Movatterモバイル変換


[0]ホーム

URL:


CN111583635A - Big data analysis method based on smart city - Google Patents

Big data analysis method based on smart city
Download PDF

Info

Publication number
CN111583635A
CN111583635ACN202010350636.4ACN202010350636ACN111583635ACN 111583635 ACN111583635 ACN 111583635ACN 202010350636 ACN202010350636 ACN 202010350636ACN 111583635 ACN111583635 ACN 111583635A
Authority
CN
China
Prior art keywords
data
module
time
unit
control module
Prior art date
Legal status (The legal status is an assumption and is not a legal conclusion. Google has not performed a legal analysis and makes no representation as to the accuracy of the status listed.)
Withdrawn
Application number
CN202010350636.4A
Other languages
Chinese (zh)
Inventor
张斌
Current Assignee (The listed assignees may be inaccurate. Google has not performed a legal analysis and makes no representation or warranty as to the accuracy of the list.)
Individual
Original Assignee
Individual
Priority date (The priority date is an assumption and is not a legal conclusion. Google has not performed a legal analysis and makes no representation as to the accuracy of the date listed.)
Filing date
Publication date
Application filed by IndividualfiledCriticalIndividual
Priority to CN202010350636.4ApriorityCriticalpatent/CN111583635A/en
Publication of CN111583635ApublicationCriticalpatent/CN111583635A/en
Withdrawnlegal-statusCriticalCurrent

Links

Images

Classifications

Landscapes

Abstract

The invention discloses a big data analysis method based on a smart city, which comprises a data acquisition module, a control module, an instruction execution module, a remote communication module and a data storage module, wherein the data acquisition module is connected with the control module through the remote communication module, and the control module is respectively connected with the instruction execution module and the data storage module through the remote communication module. The road congestion condition can be effectively improved, and the construction of a smart city is facilitated.

Description

Big data analysis method based on smart city
Technical Field
The invention relates to the technical field of big data, in particular to a big data analysis method based on a smart city.
Background
The smart city originates from the media field, and means that various information technologies or innovative concepts are utilized to communicate and integrate the system and service of the city, so as to improve the efficiency of resource application, optimize city management and service, and improve the quality of life of citizens.
Big data is a data set which cannot be captured, managed and processed by a conventional software tool within a certain time range, and is a massive, high-growth-rate and diversified information asset which can have stronger decision-making power, insight discovery power and flow optimization capability only by a new processing mode.
In the existing society, the development of smart cities has the following problems:
1. the travel is inconvenient due to urban traffic congestion, the urban congestion is mostly in rush hours and holidays on duty, the travel on holidays becomes a normal state along with the improvement of living standard, the existing traffic travel system can only predict the current road congestion situation at that time, and cannot predict the future road congestion situation, so that a user cannot confirm the travel of the user;
2. in the existing road traffic state, when fire-fighting vehicles, ambulance vehicles and police vehicles are on police or are rescued, the congestion of the road wastes much time, great troubles are brought to the rescue, and precious time is wasted;
3. a traveler cannot know whether a parking space is available at a destination or not, and usually needs to spend a lot of time waiting or searching for the parking space after the traveler goes to the destination;
therefore, a big data analysis system and a big data analysis method based on a smart city are urgently needed to solve the problems.
Disclosure of Invention
The invention aims to provide a big data analysis system and a big data analysis method based on a smart city, and aims to solve the problems in the prior art.
In order to achieve the purpose, the invention provides the following technical scheme: a big data analysis system based on a smart city comprises a data acquisition module, a control module, an instruction execution module, a remote communication module and a data storage module;
the data acquisition module is connected with the control module through a remote communication module, and the control module is respectively connected with the instruction execution module and the data storage module through the remote communication module;
the big data analysis system also comprises a client;
the client is connected with the data acquisition module and the control module through the remote communication module;
the client is a mobile device, for example: mobile phones, ipads, computers, etc.;
the client is used for displaying the calculation data of the whole system and controlling the whole system.
According to the technical scheme, the data acquisition module comprises a radar sensor, a rainfall sensor and a data uploading unit;
the radar sensor, the rainfall sensor and the data uploading unit are all connected with the control module through the remote communication module;
the radar sensor is installed at a traffic intersection and used for detecting traffic flow of roads in different time periods and analyzing the traffic flow as big data for development of a smart city, the rainfall sensor is also installed at the traffic intersection and used for detecting real-time rainfall of the roads and used as factors and variables influencing traffic flow of the traffic intersection, and the data uploading unit is used for connecting intelligent network equipment of the city and uploading relevant information based on construction of the smart city, for example: fire alarm information, accident site information, garage parking space allowance information and the like.
According to the technical scheme, the control module comprises a programmable controller, a data processing unit and a time recording unit;
the programmable controller is respectively connected with the data processing unit and the time recording unit, and is respectively connected with the instruction execution module and the data storage module through the remote communication module;
the programmable controller is used for programming control over the whole system and achieving intelligent control over the system, the programmable controller is further used for being connected with a third-party database and planning an optimal travel route for a travel vehicle, the data processing unit is used for processing and calculating a large amount of data collected by the data collecting module and processing and calculating a large amount of data stored in the data storage module, the time recording unit is used for recording time at any time and used as a basis for processing and calculating various items of the data processing unit, and the time recorded by the time recording unit is recorded as T.
According to the technical scheme, the remote communication module comprises a ZigBee communication unit, a wireless communication network and a GPS positioning unit;
the ZigBee communication unit is used for wireless communication between the data acquisition module and the control module and between the control module and the instruction execution module and the data storage module, the wireless communication network is used for wireless communication between the control module and the client and between the client and the data acquisition module, and the GPS positioning unit is installed on a fire truck, an ambulance and a police car and used for positioning the real-time positions of the fire truck, the ambulance and the police car.
According to the technical scheme, the instruction execution module comprises a voice broadcasting unit, a public address loudspeaker and a traffic light controller;
the voice broadcasting unit is connected with the programmable controller, the voice broadcasting unit is connected with the loudspeaker, and the traffic light controller is connected with the programmable controller;
the voice broadcast unit is installed on the road both sides for voice broadcast reminds the vehicle on the road to notice and dodge a fast path of department for fire vehicle, ambulance and alert with the vehicle, for example: the public address speaker is used for amplifying voice of the voice broadcasting unit, so that vehicles running on the road can be reminded of avoiding with larger sound, the traffic light controller is used for controlling the traffic light when the emergency vehicles arrive at the intersection, so that the emergency vehicles can pass through the intersection quickly and safely, the probability of traffic accidents is reduced, and after the emergency vehicles drive away from the intersection, the traffic light controller controls the traffic light to recover to be normal.
According to the technical scheme, the data storage module comprises a data storage unit, a storage database and a data retrieval unit;
the data storage unit is connected with the programmable controller, the output end of the data storage unit is connected with the input end of the storage database, the output end of the storage database is connected with the input end of the data calling unit, and the output end of the data calling unit is connected with the input end of the programmable controller;
the data storage unit is arranged in entering the storage database with the data storage after the data acquisition module is acquired and processed through the control module, is convenient for later retrieval and use, the storage database is used for storing and saving the data acquired by the data acquisition module and processed through the control module, and the data retrieval unit is used for retrieving and applying the data in the storage database, so that the big data stored in the storage database can be utilized to analyze and process the construction of the smart city.
A big data analysis method based on a smart city comprises the following steps:
s1, collecting and uploading relevant data by using a data collection module;
s2, calculating and processing the acquired and uploaded data by using a control module;
s3, transmitting the calculation and processing results to the client for display by using the remote communication module;
s4, calculating and planning an optimal emergency vehicle driving route by using the data processing unit;
s5, the control module transmits the calculation and planning results to the instruction execution module by using the ZigBee communication unit;
and S6, the control module transmits all data to the data storage module for storage through the ZigBee communication unit.
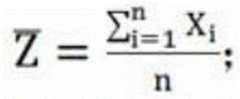
According to the above technical solution, in the steps S1-S6, the data acquisition module utilizes a radar sensor to detect the traffic flow at the intersection in real time, the real-time traffic flow at the intersection detected by the radar sensor is X, the rainfall sensor detects the rainfall at the intersection in real time, the real-time rainfall at the intersection detected by the rainfall sensor is Y, the data upload module uploads the parking space allowance Z of each garage in real time, the client uploads the time and place of the customer trip, and the data upload module is further configured to upload the trip information of the customer and the information of the emergency vehicle, for example: after the data acquisition module acquires relevant information, the control module calculates and processes data acquired by the data acquisition module by using an algorithm, and transmits a calculation and processing result to a client for display through a remote communication module so as to be known by a client;
the control module is connected with a third-party database and calculates and plans an optimal driving route according to the information of the help-seeking emergency vehicle uploaded by the data uploading unit, the control module transmits the information to the instruction execution module through the remote communication module according to the optimal driving route, the instruction execution module operates according to the information transmitted by the control module, and the control module recycles the remote communication module to store all data into the storage database by the data storage unit, so that the later-stage calling and using are facilitated.
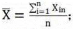
According to the technical scheme, the travel time input by the client is t, the distance between the departure place and the destination of the client is L, and the data retrieval module retrieves the corresponding route and each intersection traffic flow set Q at the time point t past every day from the storage database according to the travel route planned by the control module1={X1,X2,X3,…,Xn}、Q2={X11,X22,X23,…,X2n}、…、Qn={Xn1、Xn2、Xn3、…、XnnGet the set Qi ═ X with the maximum traffic flow from iti1、Xi2、Xi3、…、XinCalculating according to the formula:
Figure BDA0002471697570000041
wherein
Figure BDA0002471697570000042
Average traffic flow at the time point of the set;
when in use
Figure BDA0002471697570000043
When the time is longer than the preset time, indicating that the road traffic is relatively congested at the time point t, and not suggesting a trip;
when in use
Figure BDA0002471697570000044
When the time is longer than the preset time, the road traffic condition at the time point t is good, the trip is recommended, and the time average time spent on the route at the time point is called from the storage database by using the data calling unit
Figure BDA0002471697570000045
The data retrieval unit retrieves from the storage database the data of the data to be retrieved every year or every month or every week
Figure BDA0002471697570000046
The garage parking space allowance information of time forms a set P ═ Z1,Z2,Z3,…,Zn}
At this time, according to the formula:
Figure BDA0002471697570000047
wherein
Figure BDA0002471697570000048
Indicating in customer travel
Figure BDA0002471697570000049
At the time point, the destination corresponds to the parking space allowance of the garage;
when in use
Figure BDA00024716975700000410
When the parking space allowance of the destination garage is insufficient, the trip is not suggested;
when in use
Figure BDA00024716975700000411
And (5) indicating that the parking space allowance of the destination garage is sufficient, and suggesting a trip.
According to the technical scheme, the data uploading unit uploads help seeking information of emergency vehicles, the control module plans an optimal driving route according to the information and third-party data, the control module transmits signals to the instruction execution module on the driving route through the ZigBee communication unit, the voice broadcasting unit and the loudspeaker are used for voice broadcasting, and the GPS positioning unit positions the emergency vehicles;
when the distance S between the emergency vehicle and the intersection is less than or equal to C, the traffic light controller controls all the traffic indicator lights of the intersection to light red lights;
when the distance S between the emergency vehicle and the intersection is larger than C, the traffic light controller controls the intersection traffic indicating light to return to normal work;
the emergency vehicle can quickly achieve the rescue phenomenon to carry out related work.
Compared with the prior art, the invention has the beneficial effects that:
1. according to the setting of the user on the travel time point, the data calling unit calls data from the storage database and calculates by using a formula, the congestion condition of the road at the set time point can be accurately predicted, corresponding suggestions are given, the method is helpful for the user to select whether to travel at the time point on the same day according to the congestion condition of the road, the travel can be effectively prevented from encountering traffic congestion, the congestion condition of the road can be effectively improved, the user can select to shunt the travel according to the self-help condition, and the method is favorable for the construction of a smart city.
2. The data uploading unit is used for uploading the parking space allowance of the garage in real time, the parking space allowance of the destination garage is confirmed in real time according to the destination set by the user, the parking space allowance of the garage is confirmed according to the arrival time of the user stroke, the user can know whether the parking space can be supplied for parking, the problem that the user does not have the parking space to cause time waste when arriving at the destination can be effectively avoided, the time spent by the user for searching the parking space and waiting for the parking space is reduced, and the trip experience of the user can be effectively improved.
3. Be provided with GPS positioning unit and instruction execution module, utilize the position of GPS positioning unit to the emergent vehicle to fix a position, can help emergent vehicle when being close to the crossing, traffic lights controller control traffic light bright red light, help the timely quick crossing of emergent vehicle, and simultaneously, the voice broadcast unit and the public address speaker that utilize instruction execution module, can be effectual the vehicle that goes on the warning road in time dodge out a green passageway, supply with emergent vehicle and use, can effectually shorten the time that emergent vehicle goes to the rescue place and spend, can win valuable time for the rescue.
Drawings
FIG. 1 is a schematic diagram of a big data analysis system module composition based on a smart city according to the present invention;
FIG. 2 is a schematic diagram of a smart city-based big data analysis system module connection structure according to the present invention;
FIG. 3 is a schematic diagram illustrating steps of a big data analysis method based on a smart city according to the present invention;
FIG. 4 is a schematic view illustrating a road congestion analysis process based on a big data analysis method for smart cities according to the present invention;
fig. 5 is a schematic flow chart of emergency vehicle avoidance by a big data analysis method based on a smart city.
Detailed Description
The technical solutions in the embodiments of the present invention will be clearly and completely described below with reference to the drawings in the embodiments of the present invention, and it is obvious that the described embodiments are only a part of the embodiments of the present invention, and not all of the embodiments. All other embodiments, which can be derived by a person skilled in the art from the embodiments given herein without making any creative effort, shall fall within the protection scope of the present invention.
As shown in fig. 1-2, a big data analysis system based on a smart city comprises a data acquisition module, a control module, an instruction execution module, a remote communication module and a data storage module;
the data acquisition module is connected with the control module through a remote communication module, and the control module is respectively connected with the instruction execution module and the data storage module through the remote communication module;
the big data analysis system also comprises a client, which realizes the understanding and control of the client to the whole system;
the client is connected with the data acquisition module and the control module through the remote communication module;
the client is a mobile device, for example: mobile phones, ipads, computers, etc.;
the client is used for displaying the calculation data of the whole system and controlling the whole system.
The data acquisition module comprises a radar sensor, a rainfall sensor and a data uploading unit;
the radar sensor, the rainfall sensor and the data uploading unit are all connected with the control module through the remote communication module;
the radar sensor is installed at a traffic intersection and used for detecting traffic flow of roads in different time periods and analyzing the traffic flow as big data for development of a smart city, the rainfall sensor is also installed at the traffic intersection and used for detecting real-time rainfall of the roads and used as factors and variables influencing traffic flow of the traffic intersection, and the data uploading unit is used for connecting intelligent network equipment of the city and uploading relevant information based on construction of the smart city, for example: fire alarm information, accident site information, garage parking space allowance information and the like.
The control module comprises a programmable controller, a data processing unit and a time recording unit;
the programmable controller is respectively connected with the data processing unit and the time recording unit, and is respectively connected with the instruction execution module and the data storage module through the remote communication module;
the programmable controller is used for programming control over the whole system and achieving intelligent control over the system, the programmable controller is further used for being connected with a third-party database and planning an optimal travel route for a travel vehicle, the data processing unit is used for processing and calculating a large amount of data collected by the data collecting module and processing and calculating a large amount of data stored in the data storage module, the time recording unit is used for recording time at any time and used as a basis for processing and calculating various items of the data processing unit, and the time recorded by the time recording unit is recorded as T.
The remote communication module comprises a ZigBee communication unit, a wireless communication network and a GPS positioning unit;
the ZigBee communication unit is used for wireless communication between the data acquisition module and the control module and between the control module and the instruction execution module and the data storage module, the wireless communication network is used for wireless communication between the control module and the client and between the client and the data acquisition module, and the GPS positioning unit is installed on a fire truck, an ambulance and a police car and used for positioning the real-time positions of the fire truck, the ambulance and the police car.
The instruction execution module comprises a voice broadcasting unit, a public address loudspeaker and a traffic light controller;
the voice broadcasting unit is connected with the programmable controller, the voice broadcasting unit is connected with the loudspeaker, and the traffic light controller is connected with the programmable controller;
the voice broadcast unit is installed on the road both sides for voice broadcast reminds the vehicle on the road to notice and dodge a fast path of department for fire vehicle, ambulance and alert with the vehicle, for example: the public address speaker is used for amplifying voice of the voice broadcasting unit, so that vehicles running on the road can be reminded of avoiding with larger sound, the traffic light controller is used for controlling the traffic light when the emergency vehicles arrive at the intersection, so that the emergency vehicles can pass through the intersection quickly and safely, the probability of traffic accidents is reduced, and after the emergency vehicles drive away from the intersection, the traffic light controller controls the traffic light to recover to be normal.
The data storage module comprises a data storage unit, a storage database and a data retrieval unit;
the data storage unit is connected with the programmable controller, the output end of the data storage unit is connected with the input end of the storage database, the output end of the storage database is connected with the input end of the data calling unit, and the output end of the data calling unit is connected with the input end of the programmable controller;
the data storage unit is arranged in entering the storage database with the data storage after the data acquisition module is acquired and processed through the control module, is convenient for later retrieval and use, the storage database is used for storing and saving the data acquired by the data acquisition module and processed through the control module, and the data retrieval unit is used for retrieving and applying the data in the storage database, so that the big data stored in the storage database can be utilized to analyze and process the construction of the smart city.
As shown in fig. 3 to 5, a big data analysis method based on a smart city includes the following steps:
s1, collecting and uploading relevant data by using a data collection module;
s2, calculating and processing the acquired and uploaded data by using a control module;
s3, transmitting the calculation and processing results to the client for display by using the remote communication module;
s4, calculating and planning an optimal emergency vehicle driving route by using the data processing unit;
s5, the control module transmits the calculation and planning results to the instruction execution module by using the ZigBee communication unit;
and S6, the control module transmits all data to the data storage module for storage through the ZigBee communication unit.
In the steps S1-S6, the data acquisition module detects the traffic flow at the intersection in real time by using the radar sensor, the real-time traffic flow at the intersection detected by the radar sensor is X, the rainfall sensor detects the rainfall at the intersection in real time, the real-time rainfall at the intersection detected by the rainfall sensor is Y, the data upload module uploads the parking space allowance Z of each garage in real time, the client uploads the time and place of the trip of the client, and the data upload module is further used for uploading the trip information of the user and the information of the help-seeking emergency vehicle, for example: after the data acquisition module acquires relevant information, the control module calculates and processes data acquired by the data acquisition module by using an algorithm, and transmits a calculation and processing result to a client for display through a remote communication module so as to be known by a client;
the control module is connected with a third-party database and calculates and plans an optimal driving route according to the information of the help-seeking emergency vehicle uploaded by the data uploading unit, the control module transmits the information to the instruction execution module through the remote communication module according to the optimal driving route, the instruction execution module operates according to the information transmitted by the control module, and the control module recycles the remote communication module to store all data into the storage database by the data storage unit, so that the later-stage calling and using are facilitated.
The client uses the travel time input by the client as t, the distance between the departure place and the destination of the client is L, and the data retrieval module retrieves the corresponding route and each intersection traffic flow set Q corresponding to the time point t per day from the storage database according to the travel route planned by the control module1={X1,X2,X3,…,Xn}、Q2={X11,X22,X23,…,X2n}、…、Qn={Xn1、Xn2、Xn3、…、XnnGet the set Qi ═ X with the maximum traffic flow from iti1、Xi2、Xi3、…、XinCalculating, wherein the set with the maximum traffic flow represents the most congested intersection, and according to a formula:
Figure BDA0002471697570000081
wherein
Figure BDA0002471697570000082
Average traffic flow at the time point of the set;
when in use
Figure BDA0002471697570000083
When the time is longer than the preset time, indicating that the road traffic is relatively congested at the time point t, and not suggesting a trip;
when in use
Figure BDA0002471697570000084
When the time is longer than the preset time, the road traffic condition at the time point t is good, the trip is recommended, and the time average time spent on the route at the time point is called from the storage database by using the data calling unit
Figure BDA0002471697570000085
The data retrieval unit retrieves from the storage database the data of the data to be retrieved every year or every month or every week
Figure BDA0002471697570000086
The garage parking space allowance information of time forms a set P ═ Z1,Z2,Z3,…,Zn}
At this time, according to the formula:
Figure BDA0002471697570000087
wherein
Figure BDA0002471697570000088
Indicating in customer travel
Figure BDA0002471697570000089
At the time point, the destination corresponds to the parking space allowance of the garage;
when in use
Figure BDA00024716975700000810
When the parking space allowance of the destination garage is insufficient, the trip is not suggested;
when in use
Figure BDA0002471697570000091
And (5) indicating that the parking space allowance of the destination garage is sufficient, and suggesting a trip.
The data uploading unit uploads help seeking information of emergency vehicles, the control module plans an optimal driving route according to the information and third-party data, the control module transmits signals to the instruction execution module on the driving route through the ZigBee communication unit, the voice broadcasting unit and the loudspeaker carry out voice broadcasting, and the GPS positioning unit positions the positions of the emergency vehicles;
when the distance S between the emergency vehicle and the intersection is less than or equal to C, the traffic light controller controls all the traffic indicator lights of the intersection to light red lights; when the distance S between the emergency vehicle and the intersection is larger than C, the traffic light controller controls the intersection traffic indicating light to return to normal work;
the emergency vehicle can quickly achieve the rescue phenomenon to carry out related work.
The first embodiment is as follows:
the client utilizes the travel time t input by the client to be nine am of 10 months and 10 months in 2019, the distance between the departure place and the destination of the client is 20km, and the data calling module calls the corresponding route from the storage database according to the travel route planned by the control module and each intersection traffic flow set Q with the corresponding time t of each day being nine am1={X1,X2,X3,…,Xn}、Q2={X11,X22,X23,…,X2n}、…、Qn={Xn1、Xn2、Xn3、…、XnnAnd taking out a set Qi with the maximum traffic flow from the set Qi, namely {120, 135, 128, 116 and 105} to calculate, according to the formula:
Figure BDA0002471697570000092
wherein
Figure BDA0002471697570000093
Average traffic flow at the time point of the set;
Figure BDA0002471697570000094
when the time is longer than the preset time, indicating that the road traffic is relatively congested at the time point t, and not suggesting a trip;
setting the C to be 100m, connecting the GPS positioning unit with a third party map database, and displaying through a client; c is equal to or less than 100m, and the traffic light controller controls all traffic indicator lights at the intersection to light red lights;
the distance S between the emergency vehicle and the intersection is larger than C and 100m, and the traffic light controller controls the intersection traffic indicating light to return to normal work;
the emergency vehicle can quickly achieve the rescue phenomenon to carry out related work.
Example two:
the client utilizes the travel time t input by the client to be nine am of 10 months and 10 months in 2019, the distance between the departure place and the destination of the client is 20km, and the data calling module calls the corresponding route from the storage database according to the travel route planned by the control module and each intersection traffic flow set Q with the corresponding time t of each day being nine am1={X1,X2,X3,…,Xn}、Q2={X11,X22,X23,…,X2n}、…、Qn={Xn1、Xn2、Xn3、…、XnnAnd taking out a set Qi with the maximum traffic flow from the set Qi, namely {96, 105, 111, 85 and 88} to calculate, according to the formula:
Figure BDA0002471697570000101
wherein
Figure BDA0002471697570000102
Average traffic flow at the time point of the set;
Figure BDA0002471697570000103
indicating that the road traffic condition is good at the time point t, recommending the trip, and utilizing the data retrieval unit to retrieve the time average time spent on the route at the time point from the storage database
Figure BDA0002471697570000104
Is 25 min; the data retrieval unit retrieves from the storage database the data of the data to be retrieved every year or every month or every week
Figure BDA0002471697570000105
The garage parking space allowance information of time forms a set P ═ {12,15,6,12,10}
At this time, according to the formula:
Figure BDA0002471697570000106
wherein
Figure BDA0002471697570000107
Indicating in customer travel
Figure BDA0002471697570000108
At the time point, the destination corresponds to the parking space allowance of the garage;
Figure BDA0002471697570000109
and indicating that the parking space allowance of the destination garage is sufficient, and suggesting a trip.
Setting the C to be 100m, connecting the GPS positioning unit with a third party map database, and displaying through a client;
c is equal to or less than 100m, and the traffic light controller controls all traffic indicator lights at the intersection to light red lights;
the distance S between the emergency vehicle and the intersection is larger than C and 100m, and the traffic light controller controls the intersection traffic indicating light to return to normal work;
the emergency vehicle can quickly achieve the rescue phenomenon to carry out related work.
Example three:
the client utilizes the travel time t input by the client to be nine am of 10 months and 10 months in 2019, the distance between the departure place and the destination of the client is 20km, and the data calling module calls the corresponding route from the storage database according to the travel route planned by the control module and each intersection traffic flow set Q with the corresponding time t of each day being nine am1={X1,X2,X3,…,Xn}、Q2={X11,X22,X23,…,X2n}、…、Qn={Xn1、Xn2、Xn3、…、XnnAnd taking out a set Qi with the maximum traffic flow from the set Qi, namely {96, 105, 111, 85 and 88} to calculate, according to the formula:
Figure BDA0002471697570000111
wherein
Figure BDA0002471697570000112
Average traffic flow at the time point of the set;
Figure BDA0002471697570000113
indicating a point in time tThe road traffic condition is good, the travel is recommended, and the average time spent on the route at the time point is called from the storage database by the data calling unit
Figure BDA0002471697570000114
Is 25 min; the data retrieval unit retrieves from the storage database the data of the data to be retrieved every year or every month or every week
Figure BDA0002471697570000115
The garage parking space allowance information of time forms a set P ═ {6,3,6,7,2}
At this time, according to the formula:
Figure BDA0002471697570000116
wherein
Figure BDA0002471697570000117
Indicating in customer travel
Figure BDA0002471697570000118
At the time point, the destination corresponds to the parking space allowance of the garage;
Figure BDA0002471697570000119
the parking space allowance of the destination garage is not enough, and the trip is not suggested.
Setting the C to be 100m, connecting the GPS positioning unit with a third party map database, and displaying through a client;
c is equal to or less than 100m, and the traffic light controller controls all traffic indicator lights at the intersection to light red lights;
the distance S between the emergency vehicle and the intersection is larger than C and 100m, and the traffic light controller controls the intersection traffic indicating light to return to normal work;
the emergency vehicle can quickly achieve the rescue phenomenon to carry out related work.
It will be evident to those skilled in the art that the invention is not limited to the details of the foregoing illustrative embodiments, and that the present invention may be embodied in other specific forms without departing from the spirit or essential attributes thereof. The present embodiments are therefore to be considered in all respects as illustrative and not restrictive, the scope of the invention being indicated by the appended claims rather than by the foregoing description, and all changes which come within the meaning and range of equivalency of the claims are therefore intended to be embraced therein. Any reference sign in a claim should not be construed as limiting the claim concerned.

Claims (3)

1. A big data analysis method based on a smart city is characterized in that: the big data analysis method comprises the following steps:
s1, collecting and uploading relevant data by using a data collection module;
s2, calculating and processing the acquired and uploaded data by using a control module;
s3, transmitting the calculation and processing results to the client for display by using the remote communication module;
s4, calculating and planning an optimal emergency vehicle driving route by using the data processing unit;
s5, the control module transmits the calculation and planning results to the instruction execution module by using the ZigBee communication unit;
s6, the control module transmits all data to the data storage module through the ZigBee communication unit for storage;
in the steps S1-S6, the data acquisition module detects the traffic flow at the intersection in real time by using a radar sensor, the real-time traffic flow at the intersection detected by the radar sensor is X, the rainfall sensor detects the rainfall at the intersection in real time, the real-time rainfall at the intersection detected by the rainfall sensor is Y, the data upload module uploads the parking space allowance Z of each garage in real time, the client uploads the time and place of the trip of the client, the data upload module is further used for uploading the trip information of the user and the information of the help-seeking emergency vehicle, and after the data acquisition module acquires the relevant information, the control module calculates and processes the data acquired by the data acquisition module by using an algorithm and transmits the calculated and processed result to the client for display through a remote communication module;
the control module is also used for calculating and planning an optimal driving route according to the connection with a third-party database and the information of the help-seeking emergency vehicle uploaded by the data uploading unit, the control module transmits the information to the instruction execution module through the remote communication module according to the optimal driving route, the instruction execution module operates according to the information transmitted by the control module, and the control module stores all data into the storage database by using the data storage unit through the remote communication module;
the client uses the travel time input by the client as t, the distance between the departure place and the destination of the client is L, and the data retrieval module retrieves the corresponding route and each intersection traffic flow set Q corresponding to the time point t per day from the storage database according to the travel route planned by the control module1={X1,X2,X3,…,Xn}、Q2={X11,X22,X23,…,X2n}、…、Qn={Xn1、Xn2、Xn3、…、XnnGet the set Qi ═ X with the maximum traffic flow from iti1、Xi2、Xi3、…、XinCalculating according to the formula:
Figure FDA0002471697560000011
wherein
Figure FDA0002471697560000012
Average traffic flow at the time point of the set;
when in use
Figure FDA0002471697560000013
Time, indicating that the road traffic is relatively congested at time tTravel is not suggested;
when in use
Figure FDA0002471697560000021
When the time is longer than the preset time, the road traffic condition at the time point t is good, the trip is recommended, and the time average time spent on the route at the time point is called from the storage database by using the data calling unit
Figure FDA0002471697560000022
The data retrieval unit retrieves from the storage database the data of the data to be retrieved every year or every month or every week
Figure FDA0002471697560000023
The garage parking space allowance information of time forms a set P ═ Z1,Z2,Z3,…,Zn}
At this time, according to the formula:
Figure FDA0002471697560000024
wherein
Figure FDA0002471697560000025
Indicating in customer travel
Figure FDA0002471697560000026
At the time point, the destination corresponds to the parking space allowance of the garage;
when in use
Figure FDA0002471697560000027
When the parking space allowance of the destination garage is insufficient, the trip is not suggested;
when in use
Figure FDA0002471697560000028
When the destination garage is in the parking lot, the parking space allowance is sufficient, and a trip is recommended;
the big data analysis system comprises a data acquisition module, a control module, an instruction execution module, a remote communication module and a data storage module;
the data acquisition module is connected with the control module through a remote communication module, and the control module is respectively connected with the instruction execution module and the data storage module through the remote communication module;
the big data analysis system also comprises a client;
the client is connected with the data acquisition module and the control module through the remote communication module;
the client is used for displaying the calculation data of the whole system and controlling the whole system;
the data acquisition module comprises a radar sensor, a rainfall sensor and a data uploading unit;
the radar sensor, the rainfall sensor and the data uploading unit are all connected with the control module through the remote communication module;
the system comprises a radar sensor, a data uploading unit, a traffic intersection and a traffic light sensor, wherein the radar sensor is arranged at the traffic intersection and used for detecting the traffic flow of a road in different time periods, the rainfall sensor is also arranged at the traffic intersection and used for detecting the real-time rainfall of the road, and the data uploading unit is used for connecting with intelligent network equipment of a city and uploading information based on the construction of the smart city;
the control module comprises a programmable controller, a data processing unit and a time recording unit;
the programmable controller is respectively connected with the data processing unit and the time recording unit, and is respectively connected with the instruction execution module and the data storage module through the remote communication module;
the programmable controller is used for programming control over the whole system and achieving intelligent control over the system, the programmable controller is further used for being connected with a third-party database and planning an optimal travel route for a travel vehicle, the data processing unit is used for processing and calculating a large amount of data collected by the data collecting module and processing and calculating a large amount of data stored in the data storage module, the time recording unit is used for recording time at any time and used as a basis for processing and calculating various items of the data processing unit, and the time recorded by the time recording unit is recorded as T.
2. The big data analysis method based on smart city as claimed in claim 1, wherein: the data uploading unit uploads help seeking information of emergency vehicles, the control module plans an optimal driving route according to the information and third-party data, the control module transmits signals to the instruction execution module on the driving route through the ZigBee communication unit, the voice broadcasting unit and the loudspeaker carry out voice broadcasting, and the GPS positioning unit positions the positions of the emergency vehicles;
when the distance S between the emergency vehicle and the intersection is less than or equal to C, the traffic light controller controls all the traffic indicator lights of the intersection to light red lights;
when the distance S between the emergency vehicle and the intersection is larger than C, the traffic light controller controls the intersection traffic indicating light to return to normal work.
3. The big data analysis method based on smart city as claimed in claim 1, wherein: the data storage module comprises a data storage unit, a storage database and a data retrieval unit;
the data storage unit is connected with the programmable controller, the output end of the data storage unit is connected with the input end of the storage database, the output end of the storage database is connected with the input end of the data calling unit, and the output end of the data calling unit is connected with the input end of the programmable controller;
the data storage unit is used for storing data acquired by the data acquisition module and processed by the control module into a storage database, the storage database is used for storing and saving the data acquired by the data acquisition module and processed by the control module, and the data retrieval unit is used for retrieving and applying the data in the storage database.
CN202010350636.4A2019-10-222019-10-22Big data analysis method based on smart cityWithdrawnCN111583635A (en)

Priority Applications (1)

Application NumberPriority DateFiling DateTitle
CN202010350636.4ACN111583635A (en)2019-10-222019-10-22Big data analysis method based on smart city

Applications Claiming Priority (2)

Application NumberPriority DateFiling DateTitle
CN202010350636.4ACN111583635A (en)2019-10-222019-10-22Big data analysis method based on smart city
CN201911004186.7ACN110796857B (en)2019-10-222019-10-22Big data analysis system and method based on smart city

Related Parent Applications (1)

Application NumberTitlePriority DateFiling Date
CN201911004186.7ADivisionCN110796857B (en)2019-10-222019-10-22Big data analysis system and method based on smart city

Publications (1)

Publication NumberPublication Date
CN111583635Atrue CN111583635A (en)2020-08-25

Family

ID=69439586

Family Applications (3)

Application NumberTitlePriority DateFiling Date
CN202010350636.4AWithdrawnCN111583635A (en)2019-10-222019-10-22Big data analysis method based on smart city
CN201911004186.7AActiveCN110796857B (en)2019-10-222019-10-22Big data analysis system and method based on smart city
CN202010350631.1APendingCN111583634A (en)2019-10-222019-10-22Big data analysis method based on smart city

Family Applications After (2)

Application NumberTitlePriority DateFiling Date
CN201911004186.7AActiveCN110796857B (en)2019-10-222019-10-22Big data analysis system and method based on smart city
CN202010350631.1APendingCN111583634A (en)2019-10-222019-10-22Big data analysis method based on smart city

Country Status (1)

CountryLink
CN (3)CN111583635A (en)

Cited By (1)

* Cited by examiner, † Cited by third party
Publication numberPriority datePublication dateAssigneeTitle
CN113763700A (en)*2021-04-262021-12-07腾讯云计算(北京)有限责任公司Information processing method, information processing device, computer equipment and storage medium

Families Citing this family (3)

* Cited by examiner, † Cited by third party
Publication numberPriority datePublication dateAssigneeTitle
CN112614338A (en)*2020-12-042021-04-06程东Traffic jam prediction control system based on big data
CN115022401A (en)*2022-05-302022-09-06北京百度网讯科技有限公司Control method and system for converged communication and smart city management system
CN115547054B (en)*2022-11-292023-03-21湖南工商大学 A traffic guidance system based on big data

Citations (9)

* Cited by examiner, † Cited by third party
Publication numberPriority datePublication dateAssigneeTitle
CN105096636A (en)*2015-06-232015-11-25中国联合网络通信集团有限公司Parking lot dynamic selection method and system
CN105185115A (en)*2015-09-072015-12-23华迪计算机集团有限公司Vehicle forecasting method and forecasting system
CN106781592A (en)*2017-01-042017-05-31成都四方伟业软件股份有限公司A kind of traffic navigation system and method based on big data
CN107895502A (en)*2017-12-192018-04-10安徽省徽腾智能交通科技有限公司A kind of smart city intelligent transportation guides system
US20180144632A1 (en)*2014-08-272018-05-24Muni.Spark LtdRegional and individual parking system and method
CN108364494A (en)*2018-02-262018-08-03郑清辉Road traffic intelligent management, system and platform
CN108922167A (en)*2018-05-232018-11-30中国汽车技术研究中心有限公司A kind of emergency vehicle intelligent traffic control system and method based on DSRC
CN109191876A (en)*2018-10-232019-01-11吉林大学A kind of special car system for traffic guiding and its control method based on car networking technology
CN109410625A (en)*2018-12-102019-03-01长沙中联消防机械有限公司Fire fighting truck rescue intelligent road dredges control system and method, fire fighting truck

Family Cites Families (2)

* Cited by examiner, † Cited by third party
Publication numberPriority datePublication dateAssigneeTitle
KR20170110218A (en)*2016-03-222017-10-11주식회사 에스비에스Measuring Method For Individual Lane Traffic Amount And Intellectual Traffic Information System Thereof
CN206712849U (en)*2017-05-152017-12-05抚州市工业和信息化委员会A kind of smart city service platform

Patent Citations (9)

* Cited by examiner, † Cited by third party
Publication numberPriority datePublication dateAssigneeTitle
US20180144632A1 (en)*2014-08-272018-05-24Muni.Spark LtdRegional and individual parking system and method
CN105096636A (en)*2015-06-232015-11-25中国联合网络通信集团有限公司Parking lot dynamic selection method and system
CN105185115A (en)*2015-09-072015-12-23华迪计算机集团有限公司Vehicle forecasting method and forecasting system
CN106781592A (en)*2017-01-042017-05-31成都四方伟业软件股份有限公司A kind of traffic navigation system and method based on big data
CN107895502A (en)*2017-12-192018-04-10安徽省徽腾智能交通科技有限公司A kind of smart city intelligent transportation guides system
CN108364494A (en)*2018-02-262018-08-03郑清辉Road traffic intelligent management, system and platform
CN108922167A (en)*2018-05-232018-11-30中国汽车技术研究中心有限公司A kind of emergency vehicle intelligent traffic control system and method based on DSRC
CN109191876A (en)*2018-10-232019-01-11吉林大学A kind of special car system for traffic guiding and its control method based on car networking technology
CN109410625A (en)*2018-12-102019-03-01长沙中联消防机械有限公司Fire fighting truck rescue intelligent road dredges control system and method, fire fighting truck

Cited By (2)

* Cited by examiner, † Cited by third party
Publication numberPriority datePublication dateAssigneeTitle
CN113763700A (en)*2021-04-262021-12-07腾讯云计算(北京)有限责任公司Information processing method, information processing device, computer equipment and storage medium
US12260761B2 (en)2021-04-262025-03-25Tencent Cloud Computing (Beijing) Co., Ltd.Information processing method and apparatus, computer device and storage medium

Also Published As

Publication numberPublication date
CN111583634A (en)2020-08-25
CN110796857B (en)2020-06-12
CN110796857A (en)2020-02-14

Similar Documents

PublicationPublication DateTitle
CN111583635A (en)Big data analysis method based on smart city
CN109118761B (en)Intelligent traffic solution method based on artificial intelligence and management system thereof
CN107862900A (en)The unmanned intelligent operation management system of interior parking based on intelligent indicator lamp
CN109191900B (en)District induced parking management system
CN111276005A (en) Connected parking system
CN102968681A (en)Firefighting management system and method
CN103177562B (en)A kind of method and device obtaining information of traffic condition prediction
CN108922216A (en)A kind of road monitoring method and system based on vehicle mounted guidance
CN103440767A (en)Highway-driving-information vehicle-mounted terminal, monitoring system and method
CN111179586A (en) A traffic guidance method, equipment and storage medium based on big data analysis
CN104112368A (en)Real-time parking assistant application
CN103116917B (en)A kind of public transport intelligent parking field control method based on GPS
CN113689701A (en)Fire-fighting alarm-giving linkage system and method based on big data
CN111696384B (en)Intelligent shared parking system and method based on map
CN109979220A (en)A kind of high-speed service area intelligence system for automobile trip
CN117558129B (en) An intelligent positioning system and method for highway construction
CN114244827A (en)Wisdom city monitored control system
CN110223512A (en)City traffic inducible system under car networking environment
CN114038202A (en)Parking guidance system and method based on intelligent park traffic flow
CN116258342A (en)Parking management service system
CN114582114A (en)Fire-fighting vehicle priority passing system based on Internet of things, control method, computer-readable storage medium and terminal
CN105528889A (en)Intelligent vehicle monitoring system
CN109255976A (en)Integrate the intelligent parking method and system for seeking vehicle, public security, people's air defense and emergency
CN109754606B (en)Method for predicting road congestion condition based on taxi positioning
CN103236190A (en)Parking location monitoring system of open parking ground

Legal Events

DateCodeTitleDescription
PB01Publication
PB01Publication
SE01Entry into force of request for substantive examination
SE01Entry into force of request for substantive examination
WW01Invention patent application withdrawn after publication
WW01Invention patent application withdrawn after publication

Application publication date:20200825


[8]ページ先頭

©2009-2025 Movatter.jp