Movatterモバイル変換


[0]ホーム

URL:


CN111735501A - Temperature and humidity measuring method for environmental test facility equipment - Google Patents

Temperature and humidity measuring method for environmental test facility equipment
Download PDF

Info

Publication number
CN111735501A
CN111735501ACN202010684384.9ACN202010684384ACN111735501ACN 111735501 ACN111735501 ACN 111735501ACN 202010684384 ACN202010684384 ACN 202010684384ACN 111735501 ACN111735501 ACN 111735501A
Authority
CN
China
Prior art keywords
temperature
humidity
value
tested
measurement
Prior art date
Legal status (The legal status is an assumption and is not a legal conclusion. Google has not performed a legal analysis and makes no representation as to the accuracy of the status listed.)
Granted
Application number
CN202010684384.9A
Other languages
Chinese (zh)
Other versions
CN111735501B (en
Inventor
武大志
伍海峰
周婷
Current Assignee (The listed assignees may be inaccurate. Google has not performed a legal analysis and makes no representation or warranty as to the accuracy of the list.)
Anton Instrument & Meter Inspection Co ltd
Original Assignee
Anton Instrument & Meter Inspection Co ltd
Priority date (The priority date is an assumption and is not a legal conclusion. Google has not performed a legal analysis and makes no representation as to the accuracy of the date listed.)
Filing date
Publication date
Application filed by Anton Instrument & Meter Inspection Co ltdfiledCriticalAnton Instrument & Meter Inspection Co ltd
Priority to CN202010684384.9ApriorityCriticalpatent/CN111735501B/en
Publication of CN111735501ApublicationCriticalpatent/CN111735501A/en
Application grantedgrantedCritical
Publication of CN111735501BpublicationCriticalpatent/CN111735501B/en
Activelegal-statusCriticalCurrent
Anticipated expirationlegal-statusCritical

Links

Images

Classifications

Landscapes

Abstract

The invention discloses a temperature and humidity measuring method for environmental test facility equipment, and relates to the technical field of temperature and humidity measuring methods. The main technical scheme of the invention is as follows: dividing the internal space of the tested equipment into N grid spaces, wherein N is a positive integer greater than or equal to 1; dividing each grid space into an upper layer, a middle layer and a lower layer, and arranging a temperature measuring point and a humidity measuring point in each layer; and detecting to obtain the temperature value of the temperature measuring point and the humidity value of the humidity measuring point in each grid space, and calculating to obtain the temperature deviation, the temperature uniformity, the temperature fluctuation, the humidity deviation, the humidity uniformity and the humidity fluctuation of the equipment to be tested. The temperature and humidity measuring method for the environmental test facility equipment solves the technical problems that an existing temperature and humidity measuring mode cannot obtain accurate data and equipment adjustment cannot be carried out according to detected data.

Description

Temperature and humidity measuring method for environmental test facility equipment
Technical Field
The invention relates to the technical field of temperature and humidity measurement methods, in particular to a temperature and humidity measurement method for environmental test facility equipment.
Background
For large environmental test facilities such as large refrigerators for storing food and medicine, refrigerated trucks and the like, in order to ensure the safety and reliability of stored products, the temperature and humidity conditions of the large environmental test facilities are usually monitored and verified in real time.
In the prior art, the temperature and humidity of the internal space of the environmental test facility equipment are obtained by a single-point detection mode. Although the mode is convenient, the space of the environmental test facility equipment is relatively large, the detection mode in the prior art cannot accurately obtain the accurate temperature and humidity of the internal space of the environmental test facility equipment, the temperature and humidity deviation of different regions of the internal space can be large, and the detected temperature and humidity cannot be used for guiding to adjust the temperature and humidity of the internal space of the environmental test facility equipment.
The above technical problem needs to be further solved.
Disclosure of Invention
In view of the above, the present invention provides a temperature and humidity measurement method for environmental test facilities, and mainly aims to solve the technical problems that the existing temperature and humidity measurement method cannot obtain accurate data, and cannot adjust equipment according to detected data.
The invention provides a temperature and humidity measuring method for environmental test facility equipment, which comprises the following steps:
dividing the internal space of the tested equipment into N grid spaces, wherein N is a positive integer greater than or equal to 1;
dividing each grid space into an upper layer, a middle layer and a lower layer, and arranging a temperature measuring point and a humidity measuring point in each layer;
and detecting to obtain the temperature value of the temperature measuring point and the humidity value of the humidity measuring point in each grid space, and calculating to obtain the temperature deviation, the temperature uniformity, the temperature fluctuation, the humidity deviation, the humidity uniformity and the humidity fluctuation of the equipment to be tested.
The object of the present invention and the technical problems solved thereby can be further achieved by the following technical measures.
Specifically, the internal space of the device to be tested is divided into N grid spaces according to the volume of the device to be tested;
wherein when the device under test volume is smaller than a first volume, the overall internal space of the device under test is taken as 1 grid space;
when the volume of the device under test is larger than or equal to the first volume and smaller than or equal to the second volume, taking the whole internal space of the device under test as 1 grid space;
and when the volume of the device to be tested is larger than the second volume, dividing the internal space of the device to be tested into two or more grid spaces according to a three-dimensional space dividing mode.
In particular, the first volume is 2m3The second volume is 50m3
Specifically, when the volume of the device under test is smaller than the first volume, four temperature measurement points are arranged at the upper layer of the grid space at regular intervals, one humidity measurement point is arranged at the position of one of the temperature measurement points, one temperature measurement point and one humidity measurement point are arranged at the middle layer of the grid space, four temperature measurement points are arranged at the projection position of the lower layer at the temperature measurement point at the upper layer of the grid space, and one humidity measurement point is arranged at the position of one of the temperature measurement points at the lower layer;
the positions of the humidity measuring points on the upper layer projected on the lower layer and the positions of the humidity measuring points arranged on the lower layer are respectively close to two side walls of the tested equipment.
Specifically, when the volume of the device under test is greater than or equal to the first volume, five temperature measurement points are arranged in the same distribution manner on the upper layer and the lower layer of the grid space, one of the five temperature measurement points is located in the middle of the layer, and the other four temperature measurement points surrounding the middle are arranged around the layer at even intervals;
the middle layer is also provided with five temperature measuring points, one temperature measuring point is arranged in the middle of the middle layer, the other four temperature measuring points surrounding the middle layer are uniformly arranged around the middle layer at intervals, and the projections of the four temperature measuring points on the upper layer are respectively positioned in the middle of two adjacent temperature measuring points surrounding the four temperature measuring points on the upper layer;
the number of the humidity measuring points is 4, one of the humidity measuring points is located at the position, close to the doorway of the tested device, of the middle layer, the other three humidity measuring points are located in the three layers respectively, and the three humidity measuring points projected on the upper layer are located on the same straight line.
In particular, according to the formula
Figure BDA0002587004290000031
Calculating to obtain the temperature deviation of the tested equipment;
according to the formula
Figure BDA0002587004290000032
Calculating and obtaining the humidity deviation of the tested device;
according to the formula
Figure BDA0002587004290000033
Calculating to obtain the temperature fluctuation degree of the tested equipment;
according to the formula
Figure BDA0002587004290000034
Calculating to obtain the humidity fluctuation degree of the tested equipment;
according to the formula
Figure BDA0002587004290000035
Calculating to obtain the temperature uniformity of the tested equipment;
according to the formula
Figure BDA0002587004290000036
Calculating to obtain the humidity uniformity of the tested equipment;
wherein, the Δ tdFor the temperature deviation of the device under test,
Figure BDA0002587004290000037
setting an average value of the display values after the temperature is set for the device under test,
Figure BDA0002587004290000038
the temperature average value of all temperature measurement points in all grid spaces is taken;
the Δ hdFor the humidity deviation of the device under test, the
Figure BDA0002587004290000041
Average value of display value after setting humidity of the tested device
Figure BDA0002587004290000042
Humidity average values of all humidity measurement points in all grid spaces;
the Δ tfFor the temperature fluctuation degree of the device under test, the
Figure BDA0002587004290000043
For the maximum value of the average temperature of all temperature measurement points in each grid space of the device under test, the
Figure BDA0002587004290000044
The minimum value of the average temperature of all temperature measurement points in each grid space of the tested device is obtained;
the Δ hfFor the degree of humidity fluctuation of the device under test, the
Figure BDA0002587004290000045
Is the maximum value of the average humidity of all humidity measurement points in each grid space of the device under test, the
Figure BDA0002587004290000046
The minimum value of the average humidity of all humidity measurement points in each grid space of the tested device is obtained;
the Δ tuFor the temperature uniformity of the device under test, n is the grid space number of the device under test
Figure BDA0002587004290000047
Is that it isMeasuring the temperature value of the maximum point of the temperature average value of the ith grid space of the tested equipment; the above-mentioned
Figure BDA0002587004290000048
The temperature measurement value is the temperature measurement value of the minimum point of the temperature average value of the ith grid space of the tested equipment;
the Δ huFor the temperature uniformity of the device under test, the
Figure BDA0002587004290000049
The temperature measurement value is the maximum point of the temperature average value of the ith grid space of the tested equipment; the above-mentioned
Figure BDA00025870042900000410
The temperature measurement value of the minimum point of the temperature average value of the ith grid space of the tested equipment is obtained, i is a positive integer greater than or equal to 1, and n is a positive integer greater than or equal to 1.
Specifically, after the tested device stably operates for 1-2 hours, the temperature deviation, the temperature uniformity, the temperature fluctuation degree, the humidity deviation, the humidity uniformity and the humidity fluctuation degree are measured.
Specifically, when the measurement of the temperature uniformity and the humidity uniformity was performed, data was collected every 3 minutes for 10 minutes.
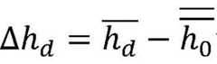
Specifically, a mathematical model Δ t for the uncertainty assessment of the temperature deviation calibration result is establishedd=td-to-Δt0And establishing a mathematical model Δ h of said moisture deviation calibration result uncertainty assessmentd=hd-ho-Δh0
Wherein, t isdSetting a display value after temperature for the device under test, toFor measuring the temperature of the temperature measuring point, the value of the temperature of the inspection instrument, Δ t0Temperature correction value for the temperature of the polling device, hdSetting a display value after humidity for the device under test, hoHumidity value of patrol instrument for measuring humidity of humidity measuring pointΔ h, the0The humidity correction value is the humidity of the polling instrument;
and to the parameter t in the mathematical modeld、to、Δt0And hd、ho、Δh0And carrying out uncertainty analysis.
In particular, said pair of parameters t in said mathematical modeld、to、Δt0And hd、ho、Δh0A method of performing an uncertainty analysis comprising:
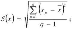
repeatedly measuring one of the inspection instruments or the equipment to be tested under the repeated measurement condition by using the measurement standard, and quantitatively characterizing by using the experimental standard deviation S (x) of the obtained measurement value
Figure BDA0002587004290000051
Wherein, the xpFor the p-th measured value, the measured value,
Figure BDA0002587004290000052
is the arithmetic mean of q measured values, q is a positive integer greater than or equal to 6, and p is a positive integer greater than or equal to 1;
standard uncertainty u introduced for repeatability of the measured device measurements1Said
Figure BDA0002587004290000053
The standard uncertainty introduced aiming at the repeatability of the temperature and the humidity of the inspection instrument is u2Said
Figure BDA0002587004290000054
Figure BDA0002587004290000055
Standard uncertainty u introduced according to temperature and humidity correction values of inspection instrument3Obtaining the temperature and humidity correction value r according to the use instruction of the polling instrument
Figure BDA0002587004290000056
And obtaining u1、u2、u3On the basis of (1), synthesizing a standard uncertainty ucAnd an extended uncertainty U, said
Figure BDA0002587004290000057
The U is kucAnd k is a parameter value.
By means of the technical scheme, the temperature and humidity measuring method for the environmental test facility equipment at least has the following advantages:
the temperature and humidity measuring method of the environmental test facility equipment provided by the embodiment of the invention divides the internal space of the equipment to be measured into N grid spaces, divides each grid space into an upper layer, a middle layer and a lower layer, and then sets a temperature measuring point and a humidity measuring point in each corresponding grid space, so that the measured temperature and humidity data can cover the whole space of the equipment to be measured, the measured temperature and humidity data are more accurate, and then the measured temperature data and humidity data are used for calculating temperature deviation, temperature uniformity, temperature fluctuation, humidity deviation, humidity uniformity, humidity fluctuation and the like, the obtained result can effectively represent the temperature and humidity conditions of the equipment to be measured, and a user can calibrate or adjust the equipment to be measured based on the calculated result.
The foregoing description is only an overview of the technical solutions of the present invention, and in order to make the technical solutions of the present invention more clearly understood and to implement them in accordance with the contents of the description, the following detailed description is given with reference to the preferred embodiments of the present invention and the accompanying drawings.
Drawings
Fig. 1 is a schematic flow chart of a method for measuring temperature and humidity of environmental test facility equipment according to an embodiment of the present invention;
FIG. 2 is a schematic flow chart of a method for partitioning an internal space of an environmental test facility according to an embodiment of the present invention;
fig. 3 is a schematic structural diagram of temperature measurement points and humidity measurement points arranged on an upper layer, a middle layer and a lower layer of a grid space according to an embodiment of the present invention;
fig. 4 is a schematic structural diagram of temperature measurement points and humidity measurement points arranged on the upper layer, the middle layer and the lower layer of another grid space provided by the embodiment of the invention.
Detailed Description
To further illustrate the technical means and effects of the present invention adopted to achieve the predetermined objects, the following detailed description will be given to the specific implementation, structure, characteristics and effects of the temperature and humidity measurement method for environmental test facility equipment according to the present invention with reference to the accompanying drawings and the preferred embodiments.
The embodiment of the invention provides a temperature and humidity measuring method for environmental test facility equipment, which comprises the following steps of:
101. dividing the internal space of the tested device into N grid spaces, wherein N is a positive integer greater than or equal to 1.
Specifically, the internal space of the device to be tested can be relatively large or relatively small because the device to be tested is a storage space for refrigerating and maintaining a certain humidity, so that the grid space can be divided according to the volume of the internal space of the device to be tested, and it should be noted that the division of the grid space does not use an isolation material to divide a large space into small spaces, but the space is conceptually and virtually divided into appropriate grid spaces, so as to set temperature measurement points and humidity measurement points, and further obtain accurate temperature and humidity distribution states of the internal space of the device to be tested.
102. Each grid space is divided into an upper layer, a middle layer and a lower layer, and a temperature measuring point and a humidity measuring point are arranged in each layer.
Specifically, after the grid space is obtained through division, the temperature measuring points and the humidity measuring points are set again according to the upper layer, the middle layer and the lower layer, so that the temperature measuring points and the humidity measuring points can be uniformly distributed in the internal space of the tested device in a summary mode, the temperature and the humidity of each position of the tested device can be measured, and the distribution condition of the temperature and the humidity of the internal space of the tested device can be accurately known.
103. And detecting to obtain the temperature value of the temperature measuring point and the humidity value of the humidity measuring point in each grid space, and calculating to obtain the temperature deviation, the temperature uniformity, the temperature fluctuation, the humidity deviation, the humidity uniformity and the humidity fluctuation of the equipment to be tested.
The temperature and humidity measuring method of the environmental test facility equipment provided by the embodiment of the invention divides the internal space of the equipment to be measured into N grid spaces, divides each grid space into an upper layer, a middle layer and a lower layer, and then sets a temperature measuring point and a humidity measuring point in each corresponding grid space, so that the measured temperature and humidity data can cover the whole space of the equipment to be measured, the measured temperature and humidity data are more accurate, and then the measured temperature data and humidity data are used for calculating temperature deviation, temperature uniformity, temperature fluctuation, humidity deviation, humidity uniformity, humidity fluctuation and the like, the obtained result can effectively represent the temperature and humidity conditions of the equipment to be measured, and a user can calibrate or adjust the equipment to be measured based on the calculated result.
In a specific implementation, the dividing manner of the internal space of the device under test may be as shown in fig. 2:
201. dividing the internal space of the device under test into N grid spaces according to the volume of the device under test.
202. When the device under test volume is smaller than the first volume, the overall internal space of the device under test is taken as 1 grid space.
203. And when the volume of the device under test is larger than or equal to the first volume and smaller than or equal to the second volume, taking the whole internal space of the device under test as 1 grid space.
204. And when the volume of the device to be tested is larger than the second volume, dividing the internal space of the device to be tested into two or more grid spaces according to a three-dimensional space dividing mode.
In particular, the first volume is preferably 2m3The second volume is preferably 50m3
The grid space is divided into cubic spaces according to the division manner of the three-dimensional coordinate system.
In a specific implementation, after the internal space of the device under test is divided in the above manner, the temperature measurement point and the humidity measurement point may be arranged in each grid space in the following manner:
specifically, when the device under test volume is smaller than the first volume, as shown in fig. 3, four temperature measurement points "A, B, C, D" are disposed at the upper layer of the grid space at regular intervals, one humidity measurement point "c" is disposed at the position of one of the temperature measurement points, one temperature measurement point "O" and one humidity measurement point "a" are disposed at the middle layer of the grid space, four temperature measurement points "E, F, H, G" are disposed at the projected position of the lower layer of the temperature measurement points at the upper layer of the grid space, and one humidity measurement point "b" is disposed at the position of one of the temperature measurement points at the lower layer of the grid space; the positions of the humidity measuring points on the upper layer projected on the lower layer and the positions of the humidity measuring points arranged on the lower layer are respectively close to two side walls of the tested equipment.
When the volume of the device under test is equal to or greater than the first volume, as shown in fig. 4, five temperature measurement points "A, B, C, D, E" and "M, L, N, J, K" are disposed in the same distribution on the upper and lower layers of the grid space, one of the five temperature measurement points is located in the middle of the layer, and the other four temperature measurement points are disposed around the layer at regular intervals around the middle temperature measurement point; the middle layer is also provided with five temperature measuring points 'F, G, H, I, O', one is arranged in the middle of the middle layer, the other four temperature measuring points surrounding the middle layer are arranged around the middle layer at even intervals, and the projections of the four temperature measuring points 'A, B, C and D' on the upper layer are respectively positioned in the middle of two adjacent temperature measuring points surrounding the four temperature measuring points arranged on the upper layer; the number of the humidity measuring points is 4, one of the humidity measuring points is located at the position, close to the doorway of the tested device, of the middle layer, the other three humidity measuring points are located in the three layers respectively, and the three humidity measuring points projected on the upper layer are located on the same straight line.
It should be noted that the reference numerals a to O of the respective temperature measurement points described above are used only as reference numerals to show the positions of the temperature measurement points, and are directly distinguishable from the letters in the subsequent formulas.
Furthermore, the temperature measurement point and the humidity measurement point both need to be provided with a device capable of measuring temperature or humidity, for example, a patrol instrument or a temperature and humidity sensor capable of measuring temperature and humidity can be provided, and then the temperature and humidity corresponding to each temperature measurement point and humidity measurement point can be measured.
In particular implementations, the formula may be based on
Figure BDA0002587004290000091
Calculating to obtain the temperature deviation of the tested equipment;
according to the formula
Figure BDA0002587004290000092
Calculating and obtaining the humidity deviation of the tested device;
according to the formula
Figure BDA0002587004290000093
Calculating to obtain the temperature fluctuation degree of the tested equipment;
according to the formula
Figure BDA0002587004290000094
Calculating to obtain the humidity fluctuation degree of the tested equipment;
according to the formula
Figure BDA0002587004290000101
Calculating to obtain the temperature uniformity of the tested equipment;
according to the formula
Figure BDA0002587004290000102
Calculating to obtain the humidity uniformity of the tested equipment;
wherein, the Δ tdFor the temperature deviation of the device under test,
Figure BDA0002587004290000103
setting an average value of the display values after the temperature is set for the device under test,
Figure BDA0002587004290000104
the temperature average value of all temperature measurement points in all grid spaces is taken;
the Δ hdFor the humidity deviation of the device under test, the
Figure BDA0002587004290000105
Average value of display value after setting humidity of the tested device
Figure BDA0002587004290000106
Humidity average values of all humidity measurement points in all grid spaces;
the Δ tfFor the temperature fluctuation degree of the device under test, the
Figure BDA0002587004290000107
For the maximum value of the average temperature of all temperature measurement points in each grid space of the device under test, the
Figure BDA0002587004290000108
The minimum value of the average temperature of all temperature measurement points in each grid space of the tested device is obtained;
the Δ hfFor the degree of humidity fluctuation of the device under test, the
Figure BDA0002587004290000109
Is the maximum value of the average humidity of all humidity measurement points in each grid space of the device under test, the
Figure BDA00025870042900001010
Minimum of average humidity of all humidity measurement points in each grid space of the tested deviceA value;
the Δ tuFor the temperature uniformity of the device under test, n is the grid space number of the device under test
Figure BDA00025870042900001011
The temperature measurement value is the maximum point of the temperature average value of the ith grid space of the tested equipment; the above-mentioned
Figure BDA00025870042900001012
The temperature measurement value is the temperature measurement value of the minimum point of the temperature average value of the ith grid space of the tested equipment;
the Δ huFor the temperature uniformity of the device under test, the
Figure BDA00025870042900001013
The temperature measurement value is the maximum point of the temperature average value of the ith grid space of the tested equipment; the above-mentioned
Figure BDA00025870042900001014
The temperature measurement value is the temperature measurement value of the minimum point of the temperature average value of the ith grid space of the tested equipment; the i is a positive integer greater than or equal to 1, and the n is a positive integer greater than or equal to 1.
Specifically, before the temperature and humidity measurements of each temperature measurement point and humidity measurement point are performed, the device to be tested may be stably operated for 1-2 hours, and then the temperature deviation, the temperature uniformity, the temperature fluctuation, the humidity deviation, the humidity uniformity, and the humidity fluctuation are calculated according to the above formula using the measured temperature and humidity data.
In order to obtain relatively accurate measurement data, it is preferable to collect data every 3 minutes within 10 minutes and collect ten sets of data every time.
In the implementation, since the readings of the temperature and the humidity of the device under test itself will have deviations, and the readings of the polling device will also have deviations, the deviations of the device under test and the polling device can be calibrated in the following manner based on the above method.
The specific implementation of the offset calibration is as follows:
firstly, establishing a mathematical model delta t for evaluating the uncertainty of the temperature deviation calibration resultd=td-to-Δt0Wherein, the tdSetting a display value after temperature for the device under test, toFor measuring the temperature of the temperature measuring point, the value of the temperature of the inspection instrument, Δ t0The temperature correction value is the temperature of the inspection instrument; because the measurement results also have a measurement uncertainty, and the main sources of the measurement uncertainty are the following three items:
uncertainty introduced by repeatability of a measurement result of calibration equipment;
repeatedly measuring the introduced uncertainty component by the inspection instrument;
uncertainty component introduced by measurement error of the inspection tour instrument;
so it is necessary to correct the parameter t in the mathematical modeld、to、Δt0Carrying out uncertainty analysis;
wherein the parameter t in the pair of mathematical modelsd、to、Δt0A method of performing an uncertainty analysis comprising:
repeatedly measuring one of the inspection instruments or the equipment to be tested under the repeated measurement condition by using the measurement standard, and quantitatively characterizing by using the experimental standard deviation S (x) of the obtained measurement value
Figure BDA0002587004290000111
Wherein, the xpFor the p-th measured value, the measured value,
Figure BDA0002587004290000121
is the arithmetic mean of q measured values, q is a positive integer greater than or equal to 6, and p is a positive integer greater than or equal to 1;
criteria for repetitive introduction of measurement results of the device under testUncertainty u1Said
Figure BDA0002587004290000122
The standard uncertainty introduced aiming at the repeatability of the temperature and the humidity of the inspection instrument is u2Said
Figure BDA0002587004290000123
Figure BDA0002587004290000124
Standard uncertainty u introduced according to temperature and humidity correction values of inspection instrument3Obtaining the temperature and humidity correction value r according to the use instruction of the polling instrument
Figure BDA0002587004290000125
And obtaining u1、u2、u3On the basis of (1), synthesizing a standard uncertainty ucAnd an extended uncertainty U, said
Figure BDA0002587004290000126
The U is kucK is a parameter value, and k can take a value of 2.
Secondly, establishing a mathematical model delta h for evaluating the uncertainty of the humidity deviation calibration resultd=hd-ho-Δh0(ii) a H isdSetting a display value after humidity for the device under test, hoFor measuring the humidity value of the polling device at the humidity measuring point, Δ h0The humidity correction value is the humidity of the polling instrument; because the measurement results also have a measurement uncertainty, and the main sources of the measurement uncertainty are the following three items:
uncertainty introduced by repeatability of a measurement result of calibration equipment;
repeatedly measuring the introduced uncertainty component by the inspection instrument;
uncertainty component introduced by measurement error of the inspection tour instrument;
and to the parameter h in the mathematical modeld、ho、Δh0Carrying out uncertainty analysis;
wherein the parameter h in the pair of mathematical modelsd、ho、Δh0A method of performing an uncertainty analysis comprising:
repeatedly measuring one of the inspection instruments or the equipment to be tested under the repeated measurement condition by using the measurement standard, and quantitatively characterizing by using the experimental standard deviation S (x) of the obtained measurement value
Figure BDA0002587004290000131
Wherein, the xpFor the p-th measured value, the measured value,
Figure BDA0002587004290000132
is the arithmetic mean of q measured values, q is more than or equal to 6 times;
standard uncertainty u introduced for repeatability of the measured device measurements1Said
Figure BDA0002587004290000133
The standard uncertainty introduced aiming at the repeatability of the temperature and the humidity of the inspection instrument is u2Said
Figure BDA0002587004290000134
Figure BDA0002587004290000135
Standard uncertainty u introduced according to temperature and humidity correction values of inspection instrument3Obtaining the temperature and humidity correction value r according to the use instruction of the polling instrument
Figure BDA0002587004290000136
And obtaining u1、u2、u3On the basis of (1), synthesizing a standard uncertainty ucAnd an extended uncertainty U, said
Figure BDA0002587004290000137
The U is kucAnd k is a parameter value.
Specifically, the above-mentioned method for obtaining uncertainty may be performed by setting a suitable temperature point for the test, for example, a temperature point of 15 ℃, 50 ℃, 100 ℃, 150 ℃, 200 ℃; and testing at suitable humidity points, such as humidity points 10% RH, 30% RH, 50% RH, 70% RH, 90% RH.
The above description is only for the specific embodiments of the present invention, but the scope of the present invention is not limited thereto, and any person skilled in the art can easily conceive of the changes or substitutions within the technical scope of the present invention, and all the changes or substitutions should be covered within the scope of the present invention. Therefore, the protection scope of the present invention shall be subject to the protection scope of the appended claims.

Claims (10)

1. The temperature and humidity measuring method for the environmental test facility equipment is characterized by comprising the following steps of:
dividing the internal space of the tested equipment into N grid spaces, wherein N is a positive integer greater than or equal to 1;
dividing each grid space into an upper layer, a middle layer and a lower layer, and arranging a temperature measuring point and a humidity measuring point in each layer;
and detecting to obtain the temperature value of the temperature measuring point and the humidity value of the humidity measuring point in each grid space, and calculating to obtain the temperature deviation, the temperature uniformity, the temperature fluctuation, the humidity deviation, the humidity uniformity and the humidity fluctuation of the equipment to be tested.
2. The temperature and humidity measurement method of environmental test facility equipment according to claim 1,
dividing the internal space of the device under test into N grid spaces according to the volume of the device under test;
wherein when the device under test volume is smaller than a first volume, the overall internal space of the device under test is taken as 1 grid space;
when the volume of the device under test is larger than or equal to the first volume and smaller than or equal to the second volume, taking the whole internal space of the device under test as 1 grid space;
and when the volume of the device to be tested is larger than the second volume, dividing the internal space of the device to be tested into two or more grid spaces according to a three-dimensional space dividing mode.
3. The method of claim 2, wherein the first volume is 2m3The second volume is 50m3
4. The temperature and humidity measurement method of environmental test facility equipment according to claim 2,
when the volume of the device to be tested is smaller than the first volume, setting four temperature measurement points at the upper layer of the grid space at regular intervals, setting one humidity measurement point at the position of one temperature measurement point, setting one temperature measurement point and one humidity measurement point at the middle layer of the grid space, setting four temperature measurement points at the projection position of the lower layer at the temperature measurement point at the upper layer of the grid space, and setting one humidity measurement point at the position of one temperature measurement point at the lower layer;
the positions of the humidity measuring points on the upper layer projected on the lower layer and the positions of the humidity measuring points arranged on the lower layer are respectively close to two side walls of the tested equipment.
5. The temperature and humidity measurement method of environmental test facility equipment according to claim 2,
when the volume of the tested device is larger than or equal to the first volume, five temperature measuring points are arranged on the upper layer and the lower layer of the grid space in the same distribution mode, one of the five temperature measuring points is positioned in the middle of the layer, and the other four temperature measuring points surrounding the middle are uniformly arranged around the layer at intervals;
the middle layer is also provided with five temperature measuring points, one temperature measuring point is arranged in the middle of the middle layer, the other four temperature measuring points surrounding the middle layer are uniformly arranged around the middle layer at intervals, and the projections of the four temperature measuring points on the upper layer are respectively positioned in the middle of two adjacent temperature measuring points surrounding the four temperature measuring points on the upper layer;
the number of the humidity measuring points is 4, one of the humidity measuring points is located at the position, close to the doorway of the tested device, of the middle layer, the other three humidity measuring points are located in the three layers respectively, and the three humidity measuring points projected on the upper layer are located on the same straight line.
6. The temperature and humidity measurement method of environmental test facility equipment according to claim 2,
according to the formula
Figure FDA0002587004280000021
Calculating to obtain the temperature deviation of the tested equipment;
according to the formula
Figure FDA0002587004280000022
Calculating and obtaining the humidity deviation of the tested device;
according to the formula
Figure FDA0002587004280000023
Calculating to obtain the temperature fluctuation degree of the tested equipment;
according to the formula
Figure FDA0002587004280000024
Calculating to obtain the humidity fluctuation degree of the tested equipment;
according to the formula
Figure FDA0002587004280000025
Calculating to obtain the temperature uniformity of the tested equipment;
according to the formula
Figure FDA0002587004280000031
Calculating to obtain the humidity uniformity of the tested equipment;
wherein, the Δ tdFor the temperature deviation of the device under test,
Figure FDA0002587004280000032
setting an average value of the display values after the temperature is set for the device under test,
Figure FDA0002587004280000033
the temperature average value of all temperature measurement points in all grid spaces is taken;
the Δ hdFor the humidity deviation of the device under test, the
Figure FDA0002587004280000034
Average value of display value after setting humidity of the tested device
Figure FDA0002587004280000035
Humidity average values of all humidity measurement points in all grid spaces;
the Δ tfFor the temperature fluctuation degree of the device under test, the
Figure FDA0002587004280000036
For the maximum value of the average temperature of all temperature measurement points in each grid space of the device under test, the
Figure FDA0002587004280000037
The minimum value of the average temperature of all temperature measurement points in each grid space of the tested device is obtained;
the Δ hfFor the degree of humidity fluctuation of the device under test, the
Figure FDA0002587004280000038
Is the maximum value of the average humidity of all humidity measurement points in each grid space of the device under test, the
Figure FDA0002587004280000039
The minimum value of the average humidity of all humidity measurement points in each grid space of the tested device is obtained;
the Δ tuFor the temperature uniformity of the device under test, n is the grid space number of the device under test
Figure FDA00025870042800000310
The temperature measurement value is the maximum point of the temperature average value of the ith grid space of the tested equipment; the above-mentioned
Figure FDA00025870042800000311
The temperature measurement value is the temperature measurement value of the minimum point of the temperature average value of the ith grid space of the tested equipment;
the Δ huFor the temperature uniformity of the device under test, the
Figure FDA00025870042800000312
The temperature measurement value is the maximum point of the temperature average value of the ith grid space of the tested equipment; the above-mentioned
Figure FDA00025870042800000313
The temperature measurement value of the minimum point of the temperature average value of the ith grid space of the tested equipment is obtained, i is a positive integer greater than or equal to 1, and n is a positive integer greater than or equal to 1.
7. The temperature and humidity measurement method of environmental test facility equipment according to claim 6,
and after the tested equipment stably operates for 1-2 hours, measuring the temperature deviation, the temperature uniformity, the temperature fluctuation degree, the humidity deviation, the humidity uniformity and the humidity fluctuation degree.
8. The temperature and humidity measurement method of environmental test facility equipment according to claim 6,
while the measurements of the temperature uniformity and the humidity uniformity were performed, data were collected every 3 minutes for 10 minutes.
9. The temperature and humidity measurement method of environmental test facility equipment according to claim 6,
establishing a mathematical model Δ t for uncertainty evaluation of the temperature deviation calibration resultd=td-to-Δt0And establishing a mathematical model Δ h of said moisture deviation calibration result uncertainty assessmentd=hd-ho-Δh0
Wherein, t isdSetting a display value after temperature for the device under test, toFor measuring the temperature of the temperature measuring point, the value of the temperature of the inspection instrument, Δ t0Temperature correction value for the temperature of the polling device, hdSetting a display value after humidity for the device under test, hoFor measuring the humidity value of the polling device at the humidity measuring point, Δ h0The humidity correction value is the humidity of the polling instrument;
and to the parameter t in the mathematical modeld、to、Δt0And hd、ho、Δh0And carrying out uncertainty analysis.
10. The method of claim 9, wherein the parameter t is a parameter of the mathematical modeld、to、Δt0And hd、ho、Δh0A method of performing an uncertainty analysis comprising:
repeatedly measuring one of the inspection instruments or the equipment to be tested under the repeated measurement condition by using the measurement standard, and using the obtained measurement valueExperimental standard deviation s (x) for quantitative characterization, said
Figure FDA0002587004280000041
Wherein, the xpFor the p-th measured value, the measured value,
Figure FDA0002587004280000042
is the arithmetic mean of q measured values, q is a positive integer greater than or equal to 6, and p is a positive integer greater than or equal to 1;
standard uncertainty u introduced for repeatability of the measured device measurements1Said
Figure FDA0002587004280000043
The standard uncertainty introduced aiming at the repeatability of the temperature and the humidity of the inspection instrument is u2Said
Figure FDA0002587004280000051
Figure FDA0002587004280000052
Standard uncertainty u introduced according to temperature and humidity correction values of inspection instrument3Obtaining the temperature and humidity correction value r according to the use instruction of the polling instrument
Figure FDA0002587004280000053
And obtaining u1、u2、u3On the basis of (1), synthesizing a standard uncertainty ucAnd an extended uncertainty U, said
Figure FDA0002587004280000054
The U is kucAnd k is a parameter value.
CN202010684384.9A2020-07-162020-07-16Temperature and humidity measuring method for environmental test facility equipmentActiveCN111735501B (en)

Priority Applications (1)

Application NumberPriority DateFiling DateTitle
CN202010684384.9ACN111735501B (en)2020-07-162020-07-16Temperature and humidity measuring method for environmental test facility equipment

Applications Claiming Priority (1)

Application NumberPriority DateFiling DateTitle
CN202010684384.9ACN111735501B (en)2020-07-162020-07-16Temperature and humidity measuring method for environmental test facility equipment

Publications (2)

Publication NumberPublication Date
CN111735501Atrue CN111735501A (en)2020-10-02
CN111735501B CN111735501B (en)2022-11-25

Family

ID=72654724

Family Applications (1)

Application NumberTitlePriority DateFiling Date
CN202010684384.9AActiveCN111735501B (en)2020-07-162020-07-16Temperature and humidity measuring method for environmental test facility equipment

Country Status (1)

CountryLink
CN (1)CN111735501B (en)

Cited By (3)

* Cited by examiner, † Cited by third party
Publication numberPriority datePublication dateAssigneeTitle
CN112539778A (en)*2020-12-182021-03-23河南省计量科学研究院Temperature and humidity measurement calibration system and calibration method for refrigerator car
CN118190454A (en)*2024-04-072024-06-14中公高远(北京)汽车检测技术有限公司 A performance detection system and detection method for automobile test environment chamber
CN119354285A (en)*2024-12-272025-01-24上海瑞起测控科技有限公司 A patrol measurement method for dry-bulb and wet-bulb temperature and humidity patrol recorder in an environmental test chamber

Citations (5)

* Cited by examiner, † Cited by third party
Publication numberPriority datePublication dateAssigneeTitle
CN103995553A (en)*2014-06-142014-08-20福建农林大学Method for distributing temperature and humidity sensors in Maitake mushroom house
CN109328764A (en)*2018-11-202019-02-15湖南星绿智能科技有限公司 A smart nursery room
CN109901239A (en)*2019-03-082019-06-18中国石油天然气集团有限公司The measurement method and system of density of earth formations
CN110073301A (en)*2017-08-022019-07-30强力物联网投资组合2016有限公司The detection method and system under data collection environment in industrial Internet of Things with large data sets
CN111125913A (en)*2019-12-252020-05-08东北大学 A method and device for identifying the overall heat absorption rate of a heating furnace

Patent Citations (5)

* Cited by examiner, † Cited by third party
Publication numberPriority datePublication dateAssigneeTitle
CN103995553A (en)*2014-06-142014-08-20福建农林大学Method for distributing temperature and humidity sensors in Maitake mushroom house
CN110073301A (en)*2017-08-022019-07-30强力物联网投资组合2016有限公司The detection method and system under data collection environment in industrial Internet of Things with large data sets
CN109328764A (en)*2018-11-202019-02-15湖南星绿智能科技有限公司 A smart nursery room
CN109901239A (en)*2019-03-082019-06-18中国石油天然气集团有限公司The measurement method and system of density of earth formations
CN111125913A (en)*2019-12-252020-05-08东北大学 A method and device for identifying the overall heat absorption rate of a heating furnace

Cited By (4)

* Cited by examiner, † Cited by third party
Publication numberPriority datePublication dateAssigneeTitle
CN112539778A (en)*2020-12-182021-03-23河南省计量科学研究院Temperature and humidity measurement calibration system and calibration method for refrigerator car
CN118190454A (en)*2024-04-072024-06-14中公高远(北京)汽车检测技术有限公司 A performance detection system and detection method for automobile test environment chamber
CN118190454B (en)*2024-04-072024-11-22中公高远(北京)汽车检测技术有限公司 A performance detection system and detection method for automobile test environment chamber
CN119354285A (en)*2024-12-272025-01-24上海瑞起测控科技有限公司 A patrol measurement method for dry-bulb and wet-bulb temperature and humidity patrol recorder in an environmental test chamber

Also Published As

Publication numberPublication date
CN111735501B (en)2022-11-25

Similar Documents

PublicationPublication DateTitle
CN111735501B (en)Temperature and humidity measuring method for environmental test facility equipment
JPS6066303U (en) Radiation absorption spatial distribution measuring device for sample thin section
CN106680137B (en)A method of evaluation cigarette measurement of water ratio uncertainty
CN104376211A (en)Method for assessing measurement uncertainty of coordinate measuring machine
CN106092375B (en)The method of calibration and tester of airborne equipment surface temperature sensor
Yulizar et al.Performance analysis comparison of DHT11, DHT22 and DS18B20 as temperature measurement
CN108152325A (en)A kind of method based on Guarded hot plate calibration heat-flow meter method conductometer
CN111597620A (en)Uncertainty evaluation method for road load measurement
CN108876175A (en)A kind of npp safety shell slip calculates appraisal procedure and system
EP2473869B1 (en)Gas analysis data handling device for computing a gas flux and a corresponding computer-readable storage medium
CN114034335A (en)Temperature and humidity parameter stable state identification method for environmental test equipment
KR20230163432A (en) System and method for dynamic signal processing for vacuum collapse leak detection
CN106289365B (en)The calibration method of relative humidity measurement sensor and water activity measurement sensor
CN118896638B (en) A performance detection method and system for 3D perspective drying sensor
CN108152458A (en)Gas detection method and device
CN110426495A (en)A kind of environmental monitoring method of calibration based on big data
CN103217385B (en)Method for assessing random error of ellipsometer measurement system
CN105466631B (en)A kind of calibration method and calibrating installation of piston gage piston effective area
CN118376744A (en)Water environment monitoring quality control analysis method
CN109758703A (en) An error correction system and method for air pressure altitude sensor in fire field
JP7382301B2 (en) Sensor element and sensor device
Budylina et al.Methods to ensure the reliability of measurements in the age of Industry 4.0
Mylonas et al.Capabilities and Limitations of Commercially Available Wireless Indoor Environment Sensors.
US12146870B1 (en)Calibration of humidity and methane inside gas sensor housing
CN117607373B (en)Method, system, equipment and medium for calibrating greenhouse gas monitoring data

Legal Events

DateCodeTitleDescription
PB01Publication
PB01Publication
SE01Entry into force of request for substantive examination
SE01Entry into force of request for substantive examination
GR01Patent grant
GR01Patent grant

[8]ページ先頭

©2009-2025 Movatter.jp