Double-axis capacitance displacement detection device and method based on double modulation methodTechnical Field
The invention belongs to the field of displacement measurement, and particularly relates to a double-axis capacitance displacement detection device and method based on a double modulation method.
Background
Capacitance displacement detection is a common mode of displacement measurement, and the variation of the relative position of two objects can be obtained by detecting the capacitance variation between the two objects. Since the variation of the capacitance is detected, the capacitance formula is used

It can be seen that the amount of change in capacitance C caused by the dielectric constant ε of the medium between the two measuring objects, the facing area A between the two measuring objects and the two measurementsMeasuring the spacing d between the objects. In general, the detection device is placed in a fixed environment, and therefore the dielectric constant ∈ is a certain value and is not to be measured. Therefore, the position relationship between the two objects can be reflected by detecting the capacitance change caused by the change of the relative area A and the change of the relative distance d of the two objects, namely the area-variable capacitance displacement detection and the distance-variable capacitance displacement detection.
For the area-variable capacitance displacement detection mode, displacement is mainly detected by detecting the size of differential capacitance caused by the change of the dead areas of the two capacitance plates, the capacitance plates can be made very small so as to increase the number, the more the capacitance plates are arranged, the larger the signal of the differential capacitance is, the signal detection is facilitated, and therefore, the area-variable capacitance displacement detection mode is mainly used in a micro-mechanical structure; for the variable-pitch capacitance displacement detection mode, the capacitance change caused by the change of the pitch of the capacitance plates is mainly detected, the pitch cannot be overlarge, otherwise, the nonlinear influence is introduced, the measurement error is caused, and therefore high-precision assembly is needed.
The area-variable capacitance displacement detection mainly detects the capacitance variation caused by the change of the opposite area between the movable and fixed polar plates. As shown in fig. 1, when the displacement or acceleration in the detection direction causes a relative displacement Δ x between the movable plate and the fixed plate, the area of the capacitor opposite to the movable plate and the fixed plate is changed. The expression of the two capacitances generated by the area change in this process can be expressed as
And
the magnitude of the differential capacitance at this time can be expressed as:
wherein epsilon is the dielectric constant of the medium between the polar plates, a is the width of the movable polar plate and the fixed polar plate, and b is the distance between the two fixed polar plates. The voltage output expression after passing through the charge amplifier is as follows:
and a reference signal VP1sin(ω1t) the voltage signal obtained after synchronous demodulation is:
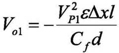
the variable-pitch capacitance displacement detection mainly detects capacitance variation caused by the change of the pitch of the movable and fixed polar plates. As shown in fig. 2, when the distance between the movable plate and the fixed plate changes by Δ d, the capacitance between the fixed plate and the fixed plate is changed, and the capacitance change expression at this time is:
wherein epsilon is the dielectric constant of the medium between the polar plates, l is the length of the part of the positive area of the movable and fixed polar plates, w is the width of the part of the positive area of the movable and fixed polar plates, and d is the distance between the movable and fixed polar plates. The voltage after conversion by the charge amplifier is expressed as:
and a reference signal VP2 sin(ω2t) the voltage signal obtained after synchronous demodulation is:
from the voltage output formula Vo1And Vo2It can be seen that both the displacement variation Δ x in the horizontal direction and the pitch variation Δ d in the vertical direction are converted into voltage variations, but both detection methods can only detect one of the variables, i.e., a single-direction variable.
Disclosure of Invention
The invention aims to provide a double-axis capacitance displacement detection device and method based on a double modulation method, aiming at solving the problem that the existing capacitance displacement detection device can only obtain single direction variable information.
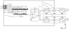
In order to achieve the above object, an aspect of the present invention provides a dual-axis capacitance displacement detection apparatus based on a dual modulation method, including: the device comprises a fixed polar plate, a movable polar plate, a first driving voltage module, a second driving voltage module, a charge amplifier, a first synchronous demodulation module and a second synchronous demodulation module;
the first driving voltage module generates positive and negative driving carriers for modulating displacement change in the horizontal direction and loads the positive and negative driving carriers on the fixed polar plate;
the second driving voltage module generates a single-path driving carrier wave for modulating the change direction of the spacing, is also loaded on the fixed polar plate and works together with the first driving voltage module in a frequency division multiplexing mode;
the charge amplifier is connected with the movable polar plate and used for converting differential capacitance signals caused by horizontal displacement and distance change into voltage signals;
the first synchronous demodulation module and the second synchronous demodulation module are used for synchronously demodulating the voltage signals obtained by conversion to respectively obtain direct current signals containing horizontal direction displacement variation and space variation.
Furthermore, the movable polar plate and the fixed polar plate are arranged in a facing manner to form a differential capacitor.
Further, the fixed polar plate comprises a positive fixed polar plate and a negative fixed polar plate; the positive fixed polar plates and the negative fixed polar plates are arranged in a parallel and staggered equal-interval array form.
Further, the positive and negative driving carrier generated by the first driving voltage module is ± Vp1sin(ω1t) in the normal phase + Vp1sin(ω1t) negative carrier-V loaded on the positive fixed platep1sin(ω1t) is loaded on the negative stator plate, wherein Vp1Is the amplitude, omega, of the positive and negative drive carriers1The frequencies of the positive and negative drive carriers.
Further, the first synchronous demodulation module is represented by Vp1sin(ω1And t) synchronously demodulating the obtained voltage signal by using the reference signal to obtain a direct current signal containing the displacement variation in the horizontal direction.
Further, the second synchronous demodulation module synchronously demodulates the obtained voltage signal by using the single-path driving carrier as a reference signal, so as to obtain a direct current signal containing a distance variation.
Further, the first synchronous demodulation module and the second synchronous demodulation module respectively comprise a band-pass filter, a multiplier and a low-pass filter which are connected in sequence.
Further, the charge amplifier comprises an operational amplifier, a feedback capacitor and a feedback resistor.
The invention also provides a double-axis capacitance displacement detection method based on a double modulation method, which comprises the following steps:
loading positive and negative driving carriers for modulating displacement change in the horizontal direction on a fixed polar plate of the capacitor;
loading a single-path driving carrier wave for modulating the direction of the change of the spacing on the fixed polar plate, and working together with the positive and negative driving carrier waves in a frequency division multiplexing mode;
converting differential capacitance signals caused by horizontal displacement and interval change into voltage signals;
and synchronously demodulating the voltage signals obtained by conversion to respectively obtain direct current signals containing displacement variation and space variation in the horizontal direction.
Go toStep, the form of the positive and negative driving carrier waves is +/-Vp1sin(ω1t) in which Vp1Is the amplitude, omega, of the positive and negative drive carriers1The frequency of the positive and negative drive carriers;
while performing said synchronous demodulation, with Vp1sin(ω1t) synchronously demodulating the obtained voltage signal by using a reference signal to obtain a direct current signal containing displacement variation in the horizontal direction; and synchronously demodulating the obtained voltage signal by taking the single-path driving carrier as a reference signal to obtain a direct current signal containing the distance variation.
Through the technical scheme, compared with the prior art, the area-variable capacitance displacement detection and the distance-variable capacitance displacement detection are combined, and positive and negative driving carriers +/-V are added on the original positive and negative fixed polar platesp1sin(ω1t) and a carrier Vp2sin(ω2t), two kinds of modulation exist in the structure, wherein the positive and negative driving carriers are used for adjusting the capacitance variation of the displacement of the brake polar plate relative to the horizontal direction of the fixed polar plate, and the added single-path carrier adjusts the capacitance variation of the distance between the brake polar plate and the vertical direction of the fixed polar plate in a frequency division multiplexing mode, so that the purpose of capacitance displacement detection in the horizontal direction and the vertical direction is achieved simultaneously in the mode. Compared with a single-axis capacitance displacement detection mode, the capacitance displacement detection method can detect the capacitance variation caused by the non-sensitive axis direction, and therefore the capacitance displacement detection precision is improved.
Drawings
FIG. 1 is a schematic diagram of a variable area capacitance displacement sensor;
FIG. 2 is a schematic diagram of a variable pitch capacitive displacement sensor;
FIG. 3 is a schematic diagram of the dual-axis capacitance displacement detection based on the dual modulation method according to the present invention;
reference numerals: 101 is a positive fixed plate, 102 is a negative fixed plate, 1 is a fixed plate, 2 is a movable plate, 3 is a first driving voltage module, 4 is a charge amplifier, 5 is a second driving voltage module, 6 is a first synchronous demodulation module, 601 is a first band-pass filter, 602 is a first multiplier, 603 is a first low-pass filter, 7 is a second synchronous demodulation module, 701 is a second band-pass filter, 702 is a second multiplier, and 703 is a second low-pass filter.
Detailed Description
In order to make the objects, technical solutions and advantages of the present invention more apparent, the present invention is described in further detail below with reference to the accompanying drawings and embodiments. It should be understood that the specific embodiments described herein are merely illustrative of the invention and are not intended to limit the invention. In addition, the technical features involved in the embodiments of the present invention described below may be combined with each other as long as they do not conflict with each other.
In the present invention, the term "horizontal direction" and "vertical direction" refer to the direction parallel to the movable and fixed plates of the capacitor, and the term "vertical direction" refers to the direction perpendicular to the plane of the movable and fixed plates.
Aiming at the defects of the prior art, the invention combines two modes, and the change of the distance is detected by adding one more modulation mode on the fixed polar plate, so that two kinds of change information of the movable polar plate relative to the fixed polar plate in the horizontal direction and the vertical direction can be obtained, and the purpose of double-axis capacitance displacement detection is achieved.
The embodiment of the invention discloses a double-axis capacitance displacement detection device based on a double modulation method, which comprises a fixedpolar plate 1, a positive fixedpolar plate 101, a negative fixedpolar plate 102, a movablepolar plate 2, a first driving voltage module 3, a seconddriving voltage module 5, a charge amplifier 4, a first synchronous demodulation module 6 and a second synchronous demodulation module 7, as shown in fig. 3. In the figure, the x axis is the horizontal detection direction, the y axis represents the horizontal swing axis direction, and the Z axis represents the vertical horizontal plane direction.
The positive fixedpole plate 101 and the negative fixedpole plate 102 are fixed on the outer frame in a parallel and staggered manner and are fixedly connected with the outer frame.
The movablepolar plate 2 can move in the horizontal and vertical directions, is arranged in a positive way with the fixedpolar plate 1, and forms a differential capacitor with the positive fixedpolar plate 101 and the negative fixedpolar plate 102; when the fixed polar plate and the movable polar plate are subjected to relative displacement in the horizontal direction or change of the distance in the vertical direction, a differential capacitance signal is generated. Thedynamic plate 2 connects the modulated capacitance signal to the charge amplifier 4.
The first driving voltage module 3 generates positive and negative driving carrier waves + V for adjusting the displacement variation of the brake polar plate relative to the fixed polar plate in the horizontal directionp1sin(ω1t) respectively loaded on the positive and negativefixed plates 101 and 102, wherein Vp1Is the amplitude, omega, of the positive and negative drive carriers1The frequencies of the positive and negative drive carriers.
The seconddriving voltage module 5 generates a single-path driving carrier V for adjusting the distance variation of the brake polar plate relative to the vertical direction of the fixed polar platep2sin(ω2t) is also loaded on said positive andnegative stator plates 101, 102, wherein Vp2Is the amplitude, ω, of the single drive carrier2The frequency of the single drive carrier.
The charge amplifier 4 is connected with themovable electrode plate 2, and converts the modulated capacitance change signal into a voltage signal, so that subsequent demodulation and processing are facilitated.
The first synchronous demodulation module 6 is connected with VP1sin(ω1And t) is a reference signal, and the voltage signal after passing through the charge amplifier is demodulated to obtain a Direct Current (DC) quantity containing the displacement variation of the movable polar plate relative to the fixed polar plate in the horizontal direction.
Second synchronous demodulation module 7 with VP2sin(ω2And t) is a reference signal, and the voltage signal after passing through the charge amplifier is demodulated to obtain Direct Current (DC) containing the variable quantity of the vertical distance between the movable polar plate and the fixed polar plate.
Preferably, the first synchronous demodulation module 6 includes a first band-pass filter 601, afirst multiplier 602 and a first low-pass filter 603 which are connected in sequence, and the second synchronous demodulation module 7 includes a second band-pass filter 701, asecond multiplier 702 and a second low-pass filter 703 which are connected in sequence.
Preferably, the charge amplifier 4 comprises an operational amplifier, a feedback capacitor CfAnd a feedback resistor Rf。
Preferably, the fixedpolar plate 1 and the movablepolar plate 2 are formed by sputtering deposition or machining; the differential capacitance signal can be amplified by a single or a plurality of arrayed arrangements.
Furthermore, themovable pole plate 2 can be connected with the outer frame through a spring, a sliding rod and the like, when the movable pole plate is displaced in the horizontal direction and the distance between the movable pole plate and the positive and negative fixed pole plates is changed in the vertical direction, the change of capacitance between the fixed pole plates is started, and the capacitance change is detected respectively, so that the change of displacement in the horizontal direction and the change of distance between the movable pole plate and the positive and negative fixed pole plates in the vertical direction can be obtained.
In the embodiment of the invention, two types of carrier waves +/-V are loaded on the positive fixedpolar plate 101 and the negative fixedpolar plate 102p1sin(ω1t) and Vp2sin(ω2t) for modulating capacitance variation caused by displacement variation in the horizontal direction and capacitance variation caused by distance variation in the vertical direction between the movable and fixed plates, respectively, converting the differential capacitance signal into a voltage signal by the charge amplifier, and applying V to the voltage signalp1sin(ω1t) and Vp2sin(ω2t) demodulating the reference signal and carrying out correlation processing to obtain the horizontal displacement variation and the vertical distance variation between the movable and fixed polar plates, thereby achieving the purpose of double-shaft capacitance displacement detection.
On the basis of the detection device, the embodiment of the invention also provides a double-axis capacitance displacement detection method based on a double modulation method, which comprises the following steps:
loading positive and negative driving carriers for modulating displacement change in the horizontal direction on a fixed polar plate of the capacitor;
loading a single-path driving carrier wave for modulating the direction of the change of the spacing on the fixed polar plate, and working together with the positive and negative driving carrier waves in a frequency division multiplexing mode;
converting differential capacitance signals caused by horizontal displacement and interval change into voltage signals;
and synchronously demodulating the voltage signals obtained by conversion to respectively obtain direct current signals containing displacement variation and space variation in the horizontal direction.
Further, the form of the positive and negative driving carriersIs +/-Vp1sin(ω1t) in which Vp1Is the amplitude, omega, of the positive and negative drive carriers1The frequency of the positive and negative drive carriers;
while performing said synchronous demodulation, with Vp1sin(ω1t) synchronously demodulating the obtained voltage signal by using a reference signal to obtain a direct current signal containing displacement variation in the horizontal direction; and synchronously demodulating the obtained voltage signal by taking the single-path driving carrier as a reference signal to obtain a direct current signal containing the distance variation.
The basic principle of the present invention is briefly described below. The invention combines two detection modes, adds one path of single carrier modulation on positive and negative fixed polar plates, detects the change information of vertical spacing by frequency division multiplexing mode, and then changes the voltage output expression after passing through a charge amplifier into one
The voltage output expression obtained after the voltage signal converted by the charge amplifier passes through the first synchronous demodulation module is
The voltage output expression obtained after the voltage signal converted by the charge amplifier passes through the second synchronous demodulation module is
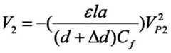
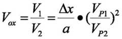
Through V2The distance variation delta d of the movable polar plate relative to the vertical direction of the fixed polar plate can be directly obtained. At a voltage V1And V2The displacement change of the movable polar plate relative to the fixed polar plate in the horizontal direction can be obtained after the divisionMeasurement of
Generally speaking, the technical scheme of the invention combines two displacement detection modes, one modulation is added on the fixed polar plate loaded with positive and negative carriers, and the displacement variation of the movable polar plate relative to the fixed polar plate in the horizontal direction and the distance variation in the vertical direction can be obtained after subsequent demodulation and data processing are carried out on two signals. Compared with two original displacement detection modes, the method achieves the purpose of double-shaft capacitance displacement detection, and for single-shaft capacitance displacement detection, the method can obtain the influence brought by the direction of a non-sensitive shaft, so that the detection precision is improved.
It will be understood by those skilled in the art that the foregoing is only a preferred embodiment of the present invention, and is not intended to limit the invention, and that any modification, equivalent replacement, or improvement made within the spirit and principle of the present invention should be included in the scope of the present invention.