Movatterモバイル変換


[0]ホーム

URL:


CN111686011B - Intelligent medical auxiliary equipment - Google Patents

Intelligent medical auxiliary equipment
Download PDF

Info

Publication number
CN111686011B
CN111686011BCN202010381477.4ACN202010381477ACN111686011BCN 111686011 BCN111686011 BCN 111686011BCN 202010381477 ACN202010381477 ACN 202010381477ACN 111686011 BCN111686011 BCN 111686011B
Authority
CN
China
Prior art keywords
blood pressure
patient
doctor
time
terminal
Prior art date
Legal status (The legal status is an assumption and is not a legal conclusion. Google has not performed a legal analysis and makes no representation as to the accuracy of the status listed.)
Expired - Fee Related
Application number
CN202010381477.4A
Other languages
Chinese (zh)
Other versions
CN111686011A (en
Inventor
周禹光
Current Assignee (The listed assignees may be inaccurate. Google has not performed a legal analysis and makes no representation or warranty as to the accuracy of the list.)
Individual
Original Assignee
Individual
Priority date (The priority date is an assumption and is not a legal conclusion. Google has not performed a legal analysis and makes no representation as to the accuracy of the date listed.)
Filing date
Publication date
Application filed by IndividualfiledCriticalIndividual
Priority to CN202010381477.4ApriorityCriticalpatent/CN111686011B/en
Priority to PCT/CN2020/090213prioritypatent/WO2021223253A1/en
Publication of CN111686011ApublicationCriticalpatent/CN111686011A/en
Application grantedgrantedCritical
Publication of CN111686011BpublicationCriticalpatent/CN111686011B/en
Expired - Fee Relatedlegal-statusCriticalCurrent
Anticipated expirationlegal-statusCritical

Links

Images

Classifications

Landscapes

Abstract

The invention discloses intelligent medical auxiliary equipment which comprises an intelligent bracelet, a server, a doctor terminal, a personal terminal and an intelligent medicine box, wherein the intelligent bracelet is connected with the server; the intelligent bracelet monitors the blood pressure of the body of a patient in real time and sends the blood pressure data to the doctor terminal and the personal terminal; receiving a slight vibration instruction sent by the personal terminal when the medication time is up, and slightly vibrating according to the instruction to remind a patient to take medication; when the situation that the blood pressure of the patient reaches a high-risk area is monitored, the emergency mode is entered, the indicating lamp is flickered or/and the patient is quickly shaken to remind the patient of paying attention to the situation, meanwhile, the blood pressure data is sent to the doctor terminal immediately, the blood pressure checking requirement is provided for the doctor terminal, and the doctor takes corresponding emergency measures according to the situation. According to the intelligent bracelet, a doctor can check the blood pressure data of a patient at any time through the doctor terminal, the patient can interact with the doctor through the personal terminal, the medication compliance of the patient is effectively improved through the medication reminding of the intelligent bracelet, and the emergency mode function provides a layer of guarantee for the patient.

Description

Intelligent medical auxiliary equipment
Technical Field
The invention relates to the technical field of medical equipment, in particular to intelligent medical auxiliary equipment.
Background
Hypertension patients are often seen in old people, the memory of the old people is generally reduced, and partial hypertension medicines are more beneficial to treatment because the medicines need to be taken at specific time in one day, so the old people often miss, do not eat or even eat wrong medicines, and the condition of poor treatment effect and even relapse of the disease is possibly caused. Also there is simple electron medicine box in the existing market, but mostly sets up the trouble and is unfavorable for old people to use, or can not satisfy the diversified demand of taking medicine. Meanwhile, it takes an extremely long time to check blood pressure, doctor's diagnosis, etc. every visit to a hospital.
Disclosure of Invention
In view of the above, in order to solve the above problems in the prior art, the invention provides an intelligent medical auxiliary device, which is convenient for a doctor to check the blood pressure condition of a patient and assist the patient with hypertension to take a treatment medicine better and more normatively.
The invention solves the problems through the following technical means:
an intelligent medical assistance device comprising:
the intelligent bracelet is used for monitoring the blood pressure of the body of a patient in real time and sending the blood pressure data to the doctor terminal and the personal terminal; receiving a slight vibration instruction sent by the personal terminal when the medication time is up, and slightly vibrating according to the instruction to remind a patient to take medication; when the situation that the blood pressure of a patient reaches a high-risk area is monitored, an emergency mode is entered, an indicator lamp is flashed or/and the patient is reminded of paying attention to the situation of the patient by rapid vibration, meanwhile, blood pressure data are sent to a doctor terminal immediately, the requirement of blood pressure examination is provided for the doctor terminal, and the doctor takes corresponding emergency measures according to the situation;
the server is used for collecting, counting, calculating and analyzing the blood pressure data sent by the intelligent bracelet to the personal terminal or the doctor terminal, acquiring the corresponding blood pressure data in real time or the recent blood pressure change trend, recording the blood pressure data or the recent blood pressure change trend in the personal account of the patient, and allowing the personal terminal or the doctor terminal to select a real-time checking function or a recent trend function;
the doctor terminal is bound with the personal terminal of at least one patient and used for checking the blood pressure data corresponding to the patient in charge of the doctor and selecting a real-time checking function or a recent trend function; setting and annotating descriptions of various matters for medication according to conditions, and generating a characteristic file after the setting is finished and sending the characteristic file to a personal terminal of a patient;
the personal terminal is bound with a doctor terminal of a doctor and used for the patient to select to check real-time corresponding blood pressure data or check the recent trend of blood pressure change, and the personal terminal is used as a basis for knowing the body of the patient; in the medication management interface, a patient checks the characteristic file set by a doctor, but the characteristic file is not changed, when medication time is up, a slight vibration instruction is sent to the intelligent bracelet to remind the patient to take medication, the characteristic file is downloaded to the intelligent medicine box, and the intelligent medicine box is successfully set after the medication is finished;
the intelligent medicine box is used for downloading the characteristic file, dividing the internal space into a plurality of grids, storing one medicine in each grid, being provided with a corresponding label name and an indicator light, lighting different indicator lights for prompting according to different medicines to be taken in the downloaded characteristic file, and broadcasting the attention items of medication according to the content of the downloaded characteristic file.
Further, the intelligent bracelet includes:
the wireless transmission module is used for wirelessly connecting the intelligent bracelet with the doctor terminal and the personal terminal to realize data transmission and exchange, and the wireless transmission module is a Bluetooth transmission module;
the blood pressure monitoring module is used for monitoring the blood pressure of the body of the patient in real time and sending the blood pressure data to the doctor terminal and the personal terminal;
the vibration reminding module is used for receiving a slight vibration instruction sent by the personal terminal when the medication time is up, and slightly vibrating according to the instruction to remind a patient to take medication;
the emergency vibration module is used for entering an emergency mode when monitoring that the blood pressure of the patient reaches a high-risk area, flashing an indicator lamp or/and quickly vibrating to remind the patient to pay attention to the condition, sending the blood pressure data to the doctor terminal at once, and providing the blood pressure examination requirement for the doctor terminal, wherein the doctor takes corresponding emergency measures according to the condition.
Furthermore, the blood pressure monitoring module monitors the blood pressure of the body of the patient in real time by combining ECG and PPG technologies, namely, acquiring electrocardiosignals and photoplethysmography pulse signals, then separating the synchronous electrocardiosignals from the photoplethysmography pulse signals, eliminating high-frequency interference of the two signals by using a median filtering algorithm, eliminating signal baseline drift of a human body caused by shaking and breathing by using a wavelet transform baseline drift removing algorithm, and finally extracting the signals by using a differential threshold method, thereby measuring the blood pressure of the patient.
Further, the blood pressure monitoring module monitors the blood pressure of the body in real time by combining ECG and PPG technologies, specifically:
there is a certain correlation between arterial blood pressure and pulse wave propagation time:
BP=a+b×PWTT
wherein BP is arterial blood pressure, PWTT is pulse wave propagation time, a and b are waiting coefficients, and a and b are different according to personal constitution; PWTT refers to the time difference value between the peak value point of the electrocardiosignal and the main peak value point of the photoplethysmography signal; the method comprises the following specific steps:
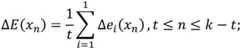
1) because the electrocardiosignal and the photoplethysmography signal have a plurality of maximum values in the same period, the interference points are eliminated by adopting a differential threshold method:
Figure BDA0002482246600000031
Figure BDA0002482246600000032
Hecg、Hppgrespectively, the values of all rising edges of the pulse wave signals passing through the electrocardio-signal and the photoplethysmography, Emax(i)、Emin(i) Respectively the maximum value and the minimum value of the electrocardiosignal in the ith section; pmax(i)、Pmin(i) Respectively the maximum value and the minimum value of the photoplethysmography signals in the ith section;
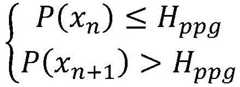
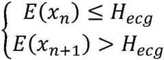
2) determining the approach Hecg、HppgPoints of numerical values of (c):
Figure BDA0002482246600000033
Figure BDA0002482246600000034
wherein x denotes any time, E (x)n)、P(xn) For filtering the cardioelectric signal and photoplethysmographic signalnSampled signal at time, E (x)n+1)、P(xn+1) For filtering the cardioelectric signal and photoplethysmographic signaln+1Sampling signals at a time;
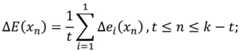
3) and calculating an extreme point by adopting a difference method:
Figure BDA0002482246600000041
Figure BDA0002482246600000042
wherein, Delta E (x)n)、△P(xn) The average value of the filtered t electrocardiosignals and t photoplethysmographic signals is obtained, and k is the number of each section of sampling data; t is an empirical value and changes with the change of the sampling frequency;
Δei(xn)=E(xn+k)-E(xn-k),i=1,2,…,t;
△pi(xn)=P(xn+k)-P(xn-k),i=1,2,...,t
wherein, Δ ei(xn)、△pi(xn) Is the peak point, E (x), of the processed electrocardiosignal and the photoplethysmographic pulse wave signaln+k)、P(xn+k)、E(xn-k)、P(xn-k) Is the xnAdding or subtracting the number k of the sampled data; i.e. from near Hecg、HppgAnd (3) starting from each point of the value, searching a maximum value point rightwards along the rising edge by utilizing differential operation to obtain peak values of the processed electrocardiosignal and the photoplethysmography pulse wave signal, wherein the time difference between the two peak values is the propagation time PWTT of the pulse wave.
Further, the server includes:
the network transmission module is used for the network connection between the server and the doctor terminal and between the server and the personal terminal to realize the remote transmission and exchange of data;
and the data management module is used for collecting, counting, calculating and analyzing the blood pressure data sent by the intelligent bracelet to the doctor terminal or the personal terminal, acquiring the real-time corresponding blood pressure data or the recent blood pressure change trend, recording the trend in the personal account of the patient, and allowing the doctor terminal and the personal terminal to select a real-time viewing function or a recent trend function.
Furthermore, the real-time corresponding blood pressure data is that the intelligent bracelet is linked with the doctor terminal and the personal terminal, and the numerical value change of the blood pressure is displayed in real time;
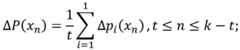
the recent trend of blood pressure change refers to that data are sampled once at the same time every day, the blood pressure of a person is obviously increased at 6-8 points in the morning every day, the blood pressure data of a patient lasting for N minutes are sampled in the time period, N is a natural number, and finally an average value is obtained:
Figure BDA0002482246600000051
continuously recording BPvAnd a visual and clear statistical chart is established by taking M days as a period for convenient viewing, wherein M is a natural number.
Further, the doctor terminal includes:
the doctor viewing module is used for viewing the blood pressure data corresponding to the patient in charge of the doctor and selecting a real-time viewing function or a recent trend function;
and the medication setting module is used for setting and annotating various matters of medication according to conditions, generating a characteristic file after the setting is finished, and sending the characteristic file to the personal terminal of the patient.
Further, the content of the profile includes time, dosage, kind and method of medication.
Further, the personal terminal includes:
the personal viewing module is used for the patient to select to view the real-time corresponding blood pressure data or view the recent trend of the blood pressure change, and the trend is used as the basis to know the body of the patient;
the medicine administration management module is used for the patient to check the characteristic file set by the doctor, but does not have the right of change, and when the time of using medicine arrives, the patient is reminded to use medicine by sending the instruction of slight vibration to the intelligent bracelet, and the intelligent medicine box is downloaded with the characteristic file, and the completion of downloading sets up the success to the intelligent medicine box promptly.
Further, the intelligent medicine chest includes:
the wireless receiving module is used for wirelessly connecting the intelligent medicine box with the personal terminal and receiving the downloaded characteristic file to the processor, and the wireless receiving module is a Bluetooth receiving module;
the processor is used for starting operation according to the program, executing different instructions to different parts and playing roles of coordinating operation and controlling each part;
the clock is used for displaying time and playing a timing role;
the storage grid is used for dividing the internal space into a plurality of grids, each grid is used for storing a medicine, is provided with a corresponding label name and an indicator light, and different indicator lights are lighted up for prompting according to different medicines needing to be taken in the downloaded characteristic file;
and the voice module is used for broadcasting the attention of medication according to the content of the downloaded characteristic file in a loudspeaker voice playing mode, and when the content of the characteristic file is changed, the broadcasted content is changed correspondingly.
Compared with the prior art, the invention has the beneficial effects that at least:
1. the doctor can check the blood pressure data of the patient at any time through the doctor terminal, the patient can interact with the doctor through the personal terminal, and the data can be recorded and stored conveniently and quickly;
2. the equipment is simple to use, the intelligent bracelet is connected to the doctor terminal and the personal terminal by means of Bluetooth, the intelligent medicine box is connected to the personal terminal by means of Bluetooth, and for example, the setting of the intelligent medicine box can be completed only by downloading the feature file by means of Bluetooth;
3. the voice broadcasting function of the intelligent medicine box is simple and practical, and various detailed items can be clearly informed to the patient; the compliance that the patient used medicine is then effectively improved to the warning of using medicine of intelligence bracelet, and emergency mode function has then increased the one deck guarantee again for the patient.
Drawings
In order to more clearly illustrate the technical solutions in the embodiments of the present invention, the drawings needed to be used in the description of the embodiments will be briefly introduced below, and it is obvious that the drawings in the following description are only some embodiments of the present invention, and it is obvious for those skilled in the art to obtain other drawings based on these drawings without creative efforts.
FIG. 1 is a schematic diagram of the configuration of an intelligent medical assistance device of the present invention;
FIG. 2 is a schematic diagram illustrating the relationship between the arterial blood pressure and the pulse wave propagation time according to the present invention;
FIG. 3 is a statistical graph of recent trends in blood pressure changes analyzed by the server of the present invention.
Detailed Description
In order to make the aforementioned objects, features and advantages of the present invention comprehensible, embodiments accompanied with figures are described in detail below. It should be noted that the described embodiments are only a part of the embodiments of the present invention, and not all embodiments, and all other embodiments obtained by those skilled in the art without any inventive work based on the embodiments of the present invention belong to the protection scope of the present invention.
As shown in fig. 1, the invention provides an intelligent medical auxiliary device, which comprises an intelligent bracelet, a server, a doctor terminal, a personal terminal and an intelligent medicine box.
The intelligent bracelet is used for monitoring the blood pressure of the body of a patient in real time and sending blood pressure data to the doctor terminal and the personal terminal; receiving a slight vibration instruction sent by the personal terminal when the medication time is up, and slightly vibrating according to the instruction to remind a patient to take medication; when the situation that the blood pressure of a patient reaches a high-risk area is monitored, an emergency mode is entered, an indicator lamp is flashed or/and the patient is reminded of paying attention to the situation of the patient by rapid vibration, meanwhile, blood pressure data are sent to a doctor terminal immediately, the requirement of blood pressure examination is provided for the doctor terminal, and the doctor takes corresponding emergency measures according to the situation;
the server is used for collecting, counting, calculating and analyzing the blood pressure data sent by the intelligent bracelet to the personal terminal or the doctor terminal, acquiring the corresponding blood pressure data in real time or the recent blood pressure change trend, recording the blood pressure data or the recent blood pressure change trend in the personal account of the patient, and allowing the personal terminal or the doctor terminal to select a real-time checking function or a recent trend function;
the doctor terminal is bound with the personal terminal of at least one patient to be used for checking the blood pressure data corresponding to the patient in charge by the doctor and selecting a real-time checking function or a recent trend function; setting and annotating descriptions of various matters for medication according to conditions, and generating a characteristic file after the setting is finished and sending the characteristic file to a personal terminal of a patient;
the personal terminal is bound with a doctor terminal of a doctor, and is used for the patient to select to check real-time corresponding blood pressure data or check the recent trend of blood pressure change, so that the patient can know the body of the patient according to the trend; in the medication management interface, a patient checks the characteristic file set by a doctor, but the characteristic file is not changed, when medication time is up, a slight vibration instruction is sent to the intelligent bracelet to remind the patient to take medication, the characteristic file is downloaded to the intelligent medicine box, and the intelligent medicine box is successfully set after the medication is finished;
the intelligent medicine box is used for downloading the characteristic file, the internal space is divided into a plurality of grids, each grid is used for storing one medicine and is provided with a corresponding label name and an indicator light, different indicator lights are lightened for prompting according to different medicines needing to be taken in the downloaded characteristic file, and the attention points of medication are broadcasted according to the content of the downloaded characteristic file.
The intelligent bracelet has basic functions of blood pressure monitoring, emergency mode, vibration reminding and the like. The intelligent medicine box comprises the functions of voice reminding, Bluetooth connection, file downloading and the like. The server, the doctor terminal and the personal terminal are control centers, contain statistics and feature file settings, and coordinate work distribution of the intelligent wristband and the intelligent medicine chest.
The intelligent bracelet comprises a wireless transmission module, a blood pressure monitoring module, a vibration reminding module and an emergency vibration module.
And the wireless transmission module is in wireless connection with the doctor terminal and the personal terminal through Bluetooth, so that data transmission and exchange are realized.
The blood pressure monitoring module and the intelligent bracelet adopt a mode of combining ECG and PPG technologies, namely, an electrocardiosignal and a photoplethysmography signal are collected, then the synchronous ECG and the PPG signals are separated, high-frequency interference of the two signals is eliminated by using a median filtering algorithm, signal baseline drift of a human body caused by shaking, breathing and the like is eliminated by using a wavelet transform baseline drift elimination algorithm, finally, the signal is extracted by adopting a differential threshold method, and the blood pressure of a patient can be measured more accurately. The patient takes intelligent bracelet to begin real-time supervision health's blood pressure promptly to with blood pressure data transmission to doctor's terminal and individual terminal.
As shown in fig. 2, studies have shown that there is a certain correlation between arterial blood pressure and pulse wave propagation time:
BP=a+b×PWTT
wherein BP is arterial blood pressure, PWTT is pulse wave propagation time, a and b are waiting coefficients, and a and b are variable according to different personal constitutions. PWTT refers to the time difference between the R peak point of an Electrocardiogram (ECG) signal and the main peak point of a PPG signal. The method comprises the following specific steps:
1. because there are multiple maxima (belonging to different waves) in the ECG and PPG signals in the same cycle, the interference points are rejected using a differential threshold:
Figure BDA0002482246600000091
Figure BDA0002482246600000092
Hecg、Hppgrespectively, the values of all rising edges of the pulse wave signals passing through the electrocardio-signal and the photoplethysmography, Emax(i)、Emin(i) Respectively the maximum value and the minimum value of the electrocardiosignal in the ith section; pmax(i)、Pmin(i) Respectively the maximum value and the minimum value of the photoplethysmography signals in the ith section;
2. determining proximity to Hecg、HppgPoints of numerical values of (c):
Figure BDA0002482246600000093
Figure BDA0002482246600000094
wherein x denotes any time, E (x)n)、P(xn) For filtering the cardioelectric signal and photoplethysmographic signalnSampled signal at time, E (x)n+1)、P(xn+1) For filtering the cardioelectric signal and photoplethysmographic signaln+1Sampling signals at a time;
3. solving an extreme point by adopting a difference method:
Figure BDA0002482246600000095
Figure BDA0002482246600000096
wherein, Delta E (x)n)、△P(xn) The average value of the filtered t electrocardiosignals and t photoplethysmographic signals is obtained, and k is the number of each section of sampling data; t is an empirical value and changes with the change of the sampling frequency;
Δei(xn)=E(xn+k)-E(xn-k),i=1,2,…,t;
△pi(xn)=P(xn+k)-P(xn-k),i=1,2,...,t
wherein, Δ ei(xn)、△pi(xn) Is the peak point, E (x), of the processed electrocardiosignal and the photoplethysmographic pulse wave signaln+k)、P(xn+k)、E(xn-k)、P(xn-k) Is the xnAnd adding or subtracting the number k of the sampled data. I.e. from near Hecg、HppgAnd (3) starting from each point of the value, searching a maximum value point rightwards along the rising edge by utilizing differential operation to obtain peak values of the processed electrocardiosignal and the photoplethysmography pulse wave signal, wherein the time difference between the two peak values is the propagation time PWTT of the pulse wave.
The module is reminded in vibrations, and the time of using medicine has arrived, and personal terminal sends the instruction of slight vibrations to intelligent bracelet through the bluetooth for remind the patient to use medicine. A rapid and powerful shock is an emergency situation indicating that the patient's blood pressure has reached a high risk area.
Urgent vibrations module, urgent mode shows that the intelligent bracelet monitors patient's blood pressure and reaches the high-risk region, and the intelligent bracelet gets into urgent mode, can twinkle the red light and shake fast and remind the patient to notice the self condition, sends blood pressure data to doctor terminal through the bluetooth simultaneously at once to can propose the blood pressure inspection demand to doctor terminal. The doctor takes corresponding emergency measures according to the situation.
The server comprises a network transmission module and a data management module.
The network transmission module is used for the network connection between the server and the doctor terminal and between the server and the personal terminal to realize the remote transmission and exchange of data;
data management module, intelligent bracelet pass through the bluetooth with data transmission to doctor terminal and individual terminal, and the server can collect, statistics, calculate and analysis blood pressure data. The doctor terminal and the personal terminal can select two functions of real-time viewing and recent trend, and the real-time viewing function is that the intelligent bracelet is linked with the doctor terminal and the personal terminal, and the numerical value change of the blood pressure is displayed in real time. Recent trend function refers to data sampled once a day at the same time, studies show that human blood pressure increases significantly at 6 to 8 am each day, blood pressure data is sampled for 5 minutes for the patient during this time period, and the final average is taken:
Figure BDA0002482246600000101
continuously recording BPvAnd a visual and clear statistical chart (such as fig. 3) is established for 15 days and 30 days to facilitate viewing. All records are uploaded to the server and recorded in the personal account of the patient, so that the records can be conveniently called and checked at any time.
The doctor terminal comprises a doctor checking module and a medicine taking setting module.
The doctor checking module means that a doctor can check the blood pressure change condition of a patient in charge at any time on a doctor terminal, for example, the blood pressure of the patient tends to continuously rise, the medicine taking setting module adjusts the medicine taking according to the condition in due time, a characteristic file can be automatically generated after the setting is finished, and the file content comprises the time, the dosage, the type, the method and the like of the medicine taking.
The doctor logs in a doctor terminal, the doctor terminal can be bound with the personal terminal of the patient, and one doctor can correspond to a plurality of patients. The doctor can call out the blood pressure data corresponding to the patient at the doctor viewing module, such as real-time viewing and recent blood pressure change trend, and then sets and annotates various matters for medication at the medication setting module according to conditions, and a characteristic file can be generated after the setting is finished and can be sent to the personal terminal of the patient through the server.
The personal terminal comprises a personal viewing module and a medication management module.
The patient logs in a personal terminal which can be bound with the doctor terminal of the doctor in a doctor-patient relationship, but only one doctor can be bound. The patient can also select to view the real-time corresponding blood pressure data or view the recent trend of blood pressure change in the personal viewing module of the patient, so that the patient can better know the body of the patient according to the trend. In the medication management module, the patient can check various items, descriptions and the like set by the doctor, but the right of the change is not provided, and meanwhile, the patient can select to download the feature file to the intelligent medicine box through Bluetooth, and the intelligent medicine box is successfully set after the downloading is finished.
The server, the doctor terminal and the personal terminal are equivalent to a control center of the whole equipment. The server is connected with the doctor terminal and the personal terminal through a network, and remote transmission and exchange of data are achieved. Personal terminal, doctor terminal all can be connected through cell-phone bluetooth and intelligent bracelet and carry out data transmission, instruction and send, thereby perhaps be connected with intelligent medical kit and carry out file download and accomplish the setting to intelligent medical kit to take charge of the task of coordinating vibrations warning module, voice module etc..
The server has strong computing power to provide support for data analysis and calculation, and an ultra-large data storage space can store all data of the doctor terminal and the personal terminal. After the user registers the personal account, the user can log in the same personal account on different devices and acquire the information data of the account.
The intelligent medicine box comprises a wireless receiving module, a processor, a clock, storage grids and a voice module.
The processor of the intelligent medicine chest is an MCU and controls the functions of voice, clock, Bluetooth receiving, light display and the like.
And the personal terminal is connected with the intelligent medicine box through Bluetooth, and then the characteristic file is downloaded to the memory of the MCU.
And the MCU starts operation according to the program and then executes different instructions to different parts, thereby playing the roles of coordinating operation and controlling each part.
The clock displays time and plays a role in timing.
Accomodate the check, inner space is divided into a plurality of checks, and a medicine is deposited to every check, has corresponding label name, LED lamp. And according to different medicines to be taken in the downloaded files, different LED lamp prompts are lightened.
The voice module is on the intelligent medicine chest, through the form of loudspeaker voice broadcast, according to the notice matters of the content broadcast medication of downloaded file, when the file content changes, the content broadcast also can be corresponding changes.
The using method comprises the following steps: the patient wears intelligent bracelet, registers patient's terminal account number, opens intelligent bracelet, is connected intelligent bracelet and personal terminal (patient cell-phone APP) and doctor terminal (doctor cell-phone APP) bluetooth, opens real-time blood pressure monitoring. If the personal terminal reminds the patient of the medication item change, the personal terminal is connected with the intelligent medicine box in a Bluetooth mode, the characteristic file is downloaded to the intelligent medicine box, and the setting is completed. The intelligent bracelet slightly shakes and reminds that the time of using medicine is up, and the patient reminds according to the pronunciation of intelligent medical kit that the prescription is used according to the volume, and manual stopping in personal terminal after finishing is reminded. And at the doctor's terminal account number, the doctor can check the change condition of the recent blood pressure of the patient through the doctor terminal at any time, judge whether the blood pressure of the patient is abnormal or not and how much the medicine amount to be taken is adjusted, then input the time, the type, the dose, the method and the like of the medicine to the doctor terminal, generate a file capable of changing the setting of the intelligent medicine box in the doctor terminal, and inform the patient.
According to the invention, a doctor can check the blood pressure data of a patient at any time through the doctor terminal, the patient can interact with the doctor through the personal terminal, and the data is conveniently and quickly recorded and stored;
the equipment is simple to use, the intelligent bracelet is connected to the doctor terminal and the personal terminal by means of Bluetooth, the intelligent medicine box is connected to the personal terminal by means of Bluetooth, and for example, the setting of the intelligent medicine box can be completed only by downloading the feature file by means of Bluetooth;
the voice broadcasting function of the intelligent medicine box is simple and practical, and various detailed items can be clearly informed to the patient; the compliance that the patient used medicine is then effectively improved to the warning of using medicine of intelligence bracelet, and emergency mode function has then increased the one deck guarantee again for the patient.
The above-mentioned embodiments only express several embodiments of the present invention, and the description thereof is more specific and detailed, but not construed as limiting the scope of the present invention. It should be noted that, for a person skilled in the art, several variations and modifications can be made without departing from the inventive concept, which falls within the scope of the present invention. Therefore, the protection scope of the present patent shall be subject to the appended claims.

Claims (7)

1. An intelligent medical assistance device, comprising:
the intelligent bracelet is used for monitoring the blood pressure of the body of a patient in real time and sending the blood pressure data to the doctor terminal and the personal terminal; receiving a slight vibration instruction sent by the personal terminal when the medication time is up, and slightly vibrating according to the instruction to remind a patient to take medication; when the situation that the blood pressure of a patient reaches a high-risk area is monitored, an emergency mode is entered, an indicator lamp is flashed or/and the patient is reminded of paying attention to the situation of the patient by rapid vibration, meanwhile, blood pressure data are sent to a doctor terminal immediately, the requirement of blood pressure examination is provided for the doctor terminal, and the doctor takes corresponding emergency measures according to the situation;
the server is used for collecting, counting, calculating and analyzing the blood pressure data sent by the intelligent bracelet to the personal terminal or the doctor terminal, acquiring the corresponding blood pressure data in real time or the recent blood pressure change trend, recording the blood pressure data or the recent blood pressure change trend in the personal account of the patient, and allowing the personal terminal or the doctor terminal to select a real-time checking function or a recent trend function;
the doctor terminal is bound with the personal terminal of at least one patient and used for checking the blood pressure data corresponding to the patient in charge of the doctor and selecting a real-time checking function or a recent trend function; setting and annotating descriptions of various matters for medication according to conditions, and generating a characteristic file after the setting is finished and sending the characteristic file to a personal terminal of a patient;
the personal terminal is bound with a doctor terminal of a doctor and used for the patient to select to check real-time corresponding blood pressure data or check the recent trend of blood pressure change, and the personal terminal is used as a basis for knowing the body of the patient; in the medication management interface, a patient checks the characteristic file set by a doctor, but the characteristic file is not changed, when medication time is up, a slight vibration instruction is sent to the intelligent bracelet to remind the patient to take medication, the characteristic file is downloaded to the intelligent medicine box, and the intelligent medicine box is successfully set after the medication is finished;
the intelligent medicine box is used for downloading the characteristic file, dividing the internal space into a plurality of grids, storing a medicine in each grid, setting a corresponding label name and an indicator light, lighting different indicator lights for prompting according to different medicines to be taken in the downloaded characteristic file, and broadcasting the attention item of medication according to the content of the downloaded characteristic file;
the intelligent bracelet includes:
the wireless transmission module is used for wirelessly connecting the intelligent bracelet with the doctor terminal and the personal terminal to realize data transmission and exchange;
the blood pressure monitoring module is used for monitoring the blood pressure of the body of the patient in real time and sending the blood pressure data to the doctor terminal and the personal terminal;
the vibration reminding module is used for receiving a slight vibration instruction sent by the personal terminal when the medication time is up, and slightly vibrating according to the instruction to remind a patient to take medication;
the emergency vibration module is used for entering an emergency mode when monitoring that the blood pressure of the patient reaches a high-risk area, flashing an indicator lamp or/and quickly vibrating to remind the patient to pay attention to the condition, simultaneously sending blood pressure data to a doctor terminal immediately, and providing a blood pressure examination requirement for the doctor terminal, wherein the doctor takes corresponding emergency measures according to the condition;
the blood pressure monitoring module monitors the blood pressure of a patient body in real time by combining ECG and PPG technologies, namely, acquiring electrocardiosignals and photoplethysmographic pulse signals, then separating the synchronous electrocardiosignals and the photoplethysmographic pulse signals, eliminating high-frequency interference of the two signals by using a median filtering algorithm, eliminating signal baseline drift of a human body caused by shaking and breathing by using a wavelet transform baseline drift removing algorithm, and finally extracting the signals by using a differential threshold method, thereby measuring the blood pressure of the patient;
the intelligent bracelet adopts the mode real-time supervision patient's health's of two kinds of technologies of ECG and PPG mode that combine each other, specifically is:
there is a certain correlation between arterial blood pressure and pulse wave propagation time:
BP=a+b×PWTT
wherein BP is arterial blood pressure, PWTT is pulse wave propagation time, a and b are waiting coefficients, and a and b are different according to personal constitution; PWTT refers to the time difference value between the peak value point of the electrocardiosignal and the main peak value point of the photoplethysmography signal; the method comprises the following specific steps:
1) because the electrocardiosignal and the photoplethysmography signal have a plurality of maximum values in the same period, the interference points are eliminated by adopting a differential threshold method:
Figure FDA0003313518470000031
Figure FDA0003313518470000032
Hecg、Hppgrespectively, the values of all rising edges of the pulse wave signals passing through the electrocardio-signal and the photoplethysmography, Emax(i)、Emin(i) Respectively the maximum value and the minimum value of the electrocardiosignal in the ith section; pmax(i)、Pmin(i) Respectively the maximum value and the minimum value of the photoplethysmography signals in the ith section;
2) determining the approach Hecg、HppgPoints of numerical values of (c):
Figure FDA0003313518470000033
Figure FDA0003313518470000034
wherein x denotes any time, E (x)n)、P(xn) For filtering the cardioelectric signal and photoplethysmographic signalnSampled signal at time, E (x)n+1)、P(xn+1) For filtering the cardioelectric signal and photoplethysmographic signaln+1Sampling signals at a time;
3) and calculating an extreme point by adopting a difference method:
Figure FDA0003313518470000035
Figure FDA0003313518470000036
wherein, Delta E (x)n)、ΔP(xn) Is the average value of t electrocardiosignals and t photoplethysmographic signals after filtering, and k is the number of each section of sampling data(ii) a t is an empirical value and changes with the change of the sampling frequency;
Δei(xn)=E(xn+k)-E(xn-k),i=1,2,...,t;
Δpi(xn)=P(xn+k)-P(xn-k),i=1,2,...,t
wherein, Δ ei(xn)、Δpi(xn) Is the peak point, E (x), of the processed electrocardiosignal and the photoplethysmographic pulse wave signaln+k)、P(xn+k)、E(xn-k)、P(xn-k) Is the xnAdding or subtracting the number k of the sampled data; i.e. from near Hecg、HppgAnd (3) starting from each point of the value, searching a maximum value point rightwards along the rising edge by utilizing differential operation to obtain peak values of the processed electrocardiosignal and the photoplethysmography pulse wave signal, wherein the time difference between the two peak values is the propagation time PWTT of the pulse wave.
2. The intelligent medical assistance device of claim 1, wherein the server comprises:
the network transmission module is used for the network connection between the server and the doctor terminal and between the server and the personal terminal to realize the remote transmission and exchange of data;
and the data management module is used for collecting, counting, calculating and analyzing the blood pressure data sent by the intelligent bracelet to the doctor terminal or the personal terminal, acquiring the real-time corresponding blood pressure data or the recent blood pressure change trend, recording the trend in the personal account of the patient, and allowing the doctor terminal and the personal terminal to select a real-time viewing function or a recent trend function.
3. The intelligent medical auxiliary device according to claim 2, wherein the real-time corresponding blood pressure data is obtained by linking an intelligent bracelet with a doctor terminal and a personal terminal, and displaying the numerical value change of the blood pressure in real time;
the recent trend of blood pressure change refers to that data are sampled once at the same time every day, the blood pressure of a person is obviously increased at 6-8 points in the morning every day, the blood pressure data of a patient lasting for N minutes are sampled in the time period, N is a natural number, and finally an average value is obtained:
Figure FDA0003313518470000041
continuously recording BPvAnd a visual and clear statistical chart is established by taking M days as a period for convenient viewing, wherein M is a natural number.
4. The intelligent medical assistance device according to claim 1, wherein the doctor terminal includes:
the doctor viewing module is used for viewing the blood pressure data corresponding to the patient in charge of the doctor and selecting a real-time viewing function or a recent trend function;
and the medication setting module is used for setting and annotating various matters of medication according to conditions, generating a characteristic file after the setting is finished, and sending the characteristic file to the personal terminal of the patient.
5. The intelligent medical assistance device of claim 4, wherein the content of the profile includes time, dosage, type and method of medication.
6. The intelligent medical assistance device of claim 1, wherein the personal terminal comprises:
the personal viewing module is used for the patient to select to view the real-time corresponding blood pressure data or view the recent trend of the blood pressure change, and the trend is used as the basis to know the body of the patient;
the medicine administration management module is used for the patient to check the characteristic file set by the doctor, but does not have the right of change, and when the time of using medicine arrives, the patient is reminded to use medicine by sending the instruction of slight vibration to the intelligent bracelet, and the intelligent medicine box is downloaded with the characteristic file, and the completion of downloading sets up the success to the intelligent medicine box promptly.
7. The intelligent medical assistance apparatus according to claim 1, wherein the intelligent medication box comprises:
the wireless receiving module is used for wirelessly connecting the intelligent medicine box with the personal terminal and receiving the downloaded characteristic file to the processor;
the processor is used for starting operation according to the program, executing different instructions to different parts and playing roles of coordinating operation and controlling each part;
the clock is used for displaying time and playing a timing role;
the storage grid is used for dividing the internal space into a plurality of grids, each grid is used for storing a medicine, is provided with a corresponding label name and an indicator light, and different indicator lights are lighted up for prompting according to different medicines needing to be taken in the downloaded characteristic file;
and the voice module is used for broadcasting the attention of medication according to the content of the downloaded characteristic file in a loudspeaker voice playing mode, and when the content of the characteristic file is changed, the broadcasted content is changed correspondingly.
CN202010381477.4A2020-05-082020-05-08Intelligent medical auxiliary equipmentExpired - Fee RelatedCN111686011B (en)

Priority Applications (2)

Application NumberPriority DateFiling DateTitle
CN202010381477.4ACN111686011B (en)2020-05-082020-05-08Intelligent medical auxiliary equipment
PCT/CN2020/090213WO2021223253A1 (en)2020-05-082020-05-14Intelligent medical auxiliary device

Applications Claiming Priority (1)

Application NumberPriority DateFiling DateTitle
CN202010381477.4ACN111686011B (en)2020-05-082020-05-08Intelligent medical auxiliary equipment

Publications (2)

Publication NumberPublication Date
CN111686011A CN111686011A (en)2020-09-22
CN111686011Btrue CN111686011B (en)2022-04-26

Family

ID=72477339

Family Applications (1)

Application NumberTitlePriority DateFiling Date
CN202010381477.4AExpired - Fee RelatedCN111686011B (en)2020-05-082020-05-08Intelligent medical auxiliary equipment

Country Status (2)

CountryLink
CN (1)CN111686011B (en)
WO (1)WO2021223253A1 (en)

Families Citing this family (5)

* Cited by examiner, † Cited by third party
Publication numberPriority datePublication dateAssigneeTitle
CN112346516A (en)*2020-10-202021-02-09四川大学华西医院 An artificial intelligence wristband for patients
CN112618374A (en)*2021-01-162021-04-09大连理工大学Intelligent medicine box for reminding medicine taking based on Internet of things and using method thereof
CN113409904A (en)*2021-06-172021-09-17苏州市广济医院Discharged depression continues to look after platform system
CN114642591A (en)*2022-02-282022-06-21暨南大学Household medicine management system based on intelligent medicine chest
CN115067904A (en)*2022-07-202022-09-20安徽省立医院(中国科学技术大学附属第一医院)Method and device for providing coronary heart disease management mode based on man-machine coupling

Citations (17)

* Cited by examiner, † Cited by third party
Publication numberPriority datePublication dateAssigneeTitle
CN102008296A (en)*2010-12-242011-04-13吉林大学Device and method for measuring arterial blood pressures based on pulse wave signals and electrocardiosignals
CN102008300A (en)*2010-12-102011-04-13吉林大学Wearable multiple physiological parameter recording device
CN105595979A (en)*2016-01-212016-05-25中山大学Noninvasive and continuous blood pressure monitoring method and device based on pulse wave propagation time
CN106264504A (en)*2016-09-302017-01-04西安邮电大学Noninvasive Blood Pressure Measurement System based on finger arteriogram and method
CN106292263A (en)*2015-05-262017-01-04杨孟君Balancing information health monitoring electronic watch
CN106559096A (en)*2016-11-122017-04-05上海任道信息科技有限公司A kind of intelligence nurse method and system based on Human Physiology index
CN106974631A (en)*2017-03-172017-07-25深圳大学A kind of blood pressure measuring method and device based on pulse waveform and electrocardiosignal
CN107536713A (en)*2017-08-172018-01-05褚安卓A kind of intelligent medication system and its method of work based on Internet of Things
CN107847153A (en)*2015-07-032018-03-27深圳市长桑技术有限公司 A system and method for monitoring physiological parameters
CN109259745A (en)*2018-10-252019-01-25贵州医科大学附属医院A kind of wearable cardiovascular and cerebrovascular disease intelligent monitor system and method
CN109659039A (en)*2018-12-272019-04-19王红玲A kind of intelligent medical treatment system remotely to visit a patient
CN109965861A (en)*2019-04-162019-07-05重庆大学 A cuffless wearable non-invasive blood pressure long-term continuous monitoring device
CN110037675A (en)*2019-04-122019-07-23深圳市捷美瑞科技有限公司Monitoring of blood pressure method, system, terminal device and storage medium
CN209630178U (en)*2018-12-102019-11-15谈捷A kind of intelligent clinical internal medicine timing medicine box
CN110721091A (en)*2019-11-202020-01-24深圳市第三人民医院 A kind of intelligent medicine box and its system
CN110833511A (en)*2019-11-262020-02-25自贡市第一人民医院Portable voice reminding subpackage eye medicine box
CN110974197A (en)*2019-12-132020-04-10中国人民解放军63919部队 A non-invasive hemodynamic multi-parameter measurement device

Family Cites Families (5)

* Cited by examiner, † Cited by third party
Publication numberPriority datePublication dateAssigneeTitle
KR101683038B1 (en)*2014-07-162016-12-07상지대학교산학협력단Oriental Medical Treatment System Based on Mobile Phone
CN104207769A (en)*2014-08-272014-12-17电子科技大学Electrocardiosignal detection system
US20170143219A1 (en)*2015-11-192017-05-25Melissa CieckoEmergency Medical Alert Wearable
CN107569221A (en)*2017-09-032018-01-12中北大学 An intelligent health monitor and monitoring method for all-weather monitoring of chronic diseases
CN107692988A (en)*2017-10-172018-02-16四川长虹电器股份有限公司The method of monitoring of blood pressure method and graphic software platform based on intelligent platform

Patent Citations (17)

* Cited by examiner, † Cited by third party
Publication numberPriority datePublication dateAssigneeTitle
CN102008300A (en)*2010-12-102011-04-13吉林大学Wearable multiple physiological parameter recording device
CN102008296A (en)*2010-12-242011-04-13吉林大学Device and method for measuring arterial blood pressures based on pulse wave signals and electrocardiosignals
CN106292263A (en)*2015-05-262017-01-04杨孟君Balancing information health monitoring electronic watch
CN107847153A (en)*2015-07-032018-03-27深圳市长桑技术有限公司 A system and method for monitoring physiological parameters
CN105595979A (en)*2016-01-212016-05-25中山大学Noninvasive and continuous blood pressure monitoring method and device based on pulse wave propagation time
CN106264504A (en)*2016-09-302017-01-04西安邮电大学Noninvasive Blood Pressure Measurement System based on finger arteriogram and method
CN106559096A (en)*2016-11-122017-04-05上海任道信息科技有限公司A kind of intelligence nurse method and system based on Human Physiology index
CN106974631A (en)*2017-03-172017-07-25深圳大学A kind of blood pressure measuring method and device based on pulse waveform and electrocardiosignal
CN107536713A (en)*2017-08-172018-01-05褚安卓A kind of intelligent medication system and its method of work based on Internet of Things
CN109259745A (en)*2018-10-252019-01-25贵州医科大学附属医院A kind of wearable cardiovascular and cerebrovascular disease intelligent monitor system and method
CN209630178U (en)*2018-12-102019-11-15谈捷A kind of intelligent clinical internal medicine timing medicine box
CN109659039A (en)*2018-12-272019-04-19王红玲A kind of intelligent medical treatment system remotely to visit a patient
CN110037675A (en)*2019-04-122019-07-23深圳市捷美瑞科技有限公司Monitoring of blood pressure method, system, terminal device and storage medium
CN109965861A (en)*2019-04-162019-07-05重庆大学 A cuffless wearable non-invasive blood pressure long-term continuous monitoring device
CN110721091A (en)*2019-11-202020-01-24深圳市第三人民医院 A kind of intelligent medicine box and its system
CN110833511A (en)*2019-11-262020-02-25自贡市第一人民医院Portable voice reminding subpackage eye medicine box
CN110974197A (en)*2019-12-132020-04-10中国人民解放军63919部队 A non-invasive hemodynamic multi-parameter measurement device

Also Published As

Publication numberPublication date
CN111686011A (en)2020-09-22
WO2021223253A1 (en)2021-11-11

Similar Documents

PublicationPublication DateTitle
CN111686011B (en)Intelligent medical auxiliary equipment
US11289197B1 (en)Wearable monitor
US10849508B2 (en)System and method for continuous monitoring of blood pressure
US6454708B1 (en)Portable remote patient telemonitoring system using a memory card or smart card
US10736515B2 (en)Portable monitoring device for breath detection
US20170319087A1 (en)Automatic analysis of uterine activity signals and application for enhancement of labor and delivery experience
CN107569221A (en) An intelligent health monitor and monitoring method for all-weather monitoring of chronic diseases
CN115153467A (en) A health monitoring system and method
CN221044943U (en) Coronary heart disease emergency device
CN119584916A (en) Medical device and interface display method thereof
CN113257388A (en)Wearable device-based healthy diet management and recuperation method and system
Jaworek et al.Heart rate monitoring system dedicated for cardiac telerehabilitation

Legal Events

DateCodeTitleDescription
PB01Publication
PB01Publication
SE01Entry into force of request for substantive examination
SE01Entry into force of request for substantive examination
GR01Patent grant
GR01Patent grant
CF01Termination of patent right due to non-payment of annual fee
CF01Termination of patent right due to non-payment of annual fee

Granted publication date:20220426


[8]ページ先頭

©2009-2025 Movatter.jp