
技术领域technical field
本发明属于锂电池检测领域,涉及一种基于蒙特卡洛方法的锂电池异常工况数据自组增强方法。The invention belongs to the field of lithium battery detection, and relates to a self-organization enhancement method for lithium battery abnormal working condition data based on a Monte Carlo method.
背景技术Background technique
作为一种能量密度高、使用寿命长、输出清洁的储能装置,锂电池广泛应用于电动汽车、便携式电子设备、带有可再生能源的智能电网等能源系统。过去十年,针对锂电池能量密度和功率输出的研究取得显著进展,但锂电池的安全使用,因其内部电化学反应难于完全观测、运行工况复杂不确定,依然面临着重大挑战。As an energy storage device with high energy density, long service life, and clean output, lithium batteries are widely used in energy systems such as electric vehicles, portable electronic devices, and smart grids with renewable energy. In the past ten years, the research on the energy density and power output of lithium batteries has made significant progress, but the safe use of lithium batteries still faces major challenges due to the difficulty of fully observing the internal electrochemical reactions and the complex and uncertain operating conditions.
许多研究工作利用自采的数据集进行建模和验证,也有部分研究采用NASA、CALCE数据集。这些测量数据的分布并不平衡,例如,NASA数据集中,正常工况的数据达95%,而异常极端环境数据只有5%,且并没有分析是何种原因造成的。CALCE数据集的分布情况与NASA类似。在大部分自采的数据集中,只有很少研究使用了异常数据来考察模型的鲁棒性。数据不平衡将导致训练的ANN模型泛化能力不足,迫使预测框架不能被多个单体共享,即,训练的ANN只能用于一个单体或一种工况。未实现共享的研究有很多,当需要对同一批次多个锂电池进行监测,或更换其中部分电池时,未实现共享的预测框架需重新训练,造成更多的资源浪费。而造成数据不平衡的根本原因在于,实验室条件的测试不能无限枚举锂电池的异常工况(如极端的天气环境、人们使用的不良习惯、偶然的撞击、事故等)。Many research works use self-collected data sets for modeling and verification, and some research uses NASA and CALCE data sets. The distribution of these measurements is not balanced. For example, in the NASA data set, 95% of the data in normal operating conditions and only 5% of the data in abnormal extreme environments, and there is no analysis of what causes it. The distribution of the CALCE dataset is similar to that of NASA. In most self-collected datasets, only a few studies have used anomalous data to examine the robustness of the model. Data imbalance will lead to insufficient generalization ability of the trained ANN model, forcing the prediction framework not to be shared by multiple monomers, i.e., the trained ANN can only be used for one monomer or one case. There are many studies that have not achieved sharing. When multiple lithium batteries in the same batch need to be monitored, or some of them need to be replaced, the prediction framework that has not achieved sharing needs to be retrained, resulting in more waste of resources. The fundamental reason for the imbalance of data is that the test of laboratory conditions cannot infinitely enumerate the abnormal working conditions of lithium batteries (such as extreme weather conditions, bad habits of people's use, accidental impacts, accidents, etc.).
发明内容SUMMARY OF THE INVENTION
有鉴于此,本发明的目的在于从工业数据角度出发,为解决锂电池或其他工业领域中高价值数据稀缺问题提供一种新的数据增强方法,通过小波变换获取异常工况数据的多尺度分量,采用蒙特卡洛方法对多分量自由组合,以产生由真实分量在特定分布下合成的人工数据。In view of this, the purpose of the present invention is to provide a new data enhancement method for solving the scarcity problem of high-value data in lithium batteries or other industrial fields from the perspective of industrial data, obtaining multi-scale components of abnormal working condition data through wavelet transformation, A Monte Carlo method is used to freely combine multiple components to generate artificial data synthesized from the real components under a specific distribution.
为达到上述目的,本发明提供如下技术方案:To achieve the above object, the present invention provides the following technical solutions:
一种基于蒙特卡洛方法的锂电池异常工况数据自组增强方法,包括以下步骤:A self-organization enhancement method for abnormal working condition data of lithium battery based on Monte Carlo method, comprising the following steps:
S1:对小样本锂电池异常工况序列进行小波分解,得到多尺度小波系数;S1: Perform wavelet decomposition on a small sample lithium battery abnormal working condition sequence to obtain multi-scale wavelet coefficients;
S2:将多尺度小波系数映射成m维超空间中点;S2: Map the multi-scale wavelet coefficients to the midpoints of the m-dimensional hyperspace;
S3:对多尺度分量进行蒙特卡洛自组;S3: Monte Carlo self-organization of multi-scale components;
S4:对筛选出的分量进行小波系数重构,以生成合成的锂电池序列。S4: Reconstructing the selected components with wavelet coefficients to generate a synthetic lithium battery sequence.
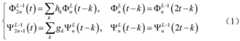
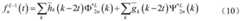
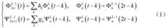
进一步,步骤S1中,对给定的小样本锂电池异常工况序列f(t),包括电压、电流、容量、内阻曲线,其L层的小波包分解为:Further, in step S1, for a given small sample lithium battery abnormal operating condition sequence f(t), including the voltage, current, capacity, and internal resistance curves, the wavelet packet of the L layer is decomposed into:
其中,Φ(t)和Ψ(t)分别为父、母小波,n表示该小波包在所在层中的位置,hk表示低通滤波器,t表示时间,k表示位置坐标,gk表示高通滤波器。Among them, Φ(t) and Ψ(t) are the parent and mother wavelets, respectively, n represents the position of the wavelet packet in the layer, hk represents the low-pass filter, t represents the time, k represents the position coordinate, and gk represents the high pass filter.
进一步,步骤S2中,令x=[x1,x2,…,x2L-1x2L]=[Φ1(t),Ψ1(t),…ΦL(t),ΨL(t)],将多尺度小波系数映射成m维超空间中点(称为粒子),根据具体的样本特性,选取某一层小波系数的维度为空间基准。Further, in step S2, let x=[x1 ,x2 ,...,x2L-1 x2L ]=[Φ1 (t),Ψ1 (t),...ΦL (t),ΨL (t )], the multi-scale wavelet coefficients are mapped into m-dimensional hyperspace midpoints (called particles), and according to the specific sample characteristics, the dimension of a certain layer of wavelet coefficients is selected as the spatial reference.
进一步,步骤S3中,考察2L个粒子构成的系统,其结构由矢量x描述,即粒子状态由{xi}定义,xi为第i个小波系数;系统的平衡分布描述为π(x)∝exp[-U(x)/kBT],其中,kB是热能系数,T为锂电池序列对应的温度,U(x)为代价能量函数,用于描述粒子间的相互作用总和,定义为:Further, in step S3, the system composed of 2L particles is investigated, and its structure is described by the vector x, that is, the particle state is defined by {xi }, and xi is the ith wavelet coefficient; the equilibrium distribution of the system is described as π(x) ∝exp[-U(x)/kB T], where kB is the thermal energy coefficient, T is the temperature corresponding to the lithium battery sequence, U(x) is the cost energy function, which is used to describe the sum of interactions between particles, defined as:
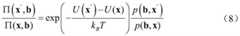
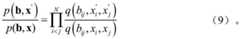
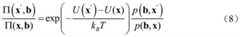
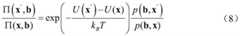
其中,Vij是第i个粒子和第j个粒子间相互作用的能量;定义增广空间分布Π(x,b),其中{x}为初始状态空间,{b}为状态耦合空间,b代表粒子之间耦合的向量,即锂电池序列对应的各尺度小波系数之间的耦合,它具有L(L-1)/2个元素,其耦合方式如下:Among them, Vij is the energy of the interaction between the ith particle and the jth particle; define the augmented space distribution Π(x,b), where {x} is the initial state space, {b} is the state coupling space, b The vector representing the coupling between particles, that is, the coupling between the wavelet coefficients of each scale corresponding to the lithium battery sequence, it has L(L-1)/2 elements, and the coupling method is as follows:
增广空间分布П(x,b)与系统的均衡分布π(x)满足:The augmented space distribution П(x,b) and the system's equilibrium distribution π(x) satisfy:
Π(x,b)=π(x)p(b,x) (4)Π(x,b)=π(x)p(b,x) (4)
其中,p(b,x)表示在给定初始状态x形成耦合状态b={bij}的可能性,写为:where p(b,x) represents the possibility of forming a coupled state b={bij } at a given initial state x, written as:
q函数表示形成一个特定的耦合概率,表示为:The q-function expresses the probability of forming a specific coupling, expressed as:
q(bij,Vij)=bij+(1-2bij)exp[min(Vij,0)/kBΘ] (6)q(bij ,Vij )=bij +(1-2bij )exp[min(Vij ,0)/kB Θ] (6)
根据(6)式,若粒子i和j间的相互作用Vi,j为正,则它们始终不耦合,bi,j=0的概率为1;若Vi,j为负,则当|Vij|≥kΘ时,耦合的概率bi,j=1变为1;Θ表示控制耦合过程的“伪温度”;在实际应用中,将根据异常工况特点确定Θ的取值区间;According to formula (6), if the interaction Vi,j between particles i and j is positive, they are not coupled all the time, and the probability ofbi,j =0 is 1; if Vi,j is negative, then when | When Vij |≥kΘ, the coupling probability bi,j =1 becomes 1; Θ represents the "pseudo temperature" of the control coupling process; in practical applications, the value range of Θ will be determined according to the characteristics of abnormal operating conditions;
基于上述定义,各粒子之间的自组,即,从初始配对x,b开始,生成新配对的算法归结为以下两种模式:Based on the above definition, the self-organization between particles, that is, starting from the initial pairing x, b, the algorithm for generating new pairings boils down to the following two modes:
①选择新的耦合状态b′:对所有bi,j进行零初始化,当i<j且Vi,j<0时,将bi,j设置为1的概率为1-exp[Vij(xi,xj)/kBΘ];此步骤将系统的粒子分为几组,即,通过一系列耦合bi,j=1,粒子相互连接成的粒子集,从而筛选出可进行重构的小波系数;①Select a new coupling state b′: zero-initialize all bi,j , when i<j and Vi,j <0, the probability of settingbi,j to 1 is 1-exp[Vij ( xi , xj )/kB Θ]; this step divides the particles of the system into several groups, that is, through a series of coupling bi, j = 1, the particles are connected to each other to form a particle set, so as to filter out the particles that can be regenerated. constructed wavelet coefficients;
②在初始状态空间进行Metropolis状态转移x→x′:选择粒子j,其余粒子在耦合状态空间约束下,强制与j耦合并按随机方向移动;当完成移动后,计算新能量U(x′);同时,该移动接受的概率表达为:② Perform Metropolis state transition x→x′ in the initial state space: select particle j, and the remaining particles are forced to couple with j and move in random directions under the constraint of the coupled state space; when the movement is completed, calculate the new energy U(x′) ; At the same time, the probability of the move acceptance is expressed as:
式(7)中的概率比进一步表达为:The probability ratio in equation (7) is further expressed as:
其中,in,
进一步,步骤S4中,根据蒙特卡洛仿真筛选出的粒子,即可能耦合的小波系数,按下式对其进行小波系数重构,以生成合成的锂电池序列:Further, in step S4, according to the particles screened by the Monte Carlo simulation, that is, the wavelet coefficients that may be coupled, the wavelet coefficients are reconstructed according to the following formula to generate a synthetic lithium battery sequence:
其中,为筛选出的小波系数。in, is the filtered wavelet coefficients.
本发明的有益效果在于:本发明兼顾了数据来源的真实性和数据分布的重构性,为不平衡的锂电池数据处理,提供了新的技术手段,亦可迁移到其他工业领域,作为解决数据不平衡问题的方法之一。The beneficial effect of the present invention is that: the present invention takes into account the authenticity of the data source and the reconfigurability of the data distribution, provides a new technical means for the unbalanced lithium battery data processing, and can also be migrated to other industrial fields as a solution to the problem. One of the methods of data imbalance problem.
本发明的其他优点、目标和特征在某种程度上将在随后的说明书中进行阐述,并且在某种程度上,基于对下文的考察研究对本领域技术人员而言将是显而易见的,或者可以从本发明的实践中得到教导。本发明的目标和其他优点可以通过下面的说明书来实现和获得。Other advantages, objects, and features of the present invention will be set forth in the description that follows, and will be apparent to those skilled in the art based on a study of the following, to the extent that is taught in the practice of the present invention. The objectives and other advantages of the present invention may be realized and attained by the following description.
附图说明Description of drawings
为了使本发明的目的、技术方案和优点更加清楚,下面将结合附图对本发明作优选的详细描述,其中:In order to make the objectives, technical solutions and advantages of the present invention clearer, the present invention will be preferably described in detail below with reference to the accompanying drawings, wherein:
图1为本发明所述基于蒙特卡洛方法的多尺度锂电池数据自组增强方法流程图。FIG. 1 is a flow chart of the method for self-organization enhancement of multi-scale lithium battery data based on the Monte Carlo method according to the present invention.
具体实施方式Detailed ways
以下通过特定的具体实例说明本发明的实施方式,本领域技术人员可由本说明书所揭露的内容轻易地了解本发明的其他优点与功效。本发明还可以通过另外不同的具体实施方式加以实施或应用,本说明书中的各项细节也可以基于不同观点与应用,在没有背离本发明的精神下进行各种修饰或改变。需要说明的是,以下实施例中所提供的图示仅以示意方式说明本发明的基本构想,在不冲突的情况下,以下实施例及实施例中的特征可以相互组合。The embodiments of the present invention are described below through specific specific examples, and those skilled in the art can easily understand other advantages and effects of the present invention from the contents disclosed in this specification. The present invention can also be implemented or applied through other different specific embodiments, and various details in this specification can also be modified or changed based on different viewpoints and applications without departing from the spirit of the present invention. It should be noted that the drawings provided in the following embodiments are only used to illustrate the basic idea of the present invention in a schematic manner, and the following embodiments and features in the embodiments can be combined with each other without conflict.
其中,附图仅用于示例性说明,表示的仅是示意图,而非实物图,不能理解为对本发明的限制;为了更好地说明本发明的实施例,附图某些部件会有省略、放大或缩小,并不代表实际产品的尺寸;对本领域技术人员来说,附图中某些公知结构及其说明可能省略是可以理解的。Among them, the accompanying drawings are only used for exemplary description, and represent only schematic diagrams, not physical drawings, and should not be construed as limitations of the present invention; in order to better illustrate the embodiments of the present invention, some parts of the accompanying drawings will be omitted, The enlargement or reduction does not represent the size of the actual product; it is understandable to those skilled in the art that some well-known structures and their descriptions in the accompanying drawings may be omitted.
本发明实施例的附图中相同或相似的标号对应相同或相似的部件;在本发明的描述中,需要理解的是,若有术语“上”、“下”、“左”、“右”、“前”、“后”等指示的方位或位置关系为基于附图所示的方位或位置关系,仅是为了便于描述本发明和简化描述,而不是指示或暗示所指的装置或元件必须具有特定的方位、以特定的方位构造和操作,因此附图中描述位置关系的用语仅用于示例性说明,不能理解为对本发明的限制,对于本领域的普通技术人员而言,可以根据具体情况理解上述术语的具体含义。The same or similar numbers in the drawings of the embodiments of the present invention correspond to the same or similar components; in the description of the present invention, it should be understood that if there are terms “upper”, “lower”, “left” and “right” , "front", "rear" and other indicated orientations or positional relationships are based on the orientations or positional relationships shown in the accompanying drawings, and are only for the convenience of describing the present invention and simplifying the description, rather than indicating or implying that the indicated device or element must be It has a specific orientation, is constructed and operated in a specific orientation, so the terms describing the positional relationship in the accompanying drawings are only used for exemplary illustration, and should not be construed as a limitation of the present invention. situation to understand the specific meaning of the above terms.
针对锂电池异常工况数据的不平衡问题,研究多尺度描述下锂电池异常工况数据的蒙特卡洛自组增强方法。以异常工况下电流、电压、温度、容量、内阻等实测小样本序列为对象,设计小波包变换获取序列多尺度分量,以及相应的超空间映射;以多尺度序列分量构成的超高维系统为对象,研究在锂电池工作温度约束下的蒙特卡洛仿真方法,实现序列分量具有物理意义的自组筛选,以合成新的锂电池序列。Aiming at the imbalance of lithium battery abnormal working condition data, a Monte Carlo self-organization enhancement method for lithium battery abnormal working condition data under multi-scale description is studied. Taking the measured small sample sequences such as current, voltage, temperature, capacity, internal resistance, etc. as the object, the wavelet packet transform is designed to obtain the multi-scale components of the sequence and the corresponding hyperspace mapping; Taking the system as the object, the Monte Carlo simulation method under the constraint of working temperature of lithium battery is studied, and the self-organization screening of sequence components with physical meaning is realized to synthesize new lithium battery sequence.
本发明提提供一种基于蒙特卡洛方法的多尺度锂电池数据自组增强方法,如图1所示,包括对锂电池序列的小波包分解、超空间映射、蒙特卡洛仿真、序列重构四个步骤。The present invention provides a multi-scale lithium battery data self-organization enhancement method based on Monte Carlo method, as shown in FIG. 1 , including wavelet packet decomposition, hyperspace mapping, Monte Carlo simulation, and sequence reconstruction of lithium battery sequences Four steps.
1)原始序列的小波包分解1) Wavelet packet decomposition of the original sequence
对定的小样本锂电池异常工况序列f(t),它可以是电压、电流、容量、内阻等曲线,其L层的小波包分解为:For a given small sample lithium battery abnormal working condition sequence f(t), it can be a curve of voltage, current, capacity, internal resistance, etc. The wavelet packet of the L layer is decomposed into:
其中,Φ(t)和Ψ(t)分别为父、母小波,hk和gk分别为低、高通滤波器。Among them, Φ(t) and Ψ(t) are the parent and mother wavelets, respectively, and hk and gk are the low and high-pass filters, respectively.
2)多尺度分量的超空间映射2) Hyperspace mapping of multi-scale components
令x=[x1,x2,…,x2L-1x2L]=[Φ1(t),Ψ1(t),…ΦL(t),ΨL(t)],将多尺度小波系数映射成m维超空间中点(称为粒子)。在实际研究中,将根据具体的样本特性,选取某一层小波系数的维度为空间基准。Let x=[x1 ,x2 ,...,x2L-1 x2L ]=[Φ1 (t),Ψ1 (t),...ΦL (t),ΨL (t)], the multi-scale The wavelet coefficients are mapped to m-dimensional hyperspace midpoints (called particles). In practical research, the dimension of a certain layer of wavelet coefficients will be selected as the spatial reference according to the specific sample characteristics.
3)多尺度分量的蒙特卡洛自组3) Monte Carlo self-organization of multi-scale components
考察2L个粒子构成的系统,其结构由矢量x描述,即粒子状态由{xi}定义(xi为第i个小波系数)。该系统的平衡分布描述为π(x)∝exp[-U(x)/kBT],其中,kB是热能系数,T为锂电池序列对应的温度,U(x)为代价能量函数,用于描述粒子间的相互作用总和,定义为:Consider a system composed of 2L particles, whose structure is described by a vector x, that is, the particle state is defined by {xi } (xi is the ith wavelet coefficient). The equilibrium distribution of the system is described as π(x)∝exp[-U(x)/kB T], where kB is the thermal energy coefficient, T is the temperature corresponding to the lithium battery sequence, and U(x) is the cost energy function , which is used to describe the sum of interactions between particles, defined as:
其中,Vij是第i个粒子和第j个粒子间相互作用的能量。同时,定义增广空间分布∏(x,b),其中{x}为初始状态空间,{b}为状态耦合空间。b代表粒子之间耦合的向量(锂电池序列对应的各尺度小波系数之间的耦合),它具有L(L-1)/2个元素,其耦合方式如下:where Vij is the energy of the interaction between the ith particle and the jth particle. At the same time, the augmented space distribution ∏(x,b) is defined, where {x} is the initial state space and {b} is the state coupling space. b represents the vector of coupling between particles (coupling between wavelet coefficients of each scale corresponding to the lithium battery sequence), which has L(L-1)/2 elements, and the coupling method is as follows:
增广空间分布∏(x,b)与系统的均衡分布π(x)满足:The augmented space distribution ∏(x,b) and the equilibrium distribution π(x) of the system satisfy:
Π(x,b)=π(x)p(b,x) (4)Π(x,b)=π(x)p(b,x) (4)
其中,p(b,x)表示在给定初始状态x形成耦合状态b={bij}的可能性,可写为:Among them, p(b,x) represents the possibility of forming a coupled state b={bij } in a given initial state x, which can be written as:
此处,q函数表示形成一个特定的耦合概率,可表示为:Here, the q function represents the probability of forming a specific coupling, which can be expressed as:
q(bij,Vij)=bij+(1-2bij)exp[min(Vij,0)/kBΘ] (6)q(bij ,Vij )=bij +(1-2bij )exp[min(Vij ,0)/kB Θ] (6)
根据(6)式,若粒子i和j间的相互作用Vi,j为正,则它们始终不耦合(bi,j=0的概率为1);若Vi,j为负,则当|Vij|≥kΘ时,耦合的概率(bi,j=1)变为1。Θ表示控制耦合过程的“伪温度”。在实际应用中,将根据异常工况特点确定Θ的取值区间。According to formula (6), if the interaction Vi,j between particles i and j is positive, they are always uncoupled (the probability ofbi,j =0 is 1); if Vi,j is negative, then when When |Vij |≥kΘ, the probability of coupling (bi,j =1) becomes 1. Θ represents the "pseudo temperature" that controls the coupling process. In practical applications, the value interval of Θ will be determined according to the characteristics of abnormal working conditions.
基于上述定义,各粒子之间的自组,即,从初始配对x,b开始,生成新配对的算法可归结为以下两种模式:Based on the above definition, the self-organization between particles, that is, starting from the initial pairing x, b, the algorithm for generating new pairings can be attributed to the following two modes:
①选择新的耦合状态b′:对所有bi,j进行零初始化,当i<j且Vi,j<0时,将bi,j设置为1的概率为1-exp[Vij(xi,xj)/kBΘ]。此步骤将系统的粒子分为几组,即,通过一系列耦合(bi,j=1),粒子相互连接成的粒子集,从而筛选出可进行重构的小波系数。①Select a new coupling state b′: zero-initialize all bi,j , when i<j and Vi,j <0, the probability of settingbi,j to 1 is 1-exp[Vij ( xi ,xj )/kB Θ]. This step divides the particles of the system into several groups, that is, through a series of couplings (bi,j = 1 ), the particles are connected to each other into particle sets, so as to filter out the wavelet coefficients that can be reconstructed.
②在初始状态空间进行Metropolis状态转移x→x′:选择粒子j,其余粒子在耦合状态空间约束下,强制与j耦合并按随机方向移动。当完成移动后,可计算新能量U(x′)。同时,该移动可接受的概率表达为:② Carry out the Metropolis state transition x→x′ in the initial state space: select particle j, and the remaining particles are forced to couple with j and move in random directions under the constraint of the coupled state space. When the movement is completed, the new energy U(x') can be calculated. Meanwhile, the acceptable probability of this move is expressed as:
式(7)中的概率比可进一步表达为:The probability ratio in equation (7) can be further expressed as:
其中,in,
4)筛选分量的人工序列生成4) Manual sequence generation of screening components
根据蒙特卡洛仿真筛选出的粒子(即可能耦合的小波系数),按下式对其进行小波系数重构,以生成合成的锂电池序列。According to the particles screened out by the Monte Carlo simulation (that is, the wavelet coefficients that may be coupled), the wavelet coefficients are reconstructed as follows to generate a synthetic lithium battery sequence.
其中,为筛选出的小波系数。in, is the filtered wavelet coefficients.
最后说明的是,以上实施例仅用以说明本发明的技术方案而非限制,尽管参照较佳实施例对本发明进行了详细说明,本领域的普通技术人员应当理解,可以对本发明的技术方案进行修改或者等同替换,而不脱离本技术方案的宗旨和范围,其均应涵盖在本发明的权利要求范围当中。Finally, it should be noted that the above embodiments are only used to illustrate the technical solutions of the present invention and not to limit them. Although the present invention has been described in detail with reference to the preferred embodiments, those of ordinary skill in the art should understand that the technical solutions of the present invention can be Modifications or equivalent replacements, without departing from the spirit and scope of the technical solution, should all be included in the scope of the claims of the present invention.
| Application Number | Priority Date | Filing Date | Title |
|---|---|---|---|
| CN202010610473.9ACN111767672B (en) | 2020-06-29 | 2020-06-29 | Monte Carlo method-based lithium battery abnormal working condition data self-organizing enhancement method |
| Application Number | Priority Date | Filing Date | Title |
|---|---|---|---|
| CN202010610473.9ACN111767672B (en) | 2020-06-29 | 2020-06-29 | Monte Carlo method-based lithium battery abnormal working condition data self-organizing enhancement method |
| Publication Number | Publication Date |
|---|---|
| CN111767672Atrue CN111767672A (en) | 2020-10-13 |
| CN111767672B CN111767672B (en) | 2023-10-20 |
| Application Number | Title | Priority Date | Filing Date |
|---|---|---|---|
| CN202010610473.9AActiveCN111767672B (en) | 2020-06-29 | 2020-06-29 | Monte Carlo method-based lithium battery abnormal working condition data self-organizing enhancement method |
| Country | Link |
|---|---|
| CN (1) | CN111767672B (en) |
| Publication number | Priority date | Publication date | Assignee | Title |
|---|---|---|---|---|
| US20110307438A1 (en)* | 2010-06-14 | 2011-12-15 | Fern E Acu A Ee Ndez Mart E Acu I Ee Nez Juan Luis | High-dimensional data analysis |
| CN102749573A (en)* | 2012-07-27 | 2012-10-24 | 重庆大学 | Analog circuit fault diagnosis method based on wavelet packet analysis and Hopfield network |
| CN104077763A (en)* | 2014-07-08 | 2014-10-01 | 中国科学院高能物理研究所 | TOF-PET image reconstruction method based on compressed sensing theory |
| WO2016001752A2 (en)* | 2014-06-30 | 2016-01-07 | Cgg Services Sa | Ensemble-based multi-scale history-matching device and method for reservoir characterization |
| CN105915297A (en)* | 2014-12-03 | 2016-08-31 | 上海特金无线技术有限公司 | Monte Carlo spectrum band occupancy rate measurement method |
| US9554738B1 (en)* | 2016-03-30 | 2017-01-31 | Zyomed Corp. | Spectroscopic tomography systems and methods for noninvasive detection and measurement of analytes using collision computing |
| CN109660553A (en)* | 2019-01-07 | 2019-04-19 | 重庆邮电大学 | Downlink safe transmission strategy based on time reversal technology |
| CN109657364A (en)* | 2018-12-24 | 2019-04-19 | 北京华大九天软件有限公司 | A method of circuit optimization is realized using quick monte carlo method |
| CN209085657U (en)* | 2017-08-02 | 2019-07-09 | 强力物联网投资组合2016有限公司 | For data gathering system related or industrial environment with chemical production technology |
| Publication number | Priority date | Publication date | Assignee | Title |
|---|---|---|---|---|
| US20110307438A1 (en)* | 2010-06-14 | 2011-12-15 | Fern E Acu A Ee Ndez Mart E Acu I Ee Nez Juan Luis | High-dimensional data analysis |
| CN102749573A (en)* | 2012-07-27 | 2012-10-24 | 重庆大学 | Analog circuit fault diagnosis method based on wavelet packet analysis and Hopfield network |
| WO2016001752A2 (en)* | 2014-06-30 | 2016-01-07 | Cgg Services Sa | Ensemble-based multi-scale history-matching device and method for reservoir characterization |
| CN104077763A (en)* | 2014-07-08 | 2014-10-01 | 中国科学院高能物理研究所 | TOF-PET image reconstruction method based on compressed sensing theory |
| CN105915297A (en)* | 2014-12-03 | 2016-08-31 | 上海特金无线技术有限公司 | Monte Carlo spectrum band occupancy rate measurement method |
| US9554738B1 (en)* | 2016-03-30 | 2017-01-31 | Zyomed Corp. | Spectroscopic tomography systems and methods for noninvasive detection and measurement of analytes using collision computing |
| CN209085657U (en)* | 2017-08-02 | 2019-07-09 | 强力物联网投资组合2016有限公司 | For data gathering system related or industrial environment with chemical production technology |
| CN109657364A (en)* | 2018-12-24 | 2019-04-19 | 北京华大九天软件有限公司 | A method of circuit optimization is realized using quick monte carlo method |
| CN109660553A (en)* | 2019-01-07 | 2019-04-19 | 重庆邮电大学 | Downlink safe transmission strategy based on time reversal technology |
| Title |
|---|
| RATHIN CHANDRA SHIT .ETC: "Ubiquitous Localization(UbiLoc):A Survey and Taxonomy on Device Free Localization for Smart World", 《IEEE COMMUNICATIONS SURVEYS & TUTORIALS》, vol. 21, no. 4, pages 3532 - 3564, XP011758784, DOI: 10.1109/COMST.2019.2915923* |
| 裴洪等: "基于机器学习的设备剩余寿命预测方法综述", 《机械工程学报》, vol. 55, no. 8, pages 1 - 13* |
| Publication number | Publication date |
|---|---|
| CN111767672B (en) | 2023-10-20 |
| Publication | Publication Date | Title |
|---|---|---|
| Mortazavi | Recent advances in machine learning‐assisted multiscale design of energy materials | |
| CN114325404B (en) | A battery temperature estimation method based on thermal-neural network coupling model | |
| CN111579993B (en) | An online estimation method of lithium battery capacity based on convolutional neural network | |
| Hofmann et al. | Physics-informed neural networks for state of health estimation in lithium-ion batteries | |
| CN111199363B (en) | Method for realizing topology recognition by maximum correlation screening algorithm | |
| Sulzer et al. | Faster lead-acid battery simulations from porous-electrode theory: Part I. Physical model | |
| CN113884924A (en) | Lithium ion battery internal short circuit diagnosis method and system based on convolutional neural network | |
| CN115935635A (en) | Lithium battery line terminal voltage calculation method, device and medium based on electrochemical model | |
| Xiong et al. | Critical review on improved electrochemical impedance spectroscopy-cuckoo search-elman neural network modeling methods for whole-life-cycle health state estimation of lithium-ion battery energy storage systems | |
| CN118033432A (en) | Battery state of charge estimation method and device and computer equipment | |
| CN115392102A (en) | Energy consumption prediction model establishment method and device, energy consumption prediction method and system | |
| Li et al. | The state of charge estimation of lithium-ion battery based on battery capacity | |
| Fahim et al. | Forecasting ev charging demand: a graph convolutional neural network-based approach | |
| CN116631528A (en) | Molecular spectrum artificial intelligent prediction method, system, medium and equipment | |
| Mustaffa et al. | Battery remaining useful life estimation based on particle swarm optimization-neural network | |
| CN115993536A (en) | Method, device, equipment, storage medium and product for estimating remaining battery energy | |
| Zhao et al. | Online state of health estimation with deep learning frameworks based on short and random battery charging data segments | |
| Hui et al. | Design of NiCo2O4 nanoarray morphology for optimizing electrochemical stability of supercapacitor | |
| CN111767672A (en) | Self-organization enhancement method for abnormal working condition data of lithium battery based on Monte Carlo method | |
| CN106503793A (en) | A kind of neural network short-term wind speed forecasting method based on improvement difference algorithm | |
| CN114782336A (en) | Prediction method and device for fiber bundle orientation distribution based on graph convolutional neural network | |
| CN118862950A (en) | A method and system for industrial equipment fault diagnosis based on graph structure joint optimization | |
| CN115510379B (en) | Ladder parameter identification method and device based on electrochemical model | |
| Teichert et al. | Li $ _x $ CoO $ _2 $ phase stability studied by machine learning-enabled scale bridging between electronic structure, statistical mechanics and phase field theories | |
| Emereuwa | Mathematical homogenization and stochastic modeling of energy storage systems |
| Date | Code | Title | Description |
|---|---|---|---|
| PB01 | Publication | ||
| PB01 | Publication | ||
| SE01 | Entry into force of request for substantive examination | ||
| SE01 | Entry into force of request for substantive examination | ||
| GR01 | Patent grant | ||
| GR01 | Patent grant | ||
| TR01 | Transfer of patent right | ||
| TR01 | Transfer of patent right | Effective date of registration:20250214 Address after:230000 B-1015, wo Yuan Garden, 81 Ganquan Road, Shushan District, Hefei, Anhui. Patentee after:HEFEI MINGLONG ELECTRONIC TECHNOLOGY Co.,Ltd. Country or region after:China Address before:400065 Chongqing Nan'an District huangjuezhen pass Chongwen Road No. 2 Patentee before:CHONGQING University OF POSTS AND TELECOMMUNICATIONS Country or region before:China | |
| TR01 | Transfer of patent right | ||
| TR01 | Transfer of patent right | Effective date of registration:20250226 Address after:201600 No.361, Xinzhan Road, Xinqiao Town, Songjiang District, Shanghai Patentee after:Shanghai Shuchong IoT Technology Co.,Ltd. Country or region after:China Address before:230000 B-1015, wo Yuan Garden, 81 Ganquan Road, Shushan District, Hefei, Anhui. Patentee before:HEFEI MINGLONG ELECTRONIC TECHNOLOGY Co.,Ltd. Country or region before:China |