



技术领域technical field
本申请涉及激光电磁超声检测技术领域,具体的涉及一种激光电磁超声成像系统及方法。The present application relates to the technical field of laser electromagnetic ultrasonic detection, and in particular to a laser electromagnetic ultrasonic imaging system and method.
背景技术Background technique
电磁超声作为一种新型无损检测手段,具有非接触、无需耦合剂、对被测体表面要求低和激发波形多样等优点;但是,电磁超声体激发系统对电源瞬时功率要求高,且换能效率低,从而易造成较多能量损失,也增加整个检测系统制作的难度。激光超声是利用脉冲激光对被测体局部加热,通过局部热膨胀产生振动从而产生超声波,并具有非接触和灵敏度高等特点,可实现极其微小缺陷的检测;但是,目前激光超声检测测量系统结构复杂。因此,将激光超声激励技术和电磁超声接收技术相结合,可以弥补电磁超声技术用于金属缺陷、厚度及残余应力的测试时激发换能效率低、灵敏度低,以及激光超声技术的接收装置造价高、体积庞大、结构复杂和易受环境影响等缺陷。As a new type of non-destructive testing method, electromagnetic ultrasound has the advantages of non-contact, no couplant, low requirements on the surface of the measured object, and diverse excitation waveforms. It is easy to cause more energy loss and increase the difficulty of manufacturing the entire detection system. Laser ultrasound uses pulsed laser to locally heat the measured object, and generates vibration through local thermal expansion to generate ultrasonic waves. It has the characteristics of non-contact and high sensitivity, and can detect extremely small defects. However, the current laser ultrasonic detection and measurement system has a complex structure. Therefore, the combination of laser ultrasonic excitation technology and electromagnetic ultrasonic receiving technology can make up for the low excitation conversion efficiency and low sensitivity when electromagnetic ultrasonic technology is used in the test of metal defects, thickness and residual stress, and the high cost of the receiving device of laser ultrasonic technology. , bulky, complex structure and vulnerable to environmental defects.
然而,目前的激光电磁超声检测装置只限于检测并收集被测工件的缺陷信号,且需要将被测工件的缺陷信号上传到其他计算机上进行分析和保存,无法将被测工件中的缺陷位置直观的显示出来。However, the current laser electromagnetic ultrasonic testing device is only limited to detecting and collecting the defect signal of the workpiece under test, and the defect signal of the workpiece under test needs to be uploaded to other computers for analysis and storage, and the defect position in the workpiece under test cannot be directly detected. is displayed.
发明内容SUMMARY OF THE INVENTION
本申请提供一种激光电磁超声成像系统及方法,以解决目前的激光电磁超声检测装置只限于检测并收集被测工件的缺陷信号,且需要将被测工件的缺陷信号上传到其他计算机上进行分析和保存,无法将被测工件中的缺陷位置直观的显示出来的问题。The present application provides a laser electromagnetic ultrasonic imaging system and method, so as to solve the problem that the current laser electromagnetic ultrasonic testing device is only limited to detecting and collecting the defect signal of the workpiece to be tested, and the defect signal of the workpiece to be tested needs to be uploaded to other computers for analysis. and save, the defect position in the tested workpiece cannot be visually displayed.
一方面,一种激光电磁超声成像系统,包括:In one aspect, a laser electromagnetic ultrasound imaging system includes:
脉冲激光控制器;Pulse laser controller;
脉冲激光器,与所述脉冲激光控制器电连接,所述脉冲激光器用于在所述脉冲激光控制器的控制下产生激光;a pulsed laser, electrically connected to the pulsed laser controller, and the pulsed laser is used to generate laser light under the control of the pulsed laser controller;
扫描振镜,与所述脉冲激光器电连接;所述扫描振镜用于出射激光,出射的激光照射在被测工件的表面形成激励点,所述激励点的体波在所述被测工件内产生回波信号;a scanning galvanometer, which is electrically connected to the pulsed laser; the scanning galvanometer is used to emit laser light, and the emitted laser light is irradiated on the surface of the workpiece to be tested to form an excitation point, and the body wave of the excitation point is in the workpiece to be tested generate echo signals;
电磁超声换能器,用于接收所述回波信号;an electromagnetic ultrasonic transducer for receiving the echo signal;
电磁超声后处理模块,与所述电磁超声换能器电连接,所述电磁超声后处理模块用于对所述回波信号进行预处理;an electromagnetic ultrasonic post-processing module, electrically connected to the electromagnetic ultrasonic transducer, and used for preprocessing the echo signal;
工控机,分别与所述脉冲激光控制器、所述扫描振镜和所述电磁超声后处理模块电连接;所述工控机用于控制所述脉冲激光控制器、所述扫描振镜和所述电磁超声后处理模块,以及构建所述被测工件的内部图像。an industrial computer, which is respectively electrically connected to the pulsed laser controller, the scanning galvanometer and the electromagnetic ultrasonic post-processing module; the industrial computer is used to control the pulsed laser controller, the scanning galvanometer and the An electromagnetic ultrasonic post-processing module, and constructing an internal image of the workpiece to be tested.
另一方面,一种激光电磁超声成像方法,包括:In another aspect, a laser electromagnetic ultrasound imaging method, comprising:
开启所述激光电磁超声成像系统,以被测工件为参照物建立三维坐标系,将所述被测工件划分为多个三维网格;Turn on the laser electromagnetic ultrasonic imaging system, establish a three-dimensional coordinate system with the measured workpiece as a reference object, and divide the measured workpiece into a plurality of three-dimensional grids;
所述被测工件一侧的表面被激光照射,形成激励点,所述激励点的体波传播至每个所述三维网格,产生多个回波信号;The surface on one side of the workpiece to be tested is irradiated by laser to form excitation points, and the bulk wave of the excitation points propagates to each of the three-dimensional grids to generate multiple echo signals;
对多个所述回波信号进行预处理;preprocessing a plurality of the echo signals;
计算渡越时间,所述渡越时间为所述体波从所述激励点传播至所述三维网格及所述回波信号传播至所述电磁超声换能器所经历的时间总和;calculating a transit time, the transit time being the sum of the time elapsed for the bulk wave to propagate from the excitation point to the three-dimensional grid and the echo signal to propagate to the electromagnetic ultrasonic transducer;
对每个所述三维网格对应的所有所述回波信号进行延迟叠加,得到延迟叠加波信号;performing delay stacking on all the echo signals corresponding to each of the three-dimensional grids to obtain delayed stacking wave signals;
根据所有所述三维网格的所述延迟叠加波信号,构建所述被测工件的内部图像。由以上技术方案可知,本申请提供的激光电磁超声成像系统及方法,系统包括:脉冲激光控制器;脉冲激光器,与所述脉冲激光控制器电连接,所述脉冲激光器用于在所述脉冲激光控制器的控制下产生激光;扫描振镜,与所述脉冲激光器电连接;所述扫描振镜用于出射激光,出射的激光照射在被测工件的表面形成激励点,所述激励点的体波在所述被测工件内产生回波信号;电磁超声换能器,用于接收所述回波信号;电磁超声后处理模块,与所述电磁超声换能器电连接,所述电磁超声后处理模块用于对所述回波信号进行预处理;工控机,分别与所述脉冲激光控制器、所述扫描振镜和所述电磁超声后处理模块电连接;所述工控机用于控制所述脉冲激光控制器、所述扫描振镜和所述电磁超声后处理模块,以及构建所述被测工件的内部图像。An internal image of the workpiece under test is constructed from the delayed superimposed wave signals of all the three-dimensional grids. It can be seen from the above technical solutions that the laser electromagnetic ultrasonic imaging system and method provided by the present application includes: a pulsed laser controller; The laser is generated under the control of the controller; the scanning galvanometer is electrically connected to the pulse laser; the scanning galvanometer is used to emit laser light, and the emitted laser light is irradiated on the surface of the workpiece to be tested to form an excitation point, and the body of the excitation point is The wave generates an echo signal in the measured workpiece; an electromagnetic ultrasonic transducer is used to receive the echo signal; an electromagnetic ultrasonic post-processing module is electrically connected to the electromagnetic ultrasonic transducer, and the electromagnetic ultrasonic The processing module is used for preprocessing the echo signal; the industrial computer is respectively electrically connected with the pulse laser controller, the scanning galvanometer and the electromagnetic ultrasonic post-processing module; the industrial computer is used to control the The pulsed laser controller, the scanning galvanometer and the electromagnetic ultrasonic post-processing module, and the internal image of the workpiece to be tested are constructed.
通过本申请的激光电磁超声成像系统及方法,将被测工件划分为多个三维网格,将每个三维网格都作为像素点,通过激光激发的体波在被测工件内部传播,并产生回波信号,不同的激励点或接收点都会对应一个回波信号,通过移动扫描振镜或者电磁超声换能器的位置,可以产生多个激励点或者接收点,将每个三维网格的所有回波信号进行延迟叠加得到延迟叠加波信号,再以所有三维网格的坐标为像素点坐标。以每个延迟叠加波信号为像素属性值,构建一幅图像,这幅图像则为被测工件的内部图像。当被测工件内部存在缺陷时,缺陷所在三维网格的延迟叠加波信号与周围其他三维网格的延迟叠加波信号存在较大差异,因此,在这幅图像中可以直观的观察到缺陷存在的位置,并得到缺陷位置的坐标信息。可以对被测工件内部的缺陷进行精准定位,快捷且高效。Through the laser electromagnetic ultrasonic imaging system and method of the present application, the workpiece to be tested is divided into a plurality of three-dimensional grids, and each three-dimensional grid is used as a pixel point, and the body wave excited by the laser propagates inside the workpiece to be tested, and generates For echo signals, different excitation points or receiving points will correspond to an echo signal. By moving the position of the scanning galvanometer or electromagnetic ultrasonic transducer, multiple excitation points or receiving points can be generated, and all the The echo signals are delayed and superimposed to obtain delayed superimposed wave signals, and then the coordinates of all three-dimensional grids are used as pixel coordinates. Taking each delayed superimposed wave signal as the pixel attribute value, an image is constructed, and this image is the internal image of the tested workpiece. When there is a defect inside the tested workpiece, the delayed superimposed wave signal of the 3D grid where the defect is located is quite different from the delayed superposed wave signal of other surrounding 3D grids. Therefore, the existence of the defect can be visually observed in this image. position, and get the coordinate information of the defect position. It can accurately locate the defects inside the tested workpiece, which is fast and efficient.
附图说明Description of drawings
为了更清楚地说明本申请的技术方案,下面将对实施例中所需要使用的附图作简单地介绍,显而易见地,对于本领域普通技术人员而言,在不付出创造性劳动的前提下,还可以根据这些附图获得其他的附图。In order to illustrate the technical solutions of the present application more clearly, the accompanying drawings required in the embodiments will be briefly introduced below. Obviously, for those of ordinary skill in the art, without creative work, the Additional drawings can be obtained from these drawings.
图1为本申请实施例提供的一种激光电磁超声成像系统结构图;1 is a structural diagram of a laser electromagnetic ultrasound imaging system provided by an embodiment of the application;
图2为图1所示激光电磁超声成像系统输出的被测工件内部图像;Fig. 2 is the internal image of the measured workpiece output by the laser electromagnetic ultrasonic imaging system shown in Fig. 1;
图3为本申请实施例提供的一种激光电磁超声成像方法流程示意图;3 is a schematic flowchart of a laser electromagnetic ultrasonic imaging method provided by an embodiment of the present application;
图4为图2所示缺陷的二维位置示意图。FIG. 4 is a schematic diagram of a two-dimensional position of the defect shown in FIG. 2 .
具体实施方式Detailed ways
下面将结合本申请实施例中的附图,对本申请实施例中的技术方案进行清楚、完整地描述,显然,所描述的实施例仅仅是本申请的一部分实施例,而不是全部的实施例。基于本申请中的实施例,本领域普通技术人员在没有做出创造性劳动的前提下所获得的所有其他实施例,都属于本申请保护的范围。The technical solutions in the embodiments of the present application will be clearly and completely described below with reference to the drawings in the embodiments of the present application. Obviously, the described embodiments are only a part of the embodiments of the present application, rather than all the embodiments. Based on the embodiments in the present application, all other embodiments obtained by those of ordinary skill in the art without creative work shall fall within the protection scope of the present application.
图1为本申请实施例提供的一种激光电磁超声成像系统结构图。如图1所示,本实施例提供一种激光电磁超声成像系统,包括:脉冲激光控制器1;脉冲激光器2,与脉冲激光控制器1电连接,脉冲激光器2用于在脉冲激光控制器1的控制下产生激光;扫描振镜3,与脉冲激光器2电连接,扫描振镜3用于将脉冲激光器2产生的激光导出,出射的激光照射在被测工件A的表面形成激励点01;激励点01的体波在被测工件A内传播,且传播过程中产生回波信号;电磁超声换能器4,用于接收回波信号;电磁超声换能器4可以包括电磁超声横波换能器和电磁超声纵波换能器;电磁超声后处理模块5,与电磁超声换能器4电连接,用于对回波信号进行预处理;预处理可以包括滤波处理和放大处理;工控机6,分别与脉冲激光控制器1、扫描振镜3和电磁超声后处理模块5电连接;工控机6可以以被测工件A为参照物建立三维坐标系,并实时获取激励点01和电磁超声换能器4在三维坐标系中的坐标;工控机6还用于控制脉冲激光控制器1,脉冲激光控制器1控制脉冲激光器2产生所需的激光;工控机6可以控制扫描振镜3是否出射激光,以及扫描振镜3将激励点01的坐标传回工控机6;工控机6可以控制电磁超声后处理模块5对回波信号进行预处理,且接收预处理后的回波信号,以及对回波信号进行相应计算和处理,最后构建出被测工件A的内部图像。工控机6可以包括主机61和显示器62,主机61起到总控制的作用,显示器62用于显示图像。工控机6还可以与电磁超声换能器4电连接,可以控制电磁超声换能器4进行位移。则被测工件A与激励点01的相对位置可以固定不变;在工控机6的控制下,电磁超声换能器4与被测工件A的相对位置可变。扫描振镜3和电磁超声换能器4可以位于被测工件A的同侧,也可以不同侧,本申请不作具体限定。FIG. 1 is a structural diagram of a laser electromagnetic ultrasound imaging system according to an embodiment of the present application. As shown in FIG. 1 , this embodiment provides a laser electromagnetic ultrasonic imaging system, including: a pulsed laser controller 1 ; a
当激光电磁超声成像系统被开启时,脉冲激光控制器1控制脉冲激光器2产生激光,激光从扫描振镜3出射,照射在被测工件A的表面,形成一个激光光斑,激光光斑作为激励点01,激励点01的体波在被测工件A内部进行传播,在工控机6建立的三维坐标系下,工控机6进一步将被测工件A分割为多个三维网格02,体波每遇到一个三维网格02都会产生一组回波信号,回波信号被电磁超声换能器4接收到,并发送给电磁超声后处理模块5,电磁超声后处理模块5对回波信号进行滤波及放大处理,可以去除干扰,更利于后续对回波信号的处理。当激励点01在被测工件A上的位置固定,电磁超声换能器4与被测工件A的相对位置可变时,激励点01的坐标唯一,电磁超声换能器4接收回波信号的接收点03则有多个。工控机6可以实时获取到激励点01的坐标、接收点03的坐标和电磁超声换能器4接收到每个回波信号的时间,用以计算每个接收点03对应的渡越时间,渡越时间是激励点01的体波传播至任一三维网格02时产生回波信号以及回波信号传播至接收点03的时间总和。容易理解的是,每个接收点03都对应一个渡越时间,每个三维网格02则对应多个渡越时间。将每个三维网格02对应的多个渡越时间做延迟叠加处理,可以得到延迟叠加波信号。将每个三维网格02作为一个像素,将所有三维网格02的所有延迟叠加波信号整合在一起,可以构建出一幅被测工件的内部图像。当一个三维网格02内存在缺陷04时,该三维网格02的延迟叠加波信号与其他三维网格02的延迟叠加波信号存在较大差异,这种差异呈现在构建的被测工件A内部图像上,则可以在被测工件A内部图像上直观的看到缺陷04所在的位置,并可以锁定缺陷04所在的坐标参数,对被测工件A内部的缺陷04进行精准定位,快捷且高效。图1只是示意出一个三维网格02内存在缺陷04的情况,图2为图1所示激光电磁超声成像系统输出的被测工件内部图像。如图2所示的是图1示意的被测工件A内部存在一个缺陷04时,生成的对应的被测工件A的内部图像。When the laser electromagnetic ultrasonic imaging system is turned on, the pulse laser controller 1 controls the
继续参考图1,被测工件A与激励点01的相对位置可变;被测工件A与电磁超声换能器4的相对位置固定不变。工控机6控制扫描振镜3的位移,此时,激励点01的数量可以有多个,接收点03的数量为一个,从而每个激励点01对应一个渡越时间。Continuing to refer to FIG. 1 , the relative position of the workpiece A under test and the
如图1所示,在测试过程中,可以是扫描振镜3位置固定,电磁超声换能器4在工控机6的控制下按照设定路径移动;也可以是电磁超声换能器4位置固定,扫描振镜3在工控机6的控制下按照设定路径移动;两种方式都可以测试被测工件A内部的缺陷位置。As shown in FIG. 1 , during the test, the position of the
图3为本申请实施例提供的一种激光电磁超声成像方法流程示意图。如图3所示,本实施例提供的激光电磁超声成像方法,包括:FIG. 3 is a schematic flowchart of a laser electromagnetic ultrasonic imaging method according to an embodiment of the present application. As shown in FIG. 3 , the laser electromagnetic ultrasonic imaging method provided in this embodiment includes:
S1:开启激光电磁超声成像系统,以被测工件为参照物建立三维坐标系,将被测工件划分为多个三维网格。每个三维网格的几何中心点坐标可以作为该三维网格的坐标,三维坐标系的坐标原点可以任意设置,不作具体限定。S1: Turn on the laser electromagnetic ultrasonic imaging system, establish a three-dimensional coordinate system with the measured workpiece as a reference, and divide the measured workpiece into multiple three-dimensional grids. The coordinates of the geometric center point of each three-dimensional grid can be used as the coordinates of the three-dimensional grid, and the coordinate origin of the three-dimensional coordinate system can be arbitrarily set, and is not specifically limited.
S2:被测工件一侧的表面被激光照射,形成激励点,激励点的体波传播至每个三维网格,产生多个回波信号。S2: The surface on one side of the workpiece to be tested is irradiated by laser to form excitation points, and the bulk wave of the excitation points propagates to each 3D grid, generating multiple echo signals.
S3:对多个回波信号进行预处理。预处理可以包括滤波处理和放大处理。S3: Preprocess multiple echo signals. Preprocessing may include filtering and amplification.
S4:计算渡越时间,渡越时间为体波从激励点传播至所述三维网格及回波信号传播至电磁超声换能器所经历的时间总和。S4: Calculate the transit time, where the transit time is the sum of the time elapsed by the propagation of the body wave from the excitation point to the three-dimensional grid and the propagation of the echo signal to the electromagnetic ultrasonic transducer.
当被测工件与激励点的相对位置固定不变,被测工件与电磁超声换能器的相对位置可变时;激励点的数量为一个,电磁超声换能器接收回波信号的接收点数量为m个,在以被测工件为参照物的三维坐标系内,激励点的坐标为(xT,yT,zT),激励点的坐标可以是激光光斑中心点的坐标,第i个接收点的坐标为第k个三维网格的坐标为(xk,yk,zk),三维网格的坐标可以用三维网格的几何中心点坐标表示,按照下式计算每个接收点对应的渡越时间Δτk,i:When the relative position of the measured workpiece and the excitation point is fixed, and the relative position of the measured workpiece and the electromagnetic ultrasonic transducer is variable; the number of excitation points is one, and the number of receiving points for the electromagnetic ultrasonic transducer to receive echo signals is m. In the three-dimensional coordinate system with the measured workpiece as the reference object, the coordinates of the excitation point are (xT , yT , zT ), and the coordinates of the excitation point can be the coordinates of the center point of the laser spot. The coordinates of the receiving point are The coordinates of the kth three-dimensional grid are (xk , yk , zk ), the coordinates of the three-dimensional grid can be expressed by the coordinates of the geometric center point of the three-dimensional grid, and the transit time corresponding to each receiving point is calculated according to the following formula Δτk,i :
其中,i=1,2,3…m,三维网格的数量为a*b*c,k=1,2,3…,a*b*c;Among them, i=1,2,3...m, the number of three-dimensional grids is a*b*c, k=1,2,3...,a*b*c;
c1和c2的满足如下关系式中的一种:c1 and c2 satisfy one of the following relations:
c1=c2=cl,c1 =c2 =cl ,
c1=c2=cs,c1 =c2 =cs ,
c1=cs,c2=cl,c1 =cs , c2 =cl ,
或c1=cl,c2=cs,or c1 =cl , c2 =cs ,
cl为纵波的传播速度,cs为横波的传播速度。cl is the propagation velocity of longitudinal waves, and cs is the propagation velocity of transverse waves.
当被测工件与激励点的相对位置可变;被测工件与电磁超声换能器的相对位置固定不变时,激励点的数量为n个,接收点的数量为一个;在以被测工件为参照物的三维坐标系内,第j个激励点的坐标为接收点的坐标为(xR,yR,zR),第k个三维网格的坐标为(xk,yk,zk),按照下式计算每个激励点对应的渡越时间Δτk,j:When the relative position of the measured workpiece and the excitation point is variable; when the relative position of the measured workpiece and the electromagnetic ultrasonic transducer is fixed, the number of excitation points is n, and the number of receiving points is one; In the three-dimensional coordinate system of the reference object, the coordinate of the jth excitation point is The coordinates of the receiving point are (xR , yR , zR ), the coordinates of the kth three-dimensional grid are (xk , yk , zk ), and the transit time Δτ corresponding to each excitation point is calculated according to the following formulak,j :
其中,j=1,2,3…n,三维网格的数量为a*b*c,k=1,2,3…,a*b*c;Among them, j=1,2,3...n, the number of three-dimensional grids is a*b*c, k=1,2,3...,a*b*c;
c1和c2的满足如下关系式中的一种:c1 and c2 satisfy one of the following relations:
c1=c2=cl,c1 =c2 =cl ,
c1=c2=cs,c1 =c2 =cs ,
c1=cs,c2=cl,c1 =cs , c2 =cl ,
或c1=cl,c2=cs,or c1 =cl , c2 =cs ,
cl为纵波的传播速度,cs为横波的传播速度。cl is the propagation velocity of longitudinal waves, and cs is the propagation velocity of transverse waves.
S5:对每个三维网格对应的所有回波信号进行延迟叠加,得到延迟叠加波信号。S5: Perform delay stacking on all echo signals corresponding to each three-dimensional grid to obtain delayed stacking wave signals.
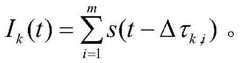
当激励点的体波为s(t)时,按照下式对第k个三维网格产生的所有回波信号进行延迟叠加,得到延迟叠加波信号Ik(t):When the body wave of the excitation point is s(t), delay and superimpose all echo signals generated by the kth three-dimensional grid according to the following formula to obtain the delayed superimposed wave signal Ik (t):
或者or
S6:根据所有三维网格的延迟叠加波信号,构建被测工件的内部图像。S6: Construct an internal image of the workpiece under test according to the delayed superimposed wave signals of all three-dimensional grids.
将每个三维网格作为一个像素,将所有三维网格的所有延迟叠加波信号Ik(t)整合在一起,可以构建出一幅被测工件的内部图像,如图2所示。当一个三维网格内存在缺陷时,该三维网格的延迟叠加波信号Ik(t)与其他三维网格的延迟叠加波信号存在较大差异,这种差异呈现在构建的被测工件内部图像上,则可以在被测工件内部图像上直观的看到缺陷所在的位置。被测工件的内部图像实际是二维图像,缺陷的坐标也为二维坐标,如图2所示,缺陷的位置坐标为(0,-30),坐标单位为mm,对应的缺陷在被测工件的位置关系如图4所示,图4为图2所示缺陷的二维位置示意图。Taking each 3D grid as a pixel and integrating all the delayed superimposed wave signals Ik (t) of all 3D grids together, an internal image of the tested workpiece can be constructed, as shown in Figure 2. When there is a defect in a three-dimensional grid, the delayed superimposed wave signal Ik (t) of the three-dimensional grid is quite different from the delayed superposed wave signal of other three-dimensional grids, and this difference appears inside the constructed workpiece. On the image, you can intuitively see the location of the defect on the internal image of the tested workpiece. The internal image of the tested workpiece is actually a two-dimensional image, and the coordinates of the defects are also two-dimensional coordinates. As shown in Figure 2, the position coordinates of the defects are (0, -30), and the coordinate unit is mm. The positional relationship of the workpiece is shown in FIG. 4 , which is a schematic diagram of the two-dimensional position of the defect shown in FIG. 2 .
本申请提供的激光电磁超声成像系统及方法,将被测工件划分为多个三维网格,将每个三维网格都作为像素点,通过激光激发的体波在被测工件内部传播,并产生回波信号,不同的激励点或接收点都会对应一个回波信号,通过移动扫描振镜或者电磁超声换能器的位置,可以产生多个激励点或者接收点,将每个三维网格的所有回波信号进行延迟叠加得到延迟叠加波信号,再以所有三维网格的坐标为像素点坐标。以每个延迟叠加波信号为像素属性值,构建一幅图像,这幅图像则为被测工件的内部图像。当被测工件内部存在缺陷时,缺陷所在三维网格的延迟叠加波信号与周围其他三维网格的延迟叠加波信号存在较大差异,因此,在这幅图像中可以直观的观察到缺陷存在的位置,并得到缺陷位置的坐标信息。可以对被测工件内部的缺陷进行精准定位,快捷且高效。The laser electromagnetic ultrasonic imaging system and method provided by the present application divides the workpiece to be tested into a plurality of three-dimensional grids, and uses each three-dimensional grid as a pixel point. For echo signals, different excitation points or receiving points will correspond to an echo signal. By moving the position of the scanning galvanometer or electromagnetic ultrasonic transducer, multiple excitation points or receiving points can be generated, and all the The echo signals are delayed and superimposed to obtain delayed superimposed wave signals, and then the coordinates of all three-dimensional grids are used as pixel coordinates. Taking each delayed superimposed wave signal as the pixel attribute value, an image is constructed, and this image is the internal image of the tested workpiece. When there is a defect inside the tested workpiece, the delayed superimposed wave signal of the 3D grid where the defect is located is quite different from the delayed superposed wave signal of other surrounding 3D grids. Therefore, the existence of the defect can be visually observed in this image. position, and get the coordinate information of the defect position. It can accurately locate the defects inside the tested workpiece, which is fast and efficient.
本领域的技术人员可以清楚地了解到本发明实施例中的技术可借助软件加必需的通用硬件平台的方式来实现。基于这样的理解,本发明实施例中的技术方案本质上或者说对现有技术做出贡献的部分可以以软件产品的形式体现出来,该计算机软件产品可以存储在存储介质中,如ROM/RAM、磁碟、光盘等,包括若干指令用以使得一台计算机设备(可以是个人计算机,服务器,或者网络设备等)执行本发明各个实施例或者实施例的某些部分所述的方法。Those skilled in the art can clearly understand that the technology in the embodiments of the present invention can be implemented by means of software plus a necessary general hardware platform. Based on this understanding, the technical solutions in the embodiments of the present invention may be embodied in the form of software products in essence or the parts that make contributions to the prior art, and the computer software products may be stored in a storage medium, such as ROM/RAM , magnetic disk, optical disk, etc., including several instructions for causing a computer device (which may be a personal computer, a server, or a network device, etc.) to execute the methods described in various embodiments or some parts of the embodiments of the present invention.
本说明书中各个实施例之间相同相似的部分互相参见即可。尤其,对于实施例而言,由于其基本相似于方法实施例,所以描述的比较简单,相关之处参见方法实施例中的说明即可。It is sufficient to refer to each other for the same and similar parts among the various embodiments in this specification. In particular, as for the embodiment, since it is basically similar to the method embodiment, the description is relatively simple, and the relevant part may refer to the description in the method embodiment.
| Application Number | Priority Date | Filing Date | Title |
|---|---|---|---|
| CN202010763110.9ACN111855812A (en) | 2020-07-31 | 2020-07-31 | A laser electromagnetic ultrasound imaging system and method |
| Application Number | Priority Date | Filing Date | Title |
|---|---|---|---|
| CN202010763110.9ACN111855812A (en) | 2020-07-31 | 2020-07-31 | A laser electromagnetic ultrasound imaging system and method |
| Publication Number | Publication Date |
|---|---|
| CN111855812Atrue CN111855812A (en) | 2020-10-30 |
| Application Number | Title | Priority Date | Filing Date |
|---|---|---|---|
| CN202010763110.9APendingCN111855812A (en) | 2020-07-31 | 2020-07-31 | A laser electromagnetic ultrasound imaging system and method |
| Country | Link |
|---|---|
| CN (1) | CN111855812A (en) |
| Publication number | Priority date | Publication date | Assignee | Title |
|---|---|---|---|---|
| CN115015124A (en)* | 2022-05-31 | 2022-09-06 | 南京航空航天大学 | Deep learning 3D reconstruction defect detection system and method based on laser ultrasound |
| CN116429700A (en)* | 2023-03-13 | 2023-07-14 | 哈尔滨工业大学(威海) | Laser electromagnetic ultrasonic defect detection system and laser electromagnetic ultrasonic SAFT imaging detection method for additive titanium alloy |
| CN119395147A (en)* | 2024-10-25 | 2025-02-07 | 山东省科学院激光研究所 | Defect rapid imaging method and system |
| Publication number | Priority date | Publication date | Assignee | Title |
|---|---|---|---|---|
| JP2006084392A (en)* | 2004-09-17 | 2006-03-30 | Nippon Steel Corp | Online crystal grain size measuring apparatus and measuring method using laser ultrasonic wave |
| CN103743820A (en)* | 2014-02-28 | 2014-04-23 | 江苏理工学院 | Concrete column quality ultrasonic detection device and method based on global transit time parameter |
| CN104345092A (en)* | 2014-10-22 | 2015-02-11 | 南京航空航天大学 | Scanning type laser ultrasonic detection method and system |
| CN104634741A (en)* | 2014-10-22 | 2015-05-20 | 南京航空航天大学 | Laser ultrasonic detection method and laser ultrasonic detection system for rapidly locating defects |
| CN105738478A (en)* | 2016-01-25 | 2016-07-06 | 湖北工业大学 | Steel plate Lamb wave detection imaging method based on linear array focusing-time reversal |
| CN106093205A (en)* | 2016-05-31 | 2016-11-09 | 大连理工大学 | A Thick-Wall Structure Defect Detection Method Based on Oblique Incident Ultrasonic Synthetic Aperture Focusing |
| CN106950180A (en)* | 2017-05-22 | 2017-07-14 | 九江学院 | A kind of laser ultrasonic detection system and its detection method of quick positioning defect |
| CN107271370A (en)* | 2017-07-04 | 2017-10-20 | 九江学院 | A kind of laser ultrasonic detection system and its method detected based on material internal defect |
| CN206756681U (en)* | 2017-04-13 | 2017-12-15 | 山东省科学院激光研究所 | Laser ultrasonic detection system and galvanometer scanning device |
| CN110333293A (en)* | 2019-08-12 | 2019-10-15 | 河海大学常州校区 | A Method for Exciting and Detecting Concrete Defects with a Square Grid Phased Ultrasonic Array |
| CN110849812A (en)* | 2019-10-16 | 2020-02-28 | 东南大学 | A high-efficiency laser ultrasonic scanning imaging detection and ultrasonic data processing method |
| Publication number | Priority date | Publication date | Assignee | Title |
|---|---|---|---|---|
| JP2006084392A (en)* | 2004-09-17 | 2006-03-30 | Nippon Steel Corp | Online crystal grain size measuring apparatus and measuring method using laser ultrasonic wave |
| CN103743820A (en)* | 2014-02-28 | 2014-04-23 | 江苏理工学院 | Concrete column quality ultrasonic detection device and method based on global transit time parameter |
| CN104345092A (en)* | 2014-10-22 | 2015-02-11 | 南京航空航天大学 | Scanning type laser ultrasonic detection method and system |
| CN104634741A (en)* | 2014-10-22 | 2015-05-20 | 南京航空航天大学 | Laser ultrasonic detection method and laser ultrasonic detection system for rapidly locating defects |
| CN105738478A (en)* | 2016-01-25 | 2016-07-06 | 湖北工业大学 | Steel plate Lamb wave detection imaging method based on linear array focusing-time reversal |
| CN106093205A (en)* | 2016-05-31 | 2016-11-09 | 大连理工大学 | A Thick-Wall Structure Defect Detection Method Based on Oblique Incident Ultrasonic Synthetic Aperture Focusing |
| CN206756681U (en)* | 2017-04-13 | 2017-12-15 | 山东省科学院激光研究所 | Laser ultrasonic detection system and galvanometer scanning device |
| CN106950180A (en)* | 2017-05-22 | 2017-07-14 | 九江学院 | A kind of laser ultrasonic detection system and its detection method of quick positioning defect |
| CN107271370A (en)* | 2017-07-04 | 2017-10-20 | 九江学院 | A kind of laser ultrasonic detection system and its method detected based on material internal defect |
| CN110333293A (en)* | 2019-08-12 | 2019-10-15 | 河海大学常州校区 | A Method for Exciting and Detecting Concrete Defects with a Square Grid Phased Ultrasonic Array |
| CN110849812A (en)* | 2019-10-16 | 2020-02-28 | 东南大学 | A high-efficiency laser ultrasonic scanning imaging detection and ultrasonic data processing method |
| Publication number | Priority date | Publication date | Assignee | Title |
|---|---|---|---|---|
| CN115015124A (en)* | 2022-05-31 | 2022-09-06 | 南京航空航天大学 | Deep learning 3D reconstruction defect detection system and method based on laser ultrasound |
| CN116429700A (en)* | 2023-03-13 | 2023-07-14 | 哈尔滨工业大学(威海) | Laser electromagnetic ultrasonic defect detection system and laser electromagnetic ultrasonic SAFT imaging detection method for additive titanium alloy |
| CN119395147A (en)* | 2024-10-25 | 2025-02-07 | 山东省科学院激光研究所 | Defect rapid imaging method and system |
| Publication | Publication Date | Title |
|---|---|---|
| CN101852774B (en) | Flaw detection system and flaw detection method | |
| CN111855812A (en) | A laser electromagnetic ultrasound imaging system and method | |
| CN107688051B (en) | A kind of measurement method of the subsurface defect width based on Laser thermo-elastic generated surface acoustic waves | |
| CN101943680B (en) | Array ultrasonic flaw detection method and system with temperature compensation | |
| CN106950180B (en) | Laser ultrasonic detection system for rapidly positioning defects and detection method thereof | |
| CN105738478B (en) | Imaging method is detected based on the steel plate Lamb wave that linear array focal time is inverted | |
| CN102967659B (en) | Calculation method of sound field distribution of phased array ultrasonic probe in flaw detection in multilayer medium | |
| CN106017371B (en) | The measuring device and its method of surface defect opening width based on laser-ultrasound | |
| Gao et al. | Enhanced wavefield imaging method for impact damage detection in composite laminates via laser-generated Lamb waves | |
| US10197535B2 (en) | Apparatus and method for full-field pulse-echo laser ultrasonic propagation imaging | |
| US20100199770A1 (en) | Method for the nondestructive recording of a rotational movement of a specimen, device therefor as well as probe unit | |
| JP4634336B2 (en) | Ultrasonic flaw detection method and ultrasonic flaw detection apparatus | |
| KR20170101834A (en) | Inspection of structures | |
| US20240227068A1 (en) | Detection devices for laser spot welding micro-weld spot quality based on laser | |
| CN113406003B (en) | Annular beam laser-based ultrasonic synthetic aperture focusing imaging device and method | |
| CN107271370A (en) | A kind of laser ultrasonic detection system and its method detected based on material internal defect | |
| CN106990172A (en) | A kind of ultrasound detection and imaging method and its system | |
| US20210048413A1 (en) | Fast pattern recognition using ultrasound | |
| JP2012037307A (en) | Ultrasonic inspection system | |
| Ouabi et al. | A fastslam approach integrating beamforming maps for ultrasound-based robotic inspection of metal structures | |
| KR101698746B1 (en) | Phased Array Ultrasonic Testing Device And Testing Method Using Thereof | |
| CN103424475B (en) | Based on the tested surface contour extraction method of phased array ultrasonic detection | |
| US10883969B2 (en) | System and method for inspecting a structure with coda acoustic waves | |
| Pei et al. | Inspection of delamination defect in first wall with a flexible EMAT-scanning system | |
| EP3546933B1 (en) | Method and apparatus for enhanced visualization of anomalies in a structure using ultrasound |
| Date | Code | Title | Description |
|---|---|---|---|
| PB01 | Publication | ||
| PB01 | Publication | ||
| SE01 | Entry into force of request for substantive examination | ||
| SE01 | Entry into force of request for substantive examination | ||
| RJ01 | Rejection of invention patent application after publication | ||
| RJ01 | Rejection of invention patent application after publication | Application publication date:20201030 |