Movatterモバイル変換


[0]ホーム

URL:


CN111581581A - Method and system for detecting NOx concentration at SCR inlet under multi-boundary condition - Google Patents

Method and system for detecting NOx concentration at SCR inlet under multi-boundary condition
Download PDF

Info

Publication number
CN111581581A
CN111581581ACN202010328146.4ACN202010328146ACN111581581ACN 111581581 ACN111581581 ACN 111581581ACN 202010328146 ACN202010328146 ACN 202010328146ACN 111581581 ACN111581581 ACN 111581581A
Authority
CN
China
Prior art keywords
nox
scr inlet
svr
under
data
Prior art date
Legal status (The legal status is an assumption and is not a legal conclusion. Google has not performed a legal analysis and makes no representation as to the accuracy of the status listed.)
Granted
Application number
CN202010328146.4A
Other languages
Chinese (zh)
Other versions
CN111581581B (en
Inventor
袁照威
孟磊
谷小兵
白玉勇
马务
柯玮
李叶红
宁翔
杜明生
Current Assignee (The listed assignees may be inaccurate. Google has not performed a legal analysis and makes no representation or warranty as to the accuracy of the list.)
Datang Environment Industry Group Co Ltd
Original Assignee
Datang Environment Industry Group Co Ltd
Priority date (The priority date is an assumption and is not a legal conclusion. Google has not performed a legal analysis and makes no representation as to the accuracy of the date listed.)
Filing date
Publication date
Application filed by Datang Environment Industry Group Co LtdfiledCriticalDatang Environment Industry Group Co Ltd
Priority to CN202010328146.4ApriorityCriticalpatent/CN111581581B/en
Publication of CN111581581ApublicationCriticalpatent/CN111581581A/en
Application grantedgrantedCritical
Publication of CN111581581BpublicationCriticalpatent/CN111581581B/en
Activelegal-statusCriticalCurrent
Anticipated expirationlegal-statusCritical

Links

Images

Classifications

Landscapes

Abstract

The invention discloses a method and a system for detecting NOx concentration at an SCR inlet under multi-boundary conditions, wherein the method comprises the following steps: determining influencing factors related to NOx at an SCR inlet according to system mechanism analysis; collecting historical operating data and determining input variables; clustering input variables under various boundary conditions through a KMeans algorithm to obtain a training data set under the multi-boundary conditions; establishing an optimal SCR inlet NOx dynamic prediction model under various boundary conditions by adopting an SVR method; and acquiring the operation data related to the SCR inlet NOx at the current moment, and determining the SCR inlet NOx predicted value under the boundary condition corresponding to the current moment. According to the method, inlet NOx prediction models under various boundary conditions such as stable load, lifting load, mill start-stop, purging and the like are respectively established, and the concentration of the SCR inlet NOx under variable working conditions can be effectively predicted.

Description

Method and system for detecting NOx concentration at SCR inlet under multi-boundary condition
Technical Field
The invention relates to the technical field of flue gas denitration of coal-fired power plants, in particular to a method and a system for detecting NOx concentration at an SCR inlet under a multi-boundary condition.
Background
With the issuance of a series of national policies and regulations, such as air pollution prevention and control laws, air pollutant emission standards of thermal power plants, pollution discharge fee collection and use management regulations, and comprehensive implementation of ultra-low emission and energy-saving modification working schemes of coal-fired power plants, the air pollutant emission of the coal-fired power plants is strictly regulated, and the ultra-low emission modification of flue gas is successively carried out in each power plant. The NOx emission concentration of the coal-fired power plant is required to be lower than 50mg/m after ultralow emission reconstruction3The development of a perfect denitration technology of a thermal power plant and the reduction of the emission of pollutants of the power plant as much as possible become a necessary task for the power plant in China. In this context, how to accurately measure the real-time value of NOx at the inlet of the NOx removal system becomes a key to improve the control effect of the NOx removal system.
At present, the NOx component in the smoke is mainly measured in real time by a Continuous Emission Monitoring System (CEMS) at home and abroad. However, the measurement method has the disadvantages of high investment cost, long time consumption of analysis data, serious delay of measurement value feedback and the like in the measurement process, and inevitably causes the difficulty in accurately showing the NOx at the inlet of the denitration system in real time, and finally causes the unsatisfactory control effect of the denitration system on the NOx. When the load of a unit is changed, the NOx at the inlet of the denitration reactor can generate large fluctuation, and if the ammonia injection amount is insufficient, the NOx emission is increased and even exceeds the standard easily; if the ammonia injection amount is excessive, excessive ammonia gas and SO in the flue gas3The reaction generates ammonium bisulfate and ammonium sulfate, reduces catalyst sparks, causes ash deposition blockage and corrosion of the air preheater, influences the safe operation of the boiler, and simultaneouslyAmmonia escape increases operating cost waste and secondary environmental pollution.
In order to solve the problems of inaccurate measurement and measurement delay of a NOx value at the inlet of a reactor caused by the characteristics of nonlinearity, large delay and large inertia of the existing denitration system, modeling of the inlet NOx is usually carried out by adopting intelligent methods such as a least square method, a neural network, a fuzzy method and the like, but the methods only establish a unified model which can predict the concentration of the inlet NOx under a stable working condition, but for a coal-fired power plant, various working conditions such as lifting load, grinding start-stop, blowing and the like exist, the operating process of the denitration system is very complicated due to the working conditions, and therefore the problem of inlet NOx prediction under various working conditions cannot be solved by one unified model.
In view of this, how to realize accurate modeling of inlet NOx under various conditions such as stable load and variable working conditions is an urgent problem to be solved in the denitration control process of the thermal power plant.
Disclosure of Invention
In order to solve the technical problem, the technical scheme adopted by the invention is to provide a method for detecting the concentration of NOx at an SCR inlet under a multi-boundary condition, which is characterized by comprising the following steps of:
analyzing a smoke generation mechanism of the coal burning unit and a mechanism of an SCR system, and determining influence factors related to NOx at an SCR inlet; acquiring historical operating data of influencing factors related to NOx at an SCR inlet, and determining input variables related to the NOx; according to the determined input variables and historical operating data, clustering through a KMeans algorithm to obtain input variables under various boundary conditions of stable load, load increase, load decrease, grinding start and stop, blowing and various combinations of the input variables, and obtaining a training data set under the multi-boundary conditions; establishing an optimal SCR inlet NOx dynamic prediction model under each boundary condition by adopting an SVR method; and acquiring operation data related to the SCR inlet NOx at the current moment, judging the boundary condition of the current moment, and determining the SCR inlet NOx predicted value under the boundary condition corresponding to the current moment.
In the method, the influencing factors mainly comprise unit load, total air quantity, total coal quantity, flue gas oxygen content, flue gas flow and burnout air door opening degree.
In the method, input variables related to NOx are determined through a PCA algorithm, wherein the input variables are unit load, total air volume and flue gas oxygen content.
In the above method, said determining input variables related to NOx by means of the PCA algorithm comprises in particular the steps of:
(ii) a time series set (X, Y) of SCR inlet NOx-related historical operating data consisting essentially of input time series signals and output time series signals;
the input time series signal is X ═ Xi]m=[xij]mⅹpI is 1,2, …, t, … m, j is 1,2, … … p, m is the number of historical operating data, and p is the number of input variables related to the SCR inlet NOx;
the output time series signal is historical operating data Y ═ Yi]mⅹ1I is 1,2, …, t, … m, where m is the number of historical operating data, and is referred to herein as SCR inlet NOx;
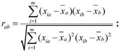
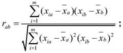
calculating a correlation coefficient matrix R of input variables in the historical operating data:
Figure BDA0002463965840000031
wherein r isabFor x in the historical operating dataaAnd xbOf correlation coefficient rab=rba
Figure BDA0002463965840000032
Figure BDA0002463965840000033
Is a variable xaThe average value of the samples of (a),
Figure BDA0002463965840000034
is a variable xbThe sample mean of (2);
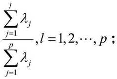
calculating a characteristic value according to a characteristic equation of 0,the characteristic value is lambdajJ 1,2, p, and ordering the eigenvalues in order of magnitude, λ1≥λ2≥…≥λpWherein, I represents an identity matrix;
calculating each of the characteristic values lambdaj1,2, p, and the corresponding feature vector ejJ is 1,2,. cndot, p; wherein, | | ej||=1;
Calculating the cumulative contribution rate according to the characteristic values, selecting the characteristic values with the cumulative contribution rate of 85-95%, and determining the number of the characteristic values with the cumulative contribution rate of 85-95% as the number q of the principal component components; the calculation formula of the accumulated contribution rate is as follows:
Figure BDA0002463965840000041
calculating a principal component load matrix L ═ (L) from the eigenvalues and the eigenvectorsij)q×p(ii) a The calculation formula of the principal component load is
Figure BDA0002463965840000042
And determining the final input variable related to the SCR inlet NOx according to the principal component load matrix.
In the method, the step of obtaining the input variables under the multiple boundary conditions of stable load, load increase, load decrease, mill start/stop, purge and multiple combinations thereof through KMeans algorithm clustering to obtain the training data set under the multiple boundary conditions specifically comprises the following steps:
a1, randomly selecting initial centroids for K clusters in a given sample set;
a2, calculating the distance between each sample in the sample set and K centroids, and clustering according to the minimum distance principle;
a3, iteratively updating the centroid by using the sample mean of the K clusters;
a4, repeating the steps A2-A3 until the center of mass is stable and does not change any more;
and A5, outputting the final centroid and K cluster partitions. And dividing the collected historical operating data into K types according to the finally determined K types to obtain training data sets corresponding to the K types of boundary conditions.
In the method, the establishing of the SCR inlet NOx dynamic prediction model establishes the SVR dynamic prediction model under the corresponding conditions through the training data sets under different boundary conditions obtained by clustering by the KMeans method; the method specifically comprises the following steps:
setting SVR parameters and determining the value range of the SVR parameters; the SVR parameters comprise a penalty coefficient C, insensitive parameters and kernel function parameters;
the basic mathematical model of SVR is:
f(x)=ωTx+b;
pairing the input/output time series signals (x) according to a kernel function k ()i,yi) Mapping to a high-dimensional space to obtain an expression form of the SVR model in the high-dimensional space:
f(x)=ωTκ(xi,xj)+b;
in the formula, omega is a weight vector matrix; b is a bias constant.
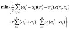
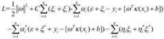
The mathematical model f (x) corresponds to an objective function of:
Figure BDA0002463965840000051
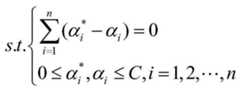
the corresponding constraint conditions are as follows:
yi-[ωTκ(xi)+b]≤+ξi
s.t.[ωTκ(xi)+b]-yi≤+ξi'
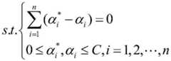
ξii'≥0,i=1,2,…,n
the solution of the problem needs to introduce a Lagrange multiplier αi,
Figure BDA0002463965840000052
ηi,
Figure BDA0002463965840000053
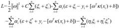
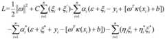
And defines the lagrangian function L:
Figure BDA0002463965840000054
for parameters omega, b, ξ respectivelyi,
Figure BDA0002463965840000055
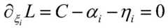
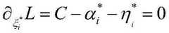
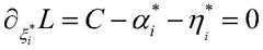
Calculating a partial derivative:
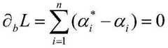
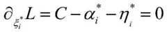
Figure BDA0002463965840000056
Figure BDA0002463965840000057
Figure BDA0002463965840000058
Figure BDA0002463965840000059
the objective function is converted to its dual problem according to the above equation:
Figure BDA0002463965840000061
Figure BDA0002463965840000062
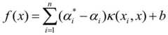
the SVR dynamic prediction model is converted into:
Figure BDA0002463965840000063
calculating regression precision by adopting 5-fold cross validation; further optimizing the parameter range of each group of SVR models according to regression accuracy, and determining the optimal SVR parameters, specifically comprising the following steps:
the 5-fold cross validation is to divide the training sample (X, Y) into 5 parts, one part is selected as a test set each time, and four parts are selected as a training set. Calculating the mean square error according to the SVR mathematical model in the step 5, repeating the calculation for 5 times, and solving the mean square error for 5 times as the final calculation precision; further reducing the range of the SVR parameters such as the punishment coefficient C, the insensitive parameter, the kernel function parameter and the like according to the calculation precision, and repeating the steps until the calculation precision reaches the optimal precision to obtain the optimal SVR parameters;
and inputting the data of the training data sets under different boundary conditions into the SVR model for model training to obtain an optimal SCR inlet NOx dynamic prediction model under each boundary condition.
The invention also provides a system for detecting the concentration of the NOx at the inlet of the SCR under the multi-boundary condition, which is characterized by comprising
The history data acquisition unit 101: the method is used for analyzing a smoke generation mechanism and an SCR system mechanism of the coal burning unit and determining influence factors related to NOx at an SCR inlet; historical operating data of influencing factors related to NOx at the inlet of the SCR are collected, and input variables of a training model are determined;
the training data set acquisition unit 102: the system comprises a KMeans algorithm, a data acquisition unit 101, a data acquisition unit and a data acquisition unit, wherein the KMeans algorithm is used for clustering input variables determined by the data acquisition unit 101 to obtain input variables under various boundary conditions of stable load, load rising, load falling, mill starting and stopping, blowing and various combinations of the stable load, the load rising, the load falling, the mill starting and stopping, the blowing;
model building and training unit 103: establishing an SCR inlet NOx dynamic prediction model under each boundary condition by adopting an SVR method;
NOx prediction unit 104: the method is used for obtaining the operation data related to the SCR inlet NOx at the current moment, judging the boundary condition of the current moment and determining the SCR inlet NOx predicted value under the boundary condition corresponding to the current moment.
In the above scheme, the historical data acquisition unit 101 includes:
a historical data acquisition module: determining influence factors related to NOx at an SCR inlet according to analysis of a coal-fired unit flue gas generation mechanism and an SCR system mechanism;
a data preprocessing module: for reducing the input dimensionality of historical operating data via a PCA algorithm, input variables associated with NOx are determined.
In the above solution, the model building and training unit 103 includes:
a model building module: establishing a corresponding SCR inlet NOx dynamic prediction model by adopting an SVR method corresponding to each of the plurality of boundary conditions;
a model training module: the data of the training data set under each boundary condition acquired by the training data set acquisition unit 102 is input into the corresponding SVR model to perform model training, so as to obtain the trained optimal SCR inlet NOx dynamic prediction model under each boundary condition.
In the above-described aspect, the NOx prediction unit 104 includes:
the current operation data acquisition module: the method comprises the steps of obtaining operation data related to SCR inlet NOx at the current moment;
a current condition judgment module: the system comprises a data acquisition module, a data processing module and a data processing module, wherein the data acquisition module is used for acquiring operation data according to the current operation data and judging boundary conditions and input variables at the current moment;
a NOx predicted value calculation module: and inputting the input variable into a corresponding trained SCR inlet NOx dynamic prediction model according to the boundary condition judged by the current condition judgment module, and determining and outputting the SCR inlet NOx prediction value under the boundary condition corresponding to the current moment.
The invention also provides a computer device comprising a memory, a processor and a computer program stored on the memory and executable on the processor, wherein the processor executes the computer program to implement the method for detecting the concentration of NOx at the inlet of the SCR under the multi-boundary condition as described above.
The present invention also provides a computer-readable storage medium having stored thereon a computer program which, when executed by a processor, implements the recognition model training method in the above-described embodiments, or which, when executed by a processor, implements the method for detecting SCR inlet NOx concentration under multi-boundary conditions as described above.
According to the method, the inlet NOx prediction models under various boundary conditions such as stable load, lifting load, grinding start-stop, purging and the like are respectively established, the SCR inlet NOx concentration under variable working conditions can be effectively predicted, the problem of inaccurate prediction of inlet NOx caused by the nonlinear characteristic of a denitration system is effectively solved through an SVR modeling method, and the method has guiding significance on pollutant emission and cost of a coal-fired unit.
Drawings
In order to more clearly illustrate the embodiments of the present invention or the technical solutions in the prior art, the drawings used in the description of the embodiments or the prior art will be briefly described below, and it is obvious that the drawings in the following description are some embodiments of the present invention, and other drawings can be obtained by those skilled in the art without creative efforts.
FIG. 1 is a schematic flow diagram of a method for detecting SCR inlet NOx concentration under multiple boundary conditions provided by the present invention;
FIG. 2 is a schematic flow chart of an embodiment of the present invention;
FIG. 3 is a flow chart of an embodiment of the SVR model under each boundary condition provided by the present invention;
FIG. 4 is a block diagram of a system for detecting SCR inlet NOx concentration under multiple boundary conditions provided by the present invention;
FIG. 5 is a graph of inlet NOx modeling effectiveness for a 350MW coal-fired unit in accordance with an embodiment of the present invention.
Detailed Description
The technical solutions of the present invention will be described clearly and completely with reference to the following embodiments, and it should be understood that the described embodiments are some, but not all, embodiments of the present invention. All other embodiments, which can be derived by a person skilled in the art from the embodiments given herein without making any creative effort, shall fall within the protection scope of the present invention.
As shown in FIG. 1, the invention provides a method for detecting the concentration of SCR inlet NOx under multi-boundary conditions, which comprises the following steps
S1, analyzing a coal-fired unit flue gas generation mechanism and an SCR system mechanism, and determining influence factors related to NOx at an SCR inlet; in this embodiment, the influencing factors mainly include unit load, total air volume, total coal volume, flue gas oxygen content, flue gas flow, burnout air door opening degree, and the like.
S2, collecting historical operation data of influencing factors related to NOx at an SCR inlet, and determining input variables related to the NOx; the historical operation data can be acquired from a power plant DCS system.
In the embodiment, in order to reduce the redundancy in the NOx prediction process, the input dimension of a training sample is reduced, and the operation speed is increased; meanwhile, the principal components after the PCA algorithm are fewer than original input variables, and can represent the characteristics expressed by original data, so that the redundancy of the data is reduced, the prediction accuracy of the SVR model is improved, and the input variables related to inlet NOx are determined through the PCA algorithm, which specifically comprises the following steps:
the SCR inlet NOx related historical operating data is a time series set (X, Y) consisting essentially of an input time series signal and an output time series signal.
The input time series signal is X ═ Xi]m=[xij]mⅹpI is 1,2, …, t, … m, j is 1,2, … … p, m is the number of historical operating data, and p is the number of input variables related to the SCR inlet NOx;
the output time series signal is historical operating data Y ═ Yi]mⅹ1I is 1,2, …, t, … m, and m is the number of historical operating data, which is referred to herein as SCR inlet NOx.
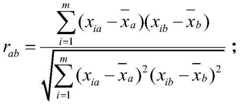
Calculating a correlation coefficient matrix R of input variables in the historical operating data:
Figure BDA0002463965840000091
wherein r isabFor x in the historical operating dataaAnd xbOf correlation coefficient rab=rba
Figure BDA0002463965840000101
Figure BDA0002463965840000102
Is a variable xaThe average value of the samples of (a),
Figure BDA0002463965840000103
is a variable xbThe sample mean of (2); x is the number ofaAnd xbRepresenting the a and b samples in the input time series signal. Assume input data is 1000 x 6 data; 1000 represents 1000 sample points, and 6 represents the number of characteristic parameters, i.e., the above-mentioned variables relating to the inlet NOx concentration. And a and b are any two of the 1000 sample points.
Calculating a characteristic value according to a characteristic equation of lambda I-R0, wherein the characteristic value is lambdajJ 1,2, p, and ordering the eigenvalues in order of magnitude, λ1≥λ2≥…≥λpWherein, I represents an identity matrix;
calculating each of the characteristic values lambdaj1,2, p, and the corresponding feature vector ejJ is 1,2,. cndot, p; wherein, | | ej||=1;
Calculating the cumulative contribution rate according to the characteristic values, selecting the characteristic values with the cumulative contribution rate of 85-95%, and determining the number of the characteristic values with the cumulative contribution rate of 85-95% as the number q of the principal component components; the calculation formula of the accumulated contribution rate is as follows:
Figure BDA0002463965840000104
calculating a principal component load matrix L ═ (L) from the eigenvalues and the eigenvectorsij)q×p(ii) a The calculation formula of the principal component load is
Figure BDA0002463965840000105
Determining final input variables related to SCR inlet NOx according to the principal component load matrix;
in this embodiment, the input data (input variables) of the training sample after PCA analysis are the unit load, the total air volume, and the flue gas oxygen content; the output data is SCR inlet NOx.
S3, according to the determined input variables and historical operating data, clustering through a KMeans algorithm to obtain input variables under various boundary conditions such as stable load, load rising, load falling, grinding start and stop, blowing, various combinations of the stable load, the load rising, the load falling, the grinding start and stop, the blowing and the like, and obtaining training data sets under various boundary conditions;
in the NOx control process of the denitration system, but for the coal-fired power plant, there are multiple working conditions such as lifting load, grinding start/stop, purging, and the like, and these working conditions cause the operation process of the denitration system to be very complicated, so the embodiment fully considers the input variables under multiple boundary conditions, and can more effectively predict the NOx concentration at the SCR inlet under variable working conditions, and therefore, step S3 specifically includes the following steps:
in this embodiment, the running history data is classified by using a KMeans clustering method, and it is determined that the data belongs to the boundary condition. The KMeans clustering method is characterized in that samples of the same class are distributed as close as possible according to a given sample set and a given clustering number K, so that the distance between different classes is as large as possible, and the method comprises the following specific steps:
a1, randomly selecting initial centroids for K clusters in a given sample set;
a2, calculating the distance between each sample in the sample set and K centroids, and clustering according to the minimum distance principle;
a3, iteratively updating the centroid by using the sample mean of the K clusters;
a4, repeating the steps A2-A3 until the center of mass is stable and does not change any more;
and A5, outputting the final centroid and K cluster partitions. And dividing the collected historical operating data into K types according to the finally determined K types to obtain training data sets corresponding to the K types of boundary conditions.
And S4, establishing a corresponding SCR inlet NOx dynamic prediction model under each boundary condition by adopting an SVR method.
In the embodiment, in order to more effectively and accurately solve the problem of predicting the inlet NOx under the complex condition, a corresponding SCR inlet NOx dynamic prediction model is established by adopting an SVR method corresponding to each of a plurality of boundary conditions.
In this embodiment, the establishment of the SCR inlet NOx dynamic prediction model is to establish a corresponding SVR dynamic prediction model for each boundary condition, where each SVR dynamic prediction model is established by using a training data set under different boundary conditions obtained by clustering by a KMeans method, and the establishment processes of each SVR dynamic prediction model are consistent.
In this embodiment, the SVR dynamic prediction model relates to the three parameters (penalty coefficient C, insensitive parameter and kernel function parameter), and selecting the three different parameters will make the obtained SVR model output results different, so that the optimal three parameters need to be determined to establish the optimal SCR inlet NOx dynamic prediction model, which specifically includes the following steps:
the establishment of the SVR dynamic prediction model comprises the steps of setting SVR parameters and determining the value range of the SVR parameters; searching parameters of each SVR model group according to a grid search method, calculating an SVR dynamic prediction model, and calculating regression precision by adopting 5-fold cross validation; further optimizing the parameter range of each group of SVR models according to regression accuracy, and determining the optimal SVR parameters, comprising the following steps:
the SVR parameters described in this embodiment include a penalty coefficient C, an insensitive parameter, and a kernel function parameter, and the value range of the penalty coefficient C is generally [2-5,225](ii) a The value range of the insensitive parameter is generally [0.002,0.1 ]](ii) a The kernel function is a Gaussian kernel function, and the value range of the parameter sigma of the Gaussian kernel function is generally [2 ]-15,215]。
And searching the parameters of each group of SVR models according to a grid search method, namely the grid search method is an exhaustive search method for specified parameter values, and mainly traverses the value ranges of SVR parameters such as penalty coefficient C, insensitive parameter and kernel function parameter.
The basic mathematical model of the SVR in the embodiment is as follows:
f(x)=ωTx+b;
pairing the input/output time series signals (x) according to a kernel function k ()i,yi) Mapping to a high-dimensional space to obtain an expression form of the SVR model in the high-dimensional space:
f(x)=ωTκ(xi,xj)+b;
in the formula, omega is a weight vector matrix; b is a bias constant.
The mathematical model f (x) corresponds to an objective function of:
Figure BDA0002463965840000121
the corresponding constraint conditions are as follows:
yi-[ωTκ(xi)+b]≤+ξi
s.t.[ωTκ(xi)+b]-yi≤+ξ'i
ξi,ξ'i≥0,i=1,2,…,n
the solution of the problem needs to introduce a Lagrange multiplier αi,
Figure BDA0002463965840000131
ηi,
Figure BDA0002463965840000132
And defines the lagrangian function L:
Figure BDA0002463965840000133
for parameters omega, b, ξ respectivelyi,
Figure BDA0002463965840000134
Calculating a partial derivative:
Figure BDA0002463965840000135
Figure BDA0002463965840000136
Figure BDA0002463965840000137
Figure BDA0002463965840000138
the objective function is converted to its dual problem according to the above equation:
Figure BDA0002463965840000139
Figure BDA00024639658400001310
the SVR dynamic prediction model is converted into:
Figure BDA00024639658400001311
in this embodiment, 5-fold cross validation is adopted to calculate regression accuracy; further preference is given to each group according to accuracy
The method comprises the following steps of (1) determining the parameter range of the SVR model and determining the optimal SVR parameter, wherein the method comprises the following specific steps:
the 5-fold cross validation is to divide the training sample (X, Y) into 5 parts, one part is selected as a test set each time, and four parts are selected as a training set. And (5) calculating the mean square error according to the SVR mathematical model in the step (5), repeating for 5 times, and solving the mean square error for 5 times as the final calculation precision. And further reducing the range of the SVR parameters such as the penalty coefficient C, the insensitive parameter and the kernel function parameter according to the calculation precision, and repeating the steps until the calculation precision reaches the optimal precision to obtain the optimal SVR parameters.
Inputting data of training data sets under different boundary conditions obtained by a KMeans clustering method into the established SVR model for model training to obtain an optimal SCR inlet NOx dynamic prediction model under each boundary condition; the number of the SVR models in the embodiment is consistent with the number of KMeans clusters.
S5, obtaining operation data related to the SCR inlet NOx at the current time, judging the boundary condition and the input variable of the current time according to the steps S1-S3, and determining the SCR inlet NOx predicted value under the boundary condition corresponding to the current time according to the input variable.
The invention also provides a system for detecting the concentration of NOx at the inlet of the SCR under the multi-boundary condition, which comprises the following components:
the history data acquisition unit 101: the method is used for analyzing a smoke generation mechanism and an SCR system mechanism of the coal burning unit and determining influence factors related to NOx at an SCR inlet; historical operating data of influencing factors related to NOx at the inlet of the SCR are collected, and input variables of a training model are determined;
a historical data acquisition module: according to the analysis of the generation mechanism of the flue gas of the coal-fired unit and the mechanism of the SCR system, determining the influence factors related to the NOx at the inlet of the SCR, including the unit load, the total air volume, the total coal volume, the oxygen content of the flue gas, the flow rate of the flue gas, the opening degree of a burnout air door and the like.
A data preprocessing module: the method is used for reducing input dimensionality of historical operating data through a PCA algorithm and determining input variables related to NOx, and comprises the following specific processing steps of:
the SCR inlet NOx related historical operating data is a time series set (X, Y) consisting essentially of an input time series signal and an output time series signal.
The input time series signal is X ═ Xi]m=[xij]mⅹpI is 1,2, …, t, … m, j is 1,2, … … p, m is the number of historical operating data, and p is the number of input variables related to the SCR inlet NOx;
the output time series signal is historical operating data Y ═ Yi]mⅹ1I is 1,2, …, t, … m, and m is the number of historical operating data, which is referred to herein as SCR inlet NOx.
Calculating a correlation coefficient matrix R of input variables in the historical operating data:
Figure BDA0002463965840000151
wherein r isabFor x in the historical operating dataaAnd xbOf correlation coefficient rab=rba
Figure BDA0002463965840000152
Figure BDA0002463965840000153
Is a variable xaThe average value of the samples of (a),
Figure BDA0002463965840000154
is a variable xbThe sample mean of (2);
calculating a characteristic value according to a characteristic equation of lambda I-R0, wherein the characteristic value is lambdajJ 1,2, p, and ordering the eigenvalues in order of magnitude, λ1≥λ2≥…≥λpWherein, I represents an identity matrix;
calculating each of the characteristic values lambdaj1,2, p, and the corresponding feature vector ejJ is 1,2,. cndot, p; wherein, | | ej||=1;
Calculating the cumulative contribution rate according to the characteristic values, selecting the characteristic values with the cumulative contribution rate of 85-95%, and determining the number of the characteristic values with the cumulative contribution rate of 85-95% as the number q of the principal component components; the calculation formula of the accumulated contribution rate is as follows:
Figure BDA0002463965840000161
calculating a principal component load matrix L ═ (L) from the eigenvalues and the eigenvectorsij)q×p(ii) a The calculation formula of the principal component load is
Figure BDA0002463965840000162
Determining final input variables related to SCR inlet NOx according to the principal component load matrix;
in this embodiment, the input data (input variables) of the training sample after PCA analysis are the unit load, the total air volume, and the flue gas oxygen content; the output data is SCR inlet NOx.
The training data set acquisition unit 102: the method is used for obtaining input variables under various boundary conditions of stable load, load rising, load falling, grinding start and stop, blowing and various combinations thereof through KMeans algorithm clustering according to the input variables and the historical operating data determined by the historical data acquisition unit 101, and obtaining a training data set under each boundary condition, and the specific obtaining steps comprise:
and classifying the operation historical data by adopting a KMeans clustering method, and judging that the data belongs to the boundary condition. The KMeans clustering method is characterized in that samples of the same class are distributed as close as possible according to a given sample set and a given clustering number K, so that the distance between different classes is as large as possible, and the method comprises the following specific steps:
a1, randomly selecting initial centroids for K clusters in a given sample set;
a2, calculating the distance between each sample in the sample set and K centroids, and clustering according to the minimum distance principle;
a3, iteratively updating the centroid by using the sample mean of the K clusters;
a4, repeating the steps A2-A3 until the center of mass is stable and does not change any more;
and A5, outputting the final centroid and K cluster partitions. And dividing the collected historical operating data into K types according to the finally determined K types to obtain training data sets corresponding to the K types of boundary conditions.
Model building and training unit 103: and (3) establishing an SCR inlet NOx dynamic prediction model under various boundary conditions by adopting an SVR method.
A model building module: the method comprises the steps of establishing a corresponding SCR inlet NOx dynamic prediction model by adopting an SVR method corresponding to each boundary condition;
the establishment of the SCR inlet NOx dynamic prediction model is that a corresponding SVR dynamic prediction model is required to be established for each boundary condition, each SVR dynamic prediction model is established by a training data set under different boundary conditions which are obtained by clustering through a KMeans method, and the establishment processes of each SVR dynamic prediction model are consistent.
The establishment of the SVR dynamic prediction model comprises the steps of setting SVR parameters and determining the value range of the SVR parameters; searching parameters of each SVR model group according to a grid search method, calculating an SVR dynamic prediction model, and calculating regression precision by adopting 5-fold cross validation; further optimizing the parameter range of each group of SVR models according to the precision, and determining the optimal SVR parameters, specifically comprising the following steps:
the SVR parameters described in this embodiment include a penalty coefficient C, an insensitive parameter, and a kernel function parameter, and the value range of the penalty coefficient C is generally [2-5,225](ii) a The value range of the insensitive parameter is generally [0.002,0.1 ]](ii) a The kernel function is a Gaussian kernel function, and the value range of the parameter sigma of the Gaussian kernel function is generally [2 ]-15,215]。
And searching the parameters of each group of SVR models according to a grid search method, namely the grid search method is an exhaustive search method for specified parameter values, and mainly traverses the value ranges of SVR parameters such as penalty coefficient C, insensitive parameter and kernel function parameter.
The basic mathematical model of the SVR in the embodiment is as follows:
f(x)=ωTx+b;
pairing the input/output time series signals (x) according to a kernel function k ()i,yi) Mapping to a high-dimensional space to obtain an expression form of the SVR model in the high-dimensional space:
f(x)=ωTκ(xi,xj)+b;
in the formula, omega is a weight vector matrix; b is a bias constant.
The mathematical model f (x) corresponds to an objective function of:
Figure BDA0002463965840000171
the corresponding constraint conditions are as follows:
yi-[ωTκ(xi)+b]≤+ξi
s.t.[ωTκ(xi)+b]-yi≤+ξ'i
ξi,ξ'i≥0,i=1,2,…,n
the solution of the problem needs to introduce a Lagrange multiplier αi,
Figure BDA0002463965840000181
ηi,
Figure BDA0002463965840000182
And defines the lagrangian function L:
Figure BDA0002463965840000183
for parameters omega, b, ξ respectivelyi,
Figure BDA0002463965840000184
Calculating a partial derivative:
Figure BDA0002463965840000185
Figure BDA0002463965840000186
Figure BDA0002463965840000187
Figure BDA0002463965840000188
the objective function is converted to its dual problem according to the above equation:
Figure BDA0002463965840000189
Figure BDA00024639658400001810
the SVR dynamic prediction model is converted into:
Figure BDA0002463965840000191
a model training module: training data sets under various boundary conditions acquired by the training data set acquisition unit 102 are input into the corresponding established SVR model for model training, and an optimal SCR inlet NOx dynamic prediction model under each boundary condition after training is obtained.
NOx prediction unit 104: the method is used for obtaining the operation data related to the SCR inlet NOx at the current moment, judging the boundary condition of the current moment and determining the SCR inlet NOx predicted value under the boundary condition corresponding to the current moment. Comprises that
The current operation data acquisition module: the method comprises the steps of obtaining operation data related to SCR inlet NOx at the current moment;
a current condition judgment module: the system comprises a data acquisition module, a data processing module and a data processing module, wherein the data acquisition module is used for acquiring operation data according to the current operation data and judging boundary conditions and input variables at the current moment;
a NOx predicted value calculation module: and inputting the input variable into a corresponding trained SCR inlet NOx dynamic prediction model according to the boundary condition judged by the current condition judgment module, and determining and outputting the SCR inlet NOx prediction value under the boundary condition corresponding to the current moment.
The invention also provides a computer device, which comprises a memory, a processor and a computer program stored on the memory and capable of running on the processor, wherein the processor executes the computer program to realize the method for detecting the concentration of the SCR inlet NOx under the multi-boundary condition in the embodiment.
The present invention also provides a computer-readable storage medium on which a computer program is stored, the computer program, when executed by a processor, implementing the recognition model training method in the above embodiments, or the computer program, when executed by the processor, implementing the method for detecting the SCR inlet NOx concentration under the multi-boundary condition in the above embodiments.
It will be understood by those skilled in the art that all or part of the processes of the methods of the embodiments described above can be implemented by hardware instructions of a computer program, which can be stored in a non-volatile computer-readable storage medium, and when executed, can include the processes of the embodiments of the methods described above. Any reference to memory, storage, database, or other medium used in the embodiments provided herein may include non-volatile and/or volatile memory, among others. Non-volatile memory can include read-only memory (ROM), Programmable ROM (PROM), Electrically Programmable ROM (EPROM), Electrically Erasable Programmable ROM (EEPROM), or flash memory. Volatile memory can include Random Access Memory (RAM) or external cache memory. By way of illustration and not limitation, RAM is available in a variety of forms such as Static RAM (SRAM), Dynamic RAM (DRAM), Synchronous DRAM (SDRAM), Double Data Rate SDRAM (DDRSDRAM), Enhanced SDRAM (ESDRAM), Synchronous Link DRAM (SLDRAM), Rambus Direct RAM (RDRAM), direct bus dynamic RAM (DRDRAM), and memory bus dynamic RAM (RDRAM).
The invention is illustrated below by specific examples using the above method or system.
According to the method and the system, the modeling effect is explained by taking a domestic 1000MW coal-fired unit as an example. FIG. 5 is a 1000MW unit inlet NOx modeling result, during which 4 boundary conditions of load ascending, load descending, load stabilizing and mill stopping exist, wherein in (a), an upper triangle dotted line is a unit load curve, and a lower triangle curve is a total coal quantity change curve; in the graph (b), the upper triangular dotted line represents an actual inlet NOx curve, and the lower triangular dotted line represents an inlet NOx modeling curve. As can be seen from the figure, the boiler load is generally reduced from 1000MW to 700MW, during which a small-amplitude load rise exists, and meanwhile, the coal feeding amount is suddenly changed, and the condition that the coal mill is shut down exists. The two curves are basically overlapped in the aspect of prediction effect, and the error is +/-5 mg/Nm3Within the range.
The invention has the beneficial effects that:
1. the invention determines the input variable related to NOx through the PCA algorithm, reduces the redundancy in the process of predicting the NOx, reduces the input dimension of the training sample, and improves the speed and the precision.
2. Aiming at various working conditions such as lifting load, grinding start-stop, blowing and the like in the operation process of a coal-fired power plant, the invention establishes various boundary conditions by adopting a clustering method, and models under the conditions can more effectively solve the problem of predicting inlet NOx under complex conditions.
3. The method can predict the value of the NOx at the inlet of the reactor in advance, the obtained prediction precision is high, the result obtained by means of instrument analysis in the prior art is overcome, and a rapid and accurate prediction model is introduced.
The present invention is not limited to the above-mentioned preferred embodiments, and any structural changes made under the teaching of the present invention shall fall within the protection scope of the present invention, which has the same or similar technical solutions as the present invention.

Claims (12)

1. The method for detecting the concentration of NOx at the SCR inlet under the multi-boundary condition is characterized by comprising the following steps of:
analyzing a smoke generation mechanism of the coal burning unit and a mechanism of an SCR system, and determining influence factors related to NOx at an SCR inlet; acquiring historical operating data of influencing factors related to NOx at an SCR inlet, and determining input variables related to the NOx; according to the determined input variables and historical operating data, clustering through a KMeans algorithm to obtain input variables under various boundary conditions of stable load, load increase, load decrease, grinding start and stop, blowing and various combinations of the input variables, and obtaining a training data set under each boundary condition; establishing an optimal SCR inlet NOx dynamic prediction model under each boundary condition by adopting an SVR method; and acquiring operation data related to the SCR inlet NOx at the current moment, judging the boundary condition of the current moment, and determining the SCR inlet NOx predicted value under the boundary condition corresponding to the current moment.
2. The detection method according to claim 1, wherein the influencing factors mainly comprise unit load, total air volume, total coal volume, flue gas oxygen content, flue gas flow and burnout damper opening degree.
3. The method of claim 1, wherein input variables related to NOx are determined by PCA algorithm, wherein the input variables are unit load, total air volume, flue gas oxygen content.
4. The detection method according to claim 3, wherein said determination of input variables related to NOx by means of the PCA algorithm comprises in particular the steps of:
(ii) a time series set (X, Y) of SCR inlet NOx-related historical operating data consisting essentially of input time series signals and output time series signals;
the input time series signal is X ═ Xi]m=[xij]mⅹpI is 1,2, …, t, … m, j is 1,2, … … p, m is the number of historical operating data, and p is the number of input variables related to the SCR inlet NOx;
the output time series signal is historical operating data Y ═ Yi]mⅹ1I is 1,2, …, t, … m, where m is the number of historical operating data, and is referred to herein as SCR inlet NOx;
calculating a correlation coefficient matrix R of input variables in the historical operating data:
Figure FDA0002463965830000021
wherein r isabFor x in the historical operating dataaAnd xbOf correlation coefficient rab=rba
Figure FDA0002463965830000022
Figure FDA0002463965830000023
Is a variable xaThe average value of the samples of (a),
Figure FDA0002463965830000024
is a variable xbThe sample mean of (2);
calculating a characteristic value according to a characteristic equation of lambda I-R0, wherein the characteristic value is lambdajJ 1,2, p, and ordering the eigenvalues in order of magnitude, λ1≥λ2≥...≥λpWherein, I represents an identity matrix;
calculating each of the characteristic values lambdaj1,2, p, and the corresponding feature vector ejJ is 1,2, …, p; wherein, | | ej||=1;
Calculating the cumulative contribution rate according to the characteristic values, selecting the characteristic values with the cumulative contribution rate of 85-95%, and determining the number of the characteristic values with the cumulative contribution rate of 85-95% as the number q of the principal component components; the calculation formula of the accumulated contribution rate is as follows:
Figure FDA0002463965830000025
calculating a principal component load matrix L ═ (L) from the eigenvalues and the eigenvectorsij)q×p(ii) a The calculation formula of the principal component load is
Figure FDA0002463965830000026
And determining the final input variable related to the SCR inlet NOx according to the principal component load matrix.
5. The detection method according to claim 1, wherein the obtaining of the input variables under the multiple boundary conditions of stable load, load increase, load decrease, mill start/stop, purge, and multiple combinations thereof by clustering through the KMeans algorithm to obtain the training data set under the multiple boundary conditions specifically comprises the steps of:
a1, randomly selecting initial centroids for K clusters in a given sample set;
a2, calculating the distance between each sample in the sample set and K centroids, and clustering according to the minimum distance principle;
a3, iteratively updating the centroid by using the sample mean of the K clusters;
a4, repeating the steps A2-A3 until the center of mass is stable and does not change any more;
and A5, outputting the final centroid and K cluster partitions. And dividing the collected historical operating data into K types according to the finally determined K types to obtain training data sets corresponding to the K types of boundary conditions.
6. The detection method according to claim 1, wherein the establishing of the SCR inlet NOx dynamic prediction model establishes the SVR dynamic prediction model under corresponding conditions through the training data sets under different boundary conditions obtained by KMeans method clustering; the method specifically comprises the following steps:
setting SVR parameters and determining the value range of the SVR parameters; the SVR parameters comprise a penalty coefficient C, insensitive parameters and kernel function parameters;
the basic mathematical model of SVR is:
f(x)=ωTx+b;
pairing the input/output time series signals (x) according to a kernel function k ()i,yi) Mapping to a high-dimensional space to obtain an expression form of the SVR model in the high-dimensional space:
f(x)=ωTκ(xi,xj)+b;
in the formula, omega is a weight vector matrix; b is a bias constant.
The mathematical model f (x) corresponds to an objective function of:
Figure FDA0002463965830000031
the corresponding constraint conditions are as follows:
yi-[ωTκ(xi)+b]≤+ξi
s.t.[ωTκ(xi)+b]-yi≤+ξ′i
ξi,ξ′i≥0,i=1,2,…,n
the solution of the problem needs to introduce a Lagrange multiplier αi,
Figure FDA0002463965830000041
ηi,
Figure FDA0002463965830000042
And defines the lagrangian function L:
Figure FDA0002463965830000043
for parameters omega, b, ξ respectivelyii*Calculating a partial derivative:
Figure FDA0002463965830000044
Figure FDA0002463965830000045
Figure FDA0002463965830000046
Figure FDA0002463965830000047
the objective function is converted to its dual problem according to the above equation:
Figure FDA0002463965830000048
Figure FDA0002463965830000049
the SVR dynamic prediction model is converted into:
Figure FDA00024639658300000410
calculating regression precision by adopting 5-fold cross validation; further optimizing the parameter range of each group of SVR models according to regression accuracy, and determining the optimal SVR parameters, specifically comprising the following steps:
the 5-fold cross validation is to divide the training sample (X, Y) into 5 parts, one part is selected as a test set each time, and four parts are selected as a training set. Calculating the mean square error according to the SVR mathematical model in the step 5, repeating the calculation for 5 times, and solving the mean square error for 5 times as the final calculation precision; further reducing the range of the SVR parameters such as the punishment coefficient C, the insensitive parameter, the kernel function parameter and the like according to the calculation precision, and repeating the steps until the calculation precision reaches the optimal precision to obtain the optimal SVR parameters;
and inputting the data of the training data sets under different boundary conditions into the SVR model for model training to obtain an optimal SCR inlet NOx dynamic prediction model under each boundary condition.
7. The system for detecting the concentration of NOx at the inlet of the SCR under the multi-boundary condition is characterized by comprising
The history data acquisition unit 101: the method is used for analyzing a smoke generation mechanism and an SCR system mechanism of the coal burning unit and determining influence factors related to NOx at an SCR inlet; historical operating data of influencing factors related to NOx at the inlet of the SCR are collected, and input variables of a training model are determined;
the training data set acquisition unit 102: the system comprises a KMeans algorithm, a data acquisition unit 101, a data acquisition unit and a data acquisition unit, wherein the KMeans algorithm is used for clustering input variables determined by the data acquisition unit 101 according to historical operating data to obtain input variables under various boundary conditions of stable load, load rising, load falling, mill starting and stopping, purging and various combinations of the stable load, the load rising, the load falling, the mill starting;
model building and training unit 103: establishing an SCR inlet NOx dynamic prediction model under each boundary condition by adopting an SVR method;
NOx prediction unit 104: the method is used for obtaining the operation data related to the SCR inlet NOx at the current moment, judging the boundary condition of the current moment and determining the SCR inlet NOx predicted value under the boundary condition corresponding to the current moment.
8. The inspection system of claim 7, wherein the historical data acquisition unit 101 comprises:
a historical data acquisition module: determining influence factors related to NOx at an SCR inlet according to analysis of a coal-fired unit flue gas generation mechanism and an SCR system mechanism;
a data preprocessing module: for reducing the input dimensionality of historical operating data via a PCA algorithm, input variables associated with NOx are determined.
9. The inspection system of claim 7, wherein the model building and training unit 103 comprises:
a model building module: establishing a corresponding SCR inlet NOx dynamic prediction model by adopting an SVR method corresponding to each of the plurality of boundary conditions;
a model training module: the data of the training data set under each boundary condition acquired by the training data set acquisition unit 102 is input into the corresponding SVR model to perform model training, so as to obtain the trained optimal SCR inlet NOx dynamic prediction model under each boundary condition.
10. The detection system according to claim 7, wherein the NOx prediction unit 104 includes:
the current operation data acquisition module: the method comprises the steps of obtaining operation data related to SCR inlet NOx at the current moment;
a current condition judgment module: the system comprises a data acquisition module, a data processing module and a data processing module, wherein the data acquisition module is used for acquiring operation data according to the current operation data and judging boundary conditions and input variables at the current moment;
a NOx predicted value calculation module: and inputting the input variable into a corresponding trained SCR inlet NOx dynamic prediction model according to the boundary condition judged by the current condition judgment module, and determining and outputting the SCR inlet NOx prediction value under the boundary condition corresponding to the current moment.
11. Computer arrangement comprising a memory, a processor and a computer program stored on the memory and executable on the processor, the processor when executing the computer program implementing the method for SCR inlet NOx concentration detection under multiple boundary conditions as claimed in any one of claims 1 to 6.
12. A computer-readable storage medium, on which a computer program is stored, which, when being executed by a processor, implements the recognition model training method in the above embodiments, or which, when being executed by a processor, implements the method for detecting SCR inlet NOx concentration under multi-boundary conditions as recited in any one of claims 1 to 6.
CN202010328146.4A2020-04-232020-04-23Method and system for detecting NOx concentration at SCR inlet under multi-boundary conditionActiveCN111581581B (en)

Priority Applications (1)

Application NumberPriority DateFiling DateTitle
CN202010328146.4ACN111581581B (en)2020-04-232020-04-23Method and system for detecting NOx concentration at SCR inlet under multi-boundary condition

Applications Claiming Priority (1)

Application NumberPriority DateFiling DateTitle
CN202010328146.4ACN111581581B (en)2020-04-232020-04-23Method and system for detecting NOx concentration at SCR inlet under multi-boundary condition

Publications (2)

Publication NumberPublication Date
CN111581581Atrue CN111581581A (en)2020-08-25
CN111581581B CN111581581B (en)2021-02-02

Family

ID=72125442

Family Applications (1)

Application NumberTitlePriority DateFiling Date
CN202010328146.4AActiveCN111581581B (en)2020-04-232020-04-23Method and system for detecting NOx concentration at SCR inlet under multi-boundary condition

Country Status (1)

CountryLink
CN (1)CN111581581B (en)

Cited By (8)

* Cited by examiner, † Cited by third party
Publication numberPriority datePublication dateAssigneeTitle
CN111860701A (en)*2020-09-242020-10-30大唐环境产业集团股份有限公司Denitration system working condition discrimination preprocessing method based on clustering method
CN111931426A (en)*2020-09-252020-11-13大唐环境产业集团股份有限公司Method and equipment for determining influence factors of concentration of nitrogen oxides at inlet of SCR (Selective catalytic reduction) reactor
CN112200350A (en)*2020-09-172021-01-08广东安博通信息科技有限公司Flue gas emission prediction method, system and computer readable storage medium
CN112418284A (en)*2020-11-162021-02-26华北电力大学 A control method and system for an SCR denitration system in a power station under full operating conditions
CN112651166A (en)*2020-11-242021-04-13呼和浩特科林热电有限责任公司Denitration system inlet nitrogen oxide concentration prediction method and device and denitration system
CN113450880A (en)*2021-08-312021-09-28大唐环境产业集团股份有限公司Desulfurization system inlet SO2Intelligent concentration prediction method
CN115201408A (en)*2022-06-132022-10-18东南大学 A method for predicting the concentration of sulfur dioxide at the desulfurization outlet under all working conditions
CN115798624A (en)*2023-02-012023-03-14中国汽车技术研究中心有限公司 An intelligent modeling method for the SCR reaction process of diesel vehicle exhaust

Citations (9)

* Cited by examiner, † Cited by third party
Publication numberPriority datePublication dateAssigneeTitle
CN106991507A (en)*2017-05-192017-07-28杭州意能电力技术有限公司A kind of SCR inlet NOx concentration on-line prediction method and device
US20170274737A1 (en)*2016-03-282017-09-28Ford Global Technologies, LlcAir pollution reacting system in a vehicle
CN108615089A (en)*2018-03-272018-10-02东北电力大学A kind of short-term wind speed hybrid forecasting method based on recurrence quantification analysis
CN108985381A (en)*2018-07-252018-12-11广东工业大学The determination method, device and equipment of nitrogen oxide emission prediction model
CN109145988A (en)*2018-08-222019-01-04广东电网有限责任公司Determination method, apparatus, equipment and the storage medium of the target operating condition of denitrating system
CN109190848A (en)*2018-10-172019-01-11大唐环境产业集团股份有限公司A kind of SCR system NO based on Time-delay PredictionxConcentration of emission prediction technique
CN110110915A (en)*2019-04-282019-08-09上海电力学院A kind of integrated prediction technique of the load based on CNN-SVR model
CN110263395A (en)*2019-06-062019-09-20东南大学The power plant's denitration running optimizatin method and system analyzed based on numerical simulation and data
CN111046577A (en)*2019-12-242020-04-21王国峰Heavy gas turbine pollutant emission prediction model design method

Patent Citations (9)

* Cited by examiner, † Cited by third party
Publication numberPriority datePublication dateAssigneeTitle
US20170274737A1 (en)*2016-03-282017-09-28Ford Global Technologies, LlcAir pollution reacting system in a vehicle
CN106991507A (en)*2017-05-192017-07-28杭州意能电力技术有限公司A kind of SCR inlet NOx concentration on-line prediction method and device
CN108615089A (en)*2018-03-272018-10-02东北电力大学A kind of short-term wind speed hybrid forecasting method based on recurrence quantification analysis
CN108985381A (en)*2018-07-252018-12-11广东工业大学The determination method, device and equipment of nitrogen oxide emission prediction model
CN109145988A (en)*2018-08-222019-01-04广东电网有限责任公司Determination method, apparatus, equipment and the storage medium of the target operating condition of denitrating system
CN109190848A (en)*2018-10-172019-01-11大唐环境产业集团股份有限公司A kind of SCR system NO based on Time-delay PredictionxConcentration of emission prediction technique
CN110110915A (en)*2019-04-282019-08-09上海电力学院A kind of integrated prediction technique of the load based on CNN-SVR model
CN110263395A (en)*2019-06-062019-09-20东南大学The power plant's denitration running optimizatin method and system analyzed based on numerical simulation and data
CN111046577A (en)*2019-12-242020-04-21王国峰Heavy gas turbine pollutant emission prediction model design method

Non-Patent Citations (3)

* Cited by examiner, † Cited by third party
Title
XUEWEI G等: ""Research on the Big Data Modeling of SCR Denitration System Based on PCA-HPSO-SVR"", 《PROCESS AUTOMATION INSTRUMENTATION》*
翁卫国等: ""基于入口NOx浓度软测量的脱硝系统先进控制研究"", 《锅炉制造》*
高常乐等: ""基于LSTM的烟气NO_x浓度动态软测量模型"", 《热能动力工程》*

Cited By (10)

* Cited by examiner, † Cited by third party
Publication numberPriority datePublication dateAssigneeTitle
CN112200350A (en)*2020-09-172021-01-08广东安博通信息科技有限公司Flue gas emission prediction method, system and computer readable storage medium
CN111860701A (en)*2020-09-242020-10-30大唐环境产业集团股份有限公司Denitration system working condition discrimination preprocessing method based on clustering method
CN111860701B (en)*2020-09-242021-01-26大唐环境产业集团股份有限公司Denitration system working condition discrimination preprocessing method based on clustering method
CN111931426A (en)*2020-09-252020-11-13大唐环境产业集团股份有限公司Method and equipment for determining influence factors of concentration of nitrogen oxides at inlet of SCR (Selective catalytic reduction) reactor
CN111931426B (en)*2020-09-252021-01-26大唐环境产业集团股份有限公司Method and equipment for determining influence factors of concentration of nitrogen oxides at inlet of SCR (Selective catalytic reduction) reactor
CN112418284A (en)*2020-11-162021-02-26华北电力大学 A control method and system for an SCR denitration system in a power station under full operating conditions
CN112651166A (en)*2020-11-242021-04-13呼和浩特科林热电有限责任公司Denitration system inlet nitrogen oxide concentration prediction method and device and denitration system
CN113450880A (en)*2021-08-312021-09-28大唐环境产业集团股份有限公司Desulfurization system inlet SO2Intelligent concentration prediction method
CN115201408A (en)*2022-06-132022-10-18东南大学 A method for predicting the concentration of sulfur dioxide at the desulfurization outlet under all working conditions
CN115798624A (en)*2023-02-012023-03-14中国汽车技术研究中心有限公司 An intelligent modeling method for the SCR reaction process of diesel vehicle exhaust

Also Published As

Publication numberPublication date
CN111581581B (en)2021-02-02

Similar Documents

PublicationPublication DateTitle
CN111581581B (en)Method and system for detecting NOx concentration at SCR inlet under multi-boundary condition
CN111804146B (en)Intelligent ammonia injection control method and intelligent ammonia injection control device
CN109190848B (en)SCR system NO based on time delay predictionxEmission concentration prediction method
CN112488145B (en)NO based on intelligent methodxOnline prediction method and system
Fan et al.Integration of continuous restricted Boltzmann machine and SVR in NOx emissions prediction of a tangential firing boiler
CN110263395A (en)The power plant's denitration running optimizatin method and system analyzed based on numerical simulation and data
CN110368808A (en)A kind of the ammonia spraying amount control method and system of SCR flue gas denitrification system
CN113469449B (en)Optimization control method and system for desulfurization system
CN112613237B (en)CFB unit NOx emission concentration prediction method based on LSTM
CN111522290A (en)Denitration control method and system based on deep learning method
CN110762540A (en) Combustion decision method and automatic combustion control method and system of waste incinerator
CN113440990A (en)EMD-LSTM based outlet SO2Concentration prediction method
CN111860701B (en)Denitration system working condition discrimination preprocessing method based on clustering method
CN117668715A (en) A GRU-based modeling method for intelligent prediction of NOx emissions from thermal power plants
Yin et al.Enhancing deep learning for the comprehensive forecast model in flue gas desulfurization systems
CN118602396B (en)Combustion optimization method and device for multi-flow circulating fluidized bed boiler
CN113175678A (en)Method and device for monitoring garbage incineration
CN118428281A (en) A method for analyzing and predicting combustion state of garbage incinerator
CN116050643A (en) An Integrated Model-Based Prediction Method of Process Industry Pollutant Emission Concentration
CN116110506A (en) An online soft measurement method for dioxin emission concentration in MSWI process
CN119724398A (en) A method and device for predicting flue gas parameters in power plants
CN116312869A (en)Method, device and system for predicting nitrogen oxides in catalytic cracking regenerated flue gas
CN114334026A (en) SO2 prediction method based on PSO-LSTM
CN115356998B (en) Nitrogen oxide prediction method and related device based on artificial intelligence
CN111860923A (en)Boiler flue gas NO based on multi-model clustering integrationxEmission prediction algorithm

Legal Events

DateCodeTitleDescription
PB01Publication
PB01Publication
SE01Entry into force of request for substantive examination
SE01Entry into force of request for substantive examination
GR01Patent grant
GR01Patent grant

[8]ページ先頭

©2009-2025 Movatter.jp