号为去噪后的心跳或呼吸信号,设置限制条件,当重构信号频谱峰值等于原始信号频谱峰值时才输出重构信号,结果见图6。6d) In order to ensure that the reconstructed signal is the denoised heartbeat or respiration signal, limit conditions are set, and the reconstructed signal is output only when the spectral peak value of the reconstructed signal is equal to the spectral peak value of the original signal. The results are shown in Figure 6.
6e)呼吸率由快速傅里叶变换获得。对于心跳频谱来说,其最大峰值可能不一定与心率相对应。为此找出重构信号频谱所有峰并保留在[0.8Hz-2HZ]频谱区间的峰,利用差分法去除呼吸谐波峰,统计重构信号峰值对应频率出现的次数,定义一个频率权重系数其中k代表重构对应频率出现次数,代表重构次数,则心跳频率为:6e) Respiration rate is obtained by Fast Fourier Transform. For the heartbeat spectrum, its maximum peak may not necessarily correspond to the heart rate. To this end, find all the peaks of the reconstructed signal spectrum and keep the peaks in the [0.8Hz-2HZ] spectrum range, use the difference method to remove the respiratory harmonic peak, count the number of occurrences of the corresponding frequency of the reconstructed signal peak, and define a frequency weight coefficient where k represents the number of occurrences of the reconstructed corresponding frequency, represents the number of reconstructions, the heartbeat frequency is:
| Application Number | Priority Date | Filing Date | Title |
|---|---|---|---|
| CN202010440052.6ACN111856452B (en) | 2020-05-21 | 2020-05-21 | Separation and reconstruction method of static human heartbeat and respiration signals based on OMP |
| Application Number | Priority Date | Filing Date | Title |
|---|---|---|---|
| CN202010440052.6ACN111856452B (en) | 2020-05-21 | 2020-05-21 | Separation and reconstruction method of static human heartbeat and respiration signals based on OMP |
| Publication Number | Publication Date |
|---|---|
| CN111856452A CN111856452A (en) | 2020-10-30 |
| CN111856452Btrue CN111856452B (en) | 2022-09-20 |
| Application Number | Title | Priority Date | Filing Date |
|---|---|---|---|
| CN202010440052.6AExpired - Fee RelatedCN111856452B (en) | 2020-05-21 | 2020-05-21 | Separation and reconstruction method of static human heartbeat and respiration signals based on OMP |
| Country | Link |
|---|---|
| CN (1) | CN111856452B (en) |
| Publication number | Priority date | Publication date | Assignee | Title |
|---|---|---|---|---|
| CN112998668B (en)* | 2021-02-06 | 2022-08-23 | 路晟悠拜(重庆)科技有限公司 | Millimeter wave-based non-contact far-field multi-human-body respiration heart rate monitoring method |
| CN113116342A (en)* | 2021-04-26 | 2021-07-16 | 上海交通大学 | Life signal monitoring method based on millimeter wave radar |
| CN113468494B (en)* | 2021-06-16 | 2024-04-12 | 南京润楠医疗电子研究院有限公司 | Non-contact heartbeat-based user identity continuous authentication method and system |
| CN113440120B (en)* | 2021-06-17 | 2022-10-28 | 北京航空航天大学 | Millimeter wave radar-based method for detecting respiration and heartbeat of person |
| CN113545764B (en)* | 2021-07-16 | 2022-03-25 | 中国人民解放军国防科技大学 | A kind of FMCW radar personnel identity verification data processing method and system |
| CN113589249B (en)* | 2021-07-16 | 2024-08-09 | 中山艾朗格科技有限公司 | Signal processing method for calibrating direct current offset of single-frequency continuous wave Doppler radar |
| CN114010172B (en)* | 2021-10-22 | 2022-08-05 | 西北工业大学 | A non-contact motion information demodulation method based on arc-string approximation principle |
| CN114305355B (en)* | 2022-01-05 | 2023-08-22 | 北京科技大学 | Respiratory heartbeat detection method, system and device based on millimeter wave radar |
| CN114403820B (en)* | 2022-01-13 | 2024-07-12 | 武汉烽火凯卓科技有限公司 | Vital sign detection method and system of moving target |
| CN114601432B (en)* | 2022-01-28 | 2024-10-11 | 中国第一汽车股份有限公司 | Vehicle-mounted human body information acquisition method and device and vehicle |
| CN114366066B (en)* | 2022-02-17 | 2025-05-30 | 嘉兴大学 | Human breathing and heartbeat detection method based on terahertz and recurrent neural network |
| CN115590488A (en)* | 2022-10-27 | 2023-01-13 | 交叉信息核心技术研究院(西安)有限公司(Cn) | Method, system, equipment and storage medium for monitoring driving state of driver |
| CN116369934B (en)* | 2023-03-30 | 2025-05-27 | 北京邮电大学 | Non-contact electrocardio monitoring method and system based on millimeter wave perception |
| CN116831540B (en)* | 2023-07-10 | 2024-05-14 | 康力元(天津)医疗科技有限公司 | Millimeter wave-based non-contact vital sign monitoring method and system |
| Publication number | Priority date | Publication date | Assignee | Title |
|---|---|---|---|---|
| WO1984001705A1 (en)* | 1982-10-29 | 1984-05-10 | London Hospital Med Coll | Cardio-respiratory monitor apparatus & method |
| CN103211598A (en)* | 2013-03-27 | 2013-07-24 | 中山大学 | Radio frequency respiration monitoring system and compressive sensing implementing method |
| CN104382614A (en)* | 2014-12-09 | 2015-03-04 | 重庆邮电大学 | Heart and lung sound signal separation method and device based on fast ICA (independent component analysis) |
| CN104765031A (en)* | 2015-03-02 | 2015-07-08 | 太原理工大学 | Ultra-wide bandwidth microwave chaos life detection radar device |
| CN106821347A (en)* | 2016-12-20 | 2017-06-13 | 中国人民解放军第三军医大学 | A kind of life detection radar breathing of FMCW broadbands and heartbeat signal extraction algorithm |
| CN109326355A (en)* | 2018-08-16 | 2019-02-12 | 浙江树人学院 | A firefighter's breathing sound monitoring earphone and its body state assessment method |
| CN109799499A (en)* | 2019-01-28 | 2019-05-24 | 沈阳航空航天大学 | A kind of through-wall radar wall method for parameter estimation |
| CN109875543A (en)* | 2019-02-01 | 2019-06-14 | 电子科技大学 | Heart rate estimation method and device for wearable heart rate monitoring equipment under various fitness exercise states |
| CN109917347A (en)* | 2019-04-10 | 2019-06-21 | 电子科技大学 | A radar pedestrian detection method based on sparse reconstruction in time-frequency domain |
| CN110584631A (en)* | 2019-10-10 | 2019-12-20 | 重庆邮电大学 | Static human heartbeat and respiration signal extraction method based on FMCW radar |
| Publication number | Priority date | Publication date | Assignee | Title |
|---|---|---|---|---|
| US11051702B2 (en)* | 2014-10-08 | 2021-07-06 | University Of Florida Research Foundation, Inc. | Method and apparatus for non-contact fast vital sign acquisition based on radar signal |
| CN104749572B (en)* | 2015-04-01 | 2017-03-22 | 西北工业大学 | Robust compressed sensing narrow band spinning target imaging method |
| CN109522826B (en)* | 2018-10-31 | 2020-10-09 | 广东工业大学 | A life signal detection method and system based on FMCW millimeter wave radar |
| CN109793505A (en)* | 2018-12-05 | 2019-05-24 | 天津大学 | A human body thermal stress monitoring system in high temperature environment |
| CN110192850A (en)* | 2019-05-31 | 2019-09-03 | 湖南省顺鸿智能科技有限公司 | Extracting method and system based on heartbeat signal under radar return strong noise background |
| Publication number | Priority date | Publication date | Assignee | Title |
|---|---|---|---|---|
| WO1984001705A1 (en)* | 1982-10-29 | 1984-05-10 | London Hospital Med Coll | Cardio-respiratory monitor apparatus & method |
| CN103211598A (en)* | 2013-03-27 | 2013-07-24 | 中山大学 | Radio frequency respiration monitoring system and compressive sensing implementing method |
| CN104382614A (en)* | 2014-12-09 | 2015-03-04 | 重庆邮电大学 | Heart and lung sound signal separation method and device based on fast ICA (independent component analysis) |
| CN104765031A (en)* | 2015-03-02 | 2015-07-08 | 太原理工大学 | Ultra-wide bandwidth microwave chaos life detection radar device |
| CN106821347A (en)* | 2016-12-20 | 2017-06-13 | 中国人民解放军第三军医大学 | A kind of life detection radar breathing of FMCW broadbands and heartbeat signal extraction algorithm |
| CN109326355A (en)* | 2018-08-16 | 2019-02-12 | 浙江树人学院 | A firefighter's breathing sound monitoring earphone and its body state assessment method |
| CN109799499A (en)* | 2019-01-28 | 2019-05-24 | 沈阳航空航天大学 | A kind of through-wall radar wall method for parameter estimation |
| CN109875543A (en)* | 2019-02-01 | 2019-06-14 | 电子科技大学 | Heart rate estimation method and device for wearable heart rate monitoring equipment under various fitness exercise states |
| CN109917347A (en)* | 2019-04-10 | 2019-06-21 | 电子科技大学 | A radar pedestrian detection method based on sparse reconstruction in time-frequency domain |
| CN110584631A (en)* | 2019-10-10 | 2019-12-20 | 重庆邮电大学 | Static human heartbeat and respiration signal extraction method based on FMCW radar |
| Title |
|---|
| Energy efficient signal acquisition via compressive sensing in wireless sensor networks;Wei Chen等;《International Symposium on Wireless and Pervasive Computing》;20110415;全文* |
| Sparse Reconstruction of Chirplets for Automotive FMCW Radar Interference Mitigation;Correas-Serrano等;《2019 IEEE MTT-S International Conference on Microwaves for Intelligent Mobility (ICMIM)》;20191231;全文* |
| 多普勒雷达人体微动信息提取信号处理方法研究;连申晓;《中国优秀博硕士学位论文全文数据库(硕士)信息科技辑》;20200215;全文* |
| 正弦调频傅里叶变换方法及雷达目标微动特性反演技术研究;彭勃;《中国优秀博硕士学位论文全文数据库(博士)信息科技辑》;20170215;全文* |
| Publication number | Publication date |
|---|---|
| CN111856452A (en) | 2020-10-30 |
| Publication | Publication Date | Title |
|---|---|---|
| CN111856452B (en) | Separation and reconstruction method of static human heartbeat and respiration signals based on OMP | |
| CN113116342A (en) | Life signal monitoring method based on millimeter wave radar | |
| Dong et al. | Accurate detection of Doppler cardiograms with a parameterized respiratory filter technique using a K-band radar sensor | |
| US20200121207A1 (en) | Method of processing a signal representing a physiological rhythm | |
| CN113951856A (en) | Frequency spectrum estimation method based on Doppler radar heartbeat detection | |
| CN113729677A (en) | Intelligent vital sign monitoring method | |
| Weishaupt et al. | Vital sign localization and measurement using an LFMCW MIMO radar | |
| CN117786470A (en) | A method for separation and reconstruction of ECG signals and respiratory signals based on radar signals | |
| CN113009584A (en) | Ultra-wideband MIMO radar vital sign detection positioning method | |
| CN116172539A (en) | Vital sign detection method, system, equipment and medium based on machine learning | |
| CN114403820A (en) | Vital sign detection method and system for moving target | |
| Pan et al. | A spectrum estimation approach for accurate heartbeat detection using Doppler radar based on combination of FTPR and TWV | |
| CN111685760B (en) | Human body respiratory frequency calculation method based on radar measurement | |
| CN105105739B (en) | Short-distance wireless heart rate and heart rate variability detection method | |
| Toda et al. | ECG signal reconstruction using FMCW radar and a convolutional neural network for contactless vital-sign sensing | |
| Hu et al. | Investigating respiration-heartbeat separation through a multipoint scattering chest wall motion model: 60-GHz FMCW radar assessment | |
| Li et al. | Feel your heartbeat across space: Radar-based cardiac activity monitoring for healthcare applications | |
| Hu et al. | Using fmcw millimeter-wave radar to realize the detection of vital signs | |
| Will et al. | Intelligent signal processing routine for instantaneous heart rate detection using a Six-Port microwave interferometer | |
| Son et al. | High-accuracy heart rate estimation by half/double bbi moving average and data recovery algorithm of 24ghz cw-doppler radar | |
| CN115590488A (en) | Method, system, equipment and storage medium for monitoring driving state of driver | |
| CN113729678B (en) | Wireless sign measurement system based on millimeter wave radar | |
| Matsunag et al. | Non-contact and noise tolerant heart rate monitoring using microwave doppler sensor and range imagery | |
| CN115299891B (en) | Heartbeat timing state detection method based on radar signal | |
| Liu et al. | A new algorithm for removing random motion noise of human body based on total variation |
| Date | Code | Title | Description |
|---|---|---|---|
| PB01 | Publication | ||
| PB01 | Publication | ||
| SE01 | Entry into force of request for substantive examination | ||
| SE01 | Entry into force of request for substantive examination | ||
| GR01 | Patent grant | ||
| GR01 | Patent grant | ||
| CF01 | Termination of patent right due to non-payment of annual fee | ||
| CF01 | Termination of patent right due to non-payment of annual fee | Granted publication date:20220920 |