



技术领域technical field
本发明属于无线通信技术领域,具体涉及一种基于数据缓存的多中继两跳网络安全传输方法。The invention belongs to the technical field of wireless communication, and in particular relates to a multi-relay two-hop network security transmission method based on data cache.
背景技术Background technique
无线技术和设备的快速发展带来了大量个人私密信息交互,例如银行帐户信息,个人健康信息等。这些信息的安全性对无线通信网络的发展带来了重要挑战。尽管上层秘钥加密技术可以保护信息安全,但是上层密钥技术假设窃听节点能力有限且加密算法复杂,不能应用于设备能力有好的通信网络。物理层安全技术利用无线信道特征进行加密,可以很好的补充以上不足。协作中继技术可以利用中继来提升网络的安全性,但是固定的中继模式使网络性能受限于最差一跳。基于缓存的中继网络可以很好的解决以上问题,尽管已有工作研究了基于缓存的协作中继网络的安全性,但是网络的链路选择策略没有考虑信息安全中断概率,因此性能提升有限。The rapid development of wireless technology and devices has brought a large amount of personal and private information interaction, such as bank account information, personal health information, etc. The security of such information brings important challenges to the development of wireless communication networks. Although the upper-layer key encryption technology can protect information security, the upper-layer key technology assumes that the eavesdropping node has limited capabilities and the encryption algorithm is complex, and cannot be applied to communication networks with good device capabilities. The physical layer security technology uses the wireless channel characteristics to encrypt, which can well supplement the above shortcomings. Cooperative relay technology can use relay to improve the security of the network, but the fixed relay mode limits the network performance to the worst hop. The cache-based relay network can solve the above problems well. Although the security of the cache-based cooperative relay network has been studied, the link selection strategy of the network does not consider the probability of information security interruption, so the performance improvement is limited.
发明内容SUMMARY OF THE INVENTION
本发明所要解决的技术问题在于针对上述现有技术中的不足,提供一种基于数据缓存的多中继两跳网络安全传输方法,优化传统方案的性能。The technical problem to be solved by the present invention is to provide a multi-relay two-hop network security transmission method based on data cache to optimize the performance of the traditional scheme, aiming at the deficiencies in the above-mentioned prior art.
本发明采用以下技术方案:The present invention adopts following technical scheme:
一种基于数据缓存的多中继两跳网络安全传输方法,包括以下步骤:A multi-relay two-hop network security transmission method based on data cache, comprising the following steps:
S1、根据源节点到中继节点的链路中断概率得到源节点到中继节点的信道安全门限;根据中继节点到目的节点的链路中断概率得到源节点到中继节点的信道安全门限;S1. Obtain the channel security threshold from the source node to the relay node according to the link interruption probability from the source node to the relay node; obtain the channel security threshold from the source node to the relay node according to the link interruption probability from the relay node to the destination node;
S2、根据中继缓存状态和安全链路数目,制定链路选择策略;S2. Formulate a link selection strategy according to the relay cache state and the number of secure links;
S3、根据步骤S2确定的链路选择策略,分析网络的信道转移矩阵及稳态概率,得到网络的安全中断概率,实现传输。S3. According to the link selection strategy determined in step S2, analyze the channel transition matrix and the steady state probability of the network to obtain the safety interruption probability of the network, and realize the transmission.
具体的,步骤S1中,第t个时隙中第一跳的安全中断概率时,为最大允许安全中断概率,源节点和中继Ri之间链路为安全,则源节点和中继Ri的链路必须满足其中为源节点和中继Ri在第t个时隙的信道功率增益,Υar源节点和中继之间信息安全的最小门限;Specifically, in step S1, the safety interruption probability of the first hop in the t-th timeslot hour, For the maximum allowable safety interruption probability, the link between the source node and the relay Ri is safe, then the link between the source node and the relay Ri must satisfy: in is the channel power gain of the source node and the relay Ri in the t-th time slot, Yar is the minimum threshold of information security between the source node and the relay;
第t个时隙中第二跳的安全中断概率时,中继Ri和目的节点之间链接实现连接;链路选择策略为:Safe outage probability for the second hop in the t-th slot When , the link between the relay Ri and the destination node realizes the connection; the link selection strategy is:
其中,Ψ(Qk)是Rk的缓冲状态,表示源节点和中继之间的链接是安全的;表示中继和目的节点之间的链路安全,中继Ri和目的节点之间链路必须满足为中继Ri和目的节点在第t个时隙的信道功率增益,Υrb中继Ri和目的节点之间信息安全的最小门限。where Ψ(Qk ) is the buffer state of Rk , Indicates that the link between the source node and the relay is secure; Represents the link security between the relay and the destination node, the link between the relay Ri and the destination node must satisfy For the channel power gain of the relay Ri and the destination node in the t-th time slot,Yrb is the minimum threshold of information security between the relay Ri and the destination node.
具体的,步骤S2中,链路选择策略具体为:Specifically, in step S2, the link selection strategy is specifically:
其中,Ropt为选择的最优中继,Rk为第k个中继,Ψ(Qk)是Rk的缓存Qk的状态,L为最大数据缓存,为源节点和中继Ri的信道功率增益,为中继Ri和目的节点的信道功率增益,λae为源节点和窃听节点之间的信道方差,λre为中继节点和窃听节点之间的信道方差;表示选择源节点和中继之间的链接是安全且信道功率增益最大中继;表示选择中继节点和目的节点之间的链接是安全且信道功率增益最大中继。Among them, Ropt is the optimal relay selected, Rk is the kth relay, Ψ(Qk ) is the state of the cache Qk of Rk , L is the maximum data cache, is the channel power gain of source node and relay Ri , is the channel power gain of the relay Ri and the destination node, λae is the channel variance between the source node and the eavesdropping node, and λre is the channel variance between the relay node and the eavesdropping node; Indicates that the link between the source node and the relay is selected to be a secure relay with the largest channel power gain; Indicates that the link between the selected relay node and the destination node is a secure relay with maximum channel power gain.
进一步的,网络中没有安全链路的概率为:Further, the probability that there is no secure link in the network is:
其中,λar为源节点和中继节点之间的信道方差,λrb为中继节点和目的节点之间的信道方差。Among them, λar is the channel variance between the source node and the relay node, and λrb is the channel variance between the relay node and the destination node.
进一步的,根据链路选择方案,源节点与中继节点之间有M1条合法链路的概率为Further, according to the link selection scheme, the probability that there are M1 legal links between the source node and the relay node is
其中,M为中继数目。Among them, M is the number of relays.
进一步的,根据链路选择方案,中继节点与目的节点之间有M2条合法链路的概率为:Further, according to the link selection scheme, the probability of having M2 legal links between the relay node and the destination node is:
设网络的状态空间为其中sn表示第n个时隙网络状态,表示第i个中继的缓存状态;Let the state space of the network be where sn represents the network state of the nth slot, Indicates the cache status of the i-th relay;
具体的,步骤S3中,根据链路选择策略,系统从状态sn传输到状态sl的概率为an,l,则网络的平稳状态为:Specifically, in step S3, according to the link selection strategy, the probability that the system transmits from state sn to state sl is an,l , then the stationary state of the network is:
π=(A-I+B)-1bπ=(A-I+B)-1 b
其中,A为转移矩阵,b为元素都是1的向量,I是单位矩阵,B是元素都是1的矩阵。Among them, A is the transition matrix, b is a vector with all 1 elements, I is the identity matrix, and B is a matrix with all 1 elements.
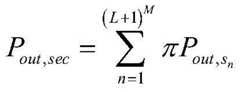
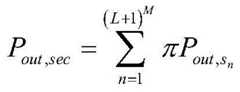
进一步的,根据系统状态,网络的安全中断概率为:Further, according to the system state, the security interruption probability of the network is:
其中,是系统在状态sn是的中断概率。in, is the outage probability of the system in state sn .
与现有技术相比,本发明至少具有以下有益效果:Compared with the prior art, the present invention at least has the following beneficial effects:
本发明一种基于数据缓存的多中继两跳网络安全传输方法,提出了一种基于安全中断的链路选择策略;根据可用和安全的链路集,构建一个马尔可夫链的状态转移矩阵,并导出稳态概率;根据上述稳态概率推导所提出方案的安全中断概率的闭式表达式;最后,数值结果表明,本发明所提的基于中断驱动安全传输方案优于传统的缓存辅助安全传输方案。The present invention is a multi-relay two-hop network security transmission method based on data cache, and proposes a link selection strategy based on security interruption; according to the available and secure link set, a state transition matrix of Markov chain is constructed , and derive the steady-state probability; according to the above-mentioned steady-state probability, the closed-form expression of the security interrupt probability of the proposed scheme is deduced; finally, the numerical results show that the interrupt-driven secure transmission scheme proposed in the present invention is superior to the traditional cache-assisted security transmission scheme.
进一步的,本发明首先分析了源节点到中继以及中继到目的节点的信道安全速率,并分析了相应的安全中断概率。根据得到的安全中断概率,推出源节点到中继以及中继到目的节点的信道安全的门限。Further, the present invention first analyzes the channel security rate from the source node to the relay and the relay to the destination node, and analyzes the corresponding security interruption probability. According to the obtained security interruption probability, the channel security thresholds of the source node to the relay and the relay to the destination node are deduced.
进一步的,基于上述门限以及中继缓存状态,本发明提出了一种新的基于安全中断概率的链路选择策略,考虑到信息安全性和可靠性,以提升网络的性能。Further, based on the above-mentioned threshold and relay cache state, the present invention proposes a new link selection strategy based on safety interruption probability, which takes into account information security and reliability to improve network performance.
进一步的,根据上述链路选择策略,本发明利用一个马尔可夫链来表征系统中的状态转移概率并推导状态转移矩阵,随后得到了系统的稳态概率,该稳态为性能分析提供了数学工具。Further, according to the above-mentioned link selection strategy, the present invention utilizes a Markov chain to characterize the state transition probability in the system and derives the state transition matrix, and then obtains the steady state probability of the system, which provides mathematics for performance analysis. tool.
进一步的,根据上述稳态概率,本发明分析该方案的信息安全中断概率并得出了封闭形式的表达式。Further, according to the above-mentioned steady state probability, the present invention analyzes the information security interruption probability of the scheme and obtains a closed-form expression.
综上所述,本发明在链路选择时考虑到了信道的中断概率,可以进一步的提升网络的安全性,优于传统的基于数据缓存的安全传输方案。To sum up, the present invention considers the interruption probability of the channel during link selection, which can further improve the security of the network, which is superior to the traditional security transmission scheme based on data buffering.
下面通过附图和实施例,对本发明的技术方案做进一步的详细描述。The technical solutions of the present invention will be further described in detail below through the accompanying drawings and embodiments.
附图说明Description of drawings
图1为本发明所提出的缓冲辅助安全传输图;Fig. 1 is a buffer-assisted safe transmission diagram proposed by the present invention;
图2为当gsr≥grd时,保密中断概率与平均信道功率增益grd的关系图;Fig. 2 is when gsr ≥ grd , the relation diagram of secrecy interruption probability and average channel power gain grd ;
图3为保密中断概率与目标保密率Rsec图;Fig. 3 is a graph of confidentiality interruption probability and target secrecy rate Rsec;
图4为秘密中断概率与许可秘密中断概率的上限图。FIG. 4 is an upper bound graph of the probability of secret outage and the probability of licensed secret outage.
具体实施方式Detailed ways
请参阅图1,本发明提供了一种基于数据缓存的多中继两跳网络安全传输方法,源节点lice想要安全可靠地传输信息给目的节点Bob,窃听节点Eve会对Alice的传输数据进行窃听。由于大规模衰落或干扰,Alice和Bob之间的直接信道质量很差。为了在Alice和Bob之间进行安全传输,需要中继的协助,但窃听者可以从Alice和中继那里接收私密信息;Referring to FIG. 1, the present invention provides a multi-relay two-hop network security transmission method based on data caching. The source node lice wants to transmit information to the destination node Bob safely and reliably, and the eavesdropping node Eve will perform the transmission data of Alice. tapping. The direct channel quality between Alice and Bob is poor due to massive fading or interference. For secure transmission between Alice and Bob, the assistance of the relay is required, but the eavesdropper can receive private information from Alice and the relay;
每个中继只有一根天线,并半双工模式工作,每个中继具有一个数据缓存,用Qi表示;数据缓存的长度为L;在本系统中,每个帧均等地划分为一系列时隙,每个时隙的持续时间为T。在每个时隙中,只有一个中继来接收或转发私密信息;系统经历瑞利平坦块衰落,这意味着信道状态信息在每个时隙保持不变,在相邻时隙独立变化。Each relay has only one antenna and works in half-duplex mode. Each relay has a data buffer, which is represented by Qi ; the length of the data buffer is L; in this system, each frame is equally divided into one A series of time slots, each of duration T. In each time slot, there is only one relay to receive or forward the private information; the system experiences Rayleigh flat block fading, which means that the channel state information remains constant in each time slot and changes independently in adjacent time slots.
请参阅图1,本发明一种基于数据缓存的多中继两跳网络安全传输方法,包括以下步骤:Referring to FIG. 1, a method for secure transmission of a multi-relay two-hop network based on a data cache of the present invention includes the following steps:
S1、设计链路选择策略使得保密中断概率最大化;S1. Design a link selection strategy to maximize the privacy interruption probability;
在第t个时隙,如果中继Ri被选择用来接收Alice的私密信息,则其接收到信息为:In the t-th time slot, if the relayRi is selected to receive Alice's private information, the received information is:
其中,pa是Alice的发射功率;是Alice和Ri在第t个时隙的信道系数;xa[t]是第t个时隙Alice的私密信息;是Ri在第t个时隙接收到噪声,此私密信息被解码并存储在Ri的缓存中,同时被窃听的私密信息为:Among them, pa is Alice's transmit power; is the channel coefficient of Alice andRi in the t-th time slot; xa [t] is the private information of Alice in the t-th time slot; It is Ri that receives the noise in the t-th time slot, the private information is decoded and stored in the buffer of Ri , and the private information that is eavesdropped at the same time is:
其中,hae[t]是第t个时隙中Alice和窃听者之间的信道系统,ne[t]是第t个时隙窃听者接收到的噪声。wherehae [t] is the channel system between Alice and the eavesdropper in the t-th slot, andne [t] is the noise received by the eavesdropper in the t-th slot.
在k个时隙之后,如果Ri转发此私密信息,则Bob接收到的信号为:Afterk slots, if Ri forwards this private information, the signal received by Bob is:
其中,Pr是Ri的发射功率;是Ri和Bob在第(k+t)时隙的信道系统;xri[t+k]是第(t+k)时隙Ri转发的私密信息;nb[t+k]是(t+k)时隙Bob接受的噪声。where Pr is the transmit power of Ri ; is the channel system of Ri and Bob in the (k +t)th time slot; xri [t+k] is the private information forwarded by Ri in the (t+k)th time slot; nb [t+k] is ( t+k) Noise received by Bob at slot.
同样,窃听者窃听的私密信息为:Similarly, the private information eavesdropped by the eavesdropper is:
其中,是Ri和窃听者在第(t+k)时隙的信道系统,ne[t+k]是窃听者在(t+k)时隙接收到的噪声。in, is the channel system of Ri and the eavesdropper in the (t+k )th time slot, andne [t+k] is the noise received by the eavesdropper in the (t+k)th time slot.
当选择中继Ri在第t个时隙接收Alice的私密信息时,Ri的信息速率为:When the relayRi is selected to receive Alice's private information in the t-th time slot, the information rate ofRi is:
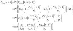
其中,是Alice和Ri在第t个时隙的信道功率增益,N0为噪声方差。in, is the channel power gain of Alice andRi in the t-th time slot, and N0 is the noise variance.
窃听者的窃听率为:The eavesdropping rate for eavesdroppers is:
第t个时隙Alice和Ri安全速率为:The safe rate of Alice andRi in the t-th slot is:
其中,(a)+=max(a,0),由于窃听信道的信道状态信息无法获取,因此采用安全中断概率衡量安全性能。Among them, (a)+ =max(a,0), since the channel state information of the eavesdropping channel cannot be obtained, the security interruption probability is used to measure the security performance.
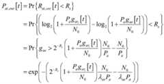
因此安全中断概率为:So the safe outage probability is:
其中,Rs为目标安全中断概率,λae为Alice到窃听节点的信道方差。设最大允许安全中断概率为在第t时隙中,Alice和Ri之间的链接只有在时才是安全的,因此可以得到Among them, Rs is the target security interruption probability, and λae is the channel variance from Alice to the eavesdropping node. Let the maximum allowable safe interruption probability be In the t-th slot, the link between Alice andRi is only is safe when
当时得出gari[t]≥Υar,此时信道是安全的。when When we get gari [t]≥Υar , the channel is safe at this time.
在t+k时隙,Ri转发安全信息,则Bob的接收到的信息速率为In time slot t+k, Ri forwards the security information, then Bob's received information rate is
窃听者在第t+k时刻的窃听率为:The eavesdropper's eavesdropping rate at time t+k is:
因此,在第t+k时隙的第二跳的保密率为:Therefore, the secrecy rate of the second hop in the t+kth slot is:
根据目标安全速率Rs可以得出第二跳的安全中断概率为:According to the target safety rate Rs , the safety interruption probability of the second hop can be obtained as:
其中,λre为中继节点到窃听节点的信道方差。Among them,λre is the channel variance from the relay node to the eavesdropping node.
给定最大安全中断概率门限则在的条件下,Ri与Bob的链路是安全的,即:Given the maximum safe outage probability threshold then in Under the condition of , the link betweenRi and Bob is safe, namely:
根据网络可用链路及数据缓存状态,本发明提出以下链路选择策略:According to the network available links and data cache status, the present invention proposes the following link selection strategy:
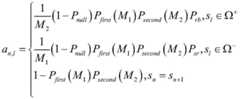
其中,Ψ(Qk)是中继Rk的缓存状态。表示Alice和中继之间的链接是安全的且信道质量较好,并且相应中继的缓存具有存储私密信息的空间;表示中继和Bob之间的链接是安全的且信道质量较好,并且相应中继的缓存具有要传输的私密信息。Among them, Ψ(Qk ) is the cache state of the relay Rk . Indicates that the link between Alice and the relay is secure and the channel quality is good, and the cache of the corresponding relay has space to store private information; Indicates that the link between the relay and Bob is secure and the channel quality is good, and the cache of the corresponding relay has private information to be transmitted.
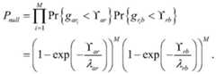
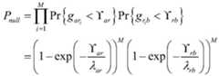
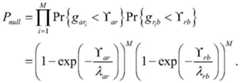
S2、根据所的链路选择策略,当链路满足gari≥Υar或grib≥Υrb时安全;否则,将没有可用的安全传输链接,此时的概率为:S2. According to the selected link selection strategy, when the link satisfies gari ≥ Υar or grib ≥ Υrb , it is safe; otherwise, there will be no safe transmission link available, and the probability at this time is:
其中,Pnull的下标表示安全传输没有可用链接的概率,λar表示Alice和中继之间信道的方差,λrb表示中继和Bob之间信道的方差。Among them, the subscript of Pnull represents the probability that there is no available link for secure transmission, λar represents the variance of the channel between Alice and the relay, and λrb represents the variance of the channel between the relay and Bob.
此时,系统至少有一条安全链路的概率为1-Pnull。在第t时隙的Alice和中继之间有M1个链路的可能性:At this time, the probability that the system has at least one safe link is 1-Pnull . Possibility of M1 links between Alice and the relay in slot t:
同理,在第t时隙,中继和Bob之间有M2条链路的可能性:Similarly, in the t-th time slot, there are M2 links between the relay and Bob:
在第t时隙中,网络的状态空间表示为:In the t-th time slot, the state space of the network is expressed as:
其中,表示Ri在状态sn的缓存状态。根据所提出的链路选择策略,系统状态以概率从sn转移到下一个状态sl的概率为:in, Represents the cached state of Ri in statesn . According to the proposed link selection strategy, the probability that the system state transitions fromsn to the next state sl with probability is:
其中,Psr是从Alice到中继链路集中选择一条链路的概率,Prb是中继与Bob链路集中选择一条链路的概率,Ω+为在sn时选择Alice发送的情况,Ω-为在sn时选择中继转发的情况。Among them, Psr is the probability of selecting a link from Alice to the relay link set, Prb is the probability of selecting a link in the relay and Bob link set, Ω+ is the case where Alice is selected to send atsn , Ω- is the case where relay forwarding is selected atsn .
Psr是从Alice到中继链路集中选择一条链路的概率:Psr is the probability of choosing a link from Alice to the relay link set:
则Prb=1-PsrThen Prb =1-Psr
则根据系统的状态空间,系统的平稳状态导出为:Then according to the state space of the system, the stationary state of the system is derived as:
π=(A-I+B)-1bπ=(A-I+B)-1 b
其中,A为转移矩阵,b为元素都是1的向量,I是单位矩阵,B是元素都是1的矩阵。Among them, A is the transition matrix, b is a vector with all 1 elements, I is the identity matrix, and B is a matrix with all 1 elements.
S3、导出秘密中断的封闭形式的表达式以及方案的概率和保密率,建立排队理论计算信息时延;S3. Derive the closed-form expression of the secret interruption and the probability and secrecy rate of the scheme, and establish the queuing theory to calculate the information delay;
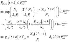
请参阅图4,根据窃听编码理论,如果系统安全速率小于Rs时,私密信息将遭受安全中断。因此,在所提链路选择策略中,系统安全中断概率为:Referring to Figure 4, according to the eavesdropping coding theory, if the system security rate is less than Rs , the private information will suffer from security interruption. Therefore, in the proposed link selection strategy, the system safety interruption probability is:
其中,是状态sn的安全中断概率:in, is the safe outage probability for statesn :
其中,M为网络中中继数目,λar表示Alice和中继之间信道的方差,λrb表示中继和Bob之间信道的方差,Among them, M is the number of relays in the network, λar represents the variance of the channel between Alice and the relay, λrb represents the variance of the channel between the relay and Bob,
本发明中所有链路选择策略考虑到了链路的中断情况,可以避免在链路选择时出现安全中断情况,从而提升了网络的安全性。根据系统的安全中断概率,可以得到此方案可以获得的安全中断情况,从而为本方案的实际使用提供了指导。All link selection strategies in the present invention take into account the interruption of the link, which can avoid the security interruption during link selection, thereby improving the security of the network. According to the safe outage probability of the system, the safe outage conditions that can be obtained by this scheme can be obtained, which provides guidance for the practical use of this scheme.
为使本发明实施例的目的、技术方案和优点更加清楚,下面将结合本发明实施例中的附图,对本发明实施例中的技术方案进行清楚、完整地描述,显然,所描述的实施例是本发明一部分实施例,而不是全部的实施例。通常在此处附图中的描述和所示的本发明实施例的组件可以通过各种不同的配置来布置和设计。因此,以下对在附图中提供的本发明的实施例的详细描述并非旨在限制要求保护的本发明的范围,而是仅仅表示本发明的选定实施例。基于本发明中的实施例,本领域普通技术人员在没有作出创造性劳动前提下所获得的所有其他实施例,都属于本发明保护的范围。In order to make the purposes, technical solutions and advantages of the embodiments of the present invention clearer, the technical solutions in the embodiments of the present invention will be clearly and completely described below with reference to the accompanying drawings in the embodiments of the present invention. Obviously, the described embodiments These are some embodiments of the present invention, but not all embodiments. The components of the embodiments of the invention generally described and illustrated in the drawings herein may be arranged and designed in a variety of different configurations. Thus, the following detailed description of the embodiments of the invention provided in the accompanying drawings are not intended to limit the scope of the invention as claimed, but are merely representative of selected embodiments of the invention. Based on the embodiments of the present invention, all other embodiments obtained by those of ordinary skill in the art without creative efforts shall fall within the protection scope of the present invention.
仿真验证Simulation
1、图2给出了中继和Bob之间的安全中断概率与平均信道功率增益的关系图。图中可以观察到理论结果与仿真结果非常吻合。另外,安全中断概率是grd的递减函数。grd值较大表示源节点和中继具有更大的功率来保证第一跳和第二跳中的安全传输。因此,安全中断的可能性随着grd的降低而降低。更多的中继将增加选择的多样性,安全中断的可能性将降低。在传统的最大比率方案中,不考虑链路安全性,并且安全中断的可能性将增加。1. Figure 2 shows the relationship between the safe outage probability and the average channel power gain between the relay and Bob. It can be observed in the figure that the theoretical results are in good agreement with the simulation results. In addition, the safe outage probability is a decreasing function of grd . A larger value of grd indicates that the source node and the relay have more power to ensure secure transmission in the first and second hops. Therefore, the probability of a safe outage decreases as thegrd decreases. More relays will increase the variety of options and the likelihood of security disruption will decrease. In the traditional maximum ratio scheme, link security is not considered and the probability of security outage will increase.
2、图3给出安全中断概率与目标保密率Rs的关系图;在图中安全中断概率是Rs的增加函数;Rs的较大值表示安全传输私密信息具有挑战性,可用链接将减少。因此,安全中断的可能性将随着Rs的增加而增加;缓存大小的增加和中继数的增加将增加链路选择的多样性,并降低安全中断的可能性;对于传统的最大比率方案,未考虑传输链路是否可用于安全传输,这导致安全中断概率增加。2. Figure 3 shows the relationship between the security interruption probability and the target confidentiality rate Rs ; in the figure, the security interruption probability is an increasing function of Rs ; a larger value of Rs indicates that it is challenging to securely transmit private information, and the available links will reduce. Therefore, the probability of safe outage will increase with the increase ofRs; the increase of cache size and the increase of the number of relays will increase the diversity of link selection and reduce the possibility of safe outage; for the traditional maximum ratio scheme , without considering whether the transmission link is available for safe transmission, which leads to an increased probability of safe outage.
综上所述,本发明一种基于数据缓存的多中继两跳网络安全传输方法,首先分析两跳传输的安全中断概率得到信息安全传输的最小门限;随后,提出一种基于安全中断概率的链路选择策略,即保障信息安全性又保障信息传输的高效性。概据所提策略,分析了系统的状态转移概率并得到稳态概率,随后分析了系统的安全中断概率,并得到相应的闭式解。仿真结果表明本发明所提方案可以提升系统的安全性。To sum up, the present invention is a multi-relay two-hop network security transmission method based on data cache. First, the security interruption probability of two-hop transmission is analyzed to obtain the minimum threshold of information security transmission; then, a security interruption probability based method is proposed. The link selection strategy ensures the security of information and the efficiency of information transmission. According to the proposed strategy, the state transition probability of the system is analyzed and the steady state probability is obtained, and then the safety interruption probability of the system is analyzed, and the corresponding closed-form solution is obtained. The simulation results show that the proposed scheme of the present invention can improve the security of the system.
以上内容仅为说明本发明的技术思想,不能以此限定本发明的保护范围,凡是按照本发明提出的技术思想,在技术方案基础上所做的任何改动,均落入本发明权利要求书的保护范围之内。The above content is only to illustrate the technical idea of the present invention, and cannot limit the protection scope of the present invention. Any modification made on the basis of the technical solution proposed in accordance with the technical idea of the present invention falls within the scope of the claims of the present invention. within the scope of protection.
| Application Number | Priority Date | Filing Date | Title |
|---|---|---|---|
| CN202010378262.7ACN111641991B (en) | 2020-05-07 | 2020-05-07 | Multi-relay two-hop network secure transmission method based on data caching |
| Application Number | Priority Date | Filing Date | Title |
|---|---|---|---|
| CN202010378262.7ACN111641991B (en) | 2020-05-07 | 2020-05-07 | Multi-relay two-hop network secure transmission method based on data caching |
| Publication Number | Publication Date |
|---|---|
| CN111641991A CN111641991A (en) | 2020-09-08 |
| CN111641991Btrue CN111641991B (en) | 2022-02-08 |
| Application Number | Title | Priority Date | Filing Date |
|---|---|---|---|
| CN202010378262.7AActiveCN111641991B (en) | 2020-05-07 | 2020-05-07 | Multi-relay two-hop network secure transmission method based on data caching |
| Country | Link |
|---|---|
| CN (1) | CN111641991B (en) |
| Publication number | Priority date | Publication date | Assignee | Title |
|---|---|---|---|---|
| CN101217301A (en)* | 2008-01-10 | 2008-07-09 | 北京邮电大学 | A collaborative transmission method realized in isomerization wireless network with cooperating relay nodes |
| EP2059911A2 (en)* | 2006-09-15 | 2009-05-20 | Itron, Inc. | Metering rf lan protocol and cell/node utilization and management |
| CN102244913A (en)* | 2010-05-12 | 2011-11-16 | 华为技术有限公司 | Multi-hop routing cooperation method of wireless network and realization apparatus thereof |
| CN103298084A (en)* | 2013-05-17 | 2013-09-11 | 山东大学 | Coordinated multi-relay selection and power distribution method based on energy efficiency criteria |
| CN104507136A (en)* | 2014-12-22 | 2015-04-08 | 哈尔滨工业大学 | Relay node selection method |
| CN105228189A (en)* | 2015-10-26 | 2016-01-06 | 西安电子科技大学 | Wireless-access mode in isomerism cooperative network and relay selection method |
| CN105375956A (en)* | 2015-10-26 | 2016-03-02 | 西安电子科技大学 | Queue cache relay transmission method in physical layer safety communication |
| CN106358215A (en)* | 2016-08-31 | 2017-01-25 | 上海交通大学 | Data caching based relay network cooperation method |
| CN106900030A (en)* | 2017-02-27 | 2017-06-27 | 西安交通大学 | Based on repetition policy selection and resource allocation safe transmission method in relaying OFDM networks |
| CN107124749A (en)* | 2017-05-09 | 2017-09-01 | 北京汇通金财信息科技有限公司 | The relay selection method and device of a kind of full duplex relaying system |
| CN107396346A (en)* | 2017-08-15 | 2017-11-24 | 广州大学 | One kind caching cellular network safety of physical layer data transmission method and system |
| CN109089273A (en)* | 2018-09-26 | 2018-12-25 | 西南科技大学 | Relay selection method based on state transition probability in a kind of Ad-Hoc network |
| CN109547140A (en)* | 2019-01-15 | 2019-03-29 | 华北电力大学(保定) | Double medium mixing fading communication system performance analysis methods based on AF agreement |
| WO2019067617A1 (en)* | 2017-09-27 | 2019-04-04 | Trellisware Technologies, Inc. | Methods and systems for improved communication in multi-hop networks |
| CN110267294A (en)* | 2019-06-18 | 2019-09-20 | 西安电子科技大学 | A random relay selection method based on energy cooperation |
| CN110290558A (en)* | 2019-06-24 | 2019-09-27 | 西安交通大学 | A delay-based secure transmission method in a cache-assisted multi-relay transmission system |
| CN110708736A (en)* | 2019-10-24 | 2020-01-17 | 东南大学 | A dynamic routing method and system based on energy-efficient relay selection |
| CN111064665A (en)* | 2019-12-24 | 2020-04-24 | 杭州电子科技大学 | A low-latency transmission scheduling method for wireless body area network based on Markov chain |
| Publication number | Priority date | Publication date | Assignee | Title |
|---|---|---|---|---|
| US9629063B2 (en)* | 2012-05-09 | 2017-04-18 | Trellisware Technologies, Inc. | Method and system for global topology discovery in multi-hop ad hoc networks |
| US10264407B2 (en)* | 2015-06-25 | 2019-04-16 | The Board Of Trustees Of The University Of Alabama | Intelligent multi-bean medium access control in ku-band for mission-oriented mobile mesh networks |
| CN106922009A (en)* | 2015-12-28 | 2017-07-04 | 镇江坤泉电子科技有限公司 | Multisensor node-node transmission system of selection based on outage probability |
| CN106714263B (en)* | 2016-12-01 | 2020-03-17 | 中国南方电网有限责任公司调峰调频发电公司 | Wireless sensor network AODV routing protocol implementation system and method |
| CN106656814A (en)* | 2017-02-23 | 2017-05-10 | 广东电网有限责任公司茂名供电局 | Routing method for power line carrier communication network |
| CN106954244B (en)* | 2017-03-03 | 2020-03-20 | 西安电子科技大学 | Low-complexity relay selection method oriented to 5G large-scale physical layer security |
| CN107734588A (en)* | 2017-09-18 | 2018-02-23 | 哈尔滨工程大学 | One kind is based on the safe and efficient cooperating relay system of selection of network code |
| CN107659991B (en)* | 2017-10-09 | 2020-07-03 | 西北工业大学 | Energy distribution method in two-hop energy collection relay network |
| CN110213793B (en)* | 2019-04-15 | 2020-06-16 | 浙江大学 | A rate control-based method for optimizing safe throughput of relay systems |
| CN112039574B (en)* | 2020-06-10 | 2022-03-22 | 合肥工业大学 | Method and system for rapid reconstruction of UAV cooperative relay network under communication interference |
| CN113395738B (en)* | 2021-08-18 | 2021-11-30 | 南京天际易达通信技术有限公司 | Transmission link determination method, system and medium for satellite-ground converged network |
| Publication number | Priority date | Publication date | Assignee | Title |
|---|---|---|---|---|
| EP2059911A2 (en)* | 2006-09-15 | 2009-05-20 | Itron, Inc. | Metering rf lan protocol and cell/node utilization and management |
| CN101217301A (en)* | 2008-01-10 | 2008-07-09 | 北京邮电大学 | A collaborative transmission method realized in isomerization wireless network with cooperating relay nodes |
| CN102244913A (en)* | 2010-05-12 | 2011-11-16 | 华为技术有限公司 | Multi-hop routing cooperation method of wireless network and realization apparatus thereof |
| EP2487845A1 (en)* | 2010-05-12 | 2012-08-15 | Huawei Technologies Co., Ltd. | Multi-hop routing cooperation method of wireless network and implementation apparatus thereof |
| CN103298084A (en)* | 2013-05-17 | 2013-09-11 | 山东大学 | Coordinated multi-relay selection and power distribution method based on energy efficiency criteria |
| CN104507136A (en)* | 2014-12-22 | 2015-04-08 | 哈尔滨工业大学 | Relay node selection method |
| CN105228189A (en)* | 2015-10-26 | 2016-01-06 | 西安电子科技大学 | Wireless-access mode in isomerism cooperative network and relay selection method |
| CN105375956A (en)* | 2015-10-26 | 2016-03-02 | 西安电子科技大学 | Queue cache relay transmission method in physical layer safety communication |
| CN106358215A (en)* | 2016-08-31 | 2017-01-25 | 上海交通大学 | Data caching based relay network cooperation method |
| CN106900030A (en)* | 2017-02-27 | 2017-06-27 | 西安交通大学 | Based on repetition policy selection and resource allocation safe transmission method in relaying OFDM networks |
| CN107124749A (en)* | 2017-05-09 | 2017-09-01 | 北京汇通金财信息科技有限公司 | The relay selection method and device of a kind of full duplex relaying system |
| CN107396346A (en)* | 2017-08-15 | 2017-11-24 | 广州大学 | One kind caching cellular network safety of physical layer data transmission method and system |
| WO2019067617A1 (en)* | 2017-09-27 | 2019-04-04 | Trellisware Technologies, Inc. | Methods and systems for improved communication in multi-hop networks |
| CN109089273A (en)* | 2018-09-26 | 2018-12-25 | 西南科技大学 | Relay selection method based on state transition probability in a kind of Ad-Hoc network |
| CN109547140A (en)* | 2019-01-15 | 2019-03-29 | 华北电力大学(保定) | Double medium mixing fading communication system performance analysis methods based on AF agreement |
| CN110267294A (en)* | 2019-06-18 | 2019-09-20 | 西安电子科技大学 | A random relay selection method based on energy cooperation |
| CN110290558A (en)* | 2019-06-24 | 2019-09-27 | 西安交通大学 | A delay-based secure transmission method in a cache-assisted multi-relay transmission system |
| CN110708736A (en)* | 2019-10-24 | 2020-01-17 | 东南大学 | A dynamic routing method and system based on energy-efficient relay selection |
| CN111064665A (en)* | 2019-12-24 | 2020-04-24 | 杭州电子科技大学 | A low-latency transmission scheduling method for wireless body area network based on Markov chain |
| Title |
|---|
| "S3-172095_TR_33899_130_clear".《3GPP tsg_sa\WG3_Security》.2017,* |
| Cooperative Jamming with Untrusted SUs forSecure Communication of Two-Hop Primary System;Dawei Wang,;《IEEE XPLORE》;20150728;全文* |
| 双向中继系统传输策略与性能研究;史士杰;《中国博士学位论文全文数据库(电子期刊)信息科技辑》;20160623;全文* |
| Publication number | Publication date |
|---|---|
| CN111641991A (en) | 2020-09-08 |
| Publication | Publication Date | Title |
|---|---|---|
| Hu et al. | Covert transmission with a self-sustained relay | |
| Zou et al. | Intercept probability analysis of cooperative wireless networks with best relay selection in the presence of eavesdropping attack | |
| Gao et al. | Cooperative jamming and relay selection for covert communications in wireless relay systems | |
| Sun et al. | Fountain-coding-based secure communications exploiting outage prediction and limited feedback | |
| CN111614419A (en) | A NOMA-based mobile edge computing network task high security offload resource allocation method | |
| CN106900030A (en) | Based on repetition policy selection and resource allocation safe transmission method in relaying OFDM networks | |
| CN110572872A (en) | Calculation method and optimization method of secrecy capacity of dual-media untrusted relay system | |
| Zhao et al. | MARS: Misbehavior detection in ad hoc networks | |
| CN106102117B (en) | Double bounce has the safe transmission method based on energy harvesting in buffer network | |
| Basak et al. | On energy efficient secure routing in multi-hop underlay D2D communications for IoT applications | |
| Khuntia et al. | A bidirectional relay-assisted underlay device-to-device communication in cellular networks: An IoT application for FinTech | |
| CN111107547B (en) | Secure transmission method of alternate relay network in eavesdropping environment | |
| Zhang et al. | Energy efficiency based on joint mobile node grouping and data packet fragmentation in short‐range communication system | |
| CN114268946B (en) | Poisson data stream-oriented probability retransmission hidden wireless communication method | |
| Sheikholeslami et al. | Energy-efficient secrecy in wireless networks based on random jamming | |
| CN111641991B (en) | Multi-relay two-hop network secure transmission method based on data caching | |
| CN110213793A (en) | A kind of safe throughput optimization method of the relay system of human's operating control | |
| Yu et al. | A secure communication protocol between sensor nodes and sink node in underwater acoustic sensor networks | |
| Sadig et al. | Encryption-aided physical layer security via cooperative jamming: Beyond secrecy capacity with noisy ciphertext | |
| CN117221880A (en) | Data encryption communication method in cellular communication system | |
| Makda et al. | Security implications of cooperative communications in wireless networks | |
| CN111314920A (en) | Non-trusted relay network system and safe transmission method thereof | |
| Zhang et al. | Selective forwarding attacks against data and ack flows in network coding and countermeasures | |
| El Shafie et al. | On secure communications over a wiretap channel with fixed-rate transmission: Protocol design and queueing analysis | |
| Qian et al. | Physical layer security in untrusted diamond relay networks with imperfect source-relay links |
| Date | Code | Title | Description |
|---|---|---|---|
| PB01 | Publication | ||
| PB01 | Publication | ||
| SE01 | Entry into force of request for substantive examination | ||
| SE01 | Entry into force of request for substantive examination | ||
| GR01 | Patent grant | ||
| GR01 | Patent grant |