


技术领域technical field
本发明属雷达数据处理技术领域。The invention belongs to the technical field of radar data processing.
背景技术Background technique
现有的主动雷达信号检测方法都是基于雷达信号处于平稳随机白噪声理论下开展的研究。通过统计雷达回波的幅度概率密度分布,确定虚警率要求下的检测门限。典型海杂波幅度较低、EP数较大、饱和度大、多普勒速度低、一致度低;而目标的幅度较大、EP数较小、饱和度小、多普勒速度高、一致度高。虽然这些维度上海杂波和目标回波具有差别,但区分度不明显。传统的恒虚警检测方法采用统一门限进行判别时,很容易将海杂波的重拖尾检测为目标信号输出,在航迹起始和航迹跟踪过程中容易受到杂波点迹的影响,出现误起始和误跟踪。专利《一种基于支持向量机的点迹过滤方法CN109613526A》采用空间展宽和幅度特征作为分类器的多维输入特征参数;专利《一种三坐标雷达点迹质量评估方法CN108181620A》采用逻辑判断的方法进行点迹的判别。上述现有技术中存在的问题是:雷达工作环境较为复杂,海杂波区域中存在重拖尾、信号方差大,采用恒虚警方法会产生大量的虚假点迹,从而导致后续的数据处理无法有效对雷达点迹进行起始和跟踪,产生虚假航迹、出现航迹错误关联。The existing active radar signal detection methods are all based on the theory that the radar signal is in stationary random white noise. By calculating the amplitude probability density distribution of radar echoes, the detection threshold under the requirement of false alarm rate is determined. Typical sea clutter amplitude is low, EP number is large, saturation is high, Doppler velocity is low, consistency is low; while target amplitude is large, EP number is small, saturation is small, Doppler velocity is high, consistency is low high degree. Although there are differences between Shanghai clutter and target echo in these dimensions, the degree of discrimination is not obvious. When the traditional constant false alarm detection method adopts a unified threshold for discrimination, it is easy to detect the heavy tail of sea clutter as the target signal output, and it is easily affected by the clutter point trace during the track initiation and track tracking process. Misstarting and mistracking occur. The patent "A Spot Trace Filtering Method Based on Support Vector Machine CN109613526A" uses spatial broadening and amplitude features as the multi-dimensional input feature parameters of the classifier; the patent "A Three-coordinate Radar Spot Trace Quality Evaluation Method CN108181620A" adopts the method of logical judgment. Point trace determination. The problems existing in the above-mentioned prior art are: the working environment of the radar is relatively complex, there is heavy trailing in the sea clutter area, and the signal variance is large, and the use of the constant false alarm method will generate a large number of false point traces, resulting in the inability of subsequent data processing. Effectively start and track radar track, generate false track, and cause track error association.
发明内容SUMMARY OF THE INVENTION
针对现有技术的缺陷,本发明的目的在于提供一种风险评估的海空虚假目标多维层次化抑制方法,利用提取的点迹回波特征对点迹是否由目标产生进行质量评估和虚假剔除,旨在提高复杂海杂波环境中的目标检测能力。Aiming at the defects of the prior art, the purpose of the present invention is to provide a multi-dimensional hierarchical suppression method for false targets in the sea and air for risk assessment, using the extracted point trace echo features to perform quality assessment and false rejection on whether the point trace is generated by the target, It aims to improve the target detection capability in complex sea clutter environment.
为达到上述目的,本发明采用如下技术方案予以实现:To achieve the above object, the present invention adopts the following technical solutions to be realized:
(1).采集训练周期内的大量点迹数据;(1). Collect a large amount of dot trace data in the training period;
(2).通过航迹跟踪、无监督聚类和专家系统进行点迹的人工判别,并进行集合求并/求交运算,区分开目标点迹和环境虚警点迹;(2) Manually discriminate point traces through track tracking, unsupervised clustering and expert systems, and perform set summation/intersection operations to distinguish target point traces and environmental false alarm point traces;
(3).利用训练集中的点迹数据对人工神经网络进行训练,实现点迹的多维特征风险评估,获得点迹与目标点迹之间的相似度;(3) Use the point trace data in the training set to train the artificial neural network, realize the multi-dimensional feature risk assessment of the point trace, and obtain the similarity between the point trace and the target point trace;
(4).根据点迹与目标点迹的相似度,实现虚假点迹识别和剔除。(4) According to the similarity between the point trace and the target point trace, realize the identification and elimination of false point traces.
具体的,上述过程包括训练阶段和应用阶段。在训练阶段,提取雷达回波凝聚后点迹的空间、幅度、频域、信息域等多维的属性特征,归一化后作为点迹分类器的输入;利用无监督聚类算法及专家系统实现对样本集的判别,给大量点迹数据打上标签,标签作为点迹分类器的输出;最后,利用人工神经网络ANN对点迹属性及其对应标签进行训练,对目标的属性特征进行学习和规律挖掘,建立特征输入和标签输出之间的非线性映射网络,以此构造目标点迹和环境虚警点迹的分类器。Specifically, the above process includes a training phase and an application phase. In the training stage, multi-dimensional attribute features such as space, amplitude, frequency domain, and information domain of the point trace after the radar echo condensation are extracted, and normalized as the input of the point trace classifier; the unsupervised clustering algorithm and the expert system are used to realize For the discrimination of the sample set, a large number of point trace data are labeled, and the label is used as the output of the point trace classifier; finally, the artificial neural network ANN is used to train the point trace attributes and their corresponding labels, and the attribute characteristics of the target are learned and regularized. Mining, to establish a nonlinear mapping network between feature input and label output, so as to construct a classifier for target traces and environmental false alarm traces.
在应用阶段,根据接收回波的强度,采用传统检测方法进行目标检测,完成第一级判决,并提取点迹的空间、幅度、频率、信息域特征,特征提取方法和归一化方法和训练阶段完全相同;接着采用训练好的人工神经网络进行第二级判决,输入提取的高维点迹特征,获得点迹得分(由目标产生的可能性大小),实现质量判别,最后将过门限的点迹作为目标产生点迹,剔除未超过门限的点迹。In the application stage, according to the strength of the received echo, the traditional detection method is used for target detection, the first-level judgment is completed, and the space, amplitude, frequency, and information domain features of the dot trace are extracted, and the feature extraction method and normalization method are trained. The stages are exactly the same; then the trained artificial neural network is used for the second-level judgment, the extracted high-dimensional point trace features are input, and the point trace score (the possibility of being generated by the target) is obtained to realize the quality judgment. The dot trace is used as the target to generate the dot trace, and the dot trace that does not exceed the threshold is eliminated.
本发明可以适应复杂高海况环境,有效检测出目标信号,而不会将环境回波误检为目标信号,从而显著降低虚警率。采用基于机器学习的点迹质量评估及剔除后,环境产生的虚假点迹数显著降低,而目标点迹的损失量很少,根据统计结果,雷达视距范围内的目标点迹损失率小于1%,环境虚警所产生的点迹减少超过65%,点迹质量(正确率)提升;航迹计算时间减少23%,虚假航迹减少50%以上,证明了本发明的有效性。The invention can adapt to the complex high sea condition environment, effectively detect the target signal, without falsely detecting the environmental echo as the target signal, thereby significantly reducing the false alarm rate. After adopting the quality evaluation and elimination of point traces based on machine learning, the number of false point traces generated by the environment is significantly reduced, while the loss of target point traces is very small. According to the statistical results, the loss rate of target point traces within the radar line of sight is less than 1 %, the dot traces generated by environmental false alarms are reduced by more than 65%, the dot trace quality (correct rate) is improved; the track calculation time is reduced by 23%, and the false tracks are reduced by more than 50%, which proves the effectiveness of the present invention.
附图说明Description of drawings
图1基于风险评估的虚假目标多维层次化抑制流程图。Figure 1. Flow chart of multi-dimensional hierarchical suppression of false targets based on risk assessment.
图2基于风险评估的虚假目标多维层次化抑制的输入输出。Figure 2. Input and output of multi-dimensional hierarchical suppression of false targets based on risk assessment.
图3虚假目标多维层次化抑制后提取的目标点迹。Figure 3. The target traces extracted after the multi-dimensional hierarchical suppression of false targets.
具体实施方式Detailed ways
下面结合附图对本发明作进一步的解释说明。The present invention will be further explained below in conjunction with the accompanying drawings.
其中用到的点迹输入信息包含点迹的空间信息如距离、方位、仰角、凝聚时的过门限点迹数(EP数)、饱和度(EP数与扇区内距离单元总数之比)、距离展宽、方位展宽;幅度信息如该距离单元幅度、CFAR估计的背景幅度、信杂比;频域信息如主通道序号、凝聚点迹位于主通道号的占比、过门限通道数、过门限通道序号方差、通道内信号一致度;信号处理判别信息如区域属性(海杂波区、地物区、噪声区)、是否在跟踪目标的副瓣区域共21维。相关的参数定义如下:The input information of the dot trace used includes the spatial information of the dot trace, such as distance, azimuth, elevation angle, the number of point traces crossing the threshold (EP number) during condensation, saturation (the ratio of the EP number to the total number of distance units in the sector), Range broadening, azimuth broadening; amplitude information such as the range unit amplitude, CFAR estimated background amplitude, and signal-to-noise ratio; frequency domain information such as the main channel number, the proportion of the agglomeration point trace located in the main channel number, the number of channels that pass the threshold, the number of channels that pass the threshold Channel sequence number variance, intra-channel signal consistency; signal processing discrimination information such as regional attributes (sea clutter area, ground object area, noise area), whether it is in the sidelobe area of the tracking target, a total of 21 dimensions. The relevant parameters are defined as follows:
距离指当前点迹与雷达的距离Distance refers to the distance between the current point trace and the radar
方位指当前点迹在雷达坐标系中的方位Bearing refers to the bearing of the current trace in the radar coordinate system
仰角指当前点迹在雷达坐标系中的仰角Elevation angle refers to the elevation angle of the current trace in the radar coordinate system
幅度指当前点迹的平均幅度Amplitude refers to the average amplitude of the current trace
背景幅度指当前点迹所处背景的幅度Background amplitude refers to the amplitude of the background where the current trace is located
信杂噪比指当前点迹的信杂噪比SCNR﹦Amp-BackAmp;SNR refers to the SNR of the current dot trace SCNR﹦Amp-BackAmp;
过门限点数指形成当前点迹的过门限点数,在点迹凝聚过程记录OutNum﹦N;The number of over-threshold points refers to the number of over-threshold points that form the current trace, and record OutNum﹦N in the process of trace condensation;
饱和度指形成当前点迹的过门限点数占点迹框的比例Saturation refers to the proportion of the threshold crossing points forming the current trace to the trace frame
SatDeg=N/((DisWid/DisSample)·(AziWid/AziSample));SatDeg=N/((DisWid/DisSample)·(AziWid/AziSample));
距离展宽指当前点迹的距离延伸DisWid﹦SDis-EDis;The distance extension refers to the distance extension of the current point trace DisWid﹦SDis-EDis;
起始距离SDis指当前点迹的起始距离,终止距离EDis指当前点迹的终止距离,The starting distance SDis refers to the starting distance of the current track, and the ending distance EDis refers to the ending distance of the current track.
方位展宽指当前点迹的方位跨度AziWid﹦SAzi-EAzi;Azimuth widening refers to the azimuth span of the current trace AziWid﹦SAzi-EAzi;
起始方位SAzi指当前点迹的起始方位,终止方位EAzi指当前点迹的终止方位,The starting azimuth SAzi refers to the starting azimuth of the current trace, and the ending azimuth EAzi refers to the ending azimuth of the current trace.
区域属性是指当前点迹位于何种类型的区域,有地物区、海杂波区、云雨杂波区、噪声区、超视距区,主通道号是指当前点迹的主要组成通道,假设N个过门限点分别属于m个输出通道,通道号分别为Chn1,…Chnm,各个通道的过门限点数分别为OutNums1,…OutNumsm,那么主通道号为:The area attribute refers to what type of area the current point trace is located in, including the ground object area, the sea clutter area, the cloud and rain clutter area, the noise area, and the over-the-horizon area. The main channel number refers to the main component channel of the current point trace. Assuming that N over-threshold points belong to m output channels respectively, the channel numbers are Chn1 ,...Chnm , and the number of over-threshold points of each channel are OutNums1 ,...OutNumsm , then the main channel numbers are:
MainChn1﹦Chnx,OutNumsx﹦max(OutNums1,…OutNumsm),MainChn1 ﹦Chnx , OutNumsx ﹦max(OutNums1 ,…OutNumsm ),
主通道占比是指主要组成通道的过门限点所占比例MainRate﹦OutNumsx/N,The main channel ratio refers to the ratio of the threshold crossing points of the main component channels MainRate﹦OutNumsx /N,
通道数是指组成当前点迹的通道数ChnNums﹦m,The number of channels refers to the number of channels that make up the current trace ChnNums﹦m,
通道一致度是指组成当前点迹的通道号的标准差ArgDeg﹦std(Chn1,…Chnm),The channel consistency refers to the standard deviation ArgDeg﹦std(Chn1 ,…Chnm ) of the channel numbers that make up the current trace,
副瓣标识指当前点迹是否可能为副瓣形成的点迹,是方位副瓣为2、距离副瓣为1,否为0。当点迹位于某个点迹的副瓣区域并且满足一定的准则时,则认为该点迹为副瓣点迹。判断准则如下:The side lobe identification refers to whether the current point trace may be a point trace formed by a side lobe. When the dot trace is located in the side lobe area of a certain dot trace and satisfies certain criteria, the dot trace is considered as a side lobe dot trace. The judgment criteria are as follows:
(1)该点迹需位于某个点迹(主瓣点迹)的副瓣区域;副瓣区域是指以主瓣点迹位置为中心,距离副瓣指与目标处于同一方位,距离增减对应的位置,方位副瓣指与目标处于同一距离,方位增减对应的位置;(1) The point trace needs to be located in the side lobe area of a certain point trace (main lobe point trace); the side lobe area refers to the position of the main lobe point trace as the center, and the distance to the side lobe refers to the same orientation as the target, and the distance increases or decreases. The corresponding position, the azimuth sidelobe refers to the position at the same distance from the target, and the azimuth increase or decrease corresponds to the position;
(2)该点迹与主瓣点迹的幅度需满足主副比关系;(2) The amplitudes of the dot trace and the main lobe dot trace need to satisfy the relationship between the primary and secondary ratios;
(3)该点迹与主瓣点迹需位于相近的输出通道。(3) The dot trace and the main lobe dot trace need to be located in the similar output channel.
输入参数共21个。There are 21 input parameters in total.
本发明的具体流程如图1,其实施步骤如下:步骤1、采用恒虚警检测和点迹凝聚,形成点迹并提取点迹特征;The specific process flow of the present invention is as shown in Figure 1, and its implementation steps are as follows:
步骤2、对点迹数据进行关联形成航迹,挑选出关联长于20圈的航迹作为目标航迹;Step 2. Correlate the point track data to form a track, and select a track with an association longer than 20 laps as the target track;
步骤3、通过Kmeans无监督聚类算法,找到聚类中心和点迹的类别序号;Step 3. Find the cluster center and the category number of the point trace through the Kmeans unsupervised clustering algorithm;
步骤4、将聚类后的点迹簇送入专家系统,人工分辨出目标点迹和杂波点迹;Step 4. Send the clustered point trace cluster into the expert system, and manually distinguish the target point trace and the clutter trace;
步骤5、将步骤2和步骤4的点迹求并集得到目标点迹,求并得到杂波点迹;Step 5, the point traces of step 2 and step 4 are obtained by the union of the point traces to obtain the target traces, and the summation is obtained to obtain the clutter traces;
步骤6、将步骤5中的点迹特征及其类别(含标签数据)进行划分,随机挑选80%样本作为训练集,剩余样本作为验证集;Step 6. Divide the dot trace feature and its category (including label data) in step 5, randomly select 80% of the samples as the training set, and the remaining samples as the verification set;
步骤7、将样本集送入人工神经网络进行训练,利用验证集进行正确性验证;Step 7. Send the sample set to the artificial neural network for training, and use the verification set to verify the correctness;
步骤8、将实际点迹作为输入,利用步骤7训练好的人工神经网络,计算和目标点迹的相似度;Step 8, take the actual point trace as input, and use the artificial neural network trained in step 7 to calculate the similarity with the target point trace;
步骤9、设置点迹数量门限,滤除掉与目标低相似度的点迹数据,输出目标点迹。Step 9: Set a threshold for the number of dot traces, filter out the dot trace data with low similarity to the target, and output the target dot trace.
其中,步骤3的具体步骤为:Wherein, the specific steps of step 3 are:
步骤3.1:设置类别数为N个,N是指预估的目标类别与环境产生的虚假类别之和,例如目标有80个,就代表预计估计其中有80类目标,虚假产生的类别数为20个,这时选取N为100,在点迹质量评估时,对80类目标给出高评分而对20类虚假给出低评分。给定N后,随机在点迹中选择N个样本点作为这N类的类别中心;其中X为类别属性,表征了该类点迹属性特征的中心值,点迹数为L。Step 3.1: Set the number of categories to N, N refers to the sum of the estimated target category and the false categories generated by the environment. For example, if there are 80 targets, it means that there are 80 categories of targets estimated, and the number of false categories is 20. At this time, N is selected as 100. In the evaluation of dot trace quality, 80 categories of targets are given a high score and 20 categories of false are given a low score. After N is given, randomly select N sample points in the dot trace as the category center of these N types; where X is the category attribute, which represents the central value of the attribute feature of this type of dot trace, and the number of dot traces is L.
Xk={x1,x2...xN},i=1,2...L,k=1,2...NXk = {x1 , x2 ... xN }, i=1, 2...L, k=1, 2...N
步骤3.2:计算所有点迹和所有类别之间的欧几里得距离,并利用距离来判别点迹的所属类别;其中P为点迹样本的特征维度。Step 3.2: Calculate the Euclidean distance between all point traces and all categories, and use the distance to determine the category of the point trace; where P is the feature dimension of the point trace sample.
Tk=arg mink{|xi-Xk|}Tk =arg mink {|xi -Xk |}
步骤3.3:遍历所有类别,利用属于每一个类别中的所有点迹,重新计算该类别的中心;其中Nk代表距离第k个类别中心最近的点迹数;Step 3.3: Traverse all categories, and recalculate the center of the category using all traces belonging to each category; where Nk represents the number of traces closest to the center of the kth category;
步骤3.4:循环重复步骤3.2-3.3,共执行Niter次;Step 3.4: Repeat steps 3.2-3.3 cyclically, and perform Niter times in total;
步骤3.5:采用欧几里得距离来计算类别之间的距离,将类别距离小于阈值的两类合并为新类;如果第m类和第n类之间的距离小于阈值,则按照所属样本个数进行加权,计算第s类别的中心,并删除第m和第n类中心。Step 3.5: The Euclidean distance is used to calculate the distance between the categories, and the two categories whose category distance is less than the threshold are merged into a new category; if the distance between the mth class and the nth class is less than the threshold, according to the number of samples to which they belong. The numbers are weighted, the center of the s-th class is calculated, and the m-th and n-th class centers are removed.
步骤3.6:计算类别内各特征属性的方差,如果方差大于阈值则将该类分裂为两类,新的两个类别中心复制原类别的中心,并在方差最大的那个点迹属性维度上(第h个属性),加减该点迹属性的标准差;Step 3.6: Calculate the variance of each feature attribute in the category. If the variance is greater than the threshold, the category will be split into two categories, and the centers of the new two categories will copy the center of the original category, and the point trace attribute dimension with the largest variance (No. h attributes), plus or minus the standard deviation of the trace attributes;
步骤3.7:当步骤5中不再出现类的合并,且步骤6中不再出现类别的拆分时,整个无监督聚类过程结束,否则执行步骤4-6;Step 3.7: When the merging of classes no longer occurs in step 5, and the splitting of categories no longer occurs in step 6, the entire unsupervised clustering process ends, otherwise steps 4-6 are performed;
步骤7的具体步骤为:The specific steps of step 7 are:
步骤7.1:读取数据的归一化输入特征x和专家系统保存的标签v;Step 7.1: Read the normalized input feature x of the data and the label v saved by the expert system;
步骤7.2:设置神经网络结构和激活函数类型,随机初始化网络权值;设三层网络的初始化系数分别为ωi,i=1,2,3,激励阈值分别为bi,i=1,2,3;Step 7.2: Set the neural network structure and activation function type, and initialize the network weights randomly; set the initialization coefficients of the three-layer network to be ωi , i=1, 2, and 3, respectively, and the excitation thresholds to be bi ,i =1, 2 , 3;
步骤7.3:设置网络训练步长h、正则化系数a、动量系数M、最大训练次数Niter;Step 7.3: Set the network training step size h, the regularization coefficient a, the momentum coefficient M, and the maximum training times Niter;
步骤7.4:网络前向计算,获取预测结果Step 7.4: Network forward calculation to obtain prediction results
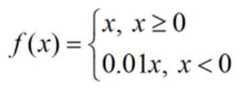
g(x)=xg(x)=x
其中LeakyReLu函数为:The LeakyReLu function is:
步骤7.5:计算预测结果和标签真值的差值,称为误差δ,定义平方代价函数为M个样本平方误差的均值,系数0.5是为了抵消求导时产生的因子;Step 7.5: Calculate the difference between the prediction result and the true value of the label, called the error δ, define the square cost function as the mean of the square errors of the M samples, and the coefficient 0.5 is to offset the factor generated during the derivation;
步骤7.6:网络后向计算,通过代价函数及求导的链式法则计算各节点的更新系数;Step 7.6: Calculate the network backward, calculate the update coefficient of each node through the cost function and the chain rule of derivation;
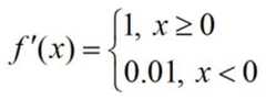
其中LeakyReLu函数的导函数为:The derivative of the LeakyReLu function is:
步骤7.7:对网络节点的更新系数进行动量计算;Step 7.7: Calculate the momentum of the update coefficients of the network nodes;
dωi=Mdωi+Δωidωi =Mdωi +Δωi
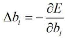
dbi=Mdbi+Δbi,M<1dbi =Mdbi +Δbi , M<1
步骤7.8:对网络节点的权重值进行微量遗忘,通过步骤7的结果进行权重更新;Step 7.8: Perform micro-forgetting on the weight value of the network node, and update the weight according to the result of step 7;
ωi=(1-α)ωi+dωiωi =(1-α)ωi +dωi
bi=(1-α)bi+dbi,α<<1bi =(1-α)bi +dbi , α<<1
步骤7.9:重复步骤7.4-7.8,直到网络误差小于阈值或达到最大训练次数Niter。Step 7.9: Repeat steps 7.4-7.8 until the network error is less than the threshold or the maximum number of training Niter is reached.
| Application Number | Priority Date | Filing Date | Title |
|---|---|---|---|
| CN202010533432.4ACN111796250A (en) | 2020-06-12 | 2020-06-12 | False trace point multi-dimensional hierarchical suppression method based on risk assessment |
| Application Number | Priority Date | Filing Date | Title |
|---|---|---|---|
| CN202010533432.4ACN111796250A (en) | 2020-06-12 | 2020-06-12 | False trace point multi-dimensional hierarchical suppression method based on risk assessment |
| Publication Number | Publication Date |
|---|---|
| CN111796250Atrue CN111796250A (en) | 2020-10-20 |
| Application Number | Title | Priority Date | Filing Date |
|---|---|---|---|
| CN202010533432.4APendingCN111796250A (en) | 2020-06-12 | 2020-06-12 | False trace point multi-dimensional hierarchical suppression method based on risk assessment |
| Country | Link |
|---|---|
| CN (1) | CN111796250A (en) |
| Publication number | Priority date | Publication date | Assignee | Title |
|---|---|---|---|---|
| CN112327266A (en)* | 2020-10-23 | 2021-02-05 | 北京理工大学 | A method for eliminating clutter traces based on multi-dimensional information fusion |
| CN112881993A (en)* | 2021-01-18 | 2021-06-01 | 零八一电子集团有限公司 | Method for automatically identifying false tracks caused by radar distribution clutter |
| CN113721211A (en)* | 2021-06-26 | 2021-11-30 | 中国船舶重工集团公司第七二三研究所 | Sparse fixed clutter recognition method based on point trace characteristic information |
| Publication number | Priority date | Publication date | Assignee | Title |
|---|---|---|---|---|
| CN109613526A (en)* | 2018-12-10 | 2019-04-12 | 航天南湖电子信息技术股份有限公司 | A kind of point mark filter method based on support vector machines |
| Publication number | Priority date | Publication date | Assignee | Title |
|---|---|---|---|---|
| CN109613526A (en)* | 2018-12-10 | 2019-04-12 | 航天南湖电子信息技术股份有限公司 | A kind of point mark filter method based on support vector machines |
| Title |
|---|
| 刘文 李宏刚 苗锋 白俊奇: "基于ReliefF 与SVM 的杂波区虚假航迹抑制方法", 指挥信息系统与技术, vol. 11, no. 2, pages 45 - 47* |
| 刘文;李宏刚;苗锋;白俊奇;: "基于ReliefF与SVM的杂波区虚假航迹抑制方法", 指挥信息系统与技术, no. 02* |
| 官林海;: "地面情报雷达点迹过滤技术研究", 电子技术与软件工程, no. 17* |
| 彭威;林强;: "基于PSO-MLP的点迹真伪鉴别方法研究", 舰船电子对抗, no. 01* |
| 林强;彭威;胡先进;: "基于改进KNN的雷达点迹真伪鉴别方法", 现代雷达, no. 04* |
| Publication number | Priority date | Publication date | Assignee | Title |
|---|---|---|---|---|
| CN112327266A (en)* | 2020-10-23 | 2021-02-05 | 北京理工大学 | A method for eliminating clutter traces based on multi-dimensional information fusion |
| CN112327266B (en)* | 2020-10-23 | 2024-05-03 | 北京理工大学 | Clutter point trace eliminating method based on multidimensional information fusion |
| CN112881993A (en)* | 2021-01-18 | 2021-06-01 | 零八一电子集团有限公司 | Method for automatically identifying false tracks caused by radar distribution clutter |
| CN112881993B (en)* | 2021-01-18 | 2024-02-20 | 零八一电子集团有限公司 | Method for automatically identifying false flight path caused by radar distribution clutter |
| CN113721211A (en)* | 2021-06-26 | 2021-11-30 | 中国船舶重工集团公司第七二三研究所 | Sparse fixed clutter recognition method based on point trace characteristic information |
| Publication | Publication Date | Title |
|---|---|---|
| CN110826630B (en) | Feature-level fusion recognition method of radar jamming signal based on deep convolutional neural network | |
| CN107688170B (en) | Radar target track starting method based on random forest | |
| CN112149524B (en) | A radar signal sorting and identification method, device, detector and storage medium | |
| CN106842165B (en) | A Centralized Asynchronous Fusion Method of Radar Based on Different Range and Angle Resolutions | |
| CN111796250A (en) | False trace point multi-dimensional hierarchical suppression method based on risk assessment | |
| CN106443598B (en) | A Radar Network Collaborative Track Deception Jamming Identification Method Based on Convolutional Neural Networks | |
| CN110208806B (en) | Marine radar image rainfall identification method | |
| CN101241181B (en) | Discrimination Method of One-Dimensional Range Image of Non-Reservoir Targets | |
| CN109100696B (en) | Slow-speed moving target elimination method based on dot clutter map | |
| CN110018453A (en) | Intelligent type recognition methods based on aircraft track feature | |
| CN109597045B (en) | Static target steady recognition method based on two times of clutter suppression | |
| CN107765228A (en) | A kind of online radar target detection method based on region similitude | |
| CN115223044B (en) | End-to-end 3D ground penetrating radar target recognition method and system based on deep learning | |
| CN114114192A (en) | Cluster target detection method | |
| CN113640768B (en) | A low-resolution radar target recognition method based on wavelet transform | |
| CN110208789B (en) | Multi-frame combined target track identification method | |
| CN112965038B (en) | Ground activity target classification method based on trace point data and frequency spectrum characteristics | |
| CN113608193A (en) | Radar multi-target distance and speed estimation method based on UNet | |
| CN117741642A (en) | Weak target detection method, device and storage medium based on texture information in time-frequency distribution manifold | |
| CN111707998A (en) | A detection method for small floating objects on the sea surface based on the features of connected regions | |
| CN111948638B (en) | Target length estimation method based on high-resolution range profile and application thereof | |
| CN113625266A (en) | Method, device, storage medium and equipment for detecting low-speed target by using radar | |
| CN113466798A (en) | Sea surface small target detection method based on polarization signal multi-scale entropy characteristics | |
| CN115754933B (en) | Method for reducing false flight path of sea detection radar | |
| KR102361816B1 (en) | Method for detecting target and readable medium |
| Date | Code | Title | Description |
|---|---|---|---|
| PB01 | Publication | ||
| PB01 | Publication | ||
| SE01 | Entry into force of request for substantive examination | ||
| SE01 | Entry into force of request for substantive examination | ||
| CB02 | Change of applicant information | Address after:210003 No. 346, Zhongshan North Road, Jiangsu, Nanjing Applicant after:724 Research Institute of China Shipbuilding Corp. Address before:210003 No. 346, Zhongshan North Road, Jiangsu, Nanjing Applicant before:724TH RESEARCH INSTITUTE OF CHINA SHIPBUILDING INDUSTRY Corp. | |
| CB02 | Change of applicant information | ||
| WD01 | Invention patent application deemed withdrawn after publication | Application publication date:20201020 | |
| WD01 | Invention patent application deemed withdrawn after publication |