Movatterモバイル変換


[0]ホーム

URL:


CN111806444A - Vehicle transverse control method and device, medium, equipment and vehicle - Google Patents

Vehicle transverse control method and device, medium, equipment and vehicle
Download PDF

Info

Publication number
CN111806444A
CN111806444ACN202010476495.0ACN202010476495ACN111806444ACN 111806444 ACN111806444 ACN 111806444ACN 202010476495 ACN202010476495 ACN 202010476495ACN 111806444 ACN111806444 ACN 111806444A
Authority
CN
China
Prior art keywords
vehicle
pid controller
angle
front wheel
control
Prior art date
Legal status (The legal status is an assumption and is not a legal conclusion. Google has not performed a legal analysis and makes no representation as to the accuracy of the status listed.)
Pending
Application number
CN202010476495.0A
Other languages
Chinese (zh)
Inventor
曹玮麟
金大鹏
刘庆龙
Current Assignee (The listed assignees may be inaccurate. Google has not performed a legal analysis and makes no representation or warranty as to the accuracy of the list.)
Beiqi Foton Motor Co Ltd
Original Assignee
Beiqi Foton Motor Co Ltd
Priority date (The priority date is an assumption and is not a legal conclusion. Google has not performed a legal analysis and makes no representation as to the accuracy of the date listed.)
Filing date
Publication date
Application filed by Beiqi Foton Motor Co LtdfiledCriticalBeiqi Foton Motor Co Ltd
Priority to CN202010476495.0ApriorityCriticalpatent/CN111806444A/en
Publication of CN111806444ApublicationCriticalpatent/CN111806444A/en
Pendinglegal-statusCriticalCurrent

Links

Images

Classifications

Landscapes

Abstract

The disclosure relates to a vehicle lateral control method and device, a medium, equipment and a vehicle. The method comprises the following steps: acquiring a target course angle and a current course angle of the vehicle; controlling a PID controller to output a front wheel corner of the vehicle according to the target course angle and the current course angle, wherein control parameters in the PID controller are determined according to a conjugate gradient algorithm; and controlling the front wheel rotation angle of the vehicle to be the front wheel rotation angle output by the PID controller. Through the technical scheme, the conjugate gradient algorithm is utilized, so that the PID controller for the transverse control of the vehicle has a self-optimization function, the workload of the PID controller for controlling parameter setting is reduced, compared with a self-optimization controller based on rules, such as fuzzy PID, the logic complexity in design is reduced, the searching speed is high, and the transverse control of the vehicle is more efficient.

Description

Vehicle transverse control method and device, medium, equipment and vehicle
Technical Field
The present disclosure relates to the field of vehicle automatic control, and in particular, to a vehicle lateral control method and apparatus, a medium, a device, and a vehicle.
Background
Lateral vehicle control refers to steering control of an autonomous vehicle, the purpose of which is to cause the vehicle to follow a planned heading, based on current road conditions and a planned trajectory. In order to ensure safety during steering of the vehicle and comfort of passengers, a proportional-Integral-derivative (PID) controller is commonly used in conventional vehicle lateral control. The PID controller is a typical linear controller, which has the advantages of simple design and high robustness.
The design of the PID controller involves a large amount of control parameter tuning work. In order to reduce the amount of parameter tuning work in the design process of PID controllers, some adaptive (self-tuning) controllers are increasingly being used. For example, fuzzy PID control, Linear Quadratic Regulator (LQR), Model Predictive Control (MPC), and the like.
Disclosure of Invention
The invention aims to provide a vehicle transverse control method and device, a medium, equipment and a vehicle, which are efficient, accurate and reliable.
In order to achieve the above object, the present disclosure provides a vehicle lateral control method, the method including:
acquiring a target course angle and a current course angle of the vehicle;
controlling a PID controller to output a front wheel corner of the vehicle according to the target course angle and the current course angle, wherein control parameters in the PID controller are determined according to a conjugate gradient algorithm;
and controlling the front wheel rotation angle of the vehicle to be the front wheel rotation angle output by the PID controller.
Optionally, the control parameters in the PID controller are determined by:
determining an initial solution;
determining a search direction for searching from the initial solution;
performing linear search according to the determined search direction until the searched solution meets the termination condition;
determining a solution satisfying the termination condition as a control parameter in the PID controller.
Optionally, the search direction satisfies the following formula:
Figure BDA0002516000380000021
the termination conditions are as follows:
Figure BDA0002516000380000022
the linear search satisfies the following formula:
Figure BDA0002516000380000023
wherein, tk≥0,x(k+1)=x(k)+tkp(k)
Figure BDA0002516000380000024
Figure BDA0002516000380000025
Wherein x is(k)Is the kth solution, k is 0,1,2 …, x(0)For the initial solution, | | · | | is a norm,
Figure BDA0002516000380000026
for the gradient, for the error tolerance,
Figure BDA0002516000380000027
is the search direction of the kth solution,
Figure BDA0002516000380000028
is twice homogeneousFunction, tkAnd p(k)Is an intermediate variable.
Optionally, controlling a PID controller to output a front wheel rotation angle of the vehicle according to the target heading angle and the current heading angle, wherein a control parameter in the PID controller is determined according to a conjugate gradient algorithm, and the method includes:
determining status information of the vehicle;
searching a control parameter corresponding to the determined state information from a corresponding relation between predetermined state information of the vehicle and a control parameter in the PID controller, wherein the control parameter in the PID controller is calculated according to the determined state information and a conjugate gradient algorithm;
and controlling a PID controller to output the front wheel rotation angle of the vehicle according to the target course angle, the current course angle and the searched control parameter.
Optionally, the state information of the vehicle is an interval to which a target heading angle of the vehicle belongs.
Optionally, controlling a PID controller to output a front wheel rotation angle of the vehicle according to the target heading angle and the current heading angle, wherein a control parameter in the PID controller is determined according to a conjugate gradient algorithm, and the method includes:
and when the PID controller is controlled to output the front wheel rotation angle of the vehicle according to the target course angle and the current course angle, if a trigger condition is met, updating the control parameters in the PID controller according to a conjugate gradient algorithm.
The present disclosure also provides a vehicle lateral control apparatus, the apparatus comprising:
the acquisition module is used for acquiring a target course angle and a current course angle of the vehicle;
the first control module is used for controlling the PID controller to output the front wheel rotating angle of the vehicle according to the target course angle and the current course angle, wherein control parameters in the PID controller are determined according to a conjugate gradient algorithm;
and the second control module is used for controlling the front wheel rotation angle of the vehicle to be the front wheel rotation angle output by the PID controller.
The present disclosure also provides a computer readable storage medium having stored thereon a computer program which, when executed by a processor, performs the steps of the above-described method provided by the present disclosure.
The present disclosure also provides an electronic device, comprising:
a memory having a computer program stored thereon;
a processor for executing the computer program in the memory to implement the steps of the above-described method provided by the present disclosure.
The present disclosure also provides a vehicle comprising a controller for performing the steps of the above method provided by the present disclosure.
Through the technical scheme, the conjugate gradient algorithm is utilized, so that the PID controller for the transverse control of the vehicle has a self-optimization function, the workload of the PID controller for controlling parameter setting is reduced, compared with a self-optimization controller based on rules, such as fuzzy PID, the logic complexity in design is reduced, the searching speed is high, and the transverse control of the vehicle is more efficient.
Additional features and advantages of the disclosure will be set forth in the detailed description which follows.
Drawings
The accompanying drawings, which are included to provide a further understanding of the disclosure and are incorporated in and constitute a part of this specification, illustrate embodiments of the disclosure and together with the description serve to explain the disclosure without limiting the disclosure. In the drawings:
FIG. 1 is a flow chart of a method for lateral vehicle control provided by an exemplary embodiment;
FIG. 2 is a flow chart of a method for lateral vehicle control provided by another exemplary embodiment;
FIG. 3 is a schematic diagram of a vehicle lateral control method provided in an exemplary embodiment;
FIG. 4 is a block diagram of a vehicle lateral control apparatus provided in an exemplary embodiment;
FIG. 5 is a block diagram of an electronic device, shown in an exemplary embodiment.
Detailed Description
The following detailed description of specific embodiments of the present disclosure is provided in connection with the accompanying drawings. It should be understood that the detailed description and specific examples, while indicating the present disclosure, are given by way of illustration and explanation only, not limitation.
FIG. 1 is a flow chart of a method for lateral vehicle control provided by an exemplary embodiment. As shown in fig. 1, the vehicle lateral control method may include the steps of:
step S11, a target heading angle and a current heading angle of the vehicle are obtained.
And step S12, controlling the PID controller to output the front wheel rotation angle of the vehicle according to the target course angle and the current course angle, wherein the control parameter in the PID controller is determined according to a conjugate gradient algorithm.
In step S13, the front wheel steering angle of the vehicle is controlled to the front wheel steering angle output by the PID controller.
The disclosure applies to lateral control in vehicle autopilot, in which a PID controller is applied to determine the front wheel turning angle of the vehicle in real time according to a target course angle determined in path planning. The control parameters in the PID controller are determined by a conjugate gradient algorithm. That is, the control parameter is optimized by using the conjugate gradient algorithm, i.e. the self-adaptation or self-tuning of the PID controller is performed, and finally the control parameter in the PID controller is determined to be a better value.
Wherein the control parameters in the PID controller can be determined by:
1. determining an initial solution x(0)
2. A search direction is determined from which to search starting from the initial solution. Wherein the search direction may satisfy the following formula:
Figure BDA0002516000380000051
wherein x is(k)For the kth solution, k is 0,1,2 …,
Figure BDA0002516000380000052
is the search direction of the kth solution,
Figure BDA0002516000380000053
in order to be a gradient of the magnetic field,
Figure BDA0002516000380000054
the average of the two homogeneous functions, for example,
Figure BDA0002516000380000055
wherein x is a function
Figure BDA0002516000380000056
A is a semi-positive definite matrix, and A belongs to Rn×nI.e. A is a matrix of n rows and n columns, R is a real number, xTIs the transpose of x, b, x ∈ Rn×1I.e. both b and x are n rows and 1 columns matrices.
Let x be*Is a function of
Figure BDA0002516000380000057
Is the optimal variable, the direction of function solution is x*The direction in which the gradient of the function is 0, that is,
Figure BDA0002516000380000058
thus, the optimization problem of the function can be translated into the Ax solution*The solution of b.
3. And performing linear search according to the determined search direction until the searched solution meets the termination condition. The linear search may satisfy the following formula:
Figure BDA0002516000380000059
wherein, tk≥0,x(k+1)=x(k)+tkp(k)
Figure BDA00025160003800000510
Figure BDA00025160003800000511
Wherein, tkAnd p(k)Min is the minimum value for the intermediate variable.
The termination conditions may be:
Figure BDA0002516000380000061
wherein, | | · | | is a norm, for error tolerance.
4. Determining a solution satisfying the termination condition as a control parameter in the PID controller, i.e., KP、KIAnd KD
The conjugate gradient algorithm will work out the optimal solution within a given search interval through a series of arithmetic steps.
In addition, in the PID controller, the system response can be better adjusted by removing the leading excitation of the D controller, so that the P control term and the I control term in the PID controller, namely the PI controller can also be used.
Through the technical scheme, the conjugate gradient algorithm is utilized, so that the PID controller for the transverse control of the vehicle has a self-optimization function, the workload of the PID controller for controlling parameter setting is reduced, compared with a self-optimization controller based on rules, such as fuzzy PID, the logic complexity in design is reduced, the searching speed is high, and the transverse control of the vehicle is more efficient.
In one embodiment, the control parameters in the PID controller can be calibrated in advance according to a conjugate gradient algorithm. FIG. 2 is a flow chart of a method for lateral vehicle control provided by another exemplary embodiment. As shown in fig. 2, on the basis of fig. 1, the step of controlling the PID controller to output the front wheel rotation angle of the vehicle according to the target heading angle and the current heading angle, wherein the step of determining the control parameters in the PID controller according to the conjugate gradient algorithm (step S12) may include the steps of:
in step S121, the state information of the vehicle is determined.
And step S122, searching a control parameter corresponding to the determined state information from the corresponding relation between the preset state information of the vehicle and the control parameter in the PID controller, wherein the control parameter in the PID controller is calculated according to the determined state information and the conjugate gradient algorithm.
And S123, controlling the PID controller to output the front wheel rotation angle of the vehicle according to the target course angle, the current course angle and the searched control parameter.
The state information of the vehicle may include a vehicle speed, a front wheel angle, a road curvature, a road surface friction coefficient, and the like. The control parameters in the PID controller may be calibrated in advance before the vehicle is running. Specifically, one (set of) state information of the vehicle corresponds to a set of control parameters. I.e. a set of control parameters is determined according to the conjugate gradient algorithm under a corresponding one (set of) state information. The calibrated control parameters can be stored in association with the corresponding state information of the vehicle, and a corresponding relation between the state information of the vehicle and the control parameters in the PID controller is generated. In the actual running process of the vehicle, the control parameters are determined without real-time application of genetic calculation, and only the control parameters corresponding to the current state information of the vehicle need to be found, so that the real-time calculation amount is reduced, the data processing speed is accelerated, and the response time is shortened.
For example, the state information of the vehicle may be a section to which a target heading angle of the vehicle belongs. Dividing the course angle of the vehicle into a plurality of intervals in advance, calibrating the control parameters of the PID controller when the control parameters are in each interval, and storing each interval and the control parameters determined according to the conjugate gradient algorithm in a correlation mode. When the vehicle actually runs, the corresponding control parameters are directly searched according to the section to which the target course angle belongs, the PID controller is given, and the feedback control is carried out on the transverse control of the vehicle by the PID controller.
Because the target course angle of the vehicle has a large influence on the lateral control of the vehicle, the section to which the target course angle of the vehicle belongs is used as a factor for determining the control parameter of the PID controller, so that the change of the control parameter of the PID controller can be reflected more accurately, the vehicle which can be controlled more accurately by the PID controller can run according to a preset path, and the automatic driving function of the vehicle is improved.
When the control parameters are calibrated, a real vehicle test method can be adopted, and a vehicle model can also be adopted for simulation. FIG. 3 is a schematic diagram of a vehicle lateral control method provided by an exemplary embodiment. As shown in FIG. 3, the system eliminates the deviation e (t) between the target heading angle R (t) and the current heading angle y (t) output by the system through a PID controller, wherein u (t) is the input of the PID controller to the vehicle model, namely the front wheel turning angle. During operation of the PID controller, a conjugate gradient algorithm may be employed simultaneously to update the control parameters of the PID controller.
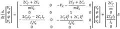
The vehicle model can use a dynamic model with two degrees of freedom, wherein the two degrees of freedom refer to that the vehicle has longitudinal, transverse and vertical translation and rotation in three directions of rolling, pitching and yawing. The two degree of freedom model may be represented as follows:
Figure BDA0002516000380000081
wherein, VxIs the longitudinal speed, V, of the vehicleyIs the lateral speed of the vehicle, is the front wheel angle, m is the total mass of the vehicle, IzMoment of inertia at course angle, CfFor front wheel cornering stiffness, CrFor rear wheel cornering stiffness, /)fAnd lrRespectively the distance between the front wheel and the rear wheel and the mass center of the vehicle,
Figure BDA0002516000380000082
is the angle of the course direction and is,
Figure BDA0002516000380000083
is composed of
Figure BDA0002516000380000084
T is time. The two-degree-of-freedom model is used as a vehicle model, and the model is simple and has small calculation amount, so that the processing speed is high.
Further, the vehicle model may be linearized and discretized to generate a linearly discretized vehicle model. For example, it can be solved via a fourth order Runge Kutta algorithm. Both the PID controller and the conjugate gradient algorithm may be calculated based on this discrete vehicle model.
In the embodiment, the real-time calculation amount of the vehicle in operation is reduced, the data processing speed is increased, and the response time is shortened.
In yet another embodiment, the control parameters in the PID controller may also be updated in real time during vehicle operation according to a conjugate gradient algorithm. In this embodiment, on the basis of fig. 1, the step of controlling the PID controller to output the front wheel rotation angle of the vehicle according to the target heading angle and the current heading angle (step S12), wherein the step of determining the control parameters in the PID controller according to the conjugate gradient algorithm (step S12) may include the following steps:
and when the PID controller is controlled to output the front wheel rotation angle of the vehicle according to the target course angle and the current course angle, if the triggering condition is met, updating the control parameters in the PID controller according to a conjugate gradient algorithm.
In this embodiment, the principle of the vehicle lateral control method is similar to that in fig. 3. Unlike fig. 3, the vehicle model in fig. 3 is replaced with a real vehicle.
Specifically, during vehicle operation, a trigger condition may be set, and if the trigger condition is reached, the control parameters of the primary PID controller are updated using a conjugate gradient algorithm. The trigger condition may be, for example, a time period, a target heading angle interval, a vehicle speed interval, a front wheel turning angle interval, or the like. For example, the conjugate gradient algorithm is used to update every hour, or the target course angle is updated every time a new course angle interval is reached, or the vehicle speed is updated every time a new vehicle speed interval is reached, or the front wheel steering angle is updated every time a new steering angle interval is reached. The trigger condition may also be generated by combining the above factors. For example, every hour and the vehicle speed reaches a new vehicle speed interval, etc.
In this embodiment, since the conjugate gradient algorithm is executed during the actual running of the vehicle, the result of the update of the PID parameters more conforms to the actual vehicle conditions, thereby making the lateral control of the vehicle more accurate.
The present disclosure also provides a vehicle lateral control device. FIG. 4 is a block diagram of a vehicle lateral control apparatus provided in an exemplary embodiment. As shown in fig. 4, the vehiclelateral control apparatus 10 may include anacquisition module 11, afirst control module 12, and asecond control module 13.
The obtainingmodule 11 is used for obtaining a target heading angle and a current heading angle of the vehicle.
Thefirst control module 12 is used for controlling the PID controller to output the front wheel rotation angle of the vehicle according to the target course angle and the current course angle, wherein the control parameter in the PID controller is determined according to a conjugate gradient algorithm.
Thesecond control module 13 is used for controlling the front wheel rotation angle of the vehicle to be the front wheel rotation angle output by the PID controller.
Optionally, thefirst control module 12 may include a determination sub-module, a lookup sub-module, and a first control sub-module.
The determination submodule is used for determining state information of the vehicle.
The searching submodule is used for searching the control parameter corresponding to the determined state information from the corresponding relation between the preset state information of the vehicle and the control parameter in the PID controller, wherein the control parameter in the PID controller is obtained by calculation according to the determined state information and a conjugate gradient algorithm.
The first control submodule is used for controlling the PID controller to output the front wheel rotation angle of the vehicle according to the target course angle, the current course angle and the searched control parameter.
Optionally, the state information of the vehicle is a section to which a target heading angle of the vehicle belongs.
Optionally, thefirst control module 12 may include a second control sub-module.
And the second control submodule is used for updating the control parameters in the PID controller according to a conjugate gradient algorithm if the triggering condition is met while controlling the PID controller to output the front wheel rotation angle of the vehicle according to the target course angle and the current course angle.
Optionally, in thefirst control module 12, the control parameters in the PID controller are determined by:
determining an initial solution;
determining a search direction for searching from the initial solution;
performing linear search according to the determined search direction until the searched solution meets the termination condition;
determining a solution satisfying the termination condition as a control parameter in the PID controller.
Optionally, the search direction satisfies the following formula:
Figure BDA0002516000380000101
the termination conditions were:
Figure BDA0002516000380000102
the linear search satisfies the following formula:
Figure BDA0002516000380000103
wherein, tk≥0,x(k+1)=x(k)+tkp(k)
Figure BDA0002516000380000104
Figure BDA0002516000380000105
Wherein x is(k)Is the kth solution, k is 0,1,2 …, x(0)For the initial solution, | | · | | is a norm,
Figure BDA0002516000380000106
for the gradient, for the error tolerance,
Figure BDA0002516000380000107
is the search direction of the kth solution,
Figure BDA0002516000380000108
is a quadratic homogeneous function, tkAnd p(k)Is an intermediate variable.
With regard to the apparatus in the above-described embodiment, the specific manner in which each module performs the operation has been described in detail in the embodiment related to the method, and will not be elaborated here.
Through the technical scheme, the conjugate gradient algorithm is utilized, so that the PID controller for the transverse control of the vehicle has a self-optimization function, the workload of the PID controller for controlling parameter setting is reduced, compared with a self-optimization controller based on rules, such as fuzzy PID, the logic complexity in design is reduced, the searching speed is high, and the transverse control of the vehicle is more efficient.
The present disclosure also provides an electronic device comprising a memory and a processor.
The memory has a computer program stored thereon; the processor is used for executing the computer program in the memory to realize the steps of the above method provided by the present disclosure.
Fig. 5 is a block diagram of anelectronic device 500 shown in an exemplary embodiment. As shown in fig. 5, theelectronic device 500 may include: aprocessor 501 and amemory 502. Theelectronic device 500 may also include one or more of amultimedia component 503, an input/output (I/O)interface 504, and acommunication component 505.
Theprocessor 501 is configured to control the overall operation of theelectronic device 500, so as to complete all or part of the steps in the vehicle lateral control method. Thememory 502 is used to store various types of data to support operation at theelectronic device 500, such as instructions for any application or method operating on theelectronic device 500 and application-related data, such as contact data, messaging, pictures, audio, video, and so forth. TheMemory 502 may be implemented by any type of volatile or non-volatile Memory device or combination thereof, such as Static Random Access Memory (SRAM), Electrically Erasable Programmable Read-Only Memory (EEPROM), Erasable Programmable Read-Only Memory (EPROM), Programmable Read-Only Memory (PROM), Read-Only Memory (ROM), magnetic Memory, flash Memory, magnetic disk or optical disk. Themultimedia component 503 may include a screen and an audio component. Wherein the screen may be, for example, a touch screen and the audio component is used for outputting and/or inputting audio signals. For example, the audio component may include a microphone for receiving external audio signals. The received audio signal may further be stored in thememory 502 or transmitted through thecommunication component 505. The audio assembly also includes at least one speaker for outputting audio signals. The I/O interface 504 provides an interface between theprocessor 501 and other interface modules, such as a keyboard, mouse, buttons, etc. These buttons may be virtual buttons or physical buttons. Thecommunication component 505 is used for wired or wireless communication between theelectronic device 500 and other devices. Wireless communication, such as Wi-Fi, bluetooth, Near Field Communication (NFC), 2G, 3G, 4G, NB-IOT, eMTC, or other 5G, etc., or a combination of one or more of them, which is not limited herein. Thecorresponding communication component 505 may thus comprise: Wi-Fi module, Bluetooth module, NFC module, etc.
In an exemplary embodiment, theelectronic Device 500 may be implemented by one or more Application Specific Integrated Circuits (ASICs), Digital Signal Processors (DSPs), Digital Signal Processing Devices (DSPDs), Programmable Logic Devices (PLDs), Field Programmable Gate Arrays (FPGAs), controllers, microcontrollers, microprocessors, or other electronic components for performing the above-described vehicle lateral control method.
In another exemplary embodiment, a computer readable storage medium comprising program instructions which, when executed by a processor, implement the steps of the vehicle lateral control method described above is also provided. For example, the computer readable storage medium may be thememory 502 described above including program instructions executable by theprocessor 501 of theelectronic device 500 to perform the vehicle lateral control method described above.
The present disclosure also provides a vehicle comprising a controller for performing the steps of the above method provided by the present disclosure.
The preferred embodiments of the present disclosure are described in detail with reference to the accompanying drawings, however, the present disclosure is not limited to the specific details of the above embodiments, and various simple modifications may be made to the technical solution of the present disclosure within the technical idea of the present disclosure, and these simple modifications all belong to the protection scope of the present disclosure.
It should be noted that the various features described in the above embodiments may be combined in any suitable manner without departing from the scope of the invention. In order to avoid unnecessary repetition, various possible combinations will not be separately described in this disclosure.
In addition, any combination of various embodiments of the present disclosure may be made, and the same should be considered as the disclosure of the present disclosure, as long as it does not depart from the spirit of the present disclosure.

Claims (10)

1. A vehicle lateral control method, characterized in that the method comprises:
acquiring a target course angle and a current course angle of the vehicle;
controlling a PID controller to output a front wheel corner of the vehicle according to the target course angle and the current course angle, wherein control parameters in the PID controller are determined according to a conjugate gradient algorithm;
and controlling the front wheel rotation angle of the vehicle to be the front wheel rotation angle output by the PID controller.
2. The method according to claim 1, characterized in that the control parameters in the PID controller are determined by the following steps:
determining an initial solution;
determining a search direction for searching from the initial solution;
performing linear search according to the determined search direction until the searched solution meets the termination condition;
determining a solution satisfying the termination condition as a control parameter in the PID controller.
3. The method of claim 2, wherein the search direction satisfies the following formula:
Figure FDA0002516000370000011
the termination conditions are as follows:
Figure FDA0002516000370000012
the linear search satisfies the following formula:
Figure FDA0002516000370000013
wherein, tk≥0,x(k+1)=x(k)+tkp(k)
Figure FDA0002516000370000014
Figure FDA0002516000370000015
Wherein x is(k)Is the kth solution, k 0,1,2, x (0) is the initial solution, | | | | · | | is a norm,
Figure FDA0002516000370000016
for the gradient, for the error tolerance,
Figure FDA0002516000370000017
is the search direction of the kth solution,
Figure FDA0002516000370000018
is a quadratic homogeneous function, tkAnd p(k)Is an intermediate variable.
4. The method according to any one of claims 1-3, wherein controlling a PID controller to output a front wheel steering angle of the vehicle according to the target heading angle and the current heading angle, wherein control parameters in the PID controller are determined according to a conjugate gradient algorithm, comprises:
determining status information of the vehicle;
searching a control parameter corresponding to the determined state information from a corresponding relation between predetermined state information of the vehicle and a control parameter in the PID controller, wherein the control parameter in the PID controller is calculated according to the determined state information and a conjugate gradient algorithm;
and controlling a PID controller to output the front wheel rotation angle of the vehicle according to the target course angle, the current course angle and the searched control parameter.
5. The method of claim 4, wherein the state information of the vehicle is a zone to which a target heading angle of the vehicle belongs.
6. The method according to any one of claims 1-3, wherein controlling a PID controller to output a front wheel steering angle of the vehicle according to the target heading angle and the current heading angle, wherein control parameters in the PID controller are determined according to a conjugate gradient algorithm, comprises:
and when the PID controller is controlled to output the front wheel rotation angle of the vehicle according to the target course angle and the current course angle, if a trigger condition is met, updating the control parameters in the PID controller according to a conjugate gradient algorithm.
7. A vehicle lateral control apparatus, characterized in that the apparatus comprises:
the acquisition module is used for acquiring a target course angle and a current course angle of the vehicle;
the first control module is used for controlling the PID controller to output the front wheel rotating angle of the vehicle according to the target course angle and the current course angle, wherein control parameters in the PID controller are determined according to a conjugate gradient algorithm;
and the second control module is used for controlling the front wheel rotation angle of the vehicle to be the front wheel rotation angle output by the PID controller.
8. A computer-readable storage medium, on which a computer program is stored which, when being executed by a processor, carries out the steps of the method according to any one of claims 1 to 6.
9. An electronic device, comprising:
a memory having a computer program stored thereon;
a processor for executing the computer program in the memory to carry out the steps of the method of any one of claims 1 to 6.
10. A vehicle comprising a controller configured to perform the steps of the method of any of claims 1-6.
CN202010476495.0A2020-05-292020-05-29Vehicle transverse control method and device, medium, equipment and vehiclePendingCN111806444A (en)

Priority Applications (1)

Application NumberPriority DateFiling DateTitle
CN202010476495.0ACN111806444A (en)2020-05-292020-05-29Vehicle transverse control method and device, medium, equipment and vehicle

Applications Claiming Priority (1)

Application NumberPriority DateFiling DateTitle
CN202010476495.0ACN111806444A (en)2020-05-292020-05-29Vehicle transverse control method and device, medium, equipment and vehicle

Publications (1)

Publication NumberPublication Date
CN111806444Atrue CN111806444A (en)2020-10-23

Family

ID=72848192

Family Applications (1)

Application NumberTitlePriority DateFiling Date
CN202010476495.0APendingCN111806444A (en)2020-05-292020-05-29Vehicle transverse control method and device, medium, equipment and vehicle

Country Status (1)

CountryLink
CN (1)CN111806444A (en)

Cited By (1)

* Cited by examiner, † Cited by third party
Publication numberPriority datePublication dateAssigneeTitle
CN113848899A (en)*2021-09-222021-12-28中国第一汽车股份有限公司Vehicle transverse control method, device, equipment and storage medium

Citations (5)

* Cited by examiner, † Cited by third party
Publication numberPriority datePublication dateAssigneeTitle
US20150234780A1 (en)*2014-02-202015-08-20Mitsubishi Electric Research Laboratories, Inc.Optimal Parameter Selection and Acceleration in ADMM for Multi-stage Stochastic Convex Quadratic Programs
WO2017203159A1 (en)*2016-05-242017-11-30Renault SasDevice for controlling the path of a vehicle
CN108646747A (en)*2018-06-052018-10-12上海交通大学Agri-vehicle path tracking control method
CN109733395A (en)*2018-12-192019-05-10江苏大学 A lateral coordination control method for autonomous vehicles based on extension goodness evaluation
CN110979305A (en)*2019-03-182020-04-10长城汽车股份有限公司Vehicle abnormal lane change control method, device and system

Patent Citations (5)

* Cited by examiner, † Cited by third party
Publication numberPriority datePublication dateAssigneeTitle
US20150234780A1 (en)*2014-02-202015-08-20Mitsubishi Electric Research Laboratories, Inc.Optimal Parameter Selection and Acceleration in ADMM for Multi-stage Stochastic Convex Quadratic Programs
WO2017203159A1 (en)*2016-05-242017-11-30Renault SasDevice for controlling the path of a vehicle
CN108646747A (en)*2018-06-052018-10-12上海交通大学Agri-vehicle path tracking control method
CN109733395A (en)*2018-12-192019-05-10江苏大学 A lateral coordination control method for autonomous vehicles based on extension goodness evaluation
CN110979305A (en)*2019-03-182020-04-10长城汽车股份有限公司Vehicle abnormal lane change control method, device and system

Non-Patent Citations (4)

* Cited by examiner, † Cited by third party
Title
张小明等: "旋转倒立摆串级PID低通滤波控制系统的设计", 《现代电子技术》*
杨明明: "基于智能控制技术驾驶员PID控制模型的研究", 《中国优秀硕士学位论文全文数据库》*
汪红等: "基于VNS-GA的PID和互补滤波控制的自平衡车姿态解算", 《中南民族大学学报(自然科学版)》*
金立生等: "基于BP神经网络的车道保持控制系统", 《吉林大学学报(工学版)》*

Cited By (1)

* Cited by examiner, † Cited by third party
Publication numberPriority datePublication dateAssigneeTitle
CN113848899A (en)*2021-09-222021-12-28中国第一汽车股份有限公司Vehicle transverse control method, device, equipment and storage medium

Similar Documents

PublicationPublication DateTitle
US11919518B2 (en)Vehicle lane change control method and device
US10852748B2 (en)Methods and apparatus to perform observer-based control of a vehicle
US4663703A (en)Predictive model reference adaptive controller
US11092965B2 (en)Method and device for driving dynamics control for a transportation vehicle
CN113561994B (en)Trajectory planning method and device, storage medium and electronic equipment
US12181845B2 (en)Method and device for supporting maneuver planning for an automated driving vehicle or a robot
US20180284703A1 (en)Machine learning device, servo control apparatus, servo control system, and machine learning method
KR102203275B1 (en)Vehicle Steering Apparatus and Method for Lane Keeping
CN111806445A (en)Vehicle transverse control method and device, medium, equipment and vehicle
Grande et al.Experimental validation of Bayesian nonparametric adaptive control using Gaussian processes
US20220204018A1 (en)Vehicle control using neural network controller in combination with model-based controller
CN113848899A (en)Vehicle transverse control method, device, equipment and storage medium
CN115877841A (en)Trajectory tracking control method, device, equipment and storage medium for unmanned mine car
CN116300801A (en)Vehicle control parameter calibration method and device and nonvolatile storage medium
US12340702B2 (en)Method for managing the longitudinal position of a follower aircraft with respect to a leader aircraft
CN111806444A (en)Vehicle transverse control method and device, medium, equipment and vehicle
KR102382047B1 (en)Automatic learning tuning system of motor controller using PSO
CN114721272B (en) Trajectory tracking control method, device, equipment and computer readable storage medium
CN111966103B (en)Method, device, equipment and medium for dynamically correcting zero deflection angle of unmanned forklift
CN119247791A (en) High-precision navigation control method, device, equipment and medium for underwater self-propelled model
CN117970796A (en) Adaptive path tracking method and system based on PSO-LQR algorithm
CN118046887A (en)Automatic driving vehicle transverse control method, device, equipment and storage medium
JP2024153333A (en) Parameter adjustment device and parameter adjustment method
KR102487640B1 (en)Control device for plant and controlling method of the same
CN113377096A (en)Vehicle control method, device, equipment and storage medium

Legal Events

DateCodeTitleDescription
PB01Publication
PB01Publication
SE01Entry into force of request for substantive examination
SE01Entry into force of request for substantive examination
RJ01Rejection of invention patent application after publication

Application publication date:20201023

RJ01Rejection of invention patent application after publication

[8]ページ先頭

©2009-2025 Movatter.jp