Movatterモバイル変換


[0]ホーム

URL:


CN111738794A - Project recommendation control method and device, storage medium and computer equipment - Google Patents

Project recommendation control method and device, storage medium and computer equipment
Download PDF

Info

Publication number
CN111738794A
CN111738794ACN202010377224.XACN202010377224ACN111738794ACN 111738794 ACN111738794 ACN 111738794ACN 202010377224 ACN202010377224 ACN 202010377224ACN 111738794 ACN111738794 ACN 111738794A
Authority
CN
China
Prior art keywords
preset
item recommendation
recommendation
channel
behavior data
Prior art date
Legal status (The legal status is an assumption and is not a legal conclusion. Google has not performed a legal analysis and makes no representation as to the accuracy of the status listed.)
Pending
Application number
CN202010377224.XA
Other languages
Chinese (zh)
Inventor
潘蕾
Current Assignee (The listed assignees may be inaccurate. Google has not performed a legal analysis and makes no representation or warranty as to the accuracy of the list.)
Suning Financial Technology Nanjing Co Ltd
Original Assignee
Suning Financial Technology Nanjing Co Ltd
Priority date (The priority date is an assumption and is not a legal conclusion. Google has not performed a legal analysis and makes no representation as to the accuracy of the date listed.)
Filing date
Publication date
Application filed by Suning Financial Technology Nanjing Co LtdfiledCriticalSuning Financial Technology Nanjing Co Ltd
Priority to CN202010377224.XApriorityCriticalpatent/CN111738794A/en
Publication of CN111738794ApublicationCriticalpatent/CN111738794A/en
Pendinglegal-statusCriticalCurrent

Links

Images

Classifications

Landscapes

Abstract

The application relates to a project recommendation control method. The method comprises the following steps: acquiring first behavior data, wherein the first behavior data are historical behavior data of a plurality of accounts; determining item recommendation channels and item recommendation lists corresponding to the plurality of accounts according to the first behavior data; and when the item recommendation channel is a preset target channel, distributing the item recommendation channel and the corresponding item recommendation list to a terminal of a corresponding preset recommendation object according to a preset distribution strategy, so that the preset recommendation object recommends the corresponding item recommendation list to the corresponding potential customer according to each item recommendation channel. According to the method and the device, the project recommendation list and the project recommendation channels suitable for the user are obtained based on the behavior data of the user, the recommendation accuracy is improved, the user is distributed to be a suitable recommendation object for recommendation, repeated recommendation of multiple channels is avoided, and resources are reasonably utilized.

Description

Project recommendation control method and device, storage medium and computer equipment
Technical Field
The present application relates to the field of data processing technologies, and in particular, to a method and an apparatus for controlling item recommendation, a storage medium, and a computer device.
Background
With the rapid development of the insurance industry, the marketing mode of insurance has changed greatly, from traditional offline agent marketing to telemarketing to online internet insurance marketing, the insurance marketing channel is gradually diversified. Different marketing channels have advantages and disadvantages, the traditional offline channel has higher marketing cost, but can establish trust sense through communication with users, and the online channel has lower marketing cost and lower trust degree. Marketing products in different channels are different, the price of the traditional off-line insurance product is expensive and mainly refers to traditional health insurance, life insurance and the like, and the price of the on-line insurance product is cheap and mainly refers to short-term insurance below one year.
Currently, recommendation services of projects are mainly divided into online recommendation and offline recommendation, wherein the offline recommendation includes multiple channels such as telephone recommendation and store recommendation. Business personnel corresponding to each channel often perform their own duties, and are easy to cause the situation of repeated recommendation among the channels according to product marketing customers of the channels, so that resource waste is caused, and the recommendation is easy to cause inaccurate recommendation by taking a product as a center instead of a user as a center.
Disclosure of Invention
In view of the foregoing, it is desirable to provide an item recommendation control method, an item recommendation control apparatus, a storage medium, and a computer device, which can implement accurate recommendation of an item and avoid repeated recommendation.
An item recommendation control method, the method comprising:
acquiring first behavior data, wherein the first behavior data are historical behavior data of a plurality of accounts;
determining item recommendation channels and item recommendation lists corresponding to the multiple accounts according to the first behavior data;
and when the item recommendation channel is a preset target channel, distributing the item recommendation channel and the corresponding item recommendation list to a terminal of a corresponding preset recommendation object according to a preset distribution strategy.
In one embodiment, the determining item recommendation channels and item recommendation lists corresponding to a plurality of accounts according to the first behavior data includes:
determining client information of the potential client according to the first behavior data and a preset prediction model;
and determining item recommendation channels and item recommendation lists corresponding to a plurality of accounts according to the customer information of the potential customer, wherein the item recommendation channels corresponding to the plurality of accounts are the item recommendation channels corresponding to the potential customer, and the item recommendation lists corresponding to the plurality of accounts are the item recommendation lists corresponding to the potential customer.
In one embodiment, the determining the customer information of the potential customer according to the first behavior data and a preset prediction model includes:
extracting characteristic information of each account in the first behavior data;
obtaining target probabilities corresponding to the accounts according to the characteristic information and a preset prediction model;
when the target probability is larger than a first preset threshold value, determining an account corresponding to the target probability as a first candidate customer;
acquiring second behavior data, wherein the second behavior data is historical behavior data of each first candidate client in a second preset time period;
determining the first candidate customer as a potential customer when the second behavioral data includes the item access data;
and acquiring client information corresponding to the potential client, wherein the client information is the characteristic information of the potential client.
In one embodiment, the foregoing further includes:
determining the first candidate customer as a second candidate customer when the second behavioral data does not include the item access data;
acquiring historical recommendation times of a second candidate client;
and when the historical recommendation times are less than a second preset threshold value, determining the second candidate customer as a potential customer.
In one embodiment, the determining, according to the customer information of the potential customers, an item recommendation channel and an item recommendation list corresponding to each potential customer includes:
acquiring third behavior data, wherein the third behavior data is historical behavior data of the potential customer in a third preset time period;
when the third behavior data does not comprise the selection behavior of the preset self-selection channel, determining the item recommendation channels corresponding to the potential customers according to the customer information of the potential customers and a first preset algorithm;
determining a first recommendation list corresponding to each potential customer according to the first behavior data corresponding to each potential customer and a preset promotion strategy;
determining a second recommendation list corresponding to each potential customer according to the first behavior data and a second preset algorithm;
obtaining an item recommendation list corresponding to each potential customer according to the first recommendation list and the second recommendation list;
in one embodiment, the method further includes:
a user interface is displayed for receiving a selection of one of a plurality of preset channels for invocation.
In one embodiment, the determining, according to the customer information of the potential customer and a first preset algorithm, an item recommendation channel corresponding to each potential customer includes:
acquiring first address information in client information;
acquiring second address information of each preset store;
obtaining target distances between each potential customer and each preset store according to the first address information, the second address information and a first preset algorithm;
when the target distance is larger than a third preset threshold value, determining the corresponding item recommendation channel of the potential customer as a first item recommendation channel;
when the target distance is smaller than a third preset threshold value and the first address information belongs to a preset target area, determining the corresponding item recommendation channel of the potential customer as a second item recommendation channel;
when the target distance is smaller than a third preset threshold value and the first address information does not belong to a preset target area, determining the corresponding item recommendation channel of the potential customer as a third item recommendation channel;
the method further comprises the following steps:
and when the item recommendation channel is the first item recommendation channel or the second item recommendation channel, determining the item recommendation channel as a target channel.
In one embodiment, the method further includes:
when the target distance is smaller than a third preset threshold value and the first address information does not belong to a preset target area, determining the corresponding item recommendation channel of the potential customer as a third item recommendation channel;
and when the item recommendation channel is a third item recommendation channel, sending the item recommendation list corresponding to each potential customer to a terminal corresponding to each potential customer for display.
In one embodiment, the distributing the item recommendation channels and the item recommendation lists corresponding to the potential customers to the terminals corresponding to the preset recommendation objects according to the preset distribution policy includes:
extracting first address information in the client information;
acquiring third address information of each preset recommendation object;
determining a preset recommendation object matched with each potential client according to the allocation strategy, the first address information and the third address information;
and distributing the item recommendation channels and item recommendation lists corresponding to the potential customers to terminals of preset recommendation objects matched with the potential customers.
An item recommendation control apparatus, the apparatus comprising:
the acquisition module is used for acquiring first behavior data, wherein the first behavior data are historical behavior data of a plurality of accounts;
the determining module is used for determining item recommendation channels and item recommendation lists corresponding to the plurality of accounts according to the first behavior data;
and the recommending module is used for distributing the item recommending channel and the corresponding item recommending list to the corresponding terminal of the preset recommending object according to a preset distribution strategy when the item recommending channel is a preset target channel.
A computer device comprising a memory, a processor and a computer program stored on the memory and executable on the processor, the processor implementing the steps of the method of any of the above embodiments when executing the computer program.
A computer-readable storage medium, on which a computer program is stored which, when being executed by a processor, carries out the steps of the method of any of the above embodiments.
According to the project recommendation control method, the project recommendation control device and the computer equipment, the first behavior data are acquired, and the first behavior data are historical behavior data of a plurality of accounts; determining item recommendation channels and item recommendation lists corresponding to the multiple accounts according to the first behavior data; when the item recommendation channel is a preset target channel, the item recommendation channel and the corresponding item recommendation list are distributed to a terminal of a corresponding preset recommendation object according to a preset distribution strategy, so that the preset recommendation object recommends the corresponding item recommendation list to a corresponding potential customer according to each item recommendation channel. On one hand, the project recommendation list suitable for the user is obtained based on the behavior data of the user, recommendation is performed by taking the characteristics of the product side as the center, and the recommendation accuracy is improved; on the other hand, the method and the device match the proper item recommendation channels for the users, and further allocate the users as the proper recommendation objects for recommendation, so that the preset recommendation objects recommend the corresponding item recommendation lists to the corresponding accounts according to the item recommendation channels, repeated recommendation of multiple channels is avoided, targeted recommendation is achieved, and resources are reasonably utilized.
Drawings
FIG. 1 is a diagram of an application environment of a method for controlling recommendation of items in an exemplary embodiment of the present application;
FIG. 2 is a flow chart illustrating an item recommendation control method provided in an exemplary embodiment of the present application;
FIG. 3 is a schematic diagram of a display interface of a plurality of preset self-selected channels provided in an exemplary embodiment of the present application;
FIG. 4 is a schematic illustration of a boosting strategy provided in an exemplary embodiment of the present application;
FIG. 5 is a block diagram of an item recommendation control apparatus provided in an exemplary embodiment of the present application;
fig. 6 is an internal structural diagram of a computer device provided in an exemplary embodiment of the present application.
Detailed Description
In order to make the objects, technical solutions and advantages of the present application more apparent, the present application is described in further detail below with reference to the accompanying drawings and embodiments. It should be understood that the specific embodiments described herein are merely illustrative of the present application and are not intended to limit the present application.
Referring to fig. 1, fig. 1 is a schematic application environment diagram of an item recommendation control method according to an exemplary embodiment of the present application. As shown in fig. 1, the item recommendation control system includes aserver 10 and a terminal 11, and theserver 10 and the terminal 11 communicate via a network 12 to implement the item recommendation control method of the present application.
Theserver 10 is configured to obtain first behavior data, where the first behavior data is historical behavior data of a plurality of accounts; determining item recommendation channels and item recommendation lists corresponding to a plurality of accounts according to historical behavior data and a preset algorithm; and when the item recommendation channel is a preset target channel, distributing the item recommendation channel and the corresponding item recommendation list to a terminal of a corresponding preset recommendation object according to a preset distribution strategy. Theserver 10 may be implemented as a stand-alone server or as a server cluster consisting of a plurality of servers.
The terminal 11 is configured to receive the item recommendation channels and the corresponding item recommendation lists sent by theserver 10 and corresponding to the potential customers. The terminal 11 may be, but is not limited to, various personal computers, notebook computers, smart phones, tablet computers, and portable wearable devices.
The network 12 is used to implement a network connection between theserver 10 and the terminal 11. In particular, the network 12 may include various types of wired or wireless networks.
In one embodiment, as shown in fig. 2, an item recommendation control method is provided, which is described by taking the application of the method to the server in fig. 1 as an example, and includes the following steps:
and S21, acquiring first behavior data, wherein the first behavior data is historical behavior data of a plurality of accounts.
In one embodiment, the items may include insurance items, financial items, and other financial items. The insurance items can specifically include health insurance items, education insurance items, travel insurance items, property insurance items and the like. The health care items may specifically include accident risk, medical risk, serious risk, cancer prevention risk, and the like. The financial project may include a plurality of financial products.
In an embodiment, the first behavior data may be historical behavior data of a plurality of accounts in a preset database. The server acquires historical behavior data of each account at intervals of a preset time period, and constructs the preset database according to the acquired historical behavior data to provide a data source for subsequent data processing.
Specifically, the historical behavior data may include, but is not limited to, the following:
user base data, user access item data, and user item recommendation data. The user access item data may include item browsing data, item purchasing data, item searching data, and the like. The user base data may include account information, age, gender, professional status, marital status, child status, etc. of the user. The item recommendation data can be historical recommendation times, recommendation time and user response conditions to recommendations. The response condition of the user to the recommendation may be whether the user has a behavior of browsing the item after being recommended, whether the user has a behavior of purchasing the item, whether the user has a behavior of searching the item, or the like.
In one embodiment, the item recommendation control method described above can be applied to the marketing of insurance products. When the item recommendation control method is applied to the marketing of insurance products, the user access item data may include insurance product browsing data, insurance product purchase data, insurance product search data, and the like.
And S22, determining item recommendation channels and item recommendation lists corresponding to the multiple accounts according to the historical behavior data and a preset algorithm.
In one embodiment, the item recommendation channels may include an online recommendation channel and an offline recommendation channel. The online recommendation channel can comprise a short message mode, a page popup mode, an email mode, an APP page recommendation position display mode and the like. The online recommendation channel can comprise a store form and a telephone recommendation form, such as telemarketing and the like. The item recommendation list is an item list suitable for each account matched according to the historical behaviors of the user.
And S23, when the item recommendation channel is a preset target channel, distributing the item recommendation channel and the corresponding item recommendation list to the corresponding preset recommendation object terminal according to a preset distribution strategy.
In one embodiment, the target channel may be an online recommended channel. The allocation policy may be an allocation rule preset according to address information of each preset recommendation object and a service type thereof that is good for the preset recommendation object. The preset recommendation object may be a business person who performs recommendation, such as a marketing person of an insurance product marketing business. Specifically, the server stores basic information of each preset recommendation object in advance, where the basic information at least includes address information, contact information, an adept service type, information of a store where the service type is located, and the like of each preset recommendation object.
In one application scenario, the item recommendation control system of the present application may be applied to the marketing of sunings insurance products. Specifically, the item recommendation control system may acquire historical behavior data of a plurality of accounts from an insurance service system, a financial member system, an easy-purchase system, and the like, and process the historical behavior data to obtain item recommendation channels and item recommendation lists of the plurality of accounts. Further, the item recommendation control system sends the obtained item recommendation channels and item recommendation lists of the multiple accounts to a CRM system (customer relationship management system), the CRM system is connected with a marketing person, namely the preset recommendation object, and the marketing person can search the item recommendation channels and the item recommendation lists corresponding to the accounts by logging in the CRM system, so that the marketing person can execute corresponding offline marketing according to the item recommendation channels and the item recommendation lists.
In one embodiment, the determining the item recommendation channels and the item recommendation lists corresponding to the multiple accounts according to the historical behavior data and the preset algorithm may include:
determining client information of the potential client according to the first behavior data and a preset prediction model;
and determining item recommendation channels and item recommendation lists corresponding to a plurality of accounts according to the customer information of the potential customer, wherein the item recommendation channels corresponding to the plurality of accounts are the item recommendation channels corresponding to the potential customer, and the item recommendation lists corresponding to the plurality of accounts are the item recommendation lists corresponding to the potential customer.
In one embodiment, the method may further include:
and carrying out model training according to the first behavior data to construct a prediction model.
In one embodiment, before the training of the model according to the first behavior data, the server further includes:
the first behavior data is preprocessed.
Specifically, the preprocessing may be deficiency abnormal value processing, data transformation and discretization, data normalization and regularization, feature selection, and the like.
Further, the first behavior data is preprocessed and then modeled by a two-classification algorithm to obtain the prediction model. The prediction model may be an algorithm model such as a decision tree, GBDT, neural network, or the like.
In one embodiment, the determining the customer information of the potential customer according to the first behavior data and a preset prediction model may include:
extracting characteristic information of each account in the first behavior data;
obtaining target probabilities corresponding to the accounts according to the characteristic information and a preset prediction model;
when the target probability is larger than a first preset threshold value, determining an account corresponding to the target probability as a first candidate customer;
acquiring second behavior data, wherein the second behavior data is historical behavior data of each first candidate client in a second preset time period;
determining the first candidate customer as a potential customer when the second behavioral data includes the item access data;
and acquiring client information corresponding to the potential client, wherein the client information is the characteristic information of the potential client.
In one embodiment, the target probability may be a probability value that each account is a potential customer. The second preset time period may be set to be 7 days closest to the current time or other values, and the second preset time period may be set according to actual requirements, and is not specifically limited herein.
In an embodiment, after obtaining the first candidate client, the method may further include:
acquiring characteristic information of first candidate clients, and determining an initial item recommendation list matched with each first candidate client according to the characteristic information;
and/or acquiring a popular item list of which the click rate in the latest preset time period is greater than a preset value;
sending the initial item recommendation list and/or the hot item list to a plurality of terminals of first candidate clients, and marking each first candidate client which has sent the initial item recommendation list and/or the hot item list to obtain a marked client;
acquiring historical behavior data of each marked client in a second preset time period;
and if the historical behavior data of the marked client in the second preset time period comprises the item access data, determining that the marked client is a potential client.
In one embodiment, the method may further include:
determining the first candidate customer as a second candidate customer when the second behavioral data does not include the item access data;
acquiring historical recommendation times of a second candidate client;
and when the historical recommendation times are less than a second preset threshold value, determining the second candidate customer as a potential customer.
In an embodiment, taking marketing of insurance products as an example, the preset database includes historical marketing data of each second candidate customer. The historical marketing data may include marketing time, marketing channel, marketing content, marketing times, and the like. The marketing times may be, for example, insurance marketing times through channels such as short messages and push. And the server acquires the historical marketing times, namely the historical recommendation times, in a preset database, and determines that the second candidate client is a potential client when the historical recommendation times are smaller than a second preset threshold value. And when the historical recommendation times are larger than or equal to a second preset threshold value, the user is considered to have no marketing response for many times, and subsequent marketing is not performed any more.
In one embodiment, the determining, according to the customer information of the potential customer, an item recommendation channel and an item recommendation list corresponding to each potential customer may include:
acquiring third behavior data, wherein the third behavior data is historical behavior data of the potential customer in a third preset time period;
when the third behavior data does not comprise the selection behavior of the preset self-selection channel, determining the item recommendation channels corresponding to the potential customers according to the customer information of the potential customers and a first preset algorithm;
determining a first recommendation list corresponding to each potential customer according to the first behavior data corresponding to each potential customer and a preset promotion strategy;
determining a second recommendation list corresponding to each potential customer according to the first behavior data and a second preset algorithm;
and obtaining an item recommendation list corresponding to each potential client according to the first recommendation list and the second recommendation list.
In an embodiment, the third preset time period may be set according to actual requirements. The preset optional channels can comprise user optional channels such as online customer service consultation, nearby store consultation, telephone customer service consultation and the like. And after the condition that the user selects one of the self-selection channels is obtained, item recommendation is executed according to the self-selection channel of the user. And when the user does not select any preset self-selection channel, determining the project recommendation channel corresponding to each potential customer according to the customer information of the potential customer and a first preset algorithm.
In one embodiment, the method may further include:
a user interface is displayed for receiving a selection of one of a plurality of preset channels for invocation.
Referring to fig. 3, fig. 3 is a schematic diagram illustrating a display interface of a plurality of preset channels according to an embodiment. Referring to fig. 3, the interface includes three predetermined channels of choice, an onlinecustomer service counseling 31, anearby store counseling 32, and a telephonecustomer service counseling 33. The user may initiate an active consultation by clicking on either one.
The method and the system firstly consider the self-selected marketing mode of the user. Generally, the internet insurance page only has an option of online customer service consultation, and some car insurance pages have an option of telephone consultation, however, the method and the system can provide three optional consultation modes for the user, namely, the online customer service consultation mode, the nearby store consultation mode and the telephone customer service consultation mode, so that the user can select a proper marketing mode by himself. And if the user selects nearby store consultation or telephone customer service consultation, matching corresponding data and further marketing.
Further, when the server determines the item recommendation lists corresponding to the potential clients, the server may determine a first recommendation list corresponding to each potential client according to the first behavior data and a preset promotion strategy; determining a second recommendation list corresponding to each potential customer according to the first behavior data and a second preset algorithm; and obtaining an item recommendation list corresponding to each potential client according to the first recommendation list and the second recommendation list.
Further, taking the marketing of insurance products as an example, the promotion strategy may include four strategies, i.e., promotion of short-term insurance into long-term insurance, allocation of multiple products for a single person, allocation of products for multiple persons in a family, and improvement of the premium.
Referring to fig. 4, fig. 4 is a schematic diagram illustrating the boosting strategy according to an embodiment. As shown in fig. 4, taking the marketing of insurance products as an example, the promotion strategies may include four strategies, i.e., promoting the short-term insurance to the long-term insurance, configuring multiple products for a single person, configuring multiple products for a family, and increasing the premium. The specific strategy is as follows:
strategy one, short-term risk promotion is long-term risk. Such as short-term accident insurance, short-term property insurance and short-term travel insurance.
And strategy two, single-person multi-product configuration. The account safety risk, short-term accident risk, property risk and the like are promoted to accident risk, medical risk, serious risk, life risk and the like, further promoted to child education, pension and the like, further promoted to asset inheritance and the like.
And thirdly, configuring a product for multiple persons in a family. Including juveniles, middle-aged persons, elderly persons, etc. The product configuration of the minors can include mutual aid products, accident risks, medical risks, serious risks and the like. The product configuration for middle-aged people may include mutual aid products, accident risks, medical risks, critical illness risks, and regular life risks. Product configurations for the elderly may include co-products, accident risks, cancer prevention risks, life expectancy risks, and the like.
And fourthly, improving the quota. For example, it can be upgraded from 20 to 30 thousand.
Specifically, the server acquires the current insurance application condition and feature information of each potential client, determines a corresponding promotion strategy according to the current insurance application condition and feature information, and further matches a suitable recommendation list of insurance products, namely the first recommendation list, for the potential clients based on the product features of insurance products currently on the market and the determined promotion strategies.
Further, the second predetermined algorithm may be a collaborative filtering algorithm. Specifically, the server generates a second recommendation list of each potential client by using a collaborative filtering recommendation algorithm based on the user characteristics according to the characteristic information (such as age, gender, member level and the like) of the potential client, the characteristic information (including online and offline insurance and mutual aid products, such as insurance type, insurance price, insurance company and the like) of the insurance product and the feedback data (such as insurance purchase, browsing data and the like) of the user on the insurance product.
It should be noted that, when determining the item recommendation list, the above feature information of the potential client is derived from the historical behavior data of the online user and the historical behavior data of the offline user. The characteristic information of the insurance product is derived from data of the online product and data of the offline product. The server acquires the characteristic information of the potential client according to the historical behavior data of the online user and the historical behavior data of the offline user, and acquires the characteristic information of the insurance product according to the data of the online product and the data of the offline product.
Taking marketing of the suning insurance products as an example, the online product data refers to data of insurance products which are online on the suning finance APP. Offline product data refers to data for insurance products sold online. The online user data refers to data of users whose marketing channels are online channels, such as online customer service consultation. The offline user data refers to data of users whose marketing channels are offline channels, such as e-commerce, store marketing, and wechat on other offline modes. The online user data server is easy to obtain, and offline user data can be obtained and synchronized to a preset database of the server by automatically monitoring and recording answering behaviors and synchronizing policy information through the offline power distribution system.
Specifically, the server establishes an inverted list of products and potential customers according to historical behavior data of existing users through data preprocessing, calculates a similarity matrix between the potential customers through similarity calculation methods such as cosine similarity, Jaccard similarity coefficient (used for comparing similarity and difference between limited sample sets) or Pearson correlation coefficient (used for measuring linear relation of two data sets on one line), and finds a user set similar to the interest of a target potential customer; the items that the user in this set likes and the target potential customer does not purchase are further found through a TOPN recommendation algorithm (an algorithm for pushing information to the user in the form of a recommendation list), and an insurance product recommendation list of the target potential customer, namely the second recommendation list mentioned above, is formed.
In one embodiment, the determining, according to the customer information of the potential customer and a first preset algorithm, an item recommendation channel corresponding to each potential customer may include:
acquiring first address information in client information;
acquiring second address information of each preset store;
obtaining target distances between each potential customer and each preset store according to the first address information, the second address information and a first preset algorithm;
when the target distance is larger than a third preset threshold value, determining the corresponding item recommendation channel of the potential customer as a first item recommendation channel;
when the target distance is smaller than a third preset threshold value and the first address information belongs to a preset target area, determining the corresponding item recommendation channel of the potential customer as a second item recommendation channel;
when the target distance is smaller than a third preset threshold value and the first address information does not belong to a preset target area, determining the corresponding item recommendation channel of the potential customer as a third item recommendation channel;
the above method may further include:
and when the item recommendation channel is the first item recommendation channel or the second item recommendation channel, determining the item recommendation channel as a target channel.
In one embodiment, the target channel may be an offline channel, the offline channel may include store recommendations and telephone recommendations, and the target channel may include store marketing and telephone marketing, for example, marketing insurance products.
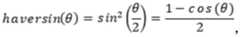
In one embodiment, the first predetermined algorithm may be a Haversine formula. Specifically, the calculation formula of the Haversine formula is as follows:
Figure BDA0002480398550000111
wherein,
Figure BDA0002480398550000112
d is the distance between two points, R is the radius of the earth, α 1, α 2 are the longitude of two points, β 1, β 2 are the latitude of two points.
And when the third behavior data does not comprise the selecting behavior of the preset self-selecting channel, the business personnel is required to carry out active marketing. The server calculates the longitude and latitude which frequently appears in the user according to the login or browsing behavior data of the user to obtain first address information, obtains second address information of each preset store, and further calculates the distance between the potential customer and the preset store by using a Haversene formula.
Further, if the target distance is smaller than a third preset threshold, determining that the corresponding item recommendation channel of the potential customer is a first item recommendation channel, wherein the first item recommendation channel can be a store marketing channel;
and if the target distance is greater than a third preset threshold value and the first address information belongs to a preset target area, determining that the item recommendation channel of the corresponding potential customer is a second item recommendation channel, wherein the preset target area can be an allowable area, and the second item recommendation channel can be a telemarketing channel.
If the distance between the user and the off-line store is less than the acceptable threshold, i.e., the third preset threshold described above, a store-entry offer, such as the trillione of suning, is initiated to the user. If the user accepts the store offer, subsequent face-to-face or WeChat communications may be conducted.
In one embodiment, the method may further include:
when the target distance is smaller than a third preset threshold value and the first address information does not belong to a preset target area, determining the corresponding item recommendation channel of the potential customer as a third item recommendation channel;
the third item recommendation channel may be an online recommendation channel, such as short message, push, pop-up window, and page recommendation position display. And when the item recommendation channel is a third item recommendation channel, sending the item recommendation list corresponding to each potential customer to a terminal corresponding to each potential customer for display.
And if the target distance is greater than a third preset threshold value and the first address information does not belong to the preset target area, determining that the target distance is a third item recommendation channel, wherein the third item recommendation channel can be an online marketing channel.
In one embodiment, if the user refuses the store offer or the distance is greater than the third preset threshold, the way of using electricity for sale is considered. Before the electric marketing, whether the city where the longitude and latitude of the user is commonly used is judged to be in the selling-allowed area of the electric marketing according to the supervision requirement of the insurance industry. And if the user is in the feasible selling area of the electric selling, continuing to match the forbidden dialing list of the insurance industry, and if the user is not forbidden dialing the list, selling the phone, otherwise, carrying out the insurance product marketing of the online shopping mall, namely the third item recommendation channel.
In an embodiment, the sending the item recommendation list corresponding to each potential customer to the terminal display corresponding to each potential customer may include:
sending the item recommendation list corresponding to each potential customer to a terminal corresponding to each potential customer in a short message or mail mode;
or when the potential client opens the APP page, the corresponding item recommendation list is displayed on the page.
In one embodiment, the distributing the item recommendation channels and the item recommendation lists corresponding to the potential customers to the terminals corresponding to the preset recommendation objects according to the preset distribution policy may include:
extracting first address information in the client information;
acquiring third address information of each preset recommendation object;
determining a preset recommendation object matched with each potential client according to the allocation strategy, the first address information and the third address information;
and distributing the item recommendation channels and item recommendation lists corresponding to the potential customers to terminals of preset recommendation objects matched with the potential customers.
In one embodiment, the server stores basic information of each preset recommendation object in advance, where the basic information includes address information, contact information, an adept service type, information of a store where the preset recommendation object is located, and the like of each preset recommendation object. The allocation strategy described above is used to allocate each potential customer to a preset recommendation object that is closest and best at recommending the items that the customer prefers. According to the method and the device, the optimal recommendation channel is matched for the user based on the user behavior data, and the client is further allocated to the appropriate preset recommendation object based on the preset allocation strategy, so that accurate recommendation is achieved, and the problem of multi-channel repeated recommendation is avoided.
In one embodiment, as shown in fig. 5, there is provided an item recommendation control apparatus including:
an obtainingmodule 51, configured to obtain first behavior data, where the first behavior data is historical behavior data of multiple accounts;
the determiningmodule 52 is configured to determine, according to the first behavior data, item recommendation channels and item recommendation lists corresponding to the multiple accounts;
and the recommendingmodule 53 is configured to, when the item recommendation channel is a preset target channel, distribute the item recommendation channel and the corresponding item recommendation list to the terminal of the corresponding preset recommendation object according to a preset distribution policy.
In one embodiment, the determiningmodule 52 includes:
the determining unit is used for determining the client information of the potential client according to the first behavior data and a preset prediction model;
and determining item recommendation channels and item recommendation lists corresponding to a plurality of accounts according to the customer information of the potential customer, wherein the item recommendation channels corresponding to the plurality of accounts are the item recommendation channels corresponding to the potential customer, and the item recommendation lists corresponding to the plurality of accounts are the item recommendation lists corresponding to the potential customer.
In one embodiment, the first behavior data is historical behavior data of each account in a first preset time period, and the determining unit is further configured to extract feature information of each account in the first behavior data;
obtaining target probabilities corresponding to the accounts according to the characteristic information and a preset prediction model;
when the target probability is larger than a first preset threshold value, determining an account corresponding to the target probability as a first candidate customer;
acquiring second behavior data, wherein the second behavior data is historical behavior data of each first candidate client in a second preset time period;
determining the first candidate customer as a potential customer when the second behavioral data includes the item access data;
and acquiring client information corresponding to the potential client, wherein the client information is the characteristic information of the potential client.
In one embodiment, the determining unit is further configured to determine the first candidate client as a second candidate client when the second behavior data does not include the item access data;
acquiring historical recommendation times of a second candidate client;
and when the historical recommendation times are less than a second preset threshold value, determining the second candidate customer as a potential customer.
In one embodiment, the determining unit is further configured to obtain third behavior data, where the third behavior data is historical behavior data of the potential customer in a third preset time period;
when the third behavior data does not comprise the selection behavior of the preset candidate channel, determining the item recommendation channels corresponding to the potential customers according to the customer information of the potential customers and a first preset algorithm;
determining a first recommendation list corresponding to each potential customer according to the first behavior data corresponding to each potential customer and a preset promotion strategy;
determining a second recommendation list corresponding to each potential customer according to the first behavior data and a second preset algorithm;
obtaining an item recommendation list corresponding to each potential customer according to the first recommendation list and the second recommendation list;
in one embodiment, the determiningmodule 52 is further configured to display a user interface for receiving a selection of one of the preset channels for invoking.
In one embodiment, the determining unit is further configured to obtain first address information in the client information;
acquiring second address information of each preset store;
obtaining target distances between each potential customer and each preset store according to the first address information, the second address information and a first preset algorithm;
when the target distance is larger than a third preset threshold value, determining the corresponding item recommendation channel of the potential customer as a first item recommendation channel;
when the target distance is smaller than a third preset threshold value and the first address information belongs to a preset target area, determining the corresponding item recommendation channel of the potential customer as a second item recommendation channel;
when the target distance is smaller than a third preset threshold value and the first address information does not belong to a preset target area, determining the corresponding item recommendation channel of the potential customer as a third item recommendation channel;
in one embodiment, the determiningmodule 52 is further configured to determine that the item recommendation channel is the target channel when the item recommendation channel is the first item recommendation channel or the second item recommendation channel.
In one embodiment, the recommendingmodule 53 is further configured to determine, when the target distance is smaller than a third preset threshold and the first address information does not belong to the preset target area, that the item recommending channel of the corresponding potential customer is a third item recommending channel;
and when the item recommendation channel is a third item recommendation channel, sending the item recommendation list corresponding to each potential customer to a terminal corresponding to each potential customer for display.
In one embodiment, the recommendingmodule 53 includes:
the recommendation unit is used for extracting first address information in the client information;
acquiring third address information of each preset recommendation object;
determining a preset recommendation object matched with each potential client according to the allocation strategy, the first address information and the third address information;
and distributing the item recommendation channels and item recommendation lists corresponding to the potential customers to terminals of preset recommendation objects matched with the potential customers.
In one embodiment, a computer device is provided, which may be a server, and its internal structure diagram may be as shown in fig. 6. The computer device includes a processor, a memory, a network interface, and a database connected by a system bus. Wherein the processor of the computer device is configured to provide computing and control capabilities. The memory of the computer device comprises a nonvolatile storage medium and an internal memory. The non-volatile storage medium stores an operating system, a computer program, and a database. The internal memory provides an environment for the operation of an operating system and computer programs in the non-volatile storage medium. The database of the computer device is used for storing historical behavior data of a plurality of accounts. The network interface of the computer device is used for communicating with an external terminal through a network connection. The computer program is executed by a processor to implement an item recommendation control method.
In one embodiment, a computer device is provided, comprising a memory, a processor, and a computer program stored on the memory and executable on the processor, the processor implementing the following steps when executing the computer program: acquiring first behavior data, wherein the first behavior data are historical behavior data of a plurality of accounts; determining item recommendation channels and item recommendation lists corresponding to the multiple accounts according to the first behavior data; and when the item recommendation channel is a preset target channel, distributing the item recommendation channel and the corresponding item recommendation list to a terminal of a corresponding preset recommendation object according to a preset distribution strategy.
In an embodiment, when the processor executes the computer program to implement the above step of determining the item recommendation channels and the item recommendation list corresponding to the plurality of accounts according to the first behavior data, the following steps are specifically implemented:
determining client information of the potential client according to the first behavior data and a preset prediction model;
and determining item recommendation channels and item recommendation lists corresponding to a plurality of accounts according to the customer information of the potential customer, wherein the item recommendation channels corresponding to the plurality of accounts are the item recommendation channels corresponding to the potential customer, and the item recommendation lists corresponding to the plurality of accounts are the item recommendation lists corresponding to the potential customer.
In an embodiment, the first behavior data is historical behavior data of each account in a first preset time period, the processor executes a computer program to implement the first behavior data as historical behavior data of each account in the first preset time period, and when the step of determining the customer information of the potential customer according to the first behavior data and a preset prediction model, the following steps are specifically implemented:
extracting characteristic information of each account in the first behavior data;
obtaining target probabilities corresponding to the accounts according to the characteristic information and a preset prediction model;
when the target probability is larger than a first preset threshold value, determining an account corresponding to the target probability as a first candidate customer;
acquiring second behavior data, wherein the second behavior data is historical behavior data of each first candidate client in a second preset time period;
determining the first candidate customer as a potential customer when the second behavioral data includes the item access data;
and acquiring client information corresponding to the potential client, wherein the client information is the characteristic information of the potential client.
In one embodiment, the processor when executing the computer program embodies the following steps:
determining the first candidate customer as a second candidate customer when the second behavioral data does not include the item access data;
acquiring historical recommendation times of a second candidate client;
and when the historical recommendation times are less than a second preset threshold value, determining the second candidate customer as a potential customer.
In one embodiment, when the processor executes the computer program to implement the above step of determining the item recommendation channels and item recommendation lists corresponding to the potential customers according to the customer information of the potential customers, the following steps are specifically implemented:
acquiring third behavior data, wherein the third behavior data is historical behavior data of the potential customer in a third preset time period;
when the third behavior data does not comprise the selection behavior of the preset self-selection channel, determining the item recommendation channels corresponding to the potential customers according to the customer information of the potential customers and a first preset algorithm;
determining a first recommendation list corresponding to each potential customer according to the first behavior data corresponding to each potential customer and a preset promotion strategy;
determining a second recommendation list corresponding to each potential customer according to the first behavior data and a second preset algorithm;
obtaining an item recommendation list corresponding to each potential customer according to the first recommendation list and the second recommendation list;
in one embodiment, the processor when executing the computer program embodies the following steps:
a user interface is displayed for receiving a selection of one of a plurality of preset channels for invocation.
In one embodiment, when the processor executes the computer program to implement the step of determining the item recommendation channels corresponding to the potential customers according to the customer information of the potential customers and the first preset algorithm, the following steps are specifically implemented:
acquiring first address information in client information;
acquiring second address information of each preset store;
obtaining target distances between each potential customer and each preset store according to the first address information, the second address information and a first preset algorithm;
when the target distance is larger than a third preset threshold value, determining the corresponding item recommendation channel of the potential customer as a first item recommendation channel;
when the target distance is smaller than a third preset threshold value and the first address information belongs to a preset target area, determining the corresponding item recommendation channel of the potential customer as a second item recommendation channel;
when the target distance is smaller than a third preset threshold value and the first address information does not belong to a preset target area, determining the corresponding item recommendation channel of the potential customer as a third item recommendation channel;
in one embodiment, the processor when executing the computer program further specifically implements the following steps:
and when the item recommendation channel is the first item recommendation channel or the second item recommendation channel, determining the item recommendation channel as a target channel.
In one embodiment, the processor when executing the computer program further specifically implements the following steps:
when the target distance is smaller than a third preset threshold value and the first address information does not belong to a preset target area, determining the corresponding item recommendation channel of the potential customer as a third item recommendation channel;
and when the item recommendation channel is a third item recommendation channel, sending the item recommendation list corresponding to each potential customer to a terminal corresponding to each potential customer for display.
In one embodiment, when the processor executes the computer program to implement the above step of distributing the item recommendation channels and the item recommendation lists corresponding to the potential customers to the terminals corresponding to the preset recommendation objects according to the preset distribution policy, the following steps are specifically implemented:
extracting first address information in the client information;
acquiring third address information of each preset recommendation object;
determining a preset recommendation object matched with each potential client according to the allocation strategy, the first address information and the third address information;
and distributing the item recommendation channels and item recommendation lists corresponding to the potential customers to terminals of preset recommendation objects matched with the potential customers.
In one embodiment, a computer-readable storage medium is provided, having a computer program stored thereon, which when executed by a processor, performs the steps of: acquiring first behavior data, wherein the first behavior data are historical behavior data of a plurality of accounts; determining item recommendation channels and item recommendation lists corresponding to the multiple accounts according to the first behavior data; and when the item recommendation channel is a preset target channel, distributing the item recommendation channel and the corresponding item recommendation list to a terminal of a corresponding preset recommendation object according to a preset distribution strategy.
In an embodiment, when the computer program is executed by the processor to implement the steps of determining the item recommendation channels and the item recommendation list corresponding to the plurality of accounts according to the first behavior data, the following steps are specifically implemented:
determining client information of the potential client according to the first behavior data and a preset prediction model;
and determining item recommendation channels and item recommendation lists corresponding to a plurality of accounts according to the customer information of the potential customer, wherein the item recommendation channels corresponding to the plurality of accounts are the item recommendation channels corresponding to the potential customer, and the item recommendation lists corresponding to the plurality of accounts are the item recommendation lists corresponding to the potential customer.
In an embodiment, the first behavior data is historical behavior data of each account in a first preset time period, and the following steps are specifically implemented when the computer program is executed by the processor to implement the first behavior data as the historical behavior data of each account in the first preset time period and determine the customer information of the potential customer according to the first behavior data and a preset prediction model:
extracting characteristic information of each account in the first behavior data;
obtaining target probabilities corresponding to the accounts according to the characteristic information and a preset prediction model;
when the target probability is larger than a first preset threshold value, determining an account corresponding to the target probability as a first candidate customer;
acquiring second behavior data, wherein the second behavior data is historical behavior data of each first candidate client in a second preset time period;
determining the first candidate customer as a potential customer when the second behavioral data includes the item access data;
and acquiring client information corresponding to the potential client, wherein the client information is the characteristic information of the potential client.
In one embodiment, the computer program when executed by the processor embodies the steps of:
determining the first candidate customer as a second candidate customer when the second behavioral data does not include the item access data;
acquiring historical recommendation times of a second candidate client;
and when the historical recommendation times are less than a second preset threshold value, determining the second candidate customer as a potential customer.
In one embodiment, when the processor executes the computer program to implement the above step of determining the item recommendation channels and item recommendation lists corresponding to the potential customers according to the customer information of the potential customers, the following steps are specifically implemented:
acquiring third behavior data, wherein the third behavior data is historical behavior data of the potential customer in a third preset time period;
when the third behavior data does not comprise the selection behavior of the preset self-selection channel, determining the item recommendation channels corresponding to the potential customers according to the customer information of the potential customers and a first preset algorithm;
determining a first recommendation list corresponding to each potential customer according to the first behavior data corresponding to each potential customer and a preset promotion strategy;
determining a second recommendation list corresponding to each potential customer according to the first behavior data and a second preset algorithm;
obtaining an item recommendation list corresponding to each potential customer according to the first recommendation list and the second recommendation list;
in one embodiment, the computer program when executed by the processor embodies the steps of:
a user interface is displayed for receiving a selection of one of a plurality of preset channels for invocation.
In one embodiment, when the computer program is executed by the processor to implement the step of determining the item recommendation channels corresponding to the potential customers according to the customer information of the potential customers and the first preset algorithm, the following steps are specifically implemented:
acquiring first address information in client information;
acquiring second address information of each preset store;
obtaining target distances between each potential customer and each preset store according to the first address information, the second address information and a first preset algorithm;
when the target distance is larger than a third preset threshold value, determining the corresponding item recommendation channel of the potential customer as a first item recommendation channel;
when the target distance is smaller than a third preset threshold value and the first address information belongs to a preset target area, determining the corresponding item recommendation channel of the potential customer as a second item recommendation channel;
when the target distance is smaller than a third preset threshold value and the first address information does not belong to a preset target area, determining the corresponding item recommendation channel of the potential customer as a third item recommendation channel;
in one embodiment, the computer program when executed by the processor further embodies the steps of:
and when the item recommendation channel is the first item recommendation channel or the second item recommendation channel, determining the item recommendation channel as a target channel.
In one embodiment, the computer program when executed by the processor further embodies the steps of:
when the target distance is smaller than a third preset threshold value and the first address information does not belong to a preset target area, determining the corresponding item recommendation channel of the potential customer as a third item recommendation channel;
and when the item recommendation channel is a third item recommendation channel, sending the item recommendation list corresponding to each potential customer to a terminal corresponding to each potential customer for display.
In one embodiment, when the computer program is executed by the processor to implement the above-mentioned step of distributing the item recommendation channels and the item recommendation lists corresponding to the potential customers to the terminals corresponding to the preset recommendation objects according to the preset distribution policy, the following steps are specifically implemented:
extracting first address information in the client information;
acquiring third address information of each preset recommendation object;
determining a preset recommendation object matched with each potential client according to the allocation strategy, the first address information and the third address information;
and distributing the item recommendation channels and item recommendation lists corresponding to the potential customers to terminals of preset recommendation objects matched with the potential customers.
It will be understood by those skilled in the art that all or part of the processes of the methods of the embodiments described above can be implemented by hardware related to instructions of a computer program, and the computer program can be stored in a non-volatile computer-readable storage medium, and when executed, can include the processes of the embodiments of the methods described above. Any reference to memory, storage, physical sub-tables, or other media used in the embodiments provided herein may include non-volatile and/or volatile memory. Non-volatile memory can include read-only memory (ROM), Programmable ROM (PROM), Electrically Programmable ROM (EPROM), Electrically Erasable Programmable ROM (EEPROM), or flash memory. Volatile memory can include Random Access Memory (RAM) or external cache memory. By way of illustration and not limitation, RAM is available in a variety of forms such as Static RAM (SRAM), Dynamic RAM (DRAM), Synchronous DRAM (SDRAM), Double Data Rate SDRAM (DDRSDRAM), Enhanced SDRAM (ESDRAM), Synchronous Link DRAM (SLDRAM), Rambus Direct RAM (RDRAM), direct bus dynamic RAM (DRDRAM), and memory bus dynamic RAM (RDRAM).
The technical features of the above embodiments can be arbitrarily combined, and for the sake of brevity, all possible combinations of the technical features in the above embodiments are not described, but should be considered as the scope of the present specification as long as there is no contradiction between the combinations of the technical features.
The above examples only express several embodiments of the present application, and the description thereof is more specific and detailed, but not construed as limiting the scope of the invention. It should be noted that, for a person skilled in the art, several variations and modifications can be made without departing from the concept of the present application, which falls within the protection scope of the present application. Therefore, the protection scope of the present patent shall be subject to the appended claims.

Claims (10)

1. A method of item recommendation control, the method comprising:
acquiring first behavior data, wherein the first behavior data are historical behavior data of a plurality of accounts;
determining item recommendation channels and item recommendation lists corresponding to the plurality of accounts according to the first behavior data;
and when the item recommendation channel is a preset target channel, distributing the item recommendation channel and the corresponding item recommendation list to a terminal of a corresponding preset recommendation object according to a preset distribution strategy.
2. The method of claim 1, wherein the determining item recommendation channels and item recommendation lists corresponding to a plurality of accounts according to the first behavior data comprises:
determining customer information of potential customers according to the first behavior data and a preset prediction model;
determining item recommendation channels and item recommendation lists corresponding to a plurality of accounts according to the customer information of the potential customer, wherein the item recommendation channels corresponding to the plurality of accounts are the item recommendation channels corresponding to the potential customer, and the item recommendation lists corresponding to the plurality of accounts are the item recommendation lists corresponding to the potential customer.
3. The method of claim 2, wherein the first behavior data is historical behavior data of each account in a first preset time period, and the determining customer information of the potential customer according to the first behavior data and a preset prediction model comprises:
extracting characteristic information of each account in the first behavior data;
obtaining target probabilities corresponding to the accounts according to the characteristic information and a preset prediction model;
when the target probability is larger than a first preset threshold value, determining an account corresponding to the target probability as a first candidate customer;
acquiring second behavior data, wherein the second behavior data is historical behavior data of each first candidate client in a second preset time period;
determining the first candidate customer as a potential customer when the second behavioral data includes item access data;
acquiring customer information corresponding to the potential customer, wherein the customer information is characteristic information of the potential customer;
preferably, the method further comprises:
determining the first candidate customer as a second candidate customer when the second behavioral data does not include the item access data;
acquiring the historical recommendation times of the second candidate client;
and when the historical recommendation times are smaller than a second preset threshold value, determining the second candidate customer as a potential customer.
4. The method of claim 2, wherein determining an item recommendation channel and an item recommendation list corresponding to each potential customer according to the customer information of the potential customer comprises:
acquiring third behavior data, wherein the third behavior data is historical behavior data of the potential customer in a third preset time period;
when the third behavior data does not comprise a selection behavior of a preset self-selection channel, determining an item recommendation channel corresponding to each potential customer according to the customer information of the potential customer and a first preset algorithm;
determining a first recommendation list corresponding to each potential customer according to the first behavior data corresponding to each potential customer and a preset promotion strategy;
determining a second recommendation list corresponding to each potential customer according to the first behavior data and a second preset algorithm;
obtaining an item recommendation list corresponding to each potential customer according to the first recommendation list and the second recommendation list;
preferably, the method further comprises:
and displaying a user interface for receiving selection of one of the preset optional channels for calling.
5. The method of claim 4, wherein the determining an item recommendation channel corresponding to each potential customer according to the customer information of the potential customer and a first preset algorithm comprises:
acquiring first address information in the client information;
acquiring second address information of each preset store;
obtaining target distances between each potential customer and each preset store according to the first address information, the second address information and the first preset algorithm;
when the target distance is larger than a third preset threshold value, determining the corresponding item recommendation channel of the potential customer as a first item recommendation channel;
when the target distance is smaller than the third preset threshold value and the first address information belongs to a preset target area, determining that the item recommendation channel of the corresponding potential customer is a second item recommendation channel;
when the target distance is smaller than the third preset threshold value and the first address information does not belong to a preset target area, determining the item recommendation channel of the corresponding potential customer as a third item recommendation channel;
the method further comprises the following steps:
and when the item recommendation channel is a first item recommendation channel or a second item recommendation channel, determining that the item recommendation channel is the target channel.
6. The method of claim 5, further comprising:
when the target distance is smaller than the third preset threshold value and the first address information does not belong to the preset target area, determining that the item recommendation channel of the corresponding potential customer is a third item recommendation channel;
and when the item recommendation channel is the third item recommendation channel, sending the item recommendation list corresponding to each potential customer to a terminal corresponding to each potential customer for display.
7. The method of claim 1, wherein the distributing the item recommendation channels and the item recommendation lists corresponding to the potential customers to the terminals corresponding to the preset recommendation objects according to the preset distribution strategy comprises:
extracting first address information in the customer information;
acquiring third address information of each preset recommendation object;
determining preset recommendation objects matched with the potential customers according to the allocation strategy, the first address information and the third address information;
and distributing the item recommendation channels and item recommendation lists corresponding to the potential customers to terminals of preset recommendation objects matched with the potential customers.
8. An item recommendation control apparatus, the apparatus comprising:
the system comprises an acquisition module, a processing module and a display module, wherein the acquisition module is used for acquiring first behavior data, and the first behavior data are historical behavior data of a plurality of accounts;
the determining module is used for determining item recommendation channels and item recommendation lists corresponding to the plurality of accounts according to the first behavior data;
and the recommending module is used for distributing the item recommending channel and the corresponding item recommending list to a terminal of a corresponding preset recommending object according to a preset distribution strategy when the item recommending channel is a preset target channel.
9. A computer device comprising a memory, a processor and a computer program stored on the memory and executable on the processor, characterized in that the processor implements the steps of the item recommendation control method according to any one of claims 1 to 7 when executing the computer program.
10. A computer-readable storage medium, on which a computer program is stored, which, when being executed by a processor, carries out the steps of the item recommendation control method according to any one of claims 1 to 7.
CN202010377224.XA2020-05-072020-05-07Project recommendation control method and device, storage medium and computer equipmentPendingCN111738794A (en)

Priority Applications (1)

Application NumberPriority DateFiling DateTitle
CN202010377224.XACN111738794A (en)2020-05-072020-05-07Project recommendation control method and device, storage medium and computer equipment

Applications Claiming Priority (1)

Application NumberPriority DateFiling DateTitle
CN202010377224.XACN111738794A (en)2020-05-072020-05-07Project recommendation control method and device, storage medium and computer equipment

Publications (1)

Publication NumberPublication Date
CN111738794Atrue CN111738794A (en)2020-10-02

Family

ID=72646995

Family Applications (1)

Application NumberTitlePriority DateFiling Date
CN202010377224.XAPendingCN111738794A (en)2020-05-072020-05-07Project recommendation control method and device, storage medium and computer equipment

Country Status (1)

CountryLink
CN (1)CN111738794A (en)

Cited By (4)

* Cited by examiner, † Cited by third party
Publication numberPriority datePublication dateAssigneeTitle
CN112488861A (en)*2020-11-302021-03-12泰康保险集团股份有限公司Client historical insurance data method, device, medium and electronic equipment
CN112612966A (en)*2020-12-312021-04-06中国农业银行股份有限公司Information recommendation method and device
CN113379379A (en)*2021-06-072021-09-10苏州众言网络科技股份有限公司Item distribution method and device
CN114417141A (en)*2021-12-282022-04-29北京瞰瞰智能科技有限公司 Application data processing method, device, device and medium

Citations (3)

* Cited by examiner, † Cited by third party
Publication numberPriority datePublication dateAssigneeTitle
CN107688987A (en)*2017-08-312018-02-13平安科技(深圳)有限公司Electronic installation, insurance recommendation method and computer-readable recording medium
CN109241427A (en)*2018-09-042019-01-18中国平安人寿保险股份有限公司Information-pushing method, device, computer equipment and storage medium
CN110580634A (en)*2018-06-082019-12-17北京嘀嘀无限科技发展有限公司service recommendation method, device and storage medium based on Internet

Patent Citations (3)

* Cited by examiner, † Cited by third party
Publication numberPriority datePublication dateAssigneeTitle
CN107688987A (en)*2017-08-312018-02-13平安科技(深圳)有限公司Electronic installation, insurance recommendation method and computer-readable recording medium
CN110580634A (en)*2018-06-082019-12-17北京嘀嘀无限科技发展有限公司service recommendation method, device and storage medium based on Internet
CN109241427A (en)*2018-09-042019-01-18中国平安人寿保险股份有限公司Information-pushing method, device, computer equipment and storage medium

Cited By (5)

* Cited by examiner, † Cited by third party
Publication numberPriority datePublication dateAssigneeTitle
CN112488861A (en)*2020-11-302021-03-12泰康保险集团股份有限公司Client historical insurance data method, device, medium and electronic equipment
CN112612966A (en)*2020-12-312021-04-06中国农业银行股份有限公司Information recommendation method and device
CN112612966B (en)*2020-12-312024-07-26中国农业银行股份有限公司Information recommendation method and device
CN113379379A (en)*2021-06-072021-09-10苏州众言网络科技股份有限公司Item distribution method and device
CN114417141A (en)*2021-12-282022-04-29北京瞰瞰智能科技有限公司 Application data processing method, device, device and medium

Similar Documents

PublicationPublication DateTitle
CN111738794A (en)Project recommendation control method and device, storage medium and computer equipment
CN109741146B (en)Product recommendation method, device, equipment and storage medium based on user behaviors
US10706446B2 (en)Method, system, and computer-readable medium for using facial recognition to analyze in-store activity of a user
US8631122B2 (en)Determining demographics based on user interaction
US9836765B2 (en)System and method for context-aware recommendation through user activity change detection
US12283363B2 (en)Web application for service recommendations with machine learning
US20160188734A1 (en)Method and apparatus for programmatically synthesizing multiple sources of data for providing a recommendation
US10664854B2 (en)System and method for creating segmentation of a population
US20120016642A1 (en)Contextual-bandit approach to personalized news article recommendation
US20120317196A1 (en)System and method for facilitating network connectivity based on user characteristics
US20170061481A1 (en)Realtime Feedback Using Affinity-Based Dynamic User Clustering
US20130262226A1 (en)Systems and methods for targeted internet marketing based on offline, online, and credit-related data
US20180285957A1 (en)Recommendation system associated with an online marketplace
US20190043017A1 (en)Electronic job posting marketplace
US20160253325A1 (en)Method and apparatus for programmatically adjusting the relative importance of content data as behavioral data changes
CN110163655B (en)Agent distribution method, device and equipment based on gradient lifting tree and storage medium
US20160307233A1 (en)Inferring contributions of content to sales events
Moro et al.A divide‐and‐conquer strategy using feature relevance and expert knowledge for enhancing a data mining approach to bank telemarketing
US11232525B2 (en)Method and apparatus for measuring influence on social network
US10783583B1 (en)Monitored alerts
AU2015235925A1 (en)Recommendation system for non-fungible assets
Madden et al.E-commerce transactions, the installed base of credit cards, and the potential mobile E-commerce adoption
CN114600125A (en) Robust model performance across heterogeneous subgroups within the same group
US10846718B2 (en)Electronic survey and entity matching marketplace
Rokach et al.Recommending insurance riders

Legal Events

DateCodeTitleDescription
PB01Publication
PB01Publication
SE01Entry into force of request for substantive examination
SE01Entry into force of request for substantive examination
RJ01Rejection of invention patent application after publication
RJ01Rejection of invention patent application after publication

Application publication date:20201002


[8]ページ先頭

©2009-2025 Movatter.jp