



技术领域technical field
本发明涉及体育比赛技术领域,特别涉及一种气排球比赛显示方法及系统。The invention relates to the technical field of sports competitions, in particular to a display method and system for an air volleyball competition.
背景技术Background technique
群众体育是我国体育的一个重要组成部分,是一项容量大、吸引力强、涉及范围极广的社会活动。在现代社会生活中,群众体育是社会主义精神文明和物质文明的重要组成部分,是增进健康、增强体质、丰富社会文化生活的需要,是体育大国向体育强国发展转变的需要。而气排球运动就应用而生,在气排球比赛的过程中,一般是通过裁判和记录员对其比赛双方的比赛状态和比赛得分进行记录,来确定最终比赛结果,但是人为的记录可能会出现一定的人为失误,而且,每次比赛都需要对安排合适的裁判和记录员对其比赛进行记录,在人员安排上可能会出现不合理的情况,因此,为了避免人为记录失误,且为了避免安排不合理的情况,提出一种气排球比赛显示方法,其更具有透明性和公开性。Mass sports is an important part of sports in our country, and it is a social activity with large capacity, strong attraction and wide range. In modern social life, mass sports is an important part of socialist spiritual civilization and material civilization. It is the need for improving health, enhancing physical fitness, and enriching social and cultural life. In the process of air volleyball, the referee and recorder usually record the game status and score of both sides of the game to determine the final result of the game, but artificial records may appear. There are certain human errors. Moreover, it is necessary to arrange appropriate referees and recorders to record the game for each game. Unreasonable situations may occur in personnel arrangements. Therefore, in order to avoid human errors in recording, and to avoid arrangements In case of unreasonable situations, a method of displaying air volleyball matches is proposed, which is more transparent and open.
发明内容SUMMARY OF THE INVENTION
本发明提供一种气排球比赛显示方法,用以通过建立参赛者与显示端的显著性通讯连接,及时显示参赛者的状态信息,便于提高比赛的透明性和公开性。The present invention provides a display method for an air volleyball game, which is used to display the state information of the competitor in time by establishing a prominent communication connection between the competitor and the display terminal, so as to improve the transparency and openness of the game.
本发明实施例提供一种气排球比赛显示方法,包括:An embodiment of the present invention provides a method for displaying an air volleyball game, including:
获取预设赛场上每个目标参赛者的参赛属性;Get the entry attributes of each target contestant on the preset arena;
根据获取的参赛属性,实时监测所述预设赛场上与所述参赛属性一一对应的每个目标参赛者的状态信息,所述状态信息包括:所述目标参赛者在所述预设场地上的当前得分信息、在比赛过程中的当前身体状态和比赛过程中的当前运动动作是否违规;According to the acquired entry attributes, real-time monitoring of the status information of each target contestant on the preset arena corresponding to the entry attributes one-to-one, where the status information includes: the target contestant is on the preset field Whether the current score information, the current physical state during the game and the current movement during the game are illegal;
建立所述预设场地上的每个所述目标参赛者与显示端的显著性通讯连接;establishing a salient communication connection between each of the target contestants on the preset field and the display terminal;
将每个所述目标参赛者的状态信息显示在建立显著性通讯连接的显示端上。The status information of each of the target contestants is displayed on the display terminal where the significant communication connection is established.
在一种可能实现的方式中,所述获取预设赛场上每个目标参赛者的参赛属性的步骤包括:In a possible implementation manner, the step of acquiring the entry attributes of each target contestant on the preset arena includes:
录入预先确定的气排球比赛双方的参赛人员的人员信息到人员数据库中,所述人员信息包括:所述参赛人员的唯一标识特征;Enter the pre-determined personnel information of the participants of both sides of the gas volleyball competition into the personnel database, where the personnel information includes: the unique identification features of the participants;
基于预设赛场进行气排球比赛之前,确定所有参赛人员中的目标参赛者和候选参赛者;Determine the target contestants and candidate contestants among all the contestants before the air volleyball match based on the preset arena;
基于所述人员数据库,获取每个所述目标参赛者的唯一标识特征;Based on the personnel database, obtain the unique identification feature of each of the target contestants;
其中,获取的所述唯一标识特征即为所述参赛属性。Wherein, the acquired unique identification feature is the competition attribute.
在一种可能实现的方式中,将每个所述目标参赛者的状态信息显示在建立显著性通讯连接的显示端上的步骤包括:In a possible implementation manner, the step of displaying the status information of each of the target contestants on the display end for establishing a significant communication connection includes:
确定气排球比赛双方的目标参赛者,并捕捉每个目标参赛者的唯一标识特征,并基于所述唯一标识特征,将同一比赛方的目标参赛者归于同一显示端进行显示;Determine the target competitors of both sides of the air volleyball competition, and capture the unique identification feature of each target competitor, and based on the unique identification feature, attribute the target competitors of the same player to the same display terminal for display;
实时监测每个所述目标参赛者,并对每个目标参赛者的状态信息进行实时更新,并将实时更新的状态信息实时显示在与所述目标参赛者建立显著性通讯连接的显示端;Monitoring each of the target contestants in real time, and updating the status information of each target contestant in real time, and displaying the real-time updated status information in real time on the display terminal that establishes a significant communication connection with the target contestant;
其中,所述显示端在显示的过程中包括:Wherein, in the process of displaying, the display terminal includes:
对所述显示端进行区域划分处理,并划分为与同一比赛方的目标参赛者的参赛人数相同的显示区域,且所述显示区域的显示大小依据所述参赛人数进行自动调节;Performing area division processing on the display terminal, and dividing it into a display area with the same number of participants as the target competitors of the same competitor, and the display size of the display area is automatically adjusted according to the number of participants;
且,当监测到替换所述目标参赛者为候选参赛者时,基于所述显示端建立新的显示区域,同时,被替换的所述目标参赛者状态信息按照预设显示规则,显示在所述显示端上。Moreover, when it is detected that the target contestant is replaced as a candidate contestant, a new display area is established based on the display terminal, and at the same time, the status information of the replaced target contestant is displayed in the on the display.
在一种可能实现的方式中,所述显示区域在实时显示对应的所述目标参赛者的状态信息时,还包括:In a possible implementation manner, when the display area displays the corresponding status information of the target contestant in real time, the display area further includes:
确定所述目标参赛者在所述预设场地上的当前得分信息的第一权重信息;determining the first weight information of the current score information of the target contestant on the preset field;
确定所述目标参赛者在比赛过程中的当前身体状态的第二权重信息;determining the second weight information of the current physical state of the target contestant during the competition;
确定所述目标参赛者在比赛过程中的当前运动动作是否违规的第三权重信息;The third weight information to determine whether the current sports action of the target contestant during the competition is illegal;
基于预先设定的权重排序模型,对确定的第一权重信息、第二权重信息和第三权重信息的权重值,按照预先设定的优先级顺序进行输出;Based on the preset weight sorting model, output the determined weight values of the first weight information, the second weight information and the third weight information according to the preset priority order;
且根据输出结果,将所述当前得分信息、当前身体状态和当前运动动作是否违规进行优先级显示;And according to the output result, the current score information, the current physical state and whether the current sports action violates the rules are displayed in priority;
同时,每个对应的显示区域上,还显示所述目标参赛者的参赛属性。At the same time, each corresponding display area also displays the competition attributes of the target contestant.
在一种可能实现的方式中,所述显示区域性显示所述目标参赛者的状态信息和参赛属性时,还包括:In a possible implementation manner, when the display area displays the status information and competition attributes of the target contestant, the method further includes:
当所述状态信息中的当前得分信息、当前身体状态和当前运动动作是否违规中的任一指标发生变化时,根据预先设定的更改数据库,将对应的显示区域进行显著性显示,且根据不同的指标进行不同的显著性显示;When any one of the current score information, the current physical state and whether the current sports action is in violation of the status information changes, the corresponding display area is significantly displayed according to the preset modification database, and according to different The indicators are displayed with different significance;
同时,获取所述输出结果中优先等级最高的第一指标,并将所述第一指标作为更改所述显示区域的显示位置的更改基础。At the same time, the first index with the highest priority in the output result is acquired, and the first index is used as the basis for changing the display position of the display area.
在一种可能实现的方式中,实时监测所述预设赛场上与所述参赛属性一一对应的每个目标参赛者的状态信息的过程中,还包括:In a possible implementation manner, the process of monitoring in real time the status information of each target contestant on the preset arena corresponding to the entry attributes one-to-one, further includes:
基于预设场地的地表设置的第一压感面,感应每个所述目标参赛者在进行气排球比赛时的脚步运动轨迹;Based on the first pressure-sensitive surface set on the ground surface of the preset venue, sensing the footstep movement trajectory of each of the target players during the air volleyball match;
同时,基于获取脚步运动轨迹的时间戳,对同一所述目标参赛者的传球运动轨迹进行监测,并基于时间戳,将所述脚步运动轨迹和传球运动轨迹进行融合处理,将融合处理结果输入到运动建议模型,并输出与所述目标参赛者相关的改进方案;At the same time, based on the time stamp of the obtained footstep movement trajectory, the passing movement trajectory of the same target competitor is monitored, and based on the time stamp, the footstep movement trajectory and the ball passing movement trajectory are fused, and the fusion processing result is performed. input to the exercise proposal model and output improvement plans related to the target competitor;
在一种可能实现的方式中,将融合处理结果输入到运动评比模型,并输出与所述目标参赛者相关的评比值,当所述评比值大于预设值时,判定所述融合处理结果对应的同步脚步运动轨迹和传球运动轨迹对应的时间戳为优秀比赛瞬间,并进行记录;In a possible implementation manner, the fusion processing result is input into the sports evaluation model, and the evaluation value related to the target competitor is output. When the evaluation value is greater than a preset value, it is determined that the fusion processing result corresponds to The time stamps corresponding to the synchronous footstep motion trajectory and the passing motion trajectory are the excellent game moments, and are recorded;
且当气排球比赛双方处于休息状态时,基于所述显示端,将记录的优秀比赛瞬间进行随机播放。And when both sides of the air volleyball match are in a rest state, based on the display terminal, the recorded excellent matches are instantly played randomly.
在一种可能实现的方式中,还包括:In one possible implementation, it also includes:
基于预设场地的地表设置的第二压感面,与所述显示端建立显著性通讯连接,同时获取预设场地中的同一比赛方中的每个目标参赛者的点位置,且所述点位置实时显示在所述显示端;Based on the second pressure-sensitive surface set on the ground surface of the preset field, a significant communication connection is established with the display terminal, and at the same time, the point position of each target contestant in the same competitor in the preset field is obtained, and the point The position is displayed on the display terminal in real time;
监测所述预设场地中所述目标参赛者的传球信息,当监测到当前目标参赛者正在传球时,将所述当前目标参赛者所处的点位置在显示端进行端点显著性显示,同时,对所述当前目标参赛者所传的目标气排球的传输轨迹进行线路显著性显示;Monitoring the passing information of the target contestant in the preset field, and when monitoring that the current target contestant is passing the ball, the point position where the current target contestant is located is displayed on the display end for endpoint significance, At the same time, the line significance display is performed on the transmission trajectory of the target air volleyball passed by the current target contestant;
构建所述预设场地为三维空间区域,并对所述三维空间区域进行空间切割,获得若干个空间子区域,同时,监测并获取所述目标气排球在所述预设场地的上空区域的区域点信息,并将所述区域点信息实时融合到对应的空间子区域中,获得所述目标气排球在所述三维空间区域中的区域轨迹;Constructing the preset field as a three-dimensional space area, and performing spatial cutting on the three-dimensional space area to obtain several space sub-areas, and at the same time, monitoring and acquiring the area of the target air volleyball in the area above the preset field point information, and fuse the area point information into the corresponding space sub-area in real time to obtain the area trajectory of the target air volleyball in the three-dimensional space area;
当同一比赛方中的不同目标参赛者都处于待接球状态时,确定所述区域轨迹基于所述同一比赛方所在区域中的着落点,同时根据所述着落点确定所述目标气排球与所述同一比赛方中的每个目标参赛者的预估距离,且根据预先存储的同一比赛方中的所有目标参赛者的综合信息,对相关的第一目标参赛者进行预设警示,且当所述目标气排球到达所述同一比赛方所处的上空区域时,基于所述预设警示提醒对应的所述第一目标参赛者进行接球回击;When different target players in the same player are in the state of waiting to catch the ball, determining the area trajectory is based on the landing point in the area where the same player is located, and at the same time determining the target air volleyball and the target air volleyball according to the landing point. The estimated distance of each target contestant in the same competition party is described, and according to the pre-stored comprehensive information of all target contestants in the same competition party, a preset warning is given to the relevant first target contestant, and when all the When the target air volleyball reaches the upper area where the same competitor is located, remind the corresponding first target contestant based on the preset warning to catch the ball back;
且对所述第一目标用户的接球回击的接球动作进行监测,并基于标准数据库,确定所述接球动作是否违规;And monitoring the ball-catching action of the first target user's ball-catching and returning, and based on the standard database, determine whether the ball-catching action violates the rules;
若是,对所述第一目标参赛者的接球动作的违规次数进行记录,若记录的所述违规次数大于零且小于预设次数,则基于与所述第一目标参赛者建立显著性通讯连接的显示区域进行第一警示;If yes, record the number of violations of the first target competitor's catching action, if the recorded number of violations is greater than zero and less than the preset number, then establish a significant communication connection with the first target competitor display area for the first warning;
若记录的所述违规次数等于预设次数,则基于与所述第一目标参赛者建立显著性通讯连接的显示区域进行第二警示;If the recorded number of violations is equal to a preset number of times, a second warning is performed based on the display area that establishes a significant communication connection with the first target competitor;
若记录的所述违规次数大于预设次数,则基于与所述第一目标参赛者建立显著性通讯连接的显示区域进行第三警示,同时比赛暂停;If the recorded number of violations is greater than the preset number, a third warning will be issued based on the display area that establishes a significant communication connection with the first target competitor, and the game will be suspended at the same time;
其中,所述第一警示、第二警示和第三警示是基于显示特效,在对应的所述显示端的显示区域进行显示。Wherein, the first warning, the second warning and the third warning are displayed in the corresponding display area of the display terminal based on display special effects.
在一种可能实现的方式中,根据所述着落点确定所述目标气排球与所述同一比赛方中的每个目标参赛者的预估距离,且根据预先存储的同一比赛方中的所有目标参赛者的综合信息,对相关的第一目标参赛者进行预设警示的步骤包括:In a possible implementation manner, the estimated distance between the target air volleyball and each target competitor in the same competition party is determined according to the landing point, and according to all the pre-stored targets in the same competition party The comprehensive information of the contestants, and the steps of giving a preset warning to the relevant first target contestants include:
步骤S1:监测并预估所述着落点在接球方上空区域中所形成的预设轨迹中的一系列轨迹坐标,其中,所述轨迹坐标,是指在所述接球方上空区域中的空间子区域形成的一段轨迹,所述轨迹中每个轨迹点的坐标;Step S1: Monitoring and estimating a series of trajectory coordinates in the preset trajectory formed by the landing point in the area above the receiving side, wherein the trajectory coordinates refer to the coordinates in the area above the receiving side. A segment of trajectory formed by the spatial sub-region, the coordinates of each trajectory point in the trajectory;
步骤S2:基于所述轨迹坐标,确定所述目标气排球的预估倾斜角度θi和预估高度zi,来判断所述目标气排球是否会超出所述接球方对应的预设场地范围,若是,发出报警提醒;Step S2: Determine the estimated inclination angle θi and the estimated heightzi of the target air volleyball based on the trajectory coordinates, to determine whether the target air volleyball will exceed the preset field range corresponding to the ball receiver , if so, send out an alarm reminder;
其中,Y表示所述目标气排球在接球方对应的预设场地的落地值;ζ(A)表示所述目标气排球的运动轨迹;n表示所述轨迹中轨迹点的个数;i表示所有轨迹点中的第i个轨迹点;Ai(xi,yi,zi)表示第i个轨迹点的轨迹坐标;Ai+1(xi+1,yi+1,zi+1)表示第i+1个轨迹点的轨迹坐标;表示第i个预估倾斜角度的角度函数;Δδ表示所有轨迹点的平均微量修正参数;Wherein, Y represents the landing value of the target air volleyball on the preset field corresponding to the receiving side; ζ(A) represents the movement trajectory of the target air volleyball; n represents the number of trajectory points in the trajectory; i represents The ith track point among all track points; Ai (xi , yi , zi ) represents the track coordinates of the ith track point; Ai+1 (xi+1 , yi+1 , zi ) +1 ) represents the trajectory coordinates of the i+1th trajectory point; Represents the angle function of the ith estimated inclination angle; Δδ represents the average micro-correction parameter of all trajectory points;
其中,当Y超出预设场地范围时,发出报警提醒;Among them, when Y exceeds the preset site range, an alarm reminder is issued;
否则,执行步骤S3;Otherwise, go to step S3;
步骤S3:确定所述接球方的每个所述目标参赛者在其预设场地上的点位置坐标Bj(xj,yj,0),并基于所述一系列点轨迹坐标,获取与所述点位置坐标的预估距离;Step S3: Determine the point position coordinates Bj (xj , yj , 0) of each of the target players of the ball receiver on its preset field, and obtain the coordinates based on the series of point track coordinates. the estimated distance from the coordinates of the point position;
其中,Sj表示所述一系列点轨迹坐标与第j个目标参赛者之间的预估距离;Wherein, Sj represents the estimated distance between the series of point trajectory coordinates and the jth target contestant;
对获取的所有所述预估距离进行优先级排序,并获取前预设数目个最小预估距离;Performing priority sorting on all the obtained estimated distances, and obtaining the first preset number of minimum estimated distances;
步骤S4:确定与前预设数目个最小预估距离相关的目标参赛者的综合信息,来确定所述第一目标参赛者,并对所述第一目标参赛者进行预设警示;Step S4: Determine the comprehensive information of the target contestants related to the first preset number of minimum estimated distances, to determine the first target contestant, and perform a preset warning to the first target contestant;
其中,Sg表示前预设数目个中的第g个预估距离;Φg表示第g个预估距离对应的目标参赛者的综合信息;v表示所述目标气排球在运动轨迹中的平均运行速度;t表示所述目标气排球在运动轨迹中的运行时间;表示所述目标气排球的平均坐标值;χg表示第g个目标参赛者在所述第二压感面的点位置修正参数;Wherein, Sg represents the g-th estimated distance in the previous preset number; Φg represents the comprehensive information of the target contestant corresponding to the g-th estimated distance; v represents the average of the target air volleyball in the motion trajectory running speed; t represents the running time of the target air volleyball in the motion trajectory; Represents the average coordinate value of the target air volleyball; χg represents the point position correction parameter of the gth target competitor on the second pressure-sensitive surface;
对获取M进行优先级排序,根据获取的最大M,选择对应的第一目标参赛者。Prioritize the acquisition of M, and select the corresponding first target contestant according to the acquired maximum M.
本发明实施例提供一种气排球比赛显示系统,包括:An embodiment of the present invention provides an air volleyball game display system, including:
获取模块,用于获取预设赛场上每个目标参赛者的参赛属性;The acquisition module is used to acquire the entry attributes of each target contestant on the preset arena;
监测模块,用于根据所述获取模块获取的参赛属性,实时监测所述预设赛场上与所述参赛属性一一对应的每个目标参赛者的状态信息,所述状态信息包括:所述目标参赛者在所述预设场地上的当前得分信息、在比赛过程中的当前身体状态和比赛过程中的当前运动动作是否违规;A monitoring module, configured to monitor, in real time, the status information of each target contestant on the preset arena corresponding to the competition attributes one-to-one according to the competition attributes obtained by the obtaining module, the status information including: the target Whether the current score information of the contestant on the preset field, the current physical state during the competition and the current sports movements during the competition are illegal;
建立模块,用于建立所述预设场地上的每个所述目标参赛者与显示端的显著性通讯连接;establishing a module for establishing a salient communication connection between each of the target contestants on the preset field and the display terminal;
显示模块,用于将每个所述目标参赛者的状态信息显示在建立显著性通讯连接的显示端上。The display module is used for displaying the status information of each target contestant on the display end that establishes the significant communication connection.
本发明的其它特征和优点将在随后的说明书中阐述,并且,部分地从说明书中变得显而易见,或者通过实施本发明而了解。本发明的目的和其他优点可通过在所写的说明书、权利要求书、以及附图中所特别指出的结构来实现和获得。Other features and advantages of the present invention will be set forth in the description which follows, and in part will be apparent from the description, or may be learned by practice of the invention. The objectives and other advantages of the invention may be realized and attained by the structure particularly pointed out in the written description, claims, and drawings.
下面通过附图和实施例,对本发明的技术方案做进一步的详细描述。The technical solutions of the present invention will be further described in detail below through the accompanying drawings and embodiments.
附图说明Description of drawings
附图用来提供对本发明的进一步理解,并且构成说明书的一部分,与本发明的实施例一起用于解释本发明,并不构成对本发明的限制。在附图中:The accompanying drawings are used to provide a further understanding of the present invention, and constitute a part of the specification, and are used to explain the present invention together with the embodiments of the present invention, and do not constitute a limitation to the present invention. In the attached image:
图1为本发明实施例中一种气排球比赛显示方法的流程图;1 is a flowchart of a method for displaying an air volleyball game in an embodiment of the present invention;
图2为本发明实施例中显示端显示区域变化的示意图;2 is a schematic diagram of a change in a display area of a display terminal in an embodiment of the present invention;
图3为本发明实施例中区域估轨迹中的相关示意图;FIG. 3 is a related schematic diagram in the area estimation trajectory in the embodiment of the present invention;
图4为本发明实施例中一种气排球比赛显示系统的框架图。FIG. 4 is a frame diagram of an air volleyball game display system according to an embodiment of the present invention.
具体实施方式Detailed ways
以下结合附图对本发明的优选实施例进行说明,应当理解,此处所描述的优选实施例仅用于说明和解释本发明,并不用于限定本发明。The preferred embodiments of the present invention will be described below with reference to the accompanying drawings. It should be understood that the preferred embodiments described herein are only used to illustrate and explain the present invention, but not to limit the present invention.
本发明实施例提供一种气排球比赛显示方法,如图1所示,包括:An embodiment of the present invention provides a method for displaying an air volleyball game, as shown in FIG. 1 , including:
步骤1:获取预设赛场上每个目标参赛者的参赛属性;Step 1: Obtain the entry attributes of each target contestant on the preset arena;
步骤2:根据获取的参赛属性,实时监测所述预设赛场上与所述参赛属性一一对应的每个目标参赛者的状态信息,所述状态信息包括:所述目标参赛者在所述预设场地上的当前得分信息、在比赛过程中的当前身体状态和比赛过程中的当前运动动作是否违规;Step 2: According to the acquired entry attributes, monitor the status information of each target contestant on the preset arena one-to-one corresponding to the entry attributes in real time, where the state information includes: Set whether the current score information on the field, the current physical state during the game and the current movement during the game are illegal;
步骤3:建立所述预设场地上的每个所述目标参赛者与显示端的显著性通讯连接;Step 3: establishing a salient communication connection between each of the target contestants on the preset field and the display terminal;
步骤4:将每个所述目标参赛者的状态信息显示在建立显著性通讯连接的显示端上。Step 4: Display the status information of each of the target contestants on the display terminal where the significant communication connection is established.
上述显示端显示的状态信息是包括:目标参赛者在预设场地上的当前得分信息、在比赛过程中的当前身体状态和比赛过程中的当前运动动作是否违规,其是为了对每个参赛者情况进行及时了解,通过显示当前得分,确定参赛者的实力,通过对参赛者的当前身体状态进行监测显示,可有效的避免参赛者自身造成损伤,通过对赛场上每个参赛者的运动动作进行检测显示,可避免其犯规,促进比赛公平,保证比赛的透明性。The status information displayed on the above-mentioned display terminal includes: the current score information of the target contestant on the preset field, the current physical state during the game, and whether the current sports action during the game violates the rules, which is for each contestant. Real-time understanding of the situation, by displaying the current score, determining the strength of the contestant, and monitoring and displaying the current physical state of the contestant, which can effectively avoid the injury caused by the contestant. The test shows that it can avoid fouls, promote the fairness of the game, and ensure the transparency of the game.
上述预设赛场,是指定的比赛场地,且目标参赛者是指在比赛场地进行比赛的参赛者,且参赛属性是指目标参赛者的唯一标识特征,如:人脸等;The above preset competition venue is the designated competition venue, and the target participant refers to the participant who competes on the competition venue, and the entry attribute refers to the unique identification feature of the target participant, such as face, etc.;
上述建立的显著性通讯连接,如:对预设赛场上的目标参赛者的状态信息进行显著性显示,如:目标参赛者得分后,对应的显示端发出炫彩光等;The prominent communication connection established above, such as: displaying the status information of the target contestant on the preset arena prominently, such as: after the target contestant scores, the corresponding display terminal emits dazzling light, etc.;
其中,状态信息中不同的指标可对应不同的显示特效。Wherein, different indicators in the status information may correspond to different display effects.
上述技术方案的有益效果是:通过建立参赛者与显示端的显著性通讯连接,及时显示参赛者的状态信息,便于提高比赛的透明性和公开性。The beneficial effects of the above technical solutions are: by establishing a prominent communication connection between the contestant and the display terminal, the state information of the contestant can be displayed in time, which is convenient to improve the transparency and openness of the competition.
本发明实施例提供一种气排球比赛显示方法,所述获取预设赛场上每个目标参赛者的参赛属性的步骤包括:An embodiment of the present invention provides a method for displaying an air volleyball match, wherein the step of acquiring the participating attributes of each target contestant on the preset arena includes:
录入预先确定的气排球比赛双方的参赛人员的人员信息到人员数据库中,所述人员信息包括:所述参赛人员的唯一标识特征;Enter the pre-determined personnel information of the participants of both sides of the gas volleyball competition into the personnel database, where the personnel information includes: the unique identification features of the participants;
基于预设赛场进行气排球比赛之前,确定所有参赛人员中的目标参赛者和候选参赛者;Determine the target contestants and candidate contestants among all the contestants before the air volleyball match based on the preset arena;
基于所述人员数据库,获取每个所述目标参赛者的唯一标识特征;Based on the personnel database, obtain the unique identification feature of each of the target contestants;
其中,获取的所述唯一标识特征即为所述参赛属性。Wherein, the acquired unique identification feature is the competition attribute.
上述唯一标识特征,可以是目标参赛者的人脸图像、人员编号等信息。The above-mentioned unique identification feature may be the target contestant's face image, personnel number and other information.
上述参赛总人数=目标参赛者人数(即将上场比赛的参赛者)+候选参赛者人数。The above total number of participants = target number of participants (competitors who are about to play) + number of candidate participants.
上述技术方案的有益效果是:通过录入人员信息,并建立唯一标识特征,为建立显著性通讯连接,提供数据基础。The beneficial effects of the above technical solutions are: by entering personnel information and establishing a unique identification feature, a data basis is provided for establishing a significant communication connection.
本发明实施例提供一种气排球比赛显示方法,将每个所述目标参赛者的状态信息显示在建立显著性通讯连接的显示端上的步骤包括:An embodiment of the present invention provides a method for displaying an air volleyball match. The step of displaying the status information of each target competitor on a display terminal that establishes a significant communication connection includes:
确定气排球比赛双方的目标参赛者,并捕捉每个目标参赛者的唯一标识特征,并基于所述唯一标识特征,将同一比赛方的目标参赛者归于同一显示端进行显示;Determine the target competitors of both sides of the air volleyball competition, and capture the unique identification feature of each target competitor, and based on the unique identification feature, attribute the target competitors of the same player to the same display terminal for display;
实时监测每个所述目标参赛者,并对每个目标参赛者的状态信息进行实时更新,并将实时更新的状态信息实时显示在与所述目标参赛者建立显著性通讯连接的显示端;Monitoring each of the target contestants in real time, and updating the status information of each target contestant in real time, and displaying the real-time updated status information in real time on the display terminal that establishes a significant communication connection with the target contestant;
其中,所述显示端在显示的过程中包括:Wherein, in the process of displaying, the display terminal includes:
对所述显示端进行区域划分处理,并划分为与同一比赛方的目标参赛者的参赛人数相同的显示区域,且所述显示区域的显示大小依据所述参赛人数进行自动调节;Performing area division processing on the display terminal, and dividing it into a display area with the same number of participants as the target competitors of the same competitor, and the display size of the display area is automatically adjusted according to the number of participants;
且,当监测到替换所述目标参赛者为候选参赛者时,基于所述显示端建立新的显示区域,同时,被替换的所述目标参赛者状态信息按照预设显示规则,显示在所述显示端上。Moreover, when it is detected that the target contestant is replaced as a candidate contestant, a new display area is established based on the display terminal, and at the same time, the status information of the replaced target contestant is displayed in the on the display.
如图2所示,例如:同一比赛方a有5个目标参赛者,且初次比赛时,可将显示端划分为大小相同的5个区域,分别为区域1、2、3、4和5;且每个区域分别对应目标参赛者a1、a2、a3、a4和a5,此时,可将区域1与目标参赛者a1建立显著性通讯连接,其中,当第二场比赛时,如果出现1个目标参赛者被替换为候选参赛者,则,将显示端划分为大小相同的6个区域,分别为区域1、2、3、4、5和6;如果,被替换者是a3,则将a3对应的区域3移动到显示端的末尾进行显示,如不加有任何特效的显示;As shown in Figure 2, for example: there are 5 target participants in the same player a, and when the first game is played, the display end can be divided into 5 areas of the same size, namely
其中,对应的预设显示规则,例如:可以将区域6代替区域3的位置进行显示,也可以将区域6的位置设置在区域5的后边位置和已经移动后的区域3的前边位置进行显示等。Among them, the corresponding preset display rules, for example: the position of the
上述技术方案的有益效果是:通过对显示端进行区域划分处理,便于合理的显示每个目标参赛者的状态信息,通过对状态信息进行实时更新,便于及时了解目标参赛者的当前情况。The beneficial effects of the above technical solutions are: by performing regional division processing on the display end, it is convenient to reasonably display the status information of each target contestant, and by updating the status information in real time, it is convenient to know the current situation of the target contestant in time.
本发明实施例提供一种气排球比赛显示方法,所述显示区域在实时显示对应的所述目标参赛者的状态信息时,还包括:An embodiment of the present invention provides a method for displaying an air volleyball game, wherein the display area further includes: when displaying the status information of the corresponding target contestant in real time:
确定所述目标参赛者在所述预设场地上的当前得分信息的第一权重信息;determining the first weight information of the current score information of the target contestant on the preset field;
确定所述目标参赛者在比赛过程中的当前身体状态的第二权重信息;determining the second weight information of the current physical state of the target contestant during the competition;
确定所述目标参赛者在比赛过程中的当前运动动作是否违规的第三权重信息;The third weight information to determine whether the current sports action of the target contestant during the competition is illegal;
基于预先设定的权重排序模型,对确定的第一权重信息、第二权重信息和第三权重信息的权重值,按照预先设定的优先级顺序进行输出;Based on the preset weight sorting model, output the determined weight values of the first weight information, the second weight information and the third weight information according to the preset priority order;
且根据输出结果,将所述当前得分信息、当前身体状态和当前运动动作是否违规进行优先级显示;And according to the output result, the current score information, the current physical state and whether the current sports action violates the rules are displayed in priority;
同时,每个对应的显示区域上,还显示所述目标参赛者的参赛属性。At the same time, each corresponding display area also displays the competition attributes of the target contestant.
上述权重信息和权重排序模型都是根据比赛规则而定的,不同的比赛规则,对应的权重信息不一样,例如,如果比赛规则是偏向于比赛成绩的,那此时,当前得分信息就为最大权重值;The above weight information and weight ranking model are determined according to the game rules. Different game rules have different corresponding weight information. For example, if the game rules are biased towards the game results, then at this time, the current score information is the largest Weights;
如果,是按照比赛成绩,确定的显示顺序,则,对应的同一比赛方a有5个目标参赛者,对应的显示区域为1、2、3、4和5;且每个区域分别对应目标参赛者a1、a2、a3、a4和a5,按照比赛成绩对显示区域为1、2、3、4和5的显示排序顺序进行调节。If the display order is determined according to the competition results, then there are 5 target participants in the same competition team a, and the corresponding display areas are 1, 2, 3, 4, and 5; and each area corresponds to the target competition. Players a1, a2, a3, a4 and a5, adjust the display sorting order of
上述技术方案的有益效果是:通过按照权重信息来显示相应的结果,并对显示的区域进行顺序变化等,更进一步提高其比赛的透明性。The beneficial effects of the above technical solutions are: by displaying the corresponding results according to the weight information, and sequentially changing the displayed areas, the transparency of the competition is further improved.
本发明实施例提供一种气排球比赛显示方法,所述显示区域性显示所述目标参赛者的状态信息和参赛属性时,还包括:An embodiment of the present invention provides a method for displaying an air volleyball match. When the display regionally displays the status information and participation attributes of the target contestant, the method further includes:
当所述状态信息中的当前得分信息、当前身体状态和当前运动动作是否违规中的任一指标发生变化时,根据预先设定的更改数据库,将对应的显示区域进行显著性显示,且根据不同的指标进行不同的显著性显示;When any one of the current score information in the state information, the current physical state, and whether the current sports action violates the rules changes, the corresponding display area is significantly displayed according to the preset modification database, and according to different The indicators are displayed with different significance;
同时,获取所述输出结果中优先等级最高的第一指标,并将所述第一指标作为更改所述显示区域的显示位置的更改基础。At the same time, the first index with the highest priority in the output result is acquired, and the first index is used as the basis for changing the display position of the display area.
上述当任一指标发生变化时,就进行显著性显示,例如:区域1中的当前得分成绩发生变化,其区域1进行蓝光显示,再如,区域1中的当前运动动作违规次数发生变化,其区域1进行红光显示等。When any of the above indicators changes, it will be displayed significantly. For example, if the current score in
上述技术方案的有益效果是:根据不同的指标,进行不同的显著性显示,不仅有效提高目标参赛者的规范性和积极性,还进一步提高其比赛的透明性。The beneficial effects of the above technical solutions are: different saliency displays are performed according to different indicators, which not only effectively improves the standardization and enthusiasm of the target contestants, but also further improves the transparency of their competitions.
本发明实施例提供一种气排球比赛显示方法,实时监测所述预设赛场上与所述参赛属性一一对应的每个目标参赛者的状态信息的过程中,还包括:An embodiment of the present invention provides a method for displaying an air volleyball match. The process of monitoring the status information of each target contestant on the preset arena one-to-one corresponding to the participating attributes in real time further includes:
基于预设场地的地表设置的第一压感面,感应每个所述目标参赛者在进行气排球比赛时的脚步运动轨迹;Based on the first pressure-sensitive surface set on the ground surface of the preset venue, sensing the footstep movement trajectory of each of the target players during the air volleyball match;
同时,基于获取脚步运动轨迹的时间戳,对同一所述目标参赛者的传球运动轨迹进行监测,并基于时间戳,将所述脚步运动轨迹和传球运动轨迹进行融合处理,将融合处理结果输入到运动建议模型,并输出与所述目标参赛者相关的改进方案。At the same time, based on the time stamp of the obtained footstep movement trajectory, the passing movement trajectory of the same target competitor is monitored, and based on the time stamp, the footstep movement trajectory and the ball passing movement trajectory are fused, and the fusion processing result is performed. Input to an exercise proposal model, and output improvements related to said target competitor.
上述设置第一压感面,是为了方便获取参赛者的脚步运动轨迹,且压感面,可以是由压力传感器设置成的;The above-mentioned setting of the first pressure-sensitive surface is to facilitate the acquisition of the runner's footstep trajectory, and the pressure-sensitive surface may be set by a pressure sensor;
上述脚步运动轨迹,可以是根据第一压感面产生的压力感应信号进行确定的;The above-mentioned footstep motion trajectory may be determined according to the pressure sensing signal generated by the first pressure-sensitive surface;
上述传球运动轨迹,可以是根据摄像头对其预设场地进行监测获得的。The above-mentioned passing movement trajectory may be obtained by monitoring the preset field by the camera.
上述运动建议模型,是基于神经网络预先设定好的。The above motion suggestion model is preset based on the neural network.
上述融合处理,是为了对脚步运动轨迹和传球运动轨迹进行同步分析。The above-mentioned fusion processing is for the purpose of synchronizing the analysis of the footstep motion trajectory and the passing motion trajectory.
上述技术方案的有益效果是:通过获取目标参赛者的脚步运动轨迹和传球运动轨迹,智能对获取其的改进方案,方便参赛者学习,提高自身技能。The beneficial effects of the above technical solutions are: by obtaining the target competitor's footstep movement trajectory and passing movement trajectory, intelligently obtain the improvement plan, which is convenient for the competitors to learn and improve their own skills.
本发明实施例提供一种气排球比赛显示方法,将融合处理结果输入到运动评比模型,并输出与所述目标参赛者相关的评比值,当所述评比值大于预设值时,判定所述融合处理结果对应的同步脚步运动轨迹和传球运动轨迹对应的时间戳为优秀比赛瞬间,并进行记录;An embodiment of the present invention provides a method for displaying an air volleyball game, which inputs the fusion processing result into a sports evaluation model, and outputs an evaluation value related to the target competitor. When the evaluation value is greater than a preset value, it is determined that the The time stamps corresponding to the synchronous footstep motion trajectory and the passing motion trajectory corresponding to the fusion processing result are excellent game moments, and are recorded;
且当气排球比赛双方处于休息状态时,基于所述显示端,将记录的优秀比赛瞬间进行随机播放。And when both sides of the air volleyball match are in a rest state, based on the display terminal, the recorded excellent matches are instantly played randomly.
例如,参赛者的融合处理结果的评比值为95,而预设值为90,此时,将其对应的时间戳视为优秀比赛瞬间。For example, the evaluation value of the fusion processing result of the contestant is 95, and the default value is 90. At this time, the corresponding time stamp is regarded as an excellent game moment.
上述技术方案的有益效果是:通过记录优秀比赛瞬间,并随机播放,便于参赛者摩学习,提高技能。The beneficial effects of the above technical solutions are: by recording excellent game moments and playing them randomly, it is convenient for contestants to learn and improve their skills.
本发明实施例提供一种气排球比赛显示方法,还包括:An embodiment of the present invention provides a method for displaying an air volleyball game, further comprising:
基于预设场地的地表设置的第二压感面,与所述显示端建立显著性通讯连接,同时获取预设场地中的同一比赛方中的每个目标参赛者的点位置,且所述点位置实时显示在所述显示端;Based on the second pressure-sensitive surface set on the ground surface of the preset field, a significant communication connection is established with the display terminal, and at the same time, the point position of each target contestant in the same competitor in the preset field is acquired, and the point The position is displayed on the display terminal in real time;
监测所述预设场地中所述目标参赛者的传球信息,当监测到当前目标参赛者正在传球时,将所述当前目标参赛者所处的点位置在显示端进行端点显著性显示,同时,对所述当前目标参赛者所传的目标气排球的传输轨迹进行线路显著性显示;Monitoring the passing information of the target contestant in the preset field, and when monitoring that the current target contestant is passing the ball, the point position where the current target contestant is located is displayed on the display end for endpoint significance, At the same time, the line significance display is performed on the transmission trajectory of the target air volleyball passed by the current target contestant;
构建所述预设场地为三维空间区域,并对所述三维空间区域进行空间切割,获得若干个空间子区域,同时,监测并获取所述目标气排球在所述预设场地的上空区域的区域点信息,并将所述区域点信息实时融合到对应的空间子区域中,获得所述目标气排球在所述三维空间区域中的区域轨迹;Constructing the preset field as a three-dimensional space area, and performing spatial cutting on the three-dimensional space area to obtain several space sub-areas, and at the same time, monitoring and acquiring the area of the target air volleyball in the area above the preset field point information, and fuse the area point information into the corresponding space sub-area in real time to obtain the area trajectory of the target air volleyball in the three-dimensional space area;
当同一比赛方中的不同目标参赛者都处于待接球状态时,确定所述区域轨迹基于所述同一比赛方所在区域中的着落点,同时根据所述着落点确定所述目标气排球与所述同一比赛方中的每个目标参赛者的预估距离,且根据预先存储的同一比赛方中的所有目标参赛者的综合信息,对相关的第一目标参赛者进行预设警示,且当所述目标气排球到达所述同一比赛方所处的上空区域时,基于所述预设警示提醒对应的所述第一目标参赛者进行接球回击;When different target players in the same player are in the state of waiting to catch the ball, determining the area trajectory is based on the landing point in the area where the same player is located, and at the same time determining the target air volleyball and the target air volleyball according to the landing point. The estimated distance of each target contestant in the same competition party is described, and according to the pre-stored comprehensive information of all target contestants in the same competition party, a preset warning is given to the relevant first target contestant, and when all the When the target air volleyball reaches the upper area where the same competitor is located, remind the corresponding first target contestant based on the preset warning to catch the ball back;
且对所述第一目标用户的接球回击的接球动作进行监测,并基于标准数据库,确定所述接球动作是否违规;And monitoring the ball-catching action of the first target user's ball-catching and returning, and based on the standard database, determine whether the ball-catching action violates the rules;
若是,对所述第一目标参赛者的接球动作的违规次数进行记录,若记录的所述违规次数大于零且小于预设次数,则基于与所述第一目标参赛者建立显著性通讯连接的显示区域进行第一警示;If yes, record the number of violations of the first target competitor's catching action, if the recorded number of violations is greater than zero and less than the preset number, then establish a significant communication connection with the first target competitor display area for the first warning;
若记录的所述违规次数等于预设次数,则基于与所述第一目标参赛者建立显著性通讯连接的显示区域进行第二警示;If the recorded number of violations is equal to a preset number of times, a second warning is performed based on the display area that establishes a significant communication connection with the first target competitor;
若记录的所述违规次数大于预设次数,则基于与所述第一目标参赛者建立显著性通讯连接的显示区域进行第三警示,同时比赛暂停;If the recorded number of violations is greater than the preset number, a third warning will be issued based on the display area that establishes a significant communication connection with the first target competitor, and the game will be suspended at the same time;
其中,所述第一警示、第二警示和第三警示是基于显示特效,在对应的所述显示端的显示区域进行显示。Wherein, the first warning, the second warning and the third warning are displayed in the corresponding display area of the display terminal based on display special effects.
上述目标参赛者的点位置是指在第二压感面的点坐标,例如,可以是以第二压感面为xy水平面以正方向(指向正上空区域球的方向)建立三维空间坐标;The above-mentioned point position of the target contestant refers to the point coordinates on the second pressure-sensitive surface. For example, the second pressure-sensitive surface can be used as the xy horizontal plane to establish three-dimensional space coordinates in the positive direction (direction to the ball in the directly above area);
上述每个空间子区域可以包含区域轨迹若干轨迹点在内的;Each of the above-mentioned spatial sub-regions may include several track points of the regional track;
且上述的区域轨迹,如图3所示,目标拍气球在过网d以后,从初始点开始在其传输一段时间的轨迹,如1S的区域轨迹,其中c1是指初始点,c2是1S后的终点,c表示预设场地,c3表示目标气排球。And the above-mentioned regional trajectory, as shown in Figure 3, after the target shooting balloon passes through the net d, it starts to transmit the trajectory for a period of time from the initial point, such as the regional trajectory of 1S, where c1 refers to the initial point, and c2 is after 1S. The end point of , c represents the preset field, and c3 represents the target air volleyball.
上述着落点,可以是是区域轨迹中目标参赛者一般情况可以接触到的接球回击的点,且还如图3所示,c4表示目标参赛者,c5表示着落点;The above-mentioned landing point can be a point in the regional trajectory that the target contestant can generally touch to catch the ball and return, and as shown in Figure 3, c4 represents the target contestant, and c5 represents the landing point;
上述预设警示,可以是语音提醒等。The above-mentioned preset alert may be a voice alert or the like.
上述预设次数可以为1或2次,一般的违规动作,比如:除却手、胳膊等部位的其他部位接球即视为违规。The above preset number of times can be 1 or 2 times, and general illegal actions, such as: catching the ball in other parts except the hands, arms, etc., are regarded as violations.
上述第一警示、第二警示和第三警示是基于显示特效进行显示的,可以是显示不同的颜色,或者类似手游的不同的攻击特效等。The above-mentioned first warning, second warning and third warning are displayed based on display special effects, which may be displayed in different colors, or different attack special effects similar to mobile games.
上述技术方案的有益效果是:在比赛过程中,由于位置空间有限,在回击对方排球时,可能会出现同队的多个队员对该球都不回击或者双发碰撞的情况,因此为了避免这种情况的出现,对目标气排球的运动轨迹等相关信息进行智能判断,方便参赛者对其目标气排球进行回击时,不仅可有效的避免出现空球的情况,还可避免出现碰撞的情况,同时,通过对接球动作进行监测,可有效的降低目标参赛者出现故意违规的可能性,提高其比赛的公平性。The beneficial effects of the above technical solutions are: in the course of the game, due to the limited position space, when hitting the opponent's volleyball, there may be situations where multiple players of the same team do not hit the ball or collide with the ball. Therefore, in order to avoid this. When such a situation occurs, intelligently judge the movement trajectory of the target air volleyball and other related information, so that when the contestant hits back against the target air volleyball, it can not only effectively avoid the situation of empty balls, but also avoid collisions. At the same time, by monitoring the ball movements, it can effectively reduce the possibility of intentional violations of the target competitors and improve the fairness of their games.
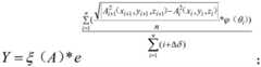
本发明实施例提供一种气排球比赛显示方法,根据所述着落点确定所述目标气排球与所述同一比赛方中的每个目标参赛者的预估距离,且根据预先存储的同一比赛方中的所有目标参赛者的综合信息,对相关的第一目标参赛者进行预设警示的步骤包括:An embodiment of the present invention provides a method for displaying an air volleyball match, wherein the estimated distance between the target air volleyball and each target contestant in the same competition party is determined according to the landing point, and according to the pre-stored same competition party The comprehensive information of all target contestants in the
步骤S1:监测并预估所述着落点在接球方上空区域中所形成的预设轨迹中的一系列轨迹坐标,其中,所述轨迹坐标,是指在所述接球方上空区域中的空间子区域形成的一段轨迹,所述轨迹中每个轨迹点的坐标;Step S1: Monitoring and estimating a series of trajectory coordinates in the preset trajectory formed by the landing point in the area above the receiving side, wherein the trajectory coordinates refer to the coordinates in the area above the receiving side. A segment of trajectory formed by the spatial sub-region, the coordinates of each trajectory point in the trajectory;
步骤S2:基于所述轨迹坐标,确定所述目标气排球的预估倾斜角度θi和预估高度zi,来判断所述目标气排球是否会超出所述接球方对应的预设场地范围,若是,发出报警提醒;Step S2: Determine the estimated inclination angle θi and the estimated heightzi of the target air volleyball based on the trajectory coordinates, to determine whether the target air volleyball will exceed the preset field range corresponding to the ball receiver , if so, send out an alarm reminder;
其中,Y表示所述目标气排球在接球方对应的预设场地的落地值;ζ(A)表示所述目标气排球的运动轨迹;n表示所述轨迹中轨迹点的个数;i表示所有轨迹点中的第i个轨迹点;Ai(xi,yi,zi)表示第i个轨迹点的轨迹坐标;Ai+1(xi+1,yi+1,zi+1)表示第i+1个轨迹点的轨迹坐标;表示第i个预估倾斜角度的角度函数;Δδ表示所有轨迹点的平均微量修正参数;Wherein, Y represents the landing value of the target air volleyball on the preset field corresponding to the receiving side; ζ(A) represents the movement trajectory of the target air volleyball; n represents the number of trajectory points in the trajectory; i represents The ith track point among all track points; Ai (xi , yi , zi ) represents the track coordinates of the ith track point; Ai+1 (xi+1 , yi+1 , zi ) +1 ) represents the trajectory coordinates of the i+1th trajectory point; Represents the angle function of the ith estimated inclination angle; Δδ represents the average micro-correction parameter of all trajectory points;
其中,当Y超出预设场地范围时,发出报警提醒;Among them, when Y exceeds the preset site range, an alarm reminder is issued;
否则,执行步骤S3;Otherwise, go to step S3;
步骤S3:确定所述接球方的每个所述目标参赛者在其预设场地上的点位置坐标Bj(xj,yj,0),并基于所述一系列点轨迹坐标,获取与所述点位置坐标的预估距离;Step S3: Determine the point position coordinates Bj (xj , yj , 0) of each of the target players of the ball receiver on its preset field, and obtain the coordinates based on the series of point track coordinates. the estimated distance from the coordinates of the point position;
其中,Sj表示所述一系列点轨迹坐标与第j个目标参赛者之间的预估距离;Wherein, Sj represents the estimated distance between the series of point trajectory coordinates and the jth target contestant;
对获取的所有所述预估距离进行优先级排序,并获取前预设数目个最小预估距离;Performing priority sorting on all the obtained estimated distances, and obtaining the first preset number of minimum estimated distances;
步骤S4:确定与前预设数目个最小预估距离相关的目标参赛者的综合信息,来确定所述第一目标参赛者,并对所述第一目标参赛者进行预设警示;Step S4: Determine the comprehensive information of the target contestants related to the first preset number of minimum estimated distances, to determine the first target contestant, and perform a preset warning to the first target contestant;
其中,Sg表示前预设数目个中的第g个预估距离;Φg表示第g个预估距离对应的目标参赛者的综合信息;v表示所述目标气排球在运动轨迹中的平均运行速度;t表示所述目标气排球在运动轨迹中的运行时间;表示所述目标气排球的平均坐标值;χg表示第g个目标参赛者在所述第二压感面的点位置修正参数;Wherein, Sg represents the g-th estimated distance in the previous preset number; Φg represents the comprehensive information of the target contestant corresponding to the g-th estimated distance; v represents the average of the target air volleyball in the motion trajectory running speed; t represents the running time of the target air volleyball in the motion trajectory; Represents the average coordinate value of the target air volleyball; χg represents the point position correction parameter of the gth target competitor on the second pressure-sensitive surface;
对获取M进行优先级排序,根据获取的最大M,选择对应的第一目标参赛者。Prioritize the acquisition of M, and select the corresponding first target contestant according to the acquired maximum M.
上述技术方案的有益效果是:通过初次判断目标气排球是否会超出接球方对应的预设场地范围,可以有效的提醒目标参赛的是否接球,且在日常训练中,通过该方式,可有效的提高训练效果,即使在不能进行智能提醒的情况下,也可以准确的做出判断;其次,通过确定所有轨迹坐标与一个点位置坐标之间的距离,可以有效的对其的综合距离进行确定,且通过对M进行排序,便于优选出较为合理的第一目标参赛者。The beneficial effects of the above technical solutions are: by judging for the first time whether the target air volleyball will exceed the preset field range corresponding to the receiving party, it can effectively remind the target participating players whether to catch the ball, and in daily training, this method can effectively To improve the training effect, even in the case of no intelligent reminder, you can make accurate judgments; secondly, by determining the distance between all trajectory coordinates and a point position coordinate, you can effectively determine its comprehensive distance. , and by sorting M, it is convenient to select a more reasonable first target contestant.
本发明实施例提供一种气排球比赛显示系统,如图4所示,包括:An embodiment of the present invention provides an air volleyball game display system, as shown in FIG. 4 , including:
获取模块,用于获取预设赛场上每个目标参赛者的参赛属性;The acquisition module is used to acquire the entry attributes of each target contestant on the preset arena;
监测模块,用于根据所述获取模块获取的参赛属性,实时监测所述预设赛场上与所述参赛属性一一对应的每个目标参赛者的状态信息,所述状态信息包括:所述目标参赛者在所述预设场地上的当前得分信息、在比赛过程中的当前身体状态和比赛过程中的当前运动动作是否违规;A monitoring module, configured to monitor, in real time, the status information of each target contestant on the preset arena corresponding to the competition attributes one-to-one according to the competition attributes obtained by the obtaining module, the status information including: the target Whether the current score information of the contestant on the preset field, the current physical state during the competition and the current sports movements during the competition are illegal;
建立模块,用于建立所述预设场地上的每个所述目标参赛者与显示端的显著性通讯连接;establishing a module for establishing a salient communication connection between each of the target contestants on the preset field and the display terminal;
显示模块,用于将每个所述目标参赛者的状态信息显示在建立显著性通讯连接的显示端上。The display module is used for displaying the status information of each target contestant on the display end that establishes the significant communication connection.
上述技术方案的有益效果是:通过建立参赛者与显示端的显著性通讯连接,及时显示参赛者的状态信息,便于提高比赛的透明性和公开性。The beneficial effects of the above technical solutions are: by establishing a prominent communication connection between the contestant and the display terminal, the state information of the contestant can be displayed in time, which is convenient to improve the transparency and openness of the competition.
显然,本领域的技术人员可以对本发明进行各种改动和变型而不脱离本发明的精神和范围。这样,倘若本发明的这些修改和变型属于本发明权利要求及其等同技术的范围之内,则本发明也意图包含这些改动和变型在内。It will be apparent to those skilled in the art that various modifications and variations can be made in the present invention without departing from the spirit and scope of the invention. Thus, provided that these modifications and variations of the present invention fall within the scope of the claims of the present invention and their equivalents, the present invention is also intended to include these modifications and variations.
| Application Number | Priority Date | Filing Date | Title |
|---|---|---|---|
| CN202010558347.3ACN111672088B (en) | 2020-06-18 | 2020-06-18 | A kind of display method and system of air volleyball game |
| Application Number | Priority Date | Filing Date | Title |
|---|---|---|---|
| CN202010558347.3ACN111672088B (en) | 2020-06-18 | 2020-06-18 | A kind of display method and system of air volleyball game |
| Publication Number | Publication Date |
|---|---|
| CN111672088Atrue CN111672088A (en) | 2020-09-18 |
| CN111672088B CN111672088B (en) | 2021-07-02 |
| Application Number | Title | Priority Date | Filing Date |
|---|---|---|---|
| CN202010558347.3AActiveCN111672088B (en) | 2020-06-18 | 2020-06-18 | A kind of display method and system of air volleyball game |
| Country | Link |
|---|---|
| CN (1) | CN111672088B (en) |
| Publication number | Priority date | Publication date | Assignee | Title |
|---|---|---|---|---|
| EP1030725A1 (en)* | 1997-11-21 | 2000-08-30 | Sport Engineering Limited | Display device for an exercise apparatus |
| CN105105755A (en)* | 2015-06-25 | 2015-12-02 | 厦门市简极科技有限公司 | Intelligent ball field system and data acquisition method thereof |
| CN108096805A (en)* | 2018-01-10 | 2018-06-01 | 湖南理工学院 | A kind of Air volleyball match display methods and Air volleyball tournament system |
| CN109107138A (en)* | 2018-09-25 | 2019-01-01 | 宝鸡文理学院 | A kind of system and method for real-time record athletic competition achievement |
| CN109446241A (en)* | 2018-11-01 | 2019-03-08 | 百度在线网络技术(北京)有限公司 | A kind of statistical method, device, equipment and the storage medium of sporter's technical parameter |
| CN109833619A (en)* | 2019-01-14 | 2019-06-04 | 湖南理工学院 | A kind of game-scoring method and portable multifunctional Intelligent scoring system |
| Publication number | Priority date | Publication date | Assignee | Title |
|---|---|---|---|---|
| EP1030725A1 (en)* | 1997-11-21 | 2000-08-30 | Sport Engineering Limited | Display device for an exercise apparatus |
| CN105105755A (en)* | 2015-06-25 | 2015-12-02 | 厦门市简极科技有限公司 | Intelligent ball field system and data acquisition method thereof |
| CN108096805A (en)* | 2018-01-10 | 2018-06-01 | 湖南理工学院 | A kind of Air volleyball match display methods and Air volleyball tournament system |
| CN109107138A (en)* | 2018-09-25 | 2019-01-01 | 宝鸡文理学院 | A kind of system and method for real-time record athletic competition achievement |
| CN109446241A (en)* | 2018-11-01 | 2019-03-08 | 百度在线网络技术(北京)有限公司 | A kind of statistical method, device, equipment and the storage medium of sporter's technical parameter |
| CN109833619A (en)* | 2019-01-14 | 2019-06-04 | 湖南理工学院 | A kind of game-scoring method and portable multifunctional Intelligent scoring system |
| Publication number | Publication date |
|---|---|
| CN111672088B (en) | 2021-07-02 |
| Publication | Publication Date | Title |
|---|---|---|
| US11263919B2 (en) | Feedback signals from image data of athletic performance | |
| KR100648554B1 (en) | Play method and apparatus, and recording medium | |
| US10292648B2 (en) | Energy expenditure device | |
| JP2020036979A (en) | Systems and methods for storing and analyzing golf data | |
| CN110270077B (en) | Batting evaluation system and method thereof | |
| CN113727761A (en) | System and method for monitoring player performance and events in sports | |
| EP3036669A1 (en) | Energy expenditure device | |
| AU2014347365A1 (en) | Classification of activity derived from multiple locations | |
| WO2011009302A1 (en) | Method for identifying actions of human body based on multiple trace points | |
| KR20080098136A (en) | Screen golf system that can putt practice and practice method using the same | |
| US12214483B2 (en) | Cricket game intelligent bot umpire for automated umpiring and scoring decisions during cricket match | |
| CN107670261A (en) | A kind of internet motion assistant system based on motion capture technology | |
| CN109718524A (en) | A kind of location-based shootaround system | |
| CN111672089B (en) | An electronic scoring system and implementation method for multiplayer confrontation projects | |
| GB2560416A (en) | Games | |
| US20140330412A1 (en) | Computerized interactive sports system and a method of assessing sports skills of users | |
| CN111672088A (en) | A kind of display method and system of air volleyball game | |
| CN111097160A (en) | Method, system, device, terminal and storage medium for resisting motion management | |
| CN112933574B (en) | Multi-split indoor ski game control method and system and readable storage medium | |
| TWI827436B (en) | Intelligent scoring method and scoring device for martial arts competitions | |
| TWI827437B (en) | Intelligent scoring system for martial arts competitions | |
| Uchikata et al. | Automated judgement of Gateball with AI-IoT | |
| JP3003525U (en) | Golf hitting device | |
| CN119072346A (en) | Method, system, and non-transitory computer-readable recording medium for providing information on a golf shot | |
| TW202419135A (en) | System for analyzing user swing to determine ball trajectory and method thereof |
| Date | Code | Title | Description |
|---|---|---|---|
| PB01 | Publication | ||
| PB01 | Publication | ||
| SE01 | Entry into force of request for substantive examination | ||
| SE01 | Entry into force of request for substantive examination | ||
| GR01 | Patent grant | ||
| GR01 | Patent grant |