Movatterモバイル変換


[0]ホーム

URL:


CN111651461B - Energy storage operation monitoring method and system based on machine learning - Google Patents

Energy storage operation monitoring method and system based on machine learning
Download PDF

Info

Publication number
CN111651461B
CN111651461BCN202010553872.6ACN202010553872ACN111651461BCN 111651461 BCN111651461 BCN 111651461BCN 202010553872 ACN202010553872 ACN 202010553872ACN 111651461 BCN111651461 BCN 111651461B
Authority
CN
China
Prior art keywords
energy storage
energy
control point
distributed
storage device
Prior art date
Legal status (The legal status is an assumption and is not a legal conclusion. Google has not performed a legal analysis and makes no representation as to the accuracy of the status listed.)
Active
Application number
CN202010553872.6A
Other languages
Chinese (zh)
Other versions
CN111651461A (en
Inventor
郭子健
郑熙
陈家良
商金来
陈祯
张玲
Current Assignee (The listed assignees may be inaccurate. Google has not performed a legal analysis and makes no representation or warranty as to the accuracy of the list.)
Shenzhen Kubo Energy Co ltd
Original Assignee
Shenzhen Kubo Energy Science & Technology Co ltd
Priority date (The priority date is an assumption and is not a legal conclusion. Google has not performed a legal analysis and makes no representation as to the accuracy of the date listed.)
Filing date
Publication date
Application filed by Shenzhen Kubo Energy Science & Technology Co ltdfiledCriticalShenzhen Kubo Energy Science & Technology Co ltd
Priority to CN202010553872.6ApriorityCriticalpatent/CN111651461B/en
Publication of CN111651461ApublicationCriticalpatent/CN111651461A/en
Application grantedgrantedCritical
Publication of CN111651461BpublicationCriticalpatent/CN111651461B/en
Activelegal-statusCriticalCurrent
Anticipated expirationlegal-statusCritical

Links

Images

Classifications

Landscapes

Abstract

The invention provides an energy storage operation monitoring method and system based on machine learning, wherein the method comprises the following steps: acquiring energy storage operation data of the distributed energy storage device; monitoring energy transmission data between the distributed energy storage device and a target load; performing pre-analysis on the energy storage operation data and the energy transmission data based on a machine learning algorithm to obtain a pre-analysis result; and transmitting the pre-analysis result to a display terminal for displaying. By monitoring the energy storage operation data and the energy transmission data of the target load and the distributed energy storage device and analyzing based on a machine learning algorithm, the method is convenient for effective monitoring and improves the rationality of the use of the distributed energy storage device on energy storage and the like.

Description

Energy storage operation monitoring method and system based on machine learning
Technical Field
The invention relates to the technical field of machine learning, in particular to an energy storage operation monitoring method and system based on machine learning.
Background
Energy storage is taken as an important support technology for energy internet development, more and more attention and recognition are paid, the market scale presents a rapid development situation, particularly on the user side, the fixed energy storage of industrial/commercial/residential users and the rapid development of electric vehicles, and the distributed energy storage resource scale of the user side stock is continuously enlarged.
The invention provides an energy storage operation monitoring method and system based on machine learning, which are provided by the invention, and have the advantages that when the energy storage is used by related loads such as a user side due to insufficient deep fusion of the current energy storage facility and an information technology, a user side and an energy storage device of the user side are not effectively monitored, so that a lot of negative effects are brought in the process of using the energy storage, for example, whether the energy use between the load and the energy storage device is reasonable or not can not be known in time.
Disclosure of Invention
The invention provides an energy storage operation monitoring method and system based on machine learning, which are used for analyzing energy storage operation data and energy transmission data related to a target load and a distributed energy storage device through monitoring and based on a machine learning algorithm, thereby facilitating effective monitoring and improving the rationality of the use of energy storage and the like.
The invention provides an energy storage operation monitoring method based on machine learning, which comprises the following steps:
acquiring energy storage operation data of a distributed energy storage device, and monitoring input control points of the distributed energy storage device in real time, wherein the monitoring step comprises the following steps:
step A1: acquiring all input control points of the distributed energy storage device, and controlling a first control point of all the input control points to be opened and a second control point to be closed based on an input rule, wherein the number of the first control points is N1, the number of the second control points is N2, N1+ N2= N, and N represents the number of all the input control points;
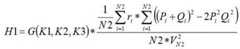
step A2: calculating an energy loss value of the second control point according to the following formula
Figure 100002_DEST_PATH_IMAGE001
Figure 100002_DEST_PATH_IMAGE003
Wherein,
Figure 297013DEST_PATH_IMAGE004
an energy loss function representing that the second control point is based on an input interface position point K1 of the distributed storage device, an energy conversion efficiency K2 of the input interface and an off state K3 of the input interface; i denotes the ith second control point in N2;
Figure 100002_DEST_PATH_IMAGE005
representing the load capacity of the ith second control point;
Figure 702586DEST_PATH_IMAGE006
the effective power corresponding to the ith second control point;
Figure 100002_DEST_PATH_IMAGE007
the invalid power corresponding to the ith second control point;
Figure 344920DEST_PATH_IMAGE008
represents a nominal voltage of the second control point;
step A3: calculating an energy loss value of the first control point according to the following formula
Figure 100002_DEST_PATH_IMAGE009
Figure 100002_DEST_PATH_IMAGE011
Wherein,
Figure 168651DEST_PATH_IMAGE012
an energy loss function representing that the first control point is based on an input interface position point K11 of the distributed storage device, the energy conversion efficiency K12 of the input interface and the on state K13 of the input interface; i1 denotes the i1 th first control point in N1;
Figure 100002_DEST_PATH_IMAGE013
representing the load capacity of the ith first control point;
Figure 995661DEST_PATH_IMAGE014
the effective power corresponding to the i1 th first control point;
Figure 100002_DEST_PATH_IMAGE015
the invalid power corresponding to the i1 th first control point;
Figure 560635DEST_PATH_IMAGE016
a nominal voltage representative of the first control point;
step A4: determining an energy input deviation value D based on the distributed storage devices according to the energy loss value H1 of the second control point and the energy loss value H2 of the first control point;
Figure 350868DEST_PATH_IMAGE018
wherein,
Figure 100002_DEST_PATH_IMAGE019
representation based on energy loss value
Figure 278372DEST_PATH_IMAGE020
A control adjustment factor for the corresponding first control point;
step A5: when the energy input deviation value is lower than a preset deviation value, determining a first dynamic power adjustment threshold corresponding to the first control point and a second dynamic power adjustment threshold corresponding to the second control point according to the input attributes of all input control points and the energy input deviation value;
step A6: adjusting the input power of a corresponding input control point in the distributed energy storage device according to the first dynamic power adjustment threshold and the second dynamic power adjustment threshold;
step A7: after the input power of the corresponding input control point is adjusted, continuing to adjust the adjusted input control point according to the steps A1-A6 until the energy input deviation value is not lower than the preset deviation value, and performing early warning and reminding;
monitoring energy transmission data between the distributed energy storage device and a target load;
based on a machine learning algorithm, performing pre-analysis on the energy storage operation data and the energy transmission data to obtain a pre-analysis result, and the method specifically comprises the following steps:
performing first clustering processing on the energy storage operation data to obtain a first cluster set, wherein the first cluster set comprises n1 energy storage operation subsequences;
performing second clustering processing on the energy transmission data to obtain a second clustering set, wherein the second clustering set comprises n2 energy transmission subsequences;
establishing a mapping relation between the n1 energy storage operation subsequences and n2 energy transmission subsequences;
the mapping relation refers to a corresponding conversion relation between the energy storage operation subsequence and the energy transmission subsequence at the same time point.
Based on a machine learning algorithm, performing machine processing on the mapping relation, and judging whether a machine processing result is different from a normal data result in a machine database;
if so, marking the subsequence corresponding to the machine processing result, and transmitting the subsequence to a display terminal for displaying;
and transmitting the pre-analysis result to a display terminal for displaying.
In a possible implementation manner, the obtaining of the energy storage operation data of the distributed energy storage device includes:
based on an energy storage database, obtaining energy storage attributes of the distributed energy storage device, wherein the energy storage attributes are obtained based on energy storage indexes, and the energy storage indexes comprise: when external equipment transmits energy to be stored to the distributed energy storage devices, the energy storage efficiency of the distributed energy storage devices, the energy storage types of the distributed energy storage devices and the consumption efficiency of the distributed energy storage devices on the stored energy are improved;
establishing an energy storage structure tree related to the energy storage attribute, wherein the energy storage structure tree comprises energy storage nodes, and the energy storage nodes are arranged in one-to-one correspondence with the energy storage indexes;
collecting index parameters related to the energy storage indexes, and correspondingly storing the index parameters into related energy storage nodes based on timestamps and node storage rules;
and constructing the energy storage operation data based on all the index parameters stored in each storage node.
In one possible implementation manner, the monitoring of the energy transmission data between the distributed energy storage apparatus and the target load includes:
monitoring a current state of the target load;
when the current state of the target load is a working state, dynamically tracking an energy supplier of the target load, and judging whether the energy supplier is related to a distributed energy storage device;
if the correlation exists, the distributed energy storage device and the target load are synchronously monitored, and energy transmission data between the distributed energy storage device and the target load are obtained;
otherwise, the distributed energy storage devices are independently monitored, and energy loss data of the distributed energy storage devices are obtained;
and storing the energy transmission data and the energy loss data.
In one possible implementation manner, in monitoring energy transmission data between the distributed energy storage apparatus and a target load, the method further includes:
monitoring the energy demand of the target load in a preset time period and the energy supply of the distributed energy storage device in the preset time period;
when the energy demand is greater than or equal to energy supply and an energy supplier of the target load is a distributed energy storage device, triggering a standby energy supply device to be in a standby state;
monitoring the residual energy of the distributed energy storage device in real time, and when the residual energy is in a preset energy range, triggering the standby energy supply device to be converted from a standby state to a working state and providing energy for the target load;
providing energy to the target load based on the distributed energy storage when the energy demand is less than the energy supply and the energy supplier of the target load is a distributed energy storage.
In a possible implementation manner, before obtaining the energy storage attribute of the distributed energy storage device based on the energy storage database, the method further includes:
testing the energy storage power and the energy storage efficiency of the distributed energy storage device, wherein the testing steps comprise:
when the target load is an empty load, acquiring initial instantaneous energy storage power and tail instantaneous energy storage power of the distributed energy storage device in an energy storage state within a preset time period based on the empty load;
calculating the energy storage power of the distributed energy storage device according to the initial instantaneous energy storage power and the tail instantaneous energy storage power;
when the target load is a real load, acquiring initial instantaneous energy storage efficiency and tail instantaneous energy storage efficiency of the distributed energy storage device in an energy storage state within a preset time period based on the real load;
meanwhile, the energy storage time of the distributed energy storage device in an energy storage state is also obtained;
calculating the energy storage efficiency of the distributed energy storage device according to the initial instantaneous energy storage efficiency, the tail instantaneous energy storage efficiency and the energy storage time;
and storing the energy storage power and the energy storage efficiency into an energy storage database.
In one possible implementation manner, the monitoring of the energy transmission data between the distributed energy storage apparatus and the target load further includes: verifying energy quality of target transmission energy between the distributed energy storage device and a target load, wherein the verifying step comprises:
recording target transmission energy of nodes at different time to obtain a recording result, wherein the recording result comprises: the adjustment frequency, the adjustment voltage and the peak-to-valley value of the target transmission energy;
monitoring the transmission process of target transmission energy between the distributed energy storage device and a target load in real time, and verifying whether energy blockage exists in the transmission process of the target transmission energy based on an energy verification database;
and if the load frequency deviation value corresponding to the load charge does not exceed the maximum frequency deviation, adjusting the existing energy blockage according to a preset time shifting rule and a recorded result.
The invention provides an energy storage operation monitoring system based on machine learning, which comprises:
the acquisition module is used for acquiring energy storage operation data of the distributed energy storage device and monitoring the input control points of the distributed energy storage device in real time, and the monitoring step comprises the following steps:
step A1: acquiring all input control points of the distributed energy storage device, and controlling a first control point of all the input control points to be opened and a second control point to be closed based on an input rule, wherein the number of the first control points is N1, the number of the second control points is N2, N1+ N2= N, and N represents the number of all the input control points;
step A2: calculating an energy loss value of the second control point according to the following formula
Figure 682809DEST_PATH_IMAGE001
Figure 100002_DEST_PATH_IMAGE021
Wherein,
Figure 735078DEST_PATH_IMAGE004
an energy loss function representing that the second control point is based on an input interface position point K1 of the distributed storage device, an energy conversion efficiency K2 of the input interface and an off state K3 of the input interface; i denotes the ith second control point in N2;
Figure 329002DEST_PATH_IMAGE005
representing the load capacity of the ith second control point;
Figure 517538DEST_PATH_IMAGE006
the effective power corresponding to the ith second control point;
Figure 92876DEST_PATH_IMAGE007
the invalid power corresponding to the ith second control point;
Figure 491496DEST_PATH_IMAGE008
represents a nominal voltage of the second control point;
step A3: calculating an energy loss value of the first control point according to the following formula
Figure 810482DEST_PATH_IMAGE009
Figure 853524DEST_PATH_IMAGE022
Wherein,
Figure 599763DEST_PATH_IMAGE012
an energy loss function representing that the first control point is based on an input interface position point K11 of the distributed storage device, the energy conversion efficiency K12 of the input interface and the on state K13 of the input interface; i1 denotes the i1 th first control point in N1;
Figure 233482DEST_PATH_IMAGE013
representing the load capacity of the ith first control point;
Figure 293842DEST_PATH_IMAGE014
the effective power corresponding to the i1 th first control point;
Figure 253708DEST_PATH_IMAGE015
the invalid power corresponding to the i1 th first control point;
Figure 233165DEST_PATH_IMAGE016
a nominal voltage representative of the first control point;
step A4: determining an energy input deviation value D based on the distributed storage devices according to the energy loss value H1 of the second control point and the energy loss value H2 of the first control point;
Figure 100002_DEST_PATH_IMAGE023
wherein,
Figure 12903DEST_PATH_IMAGE019
representation based on energy loss value
Figure 486740DEST_PATH_IMAGE020
A control adjustment factor for the corresponding first control point;
step A5: when the energy input deviation value is lower than a preset deviation value, determining a first dynamic power adjustment threshold corresponding to the first control point and a second dynamic power adjustment threshold corresponding to the second control point according to the input attributes of all input control points and the energy input deviation value;
step A6: adjusting the input power of a corresponding input control point in the distributed energy storage device according to the first dynamic power adjustment threshold and the second dynamic power adjustment threshold;
step A7: after the input power of the corresponding input control point is adjusted, continuing to adjust the adjusted input control point according to the steps A1-A6 until the energy input deviation value is not lower than the preset deviation value, and performing early warning and reminding;
the monitoring module is used for monitoring energy transmission data between the distributed energy storage device and a target load;
the analysis module is used for performing pre-analysis on the energy storage operation data and the energy transmission data based on a machine learning algorithm to obtain a pre-analysis result, and the method specifically comprises the following steps:
performing first clustering processing on the energy storage operation data to obtain a first cluster set, wherein the first cluster set comprises n1 energy storage operation subsequences;
performing second clustering processing on the energy transmission data to obtain a second clustering set, wherein the second clustering set comprises n2 energy transmission subsequences;
establishing a mapping relation between the n1 energy storage operation subsequences and n2 energy transmission subsequences;
the mapping relation refers to a corresponding conversion relation between the energy storage operation subsequence and the energy transmission subsequence at the same time point.
Based on a machine learning algorithm, performing machine processing on the mapping relation, and judging whether a machine processing result is different from a normal data result in a machine database;
and if so, marking the subsequence corresponding to the machine processing result, transmitting the subsequence to a display terminal for displaying, and transmitting the pre-analysis result to the display terminal for displaying.
Additional features and advantages of the invention will be set forth in the description which follows, and in part will be obvious from the description, or may be learned by practice of the invention. The objectives and other advantages of the invention will be realized and attained by the structure particularly pointed out in the written description and claims hereof as well as the appended drawings.
The technical solution of the present invention is further described in detail by the accompanying drawings and embodiments.
Drawings
The accompanying drawings, which are included to provide a further understanding of the invention and are incorporated in and constitute a part of this specification, illustrate embodiments of the invention and together with the description serve to explain the principles of the invention and not to limit the invention. In the drawings:
fig. 1 is a flowchart of an energy storage operation monitoring method based on machine learning according to an embodiment of the present invention;
fig. 2 is a structural diagram of an energy storage operation monitoring system based on machine learning according to an embodiment of the present invention.
Detailed Description
The preferred embodiments of the present invention will be described in conjunction with the accompanying drawings, and it will be understood that they are described herein for the purpose of illustration and explanation and not limitation.
The invention provides an energy storage operation monitoring method based on machine learning, as shown in fig. 1, comprising the following steps:
step 1: acquiring energy storage operation data of a distributed energy storage device, and monitoring input control points of the distributed energy storage device in real time, wherein the monitoring step comprises the following steps:
step A1: acquiring all input control points of the distributed energy storage device, and controlling a first control point of all the input control points to be opened and a second control point to be closed based on an input rule, wherein the number of the first control points is N1, the number of the second control points is N2, N1+ N2= N, and N represents the number of all the input control points;
step A2: calculating an energy loss value of the second control point according to the following formula
Figure 301113DEST_PATH_IMAGE001
Figure 857996DEST_PATH_IMAGE024
Wherein,
Figure 452925DEST_PATH_IMAGE004
an energy loss function representing that the second control point is based on an input interface position point K1 of the distributed storage device, an energy conversion efficiency K2 of the input interface and an off state K3 of the input interface; i denotes the ith second control in N2Preparing dots;
Figure 917405DEST_PATH_IMAGE005
representing the load capacity of the ith second control point;
Figure 523966DEST_PATH_IMAGE006
the effective power corresponding to the ith second control point;
Figure 48489DEST_PATH_IMAGE007
the invalid power corresponding to the ith second control point;
Figure 615867DEST_PATH_IMAGE008
represents a nominal voltage of the second control point;
step A3: calculating an energy loss value of the first control point according to the following formula
Figure 946355DEST_PATH_IMAGE009
Figure 100002_DEST_PATH_IMAGE025
Wherein,
Figure 938581DEST_PATH_IMAGE012
an energy loss function representing that the first control point is based on an input interface position point K11 of the distributed storage device, the energy conversion efficiency K12 of the input interface and the on state K13 of the input interface; i1 denotes the i1 th first control point in N1;
Figure 712633DEST_PATH_IMAGE013
representing the load capacity of the ith first control point;
Figure 891942DEST_PATH_IMAGE014
the effective power corresponding to the i1 th first control point;
Figure 698224DEST_PATH_IMAGE015
ith 1 th firstControlling the corresponding reactive power of the point;
Figure 669591DEST_PATH_IMAGE016
a nominal voltage representative of the first control point;
step A4: determining an energy input deviation value D based on the distributed storage devices according to the energy loss value H1 of the second control point and the energy loss value H2 of the first control point;
Figure 473599DEST_PATH_IMAGE026
wherein,
Figure 468100DEST_PATH_IMAGE019
representation based on energy loss value
Figure 882333DEST_PATH_IMAGE020
A control adjustment factor for the corresponding first control point;
step A5: when the energy input deviation value is lower than a preset deviation value, determining a first dynamic power adjustment threshold corresponding to the first control point and a second dynamic power adjustment threshold corresponding to the second control point according to the input attributes of all input control points and the energy input deviation value;
step A6: adjusting the input power of a corresponding input control point in the distributed energy storage device according to the first dynamic power adjustment threshold and the second dynamic power adjustment threshold;
step A7: after the input power of the corresponding input control point is adjusted, continuing to adjust the adjusted input control point according to the steps A1-A6 until the energy input deviation value is not lower than the preset deviation value, and performing early warning and reminding;
step 2: monitoring energy transmission data between the distributed energy storage device and a target load;
and step 3: based on a machine learning algorithm, performing pre-analysis on the energy storage operation data and the energy transmission data to obtain a pre-analysis result, and the method specifically comprises the following steps:
performing first clustering processing on the energy storage operation data to obtain a first cluster set, wherein the first cluster set comprises n1 energy storage operation subsequences;
performing second clustering processing on the energy transmission data to obtain a second clustering set, wherein the second clustering set comprises n2 energy transmission subsequences;
establishing a mapping relation between the n1 energy storage operation subsequences and n2 energy transmission subsequences;
the mapping relation refers to a corresponding conversion relation between the energy storage operation subsequence and the energy transmission subsequence at the same time point.
Based on a machine learning algorithm, performing machine processing on the mapping relation, and judging whether a machine processing result is different from a normal data result in a machine database;
if so, marking the subsequence corresponding to the machine processing result, and transmitting the subsequence to a display terminal for displaying;
and 4, step 4: and transmitting the pre-analysis result to a display terminal for displaying.
In this embodiment, the distributed energy storage device is used to improve energy storage efficiency, and the distributed energy storage device may be a device for storing electric energy;
the energy storage operation data are acquired, so that the operating condition of the distributed energy storage device can be known in time;
in this embodiment, the energy transmission data between the distributed energy storage device and the target load (user side, electrical equipment, etc.) is monitored to effectively determine energy consumption, energy storage, etc. between the distributed energy storage device and the target load;
in this embodiment, a machine learning algorithm is used for pre-analysis, for example, energy storage operation data and energy transmission data are compared and analyzed, and a comparison and analysis result is obtained, for example: the energy storage operation data is related to electric energy storage and electric energy loss, and the energy transmission data is that the distributed energy storage device supplies power to a target load and the like;
in this embodiment, the display terminal is, for example, an intelligent device such as a mobile phone and a computer.
In this embodiment, the first clustering process is performed on the energy storage operation data, and if the energy storage data includes: performing a first clustering process, such as clustering classification of storage, consumption, conversion and the like, within the electric energy storage data, electric energy consumption data, electric energy conversion efficiency and the like;
in this embodiment, the second clustering process is performed on the energy transmission data, for example, clustering of the power receiving efficiency of the target load, the power providing efficiency of the target load by the distributed energy storage device, and the like is performed.
In this embodiment, n1 and n2 are respectively associated with the corresponding clustering results, for example: the energy storage operation subsequence comprises classification results such as storage, consumption and conversion corresponding to the time point A;
the energy transmission subsequence comprises the results of mutual energy transmission, conversion and the like of the distributed energy storage device corresponding to the time point A and the target load;
at this time, a mapping relationship between the transformation corresponding to the energy storage operation sub-sequence and the transformation corresponding to the energy transmission sub-sequence at the same time point a may be established.
In this embodiment, based on a machine learning algorithm, the mapping relationship is subjected to machine processing, and it is determined whether there is a difference between a machine processing result and a normal data result in the machine database, for example, it is determined whether the mapping relationship between the conversion corresponding to the energy storage operation sub-sequence and the conversion corresponding to the energy transmission sub-sequence is established at the same time point a, and the mapping relationship may be one-to-one, one-to-many, or many-to-one.
The beneficial effects of the above technical scheme are: the first control point and the second control point can be effectively adjusted according to the requirement of a target load by acquiring all input control points of the distributed energy storage device, the effectiveness of energy output of the distributed energy storage device is improved, the energy loss values respectively corresponding to the first control point and the second control point are calculated, the energy input deviation value is conveniently and effectively calculated, the power of the first control point and the second control point is effectively adjusted, the effective output of the first control point and the second control point is improved, a basis is provided for the effective monitoring of subsequent energy transmission, the energy storage operation data and the energy transmission data related to the distributed energy storage device are monitored by monitoring the target load, the analysis is carried out based on a machine learning algorithm, the effective monitoring is convenient, the rationality of the use of the distributed energy storage device for energy storage and the like is improved, and the energy storage operation subsequence of the energy storage operation data is determined, and by determining the energy transmission subsequence of the energy transmission data, a mapping relation is established, machine processing is carried out, effective monitoring is conveniently carried out for follow-up, the rationality of the use of the energy storage data and the like is improved, and a foundation is provided.
The invention provides an energy storage operation monitoring method based on machine learning, which comprises the following steps of:
based on an energy storage database, obtaining energy storage attributes of the distributed energy storage device, wherein the energy storage attributes are obtained based on energy storage indexes, and the energy storage indexes comprise: when external equipment transmits energy to be stored to the distributed energy storage devices, the energy storage efficiency of the distributed energy storage devices, the energy storage types of the distributed energy storage devices and the consumption efficiency of the distributed energy storage devices on the stored energy are improved;
establishing an energy storage structure tree related to the energy storage attribute, wherein the energy storage structure tree comprises energy storage nodes, and the energy storage nodes are arranged in one-to-one correspondence with the energy storage indexes;
collecting index parameters related to the energy storage indexes, and correspondingly storing the index parameters into related energy storage nodes based on timestamps and node storage rules;
and constructing the energy storage operation data based on all the index parameters stored in each storage node.
In this embodiment, since the energy storage nodes correspond to the energy storage indexes one to one, the number of the nodes of the energy storage nodes may be 3;
in this embodiment, the index parameter is related to the energy storage index, for example, when the energy storage index is the energy storage efficiency, the corresponding index parameter includes: the distributed energy storage device is related to effective work, ineffective work and the like, and when the energy storage indexes are energy storage types, corresponding index parameters comprise the following parameters: energy conversion types and the like are related, and when the energy storage index is consumption efficiency, the corresponding index parameters comprise: the effective consumption power, the ineffective consumption power, etc. of the target load are related.
The beneficial effects of the above technical scheme are: the structure tree is built through energy storage attributes, energy storage nodes are optimized through energy storage indexes, energy storage parameters are collected and stored in the energy storage nodes, and then energy storage operation data are obtained conveniently.
The invention provides an energy storage operation monitoring method based on machine learning, which comprises the following steps of in the process of monitoring energy transmission data between a distributed energy storage device and a target load:
monitoring a current state of the target load;
when the current state of the target load is a working state, dynamically tracking an energy supplier of the target load, and judging whether the energy supplier is related to a distributed energy storage device;
if the correlation exists, the distributed energy storage device and the target load are synchronously monitored, and energy transmission data between the distributed energy storage device and the target load are obtained;
otherwise, the distributed energy storage devices are independently monitored, and energy loss data of the distributed energy storage devices are obtained;
and storing the energy transmission data and the energy loss data.
In this embodiment, the current state includes: working state and non-working state;
in the embodiment, the two situations are divided, namely when the target load is in a working state, the energy supplier is dynamically tracked, and whether the target load is related to the distributed energy storage device or not is judged, so that the function of the distributed energy storage device in the process can be effectively determined, and the target load can be effectively monitored.
In this embodiment, the energy supplier may directly supply the electric energy to the distributed energy storage device, or may supply the electric energy to the target load by using another energy supply device.
In the embodiment, when the target load is in a non-working state, the distributed energy storage device is monitored independently, so that the energy loss of the device is ensured in the process that no power is supplied to any external load.
The beneficial effects of the above technical scheme are: by monitoring the current state of the target load, monitoring in different modes is facilitated, and the efficiency of monitoring energy transmission data is facilitated to be improved.
The invention provides an energy storage operation monitoring method based on machine learning, which further comprises the following steps in the process of monitoring energy transmission data between a distributed energy storage device and a target load:
monitoring the energy demand of the target load in a preset time period and the energy supply of the distributed energy storage device in the preset time period;
when the energy demand is greater than or equal to energy supply and an energy supplier of the target load is a distributed energy storage device, triggering a standby energy supply device to be in a standby state;
monitoring the residual energy of the distributed energy storage device in real time, and when the residual energy is in a preset energy range, triggering the standby energy supply device to be converted from a standby state to a working state and providing energy for the target load;
providing energy to the target load based on the distributed energy storage when the energy demand is less than the energy supply and the energy supplier of the target load is a distributed energy storage.
In the embodiment, by monitoring the energy demand of the target load and the energy supply of the distributed energy storage device, the subsequent supply device for the target load can be conveniently and effectively determined, the function of the target load is ensured to be sufficient, and the target load can conveniently and effectively work.
The beneficial effects of the above technical scheme are: by monitoring the energy demand and energy supply, the standby energy supply device is convenient to trigger in time, and the normal work of the target load is convenient to guarantee.
The invention provides an energy storage operation monitoring method based on machine learning, which is based on an energy storage database and comprises the following steps of before the energy storage attribute of a distributed energy storage device is obtained:
testing the energy storage power and the energy storage efficiency of the distributed energy storage device, wherein the testing steps comprise:
when the target load is an empty load, acquiring initial instantaneous energy storage power and tail instantaneous energy storage power of the distributed energy storage device in an energy storage state within a preset time period based on the empty load;
calculating the energy storage power of the distributed energy storage device according to the initial instantaneous energy storage power and the tail instantaneous energy storage power;
when the target load is a real load, acquiring initial instantaneous energy storage efficiency and tail instantaneous energy storage efficiency of the distributed energy storage device in an energy storage state within a preset time period based on the real load;
meanwhile, the energy storage time of the distributed energy storage device in an energy storage state is also obtained;
calculating the energy storage efficiency of the distributed energy storage device according to the initial instantaneous energy storage efficiency, the tail instantaneous energy storage efficiency and the energy storage time;
and storing the energy storage power and the energy storage efficiency into an energy storage database.
In this embodiment, the preset time period may be any time period set by default.
The beneficial effects of the above technical scheme are: when the target load is an empty load and the distributed energy storage devices are in an energy storage state, the energy storage power of the distributed energy storage devices can be conveniently and effectively determined, when the target load is a real load and the distributed energy storage devices are in the energy storage state, the energy storage efficiency of the distributed energy storage devices can be conveniently and effectively determined, and convenience is brought to follow-up monitoring.
The invention provides an energy storage operation monitoring method based on machine learning, which further comprises the following steps in the process of monitoring energy transmission data between a distributed energy storage device and a target load: verifying energy quality of target transmission energy between the distributed energy storage device and a target load, wherein the verifying step comprises:
recording target transmission energy of nodes at different time to obtain a recording result, wherein the recording result comprises: the adjustment frequency, the adjustment voltage and the energy peak-valley value of the target transmission energy;
monitoring the transmission process of target transmission energy between the distributed energy storage device and a target load in real time, and verifying whether energy blockage exists in the transmission process of the target transmission energy based on an energy verification database;
if the target load exists, monitoring the load charge of the target load, and if the load frequency deviation value corresponding to the load charge does not exceed the maximum frequency deviation, adjusting the existing energy blockage according to a preset time shifting rule and a recorded result;
if the load frequency deviation value corresponding to the load charge exceeds the maximum frequency deviation, adjusting the load frequency of the load charge until the load frequency deviation value corresponding to the load charge does not exceed the maximum frequency deviation, and continuing to execute subsequent operation;
based on the adjustment result, an energy quality of the target transmission energy is determined.
In this embodiment, the energy congestion may refer to that when the target loads a1, a2, a3 are supplied with electric energy based on the distributed storage device, the electric energy transmission is delayed in the process of supplying the electric energy to the target load a3, and at this time, the electric energy is considered to be congested, and at this time, the electric energy needs to be adjusted.
In this embodiment, the performing of the subsequent operation refers to adjusting the existing energy blockage according to a preset time shifting rule and a recorded result;
in this embodiment, the energy quality of the target transmission energy may be determined based on the adjustment of the energy blockage, so that the reliability of energy transmission may be effectively ensured.
The beneficial effects of the above technical scheme are: by recording the target transmission energy and monitoring the transmission process in real time, the energy jam condition can be effectively verified, the energy jam is adjusted, the energy quality can be effectively determined, a basis is provided for energy transmission data, and the transmission of related data can be guaranteed on the basis of reliable energy quality.
An embodiment of the present invention provides an energy storage operation monitoring system based on machine learning, as shown in fig. 2, including:
the acquisition module is used for acquiring energy storage operation data of the distributed energy storage device and monitoring the input control points of the distributed energy storage device in real time, and the monitoring step comprises the following steps:
step A1: acquiring all input control points of the distributed energy storage device, and controlling a first control point of all the input control points to be opened and a second control point to be closed based on an input rule, wherein the number of the first control points is N1, the number of the second control points is N2, N1+ N2= N, and N represents the number of all the input control points;
step A2: calculating an energy loss value of the second control point according to the following formula
Figure 583573DEST_PATH_IMAGE001
Figure DEST_PATH_IMAGE027
Wherein,
Figure 948695DEST_PATH_IMAGE004
an energy loss function representing that the second control point is based on an input interface position point K1 of the distributed storage device, an energy conversion efficiency K2 of the input interface and an off state K3 of the input interface; i denotes the ith second control point in N2;
Figure 368175DEST_PATH_IMAGE005
representing the load capacity of the ith second control point;
Figure 516260DEST_PATH_IMAGE006
ith second controlMaking the corresponding effective power;
Figure 212951DEST_PATH_IMAGE007
the invalid power corresponding to the ith second control point;
Figure 624341DEST_PATH_IMAGE008
represents a nominal voltage of the second control point;
step A3: calculating an energy loss value of the first control point according to the following formula
Figure 390172DEST_PATH_IMAGE009
Figure 76368DEST_PATH_IMAGE028
Wherein,
Figure 17779DEST_PATH_IMAGE012
an energy loss function representing that the first control point is based on an input interface position point K11 of the distributed storage device, the energy conversion efficiency K12 of the input interface and the on state K13 of the input interface; i1 denotes the i1 th first control point in N1;
Figure 944278DEST_PATH_IMAGE013
representing the load capacity of the ith first control point;
Figure 135088DEST_PATH_IMAGE014
the effective power corresponding to the i1 th first control point;
Figure 359396DEST_PATH_IMAGE015
the invalid power corresponding to the i1 th first control point;
Figure 889734DEST_PATH_IMAGE016
a nominal voltage representative of the first control point;
step A4: determining an energy input deviation value D based on the distributed storage devices according to the energy loss value H1 of the second control point and the energy loss value H2 of the first control point;
Figure DEST_PATH_IMAGE029
wherein,
Figure 33140DEST_PATH_IMAGE019
representation based on energy loss value
Figure 648929DEST_PATH_IMAGE020
A control adjustment factor for the corresponding first control point;
step A5: when the energy input deviation value is lower than a preset deviation value, determining a first dynamic power adjustment threshold corresponding to the first control point and a second dynamic power adjustment threshold corresponding to the second control point according to the input attributes of all input control points and the energy input deviation value;
step A6: adjusting the input power of a corresponding input control point in the distributed energy storage device according to the first dynamic power adjustment threshold and the second dynamic power adjustment threshold;
step A7: after the input power of the corresponding input control point is adjusted, continuing to adjust the adjusted input control point according to the steps A1-A6 until the energy input deviation value is not lower than the preset deviation value, and performing early warning and reminding;
the monitoring module is used for monitoring energy transmission data between the distributed energy storage device and a target load;
the analysis module is used for performing pre-analysis on the energy storage operation data and the energy transmission data based on a machine learning algorithm to obtain a pre-analysis result, and the method specifically comprises the following steps:
performing first clustering processing on the energy storage operation data to obtain a first cluster set, wherein the first cluster set comprises n1 energy storage operation subsequences;
performing second clustering processing on the energy transmission data to obtain a second clustering set, wherein the second clustering set comprises n2 energy transmission subsequences;
establishing a mapping relation between the n1 energy storage operation subsequences and n2 energy transmission subsequences;
the mapping relation refers to a corresponding conversion relation between the energy storage operation subsequence and the energy transmission subsequence at the same time point.
Based on a machine learning algorithm, performing machine processing on the mapping relation, and judging whether a machine processing result is different from a normal data result in a machine database;
and if so, marking the subsequence corresponding to the machine processing result, transmitting the subsequence to a display terminal for displaying, and transmitting the pre-analysis result to the display terminal for displaying.
The beneficial effects of the above technical scheme are: the first control point and the second control point can be effectively adjusted according to the requirement of a target load by acquiring all input control points of the distributed energy storage device, the effectiveness of energy output of the distributed energy storage device is improved, the energy loss values respectively corresponding to the first control point and the second control point are calculated, the energy input deviation value is conveniently and effectively calculated, the power of the first control point and the second control point is effectively adjusted, the effective output of the first control point and the second control point is improved, a basis is provided for the effective monitoring of subsequent energy transmission, the energy storage operation data and the energy transmission data related to the distributed energy storage device are monitored by monitoring the target load, the analysis is carried out based on a machine learning algorithm, the effective monitoring is convenient, the rationality of the use of the distributed energy storage device for energy storage and the like is improved, and the energy storage operation subsequence of the energy storage operation data is determined, and by determining the energy transmission subsequence of the energy transmission data, a mapping relation is established, machine processing is carried out, effective monitoring is conveniently carried out for follow-up, the rationality of the use of the energy storage data and the like is improved, and a foundation is provided.
It will be apparent to those skilled in the art that various changes and modifications may be made in the present invention without departing from the spirit and scope of the invention. Thus, if such modifications and variations of the present invention fall within the scope of the claims of the present invention and their equivalents, the present invention is also intended to include such modifications and variations.

Claims (7)

1. An energy storage operation monitoring method based on machine learning is characterized by comprising the following steps:
acquiring energy storage operation data of a distributed energy storage device, and monitoring input control points of the distributed energy storage device in real time, wherein the monitoring step comprises the following steps:
step A1: acquiring all input control points of the distributed energy storage device, and controlling a first control point of all the input control points to be opened and a second control point to be closed based on an input rule, wherein the number of the first control points is N1, the number of the second control points is N2, N1+ N2= N, and N represents the number of all the input control points;
step A2: calculating an energy loss value of the second control point according to the following formula
Figure DEST_PATH_IMAGE001
Figure DEST_PATH_IMAGE003
Wherein,
Figure 38799DEST_PATH_IMAGE004
an energy loss function representing that the second control point is based on an input interface position point K1 of the distributed storage device, an energy conversion efficiency K2 of the input interface and an off state K3 of the input interface; i denotes the ith second control point in N2;
Figure DEST_PATH_IMAGE005
representing the load capacity of the ith second control point;
Figure 674049DEST_PATH_IMAGE006
the effective power corresponding to the ith second control point;
Figure DEST_PATH_IMAGE007
the invalid power corresponding to the ith second control point;
Figure 453786DEST_PATH_IMAGE008
represents a nominal voltage of the second control point;
step A3: calculating an energy loss value of the first control point according to the following formula
Figure DEST_PATH_IMAGE009
Figure DEST_PATH_IMAGE011
Wherein,
Figure DEST_PATH_IMAGE013
an energy loss function representing that the first control point is based on an input interface position point K11 of the distributed storage device, the energy conversion efficiency K12 of the input interface and the on state K13 of the input interface; i1 denotes the i1 th first control point in N1; representing the load capacity of the ith first control point; the effective power corresponding to the i1 th first control point; the invalid power corresponding to the i1 th first control point; a nominal voltage representative of the first control point;
step A4: determining an energy input deviation value D based on the distributed storage devices according to the energy loss value H1 of the second control point and the energy loss value H2 of the first control point;
Figure DEST_PATH_IMAGE019
wherein,
Figure 784033DEST_PATH_IMAGE020
representation based on energy loss value
Figure DEST_PATH_IMAGE021
A control adjustment factor for the corresponding first control point;
step A5: when the energy input deviation value is lower than a preset deviation value, determining a first dynamic power adjustment threshold corresponding to the first control point and a second dynamic power adjustment threshold corresponding to the second control point according to the input attributes of all input control points and the energy input deviation value;
step A6: adjusting the input power of a corresponding input control point in the distributed energy storage device according to the first dynamic power adjustment threshold and the second dynamic power adjustment threshold;
step A7: after the input power of the corresponding input control point is adjusted, continuing to adjust the adjusted input control point according to the steps A1-A6 until the energy input deviation value is not lower than the preset deviation value, and performing early warning and reminding;
monitoring energy transmission data between the distributed energy storage device and a target load;
based on a machine learning algorithm, performing pre-analysis on the energy storage operation data and the energy transmission data to obtain a pre-analysis result, and the method specifically comprises the following steps:
performing first clustering processing on the energy storage operation data to obtain a first cluster set, wherein the first cluster set comprises n1 energy storage operation subsequences;
performing second clustering processing on the energy transmission data to obtain a second clustering set, wherein the second clustering set comprises n2 energy transmission subsequences;
establishing a mapping relation between the n1 energy storage operation subsequences and n2 energy transmission subsequences;
the mapping relation refers to a corresponding conversion relation between the energy storage operation subsequence and the energy transmission subsequence at the same time point;
based on a machine learning algorithm, performing machine processing on the mapping relation, and judging whether a machine processing result is different from a normal data result in a machine database;
if so, marking the subsequence corresponding to the machine processing result, and transmitting the subsequence to a display terminal for displaying;
and transmitting the pre-analysis result to a display terminal for displaying.
2. The energy storage operation monitoring method according to claim 1, wherein the process of obtaining energy storage operation data of the distributed energy storage device comprises:
based on an energy storage database, obtaining energy storage attributes of the distributed energy storage device, wherein the energy storage attributes are obtained based on energy storage indexes, and the energy storage indexes comprise: when external equipment transmits energy to be stored to the distributed energy storage devices, the energy storage efficiency of the distributed energy storage devices, the energy storage types of the distributed energy storage devices and the consumption efficiency of the distributed energy storage devices on the stored energy are improved;
establishing an energy storage structure tree related to the energy storage attribute, wherein the energy storage structure tree comprises energy storage nodes, and the energy storage nodes are arranged in one-to-one correspondence with the energy storage indexes;
collecting index parameters related to the energy storage indexes, and correspondingly storing the index parameters into related energy storage nodes based on timestamps and node storage rules;
and constructing the energy storage operation data based on all the index parameters stored in each storage node.
3. The energy storage operation monitoring method according to claim 1, wherein the monitoring of the energy transmission data between the distributed energy storage device and the target load comprises:
monitoring a current state of the target load;
when the current state of the target load is a working state, dynamically tracking an energy supplier of the target load, and judging whether the energy supplier is related to a distributed energy storage device;
if the correlation exists, the distributed energy storage device and the target load are synchronously monitored, and energy transmission data between the distributed energy storage device and the target load are obtained;
otherwise, the distributed energy storage devices are independently monitored, and energy loss data of the distributed energy storage devices are obtained;
and storing the energy transmission data and the energy loss data.
4. The energy storage operation monitoring method according to claim 1, wherein in the process of monitoring energy transmission data between the distributed energy storage apparatus and a target load, further comprising:
monitoring the energy demand of the target load in a preset time period and the energy supply of the distributed energy storage device in the preset time period;
when the energy demand is greater than or equal to energy supply and an energy supplier of the target load is a distributed energy storage device, triggering a standby energy supply device to be in a standby state;
monitoring the residual energy of the distributed energy storage device in real time, and when the residual energy is in a preset energy range, triggering the standby energy supply device to be converted from a standby state to a working state and providing energy for the target load;
providing energy to the target load based on the distributed energy storage when the energy demand is less than the energy supply and the energy supplier of the target load is a distributed energy storage.
5. The energy storage operation monitoring method according to claim 2, wherein before obtaining the energy storage attribute of the distributed energy storage device based on the energy storage database, the method further comprises:
testing the energy storage power and the energy storage efficiency of the distributed energy storage device, wherein the testing steps comprise:
when the target load is an empty load, acquiring initial instantaneous energy storage power and tail instantaneous energy storage power of the distributed energy storage device in an energy storage state within a preset time period based on the empty load;
calculating the energy storage power of the distributed energy storage device according to the initial instantaneous energy storage power and the tail instantaneous energy storage power;
when the target load is a real load, acquiring initial instantaneous energy storage efficiency and tail instantaneous energy storage efficiency of the distributed energy storage device in an energy storage state within a preset time period based on the real load;
meanwhile, the energy storage time of the distributed energy storage device in an energy storage state is also obtained;
calculating the energy storage efficiency of the distributed energy storage device according to the initial instantaneous energy storage efficiency, the tail instantaneous energy storage efficiency and the energy storage time;
and storing the energy storage power and the energy storage efficiency into an energy storage database.
6. The energy storage operation monitoring method according to claim 1, wherein the monitoring of the energy transmission data between the distributed energy storage device and the target load further comprises: verifying energy quality of target transmission energy between the distributed energy storage device and a target load, wherein the verifying step comprises:
recording target transmission energy of nodes at different time to obtain a recording result, wherein the recording result comprises: the adjustment frequency, the adjustment voltage and the peak-to-valley value of the target transmission energy;
monitoring the transmission process of target transmission energy between the distributed energy storage device and a target load in real time, and verifying whether energy blockage exists in the transmission process of the target transmission energy based on an energy verification database;
and if the load frequency deviation value corresponding to the load charge does not exceed the maximum frequency deviation, adjusting the existing energy blockage according to a preset time shifting rule and a recorded result.
7. An energy storage operation monitoring system based on machine learning, comprising:
the acquisition module is used for acquiring energy storage operation data of the distributed energy storage device and monitoring the input control points of the distributed energy storage device in real time, and the monitoring step comprises the following steps:
step A1: acquiring all input control points of the distributed energy storage device, and controlling a first control point of all the input control points to be opened and a second control point to be closed based on an input rule, wherein the number of the first control points is N1, the number of the second control points is N2, N1+ N2= N, and N represents the number of all the input control points;
step A2: calculating an energy loss value of the second control point according to the following formula
Figure 985819DEST_PATH_IMAGE001
Figure 387982DEST_PATH_IMAGE022
Wherein,
Figure 56861DEST_PATH_IMAGE004
an energy loss function representing that the second control point is based on an input interface position point K1 of the distributed storage device, an energy conversion efficiency K2 of the input interface and an off state K3 of the input interface; i denotes the ith second control point in N2;
Figure 50224DEST_PATH_IMAGE005
representing the load capacity of the ith second control point;
Figure 758549DEST_PATH_IMAGE006
the effective power corresponding to the ith second control point;
Figure 495560DEST_PATH_IMAGE007
the invalid power corresponding to the ith second control point;
Figure 487787DEST_PATH_IMAGE008
represents a nominal voltage of the second control point;
step A3: calculating an energy loss value of the first control point according to the following formula
Figure 917632DEST_PATH_IMAGE009
Figure DEST_PATH_IMAGE023
Wherein,
Figure 362519DEST_PATH_IMAGE024
an energy loss function representing that the first control point is based on an input interface position point K11 of the distributed storage device, the energy conversion efficiency K12 of the input interface and the on state K13 of the input interface; i1 denotes the i1 th first control point in N1;
Figure 106484DEST_PATH_IMAGE014
representing the load capacity of the ith first control point;
Figure 749955DEST_PATH_IMAGE015
the effective power corresponding to the i1 th first control point;
Figure 537652DEST_PATH_IMAGE016
the invalid power corresponding to the i1 th first control point;
Figure 266573DEST_PATH_IMAGE017
a nominal voltage representative of the first control point;
step A4: determining an energy input deviation value D based on the distributed storage devices according to the energy loss value H1 of the second control point and the energy loss value H2 of the first control point;
Figure DEST_PATH_IMAGE025
wherein,
Figure 814229DEST_PATH_IMAGE020
representation based on energy loss value
Figure 312207DEST_PATH_IMAGE021
A control adjustment factor for the corresponding first control point;
step A5: when the energy input deviation value is lower than a preset deviation value, determining a first dynamic power adjustment threshold corresponding to the first control point and a second dynamic power adjustment threshold corresponding to the second control point according to the input attributes of all input control points and the energy input deviation value;
step A6: adjusting the input power of a corresponding input control point in the distributed energy storage device according to the first dynamic power adjustment threshold and the second dynamic power adjustment threshold;
step A7: after the input power of the corresponding input control point is adjusted, continuing to adjust the adjusted input control point according to the steps A1-A6 until the energy input deviation value is not lower than the preset deviation value, and performing early warning and reminding;
the monitoring module is used for monitoring energy transmission data between the distributed energy storage device and a target load;
the analysis module is used for performing pre-analysis on the energy storage operation data and the energy transmission data based on a machine learning algorithm to obtain a pre-analysis result, and the method specifically comprises the following steps:
performing first clustering processing on the energy storage operation data to obtain a first cluster set, wherein the first cluster set comprises n1 energy storage operation subsequences;
performing second clustering processing on the energy transmission data to obtain a second clustering set, wherein the second clustering set comprises n2 energy transmission subsequences;
establishing a mapping relation between the n1 energy storage operation subsequences and n2 energy transmission subsequences;
the mapping relation refers to a corresponding conversion relation between the energy storage operation subsequence and the energy transmission subsequence at the same time point;
based on a machine learning algorithm, performing machine processing on the mapping relation, and judging whether a machine processing result is different from a normal data result in a machine database;
and if so, marking the subsequence corresponding to the machine processing result, transmitting the subsequence to a display terminal for displaying, and transmitting the pre-analysis result to the display terminal for displaying.
CN202010553872.6A2020-06-172020-06-17Energy storage operation monitoring method and system based on machine learningActiveCN111651461B (en)

Priority Applications (1)

Application NumberPriority DateFiling DateTitle
CN202010553872.6ACN111651461B (en)2020-06-172020-06-17Energy storage operation monitoring method and system based on machine learning

Applications Claiming Priority (1)

Application NumberPriority DateFiling DateTitle
CN202010553872.6ACN111651461B (en)2020-06-172020-06-17Energy storage operation monitoring method and system based on machine learning

Publications (2)

Publication NumberPublication Date
CN111651461A CN111651461A (en)2020-09-11
CN111651461Btrue CN111651461B (en)2020-12-18

Family

ID=72347306

Family Applications (1)

Application NumberTitlePriority DateFiling Date
CN202010553872.6AActiveCN111651461B (en)2020-06-172020-06-17Energy storage operation monitoring method and system based on machine learning

Country Status (1)

CountryLink
CN (1)CN111651461B (en)

Citations (7)

* Cited by examiner, † Cited by third party
Publication numberPriority datePublication dateAssigneeTitle
CN102280935A (en)*2011-06-242011-12-14中国科学院电工研究所Intelligent power grid management system
CN102738815A (en)*2012-05-282012-10-17深圳市科陆电子科技股份有限公司System and method for managing energy-storage equipment system
CN102867239A (en)*2012-09-122013-01-09华电国际电力股份有限公司山东分公司Low-carbon dispatching module for intelligent operation control system of regional power generation company
CN103559653A (en)*2013-11-082014-02-05国家电网公司Energy-storing configuration evaluation method based on microgrid
CN107154626A (en)*2017-06-022017-09-12张飞飞Distributed photovoltaic intelligent energy manages SaaS systems with energy storage
US9960637B2 (en)*2015-07-042018-05-01Sunverge Energy, Inc.Renewable energy integrated storage and generation systems, apparatus, and methods with cloud distributed energy management services
CN109870057A (en)*2017-12-012019-06-11萨博能源物联网科技(苏州)有限公司A kind of energy supply operation system

Patent Citations (7)

* Cited by examiner, † Cited by third party
Publication numberPriority datePublication dateAssigneeTitle
CN102280935A (en)*2011-06-242011-12-14中国科学院电工研究所Intelligent power grid management system
CN102738815A (en)*2012-05-282012-10-17深圳市科陆电子科技股份有限公司System and method for managing energy-storage equipment system
CN102867239A (en)*2012-09-122013-01-09华电国际电力股份有限公司山东分公司Low-carbon dispatching module for intelligent operation control system of regional power generation company
CN103559653A (en)*2013-11-082014-02-05国家电网公司Energy-storing configuration evaluation method based on microgrid
US9960637B2 (en)*2015-07-042018-05-01Sunverge Energy, Inc.Renewable energy integrated storage and generation systems, apparatus, and methods with cloud distributed energy management services
CN107154626A (en)*2017-06-022017-09-12张飞飞Distributed photovoltaic intelligent energy manages SaaS systems with energy storage
CN109870057A (en)*2017-12-012019-06-11萨博能源物联网科技(苏州)有限公司A kind of energy supply operation system

Non-Patent Citations (1)

* Cited by examiner, † Cited by third party
Title
"基于改进k均值聚类算法的电力负荷模式识别方法研究";胡阳春;《中国优秀硕士学位论文全文数据库 工程科技Ⅱ辑》;20180915;第69-73页*

Also Published As

Publication numberPublication date
CN111651461A (en)2020-09-11

Similar Documents

PublicationPublication DateTitle
CN111160798B (en)Non-invasive household appliance load identification method based on bee colony algorithm
CN104022552B (en)Intelligent detection method for electric vehicle charging control
WO2025015677A1 (en)Hybrid energy storage battery state monitoring method and system based on big data processing
CN117394409B (en)Intelligent assessment method and system for equipment state of energy storage power station
CN116865400A (en) An intelligent lithium battery charger and its control system
CN118249329A (en)Real-time analysis and promotion method for micro-grid power generation efficiency
CN120156394B (en) A new energy vehicle battery pack intelligent balancing control method and system
CN119561018A (en) A new energy station management system and method based on smart grid
CN118296408A (en) High-proportion new energy uncertainty scenario generation method and system based on hybrid clustering
CN118618106B (en)Charging pile control method and device and charging pile
CN118676454B (en) An intelligent BMS management method for lithium batteries
CN111651461B (en)Energy storage operation monitoring method and system based on machine learning
CN118731694A (en) Battery monomer self-discharge detection method, system, electronic device and readable medium
CN118818352A (en) Battery health status assessment method and device, battery management system
CN118797438A (en)Non-invasive load identification method for electric bicycle charging
CN117614123A (en) Data communication method of distributed power grid-connected controller based on cloud-edge collaboration
CN117557163A (en)Power grid planning coordination evaluation method and system
CN111509810A (en)Lithium battery charging state detection method and device and storage medium
CN117827798A (en) A method and system for constructing an electric vehicle charging safety feature database
CN113009869A (en)Intelligent power maintenance management system
CN118504896B (en) An evaluation system, method, computer device and storage medium based on a novel energy storage fusion power market algorithm model
CN119995144B (en) An energy storage power station EMS energy monitoring and management system
US12184100B1 (en)Hybrid power system with power optimization and methods of use
CN115811139B (en)UPS power supply on-line monitoring system based on electric power internet of things
CN116916166B (en)Telemetry terminal based on AI image analysis

Legal Events

DateCodeTitleDescription
PB01Publication
PB01Publication
SE01Entry into force of request for substantive examination
SE01Entry into force of request for substantive examination
GR01Patent grant
GR01Patent grant
CP03Change of name, title or address

Address after:518000, 2nd Floor, Building 2, Tongchan New Materials Industrial Park, No. 28 Langshan Road, Songpingshan Community, Xili Street, Nanshan District, Shenzhen, Guangdong Province

Patentee after:Shenzhen Kubo Energy Co.,Ltd.

Address before:518000 2nd floor, building 2, TONGCHAN new materials Industrial Park, 28 Langshan Road, Shahe street, Nanshan District, Shenzhen City, Guangdong Province

Patentee before:SHENZHEN KUBO ENERGY SCIENCE & TECHNOLOGY Co.,Ltd.

CP03Change of name, title or address

[8]ページ先頭

©2009-2025 Movatter.jp