





技术领域technical field
本发明涉及工业分析技术领域,具体涉及一种曲拉通X-100的高效液相检测方法。The invention relates to the technical field of industrial analysis, in particular to a high-performance liquid phase detection method of Triton X-100.
背景技术Background technique
曲拉通X-100(英语:Triton X-100)是一种非离子型表面活性剂,可通过溶解细胞膜上的脂质成分溶解免疫细胞化学中的细胞膜,使抗体进入细胞与抗原结合。带有一个亲水性的聚乙二醇链(n常为9或10)和一个亲脂性的烃基基团(4-(1,1,3,3-四甲基丁基)-苯基基团)。曲拉通X-100在水中不解离,在溶液中稳定性高,不易受强电解质无机盐类的影响,能与生物膜中的磷脂等脂质结合形成可溶性复合物;疏水端也能与膜蛋白的疏水区结合形成复合物,溶解于溶液中。Triton X-100 (English: Triton X-100) is a non-ionic surfactant, which can dissolve the cell membrane in immunocytochemistry by dissolving the lipid component on the cell membrane, so that the antibody can enter the cell and bind to the antigen. with a hydrophilic polyethylene glycol chain (n is often 9 or 10) and a lipophilic hydrocarbyl group (4-(1,1,3,3-tetramethylbutyl)-phenyl) group). Triton X-100 does not dissociate in water, has high stability in solution, is not easily affected by strong electrolyte inorganic salts, and can combine with lipids such as phospholipids in biological membranes to form soluble complexes; the hydrophobic end can also interact with The hydrophobic regions of membrane proteins bind to form complexes that dissolve in solution.
作为一种使用率高的表面活性剂,检测曲拉通X-100可用液相色谱进行分离,再用紫外检测器进行检测,但由于曲拉通X-100其分子在紫外光波长范围内吸收较弱,所以此方法的检测灵敏度不高,且操作较为繁琐,准确度一般。As a kind of surfactant with high usage rate, the detection of Triton X-100 can be separated by liquid chromatography, and then detected by UV detector. Therefore, the detection sensitivity of this method is not high, and the operation is complicated and the accuracy is average.
发明内容SUMMARY OF THE INVENTION
本发明的目的在于提供一种分离效果好,精密度和准确度高,而且操作安全简易,处理方便快捷,适合高通量筛选及精准定量的表面活性剂曲拉通X-100高效液相检测方法,以解决上述常规检测方法中检测灵敏度不高、操作繁琐、准确度一般的问题。The object of the present invention is to provide a surfactant triton X-100 high-performance liquid phase detection with good separation effect, high precision and accuracy, safe and simple operation, convenient and quick processing, and suitable for high-throughput screening and accurate quantification. The method is used to solve the problems of low detection sensitivity, complicated operation and general accuracy in the above conventional detection methods.
为了解决上述问题,本发明提供了一种表面活性剂曲拉通X-100的高效液相检测方法,其特征在于,包括以下步骤:In order to solve the above-mentioned problems, the present invention provides a high-performance liquid phase detection method of surfactant Triton X-100, which is characterized in that, comprising the following steps:
(1)对照品溶液的制备:(1) Preparation of reference solution:
精密称取适量曲拉通X-100对照品,用流动相溶解并定容成具有一定浓度梯度的多个对照品溶液;Precisely weigh an appropriate amount of Triton X-100 reference substance, dissolve it with mobile phase and dilute to a certain volume of reference substance solution with a certain concentration gradient;
(2)供试品溶液的制备:(2) Preparation of the test solution:
精密称取适量供试品,用流动相超声溶解并定容,如溶液混浊用0.22μm滤膜过滤得到供试品溶液;Precisely weigh an appropriate amount of the test product, dissolve it with mobile phase ultrasonic and make constant volume, if the solution is cloudy, filter it with a 0.22 μm filter membrane to obtain the test solution;
(3)测定:(3) Determination:
将所述多个对照品溶液以及供试品溶液进行液相色谱测定,记录色谱图,根据多个对照品溶液的图谱数据和浓度数据制备线性相关工作曲线,代入供试样品的图谱数据计算并得出供试品溶液浓度,完成了曲拉通X-100含量的测定。The multiple reference substance solutions and the test solution are subjected to liquid chromatographic determination, the chromatogram is recorded, the linear correlation working curve is prepared according to the spectrum data and the concentration data of the multiple reference substance solutions, and the spectrum data of the test sample is substituted into the calculation and calculated. The concentration of the test solution was obtained, and the determination of the content of Triton X-100 was completed.
作为优选的方案,所述步骤(1)中,对照品溶液的数量为5个,且对照品溶液的浓度依次为20、40、60、80、100μg/ml。As a preferred solution, in the step (1), the quantity of the reference solution is 5, and the concentration of the reference solution is 20, 40, 60, 80, and 100 μg/ml in sequence.
作为优选的方案,所述步骤(3)中,测定的色谱条件如下:As preferred scheme, in described step (3), the chromatographic condition of mensuration is as follows:
色谱柱采用反相C18色谱柱;The chromatographic column adopts reversed-phase C18 chromatographic column;
检测器采用ELSD检测器;The detector adopts ELSD detector;
流动相包括流动相A和流动相B;流动相A是甲醇;流动相B是水;且甲醇与水的体积比为90:10。The mobile phase includes mobile phase A and mobile phase B; mobile phase A is methanol; mobile phase B is water; and the volume ratio of methanol to water is 90:10.
作为优选的方案,所述的色谱柱柱长为250mm。As a preferred solution, the length of the chromatographic column is 250mm.
作为优选的方案,所述色谱柱的柱温控制在30~40℃。As a preferred solution, the column temperature of the chromatographic column is controlled at 30-40°C.
作为优选的方案,所述ELSD检测器的雾化温度为40~45℃,蒸发温度为55~60℃,载气压力为25~30psi。As a preferred solution, the atomization temperature of the ELSD detector is 40-45° C., the evaporation temperature is 55-60° C., and the carrier gas pressure is 25-30 psi.
作为优选的方案,所述流动相的流速为1.0ml/min。As a preferred solution, the flow rate of the mobile phase is 1.0 ml/min.
作为优选的方案,进样量为5~20μl。As a preferred solution, the injection volume is 5-20 μl.
作为更优选的方案,所述步骤(3)中,色谱条件中流速为1.0ml/min,柱温为35℃,ELSD检测器雾化温度在45℃,ELSD检测器蒸发温度在60℃,检测器载气吹扫压力在26psi,进样量为20μL。As a more preferred solution, in the step (3), the flow rate in the chromatographic conditions is 1.0ml/min, the column temperature is 35°C, the atomization temperature of the ELSD detector is 45°C, and the evaporation temperature of the ELSD detector is 60°C. The carrier gas purge pressure was 26 psi, and the injection volume was 20 μL.
该技术方案具有以下有益的技术效果:The technical solution has the following beneficial technical effects:
1.本发明的方法测定曲拉通X-100灵敏度高,最低检测限在0.5μg/ml。1. The method of the present invention has high sensitivity for the determination of Triton X-100, and the lowest detection limit is 0.5 μg/ml.
2.本发明的方法用于曲拉通X-100的含量测定,具有良好的线性关系,重现性高,实现了快速分离检测的目的,在工业产品分析及配方研究均具有重要研究价值。2. The method of the present invention is used for the content determination of Triton X-100, has good linear relationship, high reproducibility, realizes the purpose of rapid separation and detection, and has important research value in industrial product analysis and formulation research.
3.本发明针对现有技术中的检测方法进行了改进与优化,与现有技术中的方法相比,本发明的检测方法不仅灵敏度高,分离效果好,精密度和准确度高,而且操作安全简易,处理方便快捷,适合高通量筛选及精准定量。该方法对工业产品分析及配方研究均具有重要研究价值。3. The present invention improves and optimizes the detection method in the prior art. Compared with the method in the prior art, the detection method of the present invention not only has high sensitivity, good separation effect, high precision and accuracy, but also operates Safe and simple, convenient and fast processing, suitable for high-throughput screening and accurate quantification. This method has important research value for industrial product analysis and formulation research.
附图说明Description of drawings
图1-图5为采用本发明的方法测定曲拉通X-100对照品的HPLC图谱;Fig. 1-Fig. 5 adopts the method of the present invention to measure the HPLC spectrum of Triton X-100 reference substance;
图6采用本发明的方法绘制的曲拉通X-100工作曲线。FIG. 6 is a working curve of the triton X-100 drawn by the method of the present invention.
具体实施方案specific implementation
以下结合具体实施例,对本发明做进一步描述。The present invention will be further described below with reference to specific embodiments.
以下所提供的实施例并非用以限制本发明所涵盖的范围,所描述的步骤也不是用以限制其执行顺序。本领域技术人员结合现有公知常识对本发明做显而易见的改进,亦落入本发明要求的保护范围之内。The embodiments provided below are not intended to limit the scope of the present invention, and the described steps are not intended to limit the order of their execution. Those skilled in the art can make obvious improvements to the present invention in combination with the existing common knowledge, which also fall within the protection scope of the present invention.
本申请的发明人经过广泛的研究和大量的实验,摸索得到了一种曲拉通X-100的高效液相检测方法,该方法提供了能够有效检测曲拉通X-100的色谱分析方法,灵敏度高,最低检测限在0.5μg/ml。After extensive research and a lot of experiments, the inventor of the present application has obtained a high-performance liquid phase detection method for Triton X-100, which provides a chromatographic analysis method that can effectively detect Triton X-100, High sensitivity, the lowest detection limit is 0.5μg/ml.
发明人采用的曲拉通X-100的高效液相检测方法,其色谱条件如下:The high-performance liquid phase detection method of Triton X-100 adopted by the inventor, its chromatographic conditions are as follows:
色谱柱采用反相C18色谱柱,比如以十八烷基硅烷键合硅胶为填充剂的WatersXBridge色谱柱;The chromatographic column adopts a reversed-phase C18 chromatographic column, such as a WatersXBridge chromatographic column with octadecylsilane-bonded silica gel as a filler;
检测器采用蒸发光散射ELSD检测器;The detector adopts evaporative light scattering ELSD detector;
流动相包括流动相A和流动相B;流动相A是甲醇;流动相B是水;甲醇与水的体积比为90:10;The mobile phase includes mobile phase A and mobile phase B; mobile phase A is methanol; mobile phase B is water; the volume ratio of methanol to water is 90:10;
本发明的一个优选的实施例中,色谱柱柱长为250mm。In a preferred embodiment of the present invention, the column length of the chromatographic column is 250 mm.
本发明的一个优选的实施例中,流速为0.8~1.2ml/min,更优选为1.0ml/min。In a preferred embodiment of the present invention, the flow rate is 0.8-1.2 ml/min, more preferably 1.0 ml/min.
本发明的一个优选的实施例中,柱温控制在30~40℃,更优选为35℃。In a preferred embodiment of the present invention, the column temperature is controlled at 30-40°C, more preferably 35°C.
本发明的一个优选的实施例中,ELSD检测器雾化温度在40~45℃,更优选为45℃。In a preferred embodiment of the present invention, the atomization temperature of the ELSD detector is 40-45°C, more preferably 45°C.
本发明的一个优选的实施例中,ELSD检测器蒸发温度在55~60℃,更优选为60℃。In a preferred embodiment of the present invention, the evaporation temperature of the ELSD detector is 55-60°C, more preferably 60°C.
本发明的一个优选的实施例中,ELSD检测器氮气吹扫压力在25~30psi,更优选为26psi。In a preferred embodiment of the present invention, the nitrogen purge pressure of the ELSD detector is 25-30 psi, more preferably 26 psi.
本发明的一个优选的实施例中,进样量为5~20μl,更优选为20μl。In a preferred embodiment of the present invention, the injection volume is 5-20 μl, more preferably 20 μl.
下面将结合具体实施例对本发明的技术方案进行清楚、完整的描述,显然,所描述的实施例是本发明的一部分实施例,而不是全部的实施例。基于本发明中的实施例,本领域普通技术人员在没有做出创造性劳动的前提下所获得的所有其他实施例,都属于本发明保护的范围。The technical solutions of the present invention will be clearly and completely described below with reference to specific embodiments. Obviously, the described embodiments are part of the embodiments of the present invention, but not all of the embodiments. Based on the embodiments of the present invention, all other embodiments obtained by those of ordinary skill in the art without creative work fall within the protection scope of the present invention.
实施例一Example 1
本发明实施例中的实验条件如下:The experimental conditions in the embodiment of the present invention are as follows:
仪器:高效液相色谱仪(岛津LC-20AT);Instrument: high performance liquid chromatograph (Shimadzu LC-20AT);
色谱柱:Waters XBridge C18色谱柱,柱长为250mm;Chromatographic column: Waters XBridge C18 chromatographic column, the column length is 250mm;
供试品溶液:精密称取曲拉通X-100供试品10.0mg,置于10ml容量瓶,用流动相(甲醇:水=90:10)溶解并定容,得到供试品溶液;Test solution: Precisely weigh 10.0 mg of Triton X-100 test product, place it in a 10ml volumetric flask, dissolve it with mobile phase (methanol:water=90:10) and dilute to volume to obtain the test solution;
流速:1.0ml/min;Flow rate: 1.0ml/min;
ELSD检测器雾化温度:45℃;ELSD detector atomization temperature: 45℃;
ELSD检测器载气压力:26psi;ELSD detector carrier gas pressure: 26psi;
流动相:甲醇/水=90/10(v/v)。Mobile phase: methanol/water=90/10 (v/v).
基于上述的实验条件,发明人还提供一种测定曲拉通X-100含量的高效液相方法,按以下步骤进行:Based on the above-mentioned experimental conditions, the inventor also provides a high-performance liquid phase method for measuring the content of Triton X-100, which is carried out according to the following steps:
(1)对照品溶液的制备:(1) Preparation of reference solution:
精密称取适量曲拉通X-100对照品,用流动相溶解并定容得到1mg/ml的储备液,并用流动相依次稀释定容得到20、40、60、80、100μg/ml的对照品溶液;Precisely weigh an appropriate amount of Triton X-100 reference substance, dissolve it with mobile phase and dilute to volume to obtain 1mg/ml stock solution, and dilute to volume with mobile phase in turn to obtain 20, 40, 60, 80, 100 μg/ml reference substance solution;
(2)供试品溶液的制备:(2) Preparation of the test solution:
精密称取适量供试品,用流动相超声溶解并定容,若溶液混浊需用0.22μm滤膜过滤得到供试品溶液;Precisely weigh an appropriate amount of the test sample, dissolve it with mobile phase ultrasonic and make constant volume, if the solution is turbid, filter it with a 0.22 μm filter membrane to obtain the test solution;
(3)测定:(3) Determination:
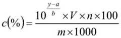
将所述多个对照品溶液以及供试品溶液进行液相色谱测定,记录色谱图,根据5个对照品溶液的曲拉通X-100峰面积对数和浓度对数数据,制备线性工作曲线为式1The multiple reference substance solutions and the need testing solution are subjected to liquid chromatographic measurement, record the chromatogram, and prepare a linear working curve according to the logarithm of the Triton X-100 peak area and the logarithm of the concentration logarithm of the 5 reference substance solutions is
y=bx+ay=bx+a
其中y为峰面积的对数;x为样品浓度的对数,单位为μg/mL;a为工作曲线截距;b为工作曲线斜率。where y is the logarithm of the peak area; x is the logarithm of the sample concentration in μg/mL; a is the intercept of the working curve; b is the slope of the working curve.
然后代入供试样品的图谱数据计算并得出供试品溶液浓度,完成了曲拉通X-100含量的测定。未知样品中曲拉通X-100的具体计算过程为式2:Then substitute the spectral data of the test sample to calculate and obtain the solution concentration of the test sample, and complete the determination of the triton X-100 content. The specific calculation process of triton X-100 in the unknown sample is formula 2:
其中y为供试品溶液中曲拉通X-100的峰面积的对数;m为样品质量,单位为mg;V为样品溶液定容体积,单位为mL;n为样品稀释倍数;a为工作曲线截距;b为工作曲线斜率。where y is the logarithm of the peak area of Triton X-100 in the test solution; m is the sample mass, in mg; V is the constant volume of the sample solution, in mL; n is the sample dilution ratio; a is Intercept of the working curve; b is the slope of the working curve.
通过图6的曲拉通X-100工作曲线中得知,该工作曲线线性关系良好,R2=0.9998It can be known from the working curve of the triton X-100 in Fig. 6 that the working curve has a good linear relationship, and R2=0.9998
实施例二
仪器:高效液相色谱仪(岛津LC-20AT);Instrument: high performance liquid chromatograph (Shimadzu LC-20AT);
色谱柱:Waters XBridge C18色谱柱,柱长为250mm;Chromatographic column: Waters XBridge C18 chromatographic column, the column length is 250mm;
空白溶液:为流动相溶液;Blank solution: mobile phase solution;
流速:1.0ml/min;Flow rate: 1.0ml/min;
ELSD检测器雾化温度:45℃;ELSD detector atomization temperature: 45℃;
ELSD检测器载气压力:26psi;ELSD detector carrier gas pressure: 26psi;
流动相:甲醇/水=90/10(v/v)。Mobile phase: methanol/water=90/10 (v/v).
通过连续10次的空白溶液测定,得到峰面积均值和标准差,以10次空白峰面积均值减去3倍标准差的值代入式1工作曲线,得到最低检出限在0.5μg/ml,较用紫外检测器检测灵敏度提高了一倍。Through 10 consecutive blank solution determinations, the peak area mean and standard deviation were obtained, and the value of the 10 blank peak area mean minus 3 times the standard deviation was substituted into the working curve of
综上所述,本发明的曲拉通X-100高效液相检测方法是一种操作简单、准确度/灵敏度高且适合广泛推广的方法。上述各实施例及附图仅为本发明的较佳实施例而已,并不用以限定本发明的保护范围,凡在本发明的精神和原则之内,所做的任何修改、等同替换、改进等,皆应包含在本发明的保护范围内。To sum up, the triton X-100 high-performance liquid phase detection method of the present invention is a method with simple operation, high accuracy/sensitivity and suitable for widespread promotion. The above-mentioned embodiments and accompanying drawings are only preferred embodiments of the present invention, and are not intended to limit the protection scope of the present invention. Any modifications, equivalent replacements, improvements, etc. made within the spirit and principles of the present invention , all should be included in the protection scope of the present invention.
| Application Number | Priority Date | Filing Date | Title |
|---|---|---|---|
| CN201911064164.XACN111830144A (en) | 2019-11-04 | 2019-11-04 | A kind of high-performance liquid phase detection method of surfactant Triton X-100 |
| Application Number | Priority Date | Filing Date | Title |
|---|---|---|---|
| CN201911064164.XACN111830144A (en) | 2019-11-04 | 2019-11-04 | A kind of high-performance liquid phase detection method of surfactant Triton X-100 |
| Publication Number | Publication Date |
|---|---|
| CN111830144Atrue CN111830144A (en) | 2020-10-27 |
| Application Number | Title | Priority Date | Filing Date |
|---|---|---|---|
| CN201911064164.XAPendingCN111830144A (en) | 2019-11-04 | 2019-11-04 | A kind of high-performance liquid phase detection method of surfactant Triton X-100 |
| Country | Link |
|---|---|
| CN (1) | CN111830144A (en) |
| Publication number | Priority date | Publication date | Assignee | Title |
|---|---|---|---|---|
| CN115236240A (en)* | 2022-08-10 | 2022-10-25 | 无锡生基医药科技有限公司 | Method for detecting Triton X-100 residue |
| CN117990818A (en)* | 2023-12-28 | 2024-05-07 | 烟台德胜海洋生物科技有限公司 | A liquid chromatography detection method for Triton X-100 residue |
| Publication number | Priority date | Publication date | Assignee | Title |
|---|---|---|---|---|
| CN104215718A (en)* | 2014-09-22 | 2014-12-17 | 成都生物制品研究所有限责任公司 | High performance liquid chromatography detection method of Triton X-100 content |
| WO2018008447A1 (en)* | 2016-07-08 | 2018-01-11 | 東ソー株式会社 | Hemoglobin liquid preparation and liquid chromatography method for measuring hemoglobin component |
| CN108152414A (en)* | 2017-12-22 | 2018-06-12 | 河北圣雪大成制药有限责任公司 | A kind of method of HPLC-ELSD detections avilamycin pre-mixing agent |
| Publication number | Priority date | Publication date | Assignee | Title |
|---|---|---|---|---|
| CN104215718A (en)* | 2014-09-22 | 2014-12-17 | 成都生物制品研究所有限责任公司 | High performance liquid chromatography detection method of Triton X-100 content |
| WO2018008447A1 (en)* | 2016-07-08 | 2018-01-11 | 東ソー株式会社 | Hemoglobin liquid preparation and liquid chromatography method for measuring hemoglobin component |
| CN108152414A (en)* | 2017-12-22 | 2018-06-12 | 河北圣雪大成制药有限责任公司 | A kind of method of HPLC-ELSD detections avilamycin pre-mixing agent |
| Title |
|---|
| LIU XD 等: "A specially column for surfactant analysis", 《DIONEX》* |
| WEBSTER GK 等: "Low level detection of nonionic surfactants of pharmaceutical interest", 《ANALYTICAL METHODS》* |
| 尹利辉 等: "凝胶色谱-蒸发光散射检测法检测中药注射剂中吐温80的含量", 《药物分析杂志》* |
| 李建 等: "HPLC-ELSD法分析脂肪醇聚氧乙烯醚的组分分布", 《广州化工》* |
| 黄丽仙 等: "高效液相色谱法检测表面活性剂驱采出液中的浓度", 《石油化工应用》* |
| Publication number | Priority date | Publication date | Assignee | Title |
|---|---|---|---|---|
| CN115236240A (en)* | 2022-08-10 | 2022-10-25 | 无锡生基医药科技有限公司 | Method for detecting Triton X-100 residue |
| CN117990818A (en)* | 2023-12-28 | 2024-05-07 | 烟台德胜海洋生物科技有限公司 | A liquid chromatography detection method for Triton X-100 residue |
| Publication | Publication Date | Title |
|---|---|---|
| Kirthi et al. | A review on bioanalytical method development and validation by RP-HPLC | |
| RU2747370C1 (en) | Method for determination of parabens in medicinal drugs by glc method | |
| CN111830144A (en) | A kind of high-performance liquid phase detection method of surfactant Triton X-100 | |
| CN111679010B (en) | High performance liquid chromatography detection method of remdesivir intermediate GS-441524 | |
| CN104880517B (en) | Method for measuring content of trace components in traditional Chinese medicine preparation | |
| Ivanovic et al. | Validation of the RP–HPLC method for analysis of hydrochlorothiazide and captopril in tablets | |
| Desai et al. | High Performance Liquid Chromatography-A Validation View | |
| CN105628825B (en) | Based on UPC2The method of 4 kinds of principal monosaccharides and disaccharide content in ELSD measure honey | |
| CN101762662A (en) | Method for measuring tryptophan and 5-hydroxytryptamine simultaneously by high-efficiency liquid chromatography-fluorescence method | |
| CN117191974A (en) | Method for determining concentration of ibuprofen in blood plasma by eliminating interference of matrix effect | |
| CN111380978B (en) | Method for simultaneously determining contents of coenzymes NADP and FAD in medicine | |
| Tarkase Kailash et al. | Development and validation of UV-Spectrophotometric methods for estimation of Indapamide in bulk and tablet dosage form | |
| CN114577938A (en) | HPLC detection method for simultaneously determining seven phenols content in pine pollen extract | |
| Soyseven et al. | The effect of mobile phase ph on capacity factor and selectivity in high performance liquid chromatography | |
| CN110794048B (en) | High performance liquid detection method for alcamines cement grinding aid | |
| RU2780870C1 (en) | Method for quantifying sodium 4,4'-(propanediamido)dibenzoate in biological objects | |
| Saxena et al. | Estimation of lenalidomide in bulk and its dosage form using uv spectrophotometric and Rp-Hplc methods | |
| Suganthi et al. | DEVELOPMENT OF RP-HPLC METHODS FOR THE ESTIMATION OF NEBIVOLOL AND CARVEDILOL WITH SELECTED NSAIDS AND ITS APPLICATION TO DRUG DISPLACEMENT INTERACTION STUDIES | |
| Nikhil et al. | Development and Validation of Spectrophotometric Method for the Determination of Risperidone in Bulk Drug and Pharmaceutical Formulation by UV And HPLC | |
| RU2636231C1 (en) | Method of quantitation 2,2,6,6-tetramethyl-n-{1-[5-(4-methyl-3-chloroaniline)-1,2,4-thiadiazole-3-yl]propan-2-yl}piperidin-4-amine dihydrochloride in biological matrices | |
| CN102692472B (en) | A kind of content assaying method of hydroxyl radical carthamin yellow carthamus A | |
| RU2702330C1 (en) | Method for quantitative determination of 2-[(z)-1-(3,5-diphenyl-1,3,4-thiadiazole-2(3h)-ylidene)methyl]-3,5-diphenyl-1,3,4-thiadiazole-3-ium in biological objects | |
| CN114200067B (en) | High performance liquid chromatography analysis method for 6-bromo-3-hydroxy pyrazine-2-carboxamide and impurities | |
| Birajdar | New Method Development by HPLC and Validation as per ICH Guidelines | |
| Daksh et al. | Analytical Method Development and Validation: A Review |
| Date | Code | Title | Description |
|---|---|---|---|
| PB01 | Publication | ||
| PB01 | Publication | ||
| SE01 | Entry into force of request for substantive examination | ||
| SE01 | Entry into force of request for substantive examination | ||
| RJ01 | Rejection of invention patent application after publication | ||
| RJ01 | Rejection of invention patent application after publication | Application publication date:20201027 |