



技术领域technical field
本发明属于航天器飞行控制领域,特别涉及一种基于聚类分析的可回收火箭返回段自适应优化方法。The invention belongs to the field of spacecraft flight control, in particular to an adaptive optimization method for the return segment of a recoverable rocket based on cluster analysis.
背景技术Background technique
近年来,随着商业航天时代的到来,可回收运载火箭垂直起降技术已成为国际航天领域的研究热点。目前,垂直起降技术已成为一种可行的、最具前景的可回收运载火箭的技术,其极大地降低了航天器发射任务的成本。而整个运载火箭一子级返回段(后文简称返回段)的最优轨迹设计作为垂直起降的核心关键技术,是一个系统性、整体性的轨迹优化问题,各种复杂约束和设计变量之间存在相互耦合、交联关系,并且对着陆精度要求非常高。In recent years, with the advent of the era of commercial spaceflight, the vertical take-off and landing technology of retrievable launch vehicles has become a research hotspot in the field of international spaceflight. At present, vertical take-off and landing technology has become a feasible and most promising technology for recoverable launch vehicles, which greatly reduces the cost of spacecraft launch missions. As the core key technology of vertical take-off and landing, the optimal trajectory design of the first sub-stage return section of the entire launch vehicle (hereinafter referred to as the return section) is a systematic and holistic trajectory optimization problem. There is a mutual coupling and cross-linking relationship between them, and the requirements for landing accuracy are very high.
返回段是整个探测器轨道设计和火箭总体设计的重要依据,其包括多个飞行段,再入速度大,返回过程较为复杂,航程和速度跨度大、飞行环境变化明显、各种因素扰动因素强。返回段轨迹优化不仅要保证末端高精度稳定着陆,还需要综合考虑各飞行段动压、过载、热流密度、发动机性能以及末端着陆位置、速度、姿态等约束,因此对于这样多飞行段下的高维约束和设计变量的非线性问题有必要展开相关研究。对于此类系统性、整体性的轨迹优化问题需要在统一的模型下联立考虑、同时满足,而不应该单段处理。总之,多阶段同步规划是未来研究的一个关键方向。近年来,国内外许多学者针对可回收运载火箭返回段优化问题分别都提出了自己的优化设计方法,但大多存在以下问题之一:The return segment is an important basis for the orbital design of the entire probe and the overall design of the rocket. It includes multiple flight segments. The reentry speed is high, the return process is complicated, the range and speed span are large, the flight environment changes significantly, and various factors are strong disturbance factors. . The trajectory optimization of the return segment must not only ensure high-precision and stable landing at the terminal, but also comprehensively consider the dynamic pressure, overload, heat flux density, engine performance, and terminal landing position, speed, attitude and other constraints of each flight segment. It is necessary to carry out related research on the nonlinear problems of dimensional constraints and design variables. Such systematic and holistic trajectory optimization problems need to be considered and satisfied simultaneously under a unified model, and should not be dealt with in a single segment. In conclusion, multi-stage synchronous planning is a key direction for future research. In recent years, many scholars at home and abroad have proposed their own optimization design methods for the optimization of the return segment of recoverable launch vehicles, but most of them have one of the following problems:
(1)模型较为理想化,不符合运载火箭一子级整个返回轨迹的实际飞行情况;(1) The model is more idealized and does not conform to the actual flight conditions of the entire return trajectory of the first sub-stage of the launch vehicle;
(2)研究主要集中在垂直着陆段这一单个飞行段;(2) The research mainly focuses on the single flight segment of the vertical landing segment;
(3)一子级飞行时间较短,考虑的设计变量和约束变量较少,调整能力有限,无法满足整个返回多飞行段最优轨迹的需要;(3) The flight time of the first sub-stage is short, the design variables and constraint variables are considered less, and the adjustment ability is limited, which cannot meet the needs of returning to the optimal trajectory of multiple flight segments;
(4)针对不同的返回任务或者不同的飞行段需要对优化问题结合相关算法进行重新构造,推导过程较为复杂,计算也比较繁琐;(4) For different return tasks or different flight segments, it is necessary to reconstruct the optimization problem combined with the relevant algorithms, the derivation process is more complicated, and the calculation is more complicated;
(5)不能实现返回轨迹的自适应优化与算法的自动分配。(5) The self-adaptive optimization of the return trajectory and the automatic allocation of the algorithm cannot be realized.
在高维参数空间(复杂约束和设计变量构成的参数空间)、高动态下,传统的优化方法无论从精度、效率、最优性、适应性等角度均已无法满足要求,很容易出现不收敛的情况,因此有必要发展更加精准、适用性更强的自适应轨迹优化方法。In high-dimensional parameter space (parameter space composed of complex constraints and design variables) and high dynamics, traditional optimization methods can no longer meet the requirements in terms of accuracy, efficiency, optimality, adaptability, etc., and it is easy to appear non-convergence. Therefore, it is necessary to develop a more accurate and more applicable adaptive trajectory optimization method.
发明内容SUMMARY OF THE INVENTION
本发明的目的在于,针对传统的优化方法无法从精度、效率、最优性、适应性等角度满足可回收火箭返回段优化问题的不足,提供一种基于聚类分析的可回收火箭返回段自适应优化方法,能有效地处理复杂的着陆约束问题,具有较高的精度、收敛性和计算效率,降低了返回段优化问题参数空间的维度和复杂度,具有良好的自适应性和拓展性。The purpose of the present invention is to provide a method based on cluster analysis for the return section of a recoverable rocket to solve the problem that the traditional optimization method cannot satisfy the optimization problem of the return section of the recoverable rocket from the perspectives of accuracy, efficiency, optimality, adaptability, etc. The adaptive optimization method can effectively deal with complex landing constraints, has high accuracy, convergence and computational efficiency, reduces the dimension and complexity of the parameter space of the optimization problem in the return segment, and has good adaptability and scalability.
为解决上述技术问题,本发明所采用的技术方案是:For solving the above-mentioned technical problems, the technical scheme adopted in the present invention is:
一种基于聚类分析的可回收火箭返回段自适应优化方法,包括:An adaptive optimization method for the return segment of a recoverable rocket based on cluster analysis, comprising:
步骤1,建立一子级返回段的返回轨迹优化问题模型;所述优化问题模型中包括返回段的飞行段划分信息、设计变量信息和约束变量信息;其中约束变量信息包括设计变量约束信息、过程约束变量信息和末端约束变量信息;Step 1, establish a return trajectory optimization problem model of a sub-level return segment; the optimization problem model includes the flight segment division information, design variable information and constraint variable information of the return segment; wherein the constraint variable information includes design variable constraint information, process Constraint variable information and end constraint variable information;
其特点是还包括以下步骤:It also features the following steps:
步骤2,求解出末端约束变量相对于设计变量的状态转移矩阵;
步骤3,利用聚类算法将所述状态转移矩阵中的数据元素进行敏感度划分,根据设计需求从所述状态转移矩阵中识别划分出敏感度较高的数据元素形成初步降维后的状态转移矩阵M;Step 3: Use a clustering algorithm to perform sensitivity division on the data elements in the state transition matrix, and identify and divide data elements with higher sensitivity from the state transition matrix according to design requirements to form a state transition after preliminary dimensionality reduction. matrix M;
步骤4,根据设定的线性度准则,从M中筛选线性的约束变量、线性的设计变量以及对应的线性状态转移矩阵,从M中筛选非线性的约束变量、非线性的设计变量;Step 4, according to the set linearity criterion, filter linear constraint variables, linear design variables and corresponding linear state transition matrices from M, and filter nonlinear constraint variables and nonlinear design variables from M;
步骤5,针对线性的约束变量、线性的设计变量以及对应的线性状态转移矩阵,利用线性搜索算法求得最优的设计变量值;针对非线性的约束变量、非线性的设计变量,利用非线性优化方法中的直接优化方法求得最优的设计变量值。Step 5: For linear constraint variables, linear design variables and corresponding linear state transition matrices, use a linear search algorithm to obtain optimal design variable values; for nonlinear constraint variables and nonlinear design variables, use nonlinear The direct optimization method in the optimization method obtains the optimal design variable values.
作为一种优选方式,所述步骤1包括以下步骤:As a preferred way, the step 1 includes the following steps:
步骤11,将返回段分为调姿段、动力减速段、大气再入段和垂直着陆段四个飞行段;Step 11: Divide the return segment into four flight segments: the attitude adjustment segment, the power deceleration segment, the atmospheric reentry segment and the vertical landing segment;
步骤12,建立一子级返回轨迹的三自由度动力学方程;Step 12, establishing a three-degree-of-freedom dynamic equation of a sub-level return trajectory;
步骤13,确定一子级轨迹优化的目标函数、设计变量信息和约束变量信息。Step 13: Determine the objective function, design variable information and constraint variable information of the first-level trajectory optimization.
作为一种优选方式,所述步骤12中建立的三自由度动力学方程为:As a preferred way, the three-degree-of-freedom dynamic equation established in the step 12 is:
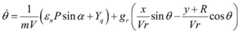
其中,x、y、z分别为一子级在发射坐标系x向、y向、z向的坐标;V是一子级的速度值;θ是一子级的速度倾角;σ是一子级的偏航角;m为一子级当前质量;分别为x、y、z、V、θ、σ、m的变化率;R为地球半径;r为地心距;P为一子级上发动机的额定推力;εn为变推力因子且0≤εn≤1,n=0时εn为动力减速段的变推力因子,n=1时εn为垂直着陆段的变推力因子;Isp为发动机比冲;g0为海平面重力加速度;gr=-μ/r2,μ为地球引力常数;α为一子级的攻角;β为一子级的侧滑角;Xq、Yq、Zq分别为一子级在速度坐标系x向、y向、z向下的气动力分量。Among them, x, y, z are the coordinates of a sub-stage in the x, y, and z directions of the emission coordinate system; V is the velocity value of a sub-stage; θ is the velocity inclination of a sub-stage; σ is a sub-stage yaw angle of ; m is the current quality of a sub-class; are the rate of change of x, y, z, V, θ, σ, m respectively; R is the radius of the earth; r is the distance from the center of the earth; P is the rated thrust of the engine on a sub-stage; εn is the variable thrust factor and 0≤ εn ≤ 1, when n=0, εn is the variable thrust factor of the power deceleration stage, and when n=1, εn is the variable thrust factor of the vertical landing segment; Isp is the engine specific impulse; g0 is the sea-level gravitational acceleration; gr =-μ/r2 , μ is the gravitational constant of the earth; α is the angle of attack of a child; β is the sideslip angle of a child; Xq , Yq , Zq are the velocity coordinates of a child respectively It is the aerodynamic component in the x-direction, y-direction, and z-downward.
作为一种优选方式,所述步骤13中确定的目标函数用下式表示:minJ=-m(tf),其中,J为目标函数,tf为着陆时刻,m(tf)为一子级在着陆时刻的质量。As a preferred way, the objective function determined in the step 13 is represented by the following formula: minJ=-m(tf ), wherein J is the objective function, tf is the landing time, and m(tf ) is a sub the mass of the stage at the moment of landing.
作为一种优选方式,所述步骤13中确定的设计变量信息为:As a preferred way, the design variable information determined in the step 13 is:
Xs=[t1 t2 t3 t4 α1 α2 β1 β2 ε1 ε2]T,Xs =[t1 t2 t3 t4 α1 α2 β1 β2 ε1 ε2 ]T ,
其中,Xs为设计变量构成的矩阵,t1为一子级在调姿段的滑行时间,t2为一子级在动力减速段的飞行时间,t3为一子级在大气再入段的飞行时间,t4为一子级在垂直着陆段的飞行时间,α1为一子级在动力减速段的攻角,α2为一子级在垂直着陆段的攻角,β1为一子级在动力减速段的侧滑角,β2为一子级在垂直着陆段的侧滑角,ε1为一子级在动力减速段的发动机推力因子,ε2为一子级在垂直着陆段的发动机推力因子。Among them, Xs is a matrix composed of design variables, t1 is the taxiing time of a sub-stage in the attitude adjustment section, t2 is the flight time of a sub-stage in the power deceleration section, and t3 is a sub-stage in the atmospheric re-entry section. t4 is the flight time of a sub-stage in the vertical landing section, α1 is the attack angle of a sub-stage in the power deceleration section, α2 is the attack angle of a sub-stage in the vertical landing section, and β1 is a The sideslip angle of the child in the power deceleration section, β2 is the sideslip angle of a child in the vertical landing section, ε1 is the engine thrust factor of a child in the power deceleration section, and ε2 is the vertical landing of a child segment engine thrust factor.
作为一种优选方式,所述设计变量约束信息包括攻角约束信息、侧滑角约束信息、以及发动机推力约束信息。As a preferred manner, the design variable constraint information includes attack angle constraint information, sideslip angle constraint information, and engine thrust constraint information.
作为一种优选方式,所述过程约束变量信息包括动压限制条件、过载限制条件、相连两动力段发动机关开机点火时间间隔条件、一子级在末端着陆质量限制条件中的一种多多种。As a preferred manner, the process constraint variable information includes one or more of dynamic pressure limitation conditions, overload limitation conditions, engine shutdown and ignition time interval conditions of two connected power stages, and terminal landing mass limitation conditions of a sub-stage.
作为一种优选方式,所述末端约束变量信息包括:在设定的精度范围内,一子级着陆时的位置达到指定位置、一子级着陆时的速度达到指定速度,且一子级着陆时姿态垂直。As a preferred manner, the terminal constraint variable information includes: within the set accuracy range, the position of the first sub-stage when landing reaches the specified position, the speed of the first sub-stage landing reaches the specified speed, and the first sub-stage landing time reaches the specified speed, and the first sub-stage landing The posture is vertical.
作为一种优选方式,所述步骤3中,采用K-means聚类算法将所述状态转移矩阵中的数据元素进行敏感度划分。As a preferred manner, in the step 3, K-means clustering algorithm is used to divide the sensitivity of the data elements in the state transition matrix.
作为一种优选方式,执行K-means聚类算法时,根据一子级返回任务模型的数据经验初始化聚类中心。As a preferred manner, when the K-means clustering algorithm is executed, the cluster center is initialized according to the data experience of the first-level return task model.
与现有技术相比,本发明能有效地处理复杂的着陆约束问题,具有较高的精度、收敛性和计算效率,降低了返回段优化问题参数空间的维度和复杂度,具有良好的自适应性和拓展性。Compared with the prior art, the present invention can effectively deal with the complex landing constraint problem, has high precision, convergence and calculation efficiency, reduces the dimension and complexity of the parameter space of the optimization problem in the return segment, and has good self-adaptation. sex and expandability.
附图说明Description of drawings
图1为返回段飞行剖面图。Figure 1 is a flight sectional view of the return segment.
图2为本发明流程图。Figure 2 is a flow chart of the present invention.
图3为优化迭代过程曲线图。Figure 3 is a graph of the optimization iterative process.
图4为主要参数的剖面对比图。Figure 4 is a cross-sectional comparison diagram of the main parameters.
具体实施方式Detailed ways
本发明方法的整体技术思路如下:The overall technical idea of the method of the present invention is as follows:
首先,建立了返回多飞行段、多约束、多变量的问题模型。然后通过参数特性分析提出自适应优化算法:求解出末端约束变量相对于设计变量的高维参数空间状态转移矩阵,其描述了末端约束变量相对于设计变量摄动的敏感度;通过K-means聚类算法将状态转移矩阵中的数据元素进行敏感度划分,并根据设定的线性度准则筛选出线性约束变量、线性设计变量以及线性状态转移矩阵,筛选出非线性的约束变量和设计变量;最后根据不同参数的线性和非线性特性自动分配不同的优化算法。First, a problem model with multiple flight segments, multiple constraints, and multiple variables is established. Then, an adaptive optimization algorithm is proposed through the analysis of parameter characteristics: the high-dimensional parameter space state transition matrix of the terminal constraint variables relative to the design variables is solved, which describes the sensitivity of the terminal constraint variables relative to the design variables perturbation; The class algorithm divides the sensitivity of the data elements in the state transition matrix, and filters out linear constraint variables, linear design variables and linear state transition matrix according to the set linearity criterion, and filters out nonlinear constraint variables and design variables; Different optimization algorithms are automatically assigned according to the linear and nonlinear characteristics of different parameters.
以下结合附图详细介绍本发明:The present invention is described in detail below in conjunction with the accompanying drawings:
1返回多飞行段模型的建立1 Return to the establishment of the multi-flight segment model
建立了一子级返回多飞行段的划分模型、返回轨迹动力学模型以及多变量多约束下的优化问题模型。The division model of one-stage return multi-flight segment, the dynamic model of return trajectory and the optimization problem model under multi-variable and multi-constraint are established.
1.1一子级返回多飞行段划分1.1 One-child return multi-flight segment division
本发明所研究的轨迹优化问题仅针对运载火箭一子级的回收过程,因此不考虑上升段。一子级返回回收包括返回原场和不返回原场两种方式,本发明研究不返回原场的回收方式。典型的不返回原场的一子级在完成上升段飞行后,其返回过程中通常经历调姿段、高空再入段、动力减速段、大气再入段、垂直着陆段等多个飞行段。对于不同的飞行任务,返回段划分也有所不同。考虑到调姿段、滑行段基本上均处于稠密大气层外,可以忽略气动影响,而调姿段也是无动力滑行,依靠反推力控制系统进行调姿,因此这两个飞行段均只受引力影响。本发明返回段划分模型进行简化,将返回段分为调姿段、动力减速段、大气再入段和垂直着陆段四个飞行段。返回段飞行剖面图如图1所示。The trajectory optimization problem studied in the present invention is only for the recovery process of the first sub-stage of the launch vehicle, so the ascending section is not considered. A sub-level return recovery includes two ways of returning to the original field and not returning to the original field. The present invention studies the recovery method that does not return to the original field. A typical sub-stage that does not return to the original field usually undergoes multiple flight segments such as the attitude adjustment segment, the high-altitude re-entry segment, the power deceleration segment, the atmospheric re-entry segment, and the vertical landing segment during the return process after completing the ascent segment flight. For different flight missions, the return segment division is also different. Considering that the attitude adjustment section and the taxiing section are basically outside the dense atmosphere, the aerodynamic influence can be ignored, and the attitude adjustment section is also unpowered taxiing and relies on the reverse thrust control system for attitude adjustment, so these two flight sections are only affected by gravity. . The return segment division model of the present invention is simplified, and the return segment is divided into four flight segments: an attitude adjustment segment, a power deceleration segment, an atmospheric reentry segment and a vertical landing segment. The flight profile of the return segment is shown in Figure 1.
1.2动力学模型的建立1.2 Establishment of the dynamic model
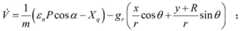
在研究运载火箭一子级返回过程的质心运动时,不考其姿态的控制调整过程与地球的自转运动,推导了一子级返回轨迹的三自由度动力学方程,用如下的微分方程组表示:When studying the movement of the center of mass in the return process of the first sub-stage of the launch vehicle, without considering the control and adjustment process of its attitude and the rotation of the earth, the three-degree-of-freedom dynamic equation of the return trajectory of the first sub-stage is deduced, which is expressed by the following differential equations :
其中,x、y、z分别为一子级在发射坐标系x向、y向、z向的坐标;V是一子级的速度值;θ是一子级的速度倾角;σ是一子级的偏航角;m为一子级当前质量;分别为x、y、z、V、θ、σ、m的变化率;R为地球半径;r为地心距;P为一子级上发动机的额定推力;εn为返回段第n次有动力飞行段(这里的有动力指的是发动机提供的推力,动力减速段是第一次有动力的飞行段,垂直着陆段是第二次有动力的飞行段,另外两个飞行段无动力)且0≤εn≤1,n=0时εn为动力减速段的变推力因子,n=1时εn为垂直着陆段的变推力因子;Isp为发动机比冲;g0为海平面重力加速度;gr=-μ/r2,μ为地球引力常数;α为一子级的攻角;β为一子级的侧滑角;Xq、Yq、Zq分别为一子级在速度坐标系x向、y向、z向下的气动力分量。Among them, x, y, z are the coordinates of a sub-stage in the x, y, and z directions of the emission coordinate system; V is the velocity value of a sub-stage; θ is the velocity inclination of a sub-stage; σ is a sub-stage yaw angle of ; m is the current quality of a sub-class; are the rate of change of x, y, z, V, θ, σ, m respectively; R is the radius of the earth;r is the distance from the center of the earth; P is the rated thrust of the engine on a sub-stage; Powered flight segment (powered here refers to the thrust provided by the engine, the powered deceleration segment is the first powered flight segment, the vertical landing segment is the second powered flight segment, and the other two flight segments are unpowered) And 0≤εn ≤1, whenn =0, εn is the variable thrust factor of the power deceleration segment, and whenn =1, εnis the variable thrust factor of the vertical landing segment;Isp is the engine specific impulse; g0 is the sea level Gravitational acceleration; gr =-μ/r2 , μ is the gravitational constant of the earth; α is the angle of attack of a sub-level; β is the sideslip angle of a sub-level; Xq , Yq , Zq are respectively a sub-level Aerodynamic components in the x, y, and z directions of the velocity coordinate system.
Xq、Yq、Zq定义如下:Xq , Yq , Zq are defined as follows:
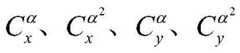
式中,SM为运载火箭一子级特征参考面积(为常数);ρ为地球当地大气密度,ρ0为海平面大气密度,h0为参考高度(为常数);Cx、Cy、Cz分别为阻力、升力和侧力系数,且Cz=-Cy,定义如下:In the formula, SM is the characteristic reference area of the first sub-stage of the launch vehicle (constant); ρ is the local atmospheric density of the earth, ρ0 is the air density at sea level, h0 is the reference height (which is a constant); Cx , Cy , and Cz are drag, lift and lateral force coefficients, respectively, and Cz = -Cy , defined as follows:
式中,Cx0、为常数。In the formula, Cx0 , is a constant.
1.3优化问题描述1.3 Optimization problem description
一子级返回段轨迹优化是指以燃料消耗最少为目标,调节各个设计变量使飞行器满足飞行过程约束并软着陆于设定的着陆点。The trajectory optimization of the first-level return segment refers to the goal of minimum fuel consumption, adjusting various design variables to make the aircraft meet the flight process constraints and land softly at the set landing point.
1.3.1目标函数1.3.1 Objective function
为使运载火箭运载能力最佳并有足够的燃料用于制导修正机动,一子级返回段全过程的性能指标为燃料消耗最少,即末端着陆质量最大,所以轨迹优化的目标函数为In order to make the carrier rocket carry the best carrying capacity and have enough fuel for the guidance and correction maneuver, the performance index of the whole process of the first-stage return segment is the least fuel consumption, that is, the maximum landing mass at the end, so the objective function of trajectory optimization is:
minJ=-m(tf) (4)minJ=-m(tf ) (4)
其中,J为目标函数,tf为着陆时刻,m(tf)为一子级在着陆时刻的质量。Among them, J is the objective function, tf is the landing moment, and m(tf ) is the mass of a sub-stage at the landing moment.
1.3.2设计变量1.3.2 Design variables
各个飞行段的设计变量:Design variables for each flight segment:
调姿段:无动力滑行,依靠反推力控制系统将攻角调至0°,以满足发动机的点火姿态要求,设计变量为:滑行时间t1。Attitude adjustment section: no power taxiing, relying on the reverse thrust control system to adjust the angle of attack to 0° to meet the ignition attitude requirements of the engine, the design variable is: taxiing time t1 .
动力减速段:开启发动机进行减速,降低再入大气速度,同时控制攻角和侧滑角,主要设计变量为:飞行时间t2、发动机推力因子ε1、攻角α1、侧滑角β1。Power deceleration section: turn on the engine to decelerate, reduce the re-entry velocity, and control the angle of attack and sideslip angle at the same time. The main design variables are: flight time t2 , engine thrust factor ε1 , angle of attack α1 , and sideslip angle β1 .
大气再入段:该阶段按照0°攻角设计飞行,完全采用气动减速,设计变量为:飞行时间t3。Atmospheric re-entry stage: This stage is designed to fly according to the 0° angle of attack, completely using aerodynamic deceleration, and the design variable is: flight time t3 .
垂直着陆段:发动机二次点火开启发动机进行减速,至一子级着陆,主要设计变量为:飞行时间t4、发动机推力因子ε2、攻角α2、侧滑角β2。Vertical landing stage: the engine is re-ignited to start the engine to decelerate, and the main design variables are: flight time t4 , engine thrust factor ε2 , angle of attack α2 , and sideslip angle β2 .
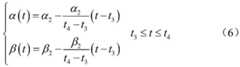
各个飞行段的飞行时间以及动力减速段和垂直着陆段的推力系数可以通过直接优化得到。动力减速段和垂直着陆段的攻角和侧滑角通过设计离散点进行优化,在离散点之间,攻角和侧滑角可以通过线性插值方法得到。动力减速段的攻角和侧滑角程序表达式为:The flight time of each flight segment and the thrust coefficient of the power deceleration segment and the vertical landing segment can be obtained by direct optimization. The angle of attack and sideslip angle of the power deceleration section and the vertical landing section are optimized by designing discrete points, and between the discrete points, the angle of attack and sideslip angle can be obtained by a linear interpolation method. The program expressions of the attack angle and sideslip angle of the power deceleration section are:
垂直着陆段的攻角和侧滑角程序表达式为:The program expressions of the angle of attack and sideslip angle of the vertical landing segment are:
根据设计的飞行程序,选择如下变量作为设计变量:According to the designed flight procedure, the following variables are selected as design variables:
Xs=[t1 t2 t3 t4 α1 α2 β1 β2 ε1 ε2]T (7)Xs =[t1 t2 t3 t4 α1 α2 β1 β2 ε1 ε2 ]T (7)
1.3.3约束条件1.3.3 Constraints
一子级在返回过程中会受到各种复杂约束条件的限制,主要包括设计变量约束,过程约束和精确着陆约束。A child will be restricted by various complex constraints during the return process, mainly including design variable constraints, process constraints and precision landing constraints.
(1)控制约束(1) Control constraints
控制约束主要包括攻角、侧滑角以及发动机推力约束。Control constraints mainly include angle of attack, sideslip angle and engine thrust constraints.
式中,p=1,2,3,4分别表示调姿段、动力下降段、大气再入段和垂直着陆段。分别为各个飞行段的攻角、侧滑角和推力的最小和最大值。是时间变量,分别为各个飞行段的开始时间和终端时间。表示在时间区间具有连续的一阶导数。In the formula, p=1, 2, 3, and 4 represent the attitude adjustment segment, the power descent segment, the atmospheric reentry segment and the vertical landing segment, respectively. are the minimum and maximum values of the angle of attack, sideslip angle and thrust of each flight segment, respectively. is the time variable, are the start time and terminal time of each flight segment, respectively. expressed in the time interval has a continuous first derivative.
(2)过程约束(2) Process constraints
返回过程需要考虑动压和过载的限制。The return process needs to consider the limitations of dynamic pressure and overload.
式中,是速度系下的推力分量;nmax为箭体能够承受的最大过载;qmax为动压上限。In the formula, is the thrust component under the velocity system; nmax is the maximum overload that the arrow body can bear; qmax is the upper limit of dynamic pressure.
同时,考虑到发动机的工作性能,相邻两动力段发动机关开机点火时间要有一定的间隔At the same time, considering the working performance of the engine, there must be a certain interval between the ignition times of the two adjacent power sections when the engine is turned off and turned on.
Δt≥Δtmin (10)Δt≥Δtmin (10)
式中,Δtmin为相邻两动力段发动机关机点火时间间隔下限。In the formula, Δtmin is the lower limit of the time interval between engine shutdown and ignition of two adjacent power stages.
此外,一子级在垂直着陆段着陆之前已经历多个飞行阶段,推进剂剩余有限,要保证末端着陆质量大于结构质量In addition, a sub-stage has undergone multiple flight stages before landing in the vertical landing segment, and the propellant remaining is limited, and it is necessary to ensure that the terminal landing mass is greater than the structural mass
m(tf)(p=4)≥mdry (11)m(tf )(p=4) ≥mdry (11)
式中,mdry为一子级结构质量,即飞行过程中剩余质量下限。In the formula, mdry is the mass of a sub-level structure, that is, the lower limit of the remaining mass during the flight.
各个飞行段之间的连接条件为The connection conditions between each flight segment are
(3)末端精确着陆约束(3) End precise landing constraints
垂直着陆段末端着陆要求一子级位置和速度都要达到指定的目标和精度,同时其姿态要保证垂直。本发明研究中采用大地经度、大地纬度和海拔高度作为末端位置约束,相对速度作为速度约束,弹道倾角作为姿态约束。The landing at the end of the vertical landing segment requires that the position and speed of the first stage must reach the specified target and accuracy, and its attitude must be vertical. In the research of the present invention, geodetic longitude, geodetic latitude and altitude are used as end position constraints, relative velocity is used as velocity constraints, and ballistic inclination is used as attitude constraints.
式中,λf,Bf,Hf,Vf,θf分别为弹道积分计算得到的着陆点的大地经度、大地纬度、海拔高度、相对速度、弹道倾角;λf,Bf,Hf,Vf,θf分别为目标着陆点大地经度、大地纬度、海拔高度、相对速度、弹道倾角;ζλ,ζB,ζH,ζV,ζθ分别为相应的末端着陆精度。In the formula, λf , Bf , Hf , Vf , θf are the geodetic longitude, geodetic latitude, altitude, relative velocity, and ballistic inclination of the landing point calculated by ballistic integration; λf , Bf , Hf , Vf , θf are the geodetic longitude, geodetic latitude, altitude, relative velocity, and ballistic inclination of the target landing site, respectively; ζλ , ζB , ζH , ζV , ζθ are the corresponding terminal landing accuracy, respectively.
为方便表示,后文研究中将过程不等式约束记为F,将末端精确着陆约束记为Gf=[λf-λf,Bf-Bf,Hf-Hf,Vf-Vf,θf-θf]T。For the convenience of expression, in the following research, the process inequality constraint is denoted as F, and the end precise landing constraint is denoted as Gf =[λf -λf ,Bf -Bf ,Hf -Hf ,Vf -Vf ,θf -θf ]T .
2算法设计2 Algorithm design
在考虑各类复杂约束和设计变量的情况下,提出一种自适应优化算法策略,即基于聚类分析的算法分配策略。对有限差分近似得到的高维参数空间状态转移矩阵进一步处理,通过聚类分析方法自动识别划分出矩阵中的高敏感度数据元素及其对应的设计变量,然后利用线性度准则将末端约束变量和设计变量分为线性参数和非线性参数,最后对线性参数和非线性参数分配不同的优化算法。该算法不仅逻辑简单,而且降低了高维参数空间优化问题的维度,实现了优化算法的自适应分配。具体细节见以下部分。Considering all kinds of complex constraints and design variables, an adaptive optimization algorithm strategy, which is an algorithm allocation strategy based on cluster analysis, is proposed. The high-dimensional parameter space state transition matrix obtained by the finite difference approximation is further processed, and the high-sensitivity data elements in the matrix and their corresponding design variables are automatically identified and divided by the cluster analysis method. The design variables are divided into linear parameters and nonlinear parameters, and finally different optimization algorithms are assigned to the linear parameters and nonlinear parameters. The algorithm is not only simple in logic, but also reduces the dimension of the high-dimensional parameter space optimization problem and realizes the adaptive allocation of the optimization algorithm. See the following sections for details.
2.1高维参数空间状态转移矩阵求解2.1 High-dimensional parameter space state transition matrix solution
对于高维参数空间下的优化问题,有必要分析影响末端约束变量的主要设计变量。而状态转移矩阵中的每个元素代表了约束变量对设计变量摄动的敏感度,因此对状态转移矩阵中的元素做参数识别,可以得到影响约束变量变化的主要设计变量从而通过调整使得瞄准预定目标。For optimization problems in high-dimensional parameter spaces, it is necessary to analyze the main design variables that affect the end-constraint variables. Each element in the state transition matrix represents the sensitivity of the constraint variables to the perturbation of the design variables. Therefore, by identifying the parameters of the elements in the state transition matrix, the influencing constraint variables can be obtained. Changed key design variables so that by adjusting make Aim for the intended target.
为使问题具有一般性,记设计变量等式约束(本发明优化问题模型中n=10,m=5),它们之间存在非线性函数关系To make the problem general, note the design variables equality constraints (n=10, m=5 in the optimization problem model of the present invention), there is a nonlinear functional relationship between them
Gf=f(Xs,t) (14)Gf =f(Xs ,t) (14)
末端约束量与设计变量之间的状态转移矩阵为The state transition matrix between the end constraints and the design variables is
式中,表示Xs中对应的设计变量;为末端约束Gf对设计变量Xs的状态转移矩阵,描述了约束变量对设计变量摄动的敏感度。目前求解状态转移矩阵有两种常用的方法,一种是计算出状态转移矩阵的显示表达式,在轨迹积分中同步求解;另一种是采用数值差分方法近似求解。一子级的返回段动力学模型比较复杂,末端约束和设计变量之间没有显示的函数关系,因此得到不到状态关系矩阵的解析形式。本发明在计算中采用有限差分近似公式求解中的各个元素:In the formula, represents the corresponding design variable in Xs ; For the state transition matrix of the end constraint Gf to the design variable Xs , the sensitivity of the constraint variable to the perturbation of the design variable is described. At present, there are two commonly used methods for solving the state transition matrix, one is to calculate the display expression of the state transition matrix and solve it simultaneously in the trajectory integration; the other is to use the numerical difference method to approximate the solution. The dynamic model of the return segment of the first sub-stage is relatively complex, and there is no explicit functional relationship between the end constraints and the design variables, so the analytical form of the state relationship matrix cannot be obtained. The present invention adopts finite difference approximation formula to solve Elements in:
在利用(16)式进行计算时,为的偏差,偏差过大会影响收敛性和计算精度,偏差过小会引起计算误差,根据数值仿真经验,通常取0.1%-1%设计变量区间的小偏差(本发明取1%)。由此,根据数值仿真计算可求出状态转移矩阵。When using the formula (16) to calculate, for If the deviation is too large, it will affect the convergence and calculation accuracy, and if the deviation is too small, it will cause calculation errors. Thus, the state transition matrix can be obtained according to the numerical simulation calculation.
2.2状态转移矩阵数据元素的聚类分析2.2 Cluster Analysis of Data Elements of State Transition Matrix
对于不同的返回任务而言,飞行段任务或者设计变量的改变都会导致状态转移矩阵发生变化,因此运用能够自动识别矩阵元素的方法很有必要,可避免人工的参与。聚类分析是统计学中一种重要的数据分析方法,在模式识别、机器学习、数据分析和图像处理等领域得到了广泛应用;它是将数据按照某种相似性度量准则自动划分为若干簇,整个划分是无监督的过程,最终使得同一簇内的数据相似度尽量高并且簇间数据尽量独立开来。本发明采用经典的K-means聚类算法对状态转移矩阵中的数据元素进行聚类处理。下面结合高维参数空间下的状态转移矩阵简要介绍K-means聚类算法对矩阵数据元素的聚类流程。For different return tasks, changes in flight segment tasks or design variables will lead to changes in the state transition matrix, so it is necessary to use a method that can automatically identify matrix elements to avoid manual participation. Cluster analysis is an important data analysis method in statistics and has been widely used in pattern recognition, machine learning, data analysis and image processing. , the whole division is an unsupervised process, and finally the data similarity within the same cluster is as high as possible and the data between clusters is as independent as possible. The invention adopts the classical K-means clustering algorithm to perform clustering processing on the data elements in the state transition matrix. The following briefly introduces the clustering process of matrix data elements by the K-means clustering algorithm in combination with the state transition matrix in the high-dimensional parameter space.
(1)首先将状态转移矩阵中的元素进行min-max标准化,对原始元素数据进行线性变换,使结果落于[0,1]区间,记标准化后的矩阵为A,则A中对应元素为(1) First convert the state transition matrix The elements in the min-max are normalized, and the original element data is linearly transformed so that the result falls in the [0,1] interval, and the standardized matrix is A, then the corresponding element in A is
(2)在参数空间中,记标准化矩阵A=[A1,...,Ai,...,Am]T,可知每个Ai包含n个数据元素,即Ai=(Ai1,...,Aij,...,Ain),需要将数据元素分为p类。选择p个初始聚类中心,本发明研究中,将数据元素分为两类,即高敏感度参数和低敏感度参数,设初始迭代次数为b=0,初始化需选择两个聚类中心(2) In the parameter space , denote the standardized matrix A=[A1 ,...,Ai ,...,Am ]T , it can be known that each Ai contains n data elements, that is, Ai =(Ai1 ,..., Aij ,...,Ain ), the data elements need to be divided into p classes. Select p initial cluster centers. In the research of the present invention, the data elements are divided into two categories, namely high-sensitivity parameters and low-sensitivity parameters, and the initial iteration number is set to b=0, and two cluster centers need to be selected for initialization
(3)对于Ai中任意一个数据元素,求其到p个聚类中心的欧式距离:在Ai中把与聚类中心距离近的数据元素归到相应的簇中,即若就把Aij划分到簇中。(3) For any data element in Ai , find its Euclidean distance to p cluster centers: Put and cluster center in Ai Data elements with close distances are grouped into the corresponding clusters, that is, if DivideAij into clusters middle.
(4)根据各簇中的数据元素计算新的聚类中心其中Aij为类中的数据元素,Np为类中数据元素的个数。(4) Calculate the new cluster center according to the data elements in each cluster whereAij is the class The data elements in , where Np is the class The number of data elements in .
(5)当时表示算法收敛,即聚类中心在迭代更新后数值保持不变,ε为迭代停止阈值。否则令b=b+1,转到步骤(3),继续迭代。(5) When When it means that the algorithm converges, that is, the value of the cluster center remains unchanged after iterative update, and ε is the iteration stop threshold. Otherwise, let b=b+1, go to step (3), and continue to iterate.
K-means聚类算法简单高效,易于实现,仿真表明5~10次就可迭代到收敛值。但是研究表明聚类中心的选取会影响聚类的收敛性和效率,初始聚类中心的随机选择也会给算法带来较大的不确定性。因此在对状态转移矩阵进行聚类划分时,聚类中心的合理选择可以提高参数敏感度聚类结果的准确性。本发明基于先验信息引导,根据大量一子级返回任务模型的数据经验初始化聚类中心,改善迭代初期的聚类效果,指导数据元素准确聚类,同时在聚类过程中合理的施加约束改善聚类性能。The K-means clustering algorithm is simple, efficient, and easy to implement. The simulation shows that the convergence value can be iterated for 5 to 10 times. However, studies have shown that the selection of cluster centers will affect the convergence and efficiency of clustering, and the random selection of initial cluster centers will also bring greater uncertainty to the algorithm. Therefore, when the state transition matrix is clustered, the reasonable selection of the cluster center can improve the accuracy of the parameter sensitivity clustering results. Based on the guidance of prior information, the invention initializes the clustering center according to the data experience of a large number of first-level return task models, improves the clustering effect in the early stage of iteration, guides the accurate clustering of data elements, and at the same time reasonably imposes constraints in the clustering process to improve the clustering performance.
至此,通过聚类分析自动筛选出状态转移矩阵中高敏感度的数据元素,从而得到在局部区间范围内影响约束变量的主要设计变量,记为实现了问题模型的初步降维。记初步降维后的状态转移矩阵为M,则So far, the high-sensitivity data elements in the state transition matrix are automatically screened out through cluster analysis, so as to obtain the results in the local interval. The main design variables in the range that affect the constraint variables, denoted as The initial dimensionality reduction of the problem model is achieved. Denote the state transition matrix after initial dimensionality reduction as M, then
式中,表示中对应的设计变量;pn为聚类后主要设计变量的个数,且pn<n,In the formula, express The corresponding design variables in ; pn is the number of main design variables after clustering, and pn <n,
接下来,将设计变量作为输入,利用打靶法计算设计变量在设计区间内变化时输出约束变量的变化值,对应的变化矩阵定义为差分矩阵,记为N。用矩阵N中的元素除以M对应位置的元素,得到的矩阵记为C,且Cik=Nik/Mik,其中每个元素的含义是设计变量在设计区间和局部区间内变化时,末端约束变量变化的倍数。本发明研究中偏差取1%设计变量设计区间,即局部偏差到设计区间扩大了100倍。定义线性度指标l(本发明研究中,线性度指标取l=[0.9,1.1]×100),若由聚类分析得到的高敏感度数据元素所在的位置在C中对应的主要元素的值在线性指标范围之内,说明该主要数据元素对应的设计变量和约束变量之间存在全局的线性关系,由此可筛选出设计变量和约束变量中存在的线性参数及对应的线性状态转移矩阵(记为Q),从而实现了线性参数与非线性参数的解耦,同时也对优化问题进行再次降维。Next, the design variables will be As the input, the target method is used to calculate the change value of the output constraint variable when the design variable changes within the design interval, and the corresponding change matrix is defined as the difference matrix, denoted as N. Divide the element in matrix N by the element at the corresponding position of M, and the obtained matrix is denoted as C, and Cik =Nik /Mik , where the meaning of each element is that when the design variable changes in the design interval and the local interval, The fold of change in the end constraint variable. Bias in the present study Taking 1% of the design variable design interval, that is, the local deviation to the design interval is expanded by 100 times. Define the linearity index l (in the study of the present invention, the linearity index takes l=[0.9,1.1]×100), if the position of the high-sensitivity data element obtained by the cluster analysis is the value of the corresponding main element in C Within the range of the linear index, it indicates that there is a global linear relationship between the design variables and the constraint variables corresponding to the main data element, so that the linear parameters existing in the design variables and the constraint variables and the corresponding linear state transition matrix ( Denoted as Q), which realizes the decoupling of linear parameters and nonlinear parameters, and also reduces the dimension of the optimization problem again.
2.3优化问题重构与优化算法自适应分配2.3 Optimization Problem Reconstruction and Adaptive Allocation of Optimization Algorithms
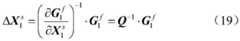
通过上述聚类分析,自动对参数进行敏感度和线性度的分类,实现了末端约束变量和设计变量的参数解耦,降低了优化问题的复杂度和维度。然后根据参数的线性和非线性特性可以对自适应分配相应的优化算法。记设计变量其中,为线性参数设计变量,为降维后的非线性参数优化设计变量。记等式约束其中,为线性参数约束变量,为降维后的非线性参数末端约束变量。对于线性参数,有线性搜索算法,如牛顿迭代、拟牛顿迭代、微分修正方法等。值得注意的是,线性搜索算法在优化中可以增强解的鲁棒性。本发明采用微分修正法进行迭代求解,它本质上是一种牛顿迭代逼近期望值算法,即迭代的打靶法,通过不断调整设计变量使得约束变量最终收敛于期望值,具有足够的适应性和鲁棒性。通过敏感度和线性度的分析可以得到相对于X1s的线性状态转移矩阵Q,则Through the above cluster analysis, the parameters are automatically classified for sensitivity and linearity, which realizes the parameter decoupling between the end constraint variables and the design variables, and reduces the complexity and dimension of the optimization problem. Then according to the linear and nonlinear characteristics of the parameters, the corresponding optimization algorithm can be assigned to the adaptation. design variables in, Design variables for linear parameters, Optimizing design variables for nonlinear parameters after dimensionality reduction. note equality constraints in, Constrain the variables for linear parameters, is the end constraint variable of the nonlinear parameter after dimension reduction. For linear parameters, there are linear search algorithms, such as Newton iteration, quasi-Newton iteration, and differential correction methods. It is worth noting that the linear search algorithm can enhance the robustness of the solution in optimization. The invention adopts the differential correction method for iterative solution, which is essentially a Newton iterative approximation to the expected value algorithm, that is, the iterative shooting method. By continuously adjusting the design variables, the constraint variables finally converge to the expected value, which has sufficient adaptability and robustness. . Through the analysis of sensitivity and linearity, we can get With respect to the linear state transition matrix Q of X1s , then
为了具有一般性,用最小二乘策略解决约束变量和迭代设计变量自由度不等的情况,并增加迭代因子μ增加迭代的精度和收敛性,则For generality, a least squares strategy is used to solve the constraint variables and iterative design variables In the case of unequal degrees of freedom, and increasing the iteration factor μ increases the iteration accuracy and convergence, then
式中,μ为迭代因子,且0<μ≤1。值得注意的是,理论上呈严格线性关系的参数一次迭代就可收敛到期望值,本发明的定义的线性参数是以线性度指标l进行衡量的,并非严格线性,仿真表明约束变量收敛到期望的精度需要迭代5-10次。In the formula, μ is the iteration factor, and 0<μ≤1. It is worth noting that, in theory, parameters with a strict linear relationship can converge to the expected value in one iteration. The linear parameters defined in the present invention are measured by the linearity index l, which is not strictly linear. Simulation shows that the constraint variables converge to the expected value. Accuracy requires 5-10 iterations.
对于降维后的非线性设计变量可采用直接优化方法,如序列二次规划法(SQP)、内点法、伪谱法等方法进行优化,从而使得非线性末端约束变量和不等式约束收敛于要求的精度,目标函数可以通过对微分迭代修正和对优化搜索得到最优指标。注意到使用微分修正算法和直接优化方法需提供初值解,本发明通过遗传算法(GA)对原优化问题优化得到初值解。For nonlinear design variables after dimensionality reduction Direct optimization methods, such as sequential quadratic programming (SQP), interior point method, pseudospectral method, etc., can be used for optimization, so that the nonlinear end-constraint variable and inequality constraints converges to the required accuracy, the objective function through the Differential iterative correction and pair Optimize the search to get the best index. It is noted that the use of the differential correction algorithm and the direct optimization method needs to provide the initial value solution, and the present invention optimizes the original optimization problem through the Genetic Algorithm (GA) to obtain the initial value solution.
2.4算法小结2.4 Algorithm Summary
本发明总体流程如图2所示,主要包含状态转移矩阵求解、聚类分析和问题重构与算法分配三个方面的内容;三者层层递进,状态转移矩阵是算法基础,聚类分析是核心环节,而问题重构与算法分配是关键部分。The overall flow of the present invention is shown in Figure 2, which mainly includes three aspects: state transition matrix solution, cluster analysis, problem reconstruction and algorithm allocation; the three are progressive, state transition matrix is the basis of the algorithm, cluster analysis It is the core link, and problem reconstruction and algorithm allocation are the key parts.
该自适应优化算法从状态转移矩阵求解出发,通过聚类分析算法辨识提取出矩阵中的高敏感度数据元素,然后结合差分矩阵进一步作线性分析,准确识别出线性和非线性参数并分析得到线性状态转移矩阵,最后对根据的不同的参数特性分配不同的优化算法。值得注意的是,一旦飞行段划分、设计变量个数和设计变量区间确定之后,线性状态转移矩阵为一常值矩阵,在微分修正计算的过程中不需要更新,极大提高了运算效率。总之,该算法的最大优势是全程无需人工参与,且算法简单高效,可以准确实现参数的自动识别分类和优化算法的自动分配。The adaptive optimization algorithm starts from the solution of the state transition matrix, identifies and extracts high-sensitivity data elements in the matrix through the cluster analysis algorithm, and then further performs linear analysis combined with the difference matrix to accurately identify the linear and nonlinear parameters and analyze the linearity. State transition matrix, and finally assign different optimization algorithms according to different parameter characteristics. It is worth noting that once the division of flight segments, the number of design variables and the interval of design variables are determined, the linear state transition matrix is a constant value matrix, which does not need to be updated in the process of differential correction calculation, which greatly improves the operation efficiency. In a word, the biggest advantage of this algorithm is that it does not require manual participation in the whole process, and the algorithm is simple and efficient, and can accurately realize automatic identification and classification of parameters and automatic allocation of optimization algorithms.
3仿真验证3 Simulation verification
根据有限差分近似公式计算状态转移矩阵然后将状态转移矩阵min-max标准化得到标准化矩阵A,如表1所示。对A中数据元素进行聚类分析,得到高敏感度元素,如A中的粗斜元素所示,对应于状态转移矩阵中的元素如表1中粗斜元素所示。通过约束变量对设计变量的敏感度分析得到影响约束变量的主要设计变量,即粗斜元素所对应的的设计变量。Calculate the state transition matrix according to the finite difference approximation formula Then normalize the state transition matrix min-max to get the normalized matrix A, as shown in Table 1. Cluster analysis is performed on the data elements in A, and high-sensitivity elements are obtained, as shown by the thick oblique elements in A, corresponding to the elements in the state transition matrix as shown in Table 1 Bold italic elements are shown. Through the sensitivity analysis of constraint variables to design variables, the main design variables that affect the constraint variables, that is, the design variables corresponding to the rough slope elements, are obtained.
可以发现,在局部偏差范围内,影响末端着陆经度λf变化的主要设计变量为动力下降段的侧滑角β1,影响末端着陆纬度Bf变化的主要设计变量是调姿段的飞行时间t1,影响末端着陆高度Hf变化的主要设计变量为调姿段和大气再入段的飞行时间t1、t3,影响末端着陆速度Vf变化的主要设计变量是垂直着陆段的飞行时间t4和推力因子ε2,影响末端着陆速度倾角θf变化的主要设计变量是垂直着陆段的飞行时间t4,其中t1和t4是协调控制变量,t1同时是B和H的主要控制量,t4同时是V和θ的主要控制量。It can be found that within the range of local deviation, the main design variable that affects the change of the terminal landing longitude λf is the sideslip angle β1 of the power descent section, and the main design variable that affects the change of the terminal landing latitude Bf is the flight time t of the attitude adjustment section.1. The main design variables that affect the change of the terminal landing height Hf are the flight time t1 and t3 of the attitude adjustment section and the atmospheric re-entry section, and the main design variable affecting the change of the terminal landing speed Vf is the flight time t of the vertical landing section4 and thrust factor ε2 , the main design variable that affects the change of terminal landing speed inclination angle θf is the flight time t4 of the vertical landing segment, where t1 and t4 are coordinated control variables, and t1 is the main control of B and H at the same time quantity, t4 is the main controlling quantity of both V and θ.
表1状态转移矩阵及其对应的标准化矩阵Table 1 State transition matrix and its corresponding normalization matrix
上述聚类分析得到影响末端约束变量的主要设计变量和初步降维后的状态转移矩阵M,将作为输入,利用打靶法计算在设计变量全区间范围内变化时输出约束变量的变化值,得到全局差分矩阵N,矩阵M和N如表2所示。用N除以M中的对应元素得到矩阵C,可以发现,当设计变量范围变化100倍时,λf,Bf,Hf对应的粗斜元素的数值在线性度范围之内,而Vf,θf对应的粗斜元素不在线性度范围之内。因此,筛选得到线性设计变量t1,t3,β1和线性约束变量λf,Bf,Hf以及线性状态转移矩阵Q。The above cluster analysis obtained the main design variables that affect the end constraint variables and the state transition matrix M after initial dimensionality reduction, the As input, the target method is used to calculate When the design variables are changed in the whole interval, the change values of the constraint variables are output, and the global difference matrix N is obtained. The matrices M and N are shown in Table 2. Divide N by the corresponding element in M to get the matrix C. It can be found that when the range of design variables changes by 100 times, the values of the rough slope elements corresponding to λf , Bf , and Hf are within the linearity range, while Vf , θf corresponds to the thick oblique element that is not within the linearity range. Therefore, the linear design variables t1 , t3 , β1 and the linear constraint variables λf , Bf , Hf and the linear state transition matrix Q are obtained by screening.
表2初步降维状态转移矩阵M、差分矩阵N、矩阵CTable 2 Preliminary dimensionality reduction state transition matrix M, difference matrix N, matrix C
线性状态转移矩阵Q表达式为The linear state transition matrix Q is expressed as
从而λf-λf,Bf-Bf,Hf-Hf的修正量与t1,t3,β1的调整量之间有如下关系Therefore, the relationship between the correction amount of λf -λf , Bf -Bf , Hf -Hf and the adjustment amount of t1 , t3 , β1 is as follows
通过参数敏感度和线性度分析得到了t1,t3,β1与λf-λf,Bf-Bf,Hf-Hf之间的线性偏导矩阵,即微分修正矩阵,通过不断迭代修正t1,t3,β1使得λf,Bf,Hf收敛于期望值λf,Bf,Hf,在使用非线性优化算法进行优化时设计变量和约束变量就相应减小了三个维度。在优化问题重构中,Through parameter sensitivity and linearity analysis, the linear partial derivative matrix between t1 , t3 , β1 and λf -λf , Bf -Bf , Hf -Hf is obtained, that is, the differential correction matrix, through Iteratively corrects t1 , t3 , β1 so that λf , Bf , Hf converge to the expected values λf , Bf , Hf , and the design variables and constraint variables are reduced accordingly when the nonlinear optimization algorithm is used for optimization three dimensions. In optimization problem reconstruction,
采用本发明设计的自适应优化算法(简记为AOA)与现有技术中的SQP算法进行对比验证分析。两种方法的末端着陆位置精度如表3所示。可以看出,由AOA迭代修正的末端着陆位置(包括经度、纬度和高度)精度要高于由SQP方法得到的精度。两种方法得到的末端着陆速度和速度倾角均达到了精度要求,效果相当。表明AOA方法具有很好的收敛性和精度。The self-adaptive optimization algorithm (abbreviated as AOA) designed by the present invention is compared and verified with the SQP algorithm in the prior art. The end landing position accuracy of the two methods is shown in Table 3. It can be seen that the accuracy of the terminal landing position (including longitude, latitude and altitude) iteratively corrected by AOA is higher than that obtained by the SQP method. The terminal landing speed and speed inclination obtained by the two methods both meet the accuracy requirements, and the effects are equivalent. It shows that the AOA method has good convergence and accuracy.
表3末端精确着陆精度对比Table 3 End-to-end precision landing accuracy comparison
从图3可以看出,SQP算法的优化迭代次数为43次,AOA算法的优化迭代次数为16次,仅为SQP算法的37.2%。同时,由AOA得到的末端着陆质量为22582kg,SQP得到的末端着陆质量为22136kg。因此,AOA方法在计算效率和最优性上要优于SQP算法。It can be seen from Figure 3 that the optimization iterations of the SQP algorithm are 43 times, and the optimization iterations of the AOA algorithm are 16 times, which is only 37.2% of the SQP algorithm. At the same time, the terminal landing mass obtained by AOA is 22582kg, and the terminal landing mass obtained by SQP is 22136kg. Therefore, the AOA method is superior to the SQP algorithm in terms of computational efficiency and optimality.
图4(a)-(h)给出了主要参数的剖面。图4(a)-(b)给出了过载和动压的剖面曲线。可以看出,两种方法得到的结果均满足所有约束,图4(c)-(g)给出了末端着陆主要参数的的剖面曲线。在垂直着陆段,经度和纬度几乎保持不变,一子级到达目标着陆点上方区域,主要进行高度、速度和速度倾角的调节。图4(g)展示了两种方法的质量剖面对比。质量剖面的曲线斜率代表了发动机的质量秒耗量。在调姿段和大气再入段,由于发动机关机,质量保持不变。在动力下降段和垂直着陆段,两种方法的质量曲线几乎平行,说明优化得到的发动机的推力因子大小近似相等。但是AOA方法在两个动力段的发动机开机时长分别为80.2s和35.4s,而SQP方法在两个动力段的发动机开机时间分别为87.6s和31.4s,AOA方法所消耗的燃料质量为12918kg,SQP方法所消耗的燃料为13264kg。AOA方法整个返回过程用了398.5s,SQP方法整个返回过程用了396.2s。对于这样一个自由时间优化问题,AOA方法保证了发动机点火时间和燃料消耗的最优性。Figures 4(a)-(h) give the profiles of the main parameters. Figure 4(a)-(b) shows the profile curves of overload and dynamic pressure. It can be seen that the results obtained by the two methods satisfy all constraints, and Fig. 4(c)-(g) gives the profile curves of the main parameters of the terminal landing. In the vertical landing segment, the longitude and latitude are almost unchanged, and the first stage reaches the area above the target landing point, and mainly adjusts the altitude, speed and speed inclination. Figure 4(g) shows the mass profile comparison of the two methods. The slope of the curve of the mass profile represents the mass-second consumption of the engine. During the attitude and atmospheric reentry phases, the mass remains unchanged due to engine shutdown. In the power descent section and the vertical landing section, the mass curves of the two methods are almost parallel, indicating that the thrust factors of the optimized engines are approximately equal. However, the engine startup time of the AOA method in the two power stages is 80.2s and 35.4s respectively, while the engine startup time of the SQP method in the two power stages is 87.6s and 31.4s, respectively. The fuel mass consumed by the AOA method is 12918kg, The fuel consumed by the SQP method was 13264 kg. The entire return process of the AOA method took 398.5s, and the entire return process of the SQP method took 396.2s. For such a free-time optimization problem, the AOA method ensures the optimality of engine ignition timing and fuel consumption.
综上,本发明具有以下优点:To sum up, the present invention has the following advantages:
(1)建立了运载火箭一子级整个返回段多飞行段的系统性、整体性的轨迹优化问题模型,在统一的模型下联立考虑、同时满足。(1) A systematic and holistic trajectory optimization problem model for the entire return segment and multiple flight segments of the first sub-stage of the launch vehicle is established, which is considered and satisfied simultaneously under a unified model.
(2)在高维参数空间状态转移矩阵的基础上,基于K-means聚类算法成功实现了对状态转移矩阵中高敏感度数据元素的准确识别定位,并通过线性度分析筛选出线性和非线性参数以及线性偏导矩阵;最后针对不同设计变量和约束变量的线性和非线性特性分配不同的优化算法,具有很好的精度、收敛性、计算效率和最优性。(2) On the basis of the high-dimensional parameter space state transition matrix, based on the K-means clustering algorithm, the accurate identification and positioning of the highly sensitive data elements in the state transition matrix is successfully realized, and the linearity and nonlinearity are filtered out by linearity analysis. parameters and linear partial derivative matrices; finally, different optimization algorithms are assigned to the linear and nonlinear characteristics of different design variables and constraint variables, which have good accuracy, convergence, computational efficiency and optimality.
(3)在聚类分析过程中可以得到影响约束变量变化的主要设计变量,有助于为标称轨迹的调整设计提供参考,且通过敏感度和线性度分析降低了优化问题的复杂度和维度,实现了线性参数和非线性参数的解耦。(3) In the process of cluster analysis, the main design variables that affect the change of constraint variables can be obtained, which helps to provide a reference for the adjustment and design of the nominal trajectory, and reduces the complexity and dimension of the optimization problem through sensitivity and linearity analysis. , which realizes the decoupling of linear parameters and nonlinear parameters.
(4)实现了参数识别分类的自动化和算法分配的自适应,基本不需要人工参与,具有良好的可靠性、准确性和可拓展性,并且对于其他类型的高维优化问题也具有参考意义。(4) It realizes the automation of parameter identification and classification and the self-adaptation of algorithm allocation, which basically does not require manual participation, has good reliability, accuracy and scalability, and also has reference significance for other types of high-dimensional optimization problems.
上面结合附图对本发明的实施例进行了描述,但是本发明并不局限于上述的具体实施方式,上述的具体实施方式仅仅是示意性的,而不是局限性的,本领域的普通技术人员在本发明的启示下,在不脱离本发明宗旨和权利要求所保护的范围情况下,还可做出很多形式,这些均属于本发明的保护范围之内。The embodiments of the present invention have been described above in conjunction with the accompanying drawings, but the present invention is not limited to the above-mentioned specific embodiments, which are merely illustrative rather than limiting. Under the inspiration of the present invention, without departing from the scope of protection of the spirit of the present invention and the claims, many forms can be made, which all fall within the protection scope of the present invention.
| Application Number | Priority Date | Filing Date | Title |
|---|---|---|---|
| CN202010715684.9ACN111783232B (en) | 2020-07-23 | 2020-07-23 | An adaptive optimization method for the return segment of a recoverable rocket based on cluster analysis |
| Application Number | Priority Date | Filing Date | Title |
|---|---|---|---|
| CN202010715684.9ACN111783232B (en) | 2020-07-23 | 2020-07-23 | An adaptive optimization method for the return segment of a recoverable rocket based on cluster analysis |
| Publication Number | Publication Date |
|---|---|
| CN111783232A CN111783232A (en) | 2020-10-16 |
| CN111783232Btrue CN111783232B (en) | 2022-09-09 |
| Application Number | Title | Priority Date | Filing Date |
|---|---|---|---|
| CN202010715684.9AActiveCN111783232B (en) | 2020-07-23 | 2020-07-23 | An adaptive optimization method for the return segment of a recoverable rocket based on cluster analysis |
| Country | Link |
|---|---|
| CN (1) | CN111783232B (en) |
| Publication number | Priority date | Publication date | Assignee | Title |
|---|---|---|---|---|
| CN112525004B (en)* | 2020-11-27 | 2022-10-18 | 中国人民解放军国防科技大学 | On-line determination method and system for starting point of rocket fixed-point soft landing |
| CN112597641B (en)* | 2020-12-10 | 2022-07-22 | 上海宇航系统工程研究所 | Carrier landing stability optimization method |
| CN113479347B (en)* | 2021-07-13 | 2023-12-08 | 北京理工大学 | Rocket vertical recovery landing zone track control method |
| CN114117631B (en)* | 2021-11-16 | 2024-06-28 | 北京理工大学 | Rocket recovery trajectory optimization method with optimal terminal time estimation |
| CN115973462B (en)* | 2023-03-16 | 2023-07-21 | 江苏深蓝航天有限公司 | Method for vertical recovery of liquid orbital rocket under one-level course and related equipment |
| CN116184813B (en)* | 2023-05-04 | 2023-07-21 | 中国人民解放军国防科技大学 | Boost glide rocket attitude control method, device, equipment and storage medium |
| CN116594309B (en)* | 2023-07-19 | 2023-09-29 | 东方空间技术(山东)有限公司 | Rocket sublevel vertical recovery control method, computing equipment and storage medium |
| Publication number | Priority date | Publication date | Assignee | Title |
|---|---|---|---|---|
| CN103226631A (en)* | 2013-03-29 | 2013-07-31 | 南京航空航天大学 | Method for rapidly designing and optimizing low-thrust transfer orbit |
| CN110466804A (en)* | 2019-08-30 | 2019-11-19 | 北京理工大学 | The quick track optimizing method of rocket-powered decline landing mission |
| Publication number | Priority date | Publication date | Assignee | Title |
|---|---|---|---|---|
| CN103226631A (en)* | 2013-03-29 | 2013-07-31 | 南京航空航天大学 | Method for rapidly designing and optimizing low-thrust transfer orbit |
| CN110466804A (en)* | 2019-08-30 | 2019-11-19 | 北京理工大学 | The quick track optimizing method of rocket-powered decline landing mission |
| Title |
|---|
| 火箭垂直回收着陆段在线制导凸优化方法;张志国等;《弹道学报》;20170315(第01期);全文* |
| 火箭返回着陆问题高精度快速轨迹优化算法;王劲博等;《控制理论与应用》;20180315(第03期);全文* |
| Publication number | Publication date |
|---|---|
| CN111783232A (en) | 2020-10-16 |
| Publication | Publication Date | Title |
|---|---|---|
| CN111783232B (en) | An adaptive optimization method for the return segment of a recoverable rocket based on cluster analysis | |
| CN111874267B (en) | Low-orbit satellite off-orbit control method and system based on particle swarm optimization | |
| Wang et al. | Model-free–based terminal SMC of quadrotor attitude and position | |
| CN107908109B (en) | A Trajectory Optimization Controller for Reentry Segment of Hypersonic Vehicle Based on Orthogonal Configuration Optimization | |
| US20200183339A1 (en) | Systems and Methods for Robust Learning-Based Control During Forward and Landing Flight Under Uncertain Conditions | |
| CN107092731B (en) | Inter-stage specific thrust trajectory integrated optimization method for sub-orbital launch vehicle | |
| Takarics et al. | Active flutter mitigation testing on the FLEXOP demonstrator aircraft | |
| CN108717265A (en) | A kind of unmanned vehicle cruise tracking control system and control method based on control variable parameter | |
| CN114690793B (en) | Guidance method for vertical soft landing of reusable launch vehicle based on sliding mode control | |
| CN113467495B (en) | A Fast Trajectory Optimization Method for Aircraft Satisfied with Strict Time and Position Constraints | |
| CN113467241A (en) | Method for optimizing burn-up of convex curvature landing trajectory | |
| CN115258196A (en) | Low-orbit satellite constellation networking electric propulsion orbit transfer strategy optimization method and system | |
| CN110562492B (en) | A method for rapid generation of rover's Mars atmosphere entry trajectory | |
| CN119975848B (en) | A method for optimizing small-thrust trajectories near an asteroid based on pseudo-spectral convex optimization | |
| Vedantam et al. | Multi-stage stabilized continuation for indirect optimal control of hypersonic trajectories | |
| Engelbrecht et al. | Optimal attitude and flight vector recovery for large transport aircraft using sequential quadratic programming | |
| CN115129072B (en) | Terminal sliding mode control method for fixed-wing UAV under position tracking deviation constraint | |
| CN114510067B (en) | Near-optimal guidance method for reusable aircraft | |
| CN114492020B (en) | A method for optimizing the approach trajectory of nanosatellites with the most fuel-saving approach under micro-thrust | |
| CN112198797B (en) | A multi-level control system and method for unmanned aerial vehicles | |
| CN117930881A (en) | A UAV control method and system based on deep learning | |
| Yang et al. | Addressing Launch and Deployment Uncertainties in UAVs with ESO-Based Attitude Control | |
| CN116776739A (en) | A method and device for rapid response launch into orbit of an integrated aircraft | |
| CN115629620B (en) | A UAV active anti-jamming flight control method for reconnaissance missions | |
| CN116931423A (en) | Six-rotor unmanned aerial vehicle fault-tolerant control method with dead zone input and actuator/sensor faults |
| Date | Code | Title | Description |
|---|---|---|---|
| PB01 | Publication | ||
| PB01 | Publication | ||
| SE01 | Entry into force of request for substantive examination | ||
| SE01 | Entry into force of request for substantive examination | ||
| GR01 | Patent grant | ||
| GR01 | Patent grant |