


技术领域technical field
本申请涉及定位技术领域,特别是涉及一种室内绝对位置确定方法。The present application relates to the field of positioning technology, and in particular, to a method for determining an indoor absolute position.
背景技术Background technique
室内外无缝导航定位是万物互联之基石,具有广阔的市场前景和应用价值。但目前对于室内外无缝组合导航问题,仍存在诸多棘手问题亟待解决。UWB或GNSS伪卫星等测距信标由于测距精度,可以获得实时厘米级的高精度室内定位,将GNSS+测距信标组合是解决室内外高精度无缝定位的有效手段之一,但目前尚存在一些主要问题,表现为:(1)室内与室外的定位原理没有统一,导致室内外过渡时无法实现无缝平稳切换;(2)室内室外的定位结果没有一个统一的坐标框架,室外通常采用地心地固坐标系(ECEF)获得绝对坐标,室内则采用局域相对参考系获得相对定位,导致室内定位的使用不方便。(3)室内外过渡区定位的不平稳性。室内外过渡区的可见卫星数量剧烈变化,导致GNSS定位精度也急剧变化,从而导致定位的不平稳甚至出现定位盲区。Indoor and outdoor seamless navigation and positioning is the cornerstone of the Internet of Everything, and has broad market prospects and application value. However, there are still many thorny problems to be solved urgently for indoor and outdoor seamless combined navigation. Ranging beacons such as UWB or GNSS pseudolites can obtain real-time centimeter-level high-precision indoor positioning due to the ranging accuracy. Combining GNSS + ranging beacons is one of the effective means to solve indoor and outdoor high-precision seamless positioning, but at present There are still some major problems, which are as follows: (1) The indoor and outdoor positioning principles are not unified, resulting in seamless and smooth switching between indoor and outdoor transitions; (2) The indoor and outdoor positioning results do not have a unified coordinate frame, and the outdoor usually The absolute coordinates are obtained by using the geocentric earth-fixed coordinate system (ECEF), and the relative positioning is obtained by using the local relative reference system indoors, which makes the use of indoor positioning inconvenient. (3) Unsteady positioning of indoor and outdoor transition zone. The number of visible satellites in the transition zone between indoors and outdoors changes drastically, which leads to a sharp change in the GNSS positioning accuracy, resulting in unstable positioning and even positioning blind spots.
发明内容SUMMARY OF THE INVENTION
基于此,有必要针对上述技术问题,提供一种能够提高定位准确性的室内绝对位置确定方法。Based on this, it is necessary to provide an indoor absolute position determination method that can improve the positioning accuracy for the above technical problems.
一种室内绝对位置确定方法,所述方法包括:A method for determining an indoor absolute position, the method comprising:
接收定位请求,并对所述终端进行粗略定位;receiving a positioning request, and roughly positioning the terminal;
根据粗略定位结果确定所述终端的室内外情况,所述室内外情况包括终端位于室内区域、所述终端位于室内和室外的过渡区域以及所述终端位于室外区域;Determine the indoor and outdoor conditions of the terminal according to the rough positioning result, where the indoor and outdoor conditions include that the terminal is located in an indoor area, the terminal is located in a transition area between indoor and outdoor, and the terminal is located in an outdoor area;
选择与所述室内外情况对应的定位方式,所述定位方式包括卫星定位和通过测距信标进行定位,且通过测距信标进行定位是通过所述测距信标的绝对位置进行定位,所述测距信标的绝对位置是预先根据卫星定位所确定的室外参考点的位置计算得到的;Select a positioning mode corresponding to the indoor and outdoor conditions, the positioning mode includes satellite positioning and positioning by ranging beacons, and positioning by ranging beacons is positioning by the absolute position of the ranging beacons, so The absolute position of the ranging beacon is calculated in advance according to the position of the outdoor reference point determined by satellite positioning;
通过所选择的定位方式对所述终端进行定位。The terminal is positioned through the selected positioning mode.
在其中一个实施例中,所述通过所选择的定位方式对所述终端进行定位,包括:In one of the embodiments, the positioning of the terminal by the selected positioning method includes:
当所述终端位于室内和室外的过渡区域时,则获取预先计算的测距信标的绝对位置;When the terminal is located in the transition area between indoors and outdoors, obtain the absolute position of the pre-calculated ranging beacon;
通过所述测距信标对所述终端进行定位得到每个测距信标对应的相对位置;Locating the terminal through the ranging beacons to obtain the relative position corresponding to each ranging beacon;
获取每个所述卫星对所述终端进行定位所得到的绝对位置;Obtain the absolute position obtained by positioning the terminal by each of the satellites;
获取预先设置的权重矩阵,根据所述权重矩阵、每个测距信标对应的相对位置、所述测距信标的绝对位置和每个所述卫星对所述终端进行定位所得到的绝对位置计算得到终端的绝对位置。Obtain a preset weight matrix, and calculate the absolute position obtained by positioning the terminal according to the weight matrix, the relative position corresponding to each ranging beacon, the absolute position of the ranging beacon and the positioning of the terminal by each of the satellites Get the absolute position of the terminal.
在其中一个实施例中,所述通过所选择的定位方式对所述终端进行定位,包括:In one of the embodiments, the positioning of the terminal by the selected positioning method includes:
当所述终端位于室内区域时,则获取预先计算的测距信标的绝对位置;When the terminal is located in the indoor area, obtain the absolute position of the pre-calculated ranging beacon;
通过所述测距信标对所述终端进行定位得到相对位置;The relative position is obtained by locating the terminal through the ranging beacon;
根据所述相对位置和所述测距信标的绝对位置计算得到终端的绝对位置。The absolute position of the terminal is calculated according to the relative position and the absolute position of the ranging beacon.
在其中一个实施例中,所述通过所选择的定位方式对所述终端进行定位,包括:In one of the embodiments, the positioning of the terminal by the selected positioning method includes:
当所述终端位于室外区域时,则通过卫星对所述终端进行定位。When the terminal is located in an outdoor area, the terminal is positioned by satellite.
在其中一个实施例中,所述测距信标的绝对位置是通过内引法和外引法计算得到的。In one of the embodiments, the absolute position of the ranging beacon is calculated by using an inner reference method and an outer reference method.
在其中一个实施例中,所述内引法包括:In one embodiment, the internal citation method includes:
在室外区域通过卫星精密定位至少两个参考点的位置;Precisely locate the position of at least two reference points by satellite in outdoor areas;
将所述至少两个参考点构成一条第一空间直线,并将所构成的空间直线内引到室内和室外过渡区域入口和室内;forming a first space straight line with the at least two reference points, and leading the formed space straight line to the entrance and indoor of the transition area between indoor and outdoor;
通过激光测距采集所述至少两个参考点与对应的第一测距信标的第一距离;Collect the first distance between the at least two reference points and the corresponding first ranging beacon through laser ranging;
根据所述两个参考点的位置构建第一空间直线方程;constructing a first space straight line equation according to the positions of the two reference points;
根据所述第一空间直线方程和所述第一距离确定所述第一测距信标的绝对位置。The absolute position of the first ranging beacon is determined according to the first space straight line equation and the first distance.
在其中一个实施例中,所述外引法包括:In one embodiment, the external citation method includes:
获取室内布设的测距信标所连接成的第二空间直线;Obtain the second space straight line connected by the indoor deployed ranging beacons;
在室外构建与所述第二空间直线平行的第三空间直线;constructing a third space straight line parallel to the second space straight line outdoors;
通过卫星精密定位获取室外的第三空间直线上各点的绝对位置;Obtain the absolute position of each point on the straight line in the third space outdoors through satellite precise positioning;
通过激光测距采集第二测距信标之间的距离信息;Collect distance information between the second ranging beacons through laser ranging;
根据所述第二空间直线和所述第三空间直线的平行关系、距离信息、第三空间直线上各点的绝对位置以及所述第一测距信标的绝对位置计算获取室内第二测距信标的绝对位置。According to the parallel relationship between the second space straight line and the third space straight line, the distance information, the absolute position of each point on the third space straight line, and the absolute position of the first ranging beacon, the indoor second ranging signal is calculated and obtained. The absolute position of the target.
一种室内绝对位置确定方法,所述装置包括:A method for determining an indoor absolute position, the device comprising:
接收模块,用于接收定位请求,并对所述终端进行粗略定位;a receiving module, used for receiving a positioning request, and roughly positioning the terminal;
室内外情况确定模块,用于根据粗略定位结果确定所述终端的室内外情况,所述室内外情况包括终端位于室内区域、所述终端位于室内和室外的过渡区域以及所述终端位于室外区域;an indoor and outdoor situation determination module, configured to determine the indoor and outdoor conditions of the terminal according to the rough positioning result, the indoor and outdoor conditions include that the terminal is located in an indoor area, the terminal is located in a transition area between indoor and outdoor, and the terminal is located in an outdoor area;
定位方式确定模块,用于选择与所述室内外情况对应的定位方式,所述定位方式包括卫星定位和通过测距信标进行定位,且通过测距信标进行定位是通过所述测距信标的绝对位置进行定位,所述测距信标的绝对位置是预先根据卫星定位所确定的室外参考点的位置计算得到的;The positioning mode determination module is used to select a positioning mode corresponding to the indoor and outdoor conditions, the positioning mode includes satellite positioning and positioning through ranging beacons, and positioning through ranging beacons is performed through the ranging beacons. The absolute position of the beacon is used for positioning, and the absolute position of the ranging beacon is calculated in advance according to the position of the outdoor reference point determined by satellite positioning;
定位模块,用于通过所选择的定位方式对所述终端进行定位。The positioning module is used for positioning the terminal through the selected positioning mode.
一种计算机设备,包括存储器和处理器,所述存储器存储有计算机程序,所述处理器执行所述计算机程序时实现上述的方法的步骤。A computer device includes a memory and a processor, the memory stores a computer program, and the processor implements the steps of the above method when the processor executes the computer program.
一种计算机可读存储介质,其上存储有计算机程序,所述计算机程序被处理器执行时实现上述的方法的步骤。A computer-readable storage medium on which a computer program is stored, and when the computer program is executed by a processor, implements the steps of the above-mentioned method.
上述室内绝对位置确定方法,在进行定位的时候,根据终端的粗略定位位置确定了终端的室内外情况,并根据终端的室内外情况来选择对应的定位方式,有针对性地对终端进行定位,从而可以提高终端定位的准确性。In the above method for determining the indoor absolute position, when positioning, the indoor and outdoor conditions of the terminal are determined according to the rough positioning position of the terminal, and the corresponding positioning mode is selected according to the indoor and outdoor conditions of the terminal, so as to locate the terminal in a targeted manner. Thus, the accuracy of terminal positioning can be improved.
附图说明Description of drawings
图1为一个实施例中室内绝对位置确定方法的应用环境图;Fig. 1 is the application environment diagram of the indoor absolute position determination method in one embodiment;
图2为一个实施例中室内绝对位置确定方法的流程示意图;2 is a schematic flowchart of a method for determining an indoor absolute position in one embodiment;
图3为一个实施例中测距信标部署方案及内引法和外引法示意图。FIG. 3 is a schematic diagram of the deployment scheme of the ranging beacon and the inward and outward reference methods in one embodiment.
具体实施方式Detailed ways
为了使本申请的目的、技术方案及优点更加清楚明白,以下结合附图及实施例,对本申请进行进一步详细说明。应当理解,此处描述的具体实施例仅仅用以解释本申请,并不用于限定本申请。In order to make the purpose, technical solutions and advantages of the present application more clearly understood, the present application will be described in further detail below with reference to the accompanying drawings and embodiments. It should be understood that the specific embodiments described herein are only used to explain the present application, but not to limit the present application.
本申请提供的室内绝对位置确定方法,可以应用于如图1所示的应用环境中。其中,终端102与卫星104或测距信标106进行通信,以实时获得终端102的绝对位置,具体地,终端102可以接收定位请求,以对终端102进行定位,且终端102可以首先进行粗略定位,以判断终端102的室内外情况,例如终端102位于室内区域、终端102位于室内和室外的过渡区域以及终端位于室外区域,并根据终端102的室内外情况选择对应的定位方式,包括卫星定位方式和通过测距信标进行定位,其中,测距信标的绝对位置是预先根据卫星定位所确定的室外参考点的位置计算得到的,这样通过测距信标进行定位的时候可以转换为绝对位置,保证了室内和室外坐标的一致性。其中,终端102可以但不限于是各种个人计算机、笔记本电脑、智能手机、平板电脑和便携式可穿戴设备。The indoor absolute position determination method provided by the present application can be applied to the application environment shown in FIG. 1 . The
在一个实施例中,如图2所示,提供了一种室内绝对位置确定方法,以该方法应用于图1中的终端为例进行说明,包括以下步骤:In one embodiment, as shown in FIG. 2 , a method for determining an indoor absolute position is provided, and the method is applied to the terminal in FIG. 1 as an example for description, including the following steps:
S100:接收定位请求,并对终端进行粗略定位。S100: Receive a positioning request, and roughly position the terminal.
具体地,定位请求可以是终端根据用户输入所确定的,或者是根据终端中所安装的应用程序的申请所确定。对终端进行粗略定位主要是为了确定终端的室内外情况,该粗略定位可以是根据终端所能接收到的卫星和/或测距信标的信号所生成的,或者是根据全球卫星导航系统GNSS或惯性导航系统INS进行定位所得到的,粗略定位对位置的要求并不高,仅是为了确定终端的室内外情况。Specifically, the positioning request may be determined by the terminal according to user input, or determined according to an application of an application program installed in the terminal. The rough positioning of the terminal is mainly to determine the indoor and outdoor conditions of the terminal. What is obtained by the positioning of the navigation system INS, the rough positioning does not have high requirements on the position, and is only to determine the indoor and outdoor conditions of the terminal.
S200:根据粗略定位结果确定终端的室内外情况,室内外情况包括终端位于室内区域、终端位于室内和室外的过渡区域以及终端位于室外区域。S200: Determine indoor and outdoor conditions of the terminal according to the rough positioning result, where the indoor and outdoor conditions include that the terminal is located in an indoor area, the terminal is located in a transition area between indoors and outdoors, and the terminal is located in an outdoor area.
具体地,终端的室内外情况包括终端位于室内区域、终端位于室内和室外的过渡区域以及终端位于室外区域,其中过渡区域是指室内和室外的过渡区域,可以是指由室外通往室内的各个通道位置处预设范围内的区域。因此终端可以根据粗略定位情况大致确定终端所在的区域。Specifically, the indoor and outdoor conditions of the terminal include that the terminal is located in the indoor area, the terminal is located in the transition area between indoor and outdoor, and the terminal is located in the outdoor area. The area within the preset range at the channel position. Therefore, the terminal can roughly determine the area where the terminal is located according to the rough positioning situation.
S300:选择与室内外情况对应的定位方式,定位方式包括卫星定位和通过测距信标进行定位,且通过测距信标进行定位是通过测距信标的绝对位置进行定位,测距信标的绝对位置是预先根据卫星定位所确定的室外参考点的位置计算得到的。S300: Select a positioning method corresponding to the indoor and outdoor conditions. The positioning methods include satellite positioning and positioning through ranging beacons, and positioning through ranging beacons is positioning through the absolute position of the ranging The position is calculated in advance according to the position of the outdoor reference point determined by satellite positioning.
具体地,定位方式包括卫星定位和通过测距信标进行定位,且为了保证卫星定位和测距信标定位坐标框架的统一,本实施例中基于内引和外引法获得室内信标的绝对坐标,定位用户得到室内与室外一样的绝对位置,从而显著提高了用户使用的便捷性、定位的准确有效性。Specifically, the positioning methods include satellite positioning and positioning by ranging beacons, and in order to ensure the unification of the satellite positioning and the positioning coordinate frames of the ranging beacons, the absolute coordinates of the indoor beacons are obtained based on the inward and outward reference methods in this embodiment. , locating the user to obtain the same absolute position indoors as outdoors, thereby significantly improving the convenience of the user and the accuracy and effectiveness of the positioning.
具体地,可以预先通过内引法和外引法根据卫星定位所确定的室外参考点的位置计算测距信标的绝对位置,这样根据测距信标的绝对位置再去定位终端的位置,从而使得通过测距信标来进行定位得到的也是在ECEF中的绝对坐标。Specifically, the absolute position of the ranging beacon can be calculated in advance according to the position of the outdoor reference point determined by the satellite positioning through the internal reference method and the external reference method. The absolute coordinates in ECEF are also obtained by the ranging beacon for positioning.
其中根据室内外情况选择对应的定位方式包括:当终端在室内的时候,可以通过测距信标来进行定位,并根据卫星定位的测距信标的绝对位置来获得终端的绝对位置;当终端在室外的时候,则直接通过卫星来定位;当终端在室内外过渡区域的时候,则可以综合卫星定位和测距信标定位两者以提高定位的准确性。即根据所能接收到的卫星和测距信标的信号的路数选择对应的定位方式。The selection of the corresponding positioning method according to the indoor and outdoor conditions includes: when the terminal is indoors, positioning can be performed by the ranging beacon, and the absolute position of the terminal can be obtained according to the absolute position of the ranging beacon located by the satellite; When it is outdoors, it is directly positioned by satellite; when the terminal is in the transition area between indoor and outdoor, it can integrate both satellite positioning and ranging beacon positioning to improve the accuracy of positioning. That is, the corresponding positioning mode is selected according to the number of signals from the satellites and ranging beacons that can be received.
S400:通过所选择的定位方式对终端进行定位。S400: Position the terminal by using the selected positioning mode.
具体地,终端根据所选择的定位方式对终端进行定位,包括在室外通过卫星进行定位,在室内通过测距信标来进行定位,并根据卫星定位的测距信标的绝对位置来获得终端的绝对位置,在过渡区域综合卫星定位和测距信标定位两者以提高定位的准确性。Specifically, the terminal locates the terminal according to the selected positioning method, including positioning through satellites outdoors, positioning through ranging beacons indoors, and obtaining the absolute position of the terminal according to the absolute position of the ranging beacons positioned by the satellites. Position, in the transition area, integrate both satellite positioning and ranging beacon positioning to improve positioning accuracy.
上述室内绝对位置确定方法,在进行定位的时候,根据终端的粗略定位位置确定了终端的室内外情况,并根据终端的室内外情况来选择对应的定位方式,有针对性地对终端进行定位,从而可以提高终端定位的准确性。In the above method for determining the indoor absolute position, when positioning, the indoor and outdoor conditions of the terminal are determined according to the rough positioning position of the terminal, and the corresponding positioning mode is selected according to the indoor and outdoor conditions of the terminal, so as to locate the terminal in a targeted manner. Thus, the accuracy of terminal positioning can be improved.
在其中一个实施例中,通过所选择的定位方式对终端进行定位,包括:当终端位于室内和室外的过渡区域时,则获取预先计算的测距信标的绝对位置;通过测距信标对终端进行定位得到每个测距信标对应的相对位置;获取每个卫星对终端进行定位所得到的绝对位置;获取预先设置的权重矩阵,根据权重矩阵、每个测距信标对应的相对位置、每个测距信标的绝对位置和每个卫星对终端进行定位所得到的绝对位置计算得到终端的绝对位置。In one of the embodiments, positioning the terminal through the selected positioning method includes: when the terminal is located in a transition area between indoors and outdoors, acquiring the pre-calculated absolute position of the ranging beacon; Perform positioning to obtain the relative position corresponding to each ranging beacon; obtain the absolute position obtained by positioning the terminal by each satellite; obtain a preset weight matrix, according to the weight matrix, the relative position corresponding to each ranging beacon, The absolute position of each ranging beacon and the absolute position obtained by positioning the terminal by each satellite are calculated to obtain the absolute position of the terminal.
具体地,部署的测距信标一般采用相对位置,这种相对位置可以通过某种方法转化为地心地固坐标系(ECEF),此外假设测距信标的坐标是ECEF坐标系下的坐标,即测距信标的绝对位置,该绝对位置可以是通过下文中所述的内引法和外引法进行确定得到的,这样通过测距信标对终端进行定位得到每个测距信标对应的相对位置,可以根据该相对位置和测距信标的绝对位置将通过测距信标测得的相对位置转换为ECEF坐标系下的绝对位置,且终端还可以获取每个卫星对终端进行定位所得到的绝对位置,这样可以得到至少一路卫星测距的结果和至少一路测距信标测距的结果,从而可以根据预先设置的权重综合至少一路卫星测距的结果和至少一路测距信标测距的结果计算得到终端的绝对位置。Specifically, the deployed ranging beacons generally use relative positions, which can be converted into geocentric geofixed coordinates (ECEF) by some method. In addition, it is assumed that the coordinates of the ranging beacons are the coordinates in the ECEF coordinate system, that is, The absolute position of the ranging beacon, the absolute position can be determined by the internal reference method and the external reference method described below, so that the terminal is located by the ranging beacon to obtain the relative relative value corresponding to each ranging beacon. position, the relative position measured by the ranging beacon can be converted into the absolute position in the ECEF coordinate system according to the relative position and the absolute position of the ranging beacon, and the terminal can also obtain the position obtained by positioning the terminal by each satellite. Absolute position, so that at least one satellite ranging result and at least one ranging beacon ranging result can be obtained, so that at least one satellite ranging result and at least one ranging beacon ranging result can be synthesized according to the preset weight. The result is calculated to obtain the absolute position of the terminal.
在其中一个实施例中,通过所选择的定位方式对终端进行定位,包括:当终端位于室内区域时,则获取预先计算的测距信标的绝对位置;通过测距信标对终端进行定位得到相对位置;根据相对位置和测距信标的绝对位置计算得到终端的绝对位置。In one of the embodiments, positioning the terminal through the selected positioning method includes: when the terminal is located in an indoor area, acquiring the pre-calculated absolute position of the ranging beacon; locating the terminal through the ranging beacon to obtain relative Position: Calculate the absolute position of the terminal according to the relative position and the absolute position of the ranging beacon.
具体地,当终端位于室内区域时,此时主要以测距信标进行测距为准,因此通过测距信标对终端进行定位得到相对位置,然后根据测距信标的绝对位置计算得到终端的绝对位置,即转换为ECEF坐标系下的绝对位置。Specifically, when the terminal is located in an indoor area, the distance measurement is mainly based on the ranging beacon. Therefore, the terminal is located by the ranging beacon to obtain the relative position, and then the absolute position of the ranging beacon is calculated to obtain the terminal's relative position. Absolute position, that is, converted to absolute position in the ECEF coordinate system.
在其中一个实施例中,通过所选择的定位方式对终端进行定位,包括:当终端位于室外区域时,则通过卫星对终端进行定位。具体地,当终端位于室外区域时,则直接通过卫星进行定位,在此不再赘述。In one of the embodiments, the positioning of the terminal through the selected positioning method includes: when the terminal is located in an outdoor area, positioning the terminal through satellites. Specifically, when the terminal is located in an outdoor area, positioning is performed directly through satellites, which will not be repeated here.
实际应用中为了方便理解,下文将详细说明卫星定位和测距信标定位进行组合的定位原理,其中卫星定位以GNSS定位为例进行说明:In order to facilitate understanding in practical applications, the following will describe the positioning principle of the combination of satellite positioning and ranging beacon positioning. The satellite positioning is described by taking GNSS positioning as an example:
GNSS、UWB和伪卫星都是测距定位系统,卫星位置可以通过卫星广播星历解算或直接利用精密星历得到,可以认为是已知的,部署的测距信标一般采用相对位置,这种相对位置可以通过某种方法转化为地心地固坐标系(ECEF),本实施例假设测距信标的坐标是ECEF坐标系下的坐标。这样,无论是卫星还是测距信标均可以采用GNSS伪距单点定位方程GNSS, UWB, and pseudolites are all ranging positioning systems. The satellite position can be calculated by satellite broadcast ephemeris or directly obtained by using precise ephemeris. It can be considered as known. The deployed ranging beacons generally use relative positions. The relative position can be converted into an Earth-Centered Earth-Fixed Coordinate System (ECEF) by a certain method. In this embodiment, it is assumed that the coordinates of the ranging beacon are the coordinates in the ECEF coordinate system. In this way, whether it is a satellite or a ranging beacon, the GNSS pseudorange single-point positioning equation can be used.
ρj=||sj-u||+ctu (1)ρj =||sj -u||+ctu (1)
式中ρi表示伪距,tu表示接收机的钟差,卫星sj(xj,yj,zj),终端u(xu,yu,zu),其中j的范围1~n(n≥4),n表示可视卫星数和测距信标的可视信号源总数。由此可知:where ρi represents the pseudorange, tu represents the clock error of the receiver, satellite sj (xj , yj , zj ), terminal u (xu , yu , zu ), where j ranges from 1 to 1 n (n≥4), n represents the number of visible satellites and the total number of visible signal sources of ranging beacons. From this it can be seen that:
与真实位置的定位误差(Δxu,Δyu,Δzu),定时误差Δtu,可以利用BDS/GNSS和UWB的测距误差将上述方程线性化:The positioning error (Δxu , Δyu , Δzu ) from the true position, the timing error Δtu , the above equations can be linearized using the ranging errors of BDS/GNSS and UWB:
Δρ1=ax1Δxu+ay1Δyu+az1Δzu-cΔtu (5)Δρ1 =ax1 Δxu +ay1 Δyu +az1 Δzu -cΔtu (5)
Δρ2=ax2Δxu+ay2Δyu+az2Δzu-cΔtu(6)Δρ2 =ax2 Δxu +ay2 Δyu +az2 Δzu -cΔtu (6)
Δρn=axnΔxu+aynΔyu+aznΔzu-cΔtu (7)Δρn =axn Δxu +ayn Δyu +azn Δzu-cΔtu (7)
这些方程可以利用下列定义写成矩阵形式:These equations can be written in matrix form using the following definitions:
最后得到finally got
Δρ=HΔx (8)Δρ=HΔx (8)
这是一个超定或者正定方程,当n=4时其定位解为:This is an overdetermined or positive definite equation, and its localization solution when n=4 is:
Δx=H-1Δρ (9)Δx=H-1 Δρ (9)
当n>4时,它的解,可以得到最小二乘解为When n>4, its solution, the least squares solution can be obtained as
Δx=(HTH)-1HTΔρ (10)Δx=(HT H)-1 HT Δρ (10)
由于各个卫星以及各个测距信标之间的等效距离误差(UERE)往往不是独立同分布的。上述的位置估计的最小二乘解就不是最优的,此时就可以引入加权最小二乘(WLS),得到最优解为Because the equivalent distance error (UERE) between each satellite and each ranging beacon is often not independent and identically distributed. The least squares solution of the above position estimation is not optimal. In this case, weighted least squares (WLS) can be introduced to obtain the optimal solution as
Δx=(HTR-1H)-1HTR-1Δρ (11)Δx=(HT R-1 H)-1 HT R-1 Δρ (11)
其中,R为权值矩阵,每颗可视GNSS卫星和测距信号源的定权规则是根据UERE的贡献大小。在过渡区域,GNSS卫星和测距信标信号同时存在。测距信标的测距精度与GNSS伪距观测值精度可能存在差异,因此,可以采用噪声方差的自适应权重因子,测距信标和BDS卫星的自适应权重因子根据自身噪声方差确定,各自存在微小差异。Among them, R is the weight matrix, and the weighting rule of each visible GNSS satellite and ranging signal source is based on the contribution of UERE. In the transition area, both GNSS satellites and ranging beacon signals are present. There may be differences between the ranging accuracy of ranging beacons and the accuracy of GNSS pseudorange observations. Therefore, the adaptive weighting factor of noise variance can be used. The adaptive weighting factors of ranging beacons and BDS satellites are determined according to their own noise variance. minor differences.
在其中一个实施例中,测距信标的绝对位置是通过内引法和外引法计算得到的。In one of the embodiments, the absolute position of the ranging beacon is calculated by using the inner reference method and the outer reference method.
在其中一个实施例中,内引法包括:在室外区域通过卫星精密定位至少两个参考点的位置;将至少两个参考点构成一条第一空间直线,并将所构成的空间直线内引到室内和室外过渡区域入口和室内;通过激光测距采集至少两个参考点与对应的第一测距信标的第一距离;根据两个参考点的位置构建第一空间直线方程;根据第一空间直线方程和第一距离确定第一测距信标的绝对位置。In one of the embodiments, the internal reference method includes: precise positioning of the positions of at least two reference points by satellites in the outdoor area; forming a first spatial straight line from the at least two reference points, and internally leading the formed spatial straight line to Indoor and outdoor transition area entrance and indoor; collect the first distance between at least two reference points and the corresponding first ranging beacon through laser ranging; construct a first space straight line equation according to the positions of the two reference points; according to the first space The straight line equation and the first distance determine the absolute position of the first ranging beacon.
在其中一个实施例中,外引法包括:获取室内布设的测距信标所连接成的第二空间直线;在室外构建与第二空间直线平行的第三空间直线;通过卫星精密定位获取室外的第三空间直线上各点的绝对位置;通过激光测距采集第二测距信标之间的距离信息;根据第二空间直线和第三空间直线的平行关系、距离信息、第三空间直线上各点的绝对位置以及第一测距信标的绝对位置计算获取室内第二测距信标的绝对位置。In one of the embodiments, the external reference method includes: acquiring a second space straight line connected by ranging beacons arranged indoors; constructing a third space straight line parallel to the second space straight line outdoors; acquiring an outdoor straight line through satellite precise positioning The absolute position of each point on the third space straight line; the distance information between the second ranging beacons is collected by laser ranging; according to the parallel relationship between the second space straight line and the third space straight line, the distance information, the third space straight line The absolute positions of the above points and the absolute positions of the first ranging beacons are calculated to obtain the absolute positions of the indoor second ranging beacons.
具体地,参见图3所示,图3为一个实施例中测距信标部署方案及内引法和外引法示意图,在该实施例中,对于室内定位,当前普遍采用局域相对坐标系进行室内定位。UWB等各种测距信标通过一个参考点确定其相对位置,进而用户获得相对坐标。对于室内室外一体化普适定位,这种相对定位结果远没有室外GNSS绝对定位结果应用方便。因此,本实施例中提出基于空间直线内引法和外引法的室内测距信标绝对坐标确定。Specifically, referring to FIG. 3 , FIG. 3 is a schematic diagram of the deployment scheme of the ranging beacon and the internal and external referencing methods in an embodiment. In this embodiment, for indoor positioning, a local relative coordinate system is generally used at present. Perform indoor positioning. Various ranging beacons such as UWB determine their relative position through a reference point, and then the user obtains the relative coordinates. For indoor and outdoor integrated ubiquitous positioning, this relative positioning result is far less convenient than the outdoor GNSS absolute positioning result. Therefore, this embodiment proposes the determination of the absolute coordinates of the indoor ranging beacon based on the spatial straight-line inward and outward reference method.
空间直线内引法具体可以包括:在室外通过GNSS精密室内绝对位置确定方法确定两个点,将这两个已知点构成一条空间直线内引到室内过渡区入口和室内,同时通过激光测距方法获得已知点到待测点之间的几何距离,根据空间直线方程,可以快速确定该空间直线上各个测距信标的绝对位置。The spatial straight line introducting method can specifically include: determining two points outdoors through the GNSS precision indoor absolute position determination method, and forming a spatial straight line to lead these two known points to the entrance of the indoor transition area and indoors, and at the same time using laser ranging The method obtains the geometric distance between the known point and the point to be measured, and according to the space straight line equation, the absolute position of each ranging beacon on the space straight line can be quickly determined.
假设室内按图3部署了测距信标,基于激光测距和激光准直原理将室内测距信标位置与室外参考位置通过空间直线方程关联,室外已知参考点位精密确定方法一般可以通过GNSS精密定位技术,如网络RTK、RTPPP或千寻国家地基增强系统。Assuming that the ranging beacons are deployed indoors as shown in Figure 3, the indoor ranging beacons are associated with the outdoor reference positions through the spatial straight line equation based on the principles of laser ranging and laser collimation. GNSS precision positioning technology, such as network RTK, RTPPP or Qianxun National Ground Based Augmentation System.
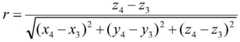
图3中序号5-10为测距信标部署位置,测距信标9和测距信标5两点在一条直线上,测距信标8、测距信标9和测距信标10三点在一条直线上,测距信标5、测距信标6和测距信标7三点在同一直线上,将测距信标5和测距信标9两点所在直线延伸到室外,利用GNSS精密室内绝对位置确定方法获得直线上参考点1和参考点2两点在ECEF坐标系上的绝对位置(x1,y1,z1)和(x2,y2,z2),在通过上述的激光测距测出参考点2、测距信标5之间的距离l1进而可以根据参考点1和参考点2确定空间直线方程The numbers 5-10 in Fig. 3 are the deployment positions of the ranging beacons, the ranging
此时可得出过渡区域中测距信标5(x5,y5,z5)的位置坐标At this time, the position coordinates of the ranging beacon 5 (x5 , y5 , z5 ) in the transition area can be obtained
同理可以确定测距信标9的绝对坐标(x9,y9,z9)。Similarly, the absolute coordinates (x9 , y9 , z9 ) of the ranging
空间直线外引法:通过室内布设的测距信标点连接成的空间直线,在室外构建与之平行的空间直线,通过GNSS精密室内绝对位置确定方法获取室外的直线各点的绝对位置,根据所构直线的平行关系、距离信息、已知点绝对位置信息可以获取室内各测距信标的绝对位置。Spatial straight line external reference method: Through the spatial straight line connected by the ranging beacon points laid indoors, a spatial straight line parallel to it is constructed outdoors, and the absolute position of each point of the outdoor straight line is obtained by the GNSS precise indoor absolute position determination method. The parallel relationship of the straight line, the distance information, and the absolute position information of the known points can be used to obtain the absolute position of each indoor ranging beacon.
使用激光测距的方法测出室内相邻信标的距离,由内引法已知参考点1、测距信标5之间的直线距离,在室外构建与之平行的直线,例如:l67//l34//l89,从而根据空间直线平行关系,快速确定室内UWB信标的绝对位置。Use the laser ranging method to measure the distance between adjacent beacons indoors. The straight line distance between reference point 1 and ranging
由测距信标5、测距信标6、测距信标7和测距信标8、测距信标9、测距信标10为两条相互平行的空间直线,并且由北斗网络RTK测出参考点3的坐标(x3,y3,z3),参考点4的坐标(x4,y4,z4)。The ranging
由此可以得出l34的直线坐标:From this, the linear coordinates of l34 can be obtained:
由单位向量:by the unit vector:
可知平行直线l67和l89直线方程:It can be known that the equations of the parallel lines l67 and l89 are:
由激光测距测得测距信标5和测距信标6两点之间的距离l2,则可直接得到测距信标6的绝对坐标:If the distance l2 between the
x6=x5+ml2x6 = x5 +ml2
y6=y5+nl2 (17)y6 =y5 +nl2 (17)
z6=z5+rl2z6 =z5 +rl2
同理可以确定测距信标7、测距信标8和测距信标10的绝对坐标。综合内引法和外引法,可以确定室内任何测距信标在ECEF中的绝对坐标,这就为室内和室外均可以采用GNSS定位原理奠定了理论基础。Similarly, the absolute coordinates of the ranging
上述实施例中,利用基于内引和外引法的室内信标绝对室内绝对位置确定方法,可实现室内外坐标框架的统一,获得室内信标的绝对坐标,定位终端得到室内与室外一样的绝对位置,从而显著提高了终端使用的便捷性、定位的准确有效性。In the above-mentioned embodiment, using the method for determining the absolute indoor absolute position of the indoor beacon based on the inward and outward reference method, the unification of the indoor and outdoor coordinate frames can be realized, the absolute coordinates of the indoor beacon can be obtained, and the positioning terminal can obtain the indoor and outdoor absolute position. , thereby significantly improving the convenience of terminal use and the accuracy and effectiveness of positioning.
应该理解的是,虽然图2的流程图中的各个步骤按照箭头的指示依次显示,但是这些步骤并不是必然按照箭头指示的顺序依次执行。除非本文中有明确的说明,这些步骤的执行并没有严格的顺序限制,这些步骤可以以其它的顺序执行。而且,图2中的至少一部分步骤可以包括多个步骤或者多个阶段,这些步骤或者阶段并不必然是在同一时刻执行完成,而是可以在不同的时刻执行,这些步骤或者阶段的执行顺序也不必然是依次进行,而是可以与其它步骤或者其它步骤中的步骤或者阶段的至少一部分轮流或者交替地执行。It should be understood that although the various steps in the flowchart of FIG. 2 are shown in sequence according to the arrows, these steps are not necessarily executed in the sequence shown by the arrows. Unless explicitly stated herein, the execution of these steps is not strictly limited to the order, and these steps may be performed in other orders. Moreover, at least a part of the steps in FIG. 2 may include multiple steps or multiple stages, and these steps or stages are not necessarily executed at the same time, but may be executed at different times, and the execution sequence of these steps or stages is also It does not have to be performed sequentially, but may be performed alternately or alternately with other steps or at least a portion of the steps or stages within the other steps.
在一个实施例中,提供了一种室内绝对位置确定装置,包括:In one embodiment, an indoor absolute position determination device is provided, comprising:
接收模块,用于接收定位请求,并对终端进行粗略定位;The receiving module is used to receive the positioning request and roughly locate the terminal;
室内外情况确定模块,用于根据粗略定位结果确定终端的室内外情况,室内外情况包括终端位于室内区域、终端位于室内和室外的过渡区域以及终端位于室外区域;The indoor and outdoor condition determination module is used to determine the indoor and outdoor conditions of the terminal according to the rough positioning result, the indoor and outdoor conditions include that the terminal is located in the indoor area, the terminal is located in the transition area between indoor and outdoor, and the terminal is located in the outdoor area;
定位方式确定模块,用于选择与室内外情况对应的定位方式,定位方式包括卫星定位和通过测距信标进行定位,且通过测距信标进行定位是通过测距信标的绝对位置进行定位,测距信标的绝对位置是预先根据卫星定位所确定的室外参考点的位置计算得到的;The positioning mode determination module is used to select the positioning mode corresponding to the indoor and outdoor conditions. The positioning mode includes satellite positioning and positioning through ranging beacons, and positioning through ranging beacons is positioning through the absolute position of the ranging beacons. The absolute position of the ranging beacon is calculated in advance according to the position of the outdoor reference point determined by satellite positioning;
定位模块,用于通过所选择的定位方式对终端进行定位。The positioning module is used for positioning the terminal through the selected positioning mode.
在其中一个实施例中,上述的定位模块包括:In one embodiment, the above-mentioned positioning module includes:
第一测距信标位置确定单元,用于当终端位于室内和室外的过渡区域时,则获取预先计算的测距信标的绝对位置;a first ranging beacon position determination unit, configured to acquire the pre-calculated absolute position of the ranging beacon when the terminal is located in a transition area between indoors and outdoors;
第一相对位置确定单元,用于通过测距信标对终端进行定位得到每个测距信标对应的相对位置;a first relative position determining unit, configured to locate the terminal through the ranging beacons to obtain the relative position corresponding to each ranging beacon;
卫星定位单元,用于获取每个卫星对终端进行定位所得到的绝对位置;The satellite positioning unit is used to obtain the absolute position obtained by each satellite positioning the terminal;
第一绝对位置确定单元,用于获取预先设置的权重矩阵,根据权重矩阵、每个测距信标对应的相对位置、测距信标的绝对位置和每个卫星对终端进行定位所得到的绝对位置计算得到终端的绝对位置。The first absolute position determination unit is used to obtain a preset weight matrix, according to the weight matrix, the relative position corresponding to each ranging beacon, the absolute position of the ranging beacon and the absolute position obtained by positioning the terminal by each satellite Calculate the absolute position of the terminal.
在其中一个实施例中,上述的定位模块包括:In one embodiment, the above-mentioned positioning module includes:
第二测距信标位置确定单元,用于当终端位于室内区域时,则获取预先计算的测距信标的绝对位置;The second ranging beacon position determining unit is configured to acquire the pre-calculated absolute position of the ranging beacon when the terminal is located in the indoor area;
第二相对位置确定单元,用于通过测距信标对终端进行定位得到相对位置;a second relative position determining unit, configured to locate the terminal through the ranging beacon to obtain the relative position;
第二绝对位置确定单元,用于根据相对位置和测距信标的绝对位置计算得到终端的绝对位置。The second absolute position determining unit is configured to calculate and obtain the absolute position of the terminal according to the relative position and the absolute position of the ranging beacon.
在其中一个实施例中,上述的定位模块还用于当终端位于室外区域时,则通过卫星对终端进行定位。In one of the embodiments, the above-mentioned positioning module is further configured to position the terminal through satellites when the terminal is located in an outdoor area.
在其中一个实施例中,测距信标的绝对位置是通过内引法和外引法计算得到的。In one of the embodiments, the absolute position of the ranging beacon is calculated by using the inner reference method and the outer reference method.
在其中一个实施例中,上述定位装置还包括:In one embodiment, the above-mentioned positioning device further includes:
参考点定位模块,用于在室外区域通过卫星精密定位至少两个参考点的位置;The reference point positioning module is used to precisely locate the positions of at least two reference points through satellites in the outdoor area;
引线模块,用于将至少两个参考点构成一条第一空间直线,并将所构成的空间直线内引到室内和室外过渡区域入口和室内;The lead module is used to form at least two reference points to form a first space straight line, and lead the formed space straight line to the entrance and indoor of the transition area between indoor and outdoor;
第一激光测距模块,用于通过激光测距采集至少两个参考点与对应的第一测距信标的第一距离;a first laser ranging module, configured to collect a first distance between at least two reference points and a corresponding first ranging beacon through laser ranging;
第一空间直线方程构建模块,用于根据两个参考点的位置构建第一空间直线方程;a first space straight line equation building module for constructing a first space straight line equation according to the positions of the two reference points;
第一测距信标绝对位置确定模块,用于根据第一空间直线方程和第一距离确定第一测距信标的绝对位置。The absolute position determination module of the first ranging beacon is configured to determine the absolute position of the first ranging beacon according to the first space straight line equation and the first distance.
在其中一个实施例中,上述定位装置还包括:In one embodiment, the above-mentioned positioning device further includes:
第二空间直线方程构建模块,用于获取室内布设的测距信标所连接成的第二空间直线;The second space straight line equation building module is used to obtain the second space straight line connected by the indoor deployed ranging beacons;
第三空间直线方程构建模块,用于在室外构建与第二空间直线平行的第三空间直线;The third space straight line equation building module is used to construct a third space straight line parallel to the second space straight line outdoors;
卫星定位模块,用于通过卫星精密定位获取室外的第三空间直线上各点的绝对位置;The satellite positioning module is used to obtain the absolute position of each point on the straight line in the third space outdoors through satellite precise positioning;
第二激光测距模块,用于通过激光测距采集第二测距信标之间的距离信息;a second laser ranging module, configured to collect distance information between the second ranging beacons through laser ranging;
第二测距信标绝对位置确定模块,用于根据第二空间直线和第三空间直线的平行关系、距离信息、第三空间直线上各点的绝对位置以及第一测距信标的绝对位置计算获取室内第二测距信标的绝对位置。The module for determining the absolute position of the second ranging beacon is configured to calculate the absolute position of the first ranging beacon according to the parallel relationship between the second space line and the third space line, the distance information, the absolute position of each point on the third space line and the absolute position of the first ranging beacon Obtain the absolute position of the indoor second ranging beacon.
关于室内绝对位置确定装置的具体限定可以参见上文中对于室内绝对位置确定方法的限定,在此不再赘述。上述室内绝对位置确定装置中的各个模块可全部或部分通过软件、硬件及其组合来实现。上述各模块可以硬件形式内嵌于或独立于计算机设备中的处理器中,也可以以软件形式存储于计算机设备中的存储器中,以便于处理器调用执行以上各个模块对应的操作。For the specific limitation of the apparatus for determining the indoor absolute position, reference may be made to the limitation on the method for determining the indoor absolute position above, which will not be repeated here. Each module in the above-mentioned indoor absolute position determination device may be implemented in whole or in part by software, hardware and combinations thereof. The above modules can be embedded in or independent of the processor in the computer device in the form of hardware, or stored in the memory in the computer device in the form of software, so that the processor can call and execute the operations corresponding to the above modules.
在一个实施例中,提供了一种计算机设备,该计算机设备可以是终端,该计算机设备包括通过系统总线连接的处理器、存储器、通信接口、显示屏和输入装置。其中,该计算机设备的处理器用于提供计算和控制能力。该计算机设备的存储器包括非易失性存储介质、内存储器。该非易失性存储介质存储有操作系统和计算机程序。该内存储器为非易失性存储介质中的操作系统和计算机程序的运行提供环境。该计算机设备的通信接口用于与外部的终端进行有线或无线方式的通信,无线方式可通过WIFI、运营商网络、NFC(近场通信)或其他技术实现。该计算机程序被处理器执行时以实现一种室内绝对位置确定方法。该计算机设备的显示屏可以是液晶显示屏或者电子墨水显示屏,该计算机设备的输入装置可以是显示屏上覆盖的触摸层,也可以是计算机设备外壳上设置的按键、轨迹球或触控板,还可以是外接的键盘、触控板或鼠标等。In one embodiment, a computer device, which may be a terminal, is provided, the computer device including a processor, a memory, a communication interface, a display screen, and an input device connected through a system bus. Among them, the processor of the computer device is used to provide computing and control capabilities. The memory of the computer device includes a non-volatile storage medium, an internal memory. The nonvolatile storage medium stores an operating system and a computer program. The internal memory provides an environment for the execution of the operating system and computer programs in the non-volatile storage medium. The communication interface of the computer device is used for wired or wireless communication with an external terminal, and the wireless communication can be realized by WIFI, operator network, NFC (Near Field Communication) or other technologies. The computer program, when executed by a processor, implements an indoor absolute position determination method. The display screen of the computer equipment may be a liquid crystal display screen or an electronic ink display screen, and the input device of the computer equipment may be a touch layer covered on the display screen, or a button, a trackball or a touchpad set on the shell of the computer equipment , or an external keyboard, trackpad, or mouse.
本领域技术人员可以理解,上述结构,仅仅是与本申请方案相关的部分结构的框图,并不构成对本申请方案所应用于其上的计算机设备的限定,具体的计算机设备可以包括比图中所示更多或更少的部件,或者组合某些部件,或者具有不同的部件布置。Those skilled in the art can understand that the above structure is only a block diagram of a part of the structure related to the solution of the present application, and does not constitute a limitation on the computer equipment to which the solution of the present application is applied. show more or fewer components, or combine certain components, or have a different arrangement of components.
在一个实施例中,提供了一种计算机设备,包括存储器和处理器,存储器中存储有计算机程序,该处理器执行计算机程序时实现以下步骤:接收定位请求,并对终端进行粗略定位;根据粗略定位结果确定终端的室内外情况,室内外情况包括终端位于室内区域、终端位于室内和室外的过渡区域以及终端位于室外区域;选择与室内外情况对应的定位方式,定位方式包括卫星定位和通过测距信标进行定位,且通过测距信标进行定位是通过测距信标的绝对位置进行定位,测距信标的绝对位置是预先根据卫星定位所确定的室外参考点的位置计算得到的;通过所选择的定位方式对终端进行定位。In one embodiment, a computer device is provided, including a memory and a processor, a computer program is stored in the memory, and the processor implements the following steps when executing the computer program: receiving a positioning request, and roughly positioning the terminal; The positioning result determines the indoor and outdoor conditions of the terminal. The indoor and outdoor conditions include that the terminal is located in the indoor area, the terminal is located in the transition area between indoor and outdoor, and the terminal is located in the outdoor area; the positioning method corresponding to the indoor and outdoor conditions is selected. The positioning of the distance beacon, and the positioning by the ranging beacon is based on the absolute position of the ranging beacon, and the absolute position of the ranging beacon is calculated in advance according to the position of the outdoor reference point determined by satellite positioning; The selected positioning method locates the terminal.
在一个实施例中,处理器执行计算机程序时所涉及的通过所选择的定位方式对终端进行定位,包括:当终端位于室内和室外的过渡区域时,则获取预先计算的测距信标的绝对位置;通过测距信标对终端进行定位得到每个测距信标对应的相对位置;获取每个卫星对终端进行定位所得到的绝对位置;获取预先设置的权重矩阵,根据权重矩阵、每个测距信标对应的相对位置、测距信标的绝对位置和每个卫星对终端进行定位所得到的绝对位置计算得到终端的绝对位置。In one embodiment, the positioning of the terminal by the selected positioning method involved in the execution of the computer program by the processor includes: when the terminal is located in a transition area between indoors and outdoors, acquiring the absolute position of the pre-calculated ranging beacon Obtain the relative position corresponding to each ranging beacon by locating the terminal through the ranging beacon; obtain the absolute position obtained by positioning the terminal by each satellite; obtain the preset weight matrix, according to the weight matrix, each measurement The absolute position of the terminal is obtained by calculating the relative position corresponding to the distance beacon, the absolute position of the distance measuring beacon and the absolute position obtained by positioning the terminal by each satellite.
在一个实施例中,处理器执行计算机程序时所涉及的通过所选择的定位方式对终端进行定位,包括:当终端位于室内区域时,则获取预先计算的测距信标的绝对位置;通过测距信标对终端进行定位得到相对位置;根据相对位置和测距信标的绝对位置计算得到终端的绝对位置。In one embodiment, the positioning of the terminal by the selected positioning method involved when the processor executes the computer program includes: when the terminal is located in an indoor area, acquiring the pre-calculated absolute position of the ranging beacon; The beacon locates the terminal to obtain the relative position; the absolute position of the terminal is calculated according to the relative position and the absolute position of the ranging beacon.
在一个实施例中,处理器执行计算机程序时所涉及的通过所选择的定位方式对终端进行定位,包括:当终端位于室外区域时,则通过卫星对终端进行定位。In one embodiment, the positioning of the terminal by the selected positioning method involved in the execution of the computer program by the processor includes: when the terminal is located in an outdoor area, positioning the terminal by satellite.
在一个实施例中,处理器执行计算机程序时所涉及的测距信标的绝对位置是通过内引法和外引法计算得到的。In one embodiment, the absolute position of the ranging beacon involved in the execution of the computer program by the processor is obtained by calculating through the inner reference method and the outer reference method.
在一个实施例中,处理器执行计算机程序时所涉及的内引法包括:在室外区域通过卫星精密定位至少两个参考点的位置;将至少两个参考点构成一条第一空间直线,并将所构成的空间直线内引到室内和室外过渡区域入口和室内;通过激光测距采集至少两个参考点与对应的第一测距信标的第一距离;根据两个参考点的位置构建第一空间直线方程;根据第一空间直线方程和第一距离确定第一测距信标的绝对位置。In one embodiment, the internal referencing method involved when the processor executes the computer program includes: precise positioning of the positions of at least two reference points by satellites in an outdoor area; forming a first spatial straight line from the at least two reference points, and The formed space leads to the entrance and indoor of the transition area between indoor and outdoor in a straight line; collects the first distance between at least two reference points and the corresponding first ranging beacon through laser ranging; constructs the first distance according to the positions of the two reference points The space straight line equation; the absolute position of the first ranging beacon is determined according to the first space straight line equation and the first distance.
在一个实施例中,处理器执行计算机程序时所涉及的外引法包括:获取室内布设的测距信标所连接成的第二空间直线;在室外构建与第二空间直线平行的第三空间直线;通过卫星精密定位获取室外的第三空间直线上各点的绝对位置;通过激光测距采集第二测距信标之间的距离信息;根据第二空间直线和第三空间直线的平行关系、距离信息、第三空间直线上各点的绝对位置以及第一测距信标的绝对位置计算获取室内第二测距信标的绝对位置。In one embodiment, the external reference method involved when the processor executes the computer program includes: acquiring a second space straight line formed by connecting ranging beacons arranged indoors; constructing a third space outdoors that is parallel to the second space straight line Straight line; obtain the absolute position of each point on the outdoor third space straight line through satellite precise positioning; collect the distance information between the second ranging beacons through laser ranging; according to the parallel relationship between the second space straight line and the third space straight line , distance information, the absolute position of each point on the third space straight line, and the absolute position of the first ranging beacon to obtain the absolute position of the indoor second ranging beacon.
在一个实施例中,提供了一种计算机可读存储介质,其上存储有计算机程序,计算机程序被处理器执行时实现以下步骤:接收定位请求,并对终端进行粗略定位;根据粗略定位结果确定终端的室内外情况,室内外情况包括终端位于室内区域、终端位于室内和室外的过渡区域以及终端位于室外区域;选择与室内外情况对应的定位方式,定位方式包括卫星定位和通过测距信标进行定位,且通过测距信标进行定位是通过测距信标的绝对位置进行定位,测距信标的绝对位置是预先根据卫星定位所确定的室外参考点的位置计算得到的;通过所选择的定位方式对终端进行定位。In one embodiment, a computer-readable storage medium is provided, on which a computer program is stored, and when the computer program is executed by a processor, the following steps are implemented: receiving a positioning request, and roughly positioning the terminal; determining according to the rough positioning result Indoor and outdoor conditions of the terminal, the indoor and outdoor conditions include the terminal located in the indoor area, the terminal located in the transition area between indoor and outdoor, and the terminal located in the outdoor area; select the positioning method corresponding to the indoor and outdoor conditions, and the positioning method includes satellite positioning and through ranging beacons Positioning, and positioning by the ranging beacon is based on the absolute position of the ranging beacon, and the absolute position of the ranging beacon is calculated in advance according to the position of the outdoor reference point determined by satellite positioning; way to locate the terminal.
在一个实施例中,计算机程序被处理器执行时所涉及的通过所选择的定位方式对终端进行定位,包括:当终端位于室内和室外的过渡区域时,则获取预先计算的测距信标的绝对位置;通过测距信标对终端进行定位得到每个测距信标对应的相对位置;获取每个卫星对终端进行定位所得到的绝对位置;获取预先设置的权重矩阵,根据权重矩阵、每个测距信标对应的相对位置、测距信标的绝对位置和每个卫星对终端进行定位所得到的绝对位置计算得到终端的绝对位置。In one embodiment, when the computer program is executed by the processor, the positioning of the terminal through the selected positioning method includes: when the terminal is located in a transition area between indoors and outdoors, acquiring the absolute value of the pre-calculated ranging beacon. position; locate the terminal through ranging beacons to obtain the relative position corresponding to each ranging beacon; obtain the absolute position obtained by positioning the terminal by each satellite; obtain the preset weight matrix, according to the weight matrix, each The absolute position of the terminal is obtained by calculating the relative position corresponding to the ranging beacon, the absolute position of the ranging beacon, and the absolute position obtained by each satellite locating the terminal.
在一个实施例中,计算机程序被处理器执行时所涉及的通过所选择的定位方式对终端进行定位,包括:当终端位于室内区域时,则获取预先计算的测距信标的绝对位置;通过测距信标对终端进行定位得到相对位置;根据相对位置和测距信标的绝对位置计算得到终端的绝对位置。In one embodiment, when the computer program is executed by the processor, the positioning of the terminal by the selected positioning method includes: when the terminal is located in an indoor area, acquiring the absolute position of the pre-calculated ranging beacon; The relative position is obtained by locating the terminal from the distance beacon; the absolute position of the terminal is obtained by calculating the relative position and the absolute position of the distance measuring beacon.
在一个实施例中,计算机程序被处理器执行时所涉及的通过所选择的定位方式对终端进行定位,包括:当终端位于室外区域时,则通过卫星对终端进行定位。In one embodiment, when the computer program is executed by the processor, the positioning of the terminal through the selected positioning method includes: when the terminal is located in an outdoor area, positioning the terminal through satellites.
在一个实施例中,计算机程序被处理器执行时所涉及的测距信标的绝对位置是通过内引法和外引法计算得到的。In one embodiment, the absolute position of the ranging beacon involved when the computer program is executed by the processor is calculated by the inner and outer methods.
在一个实施例中,计算机程序被处理器执行时所涉及的内引法包括:在室外区域通过卫星精密定位至少两个参考点的位置;将至少两个参考点构成一条第一空间直线,并将所构成的空间直线内引到室内和室外过渡区域入口和室内;通过激光测距采集至少两个参考点与对应的第一测距信标的第一距离;根据两个参考点的位置构建第一空间直线方程;根据第一空间直线方程和第一距离确定第一测距信标的绝对位置。In one embodiment, the internal referencing method involved when the computer program is executed by the processor includes: locating the positions of at least two reference points precisely by satellite in an outdoor area; forming a first spatial straight line from the at least two reference points, and Direct the formed space to the entrance and indoor of the transition area between indoor and outdoor; collect the first distance between at least two reference points and the corresponding first ranging beacon through laser ranging; construct the first distance according to the positions of the two reference points. A space straight line equation; the absolute position of the first ranging beacon is determined according to the first space straight line equation and the first distance.
在一个实施例中,计算机程序被处理器执行时所涉及的外引法包括:获取室内布设的测距信标所连接成的第二空间直线;在室外构建与第二空间直线平行的第三空间直线;通过卫星精密定位获取室外的第三空间直线上各点的绝对位置;通过激光测距采集第二测距信标之间的距离信息;根据第二空间直线和第三空间直线的平行关系、距离信息、第三空间直线上各点的绝对位置以及第一测距信标的绝对位置计算获取室内第二测距信标的绝对位置。In one embodiment, the external method involved when the computer program is executed by the processor includes: acquiring a second space straight line connected by ranging beacons arranged indoors; constructing a third space line parallel to the second space straight line outdoors. Space straight line; obtain the absolute position of each point on the outdoor third space straight line through satellite precise positioning; collect distance information between the second ranging beacons through laser ranging; according to the parallel of the second space straight line and the third space straight line The relationship, distance information, the absolute position of each point on the third space straight line, and the absolute position of the first ranging beacon are calculated to obtain the absolute position of the indoor second ranging beacon.
本领域普通技术人员可以理解实现上述实施例方法中的全部或部分流程,是可以通过计算机程序来指令相关的硬件来完成,所述的计算机程序可存储于一非易失性计算机可读取存储介质中,该计算机程序在执行时,可包括如上述各方法的实施例的流程。其中,本申请所提供的各实施例中所使用的对存储器、存储、数据库或其它介质的任何引用,均可包括非易失性和易失性存储器中的至少一种。非易失性存储器可包括只读存储器(Read-Only Memory,ROM)、磁带、软盘、闪存或光存储器等。易失性存储器可包括随机存取存储器(Random Access Memory,RAM)或外部高速缓冲存储器。作为说明而非局限,RAM可以是多种形式,比如静态随机存取存储器(Static Random Access Memory,SRAM)或动态随机存取存储器(Dynamic Random Access Memory,DRAM)等。Those of ordinary skill in the art can understand that all or part of the processes in the methods of the above embodiments can be implemented by instructing relevant hardware through a computer program, and the computer program can be stored in a non-volatile computer-readable storage In the medium, when the computer program is executed, it may include the processes of the above-mentioned method embodiments. Wherein, any reference to memory, storage, database or other media used in the various embodiments provided in this application may include at least one of non-volatile and volatile memory. The non-volatile memory may include Read-Only Memory (ROM), magnetic tape, floppy disk, flash memory or optical memory, and the like. Volatile memory may include random access memory (RAM) or external cache memory. By way of illustration and not limitation, the RAM may be in various forms, such as static random access memory (Static Random Access Memory, SRAM) or dynamic random access memory (Dynamic Random Access Memory, DRAM).
以上实施例的各技术特征可以进行任意的组合,为使描述简洁,未对上述实施例中的各个技术特征所有可能的组合都进行描述,然而,只要这些技术特征的组合不存在矛盾,都应当认为是本说明书记载的范围。The technical features of the above embodiments can be combined arbitrarily. For the sake of brevity, all possible combinations of the technical features in the above embodiments are not described. However, as long as there is no contradiction in the combination of these technical features, all It is considered to be the range described in this specification.
以上所述实施例仅表达了本申请的几种实施方式,其描述较为具体和详细,但并不能因此而理解为对发明专利范围的限制。应当指出的是,对于本领域的普通技术人员来说,在不脱离本申请构思的前提下,还可以做出若干变形和改进,这些都属于本申请的保护范围。因此,本申请专利的保护范围应以所附权利要求为准。The above-mentioned embodiments only represent several embodiments of the present application, and the descriptions thereof are relatively specific and detailed, but should not be construed as a limitation on the scope of the invention patent. It should be noted that, for those skilled in the art, without departing from the concept of the present application, several modifications and improvements can be made, which all belong to the protection scope of the present application. Therefore, the scope of protection of the patent of the present application shall be subject to the appended claims.
| Application Number | Priority Date | Filing Date | Title |
|---|---|---|---|
| CN202010500215.5ACN111818459B (en) | 2020-06-04 | 2020-06-04 | An Indoor Absolute Position Determination Method |
| Application Number | Priority Date | Filing Date | Title |
|---|---|---|---|
| CN202010500215.5ACN111818459B (en) | 2020-06-04 | 2020-06-04 | An Indoor Absolute Position Determination Method |
| Publication Number | Publication Date |
|---|---|
| CN111818459A CN111818459A (en) | 2020-10-23 |
| CN111818459Btrue CN111818459B (en) | 2022-06-28 |
| Application Number | Title | Priority Date | Filing Date |
|---|---|---|---|
| CN202010500215.5AActiveCN111818459B (en) | 2020-06-04 | 2020-06-04 | An Indoor Absolute Position Determination Method |
| Country | Link |
|---|---|
| CN (1) | CN111818459B (en) |
| Publication number | Priority date | Publication date | Assignee | Title |
|---|---|---|---|---|
| CN113267193B (en)* | 2021-05-27 | 2024-05-14 | 苏州触达信息技术有限公司 | Indoor accurate networking determination method based on ultrasonic beacon |
| CN113419264A (en)* | 2021-06-11 | 2021-09-21 | 杭州电子科技大学 | High-precision indoor and outdoor positioning system and indoor and outdoor positioning and transition method |
| CN113784291A (en)* | 2021-07-23 | 2021-12-10 | 广东电网有限责任公司广州供电局 | Gateway-based power personnel location method, device, gateway device and medium |
| CN115130180B (en)* | 2022-06-28 | 2025-07-15 | 广州土圭垚信息科技有限公司 | A method and system for planning indoor deployment of positioning beacons |
| Publication number | Priority date | Publication date | Assignee | Title |
|---|---|---|---|---|
| CN102645666A (en)* | 2012-05-11 | 2012-08-22 | 常熟南师大发展研究院有限公司 | Indoor and outdoor positioning switching method between UWB and GPS |
| CN104849740A (en)* | 2015-05-26 | 2015-08-19 | 福州大学 | Indoor and outdoor seamless positioning system integrated with satellite navigation and bluetooth technology, and method thereof |
| CN109283565A (en)* | 2018-09-21 | 2019-01-29 | 国网江苏省电力有限公司镇江供电分公司 | Indoor and outdoor positioning system and method based on UWB fusion of GPS and inertial navigation |
| CN109282811A (en)* | 2018-09-21 | 2019-01-29 | 国网江苏省电力有限公司镇江供电分公司 | Indoor and outdoor positioning system and method for interconnecting UWB (ultra wide band) and smart phone |
| CN109429330A (en)* | 2017-07-03 | 2019-03-05 | 中国移动通信集团安徽有限公司 | Indoor orientation method, device, equipment and medium |
| CN110174640A (en)* | 2019-05-24 | 2019-08-27 | 上海物联网有限公司 | A kind of indoor and outdoor seamless positioning system intelligently switched |
| Publication number | Priority date | Publication date | Assignee | Title |
|---|---|---|---|---|
| US8174931B2 (en)* | 2010-10-08 | 2012-05-08 | HJ Laboratories, LLC | Apparatus and method for providing indoor location, position, or tracking of a mobile computer using building information |
| US9332476B2 (en)* | 2013-10-04 | 2016-05-03 | Blackberry Limited | Method and apparatus to correct indoor positioning by utilizing Wi-Fi handovers |
| Publication number | Priority date | Publication date | Assignee | Title |
|---|---|---|---|---|
| CN102645666A (en)* | 2012-05-11 | 2012-08-22 | 常熟南师大发展研究院有限公司 | Indoor and outdoor positioning switching method between UWB and GPS |
| CN104849740A (en)* | 2015-05-26 | 2015-08-19 | 福州大学 | Indoor and outdoor seamless positioning system integrated with satellite navigation and bluetooth technology, and method thereof |
| CN109429330A (en)* | 2017-07-03 | 2019-03-05 | 中国移动通信集团安徽有限公司 | Indoor orientation method, device, equipment and medium |
| CN109283565A (en)* | 2018-09-21 | 2019-01-29 | 国网江苏省电力有限公司镇江供电分公司 | Indoor and outdoor positioning system and method based on UWB fusion of GPS and inertial navigation |
| CN109282811A (en)* | 2018-09-21 | 2019-01-29 | 国网江苏省电力有限公司镇江供电分公司 | Indoor and outdoor positioning system and method for interconnecting UWB (ultra wide band) and smart phone |
| CN110174640A (en)* | 2019-05-24 | 2019-08-27 | 上海物联网有限公司 | A kind of indoor and outdoor seamless positioning system intelligently switched |
| Title |
|---|
| GNSS_地磁组合的室内外无缝定位平滑过渡方法;蔡劲等;《测绘通报》;20180225;全文* |
| HILL:A Hybrid Indoor Localization Scheme;Sahil Anang Kharidia等;《2014 10th International Conference on Mobile Ad-hoc and Sensor Networks》;20150302;全文* |
| On the Reliable Localization of WiFi Access Points;JUSHANG SHEN等;《IEEE Access》;20190710;全文* |
| 基于北斗与泛在无线网络的室内外协同定位技术研究;焦萌;《中国优秀硕士学位论文全文数据库信息科技辑》;20181210;全文* |
| 基于智能手机的室内外无缝定位智能选择算法研究;郭凯旋;《中国优秀硕士学位论文全文数据库信息科技辑》;20181210;全文* |
| 基于智能手机的行人无缝导航定位系统研究与实现;王敬贤;《中国优秀硕士学位论文全文数据库工程科技II辑》;20190210;全文* |
| 大型场馆室内外无缝定位技术研究;孙子砚;《中国优秀硕士学位论文全文数据库信息科技辑》;20180410;全文* |
| Publication number | Publication date |
|---|---|
| CN111818459A (en) | 2020-10-23 |
| Publication | Publication Date | Title |
|---|---|---|
| CN111818459B (en) | An Indoor Absolute Position Determination Method | |
| US10070259B1 (en) | Altitude map for indoor positioning services | |
| EP3418763B1 (en) | Metric for evaluating indoor positioning systems | |
| US11248908B2 (en) | Precise altitude estimation for indoor positioning | |
| CN104396322A (en) | Method and apparatus for determining the location of an access point | |
| Tsakiri et al. | The use of low-cost, single-frequency GNSS receivers in mapping surveys | |
| US12101689B2 (en) | Characterizing height above terrain confidence | |
| CN111781619A (en) | Positioning method, device, equipment and storage medium based on near field communication network | |
| CN111818637A (en) | A kind of indoor and outdoor seamless positioning and smooth transition positioning method | |
| Bakuła | Constrained and network multi-receiver single-epoch RTK positioning | |
| JP6169962B2 (en) | Positioning terminal, mobile phone search system, mobile phone search method, program, and server | |
| Yeh et al. | Performance improvement of network based RTK GPS positioning in Taiwan | |
| Elaksher et al. | Performance analysis of multi-GNSS static and RTK techniques in estimating height differences | |
| JP6440777B2 (en) | Positioning terminal, mobile phone search system, mobile phone search method, program, and server | |
| CN118604861B (en) | RTK positioning method, device, equipment and storage medium for intelligent mobile terminal | |
| CN110412633A (en) | Positioning method, device, computer equipment and storage medium | |
| EP3130161B1 (en) | Compensation of the variations of receiver sensitivity for accurate positioning | |
| Krzyżek | Determining locations of corners of building structures in real time using harmonisation of various surveying methods–case study | |
| Erenoglu | Reliability of GPS/GNSS-based positioning in a forestry environment | |
| Yang | Enhancing the precision of smartphone GNSS positioning using machine learning | |
| CN113237460B (en) | Measuring method, device, equipment and storage medium | |
| CN116679335A (en) | Bluetooth-based mobile terminal positioning method and device, electronic equipment and storage medium | |
| Borko et al. | Analyzing the impact of geometric constraints on GNSS positioning accuracy using realistic stochastic model | |
| Xie et al. | A Novel GNSS Decentralized Cooperative Positioning Algorithm for Internet of Vehicles | |
| Bekkelien et al. | Harmonization of position providers |
| Date | Code | Title | Description |
|---|---|---|---|
| PB01 | Publication | ||
| PB01 | Publication | ||
| SE01 | Entry into force of request for substantive examination | ||
| SE01 | Entry into force of request for substantive examination | ||
| GR01 | Patent grant | ||
| GR01 | Patent grant |