



技术领域technical field
本发明涉及能效评估技术领域,尤其涉及一种基于数据驱动的居民用电能效评估方法。The invention relates to the technical field of energy efficiency evaluation, in particular to a data-driven residential energy efficiency evaluation method.
背景技术Background technique
国家节能减排规划中指出,2015年全国万元国内生产总值能耗比2010年下降了16%(比2005年下降32%),这一目标基本实现,共节约能源6.7亿吨标准煤。目前时期,我国在节能工作的基础上,提出实施能耗总量和强度“双控”行动,明确要求到2020年单位GDP能耗比2015年降低15%,能源消费总量控制在50 亿吨标准煤以内。这些节能目标的提出和实施进一步落实了绿色发展理念,加快形成了资源节约、环境友好的生产方式和消费模式,为我国经济社会可持续健康发展提供了有力支撑。The National Energy Conservation and Emission Reduction Plan pointed out that in 2015, the national energy consumption per 10,000 yuan of GDP decreased by 16% compared with 2010 (32% compared with 2005). At present, on the basis of energy conservation work, my country has proposed to implement the "double control" action of total energy consumption and intensity, clearly requiring that by 2020, the energy consumption per unit of GDP should be reduced by 15% compared with 2015, and the total energy consumption should be controlled at 5 billion tons. within standard coal. The proposal and implementation of these energy-saving goals further implemented the concept of green development, accelerated the formation of resource-saving and environment-friendly production and consumption patterns, and provided strong support for the sustainable and healthy development of my country's economy and society.
随着近年来物联网、大数据、人工智能等技术不断地突破创新,新型互联网将与智能电网深度融合,逐步形成能源互联网。其中,在感知层中先进的传感器将电网中数以亿计的设备连接起来,网络层将电网运行产生的多源、异构、海量数据实时接入云端,平台层整合数据并对其进行高效处理,最终可实现为需求侧提供智能化及多元化的业务服务。With the continuous breakthrough and innovation of technologies such as the Internet of Things, big data, and artificial intelligence in recent years, the new Internet will be deeply integrated with the smart grid, gradually forming the energy Internet. Among them, the advanced sensors in the perception layer connect hundreds of millions of devices in the power grid, the network layer connects the multi-source, heterogeneous and massive data generated by the operation of the power grid to the cloud in real time, and the platform layer integrates the data and efficiently processes it. processing, and finally can provide intelligent and diversified business services for the demand side.
对于节能潜力的研究方向近些年也逐渐从供应侧向需求侧倾斜,从火电厂、配电网到楼宇建筑、工厂。Morten(MortenPederBacher,Kim B. Wittchen.Ahybrid modelling method for improving estimates of the average energy-savingpotential of a building stock[J].Energy and Buildings,2019,199: 287-296.)等人发表文章提出评估楼宇的节能潜力需要精准预测楼宇用能,并且估计实施节能措施的效果。而已有文献对研究居民用户节能潜力打下基础,Alaa Alhamoud(Alaa Alhamoud,FelixRuettiger,Andreas Reinhardt. SMARTENERGY.KOM:An intelligent system for energysaving in smart home[C]. IEEE.39th Annual IEEE Conference on Local ComputerNetworks Workshops, Edmonton,AB,Canada:IEEE,2014:685-692)等人认为人类在家中大部分活动与一部分电器强相关,所以通过传感器与机器学习方法检测用户行为,对电器的使用制定决策算法。虽然每一个居民用户的节能潜力相较于电力大用户来说微乎其微,但是通过调动居民用户积极性,培养、促进居民用户节能潜力意识,不仅可以为居民用户取得节约电量效益,同样可以节约能源、保护环境。The research direction of energy saving potential has gradually shifted from the supply side to the demand side in recent years, from thermal power plants and distribution networks to buildings and factories. Morten (Morten PederBacher, Kim B. Wittchen. Ahybrid modelling method for improving estimates of the average energy-saving potential of a building stock [J]. Energy and Buildings, 2019, 199: 287-296.) et al published an article proposing to evaluate the energy saving potential of a building There is a need to accurately forecast building energy consumption and estimate the effect of implementing energy-saving measures. The existing literature has laid the foundation for the study of the energy saving potential of residential users. Alaa Alhamoud (Alaa Alhamoud, FelixRuettiger, Andreas Reinhardt. SMARTENERGY.KOM: An intelligent system for energy saving in smart home[C]. IEEE.39th Annual IEEE Conference on Local ComputerNetworks Workshops, Edmonton, AB, Canada: IEEE, 2014: 685-692) and others believe that most of human activities at home are strongly related to some electrical appliances, so sensors and machine learning methods are used to detect user behavior, and make decision-making algorithms for the use of electrical appliances. Although the energy saving potential of each resident user is negligible compared to the large electricity users, by mobilizing the enthusiasm of resident users and cultivating and promoting the awareness of resident users' energy saving potential, it can not only achieve electricity saving benefits for residential users, but also save energy, protect surroundings.
目前,中国节能服务企业主要采用的市场化节能机制——合同能源管理,主要客户仍是用能大户,比如工业用户、办公用户、商业用户。但是,近年来中国节能服务企业存在规模小、发展水平低,市场竞争激烈、整体的生存状况较为恶劣的局面。在各个行业交叉融合的发展趋势下,纵观整个节能服务产业的发展状况,虽然各公司宣传的立足点不同,但是其产品的运作方式、工作原理大同小异,都是基于某一项创新技术而存在,出现了产品同质化的现象。所以,节能服务公司不仅应该提高其服务意识,面向不同类型客户类型推出多元、丰富的能效管理方式。更应该在业务层面,提出更多创新型的算法及应用,促进市场的良性竞争。At present, the market-oriented energy-saving mechanism mainly adopted by China's energy-saving service enterprises - contract energy management, the main customers are still large energy users, such as industrial users, office users, and commercial users. However, in recent years, China's energy-saving service enterprises have been in a situation of small scale, low development level, fierce market competition, and poor overall living conditions. Under the development trend of cross-integration of various industries, looking at the development of the entire energy-saving service industry, although the footholds of each company's propaganda are different, the operation methods and working principles of their products are similar, all based on a certain innovative technology. , the phenomenon of product homogeneity occurred. Therefore, energy-saving service companies should not only improve their service awareness, but also introduce diversified and rich energy efficiency management methods for different types of customers. At the business level, more innovative algorithms and applications should be proposed to promote healthy competition in the market.
发明内容SUMMARY OF THE INVENTION
本发明的目的在于提出一种对居民用电能效做出评估,并且可视化反馈于用户,培养以及促进居民用户节能意识行为的基于数据驱动的居民用电能效评估方法。The purpose of the present invention is to provide a data-driven residential energy efficiency evaluation method based on the evaluation of residential energy efficiency, and visual feedback to users, so as to cultivate and promote the energy-saving awareness behavior of residential users.
为达到上述目的,本发明提出一种基于数据驱动的居民用电能效评估方法,包括以下步骤:In order to achieve the above object, the present invention proposes a data-driven residential energy efficiency evaluation method, which includes the following steps:
步骤1:检测并统计相关数据;Step 1: Detect and count relevant data;
步骤2:搭建云存储及云计算平台,对数据进行业务处理;Step 2: Build a cloud storage and cloud computing platform to process data;
步骤3:构建居民用户横向评分标准,实时评估单个居民用户在一定范围内的用能行为,并且给出横向评分;Step 3: Build a horizontal scoring standard for resident users, evaluate the energy consumption behavior of a single resident user within a certain range in real time, and give a horizontal score;
步骤4:构建居民用户纵向评分标准,实时评估每个居民用户目前用能行为是否符合其历史行为习惯,并且给出纵向评分;Step 4: Build a longitudinal scoring standard for resident users, evaluate in real time whether each resident user's current energy use behavior conforms to their historical behavior habits, and give a longitudinal score;
步骤5:结合所述横向评分和所述纵向评分建立居民用户用能行为综合评分标准;Step 5: Combine the horizontal score and the vertical score to establish a comprehensive scoring standard for energy use behavior of resident users;
步骤6:将评分结果反馈给居民用户。Step 6: Feed back the scoring results to resident users.
优选的,在步骤1中,安装感知硬件设备以统计相关数据,数据来源包括: 居民用户通过双向互动智能可视化电量显示屏进行功率数据传输、预安装于每层居民用户的传感器实时上传数据、与外部气象数据库进行数据对接以调取相关数据以及对居民用户进行家庭数据调研。Preferably, in step 1, a sensing hardware device is installed to count relevant data, and the data sources include: resident users perform power data transmission through a two-way interactive intelligent visual power display screen, real-time upload data from sensors pre-installed on each floor of resident users, and The external meteorological database is connected to the data to retrieve relevant data and conduct household data research on residential users.
优选的,在步骤2中,搭建云存储及云计算平台,获取步骤1中的数据,利用ETL技术对数据进行整合及预处理,然后进行数据清洗,构建统一标准的数据仓库。Preferably, in step 2, a cloud storage and cloud computing platform is built, the data in step 1 is obtained, the data is integrated and preprocessed by using ETL technology, and then data is cleaned to build a unified standard data warehouse.
优选的,在步骤3中,所述居民用户横向评分标准为:Preferably, in step 3, the horizontal scoring standard of the resident user is:
其中,S1j为第j个用户的横向评分;为第j个用户在第i个时段内的用电量;αj为第j个用户的折合系数,折合系数主要受建筑面积Sarea、人口数量Npeople影响;Among them, S1j is the horizontal score of the jth user; is the electricity consumption of the jth user in the ith period; αj is the conversion coefficient of the jth user, and the conversion coefficient is mainly affected by the building area Sarea and the population number Npeople ;
公式具体含义为:将单个居民用户一天内总用电量折合成单位人口以及单位面积的用电量,用于定性衡量单个居民用户在一定区域内的用电能力。The specific meaning of the formula is: convert the total electricity consumption of a single resident user in one day into the electricity consumption per unit population and unit area, which is used to qualitatively measure the electricity consumption capacity of a single resident user in a certain area.
优选的,基于LSTM的用户用电量预测模型,构建居民用户纵向评分标准,实时评估每个居民用户目前用能行为是否符合其历史行为习惯,汇总根据区域内所有居民用户的纵向评分,并对结果进行排序。Preferably, based on the LSTM-based user electricity consumption prediction model, construct a vertical scoring standard for residential users, evaluate in real time whether the current energy consumption behavior of each residential user conforms to its historical behavior habits, summarize the longitudinal scores of all residential users in the area, and evaluate The results are sorted.
优选的,所述LSTM的用户用电量预测模型为长短期记忆网络(Long Short-TermMemory)的用户用电量预测模型;包括输入层、LSTM层和输出层的长短期记忆神经网络;LSTM输入层为多特征滚动窗口形式,考虑单个用户纵向24小时以及8种数据特征:季节、星期、天气、温度、湿度、分贝、光照和用电量,滚动窗口大小为24×8的形式;其中季节、星期和天气是离散数据,使用嵌入层学习离散型数据后,生成特征向量并与连续数据进行特征联合,形成 LSTM输入向量;LSTM输出层为第25小时内的用户用电量。Preferably, the user power consumption prediction model of the LSTM is a user power consumption prediction model of a long short-term memory network (Long Short-TermMemory); a long short-term memory neural network including an input layer, an LSTM layer and an output layer; LSTM input The layer is in the form of a multi-feature rolling window, considering the vertical 24 hours of a single user and 8 kinds of data characteristics: season, week, weather, temperature, humidity, decibel, light and electricity consumption, and the rolling window size is in the form of 24 × 8; among which the season , week and weather are discrete data. After using the embedding layer to learn the discrete data, the feature vector is generated and combined with the continuous data to form the LSTM input vector; the LSTM output layer is the user's electricity consumption within the 25th hour.
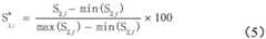
优选的,所述居民用户纵向评分标准为:Preferably, the longitudinal scoring standard of the resident user is:
其中,S2j为第j个用户的纵向评分;为第j个用户在第i个时段内预测的用电量;为第j个用户在第i个时段内的实际用电量;Among them,S2j is the longitudinal score of the jth user; is the predicted electricity consumption of the jth user in the ith period; is the actual electricity consumption of the jth user in the ith period;
公式具体含义为:将基于单个用户的用电行为习惯预测的用电量与该时段内实际用电量对比,若则用户用能比预测用电量少,此时S2j>0;若则用户用能符合习惯,此时S2j=0;若则用户用能存在过多的现象,此时S2j<0;其中,因S2j存在负数的情况,故对纵向评分S2j进行数值归一化处理。将S2j转换为百分制,便于用户直观了解其自身用能行为。The specific meaning of the formula is: compare the electricity consumption predicted based on the electricity consumption habits of a single user with the actual electricity consumption during the period, if Then the user's energy consumption is less than the predicted electricity consumption, at this time S2j >0; if Then the user can use energy according to the habit, at this time S2j = 0; if Then there is excessive user energy consumption, and at this time S2j <0; among them, since S2j has a negative number, the longitudinal score S2j is numerically normalized. Converting S2j into a percentage system is convenient for users to intuitively understand their own energy consumption behavior.
优选的,在步骤5中,将所述横向评分和所述纵向评分结果分别进行排序,分别并给定用户其用能所属区域范围内的所属百分段;Preferably, in step 5, the horizontal score and the vertical score results are sorted respectively, and the percentiles within the region to which the user's energy usage belongs are given respectively;
根据单个居民用户的横向、纵向用能情况,建立综合评分:According to the horizontal and vertical energy consumption of a single resident user, a comprehensive score is established:
其中,Sj为第j个用户的综合评分;a、b为修正系数,通过具体与结果计算,用于核定纵向评分与横向评分的权重,并且将Sj控制在0~100内,再结合区域范围内的实际情况,选取横向和纵向比重大小;Among them, Sj is the comprehensive score of the jth user; a and b are correction coefficients. and The result calculation is used to check the weight of the vertical score and the horizontal score, and control Sj within 0-100, and then select the horizontal and vertical proportions according to the actual situation in the region;
根据综合评分结果进行排序,给定用户其用能情况所属区域范围内的百分段。Sort according to the comprehensive score results, and give the percentile segment within the region to which the user's energy consumption belongs.
优选的,在步骤6中,将评分结果可视化反馈于双向互动智能可视化电量显示屏,从而可视化反馈给居民用户。Preferably, in step 6, the scoring result is visualized and fed back to the two-way interactive intelligent visualized electric quantity display screen, so as to be visualized and fed back to the resident user.
与现有技术相比,本发明的优势之处在于:Compared with the prior art, the advantages of the present invention are:
(1)利用海量、多源、异构数据,评估居民用户节能潜力。利用数据驱动,获取数据洞察,较传统的模型驱动来说更加客观、真实、准确。(1) Using massive, multi-source and heterogeneous data to evaluate the energy saving potential of residential users. Using data-driven to obtain data insights is more objective, true and accurate than traditional model-driven.
(2)基于云存储、云计算平台,能够高效地处理大量实时数据。(2) Based on cloud storage and cloud computing platform, it can efficiently process a large amount of real-time data.
(3)融合深度学习中嵌入层(Embedding Layer)与LSTM模型,代替传统的One-Hot与人工神经网络。使用自然语言处理中Embedding学习将离散数据映射成低维向量,改善了One-Hot向量稀疏导致的效率低下问题;利用LSTM学习多特征的时间序列数据,可以拥有更好的数据特征记忆能力。很大程度上提高了预测模型的准确度。(3) Integrate the Embedding Layer and LSTM model in deep learning to replace the traditional One-Hot and artificial neural network. Using Embedding learning in natural language processing to map discrete data into low-dimensional vectors improves the inefficiency caused by sparse One-Hot vectors; using LSTM to learn multi-feature time series data can have better data feature memory capabilities. The accuracy of the prediction model is greatly improved.
(4)分别从单个用户在区域范围内的用能情况与其自身历史用能习惯两个层面定性量化地评估用户用能行为。(4) Qualitatively and quantitatively evaluates the user's energy use behavior from two levels, the energy use situation of a single user in the area and its own historical energy use habits.
(5)利用双向互动智能可视化电量显示屏采集数据,并将用能情况可视化结果反馈于用户,形成区域内用户的良性竞争,促进及培养居民用户节能意识。(5) Use the two-way interactive intelligent visualization power display to collect data, and feed back the visualization results of energy consumption to users, form healthy competition among users in the region, and promote and cultivate residents' awareness of energy conservation.
附图说明Description of drawings
图1为数据来源流程图;Figure 1 is the data source flow chart;
图2为云平台工作流程图;Fig. 2 is the working flow chart of the cloud platform;
图3为本发明的方法流程图;Fig. 3 is the method flow chart of the present invention;
图4为LSTM预测模型工作流程图。Figure 4 shows the workflow of the LSTM prediction model.
具体实施方式Detailed ways
为使本发明的目的、技术方案和优点更加清楚,下面将对本发明的技术方案作进一步地说明。In order to make the objectives, technical solutions and advantages of the present invention clearer, the technical solutions of the present invention will be further described below.
如图3所示,本发明提出一种基于数据驱动的居民用电能效评估方法,包括以下步骤:As shown in FIG. 3 , the present invention proposes a data-driven residential energy efficiency evaluation method, which includes the following steps:
步骤1:检测并统计相关数据;如图1所示,本发明中基于大数据的用户用能行为评估的数据来源如下:Step 1: Detect and count relevant data; as shown in Figure 1, the data sources of the user energy behavior evaluation based on big data in the present invention are as follows:
(1)居民用户通过双向互动智能可视化电量显示屏进行功率数据传输;(1) Resident users transmit power data through two-way interactive intelligent visual power display;
(2)预安装于每层居民用户的传感器(光照、分贝、湿度、温度)实时上传数据;(2) Sensors (light, decibels, humidity, temperature) pre-installed on each floor of residential users to upload data in real time;
(3)与外部气象数据库进行数据对接以调取相关数据;(3) Data docking with external meteorological database to retrieve relevant data;
(4)对居民用户进行家庭数据调研。(4) Conduct household data research on resident users.
步骤2:如图2所示,搭建云存储及云计算平台,为后续数据处理进行准备;实时获取每层楼宇中传感器实时传输的数据与居民用户用电数据,利用ETL技术(数据抽取、数据转换、数据加载)对数据进行整合及预处理,然后进行数据清洗(缺失值处理、异常值处理、数据归一化),构建统一标准的数据仓库。搭建云计算平台,可对数据仓库中清洁、海量、多维、异构数据进行业务处理。Step 2: As shown in Figure 2, build a cloud storage and cloud computing platform to prepare for subsequent data processing; obtain real-time data transmitted by sensors in each floor of the building and power consumption data of residential users, and use ETL technology (data extraction, data Transformation, data loading) to integrate and preprocess the data, and then perform data cleaning (missing value processing, outlier processing, data normalization), and build a unified standard data warehouse. Build a cloud computing platform to perform business processing on clean, massive, multi-dimensional, and heterogeneous data in the data warehouse.
步骤3:实时评估单个居民用户在一定范围内用能行为,汇总根据区域内所有居民用户的横向评分,并对结果进行排序。所述居民用户横向评分标准具体为:Step 3: Evaluate the energy consumption behavior of a single resident user within a certain range in real time, summarize the horizontal scores of all resident users in the area, and sort the results. The horizontal scoring criteria for the resident users are as follows:
其中,S1j为第j个用户的横向评分;为第j个用户在第i个时段内的用电量;αj为第j个用户的折合系数,折合系数主要受建筑面积Sarea、人口数量Npeople影响;Among them, S1j is the horizontal score of the jth user; is the electricity consumption of the jth user in the ith period; αj is the conversion coefficient of the jth user, and the conversion coefficient is mainly affected by the building area Sarea and the population number Npeople ;
公式具体含义为:将单个居民用户一天内总用电量折合成单位人口以及单位面积的用电量,用于定性衡量单个居民用户在一定区域内的用电能力。The specific meaning of the formula is: convert the total electricity consumption of a single resident user in one day into the electricity consumption per unit population and unit area, which is used to qualitatively measure the electricity consumption capacity of a single resident user in a certain area.
步骤4:基于LSTM的用户用电量预测模型,构建居民用户纵向评分标准,实时评估每个居民用户目前用能行为是否符合其历史行为习惯,汇总根据区域内所有居民用户的纵向评分,并对结果进行排序。Step 4: Based on the LSTM user electricity consumption prediction model, construct a vertical scoring standard for residential users, evaluate in real time whether each residential user's current energy consumption behavior conforms to its historical behavior habits, summarize the longitudinal scores of all residential users in the area, and evaluate the results. The results are sorted.
如图4所示,LSTM的用户用电量预测模型为长短期记忆网络(Long Short-TermMemory)的用户用电量预测模型;包括输入层、LSTM层和输出层的长短期记忆神经网络;LSTM输入层为多特征滚动窗口形式,考虑单个用户纵向24小时以及8种数据特征:季节、星期、天气、温度、湿度、分贝、光照和用电量,滚动窗口大小为24×8的形式;其中季节、星期和天气是离散数据,使用嵌入层学习离散型数据后,生成特征向量并与连续数据进行特征联合,形成 LSTM输入向量;LSTM输出层为第25小时内的用户用电量。As shown in Figure 4, the user power consumption prediction model of LSTM is the user power consumption prediction model of Long Short-Term Memory network; the long short-term memory neural network including input layer, LSTM layer and output layer; LSTM The input layer is in the form of a multi-feature rolling window. Considering a single user’s 24-hour longitudinal and 8 data characteristics: season, week, weather, temperature, humidity, decibel, light and electricity consumption, the rolling window size is in the form of 24×8; Season, week and weather are discrete data. After using the embedding layer to learn the discrete data, the feature vector is generated and combined with the continuous data to form the LSTM input vector; the LSTM output layer is the user's electricity consumption within the 25th hour.
优选的,居民用户纵向评分标准为:Preferably, the longitudinal scoring criteria for resident users are:
其中,S2j为第j个用户的纵向评分;为第j个用户在第i个时段内预测的用电量;为第j个用户在第i个时段内的实际用电量;Among them,S2j is the longitudinal score of the jth user; is the predicted electricity consumption of the jth user in the ith period; is the actual electricity consumption of the jth user in the ith period;
公式具体含义为:将基于单个用户的用电行为习惯预测的用电量与该时段内实际用电量对比,若则用户用能比预测用电量少,此时S2j>0;若则用户用能符合习惯,此时S2j=0;若则用户用能存在过多的现象,此时S2j<0;其中,因S2j存在负数的情况,故对纵向评分S2j进行数值归一化处理。将S2j转换为百分制,便于用户直观了解其自身用能行为。The specific meaning of the formula is: compare the electricity consumption predicted based on the electricity consumption habits of a single user with the actual electricity consumption during the period, if Then the user's energy consumption is less than the predicted electricity consumption, at this time S2j >0; if Then the user can use energy according to the habit, at this time S2j =0; if Then there is excessive user energy consumption, and at this time S2j <0; among them, since S2j has a negative number, the longitudinal score S2j is numerically normalized. Converting S2j into a percentage system is convenient for users to understand their own energy consumption behavior intuitively.
步骤5:将横向评分和纵向评分结果分别进行排序,分别并给定用户其用能所属区域范围内的所属百分段;Step 5: Sort the horizontal score and vertical score results respectively, and give the user's percentile within the area to which the user's energy consumption belongs;
根据单个居民用户的横向、纵向用能情况,建立综合评分:According to the horizontal and vertical energy consumption of a single resident user, a comprehensive score is established:
其中,Sj为第j个用户的综合评分;a、b为修正系数,通过具体与结果计算,用于核定纵向评分与横向评分的权重,并且将Sj控制在0~100内,再结合区域范围内的实际情况,选取横向和纵向比重大小;Among them, Sj is the comprehensive score of the jth user; a and b are correction coefficients. and The result calculation is used to check the weight of the vertical score and the horizontal score, and control Sj within 0-100, and then select the horizontal and vertical proportions according to the actual situation in the region;
根据综合评分结果进行排序,给定用户其用能情况所属区域范围内的百分段。Sort according to the comprehensive score results, and give the percentile segment within the region to which the user's energy consumption belongs.
步骤6:将评分结果可视化反馈于双向互动智能可视化电量显示屏,从而可视化反馈给居民用户。Step 6: Visually feedback the scoring results to the two-way interactive intelligent visualization power display, so as to provide visual feedback to the resident users.
上述仅为本发明的优选实施例而已,并不对本发明起到任何限制作用。任何所属技术领域的技术人员,在不脱离本发明的技术方案的范围内,对本发明揭露的技术方案和技术内容做任何形式的等同替换或修改等变动,均属未脱离本发明的技术方案的内容,仍属于本发明的保护范围之内。The above are only preferred embodiments of the present invention, and do not have any limiting effect on the present invention. Any person skilled in the art, within the scope of not departing from the technical solution of the present invention, makes any form of equivalent replacement or modification to the technical solution and technical content disclosed in the present invention, all belong to the technical solution of the present invention. content still falls within the protection scope of the present invention.
| Application Number | Priority Date | Filing Date | Title |
|---|---|---|---|
| CN201911362794.5ACN111626536A (en) | 2019-12-26 | 2019-12-26 | Residential electricity consumption energy efficiency evaluation method based on data driving |
| Application Number | Priority Date | Filing Date | Title |
|---|---|---|---|
| CN201911362794.5ACN111626536A (en) | 2019-12-26 | 2019-12-26 | Residential electricity consumption energy efficiency evaluation method based on data driving |
| Publication Number | Publication Date |
|---|---|
| CN111626536Atrue CN111626536A (en) | 2020-09-04 |
| Application Number | Title | Priority Date | Filing Date |
|---|---|---|---|
| CN201911362794.5APendingCN111626536A (en) | 2019-12-26 | 2019-12-26 | Residential electricity consumption energy efficiency evaluation method based on data driving |
| Country | Link |
|---|---|
| CN (1) | CN111626536A (en) |
| Publication number | Priority date | Publication date | Assignee | Title |
|---|---|---|---|---|
| CN113298355A (en)* | 2021-04-28 | 2021-08-24 | 国网山东省电力公司菏泽供电公司 | Data-driven electricity consumption abnormal behavior identification method |
| CN114239743A (en)* | 2021-12-22 | 2022-03-25 | 电子科技大学 | Event occurrence time prediction method based on sparse time sequence data |
| US11620717B2 (en) | 2016-02-12 | 2023-04-04 | State Farm Mutual Automobile Insurance Company | Systems and methods for enhanced personal property replacement |
| US11635080B1 (en) | 2021-02-12 | 2023-04-25 | State Farm Mutual Automobile Insurance Company | Determining and utilizing a desired frequency for a mechanical shaker for a sump pump system |
| US11651441B2 (en) | 2014-04-25 | 2023-05-16 | State Farm Mutual Automobile Insurance Company | Systems and methods for homeowner-directed risk of property damage mitigation |
| US11663550B1 (en) | 2020-04-27 | 2023-05-30 | State Farm Mutual Automobile Insurance Company | Systems and methods for commercial inventory mapping including determining if goods are still available |
| US11682202B2 (en) | 2019-01-10 | 2023-06-20 | State Farm Mutual Automobile Insurance Company | Catastrophe analysis via realtime windspeed and exposure visualization |
| US11687318B1 (en) | 2019-10-11 | 2023-06-27 | State Farm Mutual Automobile Insurance Company | Using voice input to control a user interface within an application |
| US11734767B1 (en) | 2020-02-28 | 2023-08-22 | State Farm Mutual Automobile Insurance Company | Systems and methods for light detection and ranging (lidar) based generation of a homeowners insurance quote |
| US11862326B1 (en) | 2017-12-11 | 2024-01-02 | State Farm Mutual Automobile Insurance Company | Biometric characteristic application using audio/video analysis |
| US11861137B2 (en) | 2020-09-09 | 2024-01-02 | State Farm Mutual Automobile Insurance Company | Vehicular incident reenactment using three-dimensional (3D) representations |
| US11887461B2 (en) | 2018-04-09 | 2024-01-30 | State Farm Mutual Automobile Insurance Company | Sensing peripheral heuristic evidence, reinforcement, and engagement system |
| US11963259B2 (en) | 2018-08-07 | 2024-04-16 | State Farm Mutual Automobile Insurance Company | System and method for generating mobility profile |
| US12002107B2 (en) | 2022-04-20 | 2024-06-04 | State Farm Mutual Automobile Insurance Company | Systems and methods for generating a home score and modifications for a user |
| US12002108B2 (en) | 2022-04-20 | 2024-06-04 | State Farm Mutual Automobile Insurance Company | Systems and methods for generating a home score and modifications for a user |
| US12007240B1 (en) | 2022-03-03 | 2024-06-11 | State Farm Mutual Automobile Insurance Company | Blockchain rideshare data aggregator solution |
| US12142039B1 (en) | 2020-06-02 | 2024-11-12 | State Farm Mutual Automobile Insurance Company | Interactive insurance inventory and claim generation |
| US12182873B2 (en) | 2021-06-24 | 2024-12-31 | State Farm Mutual Automobile Insurance Company | Systems and methods for automating property assessment using probable roof loss confidence scores |
| US12190728B2 (en) | 2022-07-01 | 2025-01-07 | State Farm Mutual Automobile Insurance Company | Generating virtual reality (VR) alerts for challenging streets |
| US12277616B2 (en) | 2022-04-20 | 2025-04-15 | State Farm Mutual Automobile Insurance Company | Systems and methods for generating a home score for a user |
| US12315024B2 (en) | 2022-04-20 | 2025-05-27 | State Farm Mutual Automobile Insurance Company | Systems and methods for generating a home score for a user |
| US12321142B2 (en) | 2014-10-07 | 2025-06-03 | State Farm Mutual Automobile Insurance Company | Systems and methods for improved assisted or independent living environments |
| US12423755B2 (en) | 2023-04-10 | 2025-09-23 | State Farm Mutual Automobile Insurance Company | Augmented reality system to provide recommendation to repair or replace an existing device to improve home score |
| US12423972B2 (en) | 2020-06-02 | 2025-09-23 | State Farm Mutual Automobile Insurance Company | Insurance inventory and claim generation |
| US12437865B2 (en) | 2020-07-09 | 2025-10-07 | State Farm Mutual Automobile Insurance Company | Systems and methods for home health evaluation and remediation |
| US12444499B2 (en) | 2024-07-03 | 2025-10-14 | State Farm Mutual Automobile Insurance Company | Systems and methods for home health evaluation and remediation |
| Publication number | Priority date | Publication date | Assignee | Title |
|---|---|---|---|---|
| CN101174364A (en)* | 2007-08-30 | 2008-05-07 | 北京诚信能环科技有限公司 | Energy-saving monitoring system |
| CN103077439A (en)* | 2012-12-31 | 2013-05-01 | 常州大学 | Detection system and detection method for electrical energy waste |
| CN103971297A (en)* | 2014-05-16 | 2014-08-06 | 苏州鸣伦电子科技有限公司 | Dynamic defining method for consumption state grade on power demand side |
| CN106157122A (en)* | 2016-07-24 | 2016-11-23 | 国家电网公司 | Power consumer credit assessment method under a kind of internet environment |
| CN109614997A (en)* | 2018-11-29 | 2019-04-12 | 武汉大学 | A method and device for predicting electricity stealing risk based on deep learning |
| CN109685290A (en)* | 2019-02-11 | 2019-04-26 | 南方电网科学研究院有限责任公司 | Deep learning-based power consumption prediction method, device and equipment |
| Publication number | Priority date | Publication date | Assignee | Title |
|---|---|---|---|---|
| CN101174364A (en)* | 2007-08-30 | 2008-05-07 | 北京诚信能环科技有限公司 | Energy-saving monitoring system |
| CN103077439A (en)* | 2012-12-31 | 2013-05-01 | 常州大学 | Detection system and detection method for electrical energy waste |
| CN103971297A (en)* | 2014-05-16 | 2014-08-06 | 苏州鸣伦电子科技有限公司 | Dynamic defining method for consumption state grade on power demand side |
| CN106157122A (en)* | 2016-07-24 | 2016-11-23 | 国家电网公司 | Power consumer credit assessment method under a kind of internet environment |
| CN109614997A (en)* | 2018-11-29 | 2019-04-12 | 武汉大学 | A method and device for predicting electricity stealing risk based on deep learning |
| CN109685290A (en)* | 2019-02-11 | 2019-04-26 | 南方电网科学研究院有限责任公司 | Deep learning-based power consumption prediction method, device and equipment |
| Publication number | Priority date | Publication date | Assignee | Title |
|---|---|---|---|---|
| US12282966B2 (en) | 2014-04-25 | 2025-04-22 | State Farm Mutual Automobile Insurance Company | Systems and methods for predictively generating an insurance claim |
| US11756134B2 (en) | 2014-04-25 | 2023-09-12 | State Farm Mutual Automobile Insurance Company | Systems and methods for homeowner-directed risk of property damage mitigation |
| US12190392B2 (en) | 2014-04-25 | 2025-01-07 | State Farm Mutual Automobile Insurance Company | Systems and methods for assigning damage caused by an insurance-related event |
| US12423760B2 (en) | 2014-04-25 | 2025-09-23 | State Farm Mutual Automobile Insurance Company | Systems and methods for automatically mitigating risk of water damage |
| US12315015B2 (en) | 2014-04-25 | 2025-05-27 | State Farm Mutual Automobile Insurance Company | Systems and methods for managing insurance associated with devices populated within a property |
| US11651441B2 (en) | 2014-04-25 | 2023-05-16 | State Farm Mutual Automobile Insurance Company | Systems and methods for homeowner-directed risk of property damage mitigation |
| US11966982B2 (en) | 2014-04-25 | 2024-04-23 | State Farm Mutual Automobile Insurance Company | Systems and methods for automatically mitigating risk of property damage |
| US12354170B2 (en) | 2014-04-25 | 2025-07-08 | State Farm Mutual Automobile Insurance Company | Systems and methods for automatically mitigating risk of property damage |
| US11823281B2 (en) | 2014-04-25 | 2023-11-21 | State Farm Mutual Automobile Insurance Company | Systems and methods for assigning damage caused by an insurance-related event |
| US12321142B2 (en) | 2014-10-07 | 2025-06-03 | State Farm Mutual Automobile Insurance Company | Systems and methods for improved assisted or independent living environments |
| US11620717B2 (en) | 2016-02-12 | 2023-04-04 | State Farm Mutual Automobile Insurance Company | Systems and methods for enhanced personal property replacement |
| US11636552B2 (en) | 2016-02-12 | 2023-04-25 | State Farm Mutual Automobile Insurance Company | Systems and methods for enhanced personal property replacement |
| US11978126B2 (en) | 2016-02-12 | 2024-05-07 | State Farm Mutual Automobile Insurance Company | Systems and methods for enhanced personal property replacement |
| US11915322B2 (en) | 2016-02-12 | 2024-02-27 | State Farm Mutual Automobile Insurance Company | Systems and methods for enhanced personal property replacement |
| US11862326B1 (en) | 2017-12-11 | 2024-01-02 | State Farm Mutual Automobile Insurance Company | Biometric characteristic application using audio/video analysis |
| US12390109B2 (en) | 2017-12-11 | 2025-08-19 | State Farm Mutual Automobile Insurance Company | Biometric characteristic application using audio/video analysis |
| US12205450B2 (en) | 2018-04-09 | 2025-01-21 | State Farm Mutual Automobile Insurance Company | Sensing peripheral heuristic evidence, reinforcement, and engagement system |
| US11887461B2 (en) | 2018-04-09 | 2024-01-30 | State Farm Mutual Automobile Insurance Company | Sensing peripheral heuristic evidence, reinforcement, and engagement system |
| US11963259B2 (en) | 2018-08-07 | 2024-04-16 | State Farm Mutual Automobile Insurance Company | System and method for generating mobility profile |
| US11682202B2 (en) | 2019-01-10 | 2023-06-20 | State Farm Mutual Automobile Insurance Company | Catastrophe analysis via realtime windspeed and exposure visualization |
| US11922686B2 (en) | 2019-01-10 | 2024-03-05 | State Farm Mutual Automobile Insurance Company | Catastrophe analysis via realtime windspeed and exposure visualization |
| US12406494B2 (en) | 2019-01-10 | 2025-09-02 | State Farm Mutual Automobile Insurance Company | Catastrophe analysis via realtime windspeed and exposure visualization |
| US12230027B2 (en) | 2019-01-10 | 2025-02-18 | State Farm Mutual Automobile Insurance Company | Catastrophe analysis via realtime windspeed and exposure visualization |
| US11972608B2 (en) | 2019-01-10 | 2024-04-30 | State Farm Mutual Automobile Insurance Company | Catastrophe analysis via realtime windspeed and exposure visualization |
| US12045543B2 (en) | 2019-10-11 | 2024-07-23 | State Farm Mutual Automobile Insurance Company | Using voice input to control a user interface within an application |
| US11687318B1 (en) | 2019-10-11 | 2023-06-27 | State Farm Mutual Automobile Insurance Company | Using voice input to control a user interface within an application |
| US11734767B1 (en) | 2020-02-28 | 2023-08-22 | State Farm Mutual Automobile Insurance Company | Systems and methods for light detection and ranging (lidar) based generation of a homeowners insurance quote |
| US11756129B1 (en) | 2020-02-28 | 2023-09-12 | State Farm Mutual Automobile Insurance Company | Systems and methods for light detection and ranging (LIDAR) based generation of an inventory list of personal belongings |
| US11989788B2 (en) | 2020-02-28 | 2024-05-21 | State Farm Mutual Automobile Insurance Company | Systems and methods for light detection and ranging (LIDAR) based generation of a homeowners insurance quote |
| US12361376B2 (en) | 2020-04-27 | 2025-07-15 | State Farm Mutual Automobile Insurance Company | Systems and methods for commercial inventory mapping including determining if goods are still available |
| US12248907B1 (en) | 2020-04-27 | 2025-03-11 | State Farm Mutual Automobile Insurance Company | Systems and methods for commercial inventory mapping |
| US11830150B1 (en) | 2020-04-27 | 2023-11-28 | State Farm Mutual Automobile Insurance Company | Systems and methods for visualization of utility lines |
| US11900535B1 (en) | 2020-04-27 | 2024-02-13 | State Farm Mutual Automobile Insurance Company | Systems and methods for a 3D model for visualization of landscape design |
| US12198428B2 (en) | 2020-04-27 | 2025-01-14 | State Farm Mutual Automobile Insurance Company | Systems and methods for a 3D home model for representation of property |
| US12282893B2 (en) | 2020-04-27 | 2025-04-22 | State Farm Mutual Automobile Insurance Company | Systems and methods for a 3D model for visualization of landscape design |
| US11676343B1 (en) | 2020-04-27 | 2023-06-13 | State Farm Mutual Automobile Insurance Company | Systems and methods for a 3D home model for representation of property |
| US11663550B1 (en) | 2020-04-27 | 2023-05-30 | State Farm Mutual Automobile Insurance Company | Systems and methods for commercial inventory mapping including determining if goods are still available |
| US12086861B1 (en) | 2020-04-27 | 2024-09-10 | State Farm Mutual Automobile Insurance Company | Systems and methods for commercial inventory mapping including a lidar-based virtual map |
| US12148209B2 (en) | 2020-04-27 | 2024-11-19 | State Farm Mutual Automobile Insurance Company | Systems and methods for a 3D home model for visualizing proposed changes to home |
| US12142039B1 (en) | 2020-06-02 | 2024-11-12 | State Farm Mutual Automobile Insurance Company | Interactive insurance inventory and claim generation |
| US12423972B2 (en) | 2020-06-02 | 2025-09-23 | State Farm Mutual Automobile Insurance Company | Insurance inventory and claim generation |
| US12437865B2 (en) | 2020-07-09 | 2025-10-07 | State Farm Mutual Automobile Insurance Company | Systems and methods for home health evaluation and remediation |
| US11861137B2 (en) | 2020-09-09 | 2024-01-02 | State Farm Mutual Automobile Insurance Company | Vehicular incident reenactment using three-dimensional (3D) representations |
| US12229383B2 (en) | 2020-09-09 | 2025-02-18 | State Farm Mutual Automobile Insurance Company | Vehicular incident reenactment using three-dimensional (3D) representations |
| US12241471B2 (en) | 2021-02-12 | 2025-03-04 | State Farm Mutual Automobile Insurance Company | Detecting and utilizing a rise rate for sump pump system control |
| US11788535B1 (en) | 2021-02-12 | 2023-10-17 | State Farm Mutual Automobile Insurance Company | Systems and methods for manipulating control of sump pumps to extend lifespans of sump pumps |
| US11635080B1 (en) | 2021-02-12 | 2023-04-25 | State Farm Mutual Automobile Insurance Company | Determining and utilizing a desired frequency for a mechanical shaker for a sump pump system |
| US11761447B1 (en) | 2021-02-12 | 2023-09-19 | State Farm Mutual Automobile Insurance Company | Adaptive learning system for improving sump pump control |
| US12234827B2 (en) | 2021-02-12 | 2025-02-25 | State Farm Mutual Automobile Insurance Company | Detecting and utilizing water vibrations in sump pump system control |
| US12234826B2 (en) | 2021-02-12 | 2025-02-25 | State Farm Mutual Automobile Insurance Company | Systems and methods for manipulating control of sump pumps to extend lifespans of sump pumps |
| US11773856B1 (en) | 2021-02-12 | 2023-10-03 | State Farm Mutual Automobile Insurance Company | Detecting and utilizing a rise rate for sump pump system control |
| US12055146B2 (en) | 2021-02-12 | 2024-08-06 | State Farm Mutual Automobile Insurance Company | Adaptive learning system for improving sump pump control |
| US12264680B2 (en) | 2021-02-12 | 2025-04-01 | State Farm Mutual Automobile Insurance Company | Determining and utilizing a desired frequency for a mechanical shaker for a sump pump system |
| US12196211B1 (en) | 2021-02-12 | 2025-01-14 | State Farm Mutual Automobile Insurance Company | Sump pump smart home integration |
| US12359669B2 (en) | 2021-02-12 | 2025-07-15 | State Farm Mutual Automobile Insurance Company | Adaptive learning system for improving sump pump control |
| US11859620B1 (en) | 2021-02-12 | 2024-01-02 | State Farm Mutual Automobile Insurance Company | Detecting and utilizing water vibrations in sump pump system control |
| US11988214B2 (en) | 2021-02-12 | 2024-05-21 | State Farm Mutual Automobile Insurance Company | Determining and utilizing a desired frequency for a mechanical shaker for a sump pump system |
| CN113298355A (en)* | 2021-04-28 | 2021-08-24 | 国网山东省电力公司菏泽供电公司 | Data-driven electricity consumption abnormal behavior identification method |
| US12182873B2 (en) | 2021-06-24 | 2024-12-31 | State Farm Mutual Automobile Insurance Company | Systems and methods for automating property assessment using probable roof loss confidence scores |
| CN114239743B (en)* | 2021-12-22 | 2023-12-15 | 电子科技大学 | Weather event occurrence time prediction method based on sparse time sequence data |
| CN114239743A (en)* | 2021-12-22 | 2022-03-25 | 电子科技大学 | Event occurrence time prediction method based on sparse time sequence data |
| US12007240B1 (en) | 2022-03-03 | 2024-06-11 | State Farm Mutual Automobile Insurance Company | Blockchain rideshare data aggregator solution |
| US12359926B2 (en) | 2022-03-03 | 2025-07-15 | State Farm Mutual Automobile Insurance Company | Blockchain rideshare data aggregator solution |
| US12002107B2 (en) | 2022-04-20 | 2024-06-04 | State Farm Mutual Automobile Insurance Company | Systems and methods for generating a home score and modifications for a user |
| US12277616B2 (en) | 2022-04-20 | 2025-04-15 | State Farm Mutual Automobile Insurance Company | Systems and methods for generating a home score for a user |
| US12002108B2 (en) | 2022-04-20 | 2024-06-04 | State Farm Mutual Automobile Insurance Company | Systems and methods for generating a home score and modifications for a user |
| US12315024B2 (en) | 2022-04-20 | 2025-05-27 | State Farm Mutual Automobile Insurance Company | Systems and methods for generating a home score for a user |
| US12190728B2 (en) | 2022-07-01 | 2025-01-07 | State Farm Mutual Automobile Insurance Company | Generating virtual reality (VR) alerts for challenging streets |
| US12423755B2 (en) | 2023-04-10 | 2025-09-23 | State Farm Mutual Automobile Insurance Company | Augmented reality system to provide recommendation to repair or replace an existing device to improve home score |
| US12444499B2 (en) | 2024-07-03 | 2025-10-14 | State Farm Mutual Automobile Insurance Company | Systems and methods for home health evaluation and remediation |
| Publication | Publication Date | Title |
|---|---|---|
| CN111626536A (en) | Residential electricity consumption energy efficiency evaluation method based on data driving | |
| CN111445060B (en) | Community carbon emission monitoring and predicting system and method | |
| CN105678404B (en) | Based on online shopping electricity and dynamically associate the micro-grid load forecasting system and method for the factor | |
| CN106410781B (en) | A kind of power consumer demand response Potential Determining Method | |
| CN111260136A (en) | Building short-term load prediction method based on ARIMA-LSTM combined model | |
| CN109828539B (en) | Big data heat supply energy management and control platform system based on PDCA system | |
| CN102982387A (en) | Method for predicting short-term power load | |
| CN110276393A (en) | A composite prediction method of green building energy consumption | |
| CN108304978A (en) | A kind of mid-term Electric Power Load Forecast method based on data clusters theory | |
| CN106845669A (en) | Method based on exponential smoothing prediction power network year continuous loading | |
| CN119146565A (en) | Multi-objective intelligent optimization air conditioner control method and system based on multidimensional machine learning | |
| Alanbar et al. | Energy consumption prediction using deep learning technique | |
| CN107748940A (en) | A kind of energy conservation potential Quantitative prediction methods | |
| CN114254838A (en) | A Determining Method of Influencing Factors for Short-Term Electricity Load Forecasting | |
| CN111695733A (en) | Coal-to-electricity load prediction method based on improved fuzzy clustering algorithm | |
| CN112307675B (en) | Neural network-based temperature-sensitive load separation identification method and system | |
| CN114069642B (en) | A comprehensive peak-shaving method for temperature-controlled loads considering user satisfaction | |
| CN115796915A (en) | Electricity price prediction method and system for electricity trading market | |
| CN106548199A (en) | A kind of large user's load characteristics clustering method based on demand response | |
| CN119341189A (en) | A method, system and storage medium for optimizing and controlling operation supervision of intelligent power distribution cabinet | |
| Mahdi et al. | Applying Scikit-Learn of Machine Learning To Predict Consumed Energy in Al-Khwarizmi College of Engineering, Baghdad, Iraq | |
| CN116633016B (en) | Power management system and method based on high-frequency data acquisition technology | |
| CN110322063B (en) | Power consumption simulation prediction method and storage medium | |
| CN117151406A (en) | A hierarchical control method for urban regional comprehensive energy systems | |
| CN117610720A (en) | A gas volume load forecasting system based on big data platform and neural network |
| Date | Code | Title | Description |
|---|---|---|---|
| PB01 | Publication | ||
| PB01 | Publication | ||
| SE01 | Entry into force of request for substantive examination | ||
| SE01 | Entry into force of request for substantive examination | ||
| RJ01 | Rejection of invention patent application after publication | ||
| RJ01 | Rejection of invention patent application after publication | Application publication date:20200904 |