Movatterモバイル変換


[0]ホーム

URL:


CN111746352B - Method and device for determining battery of power hybrid electric vehicle and upper computer - Google Patents

Method and device for determining battery of power hybrid electric vehicle and upper computer
Download PDF

Info

Publication number
CN111746352B
CN111746352BCN201910252205.1ACN201910252205ACN111746352BCN 111746352 BCN111746352 BCN 111746352BCN 201910252205 ACN201910252205 ACN 201910252205ACN 111746352 BCN111746352 BCN 111746352B
Authority
CN
China
Prior art keywords
power
battery
electric energy
obtaining
gas fuel
Prior art date
Legal status (The legal status is an assumption and is not a legal conclusion. Google has not performed a legal analysis and makes no representation as to the accuracy of the status listed.)
Active
Application number
CN201910252205.1A
Other languages
Chinese (zh)
Other versions
CN111746352A (en
Inventor
闫伟静
许云华
Current Assignee (The listed assignees may be inaccurate. Google has not performed a legal analysis and makes no representation or warranty as to the accuracy of the list.)
Beijing Electric Vehicle Co Ltd
Original Assignee
Beijing Electric Vehicle Co Ltd
Priority date (The priority date is an assumption and is not a legal conclusion. Google has not performed a legal analysis and makes no representation as to the accuracy of the date listed.)
Filing date
Publication date
Application filed by Beijing Electric Vehicle Co LtdfiledCriticalBeijing Electric Vehicle Co Ltd
Priority to CN201910252205.1ApriorityCriticalpatent/CN111746352B/en
Publication of CN111746352ApublicationCriticalpatent/CN111746352A/en
Application grantedgrantedCritical
Publication of CN111746352BpublicationCriticalpatent/CN111746352B/en
Activelegal-statusCriticalCurrent
Anticipated expirationlegal-statusCritical

Links

Images

Classifications

Landscapes

Abstract

The embodiment of the invention provides a method, a device and an upper computer for determining a battery of a power hybrid electric vehicle, wherein the method comprises the following steps: receiving the input fuel bottle volume of the gas fuel battery, the full charge pressure of the fuel bottle, and the power supply voltage and the battery capacity of the power battery; obtaining a first supply power output by the gas fuel cell and a second supply power output by the power cell; obtaining the target driving range of the vehicle according to the first supply electric energy, the second supply electric energy and the unit energy consumption of the vehicle; and if the target driving range meets the requirement of the preset driving range, determining the target gas fuel cell and the target power cell required by the vehicle. According to the technical scheme, whether the requirement of the vehicle for the driving range can be determined only through basic parameters of the gas fuel cell and the power battery in the vehicle development process, and the cost generated when the actual vehicle test is determined is avoided.

Description

Method and device for determining battery of power hybrid electric vehicle and upper computer
Technical Field
The invention relates to the field of vehicle development, in particular to a method and a device for determining a battery of a power hybrid electric vehicle and an upper computer.
Background
There are three main configurations of current hydrogen fuel cell vehicles: a fuel cell direct drive type, a power hybrid type, and an energy hybrid type electric vehicle includes: the power battery is light in weight and weight, lower in cost than a fuel battery directly driven type power battery, and capable of recycling braking energy, so that the conventional vehicle enterprises are mostly produced by adopting the electric vehicle with the structure. When the driving range of the electric vehicle with the configuration is related to the capacity of the fuel bottle of the hydrogen fuel cell, the full charge pressure and the like besides the power cell, how to determine whether the selected power cell and the hydrogen fuel cell are matched with the preset driving range is a problem to be solved.
Disclosure of Invention
The embodiment of the invention aims to provide a method, a device and an upper computer for determining a battery of a power hybrid electric vehicle, which are used for solving the problem of determining whether a selected power battery and a gas fuel cell are matched with a preset driving range.
In order to solve the technical problem, an embodiment of the present invention provides a method for determining a battery of a power hybrid electric vehicle, including:
receiving the input fuel bottle volume of the gas fuel battery, the full charge pressure of the fuel bottle, and the power supply voltage and the battery capacity of the power battery;
obtaining first supply electric energy output by the gas fuel cell to the driving motor according to the volume and the full-charging pressure of the fuel bottle, and obtaining second supply electric energy output by the power battery to the driving motor according to the power supply voltage and the battery capacity;
obtaining a target driving range of the vehicle according to the first supply electric energy, the second supply electric energy and the unit energy consumption of the vehicle obtained in advance;
and if the target driving range meets the requirement of the preset driving range, determining that the gas fuel cell is the target gas fuel cell required by the vehicle, and determining that the power cell is the target power cell required by the vehicle.
Preferably, the method as described above, wherein the step of obtaining the first supply electric energy output from the gas fuel cell to the driving motor according to the volume and the full charge pressure of the fuel bottle comprises:
obtaining a first mass of the gas fuel in unit volume at a preset temperature according to a preset gas state equation and full-charge pressure;
obtaining a second mass of the gas fuel in unit volume at a preset temperature according to a preset gas state equation and a preset limiting pressure;
obtaining the unit available mass of the gas fuel in unit volume at the preset temperature according to the first mass and the second mass;
obtaining the available mass of the gas fuel according to the volume of the fuel bottle and the unit available mass;
and obtaining first supply electric energy according to the available mass of the gas fuel and a preset energy equation.
Specifically, as described above, in the preset energy equation, the first supply electric energy is a product of available mass of the gas fuel, a heating value of the gas fuel, stack efficiency of the gas fuel cell, system efficiency of the gas fuel cell, first conversion efficiency of a first voltage converter connected to the gas fuel cell, and a current service life degradation coefficient of the gas fuel cell. Specifically, the method for obtaining the second supply electric energy output by the power battery to the driving motor according to the supply voltage and the battery capacity comprises the following steps:
obtaining the output electric energy of the power battery according to the product of the power supply voltage, the battery capacity and the discharge coefficient of the power battery;
and obtaining second supply electric energy according to the product of the output electric energy and second conversion efficiency of a second voltage converter connected with the power battery.
Further, the method as described above, wherein the step of obtaining the target driving range of the vehicle based on the first supplied electric energy, the second supplied electric energy, and the unit energy consumption of the vehicle obtained in advance includes:
and substituting the first supply electric energy, the second supply electric energy and the unit energy consumption into a preset driving range equation to obtain the target driving range, wherein in the preset driving range equation, the target driving range is the sum of the ratios of the first supply electric energy and the second supply electric energy to the unit energy consumption respectively.
Another preferred embodiment of the present invention also provides an apparatus for determining a battery of a power hybrid electric vehicle, including:
the receiving module is used for receiving the input fuel bottle volume of the gas fuel battery, the full-charge pressure of the fuel bottle, and the power supply voltage and the battery capacity of the power battery;
the first processing module is used for obtaining first supply electric energy output by the gas fuel battery to the driving motor according to the volume of the fuel bottle and the full-charging pressure, and obtaining second supply electric energy output by the power battery to the driving motor according to the power supply voltage and the battery capacity;
the second processing module is used for obtaining the target driving range of the vehicle according to the first supply electric energy, the second supply electric energy and the unit energy consumption of the vehicle obtained in advance;
and the third processing module is used for determining that the gas fuel cell is the target gas fuel cell required by the vehicle and the power cell is the target power cell required by the vehicle if the target driving range meets the requirement of the preset driving range.
Preferably, the apparatus as described above, the first processing module comprises:
the first processing unit is used for obtaining the first mass of the gas fuel in unit volume at the preset temperature according to a preset gas state equation and full-charge pressure;
the second processing unit is used for obtaining a second mass of the gas fuel in unit volume at the preset temperature according to a preset gas state equation and preset limiting pressure;
the third processing unit is used for obtaining the unit available mass of the gas fuel in unit volume at the preset temperature according to the first mass and the second mass;
the fourth processing unit is used for obtaining the available mass of the gas fuel according to the volume of the fuel bottle and the unit available mass;
and the fifth processing unit is used for obtaining the first supply electric energy according to the available mass of the gas fuel and a preset energy equation.
Specifically, the apparatus as described above, the second processing module includes:
the sixth processing unit is used for obtaining the output electric energy of the power battery according to the product of the power supply voltage, the battery capacity and the discharge coefficient of the power battery;
and the seventh processing unit is used for obtaining second supply electric energy according to the product of the output electric energy and the second conversion efficiency of a second voltage converter connected with the power battery.
Still another preferred embodiment of the present invention provides an upper computer, including: the device for determining the battery of the power hybrid electric vehicle is determined as described above.
Compared with the prior art, the method, the device and the upper computer for determining the battery of the power hybrid electric vehicle provided by the embodiment of the invention at least have the following beneficial effects:
in an embodiment of the present invention, the determining the basic parameters of the selected gas fuel cell includes: the fuel bottle volume, the full charge pressure of the fuel bottle, and the basic parameters of the power battery include: the method comprises the steps of supplying power voltage and battery capacity, obtaining first supply electric energy which can be output to a motor by a gas fuel battery according to basic parameters of the gas fuel battery, obtaining second supply kinetic energy of the power battery according to the basic parameters of the power battery, further obtaining a target driving range when the vehicle adopts the gas fuel battery and the power battery through the first supply electric energy, the second supply electric energy and unit energy consumption of the vehicle, and determining the gas fuel battery to be the target gas fuel battery required by the vehicle and the power battery to be the target power battery required by the vehicle if the target driving range meets a preset driving range. Therefore, whether the requirement of the vehicle on the driving range is met can be determined only through basic parameters of the gas fuel cell and the power cell in the vehicle development process, and the cost generated when the actual vehicle test determination is carried out on each combination of the gas fuel cell and the power cell is avoided.
Drawings
FIG. 1 is a schematic flow chart of a method provided by the present invention;
FIG. 2 is a second schematic flow chart of the method of the present invention;
FIG. 3 is a third schematic flow chart of the method of the present invention;
fig. 4 is a schematic structural diagram of the apparatus provided in the present invention.
Detailed Description
In order to make the technical problems, technical solutions and advantages of the present invention more apparent, the following detailed description is given with reference to the accompanying drawings and specific embodiments. In the following description, specific details such as specific configurations and components are provided only to help the full understanding of the embodiments of the present invention. Thus, it will be apparent to those skilled in the art that various changes and modifications may be made to the embodiments described herein without departing from the scope and spirit of the invention. In addition, descriptions of well-known functions and constructions are omitted for clarity and conciseness.
It should be appreciated that reference throughout this specification to "one embodiment" or "an embodiment" means that a particular feature, structure or characteristic described in connection with the embodiment is included in at least one embodiment of the present invention. Thus, the appearances of the phrases "in one embodiment" or "in an embodiment" in various places throughout this specification are not necessarily all referring to the same embodiment. Furthermore, the particular features, structures, or characteristics may be combined in any suitable manner in one or more embodiments.
In various embodiments of the present invention, it should be understood that the sequence numbers of the following processes do not mean the execution sequence, and the execution sequence of each process should be determined by its function and inherent logic, and should not constitute any limitation to the implementation process of the embodiments of the present invention.
It should be understood that the term "and/or" herein is merely one type of association relationship that describes an associated object, meaning that three relationships may exist, e.g., a and/or B may mean: a exists alone, A and B exist simultaneously, and B exists alone. In addition, the character "/" herein generally indicates that the former and latter related objects are in an "or" relationship.
In the embodiments provided herein, it should be understood that "B corresponding to a" means that B is associated with a from which B can be determined. It should also be understood that determining B from a does not mean determining B from a alone, but may be determined from a and/or other information.
Referring to fig. 1, a preferred embodiment of the present invention provides a method of determining a battery of a power hybrid electric vehicle, including:
step S101, receiving input fuel bottle volume of the gas fuel battery, full charge pressure of the fuel bottle, and power supply voltage and battery capacity of the power battery;
step S102, obtaining first supply electric energy output by a gas fuel cell to a driving motor according to the volume and the full-charging pressure of a fuel bottle, and obtaining second supply electric energy output by a power battery to the driving motor according to the power supply voltage and the battery capacity;
step S103, obtaining a target driving range of the vehicle according to the first supply electric energy, the second supply electric energy and the unit energy consumption of the vehicle obtained in advance;
and step S104, if the target driving range meets the requirement of the preset driving range, determining that the gas fuel cell is the target gas fuel cell required by the vehicle, and determining that the power cell is the target power cell required by the vehicle.
In an embodiment of the present invention, the determining the basic parameters of the selected gas fuel cell includes: the fuel bottle volume, the full charge pressure of the fuel bottle, and the basic parameters of the power battery include: the method comprises the steps of supplying power voltage and battery capacity, obtaining first supply electric energy which can be output to a motor by a gas fuel battery according to basic parameters of the gas fuel battery, obtaining second supply kinetic energy of the power battery according to the basic parameters of the power battery, obtaining a target driving range when the vehicle adopts the gas fuel battery and the power battery through the first supply electric energy, the second supply electric energy and unit energy consumption of the vehicle, determining the gas fuel battery to be the target gas fuel battery required by the vehicle if the target driving range meets a preset driving range, determining the power battery to be the target power battery required by the vehicle if the target driving range does not meet the preset driving range, outputting unmatched prompt information and prompting technicians to replace the combined scheme of the gas fuel battery and the power battery. Therefore, whether the requirement of the vehicle on the driving range is met can be determined only through basic parameters of the gas fuel cell and the power cell in the vehicle development process, and the cost generated when the actual vehicle test determination is carried out on each combination of the gas fuel cell and the power cell is avoided. While the gas fuel cell is preferably a hydrogen fuel cell in the embodiment of the present invention, those skilled in the art can obtain other parameters related to the first supply power of the gas fuel cell when other types of gas fuel cells are used according to actual requirements, and the invention also falls into the protection scope of the present invention. Wherein the fuel bottle volume according to the present invention is a total volume of at least one fuel bottle to be mounted on a vehicle.
Referring to fig. 2, preferably, the step of obtaining the first supply power of the gas fuel cell to the driving motor according to the fuel bottle volume and the full charge pressure as described above includes:
step S201, obtaining a first mass of the gas fuel in unit volume at a preset temperature according to a preset gas state equation and full-charge pressure;
step S202, obtaining a second mass of the gas fuel in unit volume at a preset temperature according to a preset gas state equation and a preset limiting pressure;
step S203, obtaining the unit available mass of the gas fuel in unit volume at the preset temperature according to the first mass and the second mass;
step S204, obtaining the available mass of the gas fuel according to the volume of the fuel bottle and the unit available mass;
in step S205, a first supply electric energy is obtained according to the available mass of the gaseous fuel and a preset energy equation.
In the embodiment of the invention, in the step of obtaining the first supply electric energy output by the gas fuel cell to the driving motor according to the volume and the full charge pressure of the fuel bottle, the available mass of the gas fuel per unit volume of the fuel bottle at the preset temperature is obtained according to the preset gas state equation, the full charge pressure when the fuel bottle is fully charged and the limit pressure when the fuel bottle cannot supply the gas fuel, the total available mass of the gas fuel in the fuel bottle is obtained according to the volume of the fuel bottle, and the first supply electric energy which can be supplied by the gas fuel cell is obtained according to the preset energy equation. The method can obtain the first supply electric energy of the gas fuel cell according to the basic parameters of the gas fuel cell, provide a data base for obtaining the driving range of the vehicle when the gas fuel cell is matched with the power cell according to the first supply electric energy and the second supply electric energy, and is convenient to judge whether the matching of the gas fuel cell and the power cell meets the requirement on the driving range of the vehicle. In the embodiment of the invention, the preset temperature is normal temperature, and when the power hybrid electric vehicle needs to work under other temperature conditions, the actual temperature value of the preset temperature is determined according to the actual working conditions, which also belongs to the protection scope of the invention. Wherein the limiting pressure is the pressure in the fuel bottle when the gas fuel is present in the fuel bottle but the remaining gas fuel is insufficient to cause the gas fuel cell to generate electricity.
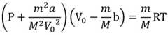
Specifically, the method as described above, wherein the preset gas state equation is:
Figure BDA0002012682880000071
wherein P is a full charge pressure or a limiting pressure;
m is a first mass corresponding to a full charge pressure or a second mass corresponding to a limiting pressure;
m is the molar mass of the gaseous fuel;
V0is the molar volume of the gaseous fuel;
r is the gas constant of the gas fuel;
t is a preset temperature;
a. b are respectively a preset coefficient.
In the embodiment of the present invention, the preset gas state equation is shown in the above formula, wherein the molar mass of the gas fuel, the molar volume of the gas fuel, the gas constant of the gas fuel, and the preset temperature are all constants preset by a technician in advance, so that the first mass of the gas fuel in unit volume at the preset temperature can be obtained according to the preset gas state equation only by knowing the full charge pressure of the gas fuel in the fuel bottle, which is convenient for subsequent data processing. Meanwhile, the limiting pressure of the gas fuel in the fuel bottle is a constant determined according to the basic parameters of the fuel bottle, so that the limiting pressure can also be set in a preset mode.
Specifically, as described above, in the preset energy equation, the first supply electric energy is a product of available mass of the gas fuel, a heating value of the gas fuel, stack efficiency of the gas fuel cell, system efficiency of the gas fuel cell, first conversion efficiency of a first voltage converter connected to the gas fuel cell, and a current service life degradation coefficient of the gas fuel cell. In the embodiment of the invention, when the first supply electric energy is obtained according to the preset energy equation, the heat energy generated by the combustion of the gas fuel with the available mass of the gas fuel in the fuel bottle under the condition of no loss is obtained according to the product of the available mass of the gas fuel and the heat value of the gas fuel, the actual electric energy obtained after the combustion of the gas fuel in the fuel bottle can be obtained according to the first heat energy and the stack efficiency, the system efficiency and the service life decline coefficient of the gas fuel cell, and the first supply electric energy output to the motor by the gas fuel cell can be obtained according to the actual electric energy and the first conversion efficiency of a first voltage converter connected with the gas fuel cell and the motor. The service life decline coefficient is determined according to the number of times of using the hydrogen fuel cell, wherein if the number of times of using the gas fuel cell is less than a preset value, the service life decline coefficient can be determined to be 1.
Referring to fig. 3, in particular, the step of obtaining the second supply electric energy output by the power battery to the driving motor according to the supply voltage and the battery capacity, as described above, includes:
step S301, obtaining output electric energy of the power battery according to the product of the power supply voltage, the battery capacity and the discharge coefficient of the power battery;
step S302, a second supply electric energy is obtained according to a product of the output electric energy and a second conversion efficiency of a second voltage converter connected to the power battery.
In the embodiment of the invention, when the second supply electric energy is obtained according to the supply voltage and the battery capacity of the power battery, the product of the second supply electric energy and the discharge coefficient of the power battery and the second conversion efficiency of the second voltage converter is required, the situations that the power battery cannot be completely discharged during discharging and the second voltage converter connecting the power battery and the motor has energy loss are considered, and the accuracy of the obtained second supply voltage is favorably ensured. In the embodiment of the present invention, the first voltage converter and the second voltage converter are only for convenience of description, and it is not necessarily said that both are not the same device.
Further, the method as described above, wherein the step of obtaining the target driving range of the vehicle based on the first supplied electric energy, the second supplied electric energy, and the unit energy consumption of the vehicle obtained in advance includes:
and substituting the first supply electric energy, the second supply electric energy and the unit energy consumption into a preset driving range equation to obtain the target driving range, wherein in the preset driving range equation, the target driving range is the sum of the ratios of the first supply electric energy and the second supply electric energy to the unit energy consumption respectively.
In the embodiment of the invention, the driving range which can be provided by the gas fuel cell when the gas fuel cell is singly powered is obtained according to the ratio of the first supply electric energy to the unit energy consumption of the vehicle, the driving range which can be provided by the power cell when the power cell is singly powered is obtained according to the ratio of the second supply electric energy to the unit energy consumption of the vehicle, and the target driving range is obtained according to the sum of the two driving ranges. In the embodiment of the present invention, the unit energy consumption refers to the consumed electric energy per kilometer, and optionally, a person skilled in the art may determine the unit energy consumption according to actual determination, for example: when the energy consumption of the vehicle in hundred kilometers is taken as unit energy consumption for processing, the driving range equation is correspondingly modified, which also belongs to the protection scope of the invention. Preferably, in the embodiment of the present invention, the second power supply energy is the electric energy output to the motor through the second voltage converter, and if a person skilled in the art acquires the electric energy of the power battery in other links, and obtains the driving range of the power battery when the power battery is independently powered by using other similar formulas, the driving range formula formed by the driving range formula also belongs to the protection scope of the present invention.
Referring to fig. 4, another preferred embodiment of the present invention also provides an apparatus for determining a battery of a power hybrid electric vehicle, including:
the receivingmodule 401 is configured to receive an input fuel bottle volume of the gas fuel cell, a full-charge pressure of the fuel bottle, and a power supply voltage and a battery capacity of the power battery;
thefirst processing module 402 is configured to obtain a first supply power output by the gas fuel cell to the driving motor according to the volume of the fuel bottle and the full-charge pressure, and obtain a second supply power output by the power battery to the driving motor according to the supply voltage and the battery capacity;
asecond processing module 403, configured to obtain a target driving range of the vehicle according to the first supplied electric energy, the second supplied electric energy, and a unit energy consumption of the vehicle obtained in advance;
and athird processing module 404, configured to determine that the gas fuel cell is a target gas fuel cell required by the vehicle and the power battery is a target power battery required by the vehicle if the target driving range meets the requirement of the preset driving range.
Preferably, as the apparatus described above, thefirst processing module 402 comprises:
thefirst processing unit 4021 is configured to obtain a first mass of the gas fuel at a preset temperature in a unit volume according to a preset gas state equation and a full charge pressure;
thesecond processing unit 4022 is configured to obtain a second mass of the gaseous fuel at a preset temperature per unit volume according to a preset gas state equation and a preset limit pressure;
athird processing unit 4023, configured to obtain a unit available mass of the gaseous fuel at a preset temperature per unit volume according to the first mass and the second mass;
afourth processing unit 4024, configured to obtain a usable mass of the gaseous fuel according to a volume of the fuel bottle and a unit usable mass;
afifth processing unit 4025, configured to obtain the first supply electric energy according to the available mass of the gaseous fuel and a preset energy equation.
Specifically, as the apparatus described above, thesecond processing module 403 includes:
asixth processing unit 4031, configured to obtain output electric energy of the power battery according to a product of the power supply voltage, the battery capacity, and a discharge coefficient of the power battery;
aseventh processing unit 4032 is configured to obtain a second supply electrical energy according to a product of the output electrical energy and a second conversion efficiency of a second voltage converter connected to the power battery.
The device embodiment of the invention is a device corresponding to the method embodiment, and all implementation means in the method embodiment are applicable to the device embodiment and can achieve the same technical effects. Still another preferred embodiment of the present invention provides an upper computer, including: the device for determining the battery of the power hybrid electric vehicle is determined as described above.
The embodiment of the invention also provides an upper computer, which comprises: according to the device, when a technician obtains a combination of the gas fuel cell and the power cell, whether the requirement of the vehicle on the driving range is met can be obtained only by inputting the basic parameters of the gas fuel cell and the basic parameters of the power cell, so that the step of determining the combination of the gas fuel cell and the power cell according to the driving range requirement is greatly simplified, and the time cost and the labor cost are saved.
Furthermore, the present invention may repeat reference numerals and/or letters in the various examples. This repetition is for the purpose of simplicity and clarity and does not in itself dictate a relationship between the various embodiments and/or configurations discussed.
It is further noted that, herein, relational terms such as first and second, and the like may be used solely to distinguish one entity or action from another entity or action without necessarily requiring or implying any actual such relationship or order between such entities or actions. Also, the terms "comprises," "comprising," or any other variation thereof, are intended to cover a non-exclusive inclusion.
While the foregoing is directed to the preferred embodiment of the present invention, it will be understood by those skilled in the art that various changes and modifications may be made without departing from the spirit and scope of the invention as defined in the appended claims.

Claims (9)

1. A method of determining a battery for a power hybrid electric vehicle,
receiving the input fuel bottle volume of the gas fuel battery, the full charge pressure of the fuel bottle, and the power supply voltage and the battery capacity of the power battery;
obtaining first supply electric energy output by the gas fuel battery to a driving motor according to the volume of the fuel bottle and the full-charging pressure, and obtaining second supply electric energy output by the power battery to the driving motor according to the power supply voltage and the battery capacity;
obtaining a target driving range of the vehicle according to the first supply electric energy, the second supply electric energy and the unit energy consumption of the vehicle obtained in advance;
and if the target driving range meets the requirement of a preset driving range, determining that the gas fuel cell is the target gas fuel cell required by the vehicle, and determining that the power cell is the target power cell required by the vehicle.
2. The method of claim 1, wherein said step of deriving a first supply of electrical energy output by said gas fuel cell to a drive motor based on said fuel bottle volume and said full charge pressure comprises:
obtaining a first mass of the gas fuel in unit volume at a preset temperature according to a preset gas state equation and the full-charge pressure;
obtaining a second mass of the gas fuel in unit volume at a preset temperature according to the preset gas state equation and a preset limiting pressure;
obtaining the unit available mass of the gas fuel in unit volume at the preset temperature according to the first mass and the second mass;
obtaining the usable mass of the gas fuel according to the volume of the fuel bottle and the unit usable mass;
and obtaining the first supply electric energy according to the available mass of the gas fuel and a preset energy equation.
3. The method of claim 2, wherein in the predetermined energy equation, the first supply power is a product of the available mass of the gaseous fuel, a heating value of the gaseous fuel, a stack efficiency of the gaseous fuel cell, a system efficiency of the gaseous fuel cell, a first conversion efficiency of a first voltage converter coupled to the gaseous fuel cell, and a current life decay factor of the gaseous fuel cell.
4. The method of claim 1, wherein the step of deriving a second supply power output by the power battery to the drive motor based on the supply voltage and the battery capacity comprises:
obtaining the output electric energy of the power battery according to the product of the power supply voltage, the battery capacity and the discharge coefficient of the power battery;
and obtaining the second supply electric energy according to the product of the output electric energy and the second conversion efficiency of a second voltage converter connected with the power battery.
5. The method of claim 1, wherein the step of deriving the target range of the vehicle from the first supplied electrical energy, the second supplied electrical energy, and a previously obtained specific energy consumption of the vehicle comprises:
and substituting the first supply electric energy, the second supply electric energy and the unit energy consumption into a preset driving range equation to obtain the target driving range, wherein in the preset driving range equation, the target driving range is the sum of the ratios of the first supply electric energy and the second supply electric energy to the unit energy consumption respectively.
6. An apparatus for determining a battery of a power hybrid electric vehicle, comprising:
the receiving module is used for receiving the input fuel bottle volume of the gas fuel battery, the full-charge pressure of the fuel bottle, and the power supply voltage and the battery capacity of the power battery;
the first processing module is used for obtaining first supply electric energy output by the gas fuel battery to a driving motor according to the volume of the fuel bottle and the full-charging pressure, and obtaining second supply electric energy output by the power battery to the driving motor according to the power supply voltage and the battery capacity;
the second processing module is used for obtaining a target driving range of the vehicle according to the first supply electric energy, the second supply electric energy and the unit energy consumption of the vehicle obtained in advance;
and the third processing module is used for determining that the gas fuel cell is a target gas fuel cell required by the vehicle and the power cell is a target power cell required by the vehicle if the target driving range meets the requirement of a preset driving range.
7. The apparatus of claim 6, wherein the first processing module comprises:
the first processing unit is used for obtaining the first mass of the gas fuel in unit volume at the preset temperature according to a preset gas state equation and the full-charge pressure;
the second processing unit is used for obtaining a second mass of the gas fuel in unit volume at a preset temperature according to the preset gas state equation and a preset limiting pressure;
the third processing unit is used for obtaining the unit available mass of the gas fuel in unit volume at the preset temperature according to the first mass and the second mass;
the fourth processing unit is used for obtaining the usable mass of the gas fuel according to the volume of the fuel bottle and the unit usable mass;
and the fifth processing unit is used for obtaining the first supply electric energy according to the available mass of the gas fuel and a preset energy equation.
8. The apparatus of claim 6, wherein the second processing module comprises:
the sixth processing unit is used for obtaining the output electric energy of the power battery according to the product of the power supply voltage, the battery capacity and the discharge coefficient of the power battery;
and the seventh processing unit is used for obtaining the second supply electric energy according to the product of the output electric energy and the second conversion efficiency of a second voltage converter connected with the power battery.
9. A host computer, comprising: apparatus for determining a battery for a power hybrid electric vehicle as claimed in any one of claims 6 to 8.
CN201910252205.1A2019-03-292019-03-29Method and device for determining battery of power hybrid electric vehicle and upper computerActiveCN111746352B (en)

Priority Applications (1)

Application NumberPriority DateFiling DateTitle
CN201910252205.1ACN111746352B (en)2019-03-292019-03-29Method and device for determining battery of power hybrid electric vehicle and upper computer

Applications Claiming Priority (1)

Application NumberPriority DateFiling DateTitle
CN201910252205.1ACN111746352B (en)2019-03-292019-03-29Method and device for determining battery of power hybrid electric vehicle and upper computer

Publications (2)

Publication NumberPublication Date
CN111746352A CN111746352A (en)2020-10-09
CN111746352Btrue CN111746352B (en)2022-01-28

Family

ID=72672536

Family Applications (1)

Application NumberTitlePriority DateFiling Date
CN201910252205.1AActiveCN111746352B (en)2019-03-292019-03-29Method and device for determining battery of power hybrid electric vehicle and upper computer

Country Status (1)

CountryLink
CN (1)CN111746352B (en)

Families Citing this family (3)

* Cited by examiner, † Cited by third party
Publication numberPriority datePublication dateAssigneeTitle
CN114763079A (en)*2021-01-132022-07-19宝能汽车集团有限公司Method and device for estimating remaining mileage of fuel cell vehicle and vehicle control unit
CN112721743B (en)*2021-02-042022-10-28武汉理工大学Fuel cell automobile remaining mileage prediction method based on charging-hydrogen using mode
CN113022380B (en)*2021-03-092022-06-21吉林大学Fuel cell automobile power battery optimization design method considering attenuation

Citations (17)

* Cited by examiner, † Cited by third party
Publication numberPriority datePublication dateAssigneeTitle
JP2010104165A (en)*2008-10-242010-05-06Honda Motor Co Ltd Power supply device and power supply system for fuel cell vehicle
CN102478461A (en)*2010-11-262012-05-30现代自动车株式会社Fuel efficiency measuring system for fuel cell vehicle
EP2471683A2 (en)*2011-01-032012-07-04General Electric CompanySystems and methods for hybrid vehicle fuel price point comparisons
CN102622794A (en)*2010-10-292012-08-01通用汽车环球科技运作有限责任公司Electric driving range calculator
CN102648104A (en)*2009-11-172012-08-22丰田自动车株式会社 Vehicle and vehicle control method
CN102673406A (en)*2011-03-142012-09-19通用汽车环球科技运作有限责任公司Consistent range calculation in hybrid vehicles with hybrid and pure battery electric propulsion
CN103097221A (en)*2011-01-252013-05-08日产自动车株式会社1. hybrid vehicle control apparatus and control method
KR20140117208A (en)*2013-03-262014-10-07삼성테크윈 주식회사Method for operating hybrid power supply system
CN104159772A (en)*2012-03-102014-11-19奥迪股份公司Method and device for determining and displaying a remaining range of a motor vehicle, and motor vehicle having a device for determining and displaying a remaining range
CN105365592A (en)*2015-10-302016-03-02北京新能源汽车股份有限公司Method and system for estimating remaining endurance mileage of electric automobile and electric automobile
CN106004504A (en)*2016-07-062016-10-12中国人民解放军理工大学Hydrogen energy recycling type automobile clean hybrid power system
EP3173284A1 (en)*2015-11-252017-05-31Magna Steyr Fahrzeugtechnik AG & Co KGMethod for operating a fuel cell
CN107000603A (en)*2015-03-202017-08-01三菱自动车工业株式会社The power control unit of vehicle
JPWO2016151696A1 (en)*2015-03-202017-08-17三菱自動車工業株式会社 Vehicle power control device
CN107054124A (en)*2017-03-102017-08-18同济大学A kind of hybrid power system and method based on vehicle mounted guidance
CN107719163A (en)*2017-10-092018-02-23福建福安闽东亚南电机有限公司The control method and control system of fuel cell car
EP3434508A1 (en)*2017-07-252019-01-30Hamilton Sundstrand CorporationElectric system architecture for range extended electric vehicles

Family Cites Families (23)

* Cited by examiner, † Cited by third party
Publication numberPriority datePublication dateAssigneeTitle
EP1027745A1 (en)*1997-09-112000-08-16Ultra Force Battery Co.Sealed battery and method of operation
CN1533931A (en)*2003-03-272004-10-06威达能源科技股份有限公司Energy management system for electric vehicle
KR100906907B1 (en)*2006-10-102009-07-08현대자동차주식회사 Car battery management system
KR101091664B1 (en)*2010-11-302011-12-08기아자동차주식회사Estimation method of remained driving distance for electric vehicle
CN102167036B (en)*2011-04-012013-08-14清华大学Control method of fuel cell hybrid vehicle
CN102837697B (en)*2011-06-242015-10-28北汽福田汽车股份有限公司A kind of electronlmobil course continuation mileage management system and method for work
CN202393890U (en)*2011-12-122012-08-22武汉理工大学Comprehensive test device for fuel battery and lithium battery mixed electric vehicle power system
ITMO20120147A1 (en)*2012-06-012013-12-02Meta System Spa BATTERY FOR ELECTRIC VEHICLES
CN103930298B (en)*2012-08-092016-04-13约翰逊控制技术有限责任公司For the system and method for battery pack power prediction
GB201311515D0 (en)*2013-06-272013-08-14Jaguar Land Rover LtdEV range prediction
CN103529397B (en)*2013-10-242016-06-22华南师范大学A kind of method estimating battery electric quantity and battery electric quantity management system
KR101567643B1 (en)*2013-11-292015-11-10현대자동차주식회사Driving control method of fuel cell system
CN105406532B (en)*2015-11-302019-02-26北京新能源汽车股份有限公司Electric vehicle and method and device for detecting available energy of battery of electric vehicle
CN107839468B (en)*2016-01-212019-12-10厦门市福工动力技术有限公司hybrid power system with high charge-discharge efficiency and control method thereof
CN206938479U (en)*2017-04-172018-01-30东风特汽(十堰)专用车有限公司Micro fuel cell logistic car complete vehicle structure is arranged
CN107225985A (en)*2017-05-082017-10-03江苏理工学院A kind of real-time predicting method of hydrogen cell automobile remaining mileage
CN107264324B (en)*2017-06-302019-10-25北京新能源汽车股份有限公司Energy control method and device of fuel cell vehicle and fuel cell vehicle
CN107499155B (en)*2017-08-082019-08-02航天新长征电动汽车技术有限公司A kind of mixed motor-car control method and control system based on fuel cell and lithium battery
CN107878235B (en)*2017-11-132024-10-18中山大洋电机股份有限公司Fuel cell power system for vehicle
CN108110336B (en)*2017-11-302020-05-05宁德时代新能源科技股份有限公司Battery pack balance control method, device and equipment
CN108327551A (en)*2017-12-292018-07-27北京智行鸿远汽车有限公司The evaluation method and device of electric vehicle course continuation mileage
CN109033531A (en)*2018-06-282018-12-18浙江大学A kind of electric powered motor matching optimization method based on multiple objective programming
CN109050262A (en)*2018-08-272018-12-21上海精虹新能源科技有限公司A kind of remaining continual mileage evaluation method and system of pure electric automobile

Patent Citations (17)

* Cited by examiner, † Cited by third party
Publication numberPriority datePublication dateAssigneeTitle
JP2010104165A (en)*2008-10-242010-05-06Honda Motor Co Ltd Power supply device and power supply system for fuel cell vehicle
CN102648104A (en)*2009-11-172012-08-22丰田自动车株式会社 Vehicle and vehicle control method
CN102622794A (en)*2010-10-292012-08-01通用汽车环球科技运作有限责任公司Electric driving range calculator
CN102478461A (en)*2010-11-262012-05-30现代自动车株式会社Fuel efficiency measuring system for fuel cell vehicle
EP2471683A2 (en)*2011-01-032012-07-04General Electric CompanySystems and methods for hybrid vehicle fuel price point comparisons
CN103097221A (en)*2011-01-252013-05-08日产自动车株式会社1. hybrid vehicle control apparatus and control method
CN102673406A (en)*2011-03-142012-09-19通用汽车环球科技运作有限责任公司Consistent range calculation in hybrid vehicles with hybrid and pure battery electric propulsion
CN104159772A (en)*2012-03-102014-11-19奥迪股份公司Method and device for determining and displaying a remaining range of a motor vehicle, and motor vehicle having a device for determining and displaying a remaining range
KR20140117208A (en)*2013-03-262014-10-07삼성테크윈 주식회사Method for operating hybrid power supply system
CN107000603A (en)*2015-03-202017-08-01三菱自动车工业株式会社The power control unit of vehicle
JPWO2016151696A1 (en)*2015-03-202017-08-17三菱自動車工業株式会社 Vehicle power control device
CN105365592A (en)*2015-10-302016-03-02北京新能源汽车股份有限公司Method and system for estimating remaining endurance mileage of electric automobile and electric automobile
EP3173284A1 (en)*2015-11-252017-05-31Magna Steyr Fahrzeugtechnik AG & Co KGMethod for operating a fuel cell
CN106004504A (en)*2016-07-062016-10-12中国人民解放军理工大学Hydrogen energy recycling type automobile clean hybrid power system
CN107054124A (en)*2017-03-102017-08-18同济大学A kind of hybrid power system and method based on vehicle mounted guidance
EP3434508A1 (en)*2017-07-252019-01-30Hamilton Sundstrand CorporationElectric system architecture for range extended electric vehicles
CN107719163A (en)*2017-10-092018-02-23福建福安闽东亚南电机有限公司The control method and control system of fuel cell car

Non-Patent Citations (1)

* Cited by examiner, † Cited by third party
Title
某B级燃料电池电动汽车匹配设计研究;杨坤;《汽车工程学报》;20181130;399-406*

Also Published As

Publication numberPublication date
CN111746352A (en)2020-10-09

Similar Documents

PublicationPublication DateTitle
US6653817B2 (en)State-of-charge detection device for a battery
CN111746352B (en)Method and device for determining battery of power hybrid electric vehicle and upper computer
US9641013B2 (en)Method of balancing rack voltages of battery pack including racks
CN111181185B (en) A DC microgrid system using fuel cells and a control method thereof
US8810201B2 (en)Battery management system and battery management method
US20100121511A1 (en)Li-ion battery array for vehicle and other large capacity applications
Wang et al.Use of LiFePO4 batteries in stand-alone solar system
EP1919059A2 (en)Battery management system and driving method thereof
US9543783B2 (en)Charging module and rechargeable battery assembly for electric vehicle
CN103675686A (en)Electric vehicle power battery charging and discharging operating condition simulation system and method
CN104145400A (en) Battery control systems, battery packs, electronics and chargers
KR20150109608A (en)Apparatus for charging electric vehicle
KR100878941B1 (en) Battery voltage measurement and cell balancing circuit for electric and hybrid vehicles
KR20140111187A (en)Battery module and maintenance method of over battery standard temperature
KR20090092041A (en)A battery system for a plug-in hybrid electric vehicle
CN102468519A (en)Apparatus and method for extending battery life of plug-in hybrid vehicle
CN204858599U (en)Stake of charging of power coordinated control type fuel cell
KR100534719B1 (en)Charging control system of electric vehicle and method thereof
CN106300454A (en)A kind of power coordination control type fuel cell charging pile
KR101182336B1 (en)Cell voltage ballancing control method of battery management system
CN105428733A (en)System for managing battery and method thereof
KR101752038B1 (en)Apparatus and method for controlling charge and discharge of battery
KR101628850B1 (en)Battery management system
CN112572199A (en)Intelligent charging pile system and charging method based on battery echelon utilization
Conte et al.Design procedures of lithium-ion battery systems: The application to a cable railway

Legal Events

DateCodeTitleDescription
PB01Publication
PB01Publication
SE01Entry into force of request for substantive examination
SE01Entry into force of request for substantive examination
GR01Patent grant
GR01Patent grant

[8]ページ先頭

©2009-2025 Movatter.jp