






技术领域technical field
本发明涉及一种桥梁位移测量方法,尤其是一种提高桥梁动位移精度的图像特征辨识方法,属于桥梁工程健康监测与安全评估领域。The invention relates to a bridge displacement measurement method, in particular to an image feature identification method for improving bridge dynamic displacement accuracy, and belongs to the field of bridge engineering health monitoring and safety assessment.
背景技术Background technique
近些年来,我国高铁建设加速成网,高铁成为人们出行的首要选择。高铁的修建一般采用“以桥带路”的方式,因此桥梁结构在高铁线路中占比极大。随着高铁运行时对桥梁的冲击,桥梁结构造成的损伤逐渐累积,严重时会造成重大安全事故。为保证高铁的安全运行,需要对高铁桥梁动态位移进行监测或定期检查。In recent years, my country's high-speed rail construction has accelerated into a network, and high-speed rail has become the first choice for people to travel. The construction of high-speed rail generally adopts the method of "leading the road with bridges", so the bridge structure accounts for a large proportion of the high-speed rail line. With the impact of high-speed rail on bridges, the damage caused by bridge structures gradually accumulates, and in severe cases, major safety accidents may occur. In order to ensure the safe operation of high-speed rail, it is necessary to monitor or regularly check the dynamic displacement of high-speed rail bridges.
目前,高铁桥梁中常用的位移测量工具和方法主要是位移传感器、加速度传感器、激光挠度仪等,这些方法施工过程复杂、耗时长、成本高并且对于一些空间结构复杂的地方难以测量。随着摄影技术的发展,应用图像处理和数字图像相关等方法从图像中直接提取结构振动位移信息也逐渐受到广泛关注。At present, the commonly used displacement measurement tools and methods in high-speed railway bridges are mainly displacement sensors, acceleration sensors, laser deflection meters, etc. These methods are complicated in construction, time-consuming, costly, and difficult to measure in some places with complex spatial structures. With the development of photography technology, the application of image processing and digital image correlation methods to directly extract structural vibration displacement information from images has gradually attracted widespread attention.
随着计算机视觉的发展,许多学者已经将桥梁振动位移与计算机视觉相结合。现阶段,许多基于特征点检测的计算机视觉方法遇到识别中出现大量错误匹配点的问题,在处理时往往需要耗费大量时间并且效果不佳,因此,如何针对错误匹配点过多的问题提出一种高效、快速、精确的计算机测量方法成为一个亟待解决的问题。With the development of computer vision, many scholars have combined bridge vibration displacement with computer vision. At this stage, many computer vision methods based on feature point detection encounter the problem of a large number of incorrect matching points in the recognition process, which often takes a lot of time and is ineffective. Therefore, how to solve the problem of too many incorrect matching points? An efficient, fast and accurate computer measurement method has become an urgent problem to be solved.
发明内容SUMMARY OF THE INVENTION
本发明的目的是为了解决现有的基于特征点识别桥梁图像计算复杂、识别时错误匹配点过多以及位移测量精度不高的问题,提供一种提高桥梁动位移精度的图像特征辨识方法,它能够实现桥梁区域靶标特征点的精确快速识别与追踪,为先进的计算机视觉技术在桥梁振动位移测量上的应用提供一个可行的途径,为后续桥梁结构振动位移智能化实时监测提供了技术方案。The purpose of the present invention is to solve the problems of complex calculation of the existing bridge images based on feature point recognition, too many incorrect matching points during recognition and low displacement measurement accuracy, and to provide an image feature recognition method for improving the dynamic displacement accuracy of bridges. It can realize accurate and rapid identification and tracking of target feature points in bridge area, provide a feasible way for the application of advanced computer vision technology in bridge vibration displacement measurement, and provide a technical solution for the subsequent intelligent real-time monitoring of bridge structure vibration displacement.
为实现上述目的,本发明采取下述技术方案:一种提高桥梁动位移精度的图像特征辨识方法,包括以下步骤:In order to achieve the above-mentioned purpose, the present invention adopts the following technical scheme: a kind of image feature identification method for improving the accuracy of bridge dynamic displacement, comprising the following steps:
步骤一:桥梁视频图像采集,将带有特征的视觉靶标放置在桥梁待测位置,采用商用数码相机拍摄,将视觉靶标包含在视频内部;Step 1: Collect the video image of the bridge, place the visual target with features at the position to be measured on the bridge, shoot with a commercial digital camera, and include the visual target in the video;
步骤二:对视觉靶标图像进行特征点检测,计算图像中每个像素点的Hessian矩阵,并采用高斯函数L(x,t)=G(t)I(x,t)对矩阵行列卷积处理,通过Hessian矩阵判别式初步判断特征点,Hessian矩阵的行列式的极值处即为特征点;Step 2: Detect the feature points of the visual target image, calculate the Hessian matrix of each pixel in the image, and use the Gaussian function L(x,t)=G(t)I(x,t) to convolve the rows and columns of the matrix. , the feature points are preliminarily judged by the Hessian matrix discriminant, and the extreme value of the determinant of the Hessian matrix is the feature point;
步骤三:对初步筛选出的特征点进行特征点匹配,剔除部分错误特征点,首先采用近邻比值提纯法提纯,选定一个特征点并找到第二帧图像中与此特征点间的欧氏距离最小以及次最小的点,将最小距离与次最小距离进行比值Q,通过设定阈值Tq,满足Tq<Q的要求则认为是正确特征匹配点;Step 3: Perform feature point matching on the initially screened feature points, remove some erroneous feature points, first use the nearest neighbor ratio purification method to purify, select a feature point and find the Euclidean distance between the second frame image and this feature point For the smallest and second smallest points, the ratio of the smallest distance to the next smallest distance is Q, and by setting the threshold Tq , it is considered to be a correct feature matching point if it satisfies the requirement of Tq <Q;
步骤四:继续采用正反双向提纯法进行提纯,第一帧中的一个特征点按上述近邻比值法找到第二帧图像中对应的特征点,如果在第二帧图像中有多个特征点均满足Tq<Q,则进行剔除,如果仅有一个特征点对应,则以此特征点为基础,采用近邻比值法找寻第一帧图像满足要求的点,若与之前的点一致,则认为是正确匹配,反之,若有多个点匹配,则进行剔除;Step 4: Continue to use the forward and reverse two-way purification method for purification. A feature point in the first frame finds the corresponding feature point in the second frame image according to the above neighbor ratio method. If there are multiple feature points in the second frame image. If Tq <Q is satisfied, it will be eliminated. If there is only one feature point corresponding to it, then based on this feature point, the nearest neighbor ratio method is used to find the point that meets the requirements of the first frame image. If it is consistent with the previous point, it is considered to be Correct matching, otherwise, if there are multiple points matching, it will be eliminated;
步骤五:对上述特征点最后采用主方向夹角法进行提纯,将两帧图像中的特征点对应的角度进行差值,与设置的角度阈值θλ进行比较,当角度满足θ1-θ2<θλ时认为是正确匹配点,式中θ1、θ2是两帧图像中特征点匹配点间的主方向夹角,从而进一步将错误点剔除;Step 5: The above feature points are finally purified by the main direction angle method, and the difference between the angles corresponding to the feature points in the two frames of images is compared with the set angle threshold θλ . When the angle satisfies θ1 -θ2 When < θλ , it is considered to be a correct matching point, where θ1 and θ2 are the main direction angles between the matching points of the feature points in the two frames of images, so as to further eliminate the wrong points;
步骤六:重复进行步骤二至步骤五,逐帧进行帧间匹配,识别追踪特征点直至视频结束,可得到每帧图像的特征点。Step 6: Repeat steps 2 to 5, perform inter-frame matching frame by frame, identify and track feature points until the end of the video, and obtain feature points of each frame of image.
与现有技术相比,本发明的有益效果是:本发明能够快速、准确的对图像中的特征点进行识别追踪,为后续桥梁位移实时监测提供一种技术手段,特征匹配时采用三步提纯法,包括近邻比值提纯法、正反双向提纯法与主方向夹角法,逐步对特征点进行筛选,保证测量精度要求,可测量0.5mm桥梁振动位移,为实际工程应用提供技术手段支持,此方法相对于传统位移测量方法具有高效、智能、快捷、成本低的特点,为桥梁健康监测自动化提供解决途径。Compared with the prior art, the beneficial effects of the present invention are: the present invention can quickly and accurately identify and track the feature points in the image, provide a technical means for subsequent real-time monitoring of bridge displacement, and adopt three-step purification during feature matching. The method, including the neighbor ratio purification method, the positive and negative two-way purification method and the main direction angle method, gradually screen the feature points to ensure the measurement accuracy requirements, can measure the vibration displacement of 0.5mm bridges, and provide technical support for practical engineering applications. Compared with the traditional displacement measurement method, the method has the characteristics of high efficiency, intelligence, speed and low cost, and provides a solution for bridge health monitoring automation.
附图说明Description of drawings
图1是本发明实施例中桥梁视频图像采集状态参照图;1 is a reference diagram of a bridge video image collection state in an embodiment of the present invention;
图2是本发明实施例中拍摄的某一帧图像;Fig. 2 is a certain frame image taken in the embodiment of the present invention;
图3是对图2图像处理得到的靶标区域;Fig. 3 is the target area that Fig. 2 image processing obtains;
图4是本发明实施例中靶标区域初步检测到的特征点;4 is a feature point initially detected in a target area in an embodiment of the present invention;
图5是本发明实施例中靶标区域近邻比值提纯后的特征点;Fig. 5 is the feature point after the target region's neighbor ratio is purified in the embodiment of the present invention;
图6是本发明实施例中靶标区域正反双向提纯后的特征点;Fig. 6 is the feature point after the forward and reverse bidirectional purification of the target region in the embodiment of the present invention;
图7是本发明实施例中靶标区域主方向夹角提纯后的特征点。FIG. 7 is a feature point after purification of the included angle between the main directions of the target region in the embodiment of the present invention.
具体实施方式Detailed ways
下面将结合本发明实施例中的附图,对本发明中的技术方案进行清楚、完整地描述,显然,所描述的实施例仅是发明的一部分实施例,而不是全部的实施例,基于本发明中的实施例,本领域普通技术人员在没有做出创造性劳动前提下所获得的所有其他实施例,都属于本发明保护的范围。The technical solutions in the present invention will be clearly and completely described below with reference to the accompanying drawings in the embodiments of the present invention. Obviously, the described embodiments are only a part of the embodiments of the present invention, rather than all the embodiments, based on the present invention The embodiments in the present invention, all other embodiments obtained by those of ordinary skill in the art without creative work, fall within the protection scope of the present invention.
本发明公开了一种提高桥梁动位移精度的图像特征辨识方法,包括如下步骤:The invention discloses an image feature identification method for improving bridge dynamic displacement accuracy, comprising the following steps:
步骤一:桥梁视频图像采集,将带有特征的视觉靶标放置在桥梁待测位置,采用商用数码相机拍摄,将视觉靶标包含在视频内部;Step 1: Collect the video image of the bridge, place the visual target with features at the position to be measured on the bridge, shoot with a commercial digital camera, and include the visual target in the video;
步骤二:对视觉靶标图像进行特征点检测,计算图像中每个像素点的Hessian矩阵,并采用高斯函数L(x,t)=G(t)I(x,t)对矩阵行列卷积处理,通过Hessian矩阵判别式初步判断特征点,Hessian矩阵的行列式的极值处即为特征点;Step 2: Detect the feature points of the visual target image, calculate the Hessian matrix of each pixel in the image, and use the Gaussian function L(x,t)=G(t)I(x,t) to convolve the rows and columns of the matrix. , the feature points are preliminarily judged by the Hessian matrix discriminant, and the extreme value of the determinant of the Hessian matrix is the feature point;
具体判断为:当行列式的符号为正时,则该行列式的两个特征值同为正或负,所以该点可以归类为极值点,The specific judgment is: when the sign of the determinant is positive, the two eigenvalues of the determinant are both positive or negative, so the point can be classified as an extreme point,
Det(H)=LxxLyy-LxyLxyDet(H)=Lxx Lyy -Lxy Lxy
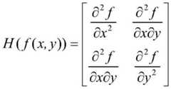
式中,f(x,y)是图像中的任一像素点,H(f(x,y))是依据点f(x,y)的计算的Hessian矩阵,是f(x,y)对x的二阶导数,是f(x,y)对x、y的二阶导数,是f(x,y)对y的二阶导数,是采用高斯卷积之后的Hessian矩阵,Lxx(X,σ)是高斯二阶微分在像素点(x,y)处与图像f(x,y)的卷积,Lxy(X,σ)是高斯二阶微分在像素点(x,y)处与图像f(x,y)的卷积,Lyy(X,σ)是高斯二阶微分在像素点(x,y)处与图像f(x,y)的卷积,是高斯函数L(x,t)=G(t)I(x,t)对x的二阶导数,是高斯函数L(x,t)=G(t)I(x,t)对x、y的二阶导数,是高斯函数L(x,t)=G(t)I(x,t)对y的二阶导数,Det(H)为Hessian矩阵判别式。In the formula, f(x,y) is any pixel in the image, H(f(x,y)) is the Hessian matrix calculated according to the point f(x,y), is the second derivative of f(x,y) with respect to x, is the second derivative of f(x,y) with respect to x and y, is the second derivative of f(x,y) to y, is the Hessian matrix after Gaussian convolution, and Lxx (X,σ) is the second-order Gaussian differential The convolution with the image f(x,y) at the pixel point (x,y), Lxy (X,σ) is the second-order Gaussian differential The convolution with the image f(x,y) at the pixel point (x,y), Lyy (X,σ) is the second-order Gaussian differential The convolution with the image f(x,y) at the pixel point (x,y), is the second derivative of the Gaussian function L(x,t)=G(t)I(x,t) to x, is the second derivative of the Gaussian function L(x,t)=G(t)I(x,t) to x and y, is the second derivative of the Gaussian function L(x,t)=G(t)I(x,t) to y, and Det(H) is the Hessian matrix discriminant.
步骤三:对初步筛选出的特征点进行特征点匹配,剔除部分错误特征点,首先采用近邻比值提纯法提纯,选定一个特征点并找到第二帧图像中与此特征点间的欧氏距离最小以及次最小的点,将最小距离与次最小距离进行比值Q,通过设定阈值Tq,满足Tq<Q的要求则认为是正确特征匹配点;Step 3: Perform feature point matching on the initially screened feature points, remove some erroneous feature points, first use the nearest neighbor ratio purification method to purify, select a feature point and find the Euclidean distance between the second frame image and this feature point For the smallest and second smallest points, the ratio of the smallest distance to the next smallest distance is Q, and by setting the threshold Tq , it is considered to be a correct feature matching point if it satisfies the requirement of Tq <Q;
Tq<QTq <Q
式中,di,j表示两帧图像中第i和j两个特征点间的欧氏距离,xi表示第一帧图像第i个特征点,xj表示相邻帧图像第j个特征点,d最小为两帧图像中计算出的两个特征点的最小距离,d次最小为两帧图像中计算出的两个特征点的次最小距离,Q为d最小与d次最小的比值,Tq为设定的阈值,一般取值0.4-0.8之间,满足Tq<Q的点作为初步确定的特征点。In the formula, di,j represents the Euclidean distance between the i-th and j-th feature points in the two frames of images, xi represents the i-th feature point of the first frame image, and xj represents the j-th feature of the adjacent frame images. point, dminimum is the minimum distance between the two feature points calculated in the two frames of images, dminimum is the second minimum distance between the two feature points calculated in the two frames of images, Q is the ratio of dminimum to dminimum , Tq is a set threshold value, generally between 0.4 and 0.8, and the point satisfying Tq <Q is used as a preliminarily determined feature point.
步骤四:由步骤二筛选出的特征点仍含有部分错误点,需要进一步进行提纯,继续采用正反双向提纯法进行提纯,具体方法为:第一帧中的一个特征点按上述近邻比值法可以找到第二帧图像中对应的特征点,如果在第二帧图像中有多个特征点均满足Tq<Q比值要求,则认为不是对应的特征点,进行剔除,如果仅有一个特征点对应,则以此特征点为基础,采用近邻比值法找寻第一帧图像满足要求的点,若与之前的点一致,则认为是正确匹配,反之,若有多个点匹配,则进行剔除,说明不是正确匹配;Step 4: The feature points screened in step 2 still contain some error points, which need to be further purified. Continue to use the forward and reverse bidirectional purification method to purify. Find the corresponding feature points in the second frame image. If there are multiple feature points in the second frame image that meet the Tq <Q ratio requirement, it is considered that it is not the corresponding feature point, and it is eliminated. If there is only one feature point corresponding to , then based on this feature point, the nearest neighbor ratio method is used to find the point that meets the requirements of the first frame image. If it is consistent with the previous point, it is considered to be a correct match. On the contrary, if there are multiple points matching, it will be eliminated. is not a correct match;
步骤五:对上述特征点最后采用主方向夹角法进行提纯,具体方法为:将两帧图像中的特征点对应的角度进行差值,与设置的角度阈值θλ进行比较,当角度满足|θ1-θ2|<θλ时认为是正确匹配点,式中θ1、θ2是两帧图像中特征点匹配点间的主方向夹角,阈值的选取通过求解两帧图像中所有特征点旋转角度的平均值求得,从而可进一步将错误点剔除,剩下的即是匹配度较高的特征点;Step 5: Finally, the main direction angle method is used to purify the above feature points. The specific method is as follows: the difference between the angles corresponding to the feature points in the two frames of images is compared with the set angle threshold θλ . When the angle satisfies | When θ1 -θ2 | < θλ , it is considered to be a correct matching point, where θ1 and θ2 are the main direction angles between the matching points of the feature points in the two frames of images, and the threshold is selected by solving all the features in the two frames of images. The average value of the point rotation angle is obtained, so that the wrong points can be further eliminated, and the remaining feature points are the feature points with high matching degree;
步骤六:重复进行步骤二至步骤五,逐帧进行帧间匹配,识别追踪特征点直至视频结束,可得到每帧图像的特征点。Step 6: Repeat steps 2 to 5, perform inter-frame matching frame by frame, identify and track feature points until the end of the video, and obtain feature points of each frame of image.
实施例:Example:
步骤一:对一实验室桥梁结构进行试验,如图1所示识别靶标放置在桥面板处,对此进行振动视频拍摄,本次实验拍摄时长10s,如图2所示为视频中拍摄的某一帧图像,对靶标所在小区域进行处理,如图3所示;Step 1: Experiment on a laboratory bridge structure. As shown in Figure 1, the identification target is placed on the bridge deck, and a vibration video is shot for this. The shooting time of this experiment is 10s. One frame of image, process the small area where the target is located, as shown in Figure 3;
步骤二:通过程序调用函数可实现Hessian的算法代码编程,算法中可进行所有像素点的坐标转化,初步检测到的特征点如图4所示;Step 2: Hessian's algorithm code programming can be realized through the program calling function, and the coordinate transformation of all pixel points can be carried out in the algorithm, and the initially detected feature points are shown in Figure 4;
步骤三:对图像中识别到的点进行欧式距离计算,设定阈值Tq=0.5,通过筛选可得到如图5所示;Step 3: Perform Euclidean distance calculation on the points identified in the image, set the threshold Tq = 0.5, and obtain through screening as shown in Figure 5;
步骤四:计算第二帧图像中特征点与第一帧图像中的欧式距离,同样设定设定阈值Tq=0.5,正反双向均满足要求的点进行保留,结果如图6所示;Step 4: Calculate the Euclidean distance between the feature points in the second frame image and the first frame image, also set the threshold Tq =0.5, and keep the points that meet the requirements in both forward and reverse directions, and the result is shown in Figure 6;
步骤五:计算特征点的方向角度,第一帧特征点记为θ1,第二帧特征点记为θ2,计算所有特征点角度变化平均值θλ,对满足|θ1-θ2|<θλ的点进行保留,结果如图7所示。Step 5: Calculate the direction angle of the feature points, the first frame feature point is marked as θ1 , the second frame feature point is marked as θ2 , calculate the average value θλ of the angle change of all feature points, and satisfy |θ1 -θ2 | The points < θλ are retained, and the results are shown in Figure 7.
对于本领域技术人员而言,显然本发明不限于上述示范性实施例的细节,而且在不背离本发明的精神或基本特征的情况下,能够以其他的装体形式实现本发明。因此,无论从哪一点来看,均应将实施例看作是示范性的,而且是非限制性的,本发明的范围由所附权利要求而不是上述说明限定,因此旨在将落在权利要求的等同条件的含义和范围内的所有变化囊括在本发明内。不应将权利要求中的任何附图标记视为限制所涉及的权利要求。It will be apparent to those skilled in the art that the present invention is not limited to the details of the above-described exemplary embodiments, but that the present invention may be implemented in other packaging forms without departing from the spirit or essential characteristics of the present invention. Therefore, the embodiments are to be regarded in all respects as illustrative and not restrictive, and the scope of the invention is to be defined by the appended claims rather than the foregoing description, which are therefore intended to fall within the scope of the claims. All changes within the meaning and range of the equivalents of , are embraced within the invention. Any reference signs in the claims shall not be construed as limiting the involved claim.
此外,应当理解,虽然本说明书按照实施方式加以描述,但并非每个实施方式仅包含一个独立的技术方案,说明书的这种叙述方式仅仅是为清楚起见,本领域技术人员应当将说明书作为一个整体,各实施例中的技术方案也可以经适当组合,形成本领域技术人员可以理解的其他实施方式。In addition, it should be understood that although this specification is described in terms of embodiments, not each embodiment only includes an independent technical solution, and this description in the specification is only for the sake of clarity, and those skilled in the art should take the specification as a whole , the technical solutions in each embodiment can also be appropriately combined to form other implementations that can be understood by those skilled in the art.
| Application Number | Priority Date | Filing Date | Title |
|---|---|---|---|
| CN202010627632.6ACN111783672A (en) | 2020-07-01 | 2020-07-01 | An Image Feature Recognition Method to Improve Bridge Dynamic Displacement Accuracy |
| Application Number | Priority Date | Filing Date | Title |
|---|---|---|---|
| CN202010627632.6ACN111783672A (en) | 2020-07-01 | 2020-07-01 | An Image Feature Recognition Method to Improve Bridge Dynamic Displacement Accuracy |
| Publication Number | Publication Date |
|---|---|
| CN111783672Atrue CN111783672A (en) | 2020-10-16 |
| Application Number | Title | Priority Date | Filing Date |
|---|---|---|---|
| CN202010627632.6APendingCN111783672A (en) | 2020-07-01 | 2020-07-01 | An Image Feature Recognition Method to Improve Bridge Dynamic Displacement Accuracy |
| Country | Link |
|---|---|
| CN (1) | CN111783672A (en) |
| Publication number | Priority date | Publication date | Assignee | Title |
|---|---|---|---|---|
| CN112489043A (en)* | 2020-12-21 | 2021-03-12 | 无锡祥生医疗科技股份有限公司 | Heart disease detection device, model training method, and storage medium |
| CN113076883A (en)* | 2021-04-08 | 2021-07-06 | 西南石油大学 | Blowout gas flow velocity measuring method based on image feature recognition |
| CN113902936A (en)* | 2021-10-20 | 2022-01-07 | 沈阳航空航天大学 | A Stereo Vision Matching Method for Engine Nozzles Under Double Constraints |
| CN114184127A (en)* | 2021-12-13 | 2022-03-15 | 哈尔滨工业大学 | A method for global displacement monitoring of buildings based on single camera without target |
| Publication number | Priority date | Publication date | Assignee | Title |
|---|---|---|---|---|
| CN106534616A (en)* | 2016-10-17 | 2017-03-22 | 北京理工大学珠海学院 | Video image stabilization method and system based on feature matching and motion compensation |
| JP6120037B1 (en)* | 2016-11-30 | 2017-04-26 | 国際航業株式会社 | Inspection device and inspection method |
| CN108037132A (en)* | 2017-12-25 | 2018-05-15 | 华南理工大学 | A kind of visual sensor system and method for the detection of dry cell pulp layer paper winding defect |
| Publication number | Priority date | Publication date | Assignee | Title |
|---|---|---|---|---|
| CN106534616A (en)* | 2016-10-17 | 2017-03-22 | 北京理工大学珠海学院 | Video image stabilization method and system based on feature matching and motion compensation |
| JP6120037B1 (en)* | 2016-11-30 | 2017-04-26 | 国際航業株式会社 | Inspection device and inspection method |
| CN108037132A (en)* | 2017-12-25 | 2018-05-15 | 华南理工大学 | A kind of visual sensor system and method for the detection of dry cell pulp layer paper winding defect |
| Title |
|---|
| SHUAI SHAO 等: "Experiment of Structural Geometric Morphology Monitoring for Bridges Using Holographic Visual Sensor", 《SENSORS》* |
| 黄建坤: "基于图像序列的桥梁形变位移测量方法", 《中国优秀硕士学位论文全文数据库工程科技Ⅱ辑》* |
| Publication number | Priority date | Publication date | Assignee | Title |
|---|---|---|---|---|
| CN112489043A (en)* | 2020-12-21 | 2021-03-12 | 无锡祥生医疗科技股份有限公司 | Heart disease detection device, model training method, and storage medium |
| CN113076883A (en)* | 2021-04-08 | 2021-07-06 | 西南石油大学 | Blowout gas flow velocity measuring method based on image feature recognition |
| CN113902936A (en)* | 2021-10-20 | 2022-01-07 | 沈阳航空航天大学 | A Stereo Vision Matching Method for Engine Nozzles Under Double Constraints |
| CN114184127A (en)* | 2021-12-13 | 2022-03-15 | 哈尔滨工业大学 | A method for global displacement monitoring of buildings based on single camera without target |
| CN114184127B (en)* | 2021-12-13 | 2022-10-25 | 哈尔滨工业大学 | Single-camera target-free building global displacement monitoring method |
| Publication | Publication Date | Title |
|---|---|---|
| CN111783672A (en) | An Image Feature Recognition Method to Improve Bridge Dynamic Displacement Accuracy | |
| CN104599249B (en) | Cableway platform bridge floor car load is distributed real-time detection method | |
| CN107025432B (en) | A kind of efficient lane detection tracking and system | |
| CN103593678B (en) | A kind of long-span bridge vehicle dynamic load distribution detection method | |
| CN101387493B (en) | Non-contact photoelectric detection method for shape, position and size of iron tower component holes | |
| CN104575003B (en) | A kind of vehicle speed detection method based on traffic surveillance videos | |
| CN111340855A (en) | Road moving target detection method based on track prediction | |
| CN103150908B (en) | Average vehicle speed detecting method based on video | |
| CN106203334A (en) | A method for flame detection in indoor scenes | |
| CN106327502A (en) | Multi-scene multi-target recognition and tracking method in security video | |
| CN115457277A (en) | A method and system for intelligent pavement disease identification and detection | |
| CN114529839A (en) | Unmanned aerial vehicle routing inspection-oriented power transmission line hardware anomaly detection method and system | |
| CN108052887A (en) | A kind of doubtful illegal land automatic recognition system and method for merging SLAM/GNSS information | |
| CN114694125B (en) | Data processing method for track foreign matter identification | |
| CN111986226A (en) | Target track abnormity detection method | |
| CN110733416A (en) | lane departure early warning method based on inverse perspective transformation | |
| CN107527356B (en) | A Video Tracking Method Based on Lazy Interaction | |
| CN112686204A (en) | Video flow measurement method and device based on sparse pixel point tracking | |
| CN112950562A (en) | Fastener detection algorithm based on line structured light | |
| CN103605960B (en) | A kind of method for identifying traffic status merged based on different focal video image | |
| CN111582270A (en) | Identification tracking method based on high-precision bridge region visual target feature points | |
| CN105740828B (en) | A Stop Line Detection Method Based on Fast Mark Connectivity | |
| CN114140494B (en) | Single-target tracking system and method in complex scene, electronic equipment and storage medium | |
| CN110942026A (en) | Capsule robot drain pipe disease detection method and system based on deep learning | |
| CN113570877A (en) | A non-motor vehicle retrograde detection device and detection method |
| Date | Code | Title | Description |
|---|---|---|---|
| PB01 | Publication | ||
| PB01 | Publication | ||
| SE01 | Entry into force of request for substantive examination | ||
| SE01 | Entry into force of request for substantive examination | ||
| RJ01 | Rejection of invention patent application after publication | Application publication date:20201016 | |
| RJ01 | Rejection of invention patent application after publication |