



技术领域technical field
本公开涉及配电网故障选线技术领域,特别涉及一种配电网单相接地故障选线方法、系统、介质及设备。The present disclosure relates to the technical field of distribution network fault line selection, in particular to a distribution network single-phase ground fault line selection method, system, medium and equipment.
背景技术Background technique
本部分的陈述仅仅是提供了与本公开相关的背景技术,并不必然构成现有技术。The statements in this section merely provide background related to the present disclosure and do not necessarily constitute prior art.
配电网是指从输电网或地区发电厂接受电能,通过配电设施就地分配或按电压逐级分配给各类用户的电力网,由架空线路、电缆、杆塔、配电变压器、隔离开关、无功补偿器及一些附属设施等组成,在电力网中起重要分配电能作用。The distribution network refers to the power network that receives electrical energy from the transmission network or regional power plants, and distributes it on-site through the distribution facilities or to various users step by step according to the voltage. It consists of overhead lines, cables, towers, distribution transformers, isolation switches, The reactive power compensator and some auxiliary facilities play an important role in distributing electric energy in the power grid.
由于配电网结构复杂、接线众多,线路故障的情况时有发生,当小电流系统发生单相接地故障后,必须及时发现故障线路并排除故障,这对于电网的安全运行、提高供电的可靠性有着非常重要的意义。但由于故障电流较小,而且受配电网运行方式等的影响,导致单相接地故障选线的准确率较低,增加了故障的排查难度。Due to the complex structure of the distribution network and numerous connections, line faults often occur. When a single-phase grounding fault occurs in a low-current system, the faulty line must be found and eliminated in time, which is important for the safe operation of the power grid and improves the reliability of power supply. has a very important meaning. However, due to the small fault current and the influence of the operation mode of the distribution network, the accuracy of single-phase grounding fault line selection is low, which increases the difficulty of troubleshooting.
本公开发明人发现,小电流接地系统发生单相接地故障时产生的零序分量包含大量故障信息,这些电气量特征都可用来对配电网进行故障选线和区段定位。现有技术提出了一种基于零序电流比幅法的选线方案。该技术根据系统故障的稳态电流特征来进行选线,比较母线处各出线零序电流幅值大小,其中幅值最大的线路即为故障线路。但是,当幅值差距不大或母线故障时,会造成选线失败,此外还有各种复杂因素的影响,如不平衡CT、中性点经消弧线圈接地时电容电流被补偿等问题,使得该技术适用范围较小。The inventor of the present disclosure found that the zero-sequence component generated when a single-phase grounding fault occurs in a low-current grounding system contains a large amount of fault information, and these electrical quantity characteristics can be used for fault line selection and section location of the distribution network. The prior art proposes a line selection scheme based on the zero-sequence current amplitude ratio method. This technology selects lines according to the steady-state current characteristics of the system fault, compares the magnitude of the zero-sequence current of each outgoing line at the busbar, and the line with the largest amplitude is the fault line. However, when the amplitude difference is not large or the busbar is faulty, it will cause the failure of line selection. In addition, there are also various complex factors, such as unbalanced CT, the capacitive current is compensated when the neutral point is grounded through the arc suppression coil, etc. This makes the technology less applicable.
现有技术将零序电流幅值比较法和比相法结合,其原理为接地故障线路的零序电流幅值大于其他正常线路且故障线路和正常线路中的零序电流方向不一致。当某出线零序电流大于设定的整定值且其余出线零序电流方向都和该线路不同时,该线路即为故障线路。将比幅和比相两种方法结合,一定程度上提高了选线的灵敏度。但在中性点经消弧线圈接地系统中,消弧线圈一般处于过补偿状态,因此线路零序电流方向一致,该技术失效。The prior art combines the zero-sequence current amplitude comparison method and the phase-comparison method. When the zero-sequence current of an outgoing line is greater than the set value and the zero-sequence current direction of the other outgoing lines is different from that of the line, the line is a faulty line. Combining the two methods of amplitude ratio and phase ratio improves the sensitivity of line selection to a certain extent. However, in the neutral point grounding system via the arc suppression coil, the arc suppression coil is generally in an overcompensated state, so the zero-sequence current direction of the line is the same, and the technology fails.
现有技术提出了一种基于有功分量法的故障选线方案,根据配电网中各线路存在对地电导,消弧线圈串联或并联电阻时发生单相接地故障后,会产生不被消弧线圈补偿的有功电流。以零序电压为参考量,提取有功分量,利用故障线路零序电流有功分量比非故障线路大且方向相反来选线。该方案随不受消弧线圈的限制,但是接地电流中有功分量较少,检测灵敏度低且受接地电阻和CT不平衡的影响。The prior art proposes a fault line selection scheme based on the active component method. According to the existence of ground conductance of each line in the distribution network, when a single-phase ground fault occurs when the arc suppression coil is connected in series or in parallel, there will be no arc suppression. Active current for coil compensation. Taking the zero-sequence voltage as a reference, extracting the active component, and using the active component of the zero-sequence current of the faulty line to be larger than that of the non-faulty line and in the opposite direction to select the line. This scheme is not limited by the arc suppression coil, but there are less active components in the grounding current, low detection sensitivity and the influence of grounding resistance and CT unbalance.
现有技术提出了一种利用谐波进行选线的方案。该方案根据消弧线圈对五次谐波的影响较小,直接利用故障线路五次谐波分量的幅值较非故障线路大且方向不同来选线。但是,当接地电阻较大时,谐波分量小,不容易检测。The prior art proposes a solution for line selection using harmonics. According to the fact that the arc suppression coil has little influence on the fifth harmonic, the scheme directly uses the amplitude of the fifth harmonic component of the fault line to be larger than that of the non-fault line and the direction is different to select the line. However, when the grounding resistance is large, the harmonic components are small and are not easy to detect.
现有技术利用故障时的零序附加电源对线路导纳系数的影响,提出了一种基于零序导纳法的故障选线方案,该方案的灵敏度较高,有较高的准确率,但需配合能自动协调的消弧线圈使用,且未考虑间歇性瞬时故障对其的影响。In the prior art, a fault line selection scheme based on the zero-sequence admittance method is proposed by using the influence of the zero-sequence additional power supply on the line admittance coefficient at the time of fault. The scheme has high sensitivity and high accuracy, but It needs to be used in conjunction with an arc suppression coil that can automatically coordinate, and the influence of intermittent transient faults on it is not considered.
现有技术基于零序电流电压暂态过程的研究,提出了一种利用故障线路零序暂态电流和电压极性与非故障线路差异的故障选线方案。该方案选线速度快,但是如果故障发生在相电压过零点时,暂态电流信号非常弱,不具备在现有配电网中应用的条件。Based on the research on the zero-sequence current and voltage transient process, the prior art proposes a fault line selection scheme that utilizes the difference between the zero-sequence transient current and voltage polarity of the faulty line and the non-faulty line. The line selection speed of this scheme is fast, but if the fault occurs at the zero-crossing point of the phase voltage, the transient current signal is very weak, which is not suitable for application in the existing distribution network.
现有技术基于对暂态突变电流的分析,提出一种基于小波分析法的选线方案,根据小波变换后各条线路零序电流模极大值的峰值和相位进行对比和分析,模极大值最大且相位与其他线路相反的线路即为故障线路。但该方案对小波基函数的选取要求较高,并未考虑高阻接地对其的影响。Based on the analysis of the transient sudden change current in the prior art, a line selection scheme based on the wavelet analysis method is proposed. The line with the largest value and the opposite phase to the other lines is the faulty line. However, this scheme has higher requirements on the selection of wavelet basis functions, and does not consider the influence of high-resistance grounding on it.
现有技术基于零序电压和电流对时间的积分,提出暂态能量法的保护方案,该方案根据故障线路和非故障线路能量函数的正负不同,且非故障线路能量函数总和等于故障线路能量函数的绝对值进行选线。该方案快速可靠,但存在有功分量在暂态电流中所占成分小的缺点。In the prior art, based on the integration of zero-sequence voltage and current over time, a protection scheme of transient energy method is proposed. The absolute value of the function is used to select the line. The scheme is fast and reliable, but has the disadvantage that the active component accounts for a small proportion of the transient current.
发明内容SUMMARY OF THE INVENTION
为了解决现有技术的不足,本公开提供了一种配电网单相接地故障选线方法、系统、介质及设备,通过控制中性点消弧线圈并联电阻的投入,改变零序电流的大小,由此根据馈线区段各开关处零序电流幅值增量的差异构造故障选线与区段定位判据,仅利用零序电流信息,即可实现故障选线与区段定位,在高阻接地情况下具有较高的灵敏度。In order to solve the deficiencies of the prior art, the present disclosure provides a method, system, medium and equipment for selecting a line for a single-phase grounding fault in a distribution network. By controlling the input of the parallel resistance of the neutral point arc suppression coil, the magnitude of the zero-sequence current can be changed. Therefore, the fault line selection and section location criteria are constructed according to the difference of the zero-sequence current amplitude increments at each switch of the feeder section, and only the zero-sequence current information can be used to realize the fault line selection and section location. It has higher sensitivity in the case of resistance to ground.
为了实现上述目的,本公开采用如下技术方案:In order to achieve the above object, the present disclosure adopts the following technical solutions:
本公开第一方面提供了一种配电网单相接地故障选线方法。A first aspect of the present disclosure provides a line selection method for a single-phase grounding fault in a power distribution network.
一种配电网单相接地故障选线方法,包括以下步骤:A method for selecting a single-phase grounding fault line in a distribution network, comprising the following steps:
获取流过馈线区段各开关处的三相电流和中性点电压;Obtain the three-phase current and neutral point voltage flowing through each switch in the feeder section;
当中性点电压大于第一预设阈值时,单相接地故障发生,设定为第一时刻;When the neutral point voltage is greater than the first preset threshold, a single-phase ground fault occurs, and it is set as the first moment;
获取各个开关处的零序电流幅值,当第一时刻后的预设时间内中性点的电压依然大于第一预设阈值时,向中性点消弧线圈的并联电阻发出投入指令;Obtain the zero-sequence current amplitude at each switch, and when the voltage of the neutral point is still greater than the first preset threshold within a preset time after the first moment, send an input instruction to the parallel resistance of the neutral point arc suppression coil;
再次计算相应开关处的零序电流幅值,得到并联电阻投入前后馈线各开关处零序电流幅值差的绝对值;Calculate the zero-sequence current amplitude at the corresponding switch again, and obtain the absolute value of the zero-sequence current amplitude difference at each switch of the feeder before and after the parallel resistor is switched on;
计算馈线相邻开关处零序电流幅值差的绝对值之比,当该值大于第二预设阈值时判定为故障区段,故障区段所在线路为故障线路。Calculate the ratio of the absolute value of the zero-sequence current amplitude difference at the adjacent switches of the feeder, when the value is greater than the second preset threshold, it is determined as a faulty section, and the line where the faulty section is located is a faulty line.
本公开第二方面提供了一种配电网单相接地故障选线系统。A second aspect of the present disclosure provides a line selection system for single-phase grounding faults in a power distribution network.
一种配电网单相接地故障选线系统,包括:A single-phase grounding fault line selection system for a distribution network, comprising:
数据获取模块,被配置为:获取流过馈线区段各开关处的三相电流和中性点电压;a data acquisition module, configured to: acquire the three-phase current and neutral point voltage flowing through each switch of the feeder section;
故障预判模块,被配置为:当中性点电压大于第一预设阈值时,单相接地故障发生,设定为第一时刻;The fault prediction module is configured to: when the neutral point voltage is greater than the first preset threshold, a single-phase ground fault occurs, and set it as the first moment;
电阻投切模块,被配置为:获取各个开关处的零序电流幅值,当第一时刻后的预设时间内中性点的电压依然大于第一预设阈值时,向中性点消弧线圈的并联电阻发出投入指令;The resistance switching module is configured to: obtain the zero-sequence current amplitude at each switch, and when the voltage of the neutral point is still greater than the first preset threshold within the preset time after the first moment, the arc is extinguished to the neutral point The parallel resistance of the coil sends out the input command;
数据处理模块,被配置为:再次计算相应开关处的零序电流幅值,得到并联电阻投入前后馈线各开关处零序电流幅值差的绝对值;The data processing module is configured to: calculate the zero-sequence current amplitude at the corresponding switch again, and obtain the absolute value of the zero-sequence current amplitude difference at each switch of the feeder before and after the parallel resistor is switched on;
故障区段识别模块,被配置为:计算馈线相邻开关处零序电流幅值差的绝对值之比,当该值大于第二预设阈值时判定为故障区段,故障区段所在线路为故障线路。The fault section identification module is configured to: calculate the ratio of the absolute value of the zero-sequence current amplitude difference at the adjacent switches of the feeder, when the value is greater than the second preset threshold, it is determined to be a fault section, and the line where the fault section is located is faulty line.
本公开第三方面提供了一种介质,其上存储有程序,该程序被处理器执行时实现如本公开第一方面所述的配电网单相接地故障选线方法中的步骤。A third aspect of the present disclosure provides a medium on which a program is stored, and when the program is executed by a processor, implements the steps in the method for selecting a line for a single-phase-to-ground fault in a power distribution network according to the first aspect of the present disclosure.
本公开第四方面提供了一种设备,包括存储器、处理器及存储在存储器上并可在处理器上运行的程序,所述处理器执行所述程序时实现如本公开第一方面所述的配电网单相接地故障选线方法中的步骤。A fourth aspect of the present disclosure provides a device including a memory, a processor, and a program stored in the memory and executable on the processor, the processor implementing the program described in the first aspect of the present disclosure when the processor executes the program Steps in the line selection method for single-phase-to-ground faults in distribution networks.
与现有技术相比,本公开的有益效果是:Compared with the prior art, the beneficial effects of the present disclosure are:
1、本公开所述的方法、系统、介质及电子设备,通过控制中性点消弧线圈并联电阻的投入,改变零序电流的大小,由此根据馈线区段各开关处零序电流幅值增量的差异构造故障选线与区段定位判据,仅利用零序电流信息,仅需馈线终端间的实时通信,即可实现故障选线与区段定位,在高阻接地情况下具有较高的灵敏度。1. The method, system, medium and electronic equipment described in the present disclosure change the magnitude of the zero-sequence current by controlling the input of the parallel resistance of the neutral point arc suppression coil, thereby changing the magnitude of the zero-sequence current according to the magnitude of the zero-sequence current at each switch in the feeder section. The incremental difference constructs fault line selection and section location criteria, only using the zero-sequence current information and only real-time communication between feeder terminals, the fault line selection and section location can be realized, and it has a relatively high resistance in the case of high-resistance grounding. high sensitivity.
2、本公开所述的方法、系统、介质及电子设备,仅利用各个馈线终端采集的电流信息即可选出故障线路还可以定位故障区段,无需在各开关处加装电压互感器,也无需专门的故障选线装置,具有较高的经济性。2. The method, system, medium and electronic equipment described in this disclosure can only use the current information collected by each feeder terminal to select the faulty line and locate the faulty section, without the need to install voltage transformers at each switch. No special fault line selection device is needed, and it has high economy.
3、本公开所述的方法、系统、介质及电子设备,充分体现了零序故障电流在继电保护中的优良性能,能够可靠选择故障线路,定位故障区段,不受故障位置影响,耐受过渡电阻能力强,且具有较高的灵敏度。3. The method, system, medium and electronic equipment described in this disclosure fully reflect the excellent performance of zero-sequence fault current in relay protection, and can reliably select fault lines, locate fault sections, and are not affected by fault locations. It has strong ability to receive transition resistance and has high sensitivity.
4、本公开所述的方法、系统、介质及电子设备,选线方法原理简单、清楚,识别准确,易于工程实现。4. The method, system, medium and electronic equipment described in the present disclosure have simple and clear principle of the line selection method, accurate identification, and easy engineering implementation.
附图说明Description of drawings
构成本公开的一部分的说明书附图用来提供对本公开的进一步理解,本公开的示意性实施例及其说明用于解释本公开,并不构成对本公开的不当限定。The accompanying drawings that constitute a part of the present disclosure are used to provide further understanding of the present disclosure, and the exemplary embodiments of the present disclosure and their descriptions are used to explain the present disclosure and do not constitute an improper limitation of the present disclosure.
图1为本公开实施例1提供的配电网单相接地故障选线方法的流程示意图。FIG. 1 is a schematic flowchart of a method for selecting a line for a single-phase grounding fault in a power distribution network according to
图2为本公开实施例1提供的柔性接地系统原理图。FIG. 2 is a schematic diagram of the flexible grounding system provided in
图3为本公开实施例1提供的配电网仿真模型图。FIG. 3 is a diagram of a simulation model of a distribution network provided by
图4为本公开实施例1提供的F2点发生单相接地故障后系统零序网络图。FIG. 4 is a zero-sequence network diagram of the system after a single-phase grounding fault occurs at point F2 according to
具体实施方式Detailed ways
下面结合附图与实施例对本公开作进一步说明。The present disclosure will be further described below with reference to the accompanying drawings and embodiments.
应该指出,以下详细说明都是例示性的,旨在对本公开提供进一步的说明。除非另有指明,本文使用的所有技术和科学术语具有与本公开所属技术领域的普通技术人员通常理解的相同含义。It should be noted that the following detailed description is exemplary and intended to provide further explanation of the present disclosure. Unless otherwise defined, all technical and scientific terms used herein have the same meaning as commonly understood by one of ordinary skill in the art to which this disclosure belongs.
需要注意的是,这里所使用的术语仅是为了描述具体实施方式,而非意图限制根据本公开的示例性实施方式。如在这里所使用的,除非上下文另外明确指出,否则单数形式也意图包括复数形式,此外,还应当理解的是,当在本说明书中使用术语“包含”和/或“包括”时,其指明存在特征、步骤、操作、器件、组件和/或它们的组合。It should be noted that the terminology used herein is for the purpose of describing specific embodiments only, and is not intended to limit the exemplary embodiments according to the present disclosure. As used herein, unless the context clearly dictates otherwise, the singular is intended to include the plural as well, furthermore, it is to be understood that when the terms "comprising" and/or "including" are used in this specification, it indicates that There are features, steps, operations, devices, components and/or combinations thereof.
在不冲突的情况下,本公开中的实施例及实施例中的特征可以相互组合。The embodiments of this disclosure and features of the embodiments may be combined with each other without conflict.
实施例1:Example 1:
如图1所示,本公开实施例1提供了一种配电网单相接地故障选线方法,包括以下步骤:As shown in FIG. 1 ,
S1:实时采集流过馈线区段各开关处的a、b、c三相电流和中性点电压;S1: Real-time collection of a, b, c three-phase currents and neutral point voltages flowing through each switch in the feeder section;
S2:检测到中性点电压大于0.4UN时,视为单相接地故障发生,记录此时刻t0;S2: When it is detected that the neutral point voltage is greater than 0.4UN , it is regarded as a single-phase ground fault occurs, and this time t0 is recorded;
S3:各馈线终端通过快速傅里叶变换计算相应开关处的零序电流幅值;S3: Calculate the zero-sequence current amplitude at the corresponding switch through fast Fourier transform at each feeder terminal;
S4:当t=t0+10s时,检测此时中性点的电压,若电压值小于0.4UN,则可认为单相故障消失;否则,单相故障继续存在,此时控制中性点消弧线圈并联电阻投入;S4: When t=t0 +10s, check the voltage of the neutral point at this time. If the voltage value is less than 0.4UN , it can be considered that the single-phase fault has disappeared; otherwise, the single-phase fault continues to exist, and the neutral point is controlled at this time. Arc suppression coil parallel resistance input;
S5:各馈线终端再次计算相应开关处的零序电流幅值;S5: Each feeder terminal calculates the zero-sequence current amplitude at the corresponding switch again;
S6:计算并联电阻投入前后馈线各开关处零序电流幅值差的绝对值;S6: Calculate the absolute value of the zero-sequence current amplitude difference at each switch of the feeder before and after the parallel resistance is switched on;
S7:计算馈线相邻开关处零序电流幅值差的绝对值之比,当该值大于门槛值时判定为故障区段,该线路即为故障线路。S7: Calculate the ratio of the absolute value of the zero-sequence current amplitude difference at the adjacent switches of the feeder. When the value is greater than the threshold value, it is determined as a faulty section, and the line is a faulty line.
其中,所述步骤S4中,其原理为:Wherein, in the step S4, the principle is:
图2所示为中性点经柔性接地系统原理图,中性点柔性接地技术是在传统中性点经消弧线圈接地方式的基础上,在中性点消弧线圈上串联或并联一定大小的电阻,在发生单相接地故障后一定时间投入运行,由电阻和消弧线圈共同补偿配电网,起到放大故障信号的作用。该接地方式结合了经消弧线圈接地和经电阻接地的优点,并且互补了不足之处。Figure 2 shows the principle diagram of the neutral point via the flexible grounding system. The neutral point flexible grounding technology is based on the traditional grounding method of the neutral point via the arc suppression coil. The neutral point arc suppression coil is connected in series or parallel to a certain size. After the single-phase grounding fault occurs, it will be put into operation for a certain period of time, and the resistance and arc suppression coil will jointly compensate the distribution network and play a role in amplifying the fault signal. This grounding method combines the advantages of grounding via arc suppression coil and grounding via resistance, and complements the shortcomings.
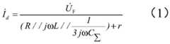
图中为故障相等效电压,r为接地点过渡电阻,为接地电流,C∑是系统等效电容,为流过等效电容的电流,L为消弧线圈,为流过消弧线圈的电流,R为中性点消弧线圈并联电阻,为流过并联电阻的电流。当投入中性点并联电阻R后,接地电流电容电流和中性点电压变为:pictured is the equivalent voltage of the faulty phase,r is the transition resistance of the grounding point, is the ground current, C∑ is the system equivalent capacitance, is the current flowing through the equivalent capacitor, L is the arc suppression coil, is the current flowing through the arc suppression coil, R is the parallel resistance of the neutral point arc suppression coil, is the current flowing through the parallel resistor. When the neutral point parallel resistance R is put in, the ground current Capacitor current and neutral point voltage becomes:
由式(1)、(2)和(3)可见,系统接地点电流、电容电流在投入电阻后升高,中性点电压降低。由此可见,中性点柔性接地方式可以抑制中性点电压的升高,放大故障信号,可以用于故障选线。当系统发生单相接地故障后,中性点电压升高至UN,但由于配网实际运行中各设备会引入误差且发生两相接地故障后中性点电压升高为0.33UN,故确定当配网中性点电压上升至0.4UN时,视为单相接地故障发生,UN为额定相电压。It can be seen from equations (1), (2) and (3) that the system ground point current and capacitor current increase after the resistance is input, and the neutral point voltage decreases. It can be seen that the neutral point flexible grounding method can suppress the rise of the neutral point voltage, amplify the fault signal, and can be used for fault line selection. When a single-phase ground fault occurs in the system, the neutral point voltage rises to UN, but due to the fact thateach device will introduce errors in the actual operation of the distribution network and the neutral point voltage rises to 0.33 UN after a two- phase ground fault occurs, Therefore, it is determined that when the neutral point voltage of the distribution network rises to 0.4UN , it is regarded as a single-phase grounding fault, and UN is the rated phase voltage.
步骤S5中,测量并联电阻后零序电流幅值的原理为:In step S5, the principle of measuring the zero-sequence current amplitude after parallel resistance is as follows:
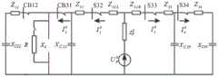
以图3所示单母线3回出线的配电网为例,正常工况下中性点经消弧线圈接地,消弧线圈并联电阻R不投入,故障点F1,F2,F3分别位于B1-B2、B2-B3、B3-B4区段,图中Sij为分段开关,均位于区段首端。Taking the distribution network of single busbar and 3-circuit outlet as shown in Figure 3 as an example, under normal conditions, the neutral point is grounded through the arc suppression coil, the parallel resistance R of the arc suppression coil is not put into use, and the fault points F1, F2, and F3 are located at B1- Sections B2, B2-B3, and B3-B4, Sij in the figure is a section switch, all located at the head end of the section.
理论上,系统发生单相接地故障时,非故障线路的零序电流等于该线路三相对地电容电流的相量和。故障线路零序电流等于其他所有非故障线路零序电流、消弧线圈等补偿电流的相量和。当图2所示line3馈线上F2点发生单相接地故障时,其零序网络如图4所示。Theoretically, when a single-phase-to-ground fault occurs in the system, the zero-sequence current of the non-faulted line is equal to the phasor sum of the three-phase-to-ground capacitive currents of the line. The zero-sequence current of the faulty line is equal to the phasor sum of the zero-sequence current of all other non-faulted lines, and the compensation current of the arc suppression coil. When a single-phase grounding fault occurs at point F2 on the line3 feeder shown in Figure 2, its zero-sequence network is shown in Figure 4.
系统零序电流均由故障点附加的零序电源提供。图4中,至分别为流过分段开关和断路器的零序电流。Z32L和Z32R分别为B2-B3区段两端到故障点的零序阻抗。Z31为B1-B2区段之间的零序阻抗,Z33为B3-B4区段之间的零序阻抗。Z34为B4之后区段的零序阻抗。Z12为line1和line2的零序等效阻抗。XL为消弧线圈感抗,XCij分别为各段线路对地容抗。为故障点过渡电阻。由图4可计算得到故障发生后故障点两侧零序网络的零序电流和阻抗:The zero-sequence current of the system is supplied by the additional zero-sequence power supply at the fault point supply. In Figure 4, to are the zero-sequence currents flowing through the sectional switch and the circuit breaker, respectively. Z32L and Z32R are the zero-sequence impedances from both ends of the B2-B3 section to the fault point, respectively. Z31 is the zero-sequence impedance between the B1-B2 sections, and Z33 is the zero-sequence impedance between the B3-B4 sections. Z34 is the zero sequence impedance of the section after B4. Z12 is the zero-sequence equivalent impedance of line1 and line2.XL is the inductive reactance of the arc suppression coil, and XCij is the capacitive reactance of each section of the line to the ground. Transition resistance for the fault point. From Figure 4, the zero-sequence current and impedance of the zero-sequence network on both sides of the fault point after the fault can be calculated:
Zleft=Z32L+[Z31+XC31//XL//(Z12+XC12)] (6)Zleft = Z32L +[Z31 +XC31 //XL //(Z12 +XC12 )] (6)
Zright=Z32R+[Z33+XC33//(Z34+XC34)] (7)Zright = Z32R +[Z33 +XC33 //(Z34 +XC34 )] (7)
并联电阻后,Zleft值变小,Zright不变,零序网络电流增大,故变大,基本不变。After connecting the resistors in parallel, the Zleft value becomes smaller, the Zright remains unchanged, and the zero-sequence network current increases, so get bigger, Basically unchanged.
综合以上分析,并联电阻后故障点到电源侧之间的零序电流增加,而故障点到负荷侧零序电流基本不变。Based on the above analysis, the zero-sequence current between the fault point and the power supply side increases after the parallel resistance, while the zero-sequence current from the fault point to the load side is basically unchanged.
步骤S6和步骤S7中,基于零序电流幅值增量比的原理为:In steps S6 and S7, the principle based on the zero-sequence current amplitude increment ratio is:
通过并联电阻后的电流特征,构造零序电流增量比的故障选线与区段定位判据。设投入电阻前流过线路各区段首端分段开关的零序电流幅值为投入电阻后流过线路各区段首端分段开关的零序电流幅值为设Δi为各区段投入电阻前后的零序电流增量,(i=1,2,3···),零序电流增量比α为相邻区段Δi之比:The fault line selection and section location criterion of the zero-sequence current increment ratio are constructed through the current characteristics of the parallel resistors. Set the zero-sequence current amplitude that flows through the segment switch at the head end of each section of the line before the resistance is switched on as After switching on the resistance, the zero-sequence current amplitude that flows through the segment switch at the head end of each section of the line is Let Δi be the zero-sequence current increment before and after each section is put into resistance, (i=1, 2, 3...), the zero-sequence current increment ratio α is the ratio of adjacent sections Δi :
α=|ΔiΔi+1| (8)α=|Δi Δi+1 | (8)
根据以上分析,理论上零序电流幅值增量比满足:According to the above analysis, theoretically, the zero-sequence current amplitude increment ratio satisfies:
由于实际系统中CT传变、二次信号传输以及终端计算等引入的误差,从而导致零序电流增量比α的计算值存在一定的偏差,考虑到可靠性,构建零序电流增量判据如下:Due to the errors introduced by CT transmission, secondary signal transmission and terminal calculation in the actual system, there is a certain deviation in the calculated value of the zero-sequence current increment ratio α. Considering the reliability, the zero-sequence current increment criterion is constructed. as follows:
单相接地故障选线与故障区段定位流程如图4所示:The process of single-phase ground fault line selection and fault section location is shown in Figure 4:
利用Simulink构建中性点经柔性接地配电网仿真模型,对故障选线和区段定位方法进行仿真验证:Simulink is used to build a simulation model of a neutral point through flexible grounded distribution network, and the method of fault line selection and section location is simulated and verified:
1)建立模型1) Build the model
在Simulink中建立如图3所示中压配电网模型,系统基准电压为10.5kV,采样频率为100kHz。line1为电缆线路,line2、line3为架空线。设置不同故障情形,对所提故障选线与区段定位方法进行仿真分析。The medium-voltage distribution network model shown in Figure 3 is established in Simulink, the system reference voltage is 10.5kV, and the sampling frequency is 100kHz. line1 is a cable line, and line2 and line3 are overhead lines. Different fault situations are set, and the proposed fault line selection and section location method are simulated and analyzed.
架空线正序参数:R1=0.013Ω/km,L1=0.93mH/km,C1=0.013μF/km。架空线零序参数:R0=0.39Ω/km,L0=4.12mH/km,C0=0.075μF/km。Overhead line positive sequence parameters: R1 =0.013Ω/km, L1 =0.93mH/km, C1 =0.013μF/km. Overhead line zero sequence parameters: R0 =0.39Ω/km, L0 =4.12mH/km, C0 =0.075μF/km.
电缆正序参数:R1=0.270Ω/km,L1=0.255mH/km,C1=0.339μF/km。电缆零序参数:R0=2.700Ω/km,L0=1.019mH/km,C0=0.280μF/km。Cable positive sequence parameters: R1 =0.270Ω/km, L1 =0.255mH/km, C1 =0.339μF/km. Cable zero sequence parameters: R0 =2.700Ω/km, L0 =1.019mH/km, C0 =0.280μF/km.
line1、2的长度均为15km,line3的区段B1-B2、B2-B3、B3-B4的长度分别为11km,6km,3km。line3各分支线路总长为20km。The lengths of lines1 and 2 are both 15km, and the lengths of sections B1-B2, B2-B3, and B3-B4 of line3 are 11km, 6km, and 3km, respectively. The total length of each branch line of line3 is 20km.
消弧线圈过补偿度取10%,计算得到消弧线圈等效电感L=0.7313H。根据模型计算line3馈线末端发生三相短路时,line3出口保护动作电流为897.74A,而并联的电阻取100Ω投入时不会引起保护动作,若为永久性单相接地故障则可继续运行一段时间。The overcompensation degree of the arc suppression coil is taken as 10%, and the equivalent inductance of the arc suppression coil is calculated to be L=0.7313H. According to the model calculation, when a three-phase short circuit occurs at the end of the line3 feeder, the protection action current of the line3 outlet is 897.74A, and the parallel resistance of 100Ω will not cause protection action, and if it is a permanent single-phase ground fault, it can continue to operate for a period of time.
2)典型故障仿真2) Typical fault simulation
a)金属性单相接地故障时,仿真结果如表1-表6所示。表中I0为电阻投入前零序电流幅值,I'0为电阻投入后零序电流幅值。a) When a metallic single-phase ground fault occurs, the simulation results are shown in Table 1-Table 6. In the table, I0 is the zero-sequence current amplitude before the resistor is put in, and I'0 is the zero-sequence current amplitude after the resistor is put in.
表1:F1点发生C相接地故障时的仿真结果。Table 1: Simulation results when a C-phase-to-ground fault occurs at point F1.
表2:F1点发生C相接地故障时非故障线路的仿真结果。Table 2: Simulation results of non-faulted lines when C-phase-to-ground fault occurs at point F1.
表3:F2点发生C相接地故障时的仿真结果。Table 3: Simulation results when a C-phase-to-ground fault occurs at point F2.
表4:F2点发生C相接地故障时非故障线路的仿真结果。Table 4: Simulation results of non-faulted lines with C-phase-to-ground fault at point F2.
表5:F3点发生C相接地故障时的仿真结果。Table 5: Simulation results when a C-phase-to-ground fault occurs at point F3.
表6:F3点发生C相接地故障时非故障线路的仿真结果。Table 6: Simulation results of non-faulted lines with C-phase-to-ground fault at point F3.
由表1、表3与表5仿真结果可知,无论单相接地故障发生在line3任一区段,故障点到电源侧各区段内的零序电流增量均大于故障点到负荷侧各区段内零序电流增量,非故障区段α均在0~3以内,故障区段α均大于3。由表2、表4与表6仿真结果,当line3任一区段发生单相接地故障后,非故障线路α均在0~3以内。因此,对于配电网单相接地故障,本发明所提的基于零序电流幅值增量比的故障选线与区段定位方法能够准确选线和定位故障区段。From the simulation results in Table 1, Table 3 and Table 5, it can be seen that no matter the single-phase grounding fault occurs in any section of
b)经电阻接地情况仿真b) Simulation of grounding situation through resistance
在Simulink当中分别设置了过渡电阻为50Ω、300Ω、1000Ω和1500Ω进行仿真验证,在此仅给出经300Ω和1500Ω过渡电阻接地时的仿真结果。In Simulink, the transition resistances are set to 50Ω, 300Ω, 1000Ω and 1500Ω respectively for simulation verification. Only the simulation results when the transition resistances of 300Ω and 1500Ω are grounded are given here.
b-1)过渡电阻为300Ω时的仿真结果分别如表7-12所示。表中I0为电阻投入前零序电流幅值,I'0为电阻投入后零序电流幅值。b-1) The simulation results when the transition resistance is 300Ω are shown in Table 7-12 respectively. In the table, I0 is the zero-sequence current amplitude before the resistor is put in, and I'0 is the zero-sequence current amplitude after the resistor is put in.
表7:F1点发生C相接地故障时的仿真结果。Table 7: Simulation results when a C-phase-to-ground fault occurs at point F1.
表8:F1点发生C相接地故障时非故障线路的仿真结果。Table 8: Simulation results of non-faulted lines with C-phase-to-ground fault at point F1.
表9:F2点发生C相接地故障时的仿真结果。Table 9: Simulation results for a C-phase-to-ground fault at point F2.
表10:F2点发生C相接地故障时非故障线路的仿真结果。Table 10: Simulation results of non-faulted lines with C-phase-to-ground fault at point F2.
表11:F3点发生C相接地故障时的仿真结果。Table 11: Simulation results for a C-phase-to-ground fault at point F3.
表12:F3点发生C相接地故障时非故障线路的仿真结果。Table 12: Simulation results of non-faulted lines with C-phase-to-ground fault at point F3.
b-2)接地电阻为1500Ω仿真结果如表13-18所示。b-2) The grounding resistance is 1500Ω The simulation results are shown in Table 13-18.
表13:F1点发生C相接地故障时的仿真结果。Table 13: Simulation results for a C-phase-to-ground fault at point F1.
表14:F1点发生C相接地故障时非故障线路的仿真结果。Table 14: Simulation results of non-faulted lines with C-phase-to-ground fault at point F1.
表15:F2点发生C相接地故障时的仿真结果。Table 15: Simulation results for a C-phase-to-ground fault at point F2.
表16:F2点发生C相接地故障时非故障线路的仿真结果。Table 16: Simulation results of non-faulted lines with C-phase-to-ground fault at point F2.
表17:F3点发生C相接地故障时的仿真结果。Table 17: Simulation results for a C-phase-to-ground fault at point F3.
表18:F3点发生C相接地故障时非故障线路的仿真结果。Table 18: Simulation results of non-faulted lines with C-phase-to-ground fault at point F3.
由表7、表9与表11仿真结果可知,当接地电阻为300Ω时,无论单相接地故障发生在line3任一区段,故障线路从故障点到电源侧各区段内的零序电流增量均大于故障点到负荷侧各区段内的零序电流增量,非故障区段α均在0~3以内,故障区段α均大于3。From the simulation results in Table 7, Table 9 and Table 11, it can be seen that when the grounding resistance is 300Ω, no matter the single-phase grounding fault occurs in any section of
由表8、表10与表12仿真结果,当line3任一区段发生单相接地故障后,非故障线路α均在0~3以内。当接地电阻为1500Ω时,虽然接地电阻增大导致流过系统的零序电流减小,但利用该方法仍能正确选线和定位故障区段。From the simulation results in Table 8, Table 10 and Table 12, when a single-phase ground fault occurs in any section of
因此,对于配电网单相接地故障,本发明所提的基于零序电流幅值增量比的故障选线与区段定位方法能够准确选线和定位故障区段。Therefore, for the single-phase grounding fault of the distribution network, the fault line selection and section location method based on the zero-sequence current amplitude increment ratio proposed by the present invention can accurately select the line and locate the fault section.
由以上仿真结果可知,本实施例提出的基于零序电流幅值增量比的故障选线与区段定位方法能够具有较强的耐受过渡电阻能力及较高的可靠性与灵敏性。It can be seen from the above simulation results that the fault line selection and section location method based on the zero-sequence current amplitude increment ratio proposed in this embodiment can have a strong ability to withstand transition resistance and high reliability and sensitivity.
本实施例利用馈线各区段开关处零序电流的幅值特征,先构造中性点并联电阻投入前后各区段零序电流幅值差,利用相邻区段零序电流幅值差的绝对值之比构造识别判据,再通过该比值大小选择故障线路和定位故障区段。Simulink仿真结果表明,在不同位置的单相接地故障条件下,本发明均能正确选择故障线路和定位故障区段,且具有较强的耐受过渡电阻能力,另外,该发明仅利用零序电流信息,无需其他选线装置,具有良好的经济性。In this embodiment, the amplitude characteristics of the zero-sequence current at the switches of each section of the feeder are used to first construct the zero-sequence current amplitude difference of each section before and after the neutral point shunt resistance is put in, and use the absolute value of the zero-sequence current amplitude difference of the adjacent sections. The identification criterion is constructed by the ratio, and the faulty line is selected and the faulty section is located according to the ratio. Simulink simulation results show that under the condition of single-phase grounding faults at different positions, the present invention can correctly select the fault line and locate the fault section, and has a strong ability to withstand transition resistance. In addition, the present invention only uses the zero-sequence current information, no other line selection device is required, and it has good economy.
本实施例中,各条馈线的馈线终端间实时通信,来实现故障选线,也可以各个馈线终端与终端控制器实时通信,通过终端控制器实现故障选线。In this embodiment, real-time communication between feeder terminals of each feeder is used to implement fault line selection, or real-time communication between each feeder terminal and a terminal controller can be used to implement fault line selection through the terminal controller.
实施例2:Example 2:
本公开实施例2提供了一种配电网单相接地故障选线系统,包括:Embodiment 2 of the present disclosure provides a single-phase-to-ground fault line selection system for a power distribution network, including:
数据获取模块,被配置为:获取流过馈线区段各开关处的三相电流和中性点电压;a data acquisition module, configured to: acquire the three-phase current and neutral point voltage flowing through each switch of the feeder section;
故障预判模块,被配置为:当中性点电压大于第一预设阈值时,单相接地故障发生,设定为第一时刻;The fault prediction module is configured to: when the neutral point voltage is greater than the first preset threshold, a single-phase ground fault occurs, and set it as the first moment;
电阻投切模块,被配置为:获取各个开关处的零序电流幅值,当第一时刻后的预设时间内中性点的电压依然大于第一预设阈值时,向中性点消弧线圈的并联电阻发出投入指令;The resistance switching module is configured to: obtain the zero-sequence current amplitude at each switch, and when the voltage of the neutral point is still greater than the first preset threshold within the preset time after the first moment, the arc is extinguished to the neutral point The parallel resistance of the coil sends out the input command;
数据处理模块,被配置为:再次计算相应开关处的零序电流幅值,得到并联电阻投入前后馈线各开关处零序电流幅值差的绝对值;The data processing module is configured to: calculate the zero-sequence current amplitude at the corresponding switch again, and obtain the absolute value of the zero-sequence current amplitude difference at each switch of the feeder before and after the parallel resistor is switched on;
故障区段识别模块,被配置为:计算馈线相邻开关处零序电流幅值差的绝对值之比,当该值大于第二预设阈值时判定为故障区段,故障区段所在线路为故障线路。The fault section identification module is configured to: calculate the ratio of the absolute value of the zero-sequence current amplitude difference at the adjacent switches of the feeder, when the value is greater than the second preset threshold, it is determined to be a fault section, and the line where the fault section is located is faulty line.
所述系统的工作方法与实施例1中的配电网单相接地故障选线方法相同,这里不再赘述。The working method of the system is the same as that of the single-phase-to-ground fault line selection method of the power distribution network in
实施例3:Example 3:
本公开实施例3提供了一种介质,其上存储有程序,该程序被处理器执行时实现如本公开第一方面所述的配电网单相接地故障选线方法中的步骤,所述步骤为:
获取流过馈线区段各开关处的三相电流和中性点电压;Obtain the three-phase current and neutral point voltage flowing through each switch in the feeder section;
当中性点电压大于第一预设阈值时,单相接地故障发生,设定为第一时刻;When the neutral point voltage is greater than the first preset threshold, a single-phase ground fault occurs, and it is set as the first moment;
获取各个开关处的零序电流幅值,当第一时刻后的预设时间内中性点的电压依然大于第一预设阈值时,向中性点消弧线圈的并联电阻发出投入指令;Obtain the zero-sequence current amplitude at each switch, and when the voltage of the neutral point is still greater than the first preset threshold within a preset time after the first moment, send an input command to the parallel resistance of the neutral point arc suppression coil;
再次计算相应开关处的零序电流幅值,得到并联电阻投入前后馈线各开关处零序电流幅值差的绝对值;Calculate the zero-sequence current amplitude at the corresponding switch again, and obtain the absolute value of the zero-sequence current amplitude difference at each switch of the feeder before and after the parallel resistor is switched on;
计算馈线相邻开关处零序电流幅值差的绝对值之比,当该值大于第二预设阈值时判定为故障区段,故障区段所在线路为故障线路。Calculate the ratio of the absolute value of the zero-sequence current amplitude difference at the adjacent switches of the feeder, when the value is greater than the second preset threshold, it is determined as a faulty section, and the line where the faulty section is located is a faulty line.
详细步骤与实施例1中的配电网单相接地故障选线方法相同,这里不再赘述。The detailed steps are the same as the line selection method for the single-phase grounding fault of the power distribution network in
实施例4:Example 4:
本公开实施例4提供了一种设备,包括存储器、处理器及存储在存储器上并可在处理器上运行的程序,所述处理器执行所述程序时实现如本公开实施例1所述的配电网单相接地故障选线方法中的步骤,所述步骤为:Embodiment 4 of the present disclosure provides a device, including a memory, a processor, and a program stored in the memory and executable on the processor, where the processor implements the method described in
获取流过馈线区段各开关处的三相电流和中性点电压;Obtain the three-phase current and neutral point voltage flowing through each switch in the feeder section;
当中性点电压大于第一预设阈值时,单相接地故障发生,设定为第一时刻;When the neutral point voltage is greater than the first preset threshold, a single-phase ground fault occurs, and it is set as the first moment;
获取各个开关处的零序电流幅值,当第一时刻后的预设时间内中性点的电压依然大于第一预设阈值时,向中性点消弧线圈的并联电阻发出投入指令;Obtain the zero-sequence current amplitude at each switch, and when the voltage of the neutral point is still greater than the first preset threshold within a preset time after the first moment, send an input instruction to the parallel resistance of the neutral point arc suppression coil;
再次计算相应开关处的零序电流幅值,得到并联电阻投入前后馈线各开关处零序电流幅值差的绝对值;Calculate the zero-sequence current amplitude at the corresponding switch again, and obtain the absolute value of the zero-sequence current amplitude difference at each switch of the feeder before and after the parallel resistor is switched on;
计算馈线相邻开关处零序电流幅值差的绝对值之比,当该值大于第二预设阈值时判定为故障区段,故障区段所在线路为故障线路。Calculate the ratio of the absolute value of the zero-sequence current amplitude difference at the adjacent switches of the feeder, when the value is greater than the second preset threshold, it is determined as a faulty section, and the line where the faulty section is located is a faulty line.
详细步骤与实施例1中的配电网单相接地故障选线方法相同,这里不再赘述。The detailed steps are the same as the line selection method for the single-phase grounding fault of the power distribution network in
本领域内的技术人员应明白,本公开的实施例可提供为方法、系统、或计算机程序产品。因此,本公开可采用硬件实施例、软件实施例、或结合软件和硬件方面的实施例的形式。而且,本公开可采用在一个或多个其中包含有计算机可用程序代码的计算机可用存储介质(包括但不限于磁盘存储器和光学存储器等)上实施的计算机程序产品的形式。As will be appreciated by one skilled in the art, embodiments of the present disclosure may be provided as a method, system, or computer program product. Accordingly, the present disclosure may take the form of a hardware embodiment, a software embodiment, or an embodiment combining software and hardware aspects. Furthermore, the present disclosure may take the form of a computer program product embodied on one or more computer-usable storage media having computer-usable program code embodied therein, including but not limited to disk storage, optical storage, and the like.
本公开是参照根据本公开实施例的方法、设备(系统)、和计算机程序产品的流程图和/或方框图来描述的。应理解可由计算机程序指令实现流程图和/或方框图中的每一流程和/或方框、以及流程图和/或方框图中的流程和/或方框的结合。可提供这些计算机程序指令到通用计算机、专用计算机、嵌入式处理机或其他可编程数据处理设备的处理器以产生一个机器,使得通过计算机或其他可编程数据处理设备的处理器执行的指令产生用于实现在流程图一个流程或多个流程和/或方框图一个方框或多个方框中指定的功能的装置。The present disclosure is described with reference to flowchart illustrations and/or block diagrams of methods, apparatus (systems), and computer program products according to embodiments of the disclosure. It will be understood that each flow and/or block in the flowchart illustrations and/or block diagrams, and combinations of flows and/or blocks in the flowchart illustrations and/or block diagrams, can be implemented by computer program instructions. These computer program instructions may be provided to the processor of a general purpose computer, special purpose computer, embedded processor or other programmable data processing device to produce a machine such that the instructions executed by the processor of the computer or other programmable data processing device produce Means for implementing the functions specified in a flow or flow of a flowchart and/or a block or blocks of a block diagram.
这些计算机程序指令也可存储在能引导计算机或其他可编程数据处理设备以特定方式工作的计算机可读存储器中,使得存储在该计算机可读存储器中的指令产生包括指令装置的制造品,该指令装置实现在流程图一个流程或多个流程和/或方框图一个方框或多个方框中指定的功能。These computer program instructions may also be stored in a computer-readable memory capable of directing a computer or other programmable data processing apparatus to function in a particular manner, such that the instructions stored in the computer-readable memory result in an article of manufacture comprising instruction means, the instructions The apparatus implements the functions specified in the flow or flow of the flowcharts and/or the block or blocks of the block diagrams.
这些计算机程序指令也可装载到计算机或其他可编程数据处理设备上,使得在计算机或其他可编程设备上执行一系列操作步骤以产生计算机实现的处理,从而在计算机或其他可编程设备上执行的指令提供用于实现在流程图一个流程或多个流程和/或方框图一个方框或多个方框中指定的功能的步骤。These computer program instructions can also be loaded on a computer or other programmable data processing device to cause a series of operational steps to be performed on the computer or other programmable device to produce a computer-implemented process such that The instructions provide steps for implementing the functions specified in the flow or blocks of the flowcharts and/or the block or blocks of the block diagrams.
本领域普通技术人员可以理解实现上述实施例方法中的全部或部分流程,是可以通过计算机程序来指令相关的硬件来完成,所述的程序可存储于一计算机可读取存储介质中,该程序在执行时,可包括如上述各方法的实施例的流程。其中,所述的存储介质可为磁碟、光盘、只读存储记忆体(Read-Only Memory,ROM)或随机存储记忆体(RandomAccessMemory,RAM)等。Those of ordinary skill in the art can understand that all or part of the processes in the methods of the above embodiments can be implemented by instructing relevant hardware through a computer program, and the program can be stored in a computer-readable storage medium. During execution, the processes of the embodiments of the above-mentioned methods may be included. The storage medium may be a magnetic disk, an optical disk, a read-only memory (Read-Only Memory, ROM), or a random access memory (Random Access Memory, RAM) or the like.
以上所述仅为本公开的优选实施例而已,并不用于限制本公开,对于本领域的技术人员来说,本公开可以有各种更改和变化。凡在本公开的精神和原则之内,所作的任何修改、等同替换、改进等,均应包含在本公开的保护范围之内。The above descriptions are only preferred embodiments of the present disclosure, and are not intended to limit the present disclosure. For those skilled in the art, the present disclosure may have various modifications and changes. Any modification, equivalent replacement, improvement, etc. made within the spirit and principle of the present disclosure shall be included within the protection scope of the present disclosure.
| Application Number | Priority Date | Filing Date | Title | 
|---|---|---|---|
| CN202010579503.4ACN111781462A (en) | 2020-06-23 | 2020-06-23 | Line selection method, system, medium and equipment for single-phase grounding fault in distribution network | 
| Application Number | Priority Date | Filing Date | Title | 
|---|---|---|---|
| CN202010579503.4ACN111781462A (en) | 2020-06-23 | 2020-06-23 | Line selection method, system, medium and equipment for single-phase grounding fault in distribution network | 
| Publication Number | Publication Date | 
|---|---|
| CN111781462Atrue CN111781462A (en) | 2020-10-16 | 
| Application Number | Title | Priority Date | Filing Date | 
|---|---|---|---|
| CN202010579503.4APendingCN111781462A (en) | 2020-06-23 | 2020-06-23 | Line selection method, system, medium and equipment for single-phase grounding fault in distribution network | 
| Country | Link | 
|---|---|
| CN (1) | CN111781462A (en) | 
| Publication number | Priority date | Publication date | Assignee | Title | 
|---|---|---|---|---|
| CN112305375A (en)* | 2020-10-26 | 2021-02-02 | 西安工程大学 | High-resistance grounding fault line selection method for resonant grounding system | 
| CN112433175A (en)* | 2020-11-10 | 2021-03-02 | 西安工程大学 | Ungrounded system fault line selection method utilizing zero sequence current multiplication characteristic | 
| CN112485588A (en)* | 2020-11-11 | 2021-03-12 | 云南电网有限责任公司临沧供电局 | Permanent high-resistance fault section positioning method based on cascade H-bridge control | 
| CN112540259A (en)* | 2020-11-05 | 2021-03-23 | 威胜电气有限公司 | Distribution network disconnection fault identification method and system suitable for intelligent power distribution terminal | 
| CN112684282A (en)* | 2020-11-12 | 2021-04-20 | 国网河北省电力有限公司电力科学研究院 | Power distribution network single-phase earth fault identification method and device and terminal equipment | 
| CN112733430A (en)* | 2020-12-21 | 2021-04-30 | 国网安徽省电力有限公司宿州供电公司 | Intelligent line selection and section positioning method and device for power distribution network fault | 
| CN112782528A (en)* | 2020-12-31 | 2021-05-11 | 西安理工大学 | Power distribution network fault section positioning method using PMU | 
| CN112986862A (en)* | 2021-04-27 | 2021-06-18 | 重庆大学 | Single-phase earth fault identification method of small current grounding system | 
| CN113203920A (en)* | 2021-05-11 | 2021-08-03 | 国网山东省电力公司临沂供电公司 | Power distribution network single-phase earth fault positioning system and method | 
| CN113484686A (en)* | 2021-07-20 | 2021-10-08 | 河北地质大学 | Power line fault position determining method, device and terminal | 
| CN113504437A (en)* | 2021-08-02 | 2021-10-15 | 国网江苏省电力有限公司宿迁供电分公司 | Single-phase earth fault interval identification method for neutral point small-resistance earth distribution network | 
| CN113671410A (en)* | 2021-08-23 | 2021-11-19 | 华南理工大学 | Ground fault detection method and system for arc suppression coil and small resistance grounded distribution network | 
| CN113702768A (en)* | 2021-08-31 | 2021-11-26 | 许昌智能继电器股份有限公司 | Line selection method and line selection controller suitable for low-current grounding | 
| CN113702771A (en)* | 2021-09-08 | 2021-11-26 | 国网陕西省电力公司宝鸡供电公司 | Zero-sequence current amplitude comparison grounding line selection method and system for zero-sequence voltage maximum value | 
| CN114397598A (en)* | 2021-11-29 | 2022-04-26 | 国网山东省电力公司电力科学研究院 | Method and system for detecting direction of ground fault based on phase sequence current consistency | 
| CN114720905A (en)* | 2022-03-02 | 2022-07-08 | 长沙理工大学 | A single-phase high-resistance grounding fault identification, protection method and device for a flexible grounding system | 
| CN114784769A (en)* | 2022-05-19 | 2022-07-22 | 国网陕西省电力有限公司西安供电公司 | Distribution network fault partition isolation method based on single-phase ground fault zero-sequence current disturbance | 
| CN114779014A (en)* | 2022-04-30 | 2022-07-22 | 长沙理工大学 | A kind of flexible grounding system fault line selection method and system | 
| CN115144684A (en)* | 2022-05-07 | 2022-10-04 | 云南电网有限责任公司电力科学研究院 | Dynamic zero sequence impedance line selection protection method for power distribution network and related equipment | 
| CN115372758A (en)* | 2022-09-21 | 2022-11-22 | 华北电力科学研究院有限责任公司 | Fault detection method and device for high-resistance ground fault of power distribution network | 
| CN115912637A (en)* | 2022-11-17 | 2023-04-04 | 广东电网有限责任公司茂名供电局 | Ground wire discovery method and system based on real-time state topological relation of ground wire | 
| CN116317161A (en)* | 2023-03-30 | 2023-06-23 | 长沙理工大学 | Neutral point grounding distribution network distributed fault self-healing method based on peer-to-peer communication | 
| CN118169512A (en)* | 2024-03-19 | 2024-06-11 | 南方电网科学研究院有限责任公司 | A method, device, equipment and storage medium for sensing insulation faults in a distribution network | 
| CN119355427A (en)* | 2024-12-25 | 2025-01-24 | 国网山东省电力公司莱芜供电公司 | Fault diagnosis method for medium voltage AC/DC hybrid system based on machine learning | 
| CN120064894A (en)* | 2025-04-30 | 2025-05-30 | 国网浙江省电力有限公司杭州供电公司 | Single-phase earth fault positioning method, system, equipment and medium for power distribution network | 
| Publication number | Priority date | Publication date | Assignee | Title | 
|---|---|---|---|---|
| CN1397807A (en)* | 2002-08-16 | 2003-02-19 | 华中科技大学 | Method for positioning grounding failure region of feed line in low-current grounding system | 
| CN1588741A (en)* | 2004-07-08 | 2005-03-02 | 上海思源电气股份有限公司 | Combined automatic tracing arc extinction compensation and line selecting device | 
| CN1645704A (en)* | 2005-01-20 | 2005-07-27 | 长沙理工大学 | Single-phase gruonded fault protecting method for distributing net | 
| CN101551432A (en)* | 2009-05-07 | 2009-10-07 | 江苏省电力公司常州供电公司 | Power distribution network fault positioning method | 
| CN201408236Y (en)* | 2009-05-07 | 2010-02-17 | 思源电气股份有限公司 | Distribution Network Fault Location Device | 
| CN102520314A (en)* | 2011-11-23 | 2012-06-27 | 北京天能继保电力科技有限公司 | Detection system and detection method for single-phase grounding fault line selection in small current grounding system | 
| CN102866326A (en)* | 2012-09-06 | 2013-01-09 | 国家电网公司 | Distribution network fault line selection method based on zero sequence current variable quantity waveform correlation coefficient matrix | 
| CN103207354A (en)* | 2013-03-13 | 2013-07-17 | 福建省电力有限公司 | Maximum line selection coefficient principle based single-phase earth fault line selection method for power distribution network | 
| CN103207352A (en)* | 2013-03-13 | 2013-07-17 | 福建省电力有限公司 | Method for achieving single-phase earth fault line selection of power distribution network by line selection impedance amplitude characteristic | 
| CN103226176A (en)* | 2013-04-15 | 2013-07-31 | 国家电网公司 | Line selection method for single-phase earth fault of power distribution network | 
| CN103293446A (en)* | 2013-05-20 | 2013-09-11 | 国家电网公司 | Small-current grounding fault line selection method based on arc suppression coil | 
| CN105866608A (en)* | 2016-03-23 | 2016-08-17 | 国网福建省电力有限公司 | Power distribution network fault line selection method based on unique through-flow characteristic of resistive current | 
| CN106370981A (en)* | 2016-09-30 | 2017-02-01 | 中国石油化工股份有限公司 | Fuzzy clustering analysis-based power distribution network fault line selection method | 
| CN106646112A (en)* | 2016-11-16 | 2017-05-10 | 安徽合凯电气科技股份有限公司 | Fast switching arc and harmonic elimination-based single-phase grounding fault line selection and location method | 
| CN106908693A (en)* | 2017-03-06 | 2017-06-30 | 国网浙江苍南县供电有限责任公司 | A kind of arc suppression coil earthing system single-phase grounding selecting method of high-accuracy | 
| CN107907792A (en)* | 2017-11-03 | 2018-04-13 | 国网江苏省电力公司新沂市供电公司 | Neutral by arc extinction coil grounding ring distribution system single-phase grounding selecting method | 
| CN107991579A (en)* | 2017-11-27 | 2018-05-04 | 国网山东省电力公司聊城供电公司 | A kind of distribution single-phase earth fault line selection based on electrical power distribution automatization system, localization method and its realize system | 
| CN108287296A (en)* | 2018-02-07 | 2018-07-17 | 李景禄 | One kind being suitable for unbalance grid high resistance earthing fault reverse starting and route selection method | 
| CN110118913A (en)* | 2018-02-07 | 2019-08-13 | 华北电力大学(保定) | A kind of arc suppression coil dispersion compensation distribution net work earthing fault selection method | 
| Publication number | Priority date | Publication date | Assignee | Title | 
|---|---|---|---|---|
| CN1397807A (en)* | 2002-08-16 | 2003-02-19 | 华中科技大学 | Method for positioning grounding failure region of feed line in low-current grounding system | 
| CN1588741A (en)* | 2004-07-08 | 2005-03-02 | 上海思源电气股份有限公司 | Combined automatic tracing arc extinction compensation and line selecting device | 
| CN1645704A (en)* | 2005-01-20 | 2005-07-27 | 长沙理工大学 | Single-phase gruonded fault protecting method for distributing net | 
| CN101551432A (en)* | 2009-05-07 | 2009-10-07 | 江苏省电力公司常州供电公司 | Power distribution network fault positioning method | 
| CN201408236Y (en)* | 2009-05-07 | 2010-02-17 | 思源电气股份有限公司 | Distribution Network Fault Location Device | 
| CN102520314A (en)* | 2011-11-23 | 2012-06-27 | 北京天能继保电力科技有限公司 | Detection system and detection method for single-phase grounding fault line selection in small current grounding system | 
| CN102866326A (en)* | 2012-09-06 | 2013-01-09 | 国家电网公司 | Distribution network fault line selection method based on zero sequence current variable quantity waveform correlation coefficient matrix | 
| CN103207354A (en)* | 2013-03-13 | 2013-07-17 | 福建省电力有限公司 | Maximum line selection coefficient principle based single-phase earth fault line selection method for power distribution network | 
| CN103207352A (en)* | 2013-03-13 | 2013-07-17 | 福建省电力有限公司 | Method for achieving single-phase earth fault line selection of power distribution network by line selection impedance amplitude characteristic | 
| CN103226176A (en)* | 2013-04-15 | 2013-07-31 | 国家电网公司 | Line selection method for single-phase earth fault of power distribution network | 
| CN103293446A (en)* | 2013-05-20 | 2013-09-11 | 国家电网公司 | Small-current grounding fault line selection method based on arc suppression coil | 
| CN105866608A (en)* | 2016-03-23 | 2016-08-17 | 国网福建省电力有限公司 | Power distribution network fault line selection method based on unique through-flow characteristic of resistive current | 
| CN106370981A (en)* | 2016-09-30 | 2017-02-01 | 中国石油化工股份有限公司 | Fuzzy clustering analysis-based power distribution network fault line selection method | 
| CN106646112A (en)* | 2016-11-16 | 2017-05-10 | 安徽合凯电气科技股份有限公司 | Fast switching arc and harmonic elimination-based single-phase grounding fault line selection and location method | 
| CN106908693A (en)* | 2017-03-06 | 2017-06-30 | 国网浙江苍南县供电有限责任公司 | A kind of arc suppression coil earthing system single-phase grounding selecting method of high-accuracy | 
| CN107907792A (en)* | 2017-11-03 | 2018-04-13 | 国网江苏省电力公司新沂市供电公司 | Neutral by arc extinction coil grounding ring distribution system single-phase grounding selecting method | 
| CN107991579A (en)* | 2017-11-27 | 2018-05-04 | 国网山东省电力公司聊城供电公司 | A kind of distribution single-phase earth fault line selection based on electrical power distribution automatization system, localization method and its realize system | 
| CN108287296A (en)* | 2018-02-07 | 2018-07-17 | 李景禄 | One kind being suitable for unbalance grid high resistance earthing fault reverse starting and route selection method | 
| CN110118913A (en)* | 2018-02-07 | 2019-08-13 | 华北电力大学(保定) | A kind of arc suppression coil dispersion compensation distribution net work earthing fault selection method | 
| Title | 
|---|
| ZHOU DESHENG等: "Resonance Analysis of Small Current Grounding System in Distribution Network", 《2018 CHINA INTERNATIONAL CONFERENCE ON ELECTRICITY DISTRIBUTION (CICED)》* | 
| 周志成等: "消弧线圈并联中阻选线的单相接地试验及分析", 《高压电技术》* | 
| 杨家全等: "零序电流增量故障定位法的影响因素分析", 《电气技术》* | 
| 陆国庆等: "小扰动法与并联电阻法选线方式的比较分析", 《电力设备》* | 
| Publication number | Priority date | Publication date | Assignee | Title | 
|---|---|---|---|---|
| CN112305375A (en)* | 2020-10-26 | 2021-02-02 | 西安工程大学 | High-resistance grounding fault line selection method for resonant grounding system | 
| CN112305375B (en)* | 2020-10-26 | 2023-08-22 | 西安工程大学 | High-resistance grounding fault line selection method for resonant grounding system | 
| CN112540259A (en)* | 2020-11-05 | 2021-03-23 | 威胜电气有限公司 | Distribution network disconnection fault identification method and system suitable for intelligent power distribution terminal | 
| CN112433175A (en)* | 2020-11-10 | 2021-03-02 | 西安工程大学 | Ungrounded system fault line selection method utilizing zero sequence current multiplication characteristic | 
| CN112433175B (en)* | 2020-11-10 | 2023-08-22 | 西安工程大学 | A Fault Line Selection Method for Ungrounded System Using Zero-Sequence Current Multiplication Feature | 
| CN112485588A (en)* | 2020-11-11 | 2021-03-12 | 云南电网有限责任公司临沧供电局 | Permanent high-resistance fault section positioning method based on cascade H-bridge control | 
| CN112485588B (en)* | 2020-11-11 | 2024-02-06 | 云南电网有限责任公司临沧供电局 | Permanent high-resistance fault section positioning method based on cascade H-bridge control | 
| CN112684282A (en)* | 2020-11-12 | 2021-04-20 | 国网河北省电力有限公司电力科学研究院 | Power distribution network single-phase earth fault identification method and device and terminal equipment | 
| CN112684282B (en)* | 2020-11-12 | 2022-07-19 | 国网河北省电力有限公司电力科学研究院 | Power distribution network single-phase earth fault identification method and device and terminal equipment | 
| CN112733430B (en)* | 2020-12-21 | 2024-05-17 | 国网安徽省电力有限公司宿州供电公司 | A method and device for intelligent line selection and section location of distribution network faults | 
| CN112733430A (en)* | 2020-12-21 | 2021-04-30 | 国网安徽省电力有限公司宿州供电公司 | Intelligent line selection and section positioning method and device for power distribution network fault | 
| CN112782528A (en)* | 2020-12-31 | 2021-05-11 | 西安理工大学 | Power distribution network fault section positioning method using PMU | 
| CN112782528B (en)* | 2020-12-31 | 2023-07-18 | 西安理工大学 | A Fault Section Locating Method of Distribution Network Using PMU | 
| CN112986862A (en)* | 2021-04-27 | 2021-06-18 | 重庆大学 | Single-phase earth fault identification method of small current grounding system | 
| CN112986862B (en)* | 2021-04-27 | 2024-04-09 | 重庆大学 | Power distribution network fault indicator sensitivity improving method based on neutral point resistance control | 
| CN113203920A (en)* | 2021-05-11 | 2021-08-03 | 国网山东省电力公司临沂供电公司 | Power distribution network single-phase earth fault positioning system and method | 
| CN113203920B (en)* | 2021-05-11 | 2023-03-24 | 国网山东省电力公司临沂供电公司 | Power distribution network single-phase earth fault positioning system and method | 
| CN113484686A (en)* | 2021-07-20 | 2021-10-08 | 河北地质大学 | Power line fault position determining method, device and terminal | 
| CN113504437A (en)* | 2021-08-02 | 2021-10-15 | 国网江苏省电力有限公司宿迁供电分公司 | Single-phase earth fault interval identification method for neutral point small-resistance earth distribution network | 
| CN113671410A (en)* | 2021-08-23 | 2021-11-19 | 华南理工大学 | Ground fault detection method and system for arc suppression coil and small resistance grounded distribution network | 
| CN113702768A (en)* | 2021-08-31 | 2021-11-26 | 许昌智能继电器股份有限公司 | Line selection method and line selection controller suitable for low-current grounding | 
| CN113702771A (en)* | 2021-09-08 | 2021-11-26 | 国网陕西省电力公司宝鸡供电公司 | Zero-sequence current amplitude comparison grounding line selection method and system for zero-sequence voltage maximum value | 
| CN114397598A (en)* | 2021-11-29 | 2022-04-26 | 国网山东省电力公司电力科学研究院 | Method and system for detecting direction of ground fault based on phase sequence current consistency | 
| CN114720905B (en)* | 2022-03-02 | 2024-09-27 | 长沙理工大学 | Single-phase high-resistance grounding fault identification and protection method and device for flexible grounding system | 
| CN114720905A (en)* | 2022-03-02 | 2022-07-08 | 长沙理工大学 | A single-phase high-resistance grounding fault identification, protection method and device for a flexible grounding system | 
| CN114779014A (en)* | 2022-04-30 | 2022-07-22 | 长沙理工大学 | A kind of flexible grounding system fault line selection method and system | 
| CN115144684B (en)* | 2022-05-07 | 2024-08-20 | 云南电网有限责任公司电力科学研究院 | Dynamic zero sequence impedance line selection protection method for power distribution network and related equipment | 
| CN115144684A (en)* | 2022-05-07 | 2022-10-04 | 云南电网有限责任公司电力科学研究院 | Dynamic zero sequence impedance line selection protection method for power distribution network and related equipment | 
| CN114784769A (en)* | 2022-05-19 | 2022-07-22 | 国网陕西省电力有限公司西安供电公司 | Distribution network fault partition isolation method based on single-phase ground fault zero-sequence current disturbance | 
| CN115372758A (en)* | 2022-09-21 | 2022-11-22 | 华北电力科学研究院有限责任公司 | Fault detection method and device for high-resistance ground fault of power distribution network | 
| CN115912637A (en)* | 2022-11-17 | 2023-04-04 | 广东电网有限责任公司茂名供电局 | Ground wire discovery method and system based on real-time state topological relation of ground wire | 
| CN115912637B (en)* | 2022-11-17 | 2025-07-04 | 广东电网有限责任公司茂名供电局 | Grounding wire discovery method and system based on real-time state topological relationship of grounding wire | 
| CN116317161A (en)* | 2023-03-30 | 2023-06-23 | 长沙理工大学 | Neutral point grounding distribution network distributed fault self-healing method based on peer-to-peer communication | 
| CN118169512A (en)* | 2024-03-19 | 2024-06-11 | 南方电网科学研究院有限责任公司 | A method, device, equipment and storage medium for sensing insulation faults in a distribution network | 
| CN119355427A (en)* | 2024-12-25 | 2025-01-24 | 国网山东省电力公司莱芜供电公司 | Fault diagnosis method for medium voltage AC/DC hybrid system based on machine learning | 
| CN119355427B (en)* | 2024-12-25 | 2025-02-28 | 国网山东省电力公司莱芜供电公司 | Fault diagnosis method for medium voltage AC/DC hybrid system based on machine learning | 
| CN120064894A (en)* | 2025-04-30 | 2025-05-30 | 国网浙江省电力有限公司杭州供电公司 | Single-phase earth fault positioning method, system, equipment and medium for power distribution network | 
| Publication | Publication Date | Title | 
|---|---|---|
| CN111781462A (en) | Line selection method, system, medium and equipment for single-phase grounding fault in distribution network | |
| CN105610147B (en) | A kind of distribution network ground fault arc extinction method based on three-phase cascaded H-bridges current transformer | |
| CN108872783B (en) | Single-phase earth fault section positioning method of resonance earthing system | |
| CN107064729B (en) | Arc suppression coil earthing system single-phase grounding selecting method | |
| CN103474981B (en) | A kind of distribution network single-phase ground protection method based on the multistage differential transformation direction of zero-sequence current | |
| CN103454555B (en) | Based on the one-phase earthing failure in electric distribution network Section Location of parameter identification | |
| CN100511908C (en) | Stable status zero-sequence current increase and assistance device and method | |
| CN108594067A (en) | A kind of Multi-port direct-current distribution network line short fault distance measuring method | |
| CN103474974B (en) | A kind of distribution network single-phase ground protection method based on zero-sequence current Sudden Changing Rate fitting a straight line direction | |
| CN103293446A (en) | Small-current grounding fault line selection method based on arc suppression coil | |
| CN107192922B (en) | Resonant earthed system Earth design method based on phase current phase bit comparison | |
| CN103293448B (en) | Identification method of single-phase ground fault and virtual grounding based on semi-cycle energy ratio | |
| CN107332227A (en) | The singlephase earth fault voltage arc extinguishing method and system of isolated neutral system | |
| CN103063984A (en) | Power distribution network single-phase earth fault line selection method based on line double-terminal negative sequence current | |
| CN107219442B (en) | Resonant earthed system Earth design method based on phase voltage current phase | |
| CN110488155A (en) | A kind of fault line selection method for single-phase-to-ground fault applied to flexible ground system | |
| CN115877129B (en) | A comprehensive determination method for neutral line breakage in low-voltage distribution network based on current and voltage | |
| CN104898029A (en) | Similarity single-phase earth fault line selection method based on active full compensation arc suppression control | |
| CN114465210A (en) | Power distribution network fault arc extinction and feeder line protection device and method based on line voltage series modulation damping grounding | |
| CN118671497A (en) | Permanent fault identification method and system based on load side interphase impedance | |
| CN110850229A (en) | A method of line selection for single-phase grounding fault in distribution network | |
| CN107255765B (en) | A method for locating single-phase grounding fault section of resonant grounding system | |
| CN108872784A (en) | A kind of fault line selection method for single-phase-to-ground fault based on zero-sequence current dynamic change characterization | |
| CN112234579A (en) | Injection type stator grounding protection method and system of large hydraulic generator | |
| CN117434385A (en) | A method and system for locating high-resistance fault sections in active distribution networks based on virtual transition resistance | 
| Date | Code | Title | Description | 
|---|---|---|---|
| PB01 | Publication | ||
| PB01 | Publication | ||
| SE01 | Entry into force of request for substantive examination | ||
| SE01 | Entry into force of request for substantive examination | ||
| RJ01 | Rejection of invention patent application after publication | ||
| RJ01 | Rejection of invention patent application after publication | Application publication date:20201016 |