Background
At present, with the development of smart cities, various types of data collection and processing are faced, so that a data center has a large data processing pressure, and although various data processing mechanisms exist at present, data processing is performed at the data center, and then analysis and processing are performed according to monitoring results, so that the data center pressure is large; meanwhile, although a plurality of data centers are adopted to distribute data in the prior art, the data centers usually process the data independently rather than collaboratively, and the reliability of the processing mode cannot be guaranteed. Meanwhile, the current data acquisition and uploading are carried out through a specific transmission network, the transmission mode is single, dynamic adjustment cannot be carried out according to the actual data transmission condition, and in addition, the accuracy, the reliability and the like of the data are difficult to guarantee in the transmission process. And each sensor of the monitoring equipment is in long-time monitoring, and a good scheduling mechanism is not provided.
In a smart city, monitoring data, particularly traffic data in the smart city, is large in proportion, and whether the monitoring data is comprehensive and effective is a problem to be solved if the purpose of monitoring can be achieved; meanwhile, the current monitoring data are generally used for obtaining evidence after the accident, and timely early warning cannot be achieved, especially, under the current pedestrian flow and the more scenes of non-motor vehicles (electric vehicles), when light is dark, accidents are frequent, timely early warning cannot be achieved, and the current data monitoring analysis cannot really perform reasonable early warning through analysis of big data.
Disclosure of Invention
In order to solve the technical problems in the prior art, a smart city big data analysis and monitoring system is provided.
The system comprises: the system comprises a plurality of monitoring equipment clusters, a local server corresponding to the monitoring equipment clusters and a plurality of data centers for big data analysis;
each monitoring equipment cluster comprises a plurality of monitoring equipment, the monitoring equipment is used for acquiring various types of data, each monitoring equipment cluster performs ad hoc network according to network performance, a multi-level redundant network is constructed, a transmission link is selected according to the type of the acquired data, and the data are uploaded to a local server corresponding to the cluster layer by layer;
the local server analyzes various types of data, the analyzing comprising: selecting a data analysis model corresponding to the data according to the type of the data, and analyzing the data according to the data analysis model; the method comprises the steps of obtaining first data needing to be uploaded instantly, adding a type identifier and an analysis model identifier before each first data, combining to obtain a first data packet, and adding an instant identifier in a header of the first data packet, wherein the instant identifier is used for indicating that the data are data needing to be uploaded instantly and need to be processed emergently; the first data packet with the instant identifier is uploaded to a plurality of data centers;
the data center extracts the instant identification and the data analysis model identification after receiving the first data packet, then acquires each first data, determines a data analysis model according to the type of each first data, then verifies whether the type identification of the determined data analysis model is consistent with the extracted data analysis model identification, and if so, uses the determined data analysis model to perform reanalysis to determine the data processing mode.
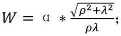
Wherein the data collected by the monitoring equipment comprises traffic data; the traffic data includes: the light index alpha, the current people flow density rho, the flow lambda of the non-motor vehicle and the flow gamma of the motor vehicle; a weight W of the traffic data is calculated, wherein,
when alpha is smaller than a specific threshold value, adding the calculated W into the traffic data for uploading;
after the local server receives the traffic data including W, analyzing the data according to the data analysis model may further include: when gamma is larger than a specified threshold value, (rho + lambda)/gamma is calculated, and if the ratio is larger than a second threshold value, the traffic data is determined as first data needing to be uploaded immediately.
Wherein, the data center determines the data processing mode and further comprises: after the data analysis model carries out the analysis again, an emergency weight W is calculated according to the traffic data and the weight W2When W is2When the threshold value is larger than a specific threshold value, the processing mode is issued;
wherein, W2=γ/W。
The data center allocates time slots with unequal intervals to each local server, and spare time slots are formed among the time slots; the size ratio of the time slot of each local server is determined according to the ratio of the mean square value of W counted by historical traffic data in each local server;
and when the local server receives the emergency data, a competition mechanism is adopted for network access so as to upload the emergency data to the data center in time.
Wherein, upload data to a plurality of data centers, include: after receiving the traffic data, the local server determines the emergency degree indicated by W, determines the number of data centers according to the emergency degree, and then selects the vacant time slots and/or the pre-allocated time slots to transmit the data.
Wherein, after the data center receives the first data packet and completes the determination of the processing mode, the incidence relation between the processing mode identification and the data type and the analysis model identification is established,
the incidence relation is broadcasted to other data centers through a special network among the data centers, the feedback information of each data center is determined, when the number of the received feedback information is larger than half of the number of the data centers, two data centers with the best network performance are selected, the processing mode is issued to a local server, the local server determines the authenticity of the processing mode through comparison after receiving the processing modes fed back by the two data centers, and then the data are issued to vehicle-mounted terminals in the coverage area of relevant acquisition equipment through a vehicle networking network.
And when the correlation relations are not consistent, the priorities of the processing modes are compared, the processing mode with higher priority is selected, and the correlation relations including the processing mode with higher priority are fed back as the confirmation information to the data center sending the correlation relations, so that the data center can adjust and issue the processing modes according to the fed-back confirmation information.
Wherein, the uploading data to the local server corresponding to the cluster layer by layer comprises: selecting a data uploading mode according to the type of the data, wherein the data uploading mode comprises data uploading by using a redundant network;
before uploading by adopting a redundant network, selecting network paths of each network according to a hierarchical network structure so as to enable data to reach a local server at a minimum time interval.
The big data analysis and monitoring system has the advantages that the system fully considers the arrangement of monitoring equipment and constructs a redundant network, meanwhile, the transmission and the processing of data need the cooperation of a plurality of data centers, in addition, the local server has a data instant uploading function, so that the transmission of the data is diversified, the processing efficiency of the data is improved, the system not only realizes the distribution of the data on a network structure, but also realizes the distribution of different types of data, meanwhile, different data analysis models are adopted for the different types of data, the data is analyzed before the data center is transmitted, the processing efficiency of the data is improved, and meanwhile, the reliability of exception handling is ensured; reliable processing mode is formulated according to the collected data, and the vehicle-mounted equipment is informed timely, so that the vehicle owner can know the road condition timely, the alertness is improved, and the driving safety is improved.
Detailed Description
The present invention will now be described in further detail with reference to the accompanying drawings. These drawings are simplified schematic views illustrating only the basic structure of the present invention in a schematic manner, and thus show only the constitution related to the present invention.
As shown in fig. 1, the present invention provides a smart city big data analysis and monitoring system. The system comprises: the system comprises a plurality of monitoring equipment clusters, a local server corresponding to the monitoring equipment clusters and a plurality of data centers for big data analysis;
each monitoring equipment cluster comprises a plurality of monitoring equipment, the monitoring equipment is used for acquiring various types of data, each monitoring equipment cluster performs ad hoc network according to network performance, a multi-level redundant network is constructed, a transmission link is selected according to the type of the acquired data, and the data are uploaded to a local server corresponding to the cluster layer by layer; wherein the redundant network is constructed based on different communication protocols; at present, monitoring equipment generally supports various types of network communication protocols, such as Internet of vehicles, short-distance communication networks, long-distance communication networks and the like.
Wherein, the uploading data to the local server corresponding to the cluster layer by layer comprises: selecting a data uploading mode according to the type of the data, wherein the data uploading mode comprises data uploading by using a redundant network;
before uploading by adopting a redundant network, selecting network paths of each network according to a hierarchical network structure so that each data copy reaches a local server at a minimum time interval, thereby facilitating the local server to perform centralized processing on received data.
Data transmission is based on multi-network transmission, because the network is interfered by the outside world, the stability of the network cannot be ensured, the reliability of a link can be ensured by a multi-hop layer-by-layer transmission mode, meanwhile, redundant networks are used for transmission, and all data copies reach a local server as far as possible, so that the local server can determine the accuracy of data by comparing a plurality of data, the possibility of processing error data is effectively reduced, and the processing efficiency of the data is improved.
The local server analyzes various types of data, the analyzing comprising: selecting a data analysis model corresponding to the data according to the type of the data, and analyzing the data according to the data analysis model; acquiring first data needing immediate uploading (immediate uploading of emergency data), adding a type identifier and an analysis model identifier before each first data, then combining to obtain a first data packet, and adding an immediate identifier in a first data packet header, wherein the immediate identifier is used for indicating that the data is immediate uploading data and needs emergency processing data; the first data packet with the instant identifier is uploaded to a plurality of data centers; the data are analyzed and processed in the local server, the data which need to be uploaded instantly are obtained and transmitted, and meanwhile other data can be transmitted according to a specific period or a predetermined transmission strategy, so that the timeliness of data transmission is guaranteed, the congestion of the data centers is prevented, errors in data processing can be prevented by uploading the data to the multiple data centers, and the reliability of data processing is guaranteed through the cooperative work of the multiple data centers.
After receiving the first data packet, the data center extracts an instant identifier and a data analysis model identifier, then acquires each first data, determines a data analysis model according to the type of each first data, then verifies whether the type identifier of the determined data analysis model is consistent with the extracted data analysis model identifier, and if so, analyzes again by using the determined data analysis model to determine the data processing mode; before determining the data processing mode, the method also comprises the steps of needing to follow up the received data to judge whether the data is the data needing to be uploaded immediately, and if the data is the data needing to be uploaded immediately, determining the processing mode. After receiving the data packet, the data center needs to re-determine the data processing mode, thereby ensuring accurate processing of the data.
Wherein the data collected by the monitoring equipment comprises traffic data; the traffic data includes: the light index alpha, the current people flow density rho, the flow lambda of the non-motor vehicle and the flow gamma of the motor vehicle; a weight W of the traffic data is calculated, wherein,

when alpha is smaller than a specific threshold value, adding the calculated W into the traffic data for uploading; in the field, traffic data is one of the most common data and is also the key data for evidence obtaining, however, early warning is difficult to achieve by monitoring data, especially when light is not good, people and non-motor vehicles are more, and a vehicle owner cannot timely know corresponding road conditions, so that the invention provides a special processing mode for processing the traffic data, quantifies the traffic data by considering the influences of light indexes, pedestrian flow and non-motor vehicle flow, constructs analyzable data weights, obtains road condition information under different conditions by statistical analysis of the data, and uploads the data so as to be conveniently analyzed by a superior mechanism to obtain a reliable emergency processing mode; therefore, the driving safety is improved when the light is not good.
After the local server receives the traffic data including W, analyzing the data according to the data analysis model corresponding to the traffic data may further include: when gamma is larger than a specified threshold value, (rho + lambda)/gamma is calculated, and if the ratio is larger than a second threshold value, the traffic data is determined as first data needing to be uploaded immediately. In order to further ensure the reliability of the information, each traffic data needs to be analyzed, each traffic data is fully utilized, the reality and the reliability of a scene are ensured, the condition that early warning needs to be carried out is determined, the pressure of data analysis of a data center can be reduced through the preliminary analysis, and the data processing efficiency is improved.
Wherein, the data center determines the data processing mode and further comprises: after the data analysis model carries out the analysis again, an emergency weight W is calculated according to the traffic data and the weight W2When W is2When the threshold value is larger than a specific threshold value, the processing mode is issued; wherein, W2γ/W; otherwise, temporarily not sending the processing mode, waiting for a fixed time interval, and if the data uploaded by the same monitoring equipment is received in the time interval and the emergency weight W is applied2If the value of (a) is larger than the last time, an early warning type processing mode is issued to the corresponding monitoring equipment and/or the corresponding vehicle-mounted terminal, so that early warning can be performed when the traffic state is not good.
The processing mode is issued to vehicle-mounted equipment, monitoring equipment, related responsible personnel and the like, wherein the monitoring equipment further comprises an infrared induction sensor, a cross-line sensor and the like, the related sensors needing to be started are determined according to the processing mode to monitor pedestrians and non-motor vehicles, and voice prompt is carried out according to the actual situation; therefore, the alertness of pedestrians and non-motor vehicle owners is improved, and meanwhile, related sensor equipment and functions are only started according to the issued processing mode without being started in real time, so that the resource utilization rate is improved.
Wherein the respective threshold values or threshold values to which the present invention relates are obtained by statistical analysis of historical data.
The data center allocates time slots with unequal intervals to each local server, and spare time slots are formed among the time slots; the size ratio of the time slot of each local server is determined according to the ratio of the mean square value of W counted by historical traffic data in each local server;
and when the local server receives the emergency data, a competition mechanism is adopted for network access so as to upload the emergency data to the data center in time.
Wherein, upload data to a plurality of data centers, include: after receiving the traffic data, the local server determines the emergency degree indicated by W, determines the number of data centers according to the emergency degree, and then selects the vacant time slots and/or the pre-allocated time slots to transmit the data. The weight W is not only used as an indication parameter for measuring the traffic state, but also used for determining the number of the data centers on the receiving side, thereby reducing the data calculation amount of the local server and improving the data processing efficiency of the local server.
The data center divides different time slots for the local server, thereby ensuring the orderliness of data transmission, and simultaneously configures unequal time slots according to actual conditions, and the division of the time slots is determined by corresponding weights. Meanwhile, the spare time slot is set, so that when emergency data appear, the transmission time slot can be effectively acquired through a competition mechanism, and the data transmission efficiency is improved.
After the data center receives the first data packet and completes the determination of the processing mode, the incidence relation between the processing mode identification and the data type and analysis model identification is established;
the incidence relation is broadcasted to other data centers through a special network among the data centers, the feedback information of each data center is determined, when the number of the received feedback information is larger than half of the number of the data centers, two data centers with the best network performance are selected, the processing mode is issued to a local server, the local server determines the authenticity of the processing mode through comparison after receiving the processing modes fed back by the two data centers, and then the data are issued to vehicle-mounted terminals in the coverage area of relevant acquisition equipment through a vehicle networking network. After the vehicle-mounted terminal receives the relevant information, the vehicle-mounted terminal timely reminds the vehicle owner to improve the alertness and pay attention to the driving safety, and meanwhile, the vehicle-mounted terminal can inform the road condition information in front of the vehicle owner according to the actual driving road section so as to adjust the driving route.
And when the correlation relations are not consistent, the priorities of the processing modes are compared, the processing mode with higher priority is selected, and the correlation relations including the processing mode with higher priority are fed back as the confirmation information to the data center sending the correlation relations, so that the data center can adjust and issue the processing modes according to the fed-back confirmation information. The determination of the data processing mode requires the cooperation confirmation of a plurality of data centers, thereby ensuring the accuracy of the selection of the processing mode and preventing the generation of misoperation.
The plurality of data centers also have a shared storage pool, the uploaded first data packets are placed in the shared storage pool, after the plurality of data centers receive the first data packets, the first data packets are placed in the shared storage pool and broadcast among the data centers to inform that new first data packets need to be processed, at the moment, the data center groups can be divided according to the number of the first data packets, each data center group processes one first data packet, all or part of the first data packets can participate in the determination of the processing mode, then the incidence relation broadcasted by the corresponding data centers is received and determined with the incidence relation determined by the data center group and/or received by the data center group, and feedback confirmation information is obtained to feed back. Meanwhile, the supervision of data analysis and processing is improved. The data centers can interact through corresponding transmission links, and the same data can be acquired based on the shared storage pool, so that the relevance among the data centers is ensured, and the cooperation capability among the data centers is improved.
The big data analysis and monitoring system has the advantages that the system fully considers the arrangement of monitoring equipment and constructs a redundant network, meanwhile, the transmission and the processing of data need the cooperation of a plurality of data centers, in addition, the local server has a data instant uploading function, so that the transmission of the data is diversified, the processing efficiency of the data is improved, the system not only realizes the distribution of the data on a network structure, but also realizes the distribution of different types of data, meanwhile, different data analysis models are adopted for the different types of data, the data is analyzed before the data center is transmitted, the processing efficiency of the data is improved, and meanwhile, the reliability of exception handling is ensured; reliable processing mode is formulated according to the collected data, and the vehicle-mounted equipment is informed timely, so that the vehicle owner can know the road condition timely, the alertness is improved, and the driving safety is improved.
In light of the foregoing description of the preferred embodiment of the present invention, many modifications and variations will be apparent to those skilled in the art without departing from the spirit and scope of the invention. The technical scope of the present invention is not limited to the content of the specification, and must be determined according to the scope of the claims.