Movatterモバイル変換


[0]ホーム

URL:


CN111595393A - Device and method for measuring flow in drainage pipeline - Google Patents

Device and method for measuring flow in drainage pipeline
Download PDF

Info

Publication number
CN111595393A
CN111595393ACN202010541391.3ACN202010541391ACN111595393ACN 111595393 ACN111595393 ACN 111595393ACN 202010541391 ACN202010541391 ACN 202010541391ACN 111595393 ACN111595393 ACN 111595393A
Authority
CN
China
Prior art keywords
pipeline
indicator
inspection well
measured
data
Prior art date
Legal status (The legal status is an assumption and is not a legal conclusion. Google has not performed a legal analysis and makes no representation as to the accuracy of the status listed.)
Pending
Application number
CN202010541391.3A
Other languages
Chinese (zh)
Inventor
宗兵年
陈瀚驰
马清萍
曹元乐
李红枫
Current Assignee (The listed assignees may be inaccurate. Google has not performed a legal analysis and makes no representation or warranty as to the accuracy of the list.)
Shanghai Tongrui Environmental Protection Engineering Co ltd
Original Assignee
Shanghai Tongrui Environmental Protection Engineering Co ltd
Priority date (The priority date is an assumption and is not a legal conclusion. Google has not performed a legal analysis and makes no representation as to the accuracy of the date listed.)
Filing date
Publication date
Application filed by Shanghai Tongrui Environmental Protection Engineering Co ltdfiledCriticalShanghai Tongrui Environmental Protection Engineering Co ltd
Priority to CN202010541391.3ApriorityCriticalpatent/CN111595393A/en
Publication of CN111595393ApublicationCriticalpatent/CN111595393A/en
Pendinglegal-statusCriticalCurrent

Links

Images

Classifications

Landscapes

Abstract

The invention discloses a device and a method for measuring flow in a drainage pipeline, and belongs to the technical field of pipeline flow detection. The method comprises the following steps: firstly, measuring the length L and the diameter D of a pipeline to be measured, and calculating the radius r of the pipeline; and then adding an indicator into the front end inspection well of the pipeline to be detected through an indicator adding device, monitoring indicator concentration data at the rear end inspection well of the pipeline to be detected and liquid level data h in the pipeline to be detected through an indicator detection system, recording time t required for detecting the increase of the indicator concentration from the addition of the indicator to the rear end inspection well, and calculating the water flow velocity in the pipeline to be detected and the flow area of the pipeline according to L, D, r, h and t so as to calculate the flow in the pipeline. The method is simple and convenient to operate, low in cost, free of influence of the shape of the pipeline and the fullness of the pipeline, and wide in application scene.

Description

Device and method for measuring flow in drainage pipeline
Technical Field
The invention relates to a device and a method for measuring flow in a drainage pipeline, and belongs to the technical field of pipeline flow detection.
Background
The conditions in urban drainage pipelines are complex and changeable, the filling degree in the pipelines is different in different water consumption periods, and the flow in the pipelines can be changed along with the influence of different blockage conditions.
At present, two common methods for detecting the flow of the drainage pipeline are provided, one is to detect the flow in the pipeline through an electric wave flow velocity meter, and the other is to detect the flow in the pipeline through an ultrasonic Doppler flow meter. The electric wave current meter is a non-contact flow detector, which is not suitable for full pipe flow detection; the ultrasonic Doppler flowmeter can be well suitable for various pipeline scenes, but the detection result is often influenced due to different installation heights, for example, the ultrasonic Doppler flowmeter is installed at an inspection well or the bottom of a pipeline and is influenced by bottom silt, and if the ultrasonic Doppler flowmeter is installed at the top, the situation that the flow cannot be detected by non-full pipe flow can occur.
Disclosure of Invention
The method is simple and convenient to operate and low in cost, and compared with a method for measuring the flow of a pipeline by adopting a flowmeter, the flow measuring method cannot be influenced by the shape of the pipeline and the fullness of the pipeline, and has wider application scenes.
In order to achieve the technical purpose, the technical scheme of the invention is as follows:
a device for measuring the flow in a drainage pipeline comprises an indicator detection system and an indicator feeding device, wherein the indicator feeding device is installed in a front-end inspection well of a pipeline to be measured and is used for feeding an indicator into the front-end inspection well; the indicator detection system is arranged in a rear-end inspection well of the pipeline to be measured and is used for monitoring the liquid level in the pipeline to be measured and the concentration of the indicator in the rear-end inspection well.
As a preferred scheme, the indicator detection system comprises an indicator data sensor, a liquid level sensor, a data transmission module, a cloud platform and a power supply system, wherein the indicator data sensor continuously acquires indicator concentration data of a rear-end inspection well to be measured and sends the indicator concentration data to the cloud platform through the data transmission module for storage and recording, the liquid level sensor continuously acquires liquid level data in a pipeline to be measured and sends the liquid level data to the cloud platform through the data transmission module for storage and recording, and the power supply system is used for providing electric energy.
The method for measuring the flow in the drainage pipeline by adopting the device comprises the following steps:
(1) measuring the length L and the diameter D of a pipeline to be detected, calculating the radius r of the pipeline to be detected to be D/2, installing an indicator adding device in an inspection well at the front end of the pipeline to be detected, and installing an indicator detecting system in an inspection well at the rear end of the pipeline to be detected;
(2) starting an indicator adding device, and adding the indicator into the inspection well at the front end of the pipeline to be measured by the indicator adding device;
(3) when the indicator data sensor detects that the concentration of the indicator at the rear-end inspection well is increased, recording the time t required by the increase of the concentration of the indicator detected from the addition of the indicator to the rear-end inspection well, and calculating the flow velocity of water in the pipeline to be measured according to a formula v, L/t;
(4) the liquid level sensor in the pipeline rear end inspection shaft that is arranged in awaiting measuring gathers the liquid level data h in the pipeline that awaits measuring in succession to send to the cloud platform through data transmission module and store the record, calculate the area A that flows of pipeline according to the following formula according to the fullness of pipeline:
when in use
Figure BDA0002538975150000021
When the temperature of the water is higher than the set temperature,
Figure BDA0002538975150000022
when in use
Figure BDA0002538975150000023
When the temperature of the water is higher than the set temperature,
Figure BDA0002538975150000024
when in use
Figure BDA0002538975150000025
When the temperature of the water is higher than the set temperature,
Figure BDA0002538975150000026
(5) and calculating the flow Q in the pipeline to be measured according to the formula Q-V.A.
From the above description, it can be seen that the present invention has the following advantages:
(1) the method is simple and convenient to operate and low in cost, compared with a method for measuring the flow of the pipeline by adopting a flowmeter, the method for measuring the flow cannot be influenced by the shape of the pipeline and the fullness of the pipeline, and has wider application scenes.
Drawings
FIG. 1 is a schematic diagram of the structure of the apparatus of the present invention;
FIG. 2 is a schematic diagram of the construction of an indicator detection system of the present invention;
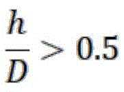
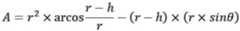
FIG. 3 is a schematic cross-sectional view of a pipe under test when the pipe fullness is less than 0.5;
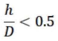
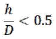
FIG. 4 is a schematic cross-sectional view of the pipe under test at a pipe fullness equal to 0.5;
FIG. 5 is a schematic cross-sectional view of a pipe under test at a pipe fullness greater than 0.5;
FIG. 6 is a schematic structural view of a pipe I to be tested in example 2;
FIG. 7 is a schematic cross-sectional view of a pipe I to be tested in example 2;
FIG. 8 is a schematic structural view of a pipe II to be tested in example 3;
FIG. 9 is a schematic sectional view of a pipe II to be tested in example 3;
reference numerals:
1. the system comprises a front-end inspection well 2, a rear-end inspection well 3, anindicator feeding device 4, anindicator data sensor 5, aliquid level sensor 6, adata transmission module 7, a cloud platform
Detailed Description
The features of the invention will be further elucidated by the following examples, without limiting the claims of the invention in any way.
Example 1
As shown in fig. 1 and fig. 2, a device for measuring the flow in a drainage pipeline comprises an indicator detection system and anindicator adding device 3, wherein theindicator adding device 3 is installed in a front-end inspection well 1 of a pipeline to be measured and is used for adding an indicator into the front-end inspection well 1; indicator detecting system installs in the pipeline rearend inspection shaft 2 of awaiting measuring, indicator detecting system includesindicator data sensor 4,level sensor 5,data transmission module 6,cloud platform 7, power supply system (not shown in the figure),indicator data sensor 4 gathers the indicator concentration data of the pipeline rear end inspection shaft department of awaiting measuring in succession and sends to cloud platform throughdata transmission module 6 and stores the record,level sensor 5 gathers the liquid level data in the pipeline of awaiting measuring in succession and sends to cloud platform throughdata transmission module 6 and stores the record, power supply system is used for providing the electric energy.
The method for measuring the flow in the drainage pipeline by adopting the device comprises the following steps:
(1) measuring the length L and the diameter D of a pipeline to be detected, calculating the radius r of the pipeline to be detected to be D/2, installing anindicator adding device 3 in a front-end inspection well 1 of the pipeline to be detected, and installing an indicator detection system in a rear-end inspection well 2 of the pipeline to be detected;
(2) starting anindicator adding device 3, and adding an indicator into the inspection well 1 at the front end of the pipeline to be measured by theindicator adding device 3, wherein the indicator can be an indicator which can cause the change of water quality indexes such as ammonia nitrogen, pH value and conductivity, and can also be an indicator which does not cause the change of the water quality indexes;
(3) the method comprises the steps that anindicator data sensor 4 located in a rear-end inspection well 2 of a pipeline to be measured continuously collects indicator concentration data of the rear-end inspection well 2 and sends the indicator concentration data to acloud platform 7 through adata transmission module 6 to store records, when theindicator data sensor 4 detects that the concentration of an indicator at the rear-end inspection well 2 is increased, the time t required by the increase of the concentration of the indicator from the addition of the indicator to the detection of the indicator at the rear-end inspection well 2 is recorded, and the flow speed of water flow in the pipeline to be measured is calculated according to a formula v which is L/t;
(4) theliquid level sensor 5 positioned in the inspection well 2 at the rear end of the pipeline to be detected continuously collects liquid level data h in the pipeline to be detected, sends the liquid level data h to thecloud platform 7 through thedata transmission module 6 to store records, and calculates the flow area A of the pipeline according to the following formula according to the fullness of the pipeline:
when h/D<At 0.5, A ═ r, as shown in FIG. 32θ -OB · AB, where OB is r-h, θ is arccos (OB/OA), and AB is r · sin θ, has:
when in use
Figure BDA0002538975150000041
When the temperature of the water is higher than the set temperature,
Figure BDA0002538975150000042
when h/D is 0.5, as shown in fig. 4,
Figure BDA0002538975150000043
when h/D>At 0.5, A ═ π r, as shown in FIG. 52-r2θ -OB · AB, where OB is D-h, θ is arccos (OB/OA), and AB is r · sin θ, has:
when in use
Figure BDA0002538975150000044
When the temperature of the water is higher than the set temperature,
Figure BDA0002538975150000045
(5) and calculating the flow Q in the pipeline to be measured according to the formula Q-V.A.
Example 2
The structure of the pipeline i to be tested is shown in fig. 6 and 7, wherein, the inspection well No. 2 is the front end inspection well 1, the inspection well No. 1 is the rearend inspection well 2, the flow rate in the pipeline i to be tested is measured by the same method as the embodiment 1, the pipeline length L and the pipeline diameter D of the pipeline i to be tested are measured to be 37m and 400mm, the pipeline radius r is calculated to be 200mm, the time t required by adding the indicator from the inspection well No. 2 to detecting the increase of the indicator concentration in the inspection well No. 1 is recorded to be 168s, and the liquid level data h in the pipeline is 50 mm.
Calculating the flow velocity v of the water flow in the pipeline I to be measured, wherein the flow velocity v is L/t, 37/168 is 0.22 m/s;
the pipeline fullness h/D is calculated to be 50/400-0.125 < 0.5, so that A-r2θ -OB · AB, where OB-r-h is 150, θ -arcos (OB/OA) is arcos (150/200) 41 ° -0.715, and AB is r · Sin θ is 200 · Sin41 ° -0.132 m, so a is θ · r · h is 150, and a is r ═ 41 ° -0.7152-OB·AB=0.715·0.22-0.15·0.132=0.0088m2
Therefore, the flow Q in the pipeline is 0.22.0.0088 to 0.0019m3/s=6.84m3/h。
Example 3
The structure of the pipeline ii to be tested is shown in fig. 8 and 9, wherein, the inspection well No. 3 is the front end inspection well 1, the inspection well No. 4 is the rear end inspection well 2, the flow rate in the pipeline i to be tested is measured by the same method as in example 1, the pipeline length L and the pipeline diameter D of the pipeline i to be tested are measured to be 60m and 500mm, the pipeline radius r is calculated to be 250mm, the time t required by adding the indicator from the inspection well No. 3 to detecting the increase of the indicator concentration at the inspection well No. 4 is recorded to be 420s, and the liquid level data h in the pipeline is 250 mm.
Calculating the flow velocity v of the water flow in the pipeline II to be measured, wherein the flow velocity v is L/t, 60/420 is 0.143 m/s;
the pipeline fullness h/D is calculated as 0.5-250/500, so
Figure BDA0002538975150000051
Therefore, the flow rate Q in the pipe is 0.143.0.098 to 0.014m3/h=50.5m3/h。
It should be understood that the detailed description of the invention is merely illustrative of the invention and is not intended to limit the invention to the specific embodiments described. It will be appreciated by those skilled in the art that the present invention may be modified or substituted equally as well to achieve the same technical result; as long as the use requirements are met, the method is within the protection scope of the invention.

Claims (3)

1. The device for measuring the flow in the drainage pipeline is characterized by comprising an indicator detection system and an indicator adding device, wherein the indicator adding device is arranged in a front-end inspection well of the pipeline to be measured and is used for adding an indicator into the front-end inspection well; the indicator detection system is arranged in a rear-end inspection well of the pipeline to be measured and is used for monitoring the liquid level in the pipeline to be measured and the concentration of the indicator in the rear-end inspection well.
2. The device of claim 1, wherein the indicator detection system comprises an indicator data sensor, a liquid level sensor, a data transmission module, a cloud platform and a power supply system, the indicator data sensor continuously collects indicator concentration data of the rear inspection well to be measured and sends the indicator concentration data to the cloud platform through the data transmission module for storage and recording, the liquid level sensor continuously collects liquid level data in the pipeline to be measured and sends the indicator concentration data to the cloud platform through the data transmission module for storage and recording, and the power supply system is used for providing electric energy.
3. A method of measuring flow in a drain pipeline using the apparatus of claim 2, comprising the steps of:
(1) measuring the length L and the diameter D of a pipeline to be detected, calculating the radius r of the pipeline to be detected to be D/2, installing an indicator adding device in an inspection well at the front end of the pipeline to be detected, and installing an indicator detecting system in an inspection well at the rear end of the pipeline to be detected;
(2) starting an indicator adding device, and adding the indicator into the inspection well at the front end of the pipeline to be measured by the indicator adding device;
(3) when the indicator data sensor detects that the concentration of the indicator at the rear-end inspection well is increased, recording the time t required by the increase of the concentration of the indicator detected from the addition of the indicator to the rear-end inspection well, and calculating the flow velocity of water in the pipeline to be measured according to a formula v, L/t;
(4) the liquid level sensor in the pipeline rear end inspection shaft that is arranged in awaiting measuring gathers the liquid level data h in the pipeline that awaits measuring in succession to send to the cloud platform through data transmission module and store the record, calculate the area A that flows of pipeline according to the following formula according to the fullness of pipeline:
when in use
Figure FDA0002538975140000011
When the temperature of the water is higher than the set temperature,
Figure FDA0002538975140000012
when in use
Figure FDA0002538975140000013
When the temperature of the water is higher than the set temperature,
Figure FDA0002538975140000014
when in use
Figure FDA0002538975140000015
When the temperature of the water is higher than the set temperature,
Figure FDA0002538975140000016
(5) and calculating the flow Q in the pipeline to be measured according to the formula Q-V.A.
CN202010541391.3A2020-06-152020-06-15Device and method for measuring flow in drainage pipelinePendingCN111595393A (en)

Priority Applications (1)

Application NumberPriority DateFiling DateTitle
CN202010541391.3ACN111595393A (en)2020-06-152020-06-15Device and method for measuring flow in drainage pipeline

Applications Claiming Priority (1)

Application NumberPriority DateFiling DateTitle
CN202010541391.3ACN111595393A (en)2020-06-152020-06-15Device and method for measuring flow in drainage pipeline

Publications (1)

Publication NumberPublication Date
CN111595393Atrue CN111595393A (en)2020-08-28

Family

ID=72188477

Family Applications (1)

Application NumberTitlePriority DateFiling Date
CN202010541391.3APendingCN111595393A (en)2020-06-152020-06-15Device and method for measuring flow in drainage pipeline

Country Status (1)

CountryLink
CN (1)CN111595393A (en)

Cited By (3)

* Cited by examiner, † Cited by third party
Publication numberPriority datePublication dateAssigneeTitle
CN113125308A (en)*2021-03-182021-07-16同济大学Test system for inducing osmotic corrosion phenomenon by suction barrel penetration and upward pulling
CN115144042A (en)*2022-09-052022-10-04中国水利水电科学研究院 How to measure the flow of a partially full pipeline
CN115628781A (en)*2022-11-112023-01-20中冶南方城市建设工程技术有限公司 A device and method for monitoring the flow rate of a rigid non-pressure drainage pipeline

Citations (5)

* Cited by examiner, † Cited by third party
Publication numberPriority datePublication dateAssigneeTitle
US20020043113A1 (en)*2000-01-312002-04-18Radi Medical Systems AbTriggered flow measurement
CN201476849U (en)*2009-08-132010-05-19中国计量学院Device for calibrating flowmeter of large-caliber coal gas delivery pipeline by using tracing method
CN105067058A (en)*2015-08-192015-11-18上海航征测控系统有限公司Non-contact measuring system and method for drainage pipeline fluid flow
CN108267186A (en)*2018-01-222018-07-10南京航空航天大学A kind of method that pipeline flow is measured using positron annihilation technology
CN109297551A (en)*2018-11-262019-02-01浙江清环智慧科技有限公司A kind of measurement method and system of pipe network flow

Patent Citations (5)

* Cited by examiner, † Cited by third party
Publication numberPriority datePublication dateAssigneeTitle
US20020043113A1 (en)*2000-01-312002-04-18Radi Medical Systems AbTriggered flow measurement
CN201476849U (en)*2009-08-132010-05-19中国计量学院Device for calibrating flowmeter of large-caliber coal gas delivery pipeline by using tracing method
CN105067058A (en)*2015-08-192015-11-18上海航征测控系统有限公司Non-contact measuring system and method for drainage pipeline fluid flow
CN108267186A (en)*2018-01-222018-07-10南京航空航天大学A kind of method that pipeline flow is measured using positron annihilation technology
CN109297551A (en)*2018-11-262019-02-01浙江清环智慧科技有限公司A kind of measurement method and system of pipe network flow

Non-Patent Citations (1)

* Cited by examiner, † Cited by third party
Title
李继珊 等: "示踪物运送时间法测流的原理及应用", 《农田水利与小水电》*

Cited By (5)

* Cited by examiner, † Cited by third party
Publication numberPriority datePublication dateAssigneeTitle
CN113125308A (en)*2021-03-182021-07-16同济大学Test system for inducing osmotic corrosion phenomenon by suction barrel penetration and upward pulling
CN113125308B (en)*2021-03-182022-08-09同济大学Test system for inducing osmotic corrosion phenomenon by suction barrel penetration and upward pulling
CN115144042A (en)*2022-09-052022-10-04中国水利水电科学研究院 How to measure the flow of a partially full pipeline
CN115144042B (en)*2022-09-052022-11-25中国水利水电科学研究院Method for measuring flow of non-full pipeline
CN115628781A (en)*2022-11-112023-01-20中冶南方城市建设工程技术有限公司 A device and method for monitoring the flow rate of a rigid non-pressure drainage pipeline

Similar Documents

PublicationPublication DateTitle
CN111595393A (en)Device and method for measuring flow in drainage pipeline
CN201373243Y (en) Oil and gas pipeline leakage intelligent inspection machine
US6772637B2 (en)Method for in-tube flaw detection
CN103629534B (en)Oil pipeline leakage detection and positioning method based on comprehensive signals
CN202041237U (en)Non-full tube measurement flow meter
CN103471784B (en)The defining method of the quantitative small opening size of the non-contact ultrasonic that spacecraft leaks in-orbit
CN205642483U (en)Device at municipal drainage pipe way installation flowmeter
CN107764247B (en)Sediment monitor and sediment monitoring system
RU2013115911A (en) METHOD FOR DETECTING DETERMINATION IN THE CORIOLIS FLOW METER AND CORIOLIS FLOW METER
CN108506740B (en)Method and system for determining leakage area of liquid pipeline based on flow velocity meter
CN109063849A (en)A kind of real-time tracking of in-pipeline detector and classification positioning system and method
CN104019805B (en)High-sand-content turbid water density current detection method
CN102879300A (en)Method for detecting fluidity of slag in coal gasifier
CN102954998A (en)Non-contact detection method for abnormal wall thickness change of steel pipeline
US8342006B2 (en)Method and device for detecting and/or quantifying water leaks
CN103017834A (en) A Method for Accurately Measuring the Discharge Flow by Utilizing the Opening Degree of the Discharge Arc Gate of Hydropower Station
CN208206239U (en)A kind of ultrasonic water level measuring arrangement
CN204455294U (en)Device for evaluating external damage and cathodic protection effect of pipeline
CN111207796A (en)Drainage pipeline and open channel flow measuring device
CN115234847B (en) Methods for locating leaks in water supply networks
CN208383199U (en)A kind of bigbore flowmeter
CN116858399A (en) A sensitivity testing device and method for optical fiber distributed temperature measurement in drainage pipelines
CN207528302U (en)It is a kind of to carry out level monitoring device using ultrasonic sensor
CN102478496B (en)The method of accurate measurement polarization resistance of corrosion system and dedicated tester
CN109141554A (en)A kind of area velocity flowmeter for surveying partly-filled pipe-flow using supersonic Doppler method

Legal Events

DateCodeTitleDescription
PB01Publication
PB01Publication
SE01Entry into force of request for substantive examination
SE01Entry into force of request for substantive examination

[8]ページ先頭

©2009-2025 Movatter.jp