Movatterモバイル変換


[0]ホーム

URL:


CN111721967A - Small-sized ultrasonic wind speed and direction detector and wind speed and direction detection method - Google Patents

Small-sized ultrasonic wind speed and direction detector and wind speed and direction detection method
Download PDF

Info

Publication number
CN111721967A
CN111721967ACN202010629644.2ACN202010629644ACN111721967ACN 111721967 ACN111721967 ACN 111721967ACN 202010629644 ACN202010629644 ACN 202010629644ACN 111721967 ACN111721967 ACN 111721967A
Authority
CN
China
Prior art keywords
ultrasonic
wind speed
ultrasonic transducer
base
bottom plate
Prior art date
Legal status (The legal status is an assumption and is not a legal conclusion. Google has not performed a legal analysis and makes no representation as to the accuracy of the status listed.)
Pending
Application number
CN202010629644.2A
Other languages
Chinese (zh)
Inventor
王相
田聪聪
王英豪
庞喜龙
王钟轩
Current Assignee (The listed assignees may be inaccurate. Google has not performed a legal analysis and makes no representation or warranty as to the accuracy of the list.)
Weihai Jingxun Changtong Electronic Technology Co Ltd
Original Assignee
Weihai Jingxun Changtong Electronic Technology Co Ltd
Priority date (The priority date is an assumption and is not a legal conclusion. Google has not performed a legal analysis and makes no representation as to the accuracy of the date listed.)
Filing date
Publication date
Application filed by Weihai Jingxun Changtong Electronic Technology Co LtdfiledCriticalWeihai Jingxun Changtong Electronic Technology Co Ltd
Priority to CN202010629644.2ApriorityCriticalpatent/CN111721967A/en
Publication of CN111721967ApublicationCriticalpatent/CN111721967A/en
Pendinglegal-statusCriticalCurrent

Links

Images

Classifications

Landscapes

Abstract

The invention discloses a small-sized ultrasonic wind speed and direction detector, which relates to the field of ultrasonic wind speed and direction measuring equipment, and adopts the technical scheme that the detector comprises a bottom plate and an upper cover arranged on the bottom plate, a detection circuit device and four integrated transmitting and receiving ultrasonic transducers connected to the detection circuit device are arranged between the bottom plate and the upper cover, four through holes are uniformly distributed on the bottom plate in the circumferential direction, transmitting and receiving end surfaces of the ultrasonic transducers are arranged in the through holes and are arranged on the same plane, a hollow sleeve pipe penetrates through the center of the bottom plate, and the lower end of the hollow sleeve pipe is connected with a base; the ultrasonic transducers send ultrasonic waves in turn, multiple reflections are received by the adjacent ultrasonic transducers between the bottom plate and the base, the ultrasonic propagation speeds in 8 lateral directions are calculated respectively, and the total wind speed and the wind direction are calculated through vectors. The invention has the advantages of small volume, high integration level, convenient assembly, simple hardware, low manufacturing cost and strong waterproof performance, and is suitable for severe outdoor environment.

Description

Small-sized ultrasonic wind speed and direction detector and wind speed and direction detection method
Technical Field
The invention relates to the field of ultrasonic wind speed and direction detection, in particular to a small ultrasonic wind speed and direction detector.
Background
The traditional wind measuring device usually depends on a mechanical moving part to obtain measurement data such as wind speed and wind direction, and then converts the measurement data into an electric signal to be processed and detected, so that the defects of mechanical loss, slow response, small measurement range and the like exist. For the problems, an ultrasonic wind speed and direction detector is provided at present, mechanical moving parts can be avoided, and the detector is more reliable and accurate, ultrasonic transducers are generally arranged in two groups in a pairwise opposite installation mode in a common ultrasonic wind meter on the market, each ultrasonic transducer transmits the ultrasonic wave and the opposite ultrasonic transducer receives the ultrasonic wave, a certain distance needs to be reserved between the ultrasonic transducers to ensure the measurement precision, and a detection circuit is complex, so that the size of the detector is large; meanwhile, in order to facilitate assembly and wiring, the ultrasonic transducer is generally arranged on the base, and the installation mode is easy to accumulate rain, accumulated snow and accumulated dust, influences the measurement precision and also reduces the service life.
Also there is ultrasonic transducer to install at the top on the market, make ultrasonic transducer send and receive end downward transmission and received signal, rain and snow interference can be avoided in this kind of design, sand wind blocks, but generally for convenient to use, power supply and communication cable entry set up the below at whole device usually, and the test section sets up the top at whole device, this just leads to inside wiring comparatively complicated, generally for walking the line, often establish a plurality of support columns with the anemometry passageway into hollow, but this kind of support column is generally thinner, hollow hole is just littleer, the line can not be concentrated to the threading in-process, take time and labor, be not convenient for large-scale volume production.
Based on the structure, the invention relates to a small-sized ultrasonic wind speed and direction detector, wherein an accommodating cavity provided with a detection assembly and four ultrasonic transducers is arranged at the top of the detector, the signal transceiving ends of the ultrasonic transducers are downward, the center of the bottom end of the accommodating cavity is connected with a base by using a hollow sleeve, the inner part of the hollow sleeve is fixedly connected with a detection part and the base by using hollow screws and is also used for centralized wiring, and the joints are subjected to rainwater-proof treatment; the structure is more reasonable, and the industrial production is facilitated.
Based on the design of the upper and lower structures connected by the hollow sleeve, the detection method that ultrasonic waves are opposite pairwise is obviously not used any more, the invention adopts a mode that one ultrasonic transducer sends the ultrasonic waves, and the ultrasonic waves are reflected for many times between the bottom plate and the base and are received by the adjacent ultrasonic transducers, and respectively calculates the propagation speeds of the ultrasonic waves in 8 lateral directions, and calculates the wind speed and the wind direction through vectors.
Disclosure of Invention
In order to achieve the above object, the present invention provides a small ultrasonic wind speed and direction detector.
Its technical scheme does, a small-size ultrasonic wave wind speed and direction detector, its characterized in that is in including bottom plate and setting upper shield on the bottom plate, the bottom plate with upper shield connection forms and holds the chamber, it is provided with detection circuitry device and connects to hold the intracavity four integrative ultrasonic transducer of receiving and dispatching on the detection circuitry device, four through-holes of circumference equipartition on the bottom plate, ultrasonic transducer's receiving and dispatching terminal surface sets up just establish into the coplanar in the through-hole, the bottom plate center is run through and is equipped with the cavity sleeve pipe, the cavity sleeve pipe lower extreme is connected with the base. A wind measuring channel is formed between the bottom plate and the base, the upper surface and the lower surface of the wind measuring channel are set to be smooth planes, and preferably, the smooth planes are set to be circular.
Consider waterproof demand and make the shell more firm reliable, it is further the outside edge of bottom plate upwards extends and forms ring baffle, ring baffle's outside lower extreme is provided with the boss of extending, be equipped with the ring channel on the boss of extending, the inner wall downside of upper shield sets up to the indent platform, with the cooperation of the boss of extending sets up, the up end of ring channel with the terminal surface of indent platform contacts, be provided with waterproof sealing washer in the ring channel, use the screw to pass the setting and be in screw hole post on the bottom plate and connect the fixing stud who sets up at the inside relevant position of upper shield.
For more convenient fixed ultrasonic transducer with detection circuitry device the bottom plate upside just is located the peripheral vertical transducer draw-in groove that is equipped with of through-hole, establish to the drum on transducer draw-in groove upper portion, the drum with establish to the mesa between the through-hole, ultrasonic transducer sets up in the transducer draw-in groove, ultrasonic transducer's top still is provided with circular chuck, circular chuck with the corresponding position of ultrasonic transducer is provided with the rectangle draw-in groove, ultrasonic transducer's upper end sets up in the rectangle draw-in groove, detection circuitry device sets up circular chuck upside, circular chuck center is equipped with wiring hole one, the position of rectangle draw-in groove is provided with a plurality of wiring holes two. The wire passes wiring hole two will detection circuitry with ultrasonic transducer connects, detection circuitry link is equipped with electrical connector, the later stage of being convenient for is changed the maintenance. Rectangle draw-in groove with be provided with elastic gasket between the ultrasonic transducer, transducer draw-in groove bottom the mesa with be provided with the rubber packing ring between the ultrasonic transducer, elastic gasket with the rubber packing ring can prevent hard connection right ultrasonic transducer's damage to reduce the influence of ultrasonic wave during operation vibration to the testing result, the rubber packing ring can also play waterproof effect.
Furthermore, a plurality of spaced support columns are uniformly distributed on the outer edge of the bottom plate, blind holes corresponding to the spaced support columns are formed in the base, and the spaced support columns are embedded into the blind holes; the center of base runs through and is provided with the internal thread sleeve, the cavity sleeve pipe cup joints the telescopic outside of internal thread sets up the hexagonal screw and passes cavity sleeve pipe and screw in the internal thread sleeve connects the bottom plate with the base, the hexagonal screw is established to cavity screw and center and is established to circular through-hole. The interval support column plays supporting role, so that the whole device is more stable, the blind hole plays mounting, positioning and limiting roles, the bottom plate and the base rotate relatively, the internal thread sleeve arranged on the base is higher than the upper surface of the base, and the hollow sleeve arranged on the bottom plate can prevent rainwater from flowing into the base. Set up the hexagonal screw passes in proper order the round hole of bottom plate central drum internal thread sleeve connects the bottom plate with the base, the hexagonal screw is established to cavity screw and center and is established to circular through-hole, the circular through-hole of hexagonal screw can be used for the threading, convenient and practical, protection wire, safe and reliable.
Furthermore, the bottom end of the hollow sleeve is provided with a plurality of limiting teeth, and the base is provided with a plurality of limiting grooves matched with the limiting teeth. The depth of the limiting groove is about 1/2 thickness of the base, and the limiting tooth is matched to further stabilize the connection between the bottom plate and the base, so that the relative position between the bottom plate and the base is convenient to position during assembly, and the base is prevented from rotating in the use process.
Further, the base comprises a plurality of cover structure vertical stack, cover structure top is the horizontal plate, follows the horizontal plate border is provided with the toper ring downwards, the lower extreme cover of toper ring is adjacent in the below on the horizontal plate and outside border upwarp, circumference evenly sets up a plurality of counter bores on the horizontal plate, the downside of horizontal plate just is located the counter bore is outer along setting up the cavity insulated column, the embedding of cavity insulated column is adjacent on the horizontal plate in the counter bore, use the stay bolt from the top down to pass every in proper order counter bore on the horizontal plate reach the cavity insulated column, cooperation nut connects the cover structure. The outside of toper ring is equipped with the strengthening rib, improves structural strength, the base is cavity tripe case form, other detecting component can be installed according to the demand to horizontal plate downside equipartition a plurality of installation double-screw bolt, for example atmospheric pressure detecting component, temperature and humidity detection subassembly, air quality detecting component etc. and the expansibility is stronger, and simple structure is convenient for install.
The long bolts are set as corresponding cap bolts, the overall structure of the base is more compact through the matching of the counter bores and the hollow isolation columns, rainwater can be guided out, and therefore the overall structure is of a good rainproof design, the reliability is higher, and the outdoor environment can be severe.
Further, a fixed base is installed at the lower end of the base, a plurality of base support columns are arranged at the lower end of the fixed base, the base support columns are hollow, the positions and the number of the base support columns correspond to those of the hollow isolation columns, the long bolts sequentially penetrate through the hollow isolation columns and the base support columns of the cover cap structures, and the base and the fixed base are fixed through matching nuts.
Furthermore, a plurality of waterproof connectors are arranged on the fixed base. At least one waterproof connector is arranged to provide a power supply and signal transmission interface for the whole device. When other detection assemblies are expanded, the waterproof connector is added according to requirements in order to facilitate wiring and distinguishing. Make whole more portable, the dismouting is simple through waterproof connector.
Furthermore, the spiral damping lines are arranged on the outer edge of the top of the upper cover, so that friction force can be increased, the grasping is facilitated, the appearance is more attractive, and the direction mark is arranged in the center of the top end face of the upper cover, so that the direction calibration is facilitated during installation.
Furthermore, the detection circuit device comprises a single chip microcomputer, an ultrasonic transducer interface circuit, four analog switch circuits, an echo signal processing circuit and a signal output circuit, wherein the ultrasonic transducer is connected with the input ends of the single chip microcomputer and the four analog switch circuits through the ultrasonic transducer interface circuit, the signal control end of the four analog switch circuits is connected to the single chip microcomputer, the output end of the four analog switch circuits is connected with the input end of the echo signal processing circuit, the output end of the echo signal processing circuit is connected to an external interrupt pin of the single chip microcomputer, and the signal output circuit is connected with the single chip microcomputer.
The single chip microcomputer is controlled by a program to excite the ultrasonic transducers to send 40Khz pulse signals, and simultaneously controls the four-way analog switch circuit to selectively switch on an adjacent ultrasonic transducer and transmit received echo signals to the echo signal processing circuit; the single chip microcomputer receives the processed signals and records the flight time from the transmission of the ultrasonic signals to the reception; and the signal output circuit converts the wind speed and wind direction data acquired by the singlechip into analog signals and/or digital signals for output.
The detection principle of the device is as follows: the mode that one ultrasonic transducer sends two side ultrasonic transducers to receive respectively is adopted, because the two sides receive, ultrasonic waves can be received after being reflected for many times between the two planes of the bottom plate and the base, and in the process of ultrasonic wave transmission, no displacement change exists in the vertical direction, and displacement change can occur only in the horizontal direction, and comparison and calculation are carried out according to the displacement; the position of each probe is fixed, the positions of two adjacent probes are also fixed, 8 groups of data, namely 8 time periods, are collected in one period of wind speed measurement, 8 lateral wind speeds can be calculated according to the time periods, and then the size of the total wind speed and the wind direction are calculated according to the vector.
The method for detecting the wind speed and the wind direction by using the ultrasonic wind speed and wind direction detector comprises the following steps:
step 1, correcting the installation direction, and sequentially setting four ultrasonic transducers according to the directions of the south, the east, the west and the north, namely an ultrasonic transducer E, an ultrasonic transducer S, an ultrasonic transducer W and an ultrasonic transducer N;
step 2: the single chip microcomputer excites the ultrasonic transducer E to send a 40Khz pulse signal and starts a timer and external interruption, the four-way analog switch circuit is controlled to receive an echo signal received by the ultrasonic transducer N, the echo signal is processed by the echo signal processing circuit and then triggers the external interruption of the single chip microcomputer, a timer register of the single chip microcomputer is read, and the current ultrasonic flight time t is calculatedEN
tENRepresents the time of flight of the ultrasonic wave from the ultrasonic transducer E to the ultrasonic transducer N, whereas tNERepresents the time of flight of the ultrasonic wave from the ultrasonic transducer N to the ultrasonic transducer E;
and step 3: the four ultrasonic transducers are controlled by the single chip microcomputer to send 40Khz pulse signals at the interval of 10ms in the sequence of south, east, west and north, each ultrasonic transducer sends the signals twice continuously, and t is calculated continuously according to the method in thestep 2SE、tSW、tWS、tWN、tNW、tNE
And 4, step 4: setting the distance between two adjacent ultrasonic transducers to be L, the ultrasonic transmission speed to be C and the wind speed in the southeast direction to be VESCalculating the wind speed V in the southeast directionES=L/2(1/tES-1/tSE)--------[1];
And 5: according to the method ofstep 4, calculating in sequence:
wind velocity V in the northeast directionEN=L/2(1/tEN-1/tNE)---------[2];
Wind speed V in the southwest directionWS=L/2(1/tWS-1/tSW)---------[3];
Northwest wind velocity VWN=L/2(1/tWN-1/tNW)--------[4];
And 6, calculating according to vector synthesis:
east-west wind velocity VEW=(VES*COS45°+VEN*COS45°)-(VWS*COS45+VWN*COS45)------[5];
Wind speed V in north-south directionSN=(VEN*COS45°+VWN*COS45°)-(VES*COS45°+VWS*COS45°)-----[6];
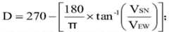
Calculating the wind speed component of the total wind speed Vw as
Figure BDA0002560703860000051
The calculation of the horizontal plane angle is divided into four quadrants, the wind direction of the total Vw is D,
when the temperature is within the range of 0-90 DEG,
Figure BDA0002560703860000052
when the angle is in the quadrant of 91-180 degrees,
Figure BDA0002560703860000053
when the temperature is within the range of 181-270 DEG,
Figure BDA0002560703860000054
when the temperature is within the range of 181-270 DEG,
Figure BDA0002560703860000055
and 7, converting the collected wind speed and wind direction data into analog signals and digital signals through the signal output circuit for output.
The technical scheme provided by the embodiment of the invention has the following beneficial effects: the structure is simple, and the four ultrasonic transducers are uniformly distributed on the same plane, so that the whole device is more compact in structure and convenient to mount and carry; the design is novel, the wiring is convenient, and the method is suitable for batch production; the hardware circuit is simple in structure, and the cost is saved; the joints of the shells are all designed to be waterproof, and the key joints are reinforced by reinforcing ribs, so that the whole device can be used in a severe outdoor environment for a long time; the base is expanded according to actual conditions, the louver box can be formed, other detection components are convenient to integrate, and the expansibility is strong.
Drawings
Fig. 1 is a schematic view of the overall structure of the present invention.
Fig. 2 is an exploded assembly view of the present invention.
Fig. 3 is a schematic view of the structure of the mounting frame.
Fig. 4 is a schematic view of the lower cover structure.
Fig. 5 is a schematic view of thebase structure 1.
Fig. 6 is a schematic view of thebase structure 2.
Fig. 7 is a sectional view a-a of fig. 1.
Fig. 8 is an interface circuit diagram of an ultrasonic transducer.
Fig. 9 is a circuit diagram of a four-way analog switch.
Fig. 10 shows an echo signal processing circuit.
Fig. 11 is a schematic diagram of the layout of the ultrasonic transducers and the wind velocity vector.
Fig. 12 is a system block diagram.
Wherein the reference numerals are: 1. an upper cover; 101. fixing the stud; 2. a base plate; 201. spacing support columns; 202. an annular baffle; 203. a hollow screw groove; 204. a screw hole column; 205. a transducer card slot; 206, a rubber gasket; 207. a hollow sleeve; 208. a hexagonal screw; 3. a base; 301. an internally threaded sleeve; 302. blind holes; 303. mounting a stud; 304. a limiting groove; 305. a horizontal plate; 306. a conical ring; 307. a long bolt; 308. a hollow isolation column; 309. a counter bore; 4. an ultrasonic transducer; 5. a circular chuck; 501. a rectangular clamping groove; 502. anelastic pad 6, a detection circuit device; 7. a fixed base; 701. a base support post; 8. a waterproof connector.
Detailed Description
In order to make the objects, technical solutions and advantages of the present invention more apparent, the present invention is described in further detail below with reference to the accompanying drawings and embodiments. Of course, the specific embodiments described herein are merely illustrative of the invention and are not intended to be limiting.
Referring to fig. 1 to 7, the invention is a small ultrasonic wind speed and direction detector, which comprises abottom plate 2 and anupper cover 1 arranged on thebottom plate 2, wherein thebottom plate 2 and theupper cover 1 are connected to form a containing cavity, adetection circuit device 6 and fourultrasonic transducers 4 which are connected to thedetection circuit device 6 and integrated in a transmitting and receiving mode are arranged in the containing cavity, four through holes are uniformly distributed in the circumferential direction of thebottom plate 2, transmitting and receiving end faces of theultrasonic transducers 4 are arranged in the through holes and are arranged on the same plane, ahollow sleeve 207 is arranged in the center of thebottom plate 2, and the lower end of the hollow sleeve. A wind measuring channel is formed between thebottom plate 2 and thebase 3, and the upper surface and the lower surface of the wind measuring channel are set to be smooth planes, preferably, the smooth planes are set to be circular. Consider waterproof demand and make the shell more firm reliable, the outside edge ofbottom plate 2 upwards extends and formsannular baffle 201, the outer wall ofannular baffle 201 contacts with the inside ofupper shield 1, the lower extreme outside ofannular baffle 201 is provided with epitaxial boss, be equipped with the ring channel on the epitaxial boss, the inner wall downside ofupper shield 1 sets up to the concave station, set up with the cooperation of epitaxial boss, the up end of ring channel contacts with the terminal surface of concave station, be provided with waterproof sealing washer in the ring channel. Screws penetrate throughscrew hole columns 204 arranged on thebottom plate 2 and are connected with fixing studs 101 arranged at corresponding positions in theupper cover 1, and reinforcing ribs are arranged at the roots of thescrew hole columns 204 and the fixing studs 101, so that the fixing strength is improved.
For more convenient fixedultrasonic transducer 4 anddetection circuitry 6, atbottom plate 2 upside and be located the peripheral vertical transducer draw-ingroove 205 that is equipped with of through-hole, the upper portion of transducer draw-ingroove 205 is established to the drum, set up to the mesa between drum and the through-hole,ultrasonic transducer 4 sets up in transducer draw-ingroove 205,ultrasonic transducer 4's top is provided withcircular chuck 5,circular chuck 5 is provided with rectangle draw-ingroove 501 with the corresponding position ofultrasonic transducer 4,ultrasonic transducer 4's upper end sets up in rectangle draw-ingroove 501. Thedetection circuit device 6 is arranged on the upper side of thecircular chuck 5, a first wiring hole is formed in the center of thecircular chuck 5, and a plurality of second wiring holes are formed in the positions of therectangular clamping grooves 501. 5 upsides of circular chuck are equipped with the mounting hole one that is used for installingdetection circuitry 6, and the mounting hole is a little higher than the mounting bracket plane, and thedetection circuitry 6 both sides of being convenient for are laid components and parts and are hidden inside and walk the line. The wire passes wiring hole two and is connecteddetection circuitry 6 and fourultrasonic transducer 4, and detection circuitry link is equipped with electrical connector, the later stage of being convenient for is changed the maintenance. Be provided withelastic gasket 502 between rectangle draw-ingroove 501 andultrasonic transducer 4, be provided withrubber packing ring 206 between the round platform face of transducer draw-ingroove 205 bottom and theultrasonic transducer 4,elastic gasket 502 andrubber packing ring 206 can prevent hard connection toultrasonic transducer 4's damage to reduce the influence of ultrasonic wave during operation vibration to testing result,rubber packing ring 206 can also play waterproof effect.
A plurality of spacedsupport columns 201 are uniformly distributed on the outer edge of thebottom plate 2,blind holes 302 corresponding to the spacedsupport columns 201 are arranged on thebase 3, and the spacedsupport columns 201 are embedded in theblind holes 302; the center ofbase 3 runs through and is provided withinternal thread sleeve 301, andcavity sleeve 207 cup joints in theinternal thread sleeve 301 outside, andinterval support column 201 plays the supporting role for whole device is more stable, andblind hole 302 plays installation location and limiting displacement, prevents thatbottom plate 2 andbase 3 from rotating relatively. Theinternal thread sleeve 301 arranged on thebase 3 is higher than the surface of the base and is inserted into thehollow sleeve 207 on thebottom plate 2, so that rainwater can be prevented from flowing into thebase 3. The central upside ofbottom plate 2 is equipped withhollow screw groove 203, andhollow screw groove 203 andhollow sleeve 207's hollow link up the setting, is equipped with the strengthening rib betweenhollow screw groove 203 and thescrew hole post 204, and the main effect of strengthening rib is the intensity that improves the casing, can also spacingcircular chuck 5's mounting height. Thehexagonal screw 208 sequentially penetrates through thehollow screw groove 203, thehollow sleeve 207 and theinternal thread sleeve 301 of thebottom plate 2 to connect thebottom plate 2 and thebase 3, and thehexagonal screw 208 is a hollow screw and a circular through hole is formed in the center. And a sealing rubber ring is arranged between thehexagonal screw 208 and thehollow screw groove 203, so that the waterproof performance can be further improved. Thehexagonal screw 208 can be used for threading, is convenient and practical, protects the lead, and is safe and reliable.
The bottom ofhollow sleeve 207 is provided with a plurality of spacing tooth, is provided with a plurality of and spacing toothcomplex spacing groove 304 on thebase 3. The depth of the limitinggroove 304 is about 1/2 thickness of thebase 3, and the limiting groove can be matched with the limiting teeth to further stabilize the connection between thebottom plate 2 and thebase 3, so that the positioning is convenient during installation.
Thebase 3 is formed by vertically stacking a plurality of cover structures, the top of each cover structure is ahorizontal plate 305, aconical ring 306 is arranged downwards along the edge of thehorizontal plate 305, the lower end of theconical ring 306 covers the adjacenthorizontal plate 305 below, the edge of the outer side of the lower end of theconical ring 306 is upwarped, a plurality of counter bores are uniformly distributed in the circumferential direction of thehorizontal plate 305,hollow isolation columns 308 are arranged on the outer edges of the counter bores and on the lower side of thehorizontal plate 305, theisolation columns 308 are embedded into the counter bores 309 in the adjacent horizontal plates,long bolts 307 are used for sequentially penetrating through the counter bores 309 and thehollow isolation columns 308 in eachhorizontal plate 305 from top to bottom, and all the cover. Thelong bolt 307 is set as a corresponding cap bolt, and the overall structure of thebase 3 is more compact through the matching of the counter bore 309 and thehollow isolation column 308, and rainwater can be guided out, so that the overall structure is a good rainproof design, the reliability is stronger, and the severe outdoor environment can be handled. The outside ofconical ring 306 is equipped with the strengthening rib, improves structural strength, andbase 3 uses a plurality of shroud structures to range upon range of to be cavity tripe case form, and a plurality ofinstallation stud 303 ofhorizontal plate 305 downside equipartition can install other detection module according to the demand, for example atmospheric pressure detection module, temperature and humidity detection subassembly, air quality detection subassembly etc. and the expansibility is stronger, and simple structure is convenient for install.
The lower end of thebase 3 is provided with a fixedbase 7, the lower end of the fixedbase 7 is provided with a plurality ofbase supporting columns 701, thebase supporting columns 701 are hollow, the positions and the number of thebase supporting columns 701 correspond to those of thehollow isolation columns 308, thelong bolts 307 sequentially penetrate through thehollow isolation columns 308 and thebase supporting columns 701 of each cover structure, and thebase 3 and the fixedbase 7 are fixed by matching nuts.
The fixedbase 7 is provided with 2waterproof connectors 8. One of them provides power supply and signal transmission interfaces for the whole device, and the other is used as an expansion interface for standby. Of course, when more detection assemblies are expanded and the waterproof connector point position is insufficient, thewaterproof connector 8 is added according to the requirement. Make this device more portable throughwaterproof connector 8, the dismouting wiring is simple.
The top edge of the outer side of theupper cover 1 is provided with spiral damping lines, so that friction force can be increased, the gripping is convenient, the appearance is more attractive, the center of the top end face of theupper cover 1 is provided with a direction mark, and the direction is calibrated when the direction mark is convenient to install.
Preferably, the center of the top end of the outer side of theupper cover 1 is provided with a positioning hole, and the position of the positioning hole can be opened to integrate the illumination sensor.
Preferably, a bubble level meter is arranged on the top end face of theupper cover 1, the horizontal plane of the bubble level meter is parallel to the upper surface and the lower surface of the wind measuring channel, whether the whole device is horizontal after being installed is observed, and the wind measuring precision is improved.
The detection circuit device comprises a single chip microcomputer, a four-way analog switch circuit, an echo signal processing circuit and a signal output circuit, wherein the single chip microcomputer controls the excitation ultrasonic transducers to send 40Khz pulse signals by a program, and controls the four-way analog switch circuit to selectively switch on an adjacent ultrasonic transducer and transmit the received echo signals to the signal processing unit; the single chip microcomputer receives the processed signals and records the flight time from the transmission of the ultrasonic signals to the reception; and the signal output module and the signal output circuit convert the wind speed and wind direction data acquired by the singlechip into analog signals andor digital signals for output.
As shown in fig. 8, two pin ports of the single chip are directly connected to two pins of the ultrasonic transducer, the two pins of the ultrasonic transducer are matched with a 4.7K resistor in resistance, one pin of the ultrasonic transducer is responsible for transmitting and receiving ultrasonic waves, and the other pin is connected to a low level.
As shown in fig. 9, the signal transceiving pin of the ultrasonic transducer is further connected to a four-way analog switch circuit, the model of the four-way analog switch circuit is SGM4782, the on state of theoutput pin 3 of the SGM4782 is controlled by controlling the level state of the pins 9 and 10 of the SGM4782, and corresponding signals are transmitted to the echo signal processing circuit through the output pin.
As shown in fig. 10, the echo signal processing circuit is a two-stage amplification circuit composed of a precise operational amplifier TSV632AIST, and the amplified signal is connected to an external interrupt pin of the single chip.
The signal output circuit can convert the collected wind speed and wind direction data into analog signal output (such as 0-5V or 4-20mA analog signal output) and digital signal output (such as RS232 or RS 485).
As shown in FIGS. 11-12, the steps for detecting wind speed and direction using the present invention are as follows:
step 1: the whole device is fixedly installed by using along screw 307 extending out of the bottom of the fixedbase 7, a power supply and signal transmission channel is provided for the whole device through a waterproof connector, and after the whole device is fixed, as shown in fig. 11, four ultrasonic transducers are sequentially arranged in the direction of south, east, west and north as an ultrasonic transducer E, an ultrasonic transducer S, an ultrasonic transducer W and an ultrasonic transducer N;
step 2: the single chip microcomputer excites the ultrasonic transducer E to send a 40Khz pulse signal and starts a timer and external interruption, the four-way analog switch circuit is controlled to receive an echo signal received by the ultrasonic transducer N, the echo signal is processed by the echo signal processing circuit and then triggers the external interruption of the single chip microcomputer, a timer register of the single chip microcomputer is read, and the current ultrasonic flight time t is calculatedEN;tNEShowing the time of flight of the ultrasonic wave from the ultrasonic transducer E to the ultrasonic transducer N, andof tNERepresents the time of flight of the ultrasonic wave from the ultrasonic transducer N to the ultrasonic transducer E;
and step 3: setting four ultrasonic transducers to send 40Khz pulse signals at the sequence interval of 10ms in the south, the east, the west and the north, continuously sending the signals twice by each ultrasonic transducer, and continuously calculating t according to the method in thestep 2ES、tSE、tSW、tWS、tWN、tNW、tNE
And 4, step 4: setting the distance between two adjacent ultrasonic transducers to be L, the ultrasonic transmission speed to be C and the wind speed in the southeast direction to be VESAccording to L/tES=C+VES;L/tSE=C-VES(ii) a Calculating the wind speed V in the southeast directionES=L/2(1/tES-1/tSE)-------[1];
And 5: according to the method ofstep 4, calculating in sequence:
wind velocity V in the northeast directionEN=L/2(1/tEN-1/tNE)---------[2],
Wind speed V in the southwest directionWS=L/2(1/tWS-1/tSW)--------[3],
Northwest wind velocity VWN=L/2(1/tWN-1/tNW)-------[4];
And 6, calculating according to vector synthesis:
east-west wind velocity VEW=(VES*COS45°+VEN*COS45°)-(VWS*COS45+VWN*COS45)-----[5];
Wind speed V in north-south directionSN=(VEN*COS45°+VWN*COS45°)-(VES*COS45°+VWS*COS45°)-----[6];
Calculating the wind speed component of the total wind speed Vw as
Figure BDA0002560703860000101
The calculation of the horizontal plane angle is divided into four quadrants, the wind direction of the total wind speed Vw is D,
when the temperature is within the range of 0-90 DEG,
Figure BDA0002560703860000102
when the angle is in the quadrant of 91-180 degrees,
Figure BDA0002560703860000103
when the temperature is within the range of 181-270 DEG,
Figure BDA0002560703860000111
when the temperature is within the range of 181-270 DEG,
Figure BDA0002560703860000112
and 7, converting the collected wind speed and wind direction data into analog signals and digital signals through a signal output circuit to be output.
Further, because need the direction of demarcation during the installation, the operation is comparatively complicated, and all need mark once more again in every installation, for reducing the installation degree of difficulty of whole device, it can also install earth magnetic angle detecting element to hold the intracavity, earth magnetic angle detecting module is on detection circuitry device, earth magnetic angle detecting element passes through I2C bus with the singlechip communication with the earth magnetic angle information of gathering, the automatic correction wind direction data of the wind direction data that the singlechip obtained according to earth magnetic angle information and the device that obtain.
The present invention is not limited to the above preferred embodiments, and any modifications, equivalent replacements, improvements, etc. within the spirit and principle of the present invention should be included in the protection scope of the present invention.
It should be noted that the embodiments and features of the embodiments of the present invention may be combined with each other without conflict.
In the description of the present invention, it is to be understood that the terms "central," "longitudinal," "lateral," "upper," "lower," "front," "rear," "left," "right," "vertical," "horizontal," "top," "bottom," "inner," "outer," and the like are used in the orientation or positional relationship indicated in the drawings, which are merely for convenience in describing the invention and to simplify the description, and are not intended to indicate or imply that the referenced device or element must have a particular orientation, be constructed and operated in a particular orientation, and are therefore not to be construed as limiting the invention. Furthermore, the terms "first", "second", etc. are used for descriptive purposes only and are not to be construed as indicating or implying relative importance or implicitly indicating the number of technical features indicated. Thus, a feature defined as "first," "second," etc. may explicitly or implicitly include one or more of that feature. In the description of the invention, the meaning of "a plurality" is two or more unless otherwise specified.
In the description of the invention, it is to be noted that, unless otherwise explicitly specified or limited, the terms "mounted", "connected" and "connected" are to be construed broadly, e.g. as being fixed or detachable or integrally connected; can be mechanically or electrically connected; they may be connected directly or indirectly through intervening media, or they may be interconnected between two elements. The specific meaning of the above terms in the creation of the present invention can be understood by those of ordinary skill in the art through specific situations.

Claims (10)

1. The utility model provides a small-size ultrasonic wave wind speed and direction detector, its characterized in that includes bottom plate (2) and upper shield (1) of setting on bottom plate (2), bottom plate (2) with upper shield (1) are connected and are formed and hold the chamber, it sets up detection circuitry (6) and connects to hold the intracavity four integrative ultrasonic transducer (4) of receiving and dispatching on detection circuitry (6), four through-holes of circumference equipartition are gone up in bottom plate (2), the receiving and dispatching terminal surface setting of ultrasonic transducer (4) is in just establish to the coplanar in the through-hole, bottom plate (2) center is equipped with cavity sleeve pipe (207), cavity sleeve pipe (207) lower extreme is connected with base (3).
2. The small ultrasonic wind speed and direction detector according to claim 1, wherein a transducer slot (205) is vertically arranged on the upper side of the bottom plate (2) and at the periphery of the through hole, the upper portion of the transducer slot (205) is set to be a cylinder, a circular table surface is arranged between the cylinder and the through hole, the ultrasonic transducer (4) is arranged in the transducer slot (205), a circular chuck (5) is further arranged above the ultrasonic transducer (4), a rectangular slot (501) is arranged at a position of the circular chuck (5) corresponding to the ultrasonic transducer (4), the upper end of the ultrasonic transducer (4) is arranged in the rectangular slot (501), the detection circuit device (6) is arranged on the upper side of the circular chuck (5), a first wiring hole is arranged at the center of the circular chuck (5), and a plurality of second wiring holes are formed in the positions of the rectangular clamping grooves (501).
3. The small ultrasonic wind speed and direction detector according to claim 1, wherein a plurality of spaced support columns (201) are uniformly distributed on the outer edge of the bottom plate (2), a blind hole (302) corresponding to the support columns (201) is arranged on the base (3), and the spaced support columns (201) are embedded in the blind hole (302); the center of base (3) is run through and is provided with internal thread sleeve (301), cavity sleeve pipe (207) cup joints the outside of internal thread sleeve (301), sets up hexagonal screw (208) and passes cavity sleeve pipe (207) and screw in internal thread sleeve (301), connect bottom plate (2) with base (3), hexagonal screw (208) are established to cavity screw and center and are established to circular through-hole.
4. The miniature ultrasonic wind speed and direction detector according to claim 3, wherein a plurality of limiting teeth are arranged at the bottom end of the hollow sleeve (207), and a plurality of limiting grooves (304) matched with the limiting teeth are arranged on the base (3).
5. The miniature ultrasonic anemometer according to claim 1, the base (3) is formed by vertically laminating a plurality of cover structures, the top of each cover structure is a horizontal plate (305), a conical ring (306) is arranged downwards along the edge of the horizontal plate (305), the lower end of the conical ring (306) is covered on the adjacent horizontal plate (305) below and the outer side edge is upwarped, a plurality of counter bores are uniformly arranged on the horizontal plate (305) in the circumferential direction, hollow isolation columns (308) are arranged on the lower side of the horizontal plate (305) and positioned at the outer edges of the counter bores, the hollow isolation column (308) is embedded in the counter bore (309) on the adjacent horizontal plate, and a long bolt (307) sequentially penetrates through a counter bore on the horizontal plate (305) and the hollow isolation column (308) from top to bottom, and is matched with a nut to fix the cover structure.
6. The small ultrasonic wind speed and direction detector according to claim 5, wherein a fixed base (7) is arranged at the lower end of the base (3), a plurality of base supporting columns (701) are arranged at the lower end of the fixed base (7), the base supporting columns (701) are hollow, the positions and the number of the base supporting columns (701) correspond to those of the hollow isolation columns (308), the long bolts (307) sequentially penetrate through the hollow isolation columns (308) and the base supporting columns (701) of each cover structure, and nuts are matched to fix the base (3) and the fixed base (7).
7. A miniature ultrasonic anemometry instrument according to claim 6, characterized in that on said fixed base (7) there are provided several waterproof connectors (8).
8. The miniature ultrasonic wind speed and direction detector according to claim 1, wherein the detection circuit device (6) comprises a single chip microcomputer, an ultrasonic transducer interface circuit, a four-way analog switch circuit, an echo signal processing circuit and a signal output circuit, the ultrasonic transducer is connected with the input ends of the single chip microcomputer and the four-way analog switch circuit through the ultrasonic transducer interface circuit, the signal control end of the four-way analog switch circuit is connected with the single chip microcomputer, the output end of the four-way analog switch circuit is connected with the input end of the echo signal processing circuit, the output end of the echo signal processing circuit is connected with an external interrupt pin of the single chip microcomputer, and the signal output circuit is connected with the single chip microcomputer.
9. The miniature ultrasonic wind speed and direction detector according to claim 8, wherein said single chip microcomputer excites said ultrasonic transducers to send 40Khz pulse signals, and controls said four-way analog switch circuit to selectively turn on an adjacent one of said ultrasonic transducers and transmit received echo signals to said echo signal processing circuit; the single chip microcomputer receives the processed signals and records the flight time from the transmission of the ultrasonic signals to the reception; and the signal output circuit converts the wind speed and wind direction data acquired by the singlechip into analog signals and/or digital signals for output.
10. A method of anemometry and direction using the ultrasonic anemometry of claim 9, comprising the steps of:
step 1: the four ultrasonic transducers are sequentially arranged in the southeast, the northwest and the east directions and are respectively an ultrasonic transducer E, an ultrasonic transducer S, an ultrasonic transducer W and an ultrasonic transducer N;
step 2: the single chip microcomputer excites the ultrasonic transducer E to send a 40Khz pulse signal and starts a timer and external interruption, the four-way analog switch circuit is controlled to receive an echo signal received by the ultrasonic transducer N, the echo signal is processed by the echo signal processing circuit to trigger the external interruption of the single chip microcomputer, a timer register of the single chip microcomputer is read, and the current ultrasonic flight time t is calculatedEN
tENRepresents the time of flight of the ultrasonic wave from the ultrasonic transducer E to the ultrasonic transducer N, whereas tNERepresenting the time of flight of the ultrasonic wave from the ultrasonic transducer N to the ultrasonic transducer E;
and step 3: the single chip microcomputer controls the four ultrasonic transducers to send 40Khz pulse signals at the interval of 10ms in the sequence of south, east, west and northEach ultrasonic transducer transmits twice in succession, and t is calculated continuously according to the method of step 2SE、tSW、tWS、tWN、tNW、tNE
And 4, step 4: setting the distance between two adjacent ultrasonic transducers to be L, the ultrasonic transmission speed to be C and the wind speed in the southeast direction to be VESCalculating the wind speed V in the southeast directionES=L/2(1/tES-1/tSE);
And 5: according to the method of step 4, calculating in sequence: wind velocity V in the northeast directionEN=L/2(1/tEN-1/tNE) Wind speed V in the southwest directionWS=L/2(1/tWS-1/tSW) Northwest wind velocity VWN=L/2(1/tWN-1/tNW);
Step 6: calculating according to vector composition:
east-west wind velocity VEW=(VES*COS45°+VEN*COS45°)-(VWS*COS45+VWN*COS45);
Wind speed V in north-south directionSN=(VEN*COS45°+VWN*COS45°)-(VES*COS45°+VWS*COS45°);
Calculating the wind speed component of the total wind speed Vw as
Figure FDA0002560703850000031
The calculation of the horizontal plane angle is divided into four quadrants, the wind direction of the total wind speed Vw is D,
when the temperature is within the range of 0-90 DEG,
Figure FDA0002560703850000032
when the angle is in the quadrant of 91-180 degrees,
Figure FDA0002560703850000033
when the temperature is within the range of 181-270 DEG,
Figure FDA0002560703850000034
when the temperature is within the range of 181-270 DEG,
Figure FDA0002560703850000035
and 7, converting the collected wind speed and wind direction data into analog signals and digital signals through the signal output circuit for output.
CN202010629644.2A2020-06-292020-06-29Small-sized ultrasonic wind speed and direction detector and wind speed and direction detection methodPendingCN111721967A (en)

Priority Applications (1)

Application NumberPriority DateFiling DateTitle
CN202010629644.2ACN111721967A (en)2020-06-292020-06-29Small-sized ultrasonic wind speed and direction detector and wind speed and direction detection method

Applications Claiming Priority (1)

Application NumberPriority DateFiling DateTitle
CN202010629644.2ACN111721967A (en)2020-06-292020-06-29Small-sized ultrasonic wind speed and direction detector and wind speed and direction detection method

Publications (1)

Publication NumberPublication Date
CN111721967Atrue CN111721967A (en)2020-09-29

Family

ID=72571401

Family Applications (1)

Application NumberTitlePriority DateFiling Date
CN202010629644.2APendingCN111721967A (en)2020-06-292020-06-29Small-sized ultrasonic wind speed and direction detector and wind speed and direction detection method

Country Status (1)

CountryLink
CN (1)CN111721967A (en)

Cited By (6)

* Cited by examiner, † Cited by third party
Publication numberPriority datePublication dateAssigneeTitle
CN113031113A (en)*2021-03-052021-06-25山东仁科测控技术有限公司Control method of ultrasonic anemorumbometer
CN113109589A (en)*2021-04-072021-07-13山东仁科测控技术有限公司Shell structure of ultrasonic anemometer
CN113252936A (en)*2021-05-242021-08-13国家海洋技术中心Miniaturized ultrasonic transducer anemometry array structure device
CN113484532A (en)*2021-07-292021-10-08深圳矽递科技股份有限公司Wind speed and direction measuring device based on CFD pneumatic layout
CN114113676A (en)*2021-11-192022-03-01深圳市欧赛特电子有限公司Wind speed measurement system and method
CN116106576A (en)*2023-04-132023-05-12海底鹰深海科技股份有限公司Doppler underwater measuring device and manufacturing method thereof

Citations (14)

* Cited by examiner, † Cited by third party
Publication numberPriority datePublication dateAssigneeTitle
FR2628216A1 (en)*1988-03-031989-09-08Simecsol ULTRASONIC ANEMOMETER
FR2930346A1 (en)*2008-04-162009-10-23Lck Capteurs SarlUltrasound anemometer i.e. wind sensor, for measuring e.g. speed of wind, has upper body whose lower surface is spaced from upper surface of lower body by column, where each transducer of upper body communicates with adjacent transducers
CN103995146A (en)*2014-04-302014-08-20北京爱信德科技有限公司Ultrasonic wind measuring device and ultrasonic wind measuring method
CN105116166A (en)*2015-09-232015-12-02李铎Ultrasonic anemograph
CN105277737A (en)*2015-11-302016-01-27湖南赛能环保科技有限公司Ultrasonic wind meter
CN105911308A (en)*2016-06-132016-08-31中科同德(厦门)物联网科技有限公司Wind speed and wind direction measurement method
CN106483327A (en)*2016-11-302017-03-08国家海洋技术中心A kind of ultrasound wind system and method
CN106645792A (en)*2016-10-182017-05-10南京信息工程大学Supersonic wave wind-speed and wind-direction measuring apparatus and measuring method
CN108562761A (en)*2018-03-022018-09-21北京天创金农科技有限公司A kind of array wind speed wind direction sensor and preparation method thereof
CN109633200A (en)*2019-02-272019-04-16吉林大学Wind measuring device and method based on multiple-input multiple-output ultrasonic sensor
CN110018327A (en)*2019-04-112019-07-16易泽雄A kind of ultrasonic wind meter and survey wind speed method
CN110346600A (en)*2019-08-212019-10-18南京信息工程大学A kind of ultrasonic wind speed and direction measurement method
CN210242831U (en)*2019-08-282020-04-03山东仁科测控技术有限公司Louver box for atmospheric environment monitoring
CN210514359U (en)*2019-08-152020-05-12武汉新普惠科技有限公司Sensing detection circuit based on ultrasonic measurement wind speed and wind direction

Patent Citations (14)

* Cited by examiner, † Cited by third party
Publication numberPriority datePublication dateAssigneeTitle
FR2628216A1 (en)*1988-03-031989-09-08Simecsol ULTRASONIC ANEMOMETER
FR2930346A1 (en)*2008-04-162009-10-23Lck Capteurs SarlUltrasound anemometer i.e. wind sensor, for measuring e.g. speed of wind, has upper body whose lower surface is spaced from upper surface of lower body by column, where each transducer of upper body communicates with adjacent transducers
CN103995146A (en)*2014-04-302014-08-20北京爱信德科技有限公司Ultrasonic wind measuring device and ultrasonic wind measuring method
CN105116166A (en)*2015-09-232015-12-02李铎Ultrasonic anemograph
CN105277737A (en)*2015-11-302016-01-27湖南赛能环保科技有限公司Ultrasonic wind meter
CN105911308A (en)*2016-06-132016-08-31中科同德(厦门)物联网科技有限公司Wind speed and wind direction measurement method
CN106645792A (en)*2016-10-182017-05-10南京信息工程大学Supersonic wave wind-speed and wind-direction measuring apparatus and measuring method
CN106483327A (en)*2016-11-302017-03-08国家海洋技术中心A kind of ultrasound wind system and method
CN108562761A (en)*2018-03-022018-09-21北京天创金农科技有限公司A kind of array wind speed wind direction sensor and preparation method thereof
CN109633200A (en)*2019-02-272019-04-16吉林大学Wind measuring device and method based on multiple-input multiple-output ultrasonic sensor
CN110018327A (en)*2019-04-112019-07-16易泽雄A kind of ultrasonic wind meter and survey wind speed method
CN210514359U (en)*2019-08-152020-05-12武汉新普惠科技有限公司Sensing detection circuit based on ultrasonic measurement wind speed and wind direction
CN110346600A (en)*2019-08-212019-10-18南京信息工程大学A kind of ultrasonic wind speed and direction measurement method
CN210242831U (en)*2019-08-282020-04-03山东仁科测控技术有限公司Louver box for atmospheric environment monitoring

Cited By (8)

* Cited by examiner, † Cited by third party
Publication numberPriority datePublication dateAssigneeTitle
CN113031113A (en)*2021-03-052021-06-25山东仁科测控技术有限公司Control method of ultrasonic anemorumbometer
CN113109589A (en)*2021-04-072021-07-13山东仁科测控技术有限公司Shell structure of ultrasonic anemometer
CN113252936A (en)*2021-05-242021-08-13国家海洋技术中心Miniaturized ultrasonic transducer anemometry array structure device
CN113252936B (en)*2021-05-242024-02-02国家海洋技术中心Miniaturized ultrasonic transducer wind measurement array structure device
CN113484532A (en)*2021-07-292021-10-08深圳矽递科技股份有限公司Wind speed and direction measuring device based on CFD pneumatic layout
CN114113676A (en)*2021-11-192022-03-01深圳市欧赛特电子有限公司Wind speed measurement system and method
WO2023088084A1 (en)*2021-11-192023-05-25深圳市欧赛特电子有限公司Wind speed measurement system and method
CN116106576A (en)*2023-04-132023-05-12海底鹰深海科技股份有限公司Doppler underwater measuring device and manufacturing method thereof

Similar Documents

PublicationPublication DateTitle
CN111721967A (en)Small-sized ultrasonic wind speed and direction detector and wind speed and direction detection method
CN212514633U (en)Small-size ultrasonic wave wind speed and direction detector
CN106483327B (en)Ultrasonic wind measuring system and method
CN102175887B (en) Mobile ultrasonic anemometer and method for measuring wind speed and direction
CN104897924B (en)A kind of two-dimentional reflecting type ultrasonic anemoclinograph and measuring method
CN202916455U (en)A micro automatic meteorological station device
CN201984080U (en)Movable type ultrasonic wave anemorumbograph
CN109343150A (en) Integrated meteorological six-element sensor system
CN215064875U (en)Outdoor noise detection device integrating transmission calibration
CN117470317A (en) A debris flow multi-parameter integrated dynamic monitoring system and method
CN211697653U (en)Urea liquid level quality sensor
CN111562046A (en)Stud bolt for iron tower frame, assembly for measuring axial force of stud bolt and measuring method
CN220230776U (en)Rolling force measurement pressure head assembly
CN208206093U (en)Azimuthal measurement apparatus, base station and the system of antenna for base station
CN113267250A (en)Intelligent multi-axis vibration detection system and detection method based on Internet of things
CN213057439U (en)Rapid measurement transducer static draught equipment
CN111239854A (en)Meteorological multi-parameter monitoring facilities based on godson 1D treater
CN215573123U (en)Temperature vibration composite sensor based on mems acceleration chip
CN215492049U (en)Intelligent three-axis wireless vibration sensor and vibration detection system
CN206515360U (en)A kind of ultrasound wind system
CN215639594U (en)High-precision three-axis temperature vibration composite sensor
CN205941598U (en)Three -dimensional wind direction air velocity transducer of ultrasonic wave
CN214121736U (en)Multifunctional rapid collection air chamber
CN212300582U (en)Linear motor system with displacement detection function
CN212621370U (en) Flexible pressure measuring sensors and pressure distribution measuring systems

Legal Events

DateCodeTitleDescription
PB01Publication
PB01Publication
SE01Entry into force of request for substantive examination
SE01Entry into force of request for substantive examination
RJ01Rejection of invention patent application after publication
RJ01Rejection of invention patent application after publication

Application publication date:20200929


[8]ページ先頭

©2009-2025 Movatter.jp