



技术领域technical field
本发明创造属于智能交通技术领域,尤其是涉及一种高速公路入口匝道异质交通流车速引导系统及引导方法。The invention belongs to the technical field of intelligent transportation, and in particular relates to a vehicle speed guidance system and a guidance method for heterogeneous traffic flow on an expressway on-ramp.
背景技术Background technique
随着汽车保有量的激增,高速公路入口匝道处的事故和拥堵现象日益严重。同时,随着智能网联技术的发展,各种不同智能网联程度的车辆将陆续出现在道路交通中,未来将长期存在异质交通流在道路上混行的现象。Accidents and congestion at highway on-ramps are increasing as car ownership surges. At the same time, with the development of intelligent network connection technology, vehicles with different degrees of intelligent network connection will appear in road traffic one after another, and there will be a long-term mixed phenomenon of heterogeneous traffic flow on the road.
智能网联技术的发展可以实现个体车辆的精准控制,从而为速度引导治理交通拥堵提供了契机。速度引导具有兼顾效率和安全、治理效果明显等优点,美国交通部在智能交通发展战略五年规划中,明确提出将动态速度协同作为道路网络交通流优化的重要手段之一。因此,在异质交通流中实施车速引导成为解决高速公路入口匝道处交通问题的重要手段。The development of intelligent network technology can realize the precise control of individual vehicles, thus providing an opportunity for speed guidance to control traffic congestion. Speed guidance has the advantages of taking into account efficiency, safety, and obvious governance effects. In the five-year plan for the development strategy of intelligent transportation, the US Department of Transportation clearly proposed that dynamic speed coordination should be used as one of the important means of optimizing road network traffic flow. Therefore, the implementation of vehicle speed guidance in heterogeneous traffic flow has become an important means to solve the traffic problem at the on-ramp of the expressway.
与此同时,高铁中的闭塞区间控制理论在实时获取列车运行状态的基础上,可以保证列车整体运行的安全性和机动性,对异质交通流的速度引导具有借鉴意义。智能网联技术可实现个体车辆的微观控制,为闭塞区间理论在入口匝道处速度引导提供了技术基础,因此将闭塞区间理论应用到入口匝道处速度引导成为了一条可行途径。At the same time, the blockage control theory in high-speed rail can ensure the safety and mobility of the overall operation of the train based on the real-time acquisition of the train running state, which has reference significance for the speed guidance of heterogeneous traffic flow. The intelligent network technology can realize the micro-control of individual vehicles, which provides a technical basis for the speed guidance of the occlusion interval theory at the on-ramp. Therefore, it becomes a feasible way to apply the occlusion interval theory to the speed guidance of the on-ramp.
目前入口匝道的速度引导系统和方法大多集中在智能化程度相同的同质交通流,没有考虑到未来长期会存在智能车、网联车和普通车等异质交通流混行的情况;另一方面,在闭塞理论道路应用方面,目前方法仍停留在单一方法的应用,存在效率较低和鲁棒性较差的缺点,在将固定闭塞和移动闭塞等方法组合进行速度引导方面仍有所欠缺。At present, most speed guidance systems and methods for on-ramps focus on homogeneous traffic flows with the same degree of intelligence, and do not take into account that there will be a mixture of heterogeneous traffic flows such as smart cars, connected cars and ordinary cars in the future; another In terms of road application of occlusion theory, the current method is still in the application of a single method, which has the shortcomings of low efficiency and poor robustness. .
发明内容SUMMARY OF THE INVENTION
有鉴于此,本发明创造旨在提出一种高速公路入口匝道异质交通流车速引导系统及引导方法,以解决目前入口匝道的速度引导系统和方法大多集中在智能化程度相同的同质交通流,没有考虑到未来长期会存在智能车、网联车和普通车等异质交通流混行的问题。In view of this, the present invention aims to propose a vehicle speed guidance system and guidance method for heterogeneous traffic flow on an expressway on-ramp, so as to solve the problem that most of the current on-ramp speed guidance systems and methods focus on homogeneous traffic flow with the same degree of intelligence. , without considering that there will be a long-term problem of mixed traffic flow of heterogeneous traffic such as smart cars, connected cars and ordinary cars.
为达到上述目的,本发明创造的技术方案是这样实现的:In order to achieve the above object, the technical scheme created by the present invention is realized like this:
一种高速公路入口匝道异质交通流车速引导系统,包括:A vehicle speed guidance system for heterogeneous traffic flow on an expressway on-ramp, comprising:
用于获取智能车车辆信息的智能车车载子系统,所述智能车车载子系统安装在智能车上;用于获取网联车车辆信息的网联车车载子系统,所述网联车车载子系统安装在网联车上;用于获取普通车车辆信息的普通车信息采集子系统,所述普通车信息采集子系统安装在路侧;An on-board subsystem of a smart car used to obtain vehicle information of a smart car, the on-board subsystem of a smart car is installed on the smart car; an on-board subsystem of a connected car used to obtain information of a connected car The system is installed on the networked vehicle; the ordinary vehicle information acquisition subsystem used to obtain the vehicle information of the ordinary vehicle, the ordinary vehicle information acquisition subsystem is installed on the roadside;
所述智能车车载子系统、网联车车载子系统、普通车信息采集子系统都无线连接路侧速度决策子系统,所述路侧速度决策子系统依据先后顺序引导车辆,所述路侧决策子系统还连接路侧显示屏显示子系统。The intelligent vehicle on-board subsystem, the network-connected vehicle on-board subsystem, and the common vehicle information collection subsystem are all wirelessly connected to the roadside speed decision-making subsystem. The subsystem is also connected to the roadside display subsystem.
进一步的,所述智能车车载子系统包括车载存储及无线通信模块,以及与所述车载存储及无线通信模块连接的车速采集模块、GPS定位模块、语音播报模块、车速信息显示模块、刹车及油门控制模块、转向控制模块、车辆基本信息储存模块;Further, the on-board subsystem of the smart car includes an on-board storage and wireless communication module, and a vehicle speed acquisition module, a GPS positioning module, a voice broadcast module, a vehicle speed information display module, a brake and an accelerator connected to the on-board storage and wireless communication module. Control module, steering control module, vehicle basic information storage module;
所述智能车车载子系统通过车载存储及无线通信模块无线连接路侧速度决策子系统。The on-board subsystem of the intelligent vehicle is wirelessly connected to the roadside speed decision-making subsystem through the on-board storage and wireless communication module.
进一步的,所述网联车车载子系统包括车载存储及无线通信模块,以及与所述车载存储及无线通信模块连接的车速采集模块、GPS定位模块、车载无线通信模块、车辆基本信息储存模块、车速显示模块和语音播报模块;Further, the on-board subsystem of the connected car includes on-board storage and wireless communication modules, and a vehicle speed acquisition module, a GPS positioning module, a on-board wireless communication module, a vehicle basic information storage module, and a vehicle speed acquisition module connected with the on-board storage and wireless communication modules. Vehicle speed display module and voice broadcast module;
所述智能车车载子系统通过车载存储及无线通信模块无线连接路侧速度决策子系统。The on-board subsystem of the intelligent vehicle is wirelessly connected to the roadside speed decision-making subsystem through the on-board storage and wireless communication module.
进一步的,所述普通车信息采集子系统包括存储及无线通信模块,以及存储及无线通信模块连接的车牌摄像采集模块、位置摄像采集模块、车速摄像采集模块;Further, the common vehicle information collection subsystem includes a storage and wireless communication module, and a license plate camera collection module, a position camera collection module, and a vehicle speed camera collection module connected to the storage and wireless communication modules;
所述普通车信息采集子系统通过存储及无线通信模块连接路侧速度决策子系统。The common vehicle information collection subsystem is connected to the roadside speed decision subsystem through a storage and wireless communication module.
进一步的,所述路侧速度决策子系统包括路侧无线通信模块、路侧无线通信模块连接的通行次序服务模块,以及通行次序服务模块连接的智能车移动闭塞速度计算模块、网联车固定闭塞速度计算模块和普通车固定闭塞速度计算模块。Further, the roadside speed decision-making subsystem includes a roadside wireless communication module, a traffic order service module connected to the roadside wireless communication module, and an intelligent vehicle moving block speed calculation module connected to the traffic order service module, a networked vehicle fixed block. Speed calculation module and fixed block speed calculation module for ordinary vehicles.
进一步的,所述路侧显示屏显示子系统包括通信模块以及与通信模块连接的引导信息显示模块、引导信息语音播放模块;Further, the roadside display screen display subsystem includes a communication module, a guidance information display module and a guidance information voice playback module connected with the communication module;
所述通信模块为无线或者有线通信模块。The communication module is a wireless or wired communication module.
一种高速公路入口匝道异质交通流车速引导方法,包括以下步骤:A method for guiding the speed of heterogeneous traffic flow on an expressway on-ramp, comprising the following steps:
S1、车辆到达路侧速度决策子系统通信范围时,路侧速度决策子系统获取车辆信息;S1. When the vehicle reaches the communication range of the roadside speed decision subsystem, the roadside speed decision subsystem obtains vehicle information;
S2、路侧速度决策子系统接收到发送信息,依据先到先服务的原则分配合流区冲突点的通行路权,将主路和入口匝道所有车辆的通行次序进行排列;S2. The roadside speed decision subsystem receives the sent information, allocates the right of way of the conflict point in the merging area according to the principle of first come, first served, and arranges the passing order of all vehicles on the main road and on-ramp;
S3、路侧速度决策子系统进行引导速度v的计算;S3. The roadside speed decision subsystem calculates the guiding speed v;
S4、速度计算完成后,速度引导中心将引导信息发送给通信范围内的车辆。S4. After the speed calculation is completed, the speed guidance center sends the guidance information to the vehicles within the communication range.
进一步的,所述步骤S1中,路侧速度决策子系统获取车辆信息的方法如下:Further, in the step S1, the method for obtaining vehicle information by the roadside speed decision-making subsystem is as follows:
智能车和网联车的车载子系统与路侧速度决策子系统进行信息交互,将车辆信息发送至路侧速度决策子系统,普通车的车辆信息由设置在路侧的普通车信息采集子系统获取并将车辆信息发送至路侧速度决策子系统。The on-board subsystems of smart cars and connected cars interact with the roadside speed decision-making subsystem, and send vehicle information to the roadside speed decision-making subsystem. Acquire and send vehicle information to the roadside speed decision subsystem.
进一步的,所述步骤S3中,其中针对普通车和网联车采用固定闭塞方法计算引导速度v,智能车采用移动闭塞方法进行速度计算引导速度v,具体方法如下:Further, in the step S3, the fixed blocking method is used to calculate the guide speed v for the ordinary vehicle and the connected vehicle, and the intelligent vehicle uses the moving block method to calculate the guide speed v. The specific method is as follows:
针对智能车,由于其由驾驶机器人控制,速度控制精度较高,因此采用闭塞区间理论中的移动闭塞控制方法,以通行次序中前车的通过时刻为目标点,根据本车的位置、速度计算记得本车预计通过时刻,反推得到引导速度;For the smart car, because it is controlled by a driving robot and has high speed control accuracy, the mobile blocking control method in the blocking interval theory is adopted. Remember that the vehicle is expected to pass the time, and the reverse thrust is used to obtain the guiding speed;
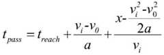
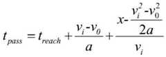
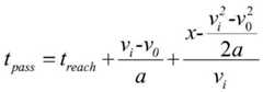
智能车的预计通过时刻tpass,计算公式如下:The estimated passing time tpass of the smart car is calculated as follows:
式中,treach为车辆到达路侧决策系统通信范围的时刻,vi为车辆的引导速度,v0为到达通信范围时的速度,a为车辆加速度,x为车辆距离合流区冲突点的距离;In the formula, treach is the time when the vehicle reaches the communication range of the roadside decision-making system,vi is the guiding speed of the vehicle, v0 is the speed when it reaches the communication range, a is the acceleration of the vehicle, and x is the distance between the vehicle and the conflict point in the merge area. ;
根据移动闭塞控制方法,以前车预计通过时刻为目标点,智能车的预计通过时刻tpass为:According to the mobile blocking control method, the estimated passing time of the preceding vehicle is the target point, and the estimated passing time tpass of the smart car is:
式中,tpass-f为次序中前车的预计通过时刻,tbrake为车辆最短刹车时间,tsafe为安全时间裕量。In the formula, tpass-f is the expected passing time of the preceding vehicle in the sequence, tbrake is the shortest braking time of the vehicle, and tsafe is the safety time margin.
两式联立,可得加速情况下车辆i的引导速度:Combining the two formulas, the guiding speed of vehicle i under acceleration can be obtained:
减速情况下车辆i的引导速度为:The guided velocity of vehicle i under deceleration is:
其中ti=tpass-f+tsafe-treachwhere ti =tpass-f +tsafe -treach
对于网联车,车辆由驾驶员进行控制,速度控制精度较低,因此采用固定闭塞控制方法,以次序中前车的通过时刻为目标点,按照固定长度计算得到本车预计通过时刻和引导速度;For the connected car, the vehicle is controlled by the driver, and the speed control accuracy is low. Therefore, the fixed block control method is adopted. Taking the passing time of the preceding vehicle in the sequence as the target point, the estimated passing time and guiding speed of the vehicle are calculated according to the fixed length. ;
网联车的预计通过时刻tpass,,计算公式如下:The estimated passing time tpass of the connected vehicle, , is calculated as follows:
式中,treaction为驾驶员对速度引导信息的反应时间;In the formula, treaction is the reaction time of the driver to the speed guidance information;
以次序中前车的预计通过时刻为区间一端的端点,以安全车头时距为固定闭塞的区间长度tf,则本车的预计通过时刻tpass为:Taking the estimated passing time of the preceding vehicle in the sequence as the end point of one end of the interval, and taking the safe headway as the fixed block length tf , the estimated passing time tpass of the vehicle is:
tpass=ti-1+tftpass =ti-1 +tf
两式联立,可得减速情况下车辆i的引导速度:Combining the two formulas, the guiding speed of vehicle i under deceleration can be obtained:
加速情况下车辆i的引导速度:Guided velocity of vehicle i under acceleration:
其中,T=tpass-f+tf-treach-treactionAmong them, T=tpass-f +tf -treach -treaction
对于普通车,车辆由驾驶员进行控制,速度控制精度较低,因此同样采用固定闭塞控制方法,并且采集和发送普通车的信息存在延迟,因此区间长度的计算方法与网联车不同;For ordinary cars, the vehicle is controlled by the driver, and the speed control accuracy is low, so the fixed block control method is also used, and there is a delay in collecting and sending the information of ordinary cars, so the calculation method of interval length is different from that of connected cars;
普通车的通过时刻计算公式为:The formula for calculating the passing time of an ordinary car is:
以次序中前车的预计通过时刻为目标点,固定闭塞的区间长度为安全车头时距和驾驶员阅读显示屏上的引导速度,则本车的预计通过时刻为:Taking the estimated passing time of the preceding vehicle in the sequence as the target point, and the length of the fixed block is the safe headway and the driver reading the guide speed on the display screen, the estimated passing time of the vehicle is:
tpass=ti-1+tf+treadtpass =ti-1 +tf +tread
两式联立,可得减速情况下车辆i的引导速度:Combining the two formulas, the guiding speed of vehicle i under deceleration can be obtained:
式中,加速情况下车辆i的引导速度:In the formula, the guiding speed of vehicle i under acceleration is:
其中,T=ti-1+tf-treach-tsafe-treaction。where T=ti-1 +tf -treach -tsafe -treaction .
进一步的,所述步骤S4中,引导车辆的方法如下:Further, in the step S4, the method for guiding the vehicle is as follows:
引导智能车进行自动驾驶并将引导信息显示给车辆使用者;网联车通过视觉和听觉将信息通知给驾驶员;同时将普通车的引导信息通过路侧显示屏进行视觉和听觉播报。Guide the smart car to drive autonomously and display the guidance information to the vehicle user; the connected car notifies the driver of the information through sight and hearing; at the same time, the guidance information of the ordinary car is broadcast visually and audibly through the roadside display screen.
相对于现有技术,本发明创造所述的高速公路入口匝道异质交通流车速引导系统及引导方法具有以下优势:Compared with the prior art, the vehicle speed guidance system and guidance method for heterogeneous traffic flow on the expressway on-ramp described in the present invention has the following advantages:
(1)本发明创造所述的高速公路入口匝道异质交通流车速引导系统提供了可以快速实现高速公路入口匝道车辆引导的引导系统,针对不同车辆利用不同的子系统,有效的解决了匝道入口处容易出现车辆阻塞的情况。(1) The vehicle speed guidance system for heterogeneous traffic flow on the expressway on-ramp described in the present invention provides a guidance system that can quickly realize the vehicle guidance on the expressway on-ramp, and uses different subsystems for different vehicles to effectively solve the problem of the on-ramp entrance. Vehicles are prone to blockages.
(2)本发明创造所述的高速公路入口匝道异质交通流车速引导方法针对不同智能网联程度的车辆采用不同的引导速度计算方法,针对智能网联程度较高的智能车采用更为高效的移动闭塞速度计算方法。针对普通车和网联车,采用固定闭塞速度计算方法。所提出的系统和方法通过针对个体车辆进行车速引导,可有效降低合流区碰撞风险和提高通行效率。同时,由于其针对异质交通流环境并采用组合闭塞区间控制方法,所以具有实用性强、适用期长和鲁棒性高的特点。(2) The vehicle speed guidance method for heterogeneous traffic flow on the expressway on-ramp created by the present invention adopts different guidance speed calculation methods for vehicles with different degrees of intelligent network connection, and adopts more efficient methods for intelligent vehicles with a higher degree of intelligent network connection. Calculation method of moving occlusion velocity. For ordinary vehicles and connected vehicles, the fixed blocking speed calculation method is adopted. The proposed system and method can effectively reduce the collision risk in the merging area and improve the traffic efficiency by conducting vehicle speed guidance for individual vehicles. At the same time, it has the characteristics of strong practicability, long application period and high robustness because it is aimed at the heterogeneous traffic flow environment and adopts the combined occlusion interval control method.
附图说明Description of drawings
构成本发明创造的一部分的附图用来提供对本发明创造的进一步理解,本发明创造的示意性实施例及其说明用于解释本发明创造,并不构成对本发明创造的不当限定。在附图中:The accompanying drawings that constitute a part of the present invention are used to provide further understanding of the present invention, and the schematic embodiments and descriptions of the present invention are used to explain the present invention and do not constitute an improper limitation of the present invention. In the attached image:
图1为闭塞区间理论的原理示意图;Figure 1 is a schematic diagram of the principle of the occlusion interval theory;
图2为本发明创造智能网联环境下高速公路入口匝道异质交通流车速引导系统的结构框图;2 is a structural block diagram of a vehicle speed guidance system for heterogeneous traffic flow on a highway on-ramp under the intelligent networked environment created by the present invention;
图3为本发明创造智能网联环境下高速公路入口匝道异质交通流车速引导系统的场景示意图;Fig. 3 is a scene schematic diagram of the present invention creating a vehicle speed guidance system for heterogeneous traffic flow on a highway on-ramp under an intelligent networked environment;
图4为本发明创造智能网联环境下高速公路入口匝道异质交通流车速引导系统的逻辑流程图。FIG. 4 is a logic flow chart of the present invention to create a vehicle speed guidance system for heterogeneous traffic flow on an expressway on-ramp under an intelligent networked environment.
具体实施方式Detailed ways
为了更清楚地说明本发明,下面结合最佳实施例和附图对本发明做进一步的说明。本领域技术人员应当理解,下面所具体描述的内容是说明性的而非限制性的,不应以此限制本发明的保护范围。In order to illustrate the present invention more clearly, the present invention will be further described below with reference to the best embodiments and accompanying drawings. Those skilled in the art should understand that the content specifically described below is illustrative rather than restrictive, and should not limit the protection scope of the present invention.
如图2所示,一种高速公路入口匝道异质交通流车速引导系统,包括:As shown in Figure 2, a speed guidance system for heterogeneous traffic flow on a highway on-ramp includes:
用于获取智能车车辆信息的智能车车载子系统,所述智能车车载子系统安装在智能车上;用于获取网联车车辆信息的网联车车载子系统,所述网联车车载子系统安装在网联车上;用于获取普通车车辆信息的普通车信息采集子系统,所述普通车信息采集子系统安装在路侧;An on-board subsystem of a smart car used to obtain vehicle information of a smart car, the on-board subsystem of a smart car is installed on the smart car; an on-board subsystem of a connected car used to obtain information of a connected car The system is installed on the networked vehicle; the ordinary vehicle information acquisition subsystem used to obtain the vehicle information of the ordinary vehicle, the ordinary vehicle information acquisition subsystem is installed on the roadside;
所述智能车车载子系统、网联车车载子系统、普通车信息采集子系统都无线连接路侧速度决策子系统,所述路侧速度决策子系统依据先后顺序引导车辆,所述路侧决策子系统还连接路侧显示屏显示子系统。The intelligent vehicle on-board subsystem, the network-connected vehicle on-board subsystem, and the common vehicle information collection subsystem are all wirelessly connected to the roadside speed decision-making subsystem. The subsystem is also connected to the roadside display subsystem.
所述智能车车载子系统包括车载存储及无线通信模块,以及与所述车载存储及无线通信模块连接的车速采集模块、GPS定位模块、语音播报模块、车速信息显示模块、刹车及油门控制模块、转向控制模块、车辆基本信息储存模块;The on-board subsystem of the intelligent vehicle includes an on-board storage and wireless communication module, and a vehicle speed acquisition module, a GPS positioning module, a voice broadcast module, a vehicle speed information display module, a brake and accelerator control module connected to the on-board storage and wireless communication module, Steering control module, vehicle basic information storage module;
所述智能车车载子系统通过车载存储及无线通信模块无线连接路侧速度决策子系统。The on-board subsystem of the intelligent vehicle is wirelessly connected to the roadside speed decision-making subsystem through the on-board storage and wireless communication module.
所述网联车车载子系统包括车载存储及无线通信模块,以及与所述车载存储及无线通信模块连接的车速采集模块、GPS定位模块、车载无线通信模块、车辆基本信息储存模块、车速显示模块和语音播报模块;The networked vehicle on-board subsystem includes on-board storage and wireless communication modules, and a vehicle speed acquisition module, GPS positioning module, on-board wireless communication module, vehicle basic information storage module, and vehicle speed display module connected to the on-board storage and wireless communication module. and voice broadcast module;
所述智能车车载子系统通过车载存储及无线通信模块无线连接路侧速度决策子系统。The on-board subsystem of the intelligent vehicle is wirelessly connected to the roadside speed decision-making subsystem through the on-board storage and wireless communication module.
所述普通车信息采集子系统包括存储及无线通信模块,以及存储及无线通信模块连接的车牌摄像采集模块、位置摄像采集模块、车速摄像采集模块;The common vehicle information collection subsystem includes a storage and wireless communication module, and a license plate camera collection module, a position camera collection module, and a vehicle speed camera collection module connected to the storage and wireless communication modules;
所述普通车信息采集子系统通过存储及无线通信模块连接路侧速度决策子系统。The common vehicle information collection subsystem is connected to the roadside speed decision subsystem through a storage and wireless communication module.
所述路侧速度决策子系统包括路侧无线通信模块、路侧无线通信模块连接的通行次序服务模块,以及通行次序服务模块连接的智能车移动闭塞速度计算模块、网联车固定闭塞速度计算模块和普通车固定闭塞速度计算模块。The roadside speed decision-making subsystem includes a roadside wireless communication module, a traffic order service module connected to the roadside wireless communication module, and an intelligent vehicle moving block speed calculation module and a network-connected vehicle fixed block speed calculation module connected to the traffic sequence service module. And the fixed block speed calculation module for ordinary cars.
所述路侧显示屏显示子系统包括通信模块以及与通信模块连接的引导信息显示模块、引导信息语音播放模块;The roadside display screen display subsystem includes a communication module, a guidance information display module and a guidance information voice playback module connected with the communication module;
所述通信模块为无线或者有线通信模块。The communication module is a wireless or wired communication module.
需要说明的是,智能车车载子系统、网联车车载子系统、普通车信息采集子系统、路侧速度决策子系统、路侧显示屏显示子系统中的单个子系统都可以采用现有技术来实现,例如智能车车载子系统的车速采集模块、GPS定位模块、车速信息显示模块、语音播放模块、油门及刹车控制模块、转向控制模块,与凯迪拉克super cruise系统功能类似。It should be noted that a single subsystem in the on-board subsystem of the smart car, the on-board subsystem of the connected car, the information collection subsystem of the ordinary car, the roadside speed decision subsystem, and the roadside display subsystem can all adopt the existing technology. For example, the vehicle speed acquisition module, GPS positioning module, vehicle speed information display module, voice playback module, accelerator and brake control module, and steering control module of the in-vehicle subsystem of the smart car are similar in function to the Cadillac super cruise system.
智能车车载子系统的车辆基本信息存储模块与硬盘功能类似,该硬盘集成在车辆上,由车辆ECU读取内部数据;The vehicle basic information storage module of the on-board subsystem of the smart car is similar in function to the hard disk. The hard disk is integrated on the vehicle, and the internal data is read by the vehicle ECU;
智能车车载子系统的车载无线通信模块与大唐移动通信设备有限公司的LTE-V车车和车路通信方案通信单元的功能类似。The on-board wireless communication module of the on-board subsystem of the smart car is similar in function to the communication unit of the LTE-V car-to-vehicle communication solution of Datang Mobile Communication Equipment Co., Ltd.
网联车车载子系统的车速采集模块、GPS定位模块、车速显示模块和语音播报模块,与凯迪拉克super cruise系统的功能类似。The vehicle speed acquisition module, GPS positioning module, vehicle speed display module and voice broadcast module of the on-board subsystem of the connected car are similar to the functions of the Cadillac super cruise system.
网联车车载子系统的车辆基本信息存储模块与硬盘功能类似,该硬盘集成在车辆上,由车辆ECU读取内部数据;The vehicle basic information storage module of the on-board subsystem of the connected car is similar in function to the hard disk. The hard disk is integrated on the vehicle, and the internal data is read by the vehicle ECU;
网联车车载子系统的车载无线通信模块与大唐移动通信设备有限公司的LTE-V车载通信方案通信单元功能类似。The in-vehicle wireless communication module of the on-board subsystem of the connected car is similar in function to the communication unit of the LTE-V in-vehicle communication solution of Datang Mobile Communication Equipment Co., Ltd.
普通车车载子系统的普通车车速摄像采集模块与海康威视测速摄像机功能类似;The ordinary vehicle speed camera acquisition module of the ordinary vehicle on-board subsystem is similar to the Hikvision speed camera;
普通车车载子系统的位置摄像采集模块与拓宝科技的车速反馈仪雷达TBR-510功能类似,测得车辆位置及车速信息;The position camera acquisition module of the on-board subsystem of ordinary cars is similar to the speed feedback radar TBR-510 of Tuobao Technology, which measures the vehicle position and speed information;
普通车车载子系统的车牌摄像采集模块与海康威视的高速公路侧速摄像头功能类似;The license plate camera acquisition module of the on-board subsystem of ordinary cars is similar to Hikvision's highway side speed camera;
普通车车载子系统的车载无线通信模块与大唐移动通信设备有限公司的LTE-V车车和车路通信方案功能类似。The in-vehicle wireless communication module of the in-vehicle subsystem of an ordinary vehicle is similar in function to the LTE-V vehicle-to-vehicle and vehicle-to-road communication solution of Datang Mobile Communication Equipment Co., Ltd.
路侧速度决策子系统与大唐移动通信设备有限公司的LTE-V车车和车路通信方案功能类似。The roadside speed decision subsystem has similar functions to the LTE-V vehicle-to-vehicle and vehicle-to-road communication solution of Datang Mobile Communication Equipment Co., Ltd.
路侧显示信息子系统的显示屏有线/无线通信模块与大唐移动通信设备有限公司的LTE-V车车和车路通信方案通信单元功能类似。The display wired/wireless communication module of the roadside display information subsystem is similar in function to the communication unit of the LTE-V vehicle-to-vehicle communication solution of Datang Mobile Communication Equipment Co., Ltd.
路侧显示信息子系统的引导信息显示模块与汉威光电的门架式可变情报板功能类似;The guidance information display module of the roadside display information subsystem is similar to the gantry type variable information board of Hanwei Optoelectronics;
路侧显示信息子系统的语音播报模块与浙江润鑫智能交通设备有限公司的语音播报器功能类似。The voice broadcast module of the roadside display information subsystem is similar to the voice broadcaster of Zhejiang Runxin Intelligent Transportation Equipment Co., Ltd.
本专利申请的其中一个创新点提供了一种高速公路入口匝道异质交通流车速引导系统通过将上述几个子系统的组合实现高速公路入口匝道车辆的引导,达到快速通行的目的(可以不依赖引导方法也能实现加快匝道车辆快速疏通的目的);另一个创新点是在该系统的基础上引入了引导方法,实现高精度引导,有效的提高通行效率。One of the innovative points of this patent application provides a vehicle speed guidance system for heterogeneous traffic flow on a highway on-ramp. By combining the above-mentioned several subsystems, the vehicle on the highway on-ramp can be guided, so as to achieve the purpose of fast passage (which can be independent of the guidance). The method can also achieve the purpose of speeding up the rapid dredging of vehicles on the ramp); another innovation point is that a guidance method is introduced on the basis of the system to achieve high-precision guidance and effectively improve the traffic efficiency.
图1示出闭塞区间理论的原理示意图,对于固定闭塞方法而言,两辆车通过合流区冲突点的时间间隔为固定时长,长度为安全车头时距,其通过间隔与两车的实时速度和位置无关。对于移动闭塞方法而言,两辆车通过冲突点的时间间隔为可变的,其长度受两车之间相对速度和相对距离有关,长度由刹车时间和安全裕量组成,从而可以进一步提高通行时间的利用效率,但是该方法对每辆车的引导速度精度要求较高,适用于智能网联程度较高的车辆。图3为本发明智能网联环境下高速公路入口匝道异质交通流车速引导系统的场景示意图。该场景包括智能车、网联车和普通车三种车辆构成的异质交通流。还包括普通车信息采集子系统,用于普通车速度引导信息的采集。路侧显示屏信息显示子系统。用于普通车速度引导信息发布。路侧速度决策子系统,用于所有车辆速度引导信息的接收、通行次序的排列、速度引导信息计算和速度引导信息发送。图3为高速公路入口匝道异质交通流车速引导系统的结构框图;系统共分为智能车车载子系统、网联车车载子系统、普通车信息采集子系统、路侧速度决策子系统和路侧显示屏信息显示子系统等五个子系统。智能车车载子系统用于智能车的信息采集、信息接收和车辆控制。网联车车载子系统用于网联车的信息采集、信息接收和信息提醒。普通车信息采集子系统用于普通车速度、位置及车辆信息的采集和发送。路侧速度决策子系统,用于所有车辆采集信息的接收、通行次序排列、速度引导信息计算和发送。路侧显示屏信息显示子系统,用于普通车速度引导信息发布。Fig. 1 shows a schematic diagram of the principle of occlusion interval theory. For the fixed occlusion method, the time interval for two vehicles to pass through the conflict point in the merging area is a fixed time length, and the length is the safety headway. The passing interval is related to the real-time speed and Location is irrelevant. For the mobile blocking method, the time interval between two vehicles passing through the conflict point is variable, and its length is related to the relative speed and distance between the two vehicles, and the length is composed of braking time and safety margin, which can further improve the traffic flow. However, this method has high requirements on the accuracy of the guidance speed of each vehicle, and is suitable for vehicles with a high degree of intelligent network connection. FIG. 3 is a schematic diagram of a scenario of a vehicle speed guidance system for heterogeneous traffic flow on a highway on-ramp under an intelligent networked environment of the present invention. This scenario includes a heterogeneous traffic flow composed of three types of vehicles: intelligent vehicles, connected vehicles and ordinary vehicles. It also includes an ordinary vehicle information collection subsystem, which is used for the collection of ordinary vehicle speed guidance information. Roadside display information display subsystem. It is used for the release of speed guidance information for ordinary vehicles. The roadside speed decision subsystem is used for the reception of all vehicle speed guidance information, the arrangement of the passing order, the calculation of the speed guidance information and the transmission of the speed guidance information. Figure 3 is the structural block diagram of the speed guidance system for heterogeneous traffic flow on the highway on-ramp; the system is divided into the intelligent vehicle on-board subsystem, the network-connected vehicle on-board subsystem, the ordinary vehicle information collection subsystem, the roadside speed decision subsystem and the roadside speed decision subsystem. There are five subsystems including the information display subsystem on the side display. The on-board subsystem of the smart car is used for information collection, information reception and vehicle control of the smart car. The on-board subsystem of the connected car is used for information collection, information reception and information reminder of the connected car. The ordinary vehicle information collection subsystem is used for the collection and transmission of ordinary vehicle speed, position and vehicle information. The roadside speed decision-making subsystem is used for the reception of the collected information of all vehicles, the arrangement of the traffic order, the calculation and transmission of the speed guidance information. The roadside display information display subsystem is used for the release of ordinary vehicle speed guidance information.
图4示出车速引导方法的逻辑流程图,一种智能网联环境下高速公路入口匝道异质交通流车速引导方法包括如下步骤:FIG. 4 shows a logic flow chart of a vehicle speed guidance method. A method for vehicle speed guidance of heterogeneous traffic flow on a highway on-ramp in an intelligent networked environment includes the following steps:
S01车辆到达路侧速度决策子系统通信范围时,采集车辆信息并发送给决策子系统。对于智能车和网联车,当车辆到达通信范围时,车辆会将需要的速度引导信息封装为包,通过无线通信方式发送到决策子系统;对于普通车,通过普通车信息采集子系统中主路和入口匝道的摄像头,将普通车的车牌、最大加速度、到达时间、速度和位置信息发送给决策子系统;S01 When the vehicle reaches the communication range of the roadside speed decision-making subsystem, the vehicle information is collected and sent to the decision-making subsystem. For smart vehicles and connected vehicles, when the vehicle reaches the communication range, the vehicle will encapsulate the required speed guidance information into a packet and send it to the decision-making subsystem through wireless communication; Cameras on roads and on-ramps, sending the license plate, maximum acceleration, arrival time, speed and position information of ordinary cars to the decision-making subsystem;
S02路侧速度决策子系统接收到发送信息,按照“先到先服务”原则分配合流区冲突点的通行路权,将主路和入口匝道所有车辆的通行次序进行排列。The S02 roadside speed decision subsystem receives the sent information, allocates the right of way of the conflict point in the merging area according to the principle of "first come, first served", and arranges the passing order of all vehicles on the main road and on-ramp.
S03路侧速度决策子系统应用高速铁路中的闭塞区间理论进行引导速度v的计算。由于普通车和网联车驾驶主体仍为人,所以对普通车和网联车采用固定闭塞方法进行计算。由于智能车的驾驶主体为机器人,所以采用通行效率更高、车速精度要求更高的移动闭塞方法进行速度计算。The S03 roadside speed decision subsystem applies the block interval theory in the high-speed railway to calculate the guiding speed v. Since the driving main body of ordinary vehicles and connected vehicles is still human, the fixed block method is used for calculation of ordinary vehicles and connected vehicles. Since the driving main body of the smart car is a robot, the speed calculation is carried out by the mobile blocking method with higher traffic efficiency and higher speed accuracy requirements.
S04不同智能等级车辆的速度计算方法如下所示:The speed calculation methods of S04 vehicles of different intelligence levels are as follows:
对于智能车,由于其由驾驶机器人控制,速度控制精度较高,因此采用闭塞区间理论中的移动闭塞控制方法,以通行次序中前车的通过时刻为目标点,根据本车的位置、速度计算记得本车预计通过时刻,反推得到引导速度。For the smart car, because it is controlled by a driving robot and has a high speed control accuracy, the mobile blocking control method in the blocking interval theory is adopted. Remember that the vehicle is expected to pass the time, and the reverse thrust is used to obtain the guiding speed.
智能车整个速度引导过程包括发送信息、速度计算、接收信息、速度调整和速度保持等五个阶段;由于智能车不存在驾驶员反应时间,发送信息、速度计算、接收信息三个阶段通常意义只需100ms左右,因此忽略三个阶段用时。智能车的预计通过时刻tpass为:The entire speed guidance process of the smart car includes five stages: sending information, speed calculation, receiving information, speed adjustment, and speed maintaining; since there is no driver reaction time for smart cars, the three stages of sending information, speed calculation, and receiving information are usually only meaningful. It takes about 100ms, so ignore the three stages. The estimated passing time tpass of the smart car is:
式中,treach为车辆到达路侧决策系统通信范围的时刻,vi为车辆的引导速度,v0为到达通信范围时的速度,a为车辆加速度,x为车辆距离合流区冲突点的距离。In the formula, treach is the time when the vehicle reaches the communication range of the roadside decision-making system,vi is the guiding speed of the vehicle, v0 is the speed when it reaches the communication range, a is the acceleration of the vehicle, and x is the distance between the vehicle and the conflict point in the merge area. .
根据移动闭塞控制方法,以前车预计通过时刻为目标点,智能车的预计通过时刻tpass为:According to the mobile blocking control method, the estimated passing time of the preceding vehicle is the target point, and the estimated passing time tpass of the smart car is:
式中,tpass-f为次序中前车的预计通过时刻,tbrake为车辆最短刹车时间,tsafe为安全时间裕量。In the formula, tpass-f is the expected passing time of the preceding vehicle in the sequence, tbrake is the shortest braking time of the vehicle, and tsafe is the safety time margin.
两式联立,可得加速情况下车辆i的引导速度:Combining the two formulas, the guiding speed of vehicle i under acceleration can be obtained:
减速情况下车辆i的引导速度为:The guided velocity of vehicle i under deceleration is:
其中ti=tpass-f+tsafe-treachwhere ti =tpass-f +tsafe -treach
对于网联车,车辆由驾驶员进行控制,速度控制精度较低,因此采用固定闭塞控制方法,以次序中前车的通过时刻为目标点,按照固定长度计算得到本车预计通过时刻和引导速度。For the connected car, the vehicle is controlled by the driver, and the speed control accuracy is low. Therefore, the fixed block control method is adopted. Taking the passing time of the preceding vehicle in the sequence as the target point, the estimated passing time and guiding speed of the vehicle are calculated according to the fixed length. .
网联车的速度引导过程包括发送信息、速度计算、驾驶员反应、速度调整和速度保持等五个阶段,由于时间较短,忽略其中发送信息、速度计算两个阶段;网联车的预计通过时刻tpass如下:The speed guidance process of the connected car includes five stages: information sending, speed calculation, driver response, speed adjustment and speed maintenance. Due to the short time, the two stages of sending information and speed calculation are ignored; The time tpass is as follows:
式中,treaction为驾驶员对速度引导信息的反应时间。In the formula, treaction is the reaction time of the driver to the speed guidance information.
以次序中前车的预计通过时刻为区间一端的端点,以安全车头时距为固定闭塞的区间长度tf,则本车的预计通过时刻tpass为:Taking the estimated passing time of the preceding vehicle in the sequence as the end point of one end of the interval, and taking the safe headway as the fixed block length tf , the estimated passing time tpass of the vehicle is:
tpass=ti-1+tftpass =ti-1 +tf
两式联立,可得减速情况下车辆i的引导速度:Combining the two formulas, the guiding speed of vehicle i under deceleration can be obtained:
加速情况下车辆i的引导速度:Guided velocity of vehicle i under acceleration:
其中,T=tpass-f+tf-treach-treactionAmong them, T=tpass-f +tf -treach -treaction
对于普通车,车辆由驾驶员进行控制,速度控制精度较低,因此同样采用固定闭塞控制方法,并且采集和发送普通车的信息存在延迟,因此区间长度的计算方法与网联车不同;For ordinary cars, the vehicle is controlled by the driver, and the speed control accuracy is low, so the fixed block control method is also used, and there is a delay in collecting and sending the information of ordinary cars, so the calculation method of interval length is different from that of connected cars;
普通车的速度引导过程包括发送信息、速度计算、驾驶员反应、速度调整和速度保持等五个阶段,其中发送信息包括车牌识别、速度测定等通常需要500ms左右;接收信息包括从路侧显示屏读取时间,通常为1s;普通车的预计通过时刻为:The speed guidance process of ordinary cars includes five stages: sending information, speed calculation, driver response, speed adjustment and speed maintenance. It usually takes about 500ms to send information including license plate recognition, speed measurement, etc.; Reading time, usually 1s; the estimated passing time of ordinary cars is:
以次序中前车的预计通过时刻为目标点,固定闭塞的区间长度为安全车头时距和驾驶员阅读显示屏上的引导速度,则本车的预计通过时刻为:Taking the estimated passing time of the preceding vehicle in the sequence as the target point, and the length of the fixed block is the safe headway and the driver reading the guide speed on the display screen, the estimated passing time of the vehicle is:
tpass=ti-1+tf+treadtpass =ti-1 +tf +tread
两式联立,可得减速情况下车辆i的引导速度:Combining the two formulas, the guiding speed of vehicle i under deceleration can be obtained:
式中,加速情况下车辆i的引导速度:In the formula, the guiding speed of vehicle i under acceleration is:
其中,T=ti-1+tf-treach-tsafe-treactionAmong them, T=ti-1 +tf -treach -tsafe -treaction
S05速度计算完成后,速度引导中心将引导信息广播给通信范围内的车辆,智能车进行自动驾驶并将引导信息显示给车辆使用者,网联车通过视觉和听觉将信息通知给驾驶员。同时将普通车的引导信息通过路侧显示屏进行视觉和听觉播报;After the S05 speed calculation is completed, the speed guidance center broadcasts the guidance information to the vehicles within the communication range, the smart car performs automatic driving and displays the guidance information to the vehicle user, and the connected vehicle notifies the driver of the information through sight and hearing. At the same time, the guidance information of ordinary vehicles is broadcast visually and audibly through the roadside display screen;
显然,本发明的上述实施例仅仅是为清楚地说明本发明所作的举例,而并非是对本发明的实施方式的限定,对于所属领域的普通技术人员来说,在上述说明的基础上还可以做出其它不同形式的变化或变动,这里无法对所有的实施方式予以穷举,凡是属于本发明的技术方案所引伸出的显而易见的变化或变动仍处于本发明的保护范围之列。Obviously, the above-mentioned embodiments of the present invention are only examples for clearly illustrating the present invention, and are not intended to limit the embodiments of the present invention. Changes or changes in other different forms cannot be exhausted here, and all obvious changes or changes derived from the technical solutions of the present invention are still within the protection scope of the present invention.
| Application Number | Priority Date | Filing Date | Title |
|---|---|---|---|
| CN202010463827.1ACN111599194B (en) | 2020-05-27 | 2020-05-27 | Highway entrance ramp heterogeneous traffic flow speed guiding system and guiding method |
| Application Number | Priority Date | Filing Date | Title |
|---|---|---|---|
| CN202010463827.1ACN111599194B (en) | 2020-05-27 | 2020-05-27 | Highway entrance ramp heterogeneous traffic flow speed guiding system and guiding method |
| Publication Number | Publication Date |
|---|---|
| CN111599194Atrue CN111599194A (en) | 2020-08-28 |
| CN111599194B CN111599194B (en) | 2024-06-18 |
| Application Number | Title | Priority Date | Filing Date |
|---|---|---|---|
| CN202010463827.1AActiveCN111599194B (en) | 2020-05-27 | 2020-05-27 | Highway entrance ramp heterogeneous traffic flow speed guiding system and guiding method |
| Country | Link |
|---|---|
| CN (1) | CN111599194B (en) |
| Publication number | Priority date | Publication date | Assignee | Title |
|---|---|---|---|---|
| CN112700661A (en)* | 2020-12-17 | 2021-04-23 | 江苏大学 | Intelligent vehicle confluence method and system under heavy traffic flow |
| CN112735132A (en)* | 2020-12-29 | 2021-04-30 | 华设设计集团股份有限公司 | Vehicle convergence guiding system and method |
| CN112885116A (en)* | 2021-01-25 | 2021-06-01 | 浙江公路水运工程咨询有限责任公司 | Highway rain and fog scene vehicle and road collaborative induction system |
| CN113096402A (en)* | 2021-04-12 | 2021-07-09 | 中南大学 | Dynamic speed limit control method, system, terminal and readable storage medium based on intelligent networked vehicle |
| CN113205679A (en)* | 2021-04-14 | 2021-08-03 | 武汉科技大学 | Traffic efficiency control method based on T-shaped intersection vehicle control system |
| CN114283619A (en)* | 2021-12-25 | 2022-04-05 | 重庆长安汽车股份有限公司 | Vehicle obstacle avoidance system, platform framework, method and vehicle based on V2X |
| CN114708734A (en)* | 2022-05-07 | 2022-07-05 | 合肥工业大学 | Entrance ramp network connection manual driving vehicle main line converging cooperative control method |
| CN115035711A (en)* | 2022-04-14 | 2022-09-09 | 福建船政交通职业学院 | Traffic diversion control method for connection section of expressway tunnel and interchange |
| CN115131965A (en)* | 2022-06-23 | 2022-09-30 | 重庆长安汽车股份有限公司 | Vehicle control method, device, system, electronic device and storage medium |
| CN115359671A (en)* | 2022-07-11 | 2022-11-18 | 东风汽车集团股份有限公司 | Intersection vehicle cooperative control method and related equipment |
| CN115798263A (en)* | 2023-02-02 | 2023-03-14 | 安徽星云互联科技有限责任公司 | Vehicle control method and device based on vehicle-road cooperation, road side equipment and system |
| CN115909780A (en)* | 2022-11-09 | 2023-04-04 | 江苏大学 | Expressway merge control system and method based on intelligent network connection and RBF neural network |
| CN116363905A (en)* | 2023-05-19 | 2023-06-30 | 吉林大学 | A lane-changing timing discrimination and active safety control method in a heterogeneous traffic flow merge area |
| CN116670737A (en)* | 2020-12-28 | 2023-08-29 | 株式会社斯巴鲁 | Vehicle travel control system and server device for the same |
| CN116740965A (en)* | 2023-05-16 | 2023-09-12 | 山东科技大学 | A vehicle safety guidance system and method for rural T-shaped unsignalized intersections |
| WO2024060486A1 (en)* | 2022-09-23 | 2024-03-28 | 长安大学 | Expressway ramp hybrid-traffic-flow management and control method based on controllable connected and automated vehicles |
| Publication number | Priority date | Publication date | Assignee | Title |
|---|---|---|---|---|
| CN106601002A (en)* | 2016-11-23 | 2017-04-26 | 苏州大学 | Urban expressway entrance ramp vehicle traffic guiding system and guiding method thereof in Internet of vehicles environment |
| CN108806291A (en)* | 2018-07-27 | 2018-11-13 | 东南大学 | High saturation ring road vehicle based on roadside device imports bootstrap technique and system |
| CN108806252A (en)* | 2018-06-19 | 2018-11-13 | 西南交通大学 | A kind of Mixed Freeway Traffic Flows collaboration optimal control method |
| CN109285373A (en)* | 2018-08-31 | 2019-01-29 | 南京锦和佳鑫信息科技有限公司 | A kind of intelligent network connection traffic system towards whole road network |
| CN109598950A (en)* | 2018-12-04 | 2019-04-09 | 东南大学 | A kind of the ring road collaboration remittance control method and system of intelligent network connection vehicle |
| CN110570049A (en)* | 2019-09-19 | 2019-12-13 | 西南交通大学 | A low-level control method for collaborative optimization of mixed traffic flows on expressways |
| CN110853378A (en)* | 2019-11-19 | 2020-02-28 | 中国联合网络通信集团有限公司 | A method and system for the management of a vehicle on-ramp |
| CN212276575U (en)* | 2020-05-27 | 2021-01-01 | 中汽研汽车检验中心(天津)有限公司 | Speed Guidance System for Heterogeneous Traffic Flow on Expressway On-Ramp |
| Publication number | Priority date | Publication date | Assignee | Title |
|---|---|---|---|---|
| CN106601002A (en)* | 2016-11-23 | 2017-04-26 | 苏州大学 | Urban expressway entrance ramp vehicle traffic guiding system and guiding method thereof in Internet of vehicles environment |
| CN108806252A (en)* | 2018-06-19 | 2018-11-13 | 西南交通大学 | A kind of Mixed Freeway Traffic Flows collaboration optimal control method |
| CN108806291A (en)* | 2018-07-27 | 2018-11-13 | 东南大学 | High saturation ring road vehicle based on roadside device imports bootstrap technique and system |
| CN109285373A (en)* | 2018-08-31 | 2019-01-29 | 南京锦和佳鑫信息科技有限公司 | A kind of intelligent network connection traffic system towards whole road network |
| CN109598950A (en)* | 2018-12-04 | 2019-04-09 | 东南大学 | A kind of the ring road collaboration remittance control method and system of intelligent network connection vehicle |
| CN110570049A (en)* | 2019-09-19 | 2019-12-13 | 西南交通大学 | A low-level control method for collaborative optimization of mixed traffic flows on expressways |
| CN110853378A (en)* | 2019-11-19 | 2020-02-28 | 中国联合网络通信集团有限公司 | A method and system for the management of a vehicle on-ramp |
| CN212276575U (en)* | 2020-05-27 | 2021-01-01 | 中汽研汽车检验中心(天津)有限公司 | Speed Guidance System for Heterogeneous Traffic Flow on Expressway On-Ramp |
| Title |
|---|
| 靳东明;李博;: "基于车-车通信的列车运行控制系统中的移动授权计算分析"* |
| 靳东明;李博;: "基于车-车通信的列车运行控制系统中的移动授权计算分析", 电脑知识与技术, no. 01* |
| Publication number | Priority date | Publication date | Assignee | Title |
|---|---|---|---|---|
| CN112700661A (en)* | 2020-12-17 | 2021-04-23 | 江苏大学 | Intelligent vehicle confluence method and system under heavy traffic flow |
| CN116670737A (en)* | 2020-12-28 | 2023-08-29 | 株式会社斯巴鲁 | Vehicle travel control system and server device for the same |
| CN112735132A (en)* | 2020-12-29 | 2021-04-30 | 华设设计集团股份有限公司 | Vehicle convergence guiding system and method |
| CN112885116B (en)* | 2021-01-25 | 2022-12-27 | 浙江公路水运工程咨询有限责任公司 | Highway rain and fog scene vehicle and road collaborative induction system |
| CN112885116A (en)* | 2021-01-25 | 2021-06-01 | 浙江公路水运工程咨询有限责任公司 | Highway rain and fog scene vehicle and road collaborative induction system |
| CN113096402A (en)* | 2021-04-12 | 2021-07-09 | 中南大学 | Dynamic speed limit control method, system, terminal and readable storage medium based on intelligent networked vehicle |
| CN113096402B (en)* | 2021-04-12 | 2022-03-29 | 中南大学 | A kind of dynamic speed limit control method, system, terminal and readable storage medium based on intelligent networked vehicle |
| CN113205679A (en)* | 2021-04-14 | 2021-08-03 | 武汉科技大学 | Traffic efficiency control method based on T-shaped intersection vehicle control system |
| CN114283619A (en)* | 2021-12-25 | 2022-04-05 | 重庆长安汽车股份有限公司 | Vehicle obstacle avoidance system, platform framework, method and vehicle based on V2X |
| CN115035711A (en)* | 2022-04-14 | 2022-09-09 | 福建船政交通职业学院 | Traffic diversion control method for connection section of expressway tunnel and interchange |
| CN115035711B (en)* | 2022-04-14 | 2023-11-17 | 福建船政交通职业学院 | Traffic diversion control method for highway tunnel and interchange connection section |
| CN114708734A (en)* | 2022-05-07 | 2022-07-05 | 合肥工业大学 | Entrance ramp network connection manual driving vehicle main line converging cooperative control method |
| CN114708734B (en)* | 2022-05-07 | 2023-01-10 | 合肥工业大学 | A collaborative control method for on-ramp network-connected human-driven vehicles merging into the main line |
| CN115131965B (en)* | 2022-06-23 | 2023-07-07 | 重庆长安汽车股份有限公司 | Vehicle control method, device, system, electronic equipment and storage medium |
| CN115131965A (en)* | 2022-06-23 | 2022-09-30 | 重庆长安汽车股份有限公司 | Vehicle control method, device, system, electronic device and storage medium |
| CN115359671A (en)* | 2022-07-11 | 2022-11-18 | 东风汽车集团股份有限公司 | Intersection vehicle cooperative control method and related equipment |
| WO2024060486A1 (en)* | 2022-09-23 | 2024-03-28 | 长安大学 | Expressway ramp hybrid-traffic-flow management and control method based on controllable connected and automated vehicles |
| CN115909780A (en)* | 2022-11-09 | 2023-04-04 | 江苏大学 | Expressway merge control system and method based on intelligent network connection and RBF neural network |
| CN115909780B (en)* | 2022-11-09 | 2023-07-21 | 江苏大学 | Expressway merge control system and method based on intelligent network connection and RBF neural network |
| CN115798263A (en)* | 2023-02-02 | 2023-03-14 | 安徽星云互联科技有限责任公司 | Vehicle control method and device based on vehicle-road cooperation, road side equipment and system |
| CN116740965A (en)* | 2023-05-16 | 2023-09-12 | 山东科技大学 | A vehicle safety guidance system and method for rural T-shaped unsignalized intersections |
| CN116740965B (en)* | 2023-05-16 | 2024-04-02 | 山东科技大学 | A vehicle safety guidance system and method for rural T-shaped unsignalized intersections |
| CN116363905A (en)* | 2023-05-19 | 2023-06-30 | 吉林大学 | A lane-changing timing discrimination and active safety control method in a heterogeneous traffic flow merge area |
| CN116363905B (en)* | 2023-05-19 | 2023-09-05 | 吉林大学 | A lane-changing timing discrimination and active safety control method in a heterogeneous traffic flow merge area |
| Publication number | Publication date |
|---|---|
| CN111599194B (en) | 2024-06-18 |
| Publication | Publication Date | Title |
|---|---|---|
| CN111599194A (en) | Speed guidance system and guidance method for heterogeneous traffic flow on expressway on-ramp | |
| CN212276575U (en) | Speed Guidance System for Heterogeneous Traffic Flow on Expressway On-Ramp | |
| CN109074730B (en) | Vehicle control system, vehicle control method, and storage medium | |
| CN105739534B (en) | Multi-vehicle cooperative driving method and device for unmanned vehicle based on Internet of vehicles | |
| CN108885826B (en) | Vehicle control system, vehicle control method, and storage medium | |
| WO2022063331A1 (en) | V2x-based formation driving networked intelligent passenger vehicle | |
| EP3181419B1 (en) | Travel control device and travel control method | |
| CN108765982A (en) | Signalized crossing speed guiding system and bootstrap technique under bus or train route cooperative surroundings | |
| US20170131114A1 (en) | Vehicle data processing method and vehicle terminal | |
| WO2021103511A1 (en) | Operational design domain (odd) determination method and apparatus and related device | |
| CN106601002A (en) | Urban expressway entrance ramp vehicle traffic guiding system and guiding method thereof in Internet of vehicles environment | |
| EP3181420A1 (en) | Travel control device and method for vehicle | |
| CN107767679A (en) | Signal lamp intersection speed guide device and method based on DSRC | |
| CN110031238A (en) | A kind of L3 grades of autonomous driving vehicle vehicle grade is in ring test stand test method | |
| CN105835882A (en) | Automatic vehicle traveling method and device | |
| CN110260872B (en) | A dynamic overtaking trajectory planning system based on GPS in a vehicle-road collaborative environment | |
| CN111599215B (en) | Non-signalized intersection mobile block vehicle guiding system and method based on Internet of vehicles | |
| CN207473410U (en) | A kind of automobile intelligent servomechanism | |
| WO2020020298A1 (en) | Unmanned vehicle control method and apparatus | |
| WO2023155041A1 (en) | Intelligent driving method, device, and vehicle comprising said device | |
| CN111986505A (en) | Control device, boarding/alighting facility, control method, and storage medium | |
| CN110401685A (en) | A kind of intelligence control cloud platform of two visitor of automatic Pilot, one danger vehicle | |
| CN110208787A (en) | A kind of intelligent network connection autonomous driving vehicle auxiliary perception road lamp system based on V2I | |
| CN115412883A (en) | Intelligent network connection over-the-horizon driving auxiliary system based on 5G position sharing | |
| CN103303143A (en) | Highway ratespeed-limiting system and method |
| Date | Code | Title | Description |
|---|---|---|---|
| PB01 | Publication | ||
| PB01 | Publication | ||
| SE01 | Entry into force of request for substantive examination | ||
| SE01 | Entry into force of request for substantive examination | ||
| GR01 | Patent grant | ||
| GR01 | Patent grant |