

技术领域technical field
本发明涉及站库可靠性分析技术领域,特别是涉及应用于油田集输系统联合站的全流程可靠性评价方法及系统。The invention relates to the technical field of reliability analysis of stations and warehouses, in particular to a whole-process reliability evaluation method and system applied to a combined station of an oilfield gathering and transportation system.
背景技术Background technique
集输联合站是将油田中油井所生产的原油汇集、储存、加热、脱水、分离、计量后进行外输的生产单元,是高风险存在并集中的场所。集输联合站涉及的生产工艺过程非常复杂,工艺条件要求十分严格,生产介质具有高温高压、易燃易爆或腐蚀、有毒等特性,随着油田油气开采难度的加大以及挖潜增产的迫切需要,随之带来的安全问题日益显现,生产装置趋向大型化以及生产过程的连续性、自动化程度的提高等,使生产过程发生事故的可能性增大,一旦发生安全事故,造成的危害和损失也极为严重。因此提出一种对集输联合站以及关键设备的安全可靠性评价方法,采用由单体设备级到联合站级的分层阶梯式可靠性分析方法,建立联合站可靠性分析模型,提高其安全可靠性。The gathering and transportation station is a production unit that collects, stores, heats, dehydrates, separates, and measures the crude oil produced by the oil wells in the oil field and then transports it to the outside world. It is a place where high risks exist and are concentrated. The production process involved in the gathering and transportation combined station is very complex, the process conditions are very strict, and the production medium has the characteristics of high temperature and high pressure, flammable, explosive or corrosive, and toxic. , the resulting safety problems have become increasingly apparent, the production equipment tends to be large-scale, the continuity of the production process, the improvement of the degree of automation, etc., which increase the possibility of accidents in the production process. Once a safety accident occurs, the harm and loss caused Also extremely serious. Therefore, a method for evaluating the safety and reliability of the combined gathering and transportation station and key equipment is proposed, and a hierarchical and stepped reliability analysis method from the individual equipment level to the combined station level is used to establish the reliability analysis model of the combined station to improve its safety. reliability.
发明内容SUMMARY OF THE INVENTION
为解决上述技术问题,本发明与传统的可靠性分析方法相比,从关键设备的故障分析、联合站全流程的可靠性模型和联合站可靠性计算方法三方面对可靠性分析方法进行优化。提高了可靠性分析方法在联合站复杂流程下的适应性;采用如下技术方案:In order to solve the above technical problems, compared with the traditional reliability analysis method, the present invention optimizes the reliability analysis method from three aspects: the failure analysis of key equipment, the reliability model of the whole process of the joint station and the reliability calculation method of the joint station. The adaptability of the reliability analysis method under the complex process of the joint station is improved; the following technical solutions are adopted:
第一方面,本发明提供了一种对集输联合站以及关键设备的安全可靠性评价方法,步骤包括:In a first aspect, the present invention provides a method for evaluating the safety and reliability of a combined gathering and transportation station and key equipment. The steps include:
采集关键设备基础数据;Collect basic data of key equipment;
进行关键设备故障特征分析,根据分析结果构建关键设备的故障树;利用基础数据采集对关键设备的故障树进行可靠性定性定量分析,建立设备可靠性分析模型,通过可靠性分析模型获取可靠性参数,实现单体设备级可靠性分析;Analyze the fault characteristics of key equipment, and construct the fault tree of the key equipment according to the analysis results; use the basic data collection to carry out qualitative and quantitative analysis of the reliability of the fault tree of the key equipment, establish the equipment reliability analysis model, and obtain the reliability parameters through the reliability analysis model. , to realize the reliability analysis of single equipment level;
根据可靠性参数利用GO法运算进行联合站全流程可靠性分析,实现分层阶梯式可靠性分析。According to the reliability parameters, the whole process reliability analysis of the joint station is carried out by using the GO method, and the hierarchical and stepped reliability analysis is realized.
第二方面,本发明还提供了一种对集输联合站以及关键设备的安全可靠性评价系统,包括:In the second aspect, the present invention also provides a safety and reliability evaluation system for the gathering and transportation combined station and key equipment, including:
采集模块,被配置为:采集关键设备基础数据;The acquisition module is configured to: collect basic data of key equipment;
故障特征分析模块,被配置为:进行关键设备故障特征分析,根据分析结果构建关键设备的故障树;利用基础数据采集对关键设备的故障树进行可靠性定性定量分析,建立设备可靠性分析模型,通过可靠性分析模型获取可靠性参数,实现单体设备级可靠性分析;The fault characteristic analysis module is configured to: analyze the fault characteristics of key equipment, and build a fault tree of the key equipment according to the analysis results; use the basic data collection to carry out qualitative and quantitative analysis of the reliability of the fault tree of the key equipment, and establish an equipment reliability analysis model. Obtain reliability parameters through the reliability analysis model, and realize the reliability analysis of individual equipment;
全流程可靠性分析模块,被配置为:根据可靠性参数利用GO法运算进行联合站全流程可靠性分析,实现分层阶梯式可靠性分析。The whole-process reliability analysis module is configured to use the GO method to perform the whole-process reliability analysis of the joint station according to the reliability parameters, so as to realize the hierarchical and stepped reliability analysis.
第三方面,本发明还提供了一种计算机可读存储介质,用于存储计算机指令,所述计算机指令被处理器执行时,完成如第一方面所述的对集输联合站以及关键设备的安全可靠性评价方法。In a third aspect, the present invention also provides a computer-readable storage medium for storing computer instructions, when the computer instructions are executed by the processor, the integrated gathering and transportation station and the key equipment as described in the first aspect are completed. Safety and reliability evaluation methods.
第四方面,本发明还提供了一种电子设备,包括存储器和处理器以及存储在存储器上并在处理器上运行的计算机指令,所述计算机指令被处理器运行时,完成如第一方面所述的对集输联合站以及关键设备的安全可靠性评价方法。In a fourth aspect, the present invention also provides an electronic device, comprising a memory and a processor, and computer instructions stored in the memory and executed on the processor, when the computer instructions are executed by the processor, the execution is performed as described in the first aspect. The safety and reliability evaluation method for the combined gathering and transportation station and key equipment described above.
与现有技术相比,本发明的有益效果为:Compared with the prior art, the beneficial effects of the present invention are:
1、本发明与传统的可靠性分析方法相比,从关键设备的故障分析、联合站全流程的可靠性模型和联合站可靠性计算方法三方面对可靠性分析方法进行优化。提高了可靠性分析方法在联合站复杂流程下的适应性,解决了传统方法对于有实际物流的过程系统的可靠性分析的局限性。1. Compared with the traditional reliability analysis method, the present invention optimizes the reliability analysis method from three aspects: the failure analysis of key equipment, the reliability model of the whole process of the joint station and the reliability calculation method of the joint station. The adaptability of the reliability analysis method under the complex flow of the combined station is improved, and the limitation of the reliability analysis of the traditional method to the process system with actual logistics is solved.
2、本发明采用的联合站可靠性计算方法,相较于采用传统的计算方法,可以提高联合站可靠度计算结果的准确性。采用的分层阶梯式计算方法可以计算联合站流程内任意一个组成部分的可靠度,便于找出流程内可靠性最低的环节,并可以对该环节及时检查、修复。2. Compared with the traditional calculation method, the reliability calculation method of the joint station adopted in the present invention can improve the accuracy of the reliability calculation result of the joint station. The adopted layered and stepped calculation method can calculate the reliability of any component in the combined station process, which is convenient to find the link with the lowest reliability in the process, and can check and repair the link in time.
3、本发明采用的关键设备可靠性分析方法,可确定系统部件对系统故障的贡献,对关键部位的重要性进行排序,用于评价系统的组成部分和外部事件对系统可靠性的影响,鉴别系统的关键部位,建立系统维修管理体系。3. The key equipment reliability analysis method adopted in the present invention can determine the contribution of system components to system failures, rank the importance of key parts, and be used to evaluate the impact of system components and external events on system reliability, identify Establish a system maintenance management system for key parts of the system.
4、本发明采用的GO法,可以描述系统和部件在各个时间点的状态和状态的变化,可用于有时序的联合站系统概率分析,可直接表示系统和部件以及部件之间的相互作用和相关性,易于检查、变换和修改。4. The GO method used in the present invention can describe the state and state changes of the system and components at various time points, and can be used for the probability analysis of the time-series joint station system, and can directly represent the interaction between the system and components and the components. Dependencies, easy to inspect, transform and modify.
5、本发明将故障树分析法和GO法相结合,作为一种图形演绎法使得该方法更加形象直观,能够将可能造成系统故障的各种因素包括直接、间接因素等因素联系起来,提高系统可靠性的分析精度。5. The present invention combines the fault tree analysis method and the GO method. As a graphical deduction method, the method is more visual and intuitive, and can link various factors that may cause system failures, including direct and indirect factors, to improve the reliability of the system. analytical precision.
附图说明Description of drawings
构成本申请的一部分的说明书附图用来提供对本申请的进一步理解,本申请的示意性实施例及其说明用于解释本申请,并不构成对本申请的不当限定。The accompanying drawings that form a part of the present application are used to provide further understanding of the present application, and the schematic embodiments and descriptions of the present application are used to explain the present application and do not constitute improper limitations on the present application.
图1为本发明的关键设备可靠性分析的流程图。FIG. 1 is a flow chart of reliability analysis of key equipment of the present invention.
图2为本发明的联合站全流程的可靠性分析的流程图。FIG. 2 is a flow chart of reliability analysis of the whole process of the joint station of the present invention.
具体实施方式:Detailed ways:
下面结合附图与实施例对本发明作进一步说明。The present invention will be further described below with reference to the accompanying drawings and embodiments.
应该指出,以下详细说明都是示例性的,旨在对本申请提供进一步的说明。除非另有指明,本文使用的所有技术和科学术语具有与本申请所属技术领域的普通技术人员通常理解的相同含义。It should be noted that the following detailed description is exemplary and intended to provide further explanation of the application. Unless otherwise defined, all technical and scientific terms used herein have the same meaning as commonly understood by one of ordinary skill in the art to which this application belongs.
需要注意的是,这里所使用的术语仅是为了描述具体实施方式,而非意图限制根据本申请的示例性实施方式。如在这里所使用的,除非上下文另外明确指出,否则单数形式也意图包括复数形式,此外,还应当理解的是,当在本说明书中使用术语“包含”和/或“包括”时,其指明存在特征、步骤、操作、器件、组件和/或它们的组合。It should be noted that the terminology used herein is for the purpose of describing specific embodiments only, and is not intended to limit the exemplary embodiments according to the present application. As used herein, unless the context clearly dictates otherwise, the singular is intended to include the plural as well, furthermore, it is to be understood that when the terms "comprising" and/or "including" are used in this specification, it indicates that There are features, steps, operations, devices, components and/or combinations thereof.
在本发明中,术语如“上”、“下”、“左”、“右”、“前”、“后”、“竖直”、“水平”、“侧”、“底”等指示的方位或位置关系为基于附图所示的方位或位置关系,只是为了便于叙述本发明各部件或元件结构关系而确定的关系词,并非特指本发明中任一部件或元件,不能理解为对本发明的限制。In the present invention, terms such as "upper", "lower", "left", "right", "front", "rear", "vertical", "horizontal", "side", "bottom", etc. The orientation or positional relationship is based on the orientation or positional relationship shown in the accompanying drawings, and is only a relational word determined for the convenience of describing the structural relationship of each component or element of the present invention, and does not specifically refer to any component or element in the present invention, and should not be construed as a reference to the present invention. Invention limitations.
本发明中,术语如“固接”、“相连”、“连接”等应做广义理解,表示可以是固定连接,也可以是一体的连接或可拆卸连接;可以是直接相连,也可以通过中间媒介间接相连。对于本领域的相关科研或技术人员,可以根据具体情况确定上述术语在本发明中的具体含义,不能理解为对本发明的限制。In the present invention, terms such as "fixed connection", "connected", "connected", etc. should be understood in a broad sense, indicating that it can be a fixed connection, an integral connection or a detachable connection; it can be directly connected, or it can be connected through the middle media are indirectly connected. For the relevant scientific research or technical personnel in the field, the specific meanings of the above terms in the present invention can be determined according to the specific situation, and should not be construed as a limitation of the present invention.
实施例1Example 1
一种对集输联合站以及关键设备的安全可靠性评价方法,包括关键设备可靠性分析以及联合站全流程可靠性分析。所述的关键设备可靠性分析采用故障树分析法,所述的联合站全流程可靠性分析采用GO法。A safety and reliability evaluation method for a gathering and transportation combined station and key equipment includes reliability analysis of the key equipment and reliability analysis of the entire process of the combined station. The reliability analysis of the key equipment adopts the fault tree analysis method, and the reliability analysis of the whole process of the joint station adopts the GO method.
所述的关键设备可靠性分析包括基础数据采集、关键设备故障特征分析、故障树构建和设备可靠性定性定量分析,所述的基础数据采集包括设备的平均无故障运行时间(MTBF)、事故率以及可靠度。所述的关键设备故障特征分析为调查、总结联合站设备的故障特征模式。通过所述的关键设备故障特征分析可构建设备的故障树,利用所述的基础数据采集可对所构建的故障树进行可靠性定性定量分析,从而形成完整的设备可靠性分析模型。The reliability analysis of the key equipment includes basic data collection, fault feature analysis of key equipment, fault tree construction, and qualitative and quantitative analysis of equipment reliability. The basic data collection includes the mean time between failures (MTBF), accident rate and and reliability. The fault characteristic analysis of the key equipment is to investigate and summarize the fault characteristic mode of the equipment of the joint station. The fault tree of the equipment can be constructed by analyzing the fault characteristics of the key equipment, and the reliability of the constructed fault tree can be qualitatively and quantitatively analyzed by using the basic data collection, thereby forming a complete equipment reliability analysis model.
所述的联合站全流程可靠性分析建立在所述的关键设备可靠性分析基础之上,建立设备可靠性分析模型后,根据联合站工艺流程利用GO法定义的标准操作符连接成逻辑功能框图。通过所述的关键设备可靠性分析可得到单体设备的可靠性参数,利用GO法运算可进行联合站全流程的可靠性定性定量分析,从而实现由单体设备级到联合站级的分层阶梯式可靠性分析方法,进而对整个系统进行可靠性分析评价。The whole process reliability analysis of the joint station is established on the basis of the reliability analysis of the key equipment. After the equipment reliability analysis model is established, the standard operators defined by the GO method are used to connect into a logical functional block diagram according to the process flow of the joint station. . Through the reliability analysis of the key equipment, the reliability parameters of the individual equipment can be obtained, and the GO method can be used to perform a qualitative and quantitative analysis of the reliability of the whole process of the joint station, so as to realize the stratification from the single equipment level to the joint station level. Step-by-step reliability analysis method, and then carry out reliability analysis and evaluation of the entire system.
所述的故障树构建以设备故障事件作为分析目标,找出导致顶事件发生的所有直接因素和可能原因,直至追溯到引起系统发生故障的那些最基本的直接因素,用描述事件间逻辑因果关系的逻辑门符号把上述各种级别的事件连接成故障树。The described fault tree construction takes the equipment failure event as the analysis target, finds out all the direct factors and possible causes that lead to the occurrence of the top event, until it can be traced back to the most basic direct factors that cause the system to fail, and describes the logical causal relationship between the events. The logic gate symbols of the above-mentioned various levels of events are connected into a fault tree.
所述的设备可靠性定性定量分析包括故障树的定性分析和定量分析,所述的定性分析就是利用最小割集找出故障模式中的薄弱环节,所述的定量分析就是根据底事件发生的概率求顶事件发生的概率。The qualitative and quantitative analysis of equipment reliability includes qualitative analysis and quantitative analysis of fault trees. The qualitative analysis is to use the minimum cut set to find the weak link in the failure mode, and the quantitative analysis is based on the probability of the occurrence of the bottom event. Find the probability of the top event occurring.
所述的GO法是把系统原理图、流程图或工程图中的具体部件用操作符表示、用信号流连接操作符,利用GO图和GO操作符的运算规则可以完成GO法进行系统可靠性分析的各种功能。The GO method is to express the specific components in the system schematic diagram, flow chart or engineering diagram with operators, connect the operators with signal flow, and use the GO diagram and the operation rules of the GO operator to complete the GO method for system reliability. Various functions for analysis.
如图1所示,提供了关键设备的可靠性分析流程,在进行可靠性分析之前,需要进行基础数据采集、设备故障模式分析,在收集、调查所分析设备曾经发生过的故障和将来有可能发生的故障后,找出系统特定故障即顶事件和导致这一故障发生的所有可能因素之间的逻辑因果关系,并将这种关系用各种逻辑门符号连接起来,形成故障树图,再进行定性定量分析,找出设备的薄弱环节以及计算可靠度,提出并实施有效的措施。As shown in Figure 1, the reliability analysis process of key equipment is provided. Before reliability analysis, basic data collection and equipment failure mode analysis are required. After a fault occurs, find out the logical causal relationship between the specific fault of the system, that is, the top event and all possible factors that cause the fault, and connect this relationship with various logic gate symbols to form a fault tree diagram, and then Carry out qualitative and quantitative analysis, find out the weak links of the equipment and calculate the reliability, and propose and implement effective measures.
如图2所示,提供了联合站全流程的可靠性分析流程,先要熟悉整个联合站系统的情况,包括联合站的功能、结构原理,工作程序、运行情况以及各种重要参数等,并要画出工艺流程图及布置图,进行所述的关键设备可靠性分析后,利用GO法定义的操作符和信号流建立GO图,由单体设备级到联合站级进行定性定量分析,对联合站提出改进措施后再次进行效能评价,从而形成一个循环的可靠性评价的模型体系。As shown in Figure 2, the reliability analysis process of the whole process of the joint station is provided. First, you must be familiar with the situation of the entire joint station system, including the function, structure principle, working procedures, operation conditions and various important parameters of the joint station. It is necessary to draw a process flow diagram and layout diagram, and after the reliability analysis of the key equipment described above, use the operators and signal flows defined by the GO method to establish a GO diagram, and conduct qualitative and quantitative analysis from the individual equipment level to the joint station level. After the joint station proposes improvement measures, the performance evaluation is carried out again, thus forming a model system of cyclic reliability evaluation.
上述的定性分析是可靠性分析的核心内容之一,是定量分析的基础,主要目的是找出导致系统故障发生的所有可能的故障模式,即识别出导致顶事件发生的原因或原因的组合,从而发现系统的薄弱环节,判别系统的潜在故障,以便优化系统的设计,指导系统故障的诊断,改进系统的使用与维修方案。The above-mentioned qualitative analysis is one of the core contents of reliability analysis and the basis of quantitative analysis. In this way, the weak links of the system can be found, and the potential faults of the system can be identified, so as to optimize the design of the system, guide the diagnosis of system faults, and improve the use and maintenance plan of the system.
上述的定量分析主要目的是利用故障树和GO图作为分析计算模型,在已知底事件(单体设备)发生概率的条件下求顶事件(联合站系统故障)的发生概率,从而对系统的可靠性、安全性和风险性做出定量化的评估。The main purpose of the above quantitative analysis is to use the fault tree and GO graph as the analysis and calculation model to find the probability of occurrence of the top event (system failure of the joint station) under the condition that the probability of occurrence of the bottom event (single equipment) is known, so as to determine the occurrence probability of the system. Quantitative assessment of reliability, safety and risk.
上述的提出并实施有效的措施,要针对定性分析和定量分析的结果,找出系统的潜在风险因素,识别出系统的薄弱环节,并考虑到价格、技术等因素,制定出最经济、最合理的控制风险方案并付诸实施,以实现降低系统故障风险、提高系统可靠性和安全性的目的。To put forward and implement the effective measures mentioned above, it is necessary to find out the potential risk factors of the system according to the results of qualitative analysis and quantitative analysis, identify the weak links of the system, and take into account factors such as price and technology to formulate the most economical and most reasonable. and put into practice the control risk plan, in order to achieve the purpose of reducing the risk of system failure and improving the reliability and safety of the system.
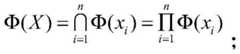
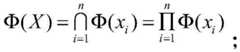
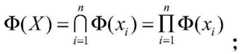
上述的联合站全流程可靠性分析的定量分析中,工艺流程的连接方式不同,可靠性参数的计算方法也有所区别。在串联系统中,假设系统各单元相互独立,则系统可靠性参数Φ(X)可表示为:在并联系统中,假设系统各单元相互独立,则系统可靠性参数Φ(X)可表示为:式中,Φ(X)为系统可靠性参数,Φ(xi)为单体设备可靠性参数,n为设备数目。对于混联系统的可靠性分析可采用等效分析法,并按如下过程进行分析:首先对系统结构进行分析,将系统中并联或串联的部分进行简化并将其划分为子系统,通过串联、并联计算方法计算出子系统可靠性参数;再将每一个子系统等效为系统的组成单元,即还原为与原系统结构相同的简单并联或串联系统。In the above quantitative analysis of the reliability analysis of the whole process of the combined station, the connection methods of the process flow are different, and the calculation methods of the reliability parameters are also different. In a series system, assuming that each unit of the system is independent of each other, the system reliability parameter Φ(X) can be expressed as: In a parallel system, assuming that each unit of the system is independent of each other, the system reliability parameter Φ(X) can be expressed as: In the formula, Φ(X) is the system reliability parameter, Φ(xi ) is the single-device reliability parameter, and n is the number of devices. For the reliability analysis of the hybrid system, the equivalent analysis method can be used, and the analysis is carried out according to the following process: first, the system structure is analyzed, and the parallel or series part of the system is simplified and divided into subsystems. The parallel calculation method calculates the reliability parameters of the subsystems; then each subsystem is equivalent to a component unit of the system, that is, it is restored to a simple parallel or series system with the same structure as the original system.
实施例2,Example 2,
本发明提供了一种对集输联合站以及关键设备的安全可靠性评价方法,其特征在于,步骤包括:The invention provides a method for evaluating the safety and reliability of a combined gathering and transportation station and key equipment, characterized in that the steps include:
采集关键设备基础数据;进行关键设备故障特征分析,根据分析结果构建关键设备的故障树;利用基础数据采集对关键设备的故障树进行可靠性定性定量分析,建立设备可靠性分析模型,通过可靠性分析模型获取可靠性参数,实现单体设备级可靠性分析;根据可靠性参数利用GO法运算进行联合站全流程可靠性分析,实现分层阶梯式可靠性分析。Collect basic data of key equipment; analyze the fault characteristics of key equipment, and build a fault tree of key equipment according to the analysis results; use basic data collection to carry out qualitative and quantitative analysis of the reliability of the fault tree of key equipment, and establish equipment reliability analysis model. The reliability parameters are obtained from the analysis model to realize the reliability analysis of the individual equipment; according to the reliability parameters, the GO method is used to carry out the reliability analysis of the whole process of the joint station, so as to realize the hierarchical and stepped reliability analysis.
所述采集关键设备基础数据包括设备的平均无故障运行时间、事故率和可靠度。所述的关键设备故障特征分析为调查、总结联合站设备的故障特征模式。The basic data of the collected key equipment includes the mean time between failures, the accident rate and the reliability of the equipment. The fault characteristic analysis of the key equipment is to investigate and summarize the fault characteristic mode of the equipment of the joint station.
联合站全流程可靠性分析步骤包括:根据联合站工艺流程利用GO法定义的标准操作符连接成逻辑功能框图;通过所述的关键设备可靠性分析得到单体设备的可靠性参数,利用GO法运算进行联合站全流程的可靠性定性定量分析,从而实现由单体设备级到联合站级的分层阶梯式可靠性分析方法。The reliability analysis steps of the whole process of the combined station include: according to the process flow of the combined station, the standard operators defined by the GO method are connected to form a logical functional block diagram; through the reliability analysis of the key equipment, the reliability parameters of the single equipment are obtained, and the GO method is used to obtain the reliability parameters. The operation is used to perform qualitative and quantitative analysis of the reliability of the whole process of the joint station, so as to realize the hierarchical and stepped reliability analysis method from the single equipment level to the joint station level.
所述的设备可靠性定性定量分析包括故障树的定性分析和定量分析,所述的定性分析就是利用最小割集找出故障模式中的薄弱环节,所述的定量分析就是根据底事件发生的概率求顶事件发生的概率。The qualitative and quantitative analysis of equipment reliability includes qualitative analysis and quantitative analysis of fault trees. The qualitative analysis is to use the minimum cut set to find the weak link in the failure mode, and the quantitative analysis is based on the probability of the occurrence of the bottom event. Find the probability of the top event occurring.
所述的故障树构建以设备故障事件作为分析目标,找出导致顶事件发生的所有直接因素和可能原因,直至到引起系统发生故障的基本的直接因素,用描述事件间逻辑因果关系的逻辑门符号把各种级别的设备故障事件连接成故障树。The described fault tree construction takes the equipment fault event as the analysis target, finds out all the direct factors and possible causes that lead to the occurrence of the top event, until the basic direct factors that cause the system to fail, and uses logic gates that describe the logical causal relationship between events. Symbols connect various levels of equipment failure events into a fault tree.
所述的GO法是把系统原理图、流程图或工程图中的具体部件用操作符表示;用信号流连接操作符,利用GO图和GO操作符的运算规则完成GO法进行系统可靠性分析功能。The GO method is to express the specific components in the system schematic diagram, flow chart or engineering diagram with operators; use the signal flow to connect the operators, and use the GO diagram and the operation rules of the GO operators to complete the GO method for system reliability analysis. Function.
所述联合站全流程可靠性分析的定量分析中,根据工艺流程的连接方式不同,可靠性参数的计算方法分为串联系统计算和并联系统计算。In the quantitative analysis of the reliability analysis of the whole process of the combined station, the calculation methods of the reliability parameters are divided into series system calculation and parallel system calculation according to different connection modes of the technological process.
所述串联系统中采用串联系统计算,假设系统各单元相互独立,则系统可靠性参数Φ(X)可表示为:式中,Φ(X)为系统可靠性参数,Φ(xi)为单体设备可靠性参数,n为设备数目。The series system is used for calculation in the series system. Assuming that each unit of the system is independent of each other, the system reliability parameter Φ(X) can be expressed as: In the formula, Φ(X) is the system reliability parameter, Φ(xi ) is the single-device reliability parameter, and n is the number of devices.
在并联系统中进行并联系统计算,假设系统各单元相互独立,则系统可靠性参数Φ(X)可表示为:The parallel system calculation is carried out in the parallel system, assuming that each unit of the system is independent of each other, the system reliability parameter Φ(X) can be expressed as:
在其他实施例中,本发明还提供了:In other embodiments, the present invention also provides:
一种对集输联合站以及关键设备的安全可靠性评价系统,包括:A safety and reliability evaluation system for combined gathering and transportation stations and key equipment, including:
采集模块,被配置为:采集关键设备基础数据;The acquisition module is configured to: collect basic data of key equipment;
故障特征分析模块,被配置为:进行关键设备故障特征分析,根据分析结果构建关键设备的故障树;利用基础数据采集对关键设备的故障树进行可靠性定性定量分析,建立设备可靠性分析模型,通过可靠性分析模型获取可靠性参数,实现单体设备级可靠性分析;The fault characteristic analysis module is configured to: analyze the fault characteristics of key equipment, and build a fault tree of the key equipment according to the analysis results; use the basic data collection to carry out qualitative and quantitative analysis of the reliability of the fault tree of the key equipment, and establish an equipment reliability analysis model. Obtain reliability parameters through the reliability analysis model, and realize the reliability analysis of individual equipment;
全流程可靠性分析模块,被配置为:根据可靠性参数利用GO法运算进行联合站全流程可靠性分析,实现分层阶梯式可靠性分析。The whole-process reliability analysis module is configured to use the GO method to perform the whole-process reliability analysis of the joint station according to the reliability parameters, so as to realize the hierarchical and stepped reliability analysis.
进一步的,所述采集模块、故障特征分析模块和全流程可靠性分析模块,被配置的具体过程分别对应上述实施例中所述的对集输联合站以及关键设备的安全可靠性评价方法。Further, the specific processes configured by the acquisition module, the fault feature analysis module and the whole-process reliability analysis module respectively correspond to the safety and reliability evaluation methods for the gathering and transportation combined station and key equipment described in the above embodiments.
一种计算机可读存储介质,用于存储计算机指令,所述计算机指令被处理器执行时,完成如上述实施例中所述的对集输联合站以及关键设备的安全可靠性评价方法。A computer-readable storage medium is used to store computer instructions. When the computer instructions are executed by a processor, the method for evaluating the safety and reliability of a combined gathering and transportation station and key equipment as described in the above embodiments is completed.
一种电子设备,包括存储器和处理器以及存储在存储器上并在处理器上运行的计算机指令,所述计算机指令被处理器运行时,完成如上述实施例中所述的对集输联合站以及关键设备的安全可靠性评价方法。An electronic device, comprising a memory, a processor, and computer instructions stored on the memory and running on the processor, when the computer instructions are executed by the processor, the integration of the gathering and transportation station as described in the above-mentioned embodiments and Safety and reliability evaluation methods for key equipment.
上述虽然结合附图对本发明的具体实施方式进行了描述,但并非对本发明保护范围的限制,所属领域技术人员应该明白,在本发明的技术方案的基础上,本领域技术人员不需要付出创造性劳动即可做出的各种修改或变形仍在本发明的保护范围以内。Although the specific embodiments of the present invention have been described above in conjunction with the accompanying drawings, they do not limit the scope of protection of the present invention. Those skilled in the art should understand that on the basis of the technical solutions of the present invention, those skilled in the art do not need to pay creative efforts. Various modifications or deformations that can be made are still within the protection scope of the present invention.
| Application Number | Priority Date | Filing Date | Title |
|---|---|---|---|
| CN202010430786.6ACN111598467A (en) | 2020-05-20 | 2020-05-20 | A reliability evaluation method and system for gathering and transportation combined station and key equipment |
| PCT/CN2021/093914WO2021233231A1 (en) | 2020-05-20 | 2021-05-14 | Method and system for evaluating reliability of gathering and transportation combination station and key device |
| Application Number | Priority Date | Filing Date | Title |
|---|---|---|---|
| CN202010430786.6ACN111598467A (en) | 2020-05-20 | 2020-05-20 | A reliability evaluation method and system for gathering and transportation combined station and key equipment |
| Publication Number | Publication Date |
|---|---|
| CN111598467Atrue CN111598467A (en) | 2020-08-28 |
| Application Number | Title | Priority Date | Filing Date |
|---|---|---|---|
| CN202010430786.6APendingCN111598467A (en) | 2020-05-20 | 2020-05-20 | A reliability evaluation method and system for gathering and transportation combined station and key equipment |
| Country | Link |
|---|---|
| CN (1) | CN111598467A (en) |
| WO (1) | WO2021233231A1 (en) |
| Publication number | Priority date | Publication date | Assignee | Title |
|---|---|---|---|---|
| WO2021233231A1 (en)* | 2020-05-20 | 2021-11-25 | 中国石油大学(华东) | Method and system for evaluating reliability of gathering and transportation combination station and key device |
| Publication number | Priority date | Publication date | Assignee | Title |
|---|---|---|---|---|
| CN113887598A (en)* | 2021-09-24 | 2022-01-04 | 苏州热工研究院有限公司 | Key sensitive equipment elimination method for reducing equipment strength loss of nuclear power plant and electronic equipment |
| CN114417548B (en)* | 2021-11-29 | 2025-04-22 | 武汉船用机械有限责任公司 | Reliability determination method and device for electromechanical equipment and computer equipment |
| CN114897081A (en)* | 2022-05-19 | 2022-08-12 | 重庆大学 | Electromechanical product fault tree analysis method based on meta-motion |
| CN115146984B (en)* | 2022-07-15 | 2025-09-16 | 西安交通大学 | Method and system for identifying key equipment of thermal power plant |
| CN115331859B (en)* | 2022-08-17 | 2025-04-25 | 岭澳核电有限公司 | Equipment reliability management method, device and storage medium for nuclear power plant |
| CN117150827B (en)* | 2023-10-30 | 2024-02-06 | 中国核电工程有限公司 | Power supply system reliability analysis method and device, computer equipment and medium |
| CN117407993B (en)* | 2023-12-14 | 2024-02-27 | 中国石油大学(华东) | Reliability optimization method of ultra-deep water piling hammer system |
| CN118096116A (en)* | 2024-02-19 | 2024-05-28 | 北京凯隆分析仪器有限公司 | Environment-friendly monitoring equipment operation state analysis method and system |
| CN118965699A (en)* | 2024-07-15 | 2024-11-15 | 中国船舶集团有限公司第七一九研究所 | A mission reliability modeling method and system |
| CN118798059A (en)* | 2024-09-11 | 2024-10-18 | 四川圣诺油气工程技术服务有限公司 | A reliability analysis method for shale gas pressure operation |
| CN120106403B (en)* | 2025-05-09 | 2025-08-15 | 中国神华能源股份有限公司 | Production equipment system safety reliability analysis method based on energy effect |
| Publication number | Priority date | Publication date | Assignee | Title |
|---|---|---|---|---|
| US20090083576A1 (en)* | 2007-09-20 | 2009-03-26 | Olga Alexandrovna Vlassova | Fault tree map generation |
| CN102298978A (en)* | 2011-05-17 | 2011-12-28 | 哈尔滨工程大学 | MFM (multilevel flow model)-based indeterminate fault diagnosis method for nuclear power plant for ship |
| CN105244903A (en)* | 2015-11-05 | 2016-01-13 | 南方电网科学研究院有限责任公司 | Reliability evaluation method for back-to-back asynchronous networking hybrid direct current transmission system |
| CN108182307A (en)* | 2017-12-19 | 2018-06-19 | 中国北方车辆研究所 | A kind of determining method of special vehicle multifunction system average repair time |
| CN109559048A (en)* | 2018-12-02 | 2019-04-02 | 湖南大学 | A kind of system reliability estimation method of nuclear power equipment |
| CN110658308A (en)* | 2019-10-12 | 2020-01-07 | 重庆科技学院 | Method for evaluating safety and reliability of online flue gas monitoring system by considering common cause failure |
| Publication number | Priority date | Publication date | Assignee | Title |
|---|---|---|---|---|
| US7406431B2 (en)* | 2000-03-17 | 2008-07-29 | Siemens Aktiengesellschaft | Plant maintenance technology architecture |
| CN110174883B (en)* | 2019-05-28 | 2021-02-02 | 北京润科通用技术有限公司 | System health state assessment method and device |
| CN111598467A (en)* | 2020-05-20 | 2020-08-28 | 中国石油大学(华东) | A reliability evaluation method and system for gathering and transportation combined station and key equipment |
| Publication number | Priority date | Publication date | Assignee | Title |
|---|---|---|---|---|
| US20090083576A1 (en)* | 2007-09-20 | 2009-03-26 | Olga Alexandrovna Vlassova | Fault tree map generation |
| CN102298978A (en)* | 2011-05-17 | 2011-12-28 | 哈尔滨工程大学 | MFM (multilevel flow model)-based indeterminate fault diagnosis method for nuclear power plant for ship |
| CN105244903A (en)* | 2015-11-05 | 2016-01-13 | 南方电网科学研究院有限责任公司 | Reliability evaluation method for back-to-back asynchronous networking hybrid direct current transmission system |
| CN108182307A (en)* | 2017-12-19 | 2018-06-19 | 中国北方车辆研究所 | A kind of determining method of special vehicle multifunction system average repair time |
| CN109559048A (en)* | 2018-12-02 | 2019-04-02 | 湖南大学 | A kind of system reliability estimation method of nuclear power equipment |
| CN110658308A (en)* | 2019-10-12 | 2020-01-07 | 重庆科技学院 | Method for evaluating safety and reliability of online flue gas monitoring system by considering common cause failure |
| Title |
|---|
| 张智锐等: "不同过程层网络结构的保护系统可靠性分析", 《电力系统保护与控制》, no. 18* |
| 邱星慧: "地铁车辆牵引传动系统可靠性建模与寿命评估", 中国优秀硕士学位论文全文数据库工程科技Ⅱ辑, no. 1, pages 166 - 169* |
| 高清振等: "GO法在航空应急系统可靠性分析中的应用", 《机械设计》, no. 03, pages 1 - 3* |
| Publication number | Priority date | Publication date | Assignee | Title |
|---|---|---|---|---|
| WO2021233231A1 (en)* | 2020-05-20 | 2021-11-25 | 中国石油大学(华东) | Method and system for evaluating reliability of gathering and transportation combination station and key device |
| Publication number | Publication date |
|---|---|
| WO2021233231A1 (en) | 2021-11-25 |
| Publication | Publication Date | Title |
|---|---|---|
| CN111598467A (en) | A reliability evaluation method and system for gathering and transportation combined station and key equipment | |
| CN106844194B (en) | A kind of construction method of multi-level software fault diagnosis expert system | |
| CN112596495A (en) | Industrial equipment fault diagnosis method and system based on knowledge graph | |
| CN104392752B (en) | The nuclear reactor fault diagnosis of a kind of real-time online and monitoring system | |
| CN114841396A (en) | Method for predicting metamorphic trend and warning catastrophe risk in petrochemical production process | |
| CN101950382B (en) | Method for optimal maintenance decision-making of hydraulic equipment with risk control | |
| CN107729684B (en) | Multi-stage task system reliability hierarchical modeling method based on fault mechanism comprehensive damage accumulation rule | |
| CN101833324A (en) | Intelligent fault diagnosis system in tread extrusion process and diagnosis method thereof | |
| CN110515781A (en) | A complex system state monitoring and fault diagnosis method | |
| CN107862324B (en) | An intelligent early warning method for CBR prediction model based on MWSPCA | |
| CN111948489B (en) | Intelligent substation secondary equipment board card level abnormal defect diagnosis positioning method and system | |
| CN105759784A (en) | Fault diagnosis method based on data envelopment analysis | |
| CN116467674B (en) | A distribution network intelligent fault processing fusion update system and method | |
| CN108959498A (en) | A kind of big data processing platform and its design method for health monitoring | |
| CN113626267A (en) | Method for evaluating uncertainty fault diagnosis efficiency of complex electronic system | |
| CN118862059A (en) | A safety assessment system and method based on data hazard source identification | |
| CN110703183A (en) | Intelligent electric energy meter fault data analysis method and system | |
| CN114138741A (en) | Historical data analysis platform | |
| CN114779739B (en) | Fault monitoring method for industrial process under cloud edge end cooperation based on probability graph model | |
| CN103529337B (en) | The recognition methods of nonlinear correlation relation between equipment failure and electric quantity information | |
| CN113757223B (en) | Hydraulic component reliability analysis method and system, computer device and storage medium | |
| CN118626790A (en) | A method and system for mining power equipment fault data in a complex information environment | |
| CN107679132A (en) | Minimizing Cut Sets of Fault Trees extracting method based on local propagation figure | |
| CN111709139B (en) | Complex electronic equipment failure risk transfer relation analysis method based on model system | |
| CN115374606A (en) | A Fault Propagation Diagnosis Method for Complex Electromechanical Systems |
| Date | Code | Title | Description |
|---|---|---|---|
| PB01 | Publication | ||
| PB01 | Publication | ||
| SE01 | Entry into force of request for substantive examination | ||
| SE01 | Entry into force of request for substantive examination | ||
| RJ01 | Rejection of invention patent application after publication | ||
| RJ01 | Rejection of invention patent application after publication | Application publication date:20200828 |