Movatterモバイル変換


[0]ホーム

URL:


CN111707337A - Method and terminal for accurately identifying material feeding amount - Google Patents

Method and terminal for accurately identifying material feeding amount
Download PDF

Info

Publication number
CN111707337A
CN111707337ACN202010587720.8ACN202010587720ACN111707337ACN 111707337 ACN111707337 ACN 111707337ACN 202010587720 ACN202010587720 ACN 202010587720ACN 111707337 ACN111707337 ACN 111707337A
Authority
CN
China
Prior art keywords
value
point
weight
steady
obtaining
Prior art date
Legal status (The legal status is an assumption and is not a legal conclusion. Google has not performed a legal analysis and makes no representation as to the accuracy of the status listed.)
Granted
Application number
CN202010587720.8A
Other languages
Chinese (zh)
Other versions
CN111707337B (en
Inventor
葛文波
徐百钟
林永峰
曹建
Current Assignee (The listed assignees may be inaccurate. Google has not performed a legal analysis and makes no representation or warranty as to the accuracy of the list.)
Fujian Zhongrun Electronic Technology Co ltd
Original Assignee
Fuzhou Zhongrun Electronics Technology Co ltd
Priority date (The priority date is an assumption and is not a legal conclusion. Google has not performed a legal analysis and makes no representation as to the accuracy of the date listed.)
Filing date
Publication date
Application filed by Fuzhou Zhongrun Electronics Technology Co ltdfiledCriticalFuzhou Zhongrun Electronics Technology Co ltd
Priority to CN202010587720.8ApriorityCriticalpatent/CN111707337B/en
Publication of CN111707337ApublicationCriticalpatent/CN111707337A/en
Application grantedgrantedCritical
Publication of CN111707337BpublicationCriticalpatent/CN111707337B/en
Activelegal-statusCriticalCurrent
Anticipated expirationlegal-statusCritical

Links

Images

Classifications

Landscapes

Abstract

The invention provides a method and a terminal for accurately identifying the material feeding amount, which are characterized in that the starting time point of material distribution and the ending time point of material distribution are obtained; determining a steady-state point reference value and a trough value when the material is weighed from the starting time point of the tray separation to the ending time point of the tray separation; obtaining a plurality of disc dividing quantities according to the steady-state point reference value and the trough value; and calculating the disc dividing amount with the minimum deviation value with the weight from the plurality of disc dividing amounts according to the weight required by the material in the preset production matching proportion to obtain the real disc dividing amount of the material. The method and the terminal for accurately identifying the material feeding amount enable the value of the material distribution amount to be more accurate.

Description

Method and terminal for accurately identifying material feeding amount
The application is a divisional application of a parent application named as 'a method and a terminal for identifying the material feeding amount', wherein the application number is 201910038590.X, the application date is 2019, 1, 16.
Technical Field
The invention relates to the field of data engineering application, in particular to a method and a terminal for accurately identifying the material feeding amount.
Background
The value of the asphalt material feeding amount of the conventional concrete is the material value offset time set according to the switching time of a stirrer, the electronic scale weighing value in a certain time range (the time range is the stirrer switching-on time + the offset to the stirrer switching-off time + the offset time), the peak weighing value and the trough weighing value find the corresponding actual feeding amount (the actual feeding amount is the peak weighing value-the trough weighing value). The value taking method mainly has the following problems: firstly, weighing values of the electronic scale are extracted according to the switching time and the offset time of the stirrer, value deviation exists, and wave crests and wave troughs cannot be generated at the switching time point and offset for a fixed time forwards or backwards; secondly, electronic signals of the electronic scale sensor are easily interfered by external environment, such as atmospheric pressure and falling momentum, and instantaneous virtual height or over-low exists when the electronic signals are converted into weighing values; thirdly, different parameters are required to be set for each production line, and the problems of difficult maintenance and difficult upgrading and the like exist; and fourthly, a plurality of peak steady-state points exist, and how to choose the points is not known.
Disclosure of Invention
The technical problem to be solved by the invention is as follows: the invention provides a method and a terminal for accurately identifying the material feeding amount, so that the value of the material distribution amount is more accurate.
In order to solve the technical problem, the invention provides a method for accurately identifying the material feeding amount, which comprises the following steps:
s1: acquiring a starting time point of material distribution and acquiring an ending time point of the material distribution;
s2: determining a steady-state point reference value and a trough value when the material is weighed from the starting time point of the tray separation to the ending time point of the tray separation;
s3: obtaining a plurality of disc dividing quantities according to the steady-state point reference value and the trough value;
s4: and calculating the disc dividing amount with the minimum deviation value with the weight from the plurality of disc dividing amounts according to the weight required by the material in the preset production matching proportion to obtain the real disc dividing amount of the material.
The invention also provides a terminal for accurately identifying the material feeding amount, which comprises a memory, a processor and a computer program which is stored on the memory and can be operated on the processor, wherein the processor realizes the following steps when executing the computer program:
s1: acquiring a starting time point of material distribution and acquiring an ending time point of the material distribution;
s2: determining a steady-state point reference value and a trough value when the material is weighed from the starting time point of the tray separation to the ending time point of the tray separation;
s3: obtaining a plurality of disc dividing quantities according to the steady-state point reference value and the trough value;
s4: and calculating the disc dividing amount with the minimum deviation value with the weight from the plurality of disc dividing amounts according to the weight required by the material in the preset production matching proportion to obtain the real disc dividing amount of the material.
The invention has the beneficial effects that:
the method and the terminal for accurately identifying the material feeding amount provided by the invention determine the steady-state point reference value and the wave valley value of the material during weighing from the starting time point of the distribution to the ending time point of the distribution, thereby calculating to obtain a plurality of distribution amounts; and calculating the plate dividing amount with the minimum deviation value of the weight of the material in the production matching proportion from the plurality of plate dividing amounts to obtain the real plate dividing amount of the material. In practical use, the invention determines the material dividing starting point and the dividing ending point by collecting electronic signals of the stirrer and the material switch board, finds the steady-state point reference value and the wave trough value of material weighing in the dividing starting point and the dividing ending point, calculates the dividing amount according to the steady-state point reference value and the wave trough value, compares the dividing amount with the weight required by the material in the material production matching proportion, takes the value with the minimum deviation value as the true value of the dividing amount of the material, reduces the influence of the situations of instantaneous instability, signal interference and the like of the electronic weighing value of the weighing device, and ensures that the material feeding amount has high value precision and strong stability.
Drawings
FIG. 1 is a schematic diagram of the main steps of a method for accurately identifying the material feeding amount according to an embodiment of the present invention;
fig. 2 is a schematic structural diagram of a terminal for accurately identifying a material feeding amount according to an embodiment of the present invention;
fig. 3 is a schematic diagram of obtaining a steady-state point reference value and a trough value according to a method for accurately identifying a material feeding amount according to an embodiment of the invention;
description of reference numerals:
1. a memory; 2. a processor.
Detailed Description
In order to explain technical contents, achieved objects, and effects of the present invention in detail, the following description is made with reference to the accompanying drawings in combination with the embodiments.
The most key concept of the invention is as follows: determining a steady-state point reference value and a wave valley value of the material during weighing from the starting time point of the disc separation to the ending time point of the disc separation, thereby calculating to obtain a plurality of disc separation quantities; and calculating the plate dividing amount with the minimum deviation value of the weight of the material in the production matching proportion from the plurality of plate dividing amounts to obtain the real plate dividing amount of the material.
Referring to fig. 1, the present invention provides a method for accurately identifying a material feeding amount, comprising the following steps:
s1: acquiring a starting time point of material distribution and acquiring an ending time point of the material distribution;
s2: determining a steady-state point reference value and a trough value when the material is weighed from the starting time point of the tray separation to the ending time point of the tray separation;
s3: obtaining a plurality of disc dividing quantities according to the steady-state point reference value and the trough value;
s4: and calculating the disc dividing amount with the minimum deviation value with the weight from the plurality of disc dividing amounts according to the weight required by the material in the preset production matching proportion to obtain the real disc dividing amount of the material.
From the above description, the method for accurately identifying the material feeding amount provided by the invention determines the steady-state point reference value and the wave valley value during the material weighing from the starting time point of the tray separation to the ending time point of the tray separation, so as to calculate and obtain a plurality of tray separation amounts; and calculating the plate dividing amount with the minimum deviation value of the weight of the material in the production matching proportion from the plurality of plate dividing amounts to obtain the real plate dividing amount of the material. In practical use, the invention determines the material dividing starting point and the dividing ending point by collecting electronic signals of the stirrer and the material switch board, finds the steady-state point reference value and the wave trough value of material weighing in the dividing starting point and the dividing ending point, calculates the dividing amount according to the steady-state point reference value and the wave trough value, compares the dividing amount with the weight required by the material in the material production matching proportion, takes the value with the minimum deviation value as the true value of the dividing amount of the material, reduces the influence of the situations of instantaneous instability, signal interference and the like of the electronic weighing value of the weighing device, and ensures that the material feeding amount has high value precision and strong stability.
Further, the S1 is preceded by: and establishing a connection relation with a preset weighing device.
It can be known from the above description that the weight when can divide the dish to the material through this weighing apparatus is gathered, and establishes the relation of connection before gathering to ensure can in time obtain the weight value that the weighing apparatus gathered.
Further, between S1 and S2, there are:
obtaining a weighing time period according to the time from the starting time point to the ending time point;
and acquiring all weight acquisition points acquired by a preset weighing device in the weighing time period.
The weight acquisition point comprises an acquisition time point and a weight value corresponding to the time point.
As can be seen from the above description, by the above method, all weight collection points collected by the weighing machines in the time range from the beginning point of the distribution to the end point of the distribution can be quickly obtained.
Further, the S2 specifically includes:
calculating to obtain a characteristic value of each weight collecting point through a preset formula;
acquiring a minimum value and a maximum value in the characteristic values;
calculating all weight acquisition points through a clustering algorithm according to the minimum value and the maximum value, dividing the weight acquisition points into two types of weight acquisition points, and obtaining a first type of weight acquisition point corresponding to the minimum value and a second type of weight acquisition point corresponding to the maximum value;
obtaining a steady-state point reference value according to the first type weight acquisition point;
obtaining a first oscillogram according to all weight collecting points;
and obtaining the valley value according to the first oscillogram.
From the above description, it can be known that, by the above method, the steady-state point reference value and the trough value of the material sub-trays in the weighing process can be obtained quickly and accurately, the steady-state value can be obtained by calculating the characteristic value corresponding to the weight collecting point, screening the weight collecting point in reverse according to the characteristic value, and calculating by the clustering algorithm, so that the accuracy of the steady-state value calculation is greatly improved.
Further, the preset formula is as follows:
Figure BDA0002554401650000041
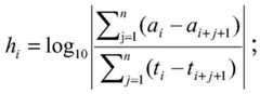
wherein, the hiRepresenting a characteristic value corresponding to an ith weight acquisition point, wherein i is 1, 2, 3, 4, …, N; a is aiRepresenting a weight value at the ith weight acquisition point, said ai+j+1Represents the weight value of the (i + j + 1) th weight acquisition point, tiRepresenting the point in time of acquisition corresponding to the ith weight acquisition point, said ti+j+1Representing the collection time points corresponding to the (i + j + 1) th weight collection point, wherein N is the total number of all weight collection points; and n is the number of preset continuous sampling points.
As can be seen from the above description, in obtaining ai+j+1In the process, since i + j +1 may exceed the range of the weight collection points, the weight collection points beyond the range of the number of the weight collection points need to be removed before calculation; by the way of the above-mentioned calculation,the characteristic value of each weight acquisition point can be quickly calculated to prepare for subsequent calculation of the steady-state value, and the accuracy of the calculation of the steady-state value can be improved by the characteristic value calculated in the mode.
Referring to fig. 2, the present invention further provides a terminal for accurately identifying a material feeding amount, including a memory 1, a processor 2 and a computer program stored in the memory 1 and operable on the processor 2, wherein the processor 2 implements the following steps when executing the computer program:
s1: acquiring a starting time point of material distribution and acquiring an ending time point of the material distribution;
s2: determining a steady-state point reference value and a trough value when the material is weighed from the starting time point of the tray separation to the ending time point of the tray separation;
s3: obtaining a plurality of disc dividing quantities according to the steady-state point reference value and the trough value;
s4: and calculating the disc dividing amount with the minimum deviation value with the weight from the plurality of disc dividing amounts according to the weight required by the material in the preset production matching proportion to obtain the real disc dividing amount of the material.
From the above description, the terminal for accurately identifying the material feeding amount provided by the invention determines the steady-state point reference value and the wave valley value during material weighing from the starting time point of the tray separation to the ending time point of the tray separation, so as to calculate and obtain a plurality of tray separation amounts; and calculating the plate dividing amount with the minimum deviation value of the weight of the material in the production matching proportion from the plurality of plate dividing amounts to obtain the real plate dividing amount of the material. In practical use, the invention determines the material dividing starting point and the dividing ending point by collecting electronic signals of the stirrer and the material switch board, finds the steady-state point reference value and the wave trough value of material weighing in the dividing starting point and the dividing ending point, calculates the dividing amount according to the steady-state point reference value and the wave trough value, compares the dividing amount with the weight required by the material in the material production matching proportion, takes the value with the minimum deviation value as the true value of the dividing amount of the material, reduces the influence of the situations of instantaneous instability, signal interference and the like of the electronic weighing value of the weighing device, and ensures that the material feeding amount has high value precision and strong stability.
Further, the S1 is preceded by: and establishing a connection relation with a preset weighing device.
It can be known from the above description that the weight when can divide the dish to the material through this weighing apparatus is gathered, and establishes the relation of connection before gathering to ensure can in time obtain the weight value that the weighing apparatus gathered.
Further, between S1 and S2, there are:
obtaining a weighing time period according to the time from the starting time point to the ending time point;
and acquiring all weight acquisition points acquired by a preset weighing device in the weighing time period.
The weight acquisition point comprises an acquisition time point and a weight value corresponding to the time point.
From the above description, it can be known that, through the above terminal, all the weight collection points collected by the weighing machines in the time range from the starting time point of the distribution to the ending time point of the distribution can be obtained quickly.
Further, the S2 specifically includes:
calculating to obtain a characteristic value of each weight collecting point through a preset formula;
acquiring a minimum value and a maximum value in the characteristic values;
calculating all weight acquisition points through a clustering algorithm according to the minimum value and the maximum value, dividing the weight acquisition points into two types of weight acquisition points, and obtaining a first type of weight acquisition point corresponding to the minimum value and a second type of weight acquisition point corresponding to the maximum value;
obtaining a steady-state point reference value according to the first type weight acquisition point;
obtaining a first oscillogram according to all weight collecting points;
and obtaining the valley value according to the first oscillogram.
According to the description, the stable-state point reference value and the trough value of the material sub-trays in the weighing process can be quickly and accurately obtained through the terminal, the characteristic values corresponding to the weight acquisition points are calculated, the weight acquisition points are screened in reverse according to the characteristic values, the stable-state values are calculated through a clustering algorithm, and the accuracy of calculating the stable-state values is greatly improved.
Further, the preset formula is as follows:
Figure BDA0002554401650000061
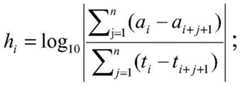
wherein, the hiRepresenting a characteristic value corresponding to an ith weight acquisition point, wherein i is 1, 2, 3, 4, …, N; a is aiRepresenting a weight value at the ith weight acquisition point, said ai+j+1Represents the weight value of the (i + j + 1) th weight acquisition point, tiRepresenting the point in time of acquisition corresponding to the ith weight acquisition point, said ti+j+1Representing the collection time points corresponding to the (i + j + 1) th weight collection point, wherein N is the total number of all weight collection points; and n is the number of preset continuous sampling points.
As can be seen from the above description, in obtaining ai+j+1In the process, since i + j +1 may exceed the range of the weight collection points, the weight collection points outside the range of the number of the weight collection points need to be removed before calculation; through the calculation mode, the characteristic value of each weight acquisition point can be quickly calculated and prepared for subsequent calculation of the steady-state value, and the accuracy of calculation of the steady-state value can be improved through the characteristic value calculated through the mode.
Referring to fig. 1 and fig. 3, a first embodiment of the present invention is:
the invention provides a method for accurately identifying the material feeding amount, which comprises the following steps:
s0: establishing a connection relation with a preset weighing device;
s1: acquiring a starting time point of material distribution and acquiring an ending time point of the material distribution;
s105: obtaining a weighing time period according to the time from the starting time point to the ending time point; acquiring all weight acquisition points acquired by a preset weighing device in the weighing time period;
s2: determining a reference value, a maximum value and two wave valley values of a steady-state point during material weighing from a starting time point of the tray separation to an ending time point of the tray separation;
wherein, the S2 specifically is:
calculating to obtain a characteristic value of each weight collecting point through a preset formula;
acquiring a minimum value and a maximum value in the characteristic values;
calculating all weight acquisition points through a clustering algorithm according to the minimum value and the maximum value, dividing the weight acquisition points into two types of weight acquisition points, and obtaining a first type of weight acquisition point corresponding to the minimum value and a second type of weight acquisition point corresponding to the maximum value;
obtaining a steady-state point reference value according to the first type weight acquisition point;
obtaining a first oscillogram according to all weight collecting points;
and obtaining the valley value according to the first oscillogram.
Wherein, the preset formula is as follows:
Figure BDA0002554401650000071
wherein, the hiRepresenting a characteristic value corresponding to an ith weight acquisition point, wherein i is 1, 2, 3, 4, …, N; a is aiRepresenting a weight value at the ith weight acquisition point, said ai+j+1Represents the weight value of the (i + j + 1) th weight acquisition point, tiRepresenting the point in time of acquisition corresponding to the ith weight acquisition point, said ti+j+1Representing the collection time points corresponding to the (i + j + 1) th weight collection point, wherein N is the total number of all weight collection points; n is the number of preset continuous sampling points; when N is less than 20, the value of N is 1; when the N is less than 50 and more than or equal to 20, the value of the N is 2; and when the N is more than or equal to 50, the value of N is 3. Care needs to be taken in calculating it because there is a certain probability that i + j +1 is greater than N. To solve this problem, the out-of-range feature values need to be removed, i.e., not calculated.
The maximum value and the two wave valley values are obtained by the following method: acquiring a maximum weight value, namely a maximum value, of a collection point from the start time to the end time of the distribution;
searching the minimum weight values of all the collection points from the starting time of the materials to the starting time of the stirrer to be valley values, continuously searching for the minimum weight values twice, and finally obtaining two valley values, namely a left valley and a right valley of each disk (as shown in figure 3);
s3: obtaining a plurality of grading quantities according to the steady-state point reference value, the maximum value and the two wave valley values;
wherein, the S3 specifically is:
and subtracting a wave valley value from the steady-state point reference value to obtain a plurality of disc separation quantities.
Each reference value has two divisional disk amounts, that is, a steady-state point divisional disk amount 1 is a steady-state point reference value — a first valley value (left valley), and a steady-state point divisional disk amount 2 is a steady-state point reference value — a second valley value (right valley).
Preferably, the S3 may also be:
acquiring the maximum value of the weight in the weighing time period;
and respectively subtracting a wave valley value from the steady-state point reference value and the maximum value to obtain a plurality of disc separation quantities.
S4: and calculating the disc dividing amount with the minimum deviation value with the weight from the plurality of disc dividing amounts according to the weight required by the material in the preset production matching proportion to obtain the real disc dividing amount of the material.
Referring to fig. 2 and fig. 3, a second embodiment of the present invention is:
the invention provides a terminal for accurately identifying the material feeding amount, which comprises a memory 1, a processor 2 and a computer program which is stored on the memory 1 and can be operated on the processor 2, wherein the processor 2 realizes the following steps when executing the computer program:
s0: establishing a connection relation with a preset weighing device;
s1: acquiring a starting time point of material distribution and acquiring an ending time point of the material distribution;
s105: obtaining a weighing time period according to the time from the starting time point to the ending time point; acquiring all weight acquisition points acquired by a preset weighing device in the weighing time period;
s2: determining a reference value, a maximum value and two wave valley values of a steady-state point during material weighing from a starting time point of the tray separation to an ending time point of the tray separation;
wherein, the S2 specifically is:
calculating to obtain a characteristic value of each weight collecting point through a preset formula;
acquiring a minimum value and a maximum value in the characteristic values;
calculating all weight acquisition points through a clustering algorithm according to the minimum value and the maximum value, dividing the weight acquisition points into two types of weight acquisition points, and obtaining a first type of weight acquisition point corresponding to the minimum value and a second type of weight acquisition point corresponding to the maximum value;
obtaining a steady-state point reference value according to the first type weight acquisition point;
obtaining a first oscillogram according to all weight collecting points;
and obtaining the valley value according to the first oscillogram.
Wherein, the preset formula is as follows:
Figure BDA0002554401650000091
wherein, the hiRepresenting a characteristic value corresponding to an ith weight acquisition point, wherein i is 1, 2, 3, 4, …, N; a is aiRepresenting a weight value at the ith weight acquisition point, said ai+j+1Represents the weight value of the (i + j + 1) th weight acquisition point, tiRepresenting the point in time of acquisition corresponding to the ith weight acquisition point, said ti+j+1Representing the collection time points corresponding to the (i + j + 1) th weight collection point, wherein N is the total number of all weight collection points; n is the number of preset continuous sampling points; when N is less than 20, the value of N is 1; when the N is less than 50 and more than or equal to 20, the value of the N is 2; and when the N is more than or equal to 50, the value of N is 3. Care needs to be taken in calculating it because there is a certain probability that i + j +1 is greater than N. To solve this problem, out-of-range features need to be removedValue, i.e. a characteristic value that is not calculated to be out of range.
The maximum value and the two wave valley values are obtained by the following method: acquiring a maximum weight value, namely a maximum value, of a collection point from the start time to the end time of the distribution;
searching the minimum weight values of all the collection points from the starting time of the materials to the starting time of the stirrer to be valley values, continuously searching for the minimum weight values twice, and finally obtaining two valley values, namely a left valley and a right valley of each disk;
s3: obtaining a plurality of grading quantities according to the steady-state point reference value, the maximum value and the two wave valley values;
wherein, the S3 specifically is:
and subtracting a wave valley value from the steady-state point reference value to obtain a plurality of disc separation quantities.
Each reference value has two divisional disk amounts, that is, a steady-state point divisional disk amount 1 is a steady-state point reference value — a first valley value (left valley), and a steady-state point divisional disk amount 2 is a steady-state point reference value — a second valley value (right valley).
Preferably, the S3 may also be:
acquiring the maximum value of the weight in the weighing time period;
and respectively subtracting a wave valley value from the steady-state point reference value and the maximum value to obtain a plurality of disc separation quantities.
S4: and calculating the disc dividing amount with the minimum deviation value with the weight from the plurality of disc dividing amounts according to the weight required by the material in the preset production matching proportion to obtain the real disc dividing amount of the material.
In summary, the method and the terminal for accurately identifying the material feeding amount provided by the invention determine the steady-state point reference value and the wave trough value during material weighing from the starting time point of the tray separation to the ending time point of the tray separation, so as to calculate and obtain a plurality of tray separation amounts; and calculating the plate dividing amount with the minimum deviation value of the weight of the material in the production matching proportion from the plurality of plate dividing amounts to obtain the real plate dividing amount of the material. In practical use, the invention determines the material dividing starting point and the dividing ending point by collecting electronic signals of the stirrer and the material switch board, finds the steady-state point reference value and the wave trough value of material weighing in the dividing starting point and the dividing ending point, calculates the dividing amount according to the steady-state point reference value and the wave trough value, compares the dividing amount with the weight required by the material in the material production matching proportion, takes the value with the minimum deviation value as the true value of the dividing amount of the material, reduces the influence of the situations of instantaneous instability, signal interference and the like of the electronic weighing value of the weighing device, and ensures that the material feeding amount has high value precision and strong stability.
The above description is only an embodiment of the present invention, and not intended to limit the scope of the present invention, and all equivalent changes made by using the contents of the present specification and the drawings, or applied directly or indirectly to other related technical fields, are included in the scope of the present invention.

Claims (10)

1. A method for accurately identifying the material feeding amount is characterized by comprising the following steps:
s1: acquiring a starting time point of material distribution and acquiring an ending time point of the material distribution;
s2: determining a reference value, a maximum value and two wave valley values of a steady-state point during material weighing from a starting time point of the tray separation to an ending time point of the tray separation;
acquiring a maximum weight value of a collection point from the starting time to the ending time of the tray separation as a maximum value;
searching the minimum weight values of all collection points from the starting time of the materials to the starting time of the stirrer as valley values, continuously searching for twice, and finally obtaining two valley values as a left valley and a right valley of each plate;
s3: obtaining a plurality of disc dividing quantities according to the steady-state point reference value, the maximum value and the trough value;
s4: calculating the disc dividing amount with the minimum deviation value with the weight from the disc dividing amounts according to the weight required by the material in the preset production matching proportion, and obtaining the real disc dividing amount of the material;
the S3 includes:
each steady-state point reference value has a first steady-state point distribution amount and a second steady-state point distribution amount, the first steady-state point distribution amount is equal to the steady-state point reference value-left trough, and the second steady-state point distribution amount is equal to the steady-state point reference value-right trough;
and subtracting the wave valley value from the maximum value to obtain the corresponding disc separating amount.
2. The method for accurately identifying the material dosage according to claim 1, wherein the step S1 is preceded by the steps of: and establishing a connection relation with a preset weighing device.
3. The method for accurately identifying the material dosage according to claim 1, wherein the steps between S1 and S2 further comprise:
obtaining a weighing time period according to the time from the starting time point to the ending time point;
and acquiring all weight acquisition points acquired by a preset weighing device in the weighing time period.
4. The method for accurately identifying the material dosage according to claim 3, wherein the step S2 is specifically as follows:
calculating to obtain a characteristic value of each weight collecting point through a preset formula;
acquiring a minimum value and a maximum value in the characteristic values;
calculating all weight acquisition points through a clustering algorithm according to the minimum value and the maximum value, dividing the weight acquisition points into two types of weight acquisition points, and obtaining a first type of weight acquisition point corresponding to the minimum value and a second type of weight acquisition point corresponding to the maximum value;
obtaining a steady-state point reference value according to the first type weight acquisition point;
obtaining a first oscillogram according to all weight collecting points;
and obtaining the valley value according to the first oscillogram.
5. The method for accurately identifying the material feeding amount according to claim 4, wherein the preset formula is as follows:
Figure FDA0002554401640000021
wherein, the hiRepresenting a characteristic value corresponding to an ith weight acquisition point, wherein i is 1, 2, 3, 4, …, N; a is aiRepresenting a weight value at the ith weight acquisition point, said ai+j+1Represents the weight value of the (i + j + 1) th weight acquisition point, tiRepresenting the point in time of acquisition corresponding to the ith weight acquisition point, said ti+j+1Representing the collection time points corresponding to the (i + j + 1) th weight collection point, wherein N is the total number of all weight collection points; and n is the number of preset continuous sampling points.
6. A terminal for accurately identifying the material feeding amount, comprising a memory, a processor and a computer program stored on the memory and capable of running on the processor, wherein the processor executes the computer program to realize the following steps:
s1: acquiring a starting time point of material distribution and acquiring an ending time point of the material distribution;
s2: determining a reference value, a maximum value and two wave valley values of a steady-state point during material weighing from a starting time point of the tray separation to an ending time point of the tray separation;
acquiring a maximum weight value of a collection point from the starting time to the ending time of the tray separation as a maximum value;
searching the minimum weight values of all collection points from the starting time of the materials to the starting time of the stirrer as valley values, continuously searching for twice, and finally obtaining two valley values as a left valley and a right valley of each plate;
s3: obtaining a plurality of disc dividing quantities according to the steady-state point reference value, the maximum value and the trough value;
s4: calculating the disc dividing amount with the minimum deviation value with the weight from the disc dividing amounts according to the weight required by the material in the preset production matching proportion, and obtaining the real disc dividing amount of the material;
the S3 includes:
each steady-state point reference value has a first steady-state point distribution amount and a second steady-state point distribution amount, the first steady-state point distribution amount is equal to the steady-state point reference value-left trough, and the second steady-state point distribution amount is equal to the steady-state point reference value-right trough;
and subtracting the wave valley value from the maximum value to obtain the corresponding disc separating amount.
7. The terminal for accurately identifying the material dosage according to claim 6, wherein the step S1 is preceded by the steps of: and establishing a connection relation with a preset weighing device.
8. The terminal for accurately identifying the material dosage as claimed in claim 6, further comprising between S1 and S2:
obtaining a weighing time period according to the time from the starting time point to the ending time point;
and acquiring all weight acquisition points acquired by a preset weighing device in the weighing time period.
9. The terminal for accurately identifying the material dosage according to claim 8, wherein the S2 is specifically:
calculating to obtain a characteristic value of each weight collecting point through a preset formula;
acquiring a minimum value and a maximum value in the characteristic values;
calculating all weight acquisition points through a clustering algorithm according to the minimum value and the maximum value, dividing the weight acquisition points into two types of weight acquisition points, and obtaining a first type of weight acquisition point corresponding to the minimum value and a second type of weight acquisition point corresponding to the maximum value;
obtaining a steady-state point reference value according to the first type weight acquisition point;
obtaining a first oscillogram according to all weight collecting points;
and obtaining the valley value according to the first oscillogram.
10. The terminal for accurately identifying the material feeding amount according to claim 9, wherein the preset formula is as follows:
Figure FDA0002554401640000031
wherein, the hiRepresenting a characteristic value corresponding to an ith weight acquisition point, wherein i is 1, 2, 3, 4, …, N; a is aiRepresenting a weight value at the ith weight acquisition point, said ai+j+1Represents the weight value of the (i + j + 1) th weight acquisition point, tiRepresenting the point in time of acquisition corresponding to the ith weight acquisition point, said ti+j+1Representing the collection time points corresponding to the (i + j + 1) th weight collection point, wherein N is the total number of all weight collection points; and n is the number of preset continuous sampling points.
CN202010587720.8A2019-01-162019-01-16Method and terminal for accurately identifying material feeding amountActiveCN111707337B (en)

Priority Applications (1)

Application NumberPriority DateFiling DateTitle
CN202010587720.8ACN111707337B (en)2019-01-162019-01-16Method and terminal for accurately identifying material feeding amount

Applications Claiming Priority (2)

Application NumberPriority DateFiling DateTitle
CN201910038590.XACN109612556B (en)2019-01-162019-01-16 A method and terminal for identifying material feeding amount
CN202010587720.8ACN111707337B (en)2019-01-162019-01-16Method and terminal for accurately identifying material feeding amount

Related Parent Applications (1)

Application NumberTitlePriority DateFiling Date
CN201910038590.XADivisionCN109612556B (en)2019-01-162019-01-16 A method and terminal for identifying material feeding amount

Publications (2)

Publication NumberPublication Date
CN111707337Atrue CN111707337A (en)2020-09-25
CN111707337B CN111707337B (en)2021-07-20

Family

ID=66017659

Family Applications (2)

Application NumberTitlePriority DateFiling Date
CN201910038590.XAActiveCN109612556B (en)2019-01-162019-01-16 A method and terminal for identifying material feeding amount
CN202010587720.8AActiveCN111707337B (en)2019-01-162019-01-16Method and terminal for accurately identifying material feeding amount

Family Applications Before (1)

Application NumberTitlePriority DateFiling Date
CN201910038590.XAActiveCN109612556B (en)2019-01-162019-01-16 A method and terminal for identifying material feeding amount

Country Status (1)

CountryLink
CN (2)CN109612556B (en)

Families Citing this family (2)

* Cited by examiner, † Cited by third party
Publication numberPriority datePublication dateAssigneeTitle
CN110334852B (en)*2019-06-062021-03-12山东科技大学 A material distribution method based on workstation group division
CN110793606B (en)*2019-10-112021-09-17奥星制药设备(石家庄)有限公司Weighing and batching all-in-one machine and weighing and batching method

Citations (7)

* Cited by examiner, † Cited by third party
Publication numberPriority datePublication dateAssigneeTitle
US20030229601A1 (en)*2002-06-072003-12-11Pitney Bowes Inc.System and method for weighing items such as mailpieces in the presence of external vibration
CN103723292A (en)*2013-10-232014-04-16南京工业大学Control method for improving performance of automatic weighing and bag filling system
CN104634436A (en)*2015-01-142015-05-20余姚太平洋称重工程有限公司Weighing table-free static rail balance point error correcting method
CN105956330A (en)*2016-05-312016-09-21山东中烟工业有限责任公司Method and system for establishing product process quality prediction model based on site data
CN107976238A (en)*2017-12-042018-05-01福州中润电子科技有限公司A kind of method for calculating material amount
CN108107931A (en)*2017-12-142018-06-01长安大学A kind of mixture mixes and stirs method of quality control and system
CN108342225A (en)*2018-01-262018-07-31山东明泉新材料科技有限公司Feeding control method for pulverized coal and gasifying agent

Family Cites Families (3)

* Cited by examiner, † Cited by third party
Publication numberPriority datePublication dateAssigneeTitle
CN101361652B (en)*2007-08-072012-06-27深圳迈瑞生物医疗电子股份有限公司Adaptive threshold waveform peak valley identification method and device
CN100577272C (en)*2007-11-302010-01-06武汉钢铁(集团)公司Dynamic batching digital control system and method
CN102075139A (en)*2011-03-032011-05-25南京工程学院Intelligent variable-frequency advanced control system of vibrating machinery with high vibrating intensity

Patent Citations (7)

* Cited by examiner, † Cited by third party
Publication numberPriority datePublication dateAssigneeTitle
US20030229601A1 (en)*2002-06-072003-12-11Pitney Bowes Inc.System and method for weighing items such as mailpieces in the presence of external vibration
CN103723292A (en)*2013-10-232014-04-16南京工业大学Control method for improving performance of automatic weighing and bag filling system
CN104634436A (en)*2015-01-142015-05-20余姚太平洋称重工程有限公司Weighing table-free static rail balance point error correcting method
CN105956330A (en)*2016-05-312016-09-21山东中烟工业有限责任公司Method and system for establishing product process quality prediction model based on site data
CN107976238A (en)*2017-12-042018-05-01福州中润电子科技有限公司A kind of method for calculating material amount
CN108107931A (en)*2017-12-142018-06-01长安大学A kind of mixture mixes and stirs method of quality control and system
CN108342225A (en)*2018-01-262018-07-31山东明泉新材料科技有限公司Feeding control method for pulverized coal and gasifying agent

Also Published As

Publication numberPublication date
CN109612556A (en)2019-04-12
CN111707337B (en)2021-07-20
CN109612556B (en)2020-07-24

Similar Documents

PublicationPublication DateTitle
CN111707337B (en)Method and terminal for accurately identifying material feeding amount
CN111078755B (en)Time sequence data storage query method and device, server and storage medium
DE69016684T2 (en) Sensing data processing device on a touch responding display device.
CN107368768B (en)User identification method suitable for weighing scale and weighing scale
EP4083336A3 (en)Method and apparatus for detecting operating terrain, and engineering equipment for detecting operating terrain
CN113468922A (en)Road boundary identification method and device based on radar point cloud
CN113569201B (en)Geomagnetic Ap index forecasting method and device and electronic equipment
CN110309955B (en)Load prediction method and device during non-shutdown upgrading of cloud environment application system
CN117271968A (en)Accounting method and system for carbon sequestration amount of soil
KR102280390B1 (en)Data processing method, data processing device, data processing system, and computer readable recording medium with data processing program thereon
CN116737791A (en)Power generation equipment power generation capacity statistical method and terminal
CN112613773A (en)User quality grading method and device based on user behaviors
CN113887380B (en)Intelligent sample preparation system for coal samples
CN108008183B (en)Electric quantity measuring method, system, equipment and computer storage medium
CN113225047A (en)TVLP-MF-based dynamic checkweigher rapid filtering method and system
CN110222459B (en)Individual height analysis method, system, readable storage medium and terminal
CN111639621A (en)Method for diagnosing fault by sensor signal
CN116626575A (en)Fitting correction method and device for data acquisition equipment
CN117608866A (en)Data collaborative processing method and system based on large model
CN107976238B (en)A method of calculating material amount
CN115905373A (en)Data query and analysis method, device, equipment and storage medium
CN114021066A (en) Measurement and Calculation Method of Low Variability Modulus Smart Compaction Metrics
CN116757864A (en)Agricultural machinery track wide-width calculation method and device
CN113836188A (en)Data processing method, device, server and storage medium
CN101419259B (en) Automated Method for Measuring Jitter

Legal Events

DateCodeTitleDescription
PB01Publication
PB01Publication
SE01Entry into force of request for substantive examination
SE01Entry into force of request for substantive examination
GR01Patent grant
GR01Patent grant
TR01Transfer of patent right
TR01Transfer of patent right

Effective date of registration:20220913

Address after:3rd Floor, Building 1, No. 8, Shuanghu 3rd Road, Cangshan District, Fuzhou City, Fujian Province, 350000

Patentee after:Fujian Zhongrun Electronic Technology Co.,Ltd.

Address before:Unit 603, building 4, Zhanjin New District, 151 Zhanlu Road, Xiadu street, Cangshan District, Fuzhou City, Fujian Province, 350000

Patentee before:FUZHOU ZHONGRUN ELECTRONICS TECHNOLOGY Co.,Ltd.


[8]ページ先頭

©2009-2025 Movatter.jp