Method for capturing extrahepatic vesicle or circulating tumor cell by using ASGPR (adenosine triphosphate) small molecule ligand specificityTechnical Field
The invention relates to the field of biotechnology. More specifically, the application relates to methods of using ASGPR small molecule ligands to specifically capture hepatic exosomes or circulating tumor cells.
Background
Extracellular Vesicles (EVs) refer to vesicular bodies with a double-layer membrane structure that are shed from the cell membrane or secreted from the cell, and have diameters varying from 30nm to 1000 nm. Extracellular vesicles are mainly composed of Microvesicles (MVs) and Exosomes (Exs), which are small vesicles that are shed from the cell membrane after cell activation, damage or apoptosis, and have a diameter of about 100nm to 1000 nm. Exosomes are released extracellularly in a secreted form after fusion with the cell membrane by intracellular multivesicular bodies (multivesicular bodies), and have a diameter of about 30nm to 160 nm.
Extracellular vesicles are widely present in cell culture supernatants and various body fluids (blood, lymph, saliva, urine, semen, milk), carry various proteins, lipids, DNA, mRNA, miRNA and the like related to cell sources, and participate in processes such as intercellular communication, cell migration, angiogenesis, immunoregulation and the like. Exosomes from different histiocytes can exert different biological functions due to different components such as carried proteins, and the exosomes can be used as biomarkers to provide rich, stable, sensitive and specific biological information, have a long half-life in vivo, are liquid biopsy specimens with high application value, and are expected to play a role in early diagnosis of various diseases. At present, methods of ultracentrifugation, magnetic bead immunocapture, precipitation or filtration are mostly adopted to carry out the early separation of exosome, wherein the traditional ultracentrifugation needs complicated steps and expensive instruments, which may result in low recovery rate and high cost; although high-purity exosomes can be obtained by an antibody affinity method and a density gradient centrifugation method, exosomes in an intact state cannot be obtained, and physiological functions of the exosomes in the intact state cannot be analyzed. On the other hand, standard methods widely used for exosome quantification, such as enzyme-linked immunosorbent assay (ELISA) and western blot, are limited by large sample requirements and low sensitivity.
In the conventional immunoaffinity magnetic bead capture, an exosome-specific marker (such as CD63) or an apoptosis-related protein (such as protein 4 of a T cell immunoprolin structural domain and a mucin structural domain, Tim4) is mainly bound with the magnetic beads to form a solid phase carrier, so that the exosome affinity capture is performed. Although the exosome with high purity can be obtained by the method, the exosome does not have tissue specificity and has limited effect in early diagnosis of diseases.
Circulating Tumor Cells (CTCs) are tumor cells that are shed from primary tumor tissue and invade into the blood circulation system. CTCs can metastasize through the blood circulation system to other tissues and develop into metastases, one of the major pathways leading to tumor metastasis.
The generation, development and metastasis of CTCs tumors in blood are closely related, so that the CTCs can be clinically used for early diagnosis of tumors and monitoring the curative effect and recurrence of patients. Therefore, the capture and detection of the CTCs in the blood are of great biological and clinical significance. However, since the content of CTCs in blood is very small and interference by blood cells and the like is very serious, there is a high demand for sensitivity and specificity of a CTCs detection technique.
At present, there are three main methods for effectively capturing CTCs: the method is independent of cell surface antigens, reduces the damage to cells to the maximum extent, and can provide active samples for subsequent analysis. However, the CTCs and the blood cells have a certain degree of overlap in biophysical properties, so the purity of the obtained CTCs needs to be further improved; secondly, separating the CTCs based on the principle of biological affinity; the characteristics of CTCs and tissue-derived markers, such as epithelial cell adhesion molecule (EpCAM), Cytokeratin (CK), carcinoembryonic antigen (CEA), and prostate antigen (PSA). The CTCs capturing method based on the principle of biological affinity is characterized in that the antibody of the marker is immobilized on the surface of a matrix material, and the separation and the capture of the CTCs are realized based on the specific binding between the antibody and the marker. The method can obtain higher capture purity, but the antigenicity of the CTCs is lost due to the fact that the CTCs undergo the transformation process from epithelial cells to mesenchymal cells in blood, and the obtained CTCs sample has false negative. In addition, the difficulty of non-destructive release of CTCs is increased due to the high binding constant of the antibody to the cells. The CTCs capturing method based on the artificial antibody is an artificial synthetic material which is based on molecular recognition and can be specifically combined with target molecules by simulating an antibody-antigen interaction mechanism, comprises an aptamer, specific polypeptide and a molecularly imprinted material, has a combination constant equivalent to that of the antibody, has the advantages of low cost, good stability, easiness in chemical synthesis and modification and the like, and is widely applied to recognition and separation of small molecular drugs, environmental pollutants, polypeptide and protein. Although the artificial antibodies are still in the initial stage of CTCs, the artificial antibodies have shown good application prospects.
Hepatocellular carcinoma (liver cancer for short) is one of the most common malignant tumors in the world, the newly diagnosed liver cancer accounts for 55 percent of the world every year in China, and the mortality rate is the second place in all the malignant tumors. The existing data statistics show that: the 5-year survival rate of late liver cancer is close to 0, and the 5-year survival rate of early liver cancer can reach more than 60% after the early liver cancer is treated by radical operation. Liver cancer is hidden, no specific symptom exists in the early stage, and about 8 patients have advanced the first diagnosis and lose the chance of radical operation; even if radical operation treatment is carried out, 60 to 70 percent of patients still have metastasis and relapse within 5 years; the overall survival rate of the liver cancer patients in 5 years is only about 7 percent. Therefore, the method breaks through the large diagnosis of early stage and has remarkable significance for the improvement of diagnosis and treatment of liver cancer.
The asialoglycoprotein receptor (ASGPR), also called liver agglutinin, is a membrane surface protein completely expressed by liver cells, and is a heterogeneous oligomer endocytosis receptor, which is a membrane receptor which is specific to liver cells and exists on the surfaces of liver cells in large quantity, and the quantity and the function of the membrane receptor directly reflect the normality of the liver cells. ASGPR mainly comprises two subunits H1(ASGPR1) and H2(ASGPR2), the molecular weights are respectively 46kD and 50kD, and the content ratio of the two subunits is about 3: 1. All subunits of ASGPR are involved in the function of binding ligand, and can be used for capturing and detecting liver cancer cells.
At present, the ASGPR1 antibody or ASGPR2 antibody is mostly used for detecting liver cancer cells at home and abroad. However, there remains a need in the art for products that can capture and detect extracellular vesicles such as exosomes and circulating tumor cells with higher capture efficiency and affinity.
Disclosure of Invention
The human asialoglycoprotein receptor (ASGPR) is specifically expressed on the plasma membrane surface of hepatocytes and is abundant, with approximately half of the ASGPR being present in intracellular endosomal transport-associated vesicles, endoplasmic reticulum, or golgi apparatus. ASGPR is capable of specifically recognizing galactose (Gal) or N-acetylglucosamine (GlcNAc) of circulating glycoproteins, thereby mediating clearance of sialic Acid Seromucoid (ASOR), asialoglycocyanin, asialoglycotransferrin.
The inventor finds that the surface of the hepatocyte-derived extracellular vesicles expresses ASGPR, and the extracellular vesicles such as exosomes are captured and enriched and separated by using ASGPR ligand small molecules (such as triantenna GalNAc) or polymers containing the ASGPR ligand small molecules. It has also been found that the targeted capture and enrichment isolation of liver-derived circulating tumor cells is achieved by capturing circulating tumor cells using small molecules of ASGPR ligands (e.g., triantenna GalNAc) or polymers comprising the same.
Specifically, the present invention achieves the object of the present invention by the following embodiments.
1. A polymer in dendritic or catenary form, wherein the polymer comprises a small molecule ligand of one or more human asialoglycoprotein receptors (ASGPR, e.g., ASGPR1 or ASGPR2) attached to the backbone of the polymer and capable of specifically binding ASGPR, preferably the small molecule ligand is N-acetylglucosamine (GlcNAc), galactose (Gal), galactoside, or N-acetylgalactosamine (GalNAc), preferably GalNAc.
2. The polymer ofitem 1, wherein the small molecule ligand is directly attached to the backbone of the polymer by a covalent bond or indirectly attached to the backbone of the polymer by a linker.
3. The polymer ofclause 1 or 2, wherein the small molecule ligand is GalNAc, and the GalNAc is antennary (GalNAc)nFormally attached to the backbone of the polymer, wherein n represents the number of antennae and n is an integer from 1 to 9, preferably 3, 6 or 9, more preferably 3.
4. The polymer of any of items 1-3, wherein the backbone of the polymer is a single-stranded DNA and the small molecule ligand is attached to an end of the single-stranded DNA.
5. The polymer of item 4, wherein the single-stranded DNA is directly bound to a solid surface or support or indirectly attached to the solid surface or support through a long DNA strand complementary to its base, preferably the long DNA strand is base complementary to one or more of the single-stranded DNAs forming a tandem small molecule ligand, e.g., at least 2 small molecule ligands in tandem, preferably 2-10 small molecule ligands in tandem, more preferably 3, 6 or 9 small molecule ligands in tandem, most preferably the small molecule ligands are in a three antennary angle (GalNAc)3The forms are connected in series.
6. The polymer ofitem 5, wherein the long strand of DNA is bound to the solid surface or support by biotin-streptavidin or biotin-avidin interaction.
7. The polymer of any of items 1-3, wherein the backbone of the polymer is a polyamide, polyolefin, polyester or polyether, such as PA6, PA66, PA11, PA12, polyethylene, polyvinyl chloride, polyethylene terephthalate, polybutylene terephthalate, polyethylene glycol, polypropylene glycol.
8. The polymer of item 7, wherein the scaffold is bound to a solid surface or support by covalent or non-covalent interactions.
9. The polymer of any of items 1-8, wherein the solid surface or support is selected from the group consisting of a particulate, a membrane, a column, a magnetic bead, a resin, and any combination thereof.
10. A method for enriching or isolating liver tissue-specific extracellular vesicles from a sample of biological fluid, comprising the steps of:
optionally isolating total extracellular vesicles from the biological fluid sample by physical separation methods, such as precipitation, size exclusion chromatography, density gradient centrifugation, ultracentrifugation, differential centrifugation, nanomembrane ultrafiltration, microfluidic separation;
contacting the biological fluid sample or the total extracellular vesicles with a binding agent that specifically binds to human asialoglycoprotein receptor (ASGPR) to form a binding agent-extracellular vesicle complex;
isolating the binding agent-extracellular vesicle complex;
optionally releasing extracellular vesicles, which are liver cancer-specific extracellular vesicles, from the binding agent-extracellular vesicle complex;
preferably, the solid surface or support is selected from the group consisting of a particulate, a membrane, a column, a magnetic bead, a resin, and any combination thereof, wherein the binding agent that specifically binds to human asialoglycoprotein receptor (ASGPR) is an anti-ASGPR antibody (e.g., ASGPR1 antibody or ASGPR2 antibody), preferably a monoclonal or polyclonal antibody, a synthetic antibody, a single chain antibody, or an antigen-binding fragment of an antibody bound to the solid surface or support, or the binding agent that specifically binds to human asialoglycoprotein receptor (ASGPR) is a polymer of any one of items 1-9 or a small molecule ligand of any one of items 1-9, wherein the small molecule ligand is N-acetylglucosamine (GlcNAc), galactose (Gal), galactoside, or N-acetylgalactosamine (GalNAc), preferably GalNAc, more preferably (GalNAc)3。
11. The method ofitem 10, wherein the extracellular vesicles comprise microvesicles, exosomes or a mixture thereof, preferably exosomes.
12. The method of any of items 10-11, wherein the biological fluid sample comprises: blood, serum, plasma, urine, sputum, ascites, saliva, feces, pleural effusion, pericardial fluid, lymph fluid, chyme, bile, cell culture supernatant, or any combination thereof.
13. The method according to any of items 10-12, wherein the binding agent is labeled with a magnetic, fluorescent or radioactive label.
14. A method for enriching or isolating liver-specific circulating tumor cells from a biological fluid sample, comprising the steps of:
contacting a sample of biological fluid with a binding agent that specifically binds to human asialoglycoprotein receptor (ASGPR) to capture liver-specific circulating tumor cells of origin, optionally isolating said captured liver-specific circulating tumor cells of origin,
wherein the binding agent that specifically binds human asialoglycoprotein receptor (ASGPR) is a polymer according to any one ofitems 1 to 9 or a small molecule ligand as referred to in any one ofitems 1 to 9, wherein the small molecule ligand is N-acetylglucosamine (GlcNAc), galactose (Gal), galactoside, or N-acetylgalactosamine (GalNAc), preferably GalNAc, more preferably (GalNAc)3。
15. The method of item 14, wherein the biological fluid sample (e.g., blood sample) is purified from impurities such as red blood cells, platelets, white blood cells, and plasma proteins by a physical separation method (e.g., size separation filtration).
16. The method ofclause 15, wherein the purified biological fluid sample is depleted of leukocytes by contact with one or more binding agents, e.g., antibodies, that specifically bind to one or more leukocyte biomarkers, e.g., CD45, CD16, CD 19.
17. The method of any of items 14-16, wherein the biological fluid comprises: blood, serum, plasma, urine, sputum, ascites, saliva, feces, pleural effusion, pericardial fluid, lymph fluid, chyme, bile, cell culture supernatant, or any combination thereof.
18. The method according to any of items 14-16, wherein the binding agent is labeled with a magnetic, fluorescent or radioactive label.
19. A kit for the enrichment or isolation of liver tissue-specific Extracellular Vesicles (EVs) or liver-specific circulating tumor cells of origin from a biological fluid comprising a binding agent that specifically binds to human asialoglycoprotein receptor (ASGPR), wherein the binding agent is an antibody, preferably a monoclonal, against ASGPRA diabody or polyclonal antibody, a synthetic antibody, a single chain antibody or antigen binding fragment of an antibody, or the binding agent is a polymer according to any one of items 1-9 or a small molecule ligand according to any one of items 1-9, wherein the small molecule ligand is N-acetylglucosamine (GlcNAc), galactose (Gal), galactoside or N-acetylgalactosamine (GalNAc), preferably GalNAc, more preferably (GalNAc)3。
20. The kit of item 19, wherein the binding agent is labeled with a magnetic, fluorescent, or radioactive label.
21. Use of a binding agent that specifically binds to human asialoglycoprotein receptor (ASGPR) for the enrichment or isolation of liver tissue-specific Extracellular Vesicles (EVs) or liver-specific circulating tumor cells of origin from a biological fluid, wherein the binding agent is an antibody, preferably a monoclonal or polyclonal antibody, a synthetic antibody, a single chain antibody or antigen-binding fragment of an antibody against ASGPR, or the binding agent is a polymer according to any one ofitems 1 to 9 or a small molecule ligand according to any one ofitems 1 to 9, wherein the small molecule ligand is N-acetylglucosamine (GlcNAc), galactose (Gal), galactoside or N-acetylgalactosamine (GalNAc), preferably GalNAc, more preferably (GalNAc)3。
Embodiments of the invention have the following features and advantages:
1) compared with an antibody, the affinity of the small molecular ligand and the protein is higher, and the capture efficiency of extracellular vesicles or circulating tumor cells can be improved;
2) binding of ASGPR is liver tissue specific, with ligand triantenna (GalNAc) relative to existing magnetic bead affinity capture3The targeting effect is achieved by combining the protein with the protein, and the targeting capture of high-purity specific extracellular vesicles, particularly exosomes or circulating tumor cells can be realized;
3) the exosome obtained after capture elution is not influenced by pH and salt concentration, has a complete structure and keeps activity, and is beneficial to downstream experiments;
4) in a small molecule ligand capture system, due to the difference of charges carried by a ligand and magnetic beads, the magnetic beads have good dispersibility and are not easy to generate the phenomena of agglomeration and the like;
5) the multi-molecule tandem structure formed by modifying and modifying ligand GalNAc increases ASGPR binding sites, thereby improving capture efficiency.
6) The ligand capture exosome has certain clinical significance, and the detection of exosome markers in liver cancer patients is obviously higher than that of healthy people.
Drawings
FIG. 1 is a flow chart of flow cytometry for the detection of the expression level of surface ASGPR (ASGPR1 and ASGPR2) of the hepatomacell line HepG 2.
FIG. 2 is a schematic diagram of the extraction of exosomes by ultracentrifugation.
FIG. 3 shows Western blot (Western blot) to identify cell supernatant-derived exosome markers.
FIG. 4 shows flow-assay of hepatoma cell line HepG2 supernatant-derived exosome ASGPR expression.
Figure 5 shows western blot identification of serum-derived exosome markers.
Figure 6 shows flow-assay of serum-derived exosome ASGPR expression.
FIG. 7 is schematic diagram of GalNAc small molecule and DNA modification.
FIG. 8 shows agarose gel identification tandem (GalNAc)3And (5) structure.
FIG. 9 shows immunofluorescence detection (GalNAc)3(G3) Binding activity.
FIG. 10 is a fluorescence image of antibody, ligand-captured cells.
FIG. 11 shows a comparison of magnetic bead dispersibility after capture of cells by antibody and ligand.
FIG. 12 is a graph showing that the capture efficiency of GalNac ligand tandem small molecules on hepatoma carcinoma cells is more than 90%.
FIG. 13 shows magnetic beads, (GalNAc)3Tandem small molecule, (GalNAc)3Comparison of numbers of non-specifically adsorbed cells of monomeric small molecules.
FIG. 14 is a schematic diagram of BE-SEC separation of extracellular vesicles.
Figure 15 shows the CD81 content measurements after exosome capture.
Figure 16 shows ASGPR content measurement after exosome capture.
FIG. 17 is a transmission electron microscopy identification of exosomes after capture.
Figure 18 shows the difference in the exosome marker CD81 in healthy humans and liver cancer samples.
Figure 19 shows the difference in the exosome marker ASGPR in healthy humans and liver cancer samples.
Detailed Description
In one embodiment, the application relates to a polymer in dendritic or chain form comprising one or more small molecule ligands of the human asialoglycoprotein receptor (ASGPR) attached to the backbone of the polymer, preferably the small molecule ligand is N-acetylglucosamine (GlcNAc), galactose (Gal), galactoside or N-acetylgalactosamine (GalNAc), preferably GalNAc. The small molecule ligand may be directly linked to the backbone of the polymer through a covalent bond or indirectly linked to the backbone of the polymer through a linker. The small molecule ligands in the polymer retain the function of free small molecule ligands, i.e., are still capable of specifically binding to extracellular vesicles or circulating tumor cell surface ASGPR.
In one embodiment, the small molecule ligand is GalNAc, wherein the GalNAc is antennary (GalNAc)nFormally attached to the backbone of the polymer, wherein n represents the number of antennae and n is an integer from 1 to 9, preferably 3, 6 or 9, more preferably 3. The inventors of the present application have found that three-antenna (GalNAc) is preferable to, one-antenna and two-antenna types3Capable of binding ASGPR with higher affinity, probably due to the triantenna (GalNAc)3Three GalNAc s in (a) are capable of binding to three different sites of ASGPR, respectively, and thus have higher binding affinity.
In one embodiment, the backbone of the polymer is a single-stranded DNA, and the small molecule ligand is attached to an end of the single-stranded DNA, e.g., a 5 'end or a 3' end. The single-stranded DNA is indirectly linked to the carrier by base complementarity with a long DNA strand bound to the carrier, preferably the long DNA strand forms base complementarity with one or more of the single-stranded DNAs, forming a tandem small molecule ligand, e.g., at least 2 small molecule ligands in tandem, preferably 2-10 small molecule ligands in tandem, more preferably 3, 6 or 9 small molecule ligands in tandem, more preferably the small molecule ligands are in a triantennary format. The support includes, but is not limited to, for example, a particulate, a membrane, a column, a magnetic bead, a resin, any combination thereof, and the like. The long DNA chain can be obtained by biotin: streptavidin or biotin-avidin is bound to the support.
In one embodiment, the backbone of the polymer includes, but is not limited to, polyamides, polyolefins, polyesters or polyethers, such as PA6, PA66, PA11, PA12, polyethylene, polyvinyl chloride, polyethylene terephthalate, polybutylene terephthalate, polyethylene glycol, polypropylene glycol. In one embodiment, the scaffold is linked to the carrier by covalent or non-covalent interactions.
In one embodiment, the present invention relates to a method for enriching or isolating liver tissue-specific extracellular vesicles from a sample of biological fluid, comprising the steps of:
optionally 1) isolating total extracellular vesicles from said biological fluid sample by a physical separation method, such as precipitation, size exclusion chromatography, density gradient centrifugation, ultracentrifugation, differential centrifugation, nanomembrane ultrafiltration, microfluidic separation;
2) contacting the biological fluid sample or the total extracellular vesicles with a binding agent that specifically binds to human asialoglycoprotein receptor (ASGPR) to form a binding agent-extracellular vesicle complex;
3) isolating the binding agent-extracellular vesicle complex;
optionally 4) releasing extracellular vesicles, which are liver cancer-specific extracellular vesicles, from the binding agent-extracellular vesicle complex;
wherein the binding agent that specifically binds human asialoglycoprotein receptor (ASGPR) is an anti-ASGPR antibody, preferably a monoclonal or polyclonal antibody, a synthetic antibody, a single chain antibody, or an antigen binding fragment of an antibody bound to a solid surface or a carrier, preferably the solid surface or carrier is selected from a particleAn object, a membrane, a column, a magnetic bead, a resin, and any combination thereof, or the binding agent is a polymer or small molecule ligand as described herein, wherein the small molecule ligand is N-acetylglucosamine (GlcNAc), galactose (Gal), galactoside, or N-acetylgalactosamine (GalNAc), preferably GalNAc, more preferably (GalNAc)3。
The separation of the binding agent-extracellular vesicle complexes can be achieved by physical separation methods known in the art, such as precipitation, centrifugation, magnetic separation, and the like. The binding agent-extracellular vesicle complex can be used directly. For example for subsequent clinical analytical diagnosis. Or extracellular vesicles may be released from the binding agent-extracellular vesicle complex and used in subsequent applications. The release may be achieved by physical methods known in the art. For example, by washing with a buffer.
In one embodiment, the present invention relates to a method for enriching or isolating liver-specific circulating tumor cells from a sample of biological fluid, comprising the steps of:
1) optionally purifying the biological fluid sample, e.g., blood sample, by physical separation methods, e.g., size separation filtration, to remove impurities, such as red blood cells, platelets, white blood cells, and plasma proteins;
2) optionally removing leukocytes from the sample of biological fluid, optionally subjected to the purification treatment of step 1), by contacting with one or more binding agents, e.g. antibodies, that specifically bind to one or more leukocyte biomarkers, such as CD45, CD16, CD 19;
3) contacting the biological fluid sample from step 2) with a binding agent that specifically binds to human asialoglycoprotein receptor (ASGPR) to capture liver-specific circulating tumor cells of origin;
4) optionally isolating said captured liver-specific circulating tumor cell of origin;
wherein the binding agent that specifically binds to human asialoglycoprotein receptor (ASGPR) is a polymeric or small molecule ligand as described herein, whereinThe small molecule ligand is N-acetylglucosamine (GlcNAc), galactose (Gal), galactoside or N-acetylgalactosamine (GalNAc), preferably GalNAc, more preferably (GalNAc)3。
The liver-specific circulating tumor cells of origin captured by the binding agent may be used in subsequent applications, for example, in clinical diagnostic assays. Alternatively, the liver-specific circulating tumor cells can be released from the liver-specific circulating tumor cells captured by the binding agent by physical separation methods known in the art, such as by washing with a buffer.
The term "optionally" as used herein means that a process may or may not include a step or that a product (e.g., a composition) includes or does not include a component.
As used herein, a biological fluid or biological fluid sample refers to a biological fluid from a subject, including: blood, serum, plasma, urine, sputum, ascites, saliva, feces, pleural effusion, pericardial fluid, lymph fluid, chyme, bile, or cell culture supernatant or any combination thereof.
A variety of biomarkers are known in the art, different cells and both normal and diseased cells may express different biomarkers. Common leukocyte biomarkers include: CD45, CD16, CD19, and the like. Common exosome biomarkers include: CD63, CD81, CD9, and the like.
The physical parameter described herein may be a physical parameter such as size or density. Total extracellular vesicles can be isolated by physical methods such as size exclusion chromatography, density gradient centrifugation, ultracentrifugation, differential centrifugation, nanomembrane ultrafiltration, microfluidic separation, etc., by one skilled in the art based on these physical parameters. The person skilled in the art removes impurities from a sample of biological fluid containing circulating tumor cells by physical separation methods such as cell lysis, size separation, filtration of the removed cells such as red blood cells, platelets, white blood cells and plasma proteins based on these physical parameters.
Extracellular vesicles may be released from ASGPR binding agent-extracellular vesicle complexes as further desired. Alternatively, extracellular vesicles may be released from ASGPR binding agent-circulating tumor cell complexes. For example, by elution with an elution buffer.
Binding agents known in the art include, but are not limited to, DNA, RNA, monoclonal antibodies, polyclonal antibodies, Fabs, Fab', single chain antibodies, synthetic antibodies, peptidomimetics, zDNA, Peptide Nucleic Acids (PNA), Locked Nucleic Acids (LNAs), lectins, synthetic or naturally occurring chemical compounds (including, but not limited to, agents, labeling agents), dendrimers (e.g., three-dimensional gold/copper nanotrians, polyallylamine-octylamine dendrimers), ligands, such as small molecule ligands, or combinations thereof.
For example, the binding agent of the invention may be an antibody or antibody fragment, a monoclonal or polyclonal antibody, a synthetic antibody, a single chain antibody, preferably the binding agent is a monoclonal antibody. Antibodies include, but are not limited to, polyclonal antibodies, monoclonal antibodies, bispecific antibodies, synthetic antibodies, humanized antibodies, chimeric antibodies, single chain antibodies, Fab fragments and F (ab ') 2 fragments, Fv or Fv' portions, fragments produced by Fab expression libraries, anti-idiotypic (anti-Id) antibodies or binding fragments of an epitope of any of the above.
In one embodiment, the binding agent of the invention may also be a polymer as defined herein.
In one embodiment, the binding agent of the invention is a small molecule ligand. The small molecule ligand can be directly connected with a certain solid surface or a carrier, or can be connected with the solid surface or the carrier after forming a multi-molecule tandem structure, and preferably, the small molecule ligand is connected to the tail end of the single-stranded DNA. In one embodiment, the single-stranded DNA is indirectly linked to a solid surface or support by base complementarity to a long DNA strand bound to the solid surface or support, preferably the long DNA strand forms base complementarity with one or more of the single-stranded DNAs, forming a tandem small molecule ligand. In one embodiment, the long DNA strands are bound to the solid surface or support by biotin-streptavidin or biotin-avidin interactions. In one embodiment, the long-chain end of the DNA is coupled with biotin, and the solid surface or carrier is coupled with streptavidin or avidin. In one embodiment, the small molecule ligand is an asialoglycoprotein (such as ASOR), N-acetylglucosamine (GlcNAc), galactose (Gal), galactoside, or N-acetylgalactosamine (GalNAc), preferably GalNAc, wherein said GalNAc is in the form of antennal (GalNAc) N, wherein N represents the number of antennals and N is an integer from 1 to 9, preferably 3, 6 or 9, more preferably 3. Sialoglycoproteins (e.g. ASOR), galactose (Gal), galactoside or N-acetyl galactoside (GalNAc) are ligands that bind specifically to ASGPR, all by the same principle, through galactose residues to functional regions of ASGPR and therefore all can be used for capture of extracellular vesicles or circulating tumor cells.
In one embodiment, the solid surface or support is selected from the group consisting of a particulate, a membrane, a column, a magnetic bead, a resin, and any combination thereof. It will be appreciated by those skilled in the art that other forms of vectors may be used in the present invention in general, as long as the binding agent to which the vector is attached is capable of specifically binding the biomarker and extracellular vesicles such as exosomes or circulating tumor cells may be released from the complex by conventional methods.
The binding agents of the invention may also be attached directly or indirectly to a solid surface or substrate. The solid surface or substrate may be any physically separable solid to which the binding agent may be directly or indirectly attached, including but not limited to surfaces provided by microarrays and wells, particles (e.g., beads), columns, optical fibers, glass and modified or functionalized glass, quartz, mica, diazotized films (paper or nylon), polyoxymethylene, cellulose acetate, paper, ceramics, metals, non-metals, semiconductor materials, quantum dots, coated beads or particles, other chromatographic materials, magnetic particles; plastics (including acrylates, polystyrenes, copolymers of styrene or other materials, polypropylene, polyethylene, polybutylene, polyurethane, TEFLON)TMEtc.), polysaccharides, nylon or nitrocellulose, resins, silica or silica-based materials (including silicon and modified silicon), carbon, metals, inorganic glasses, plastics, ceramics, conductive polymers (including, for example, polymeric polymers)Polymers such as pyrrole and polybenzazole); microstructured or nanostructured surfaces, such as nucleic acid tiled arrays, nanotube, nanowire or nanoparticle decorated surfaces; or a porous surface or gel, such as a methacrylate, acrylamide, sugar polymer, cellulose, silicate or other fibrous or chain-like polymer. In addition, passive or chemically derivatized coatings having any number of materials (including polymers such as dextran, acrylamide, gelatin, or agarose) may be used to coat the substrate, as is known in the art. Such coatings may facilitate the use of arrays with biological samples.
The binding agents described herein may also be labeled with substances including, but not limited to, magnetic labels, fluorescent moieties, enzymes, chemiluminescent probes, metallic particles, non-metallic colloidal particles, polymeric dye particles, pigment molecules, pigment particles, electrochemically active substances, semiconductor nanocrystals, or other nanoparticles (including quantum dots or gold particles). The label may be, but is not limited to, a fluorophore, a quantum dot, or a radiolabel. For example, the label may be a radioisotope (radionuclide), e.g.3H,11C,14C,18F,32P,35S,64Cu,68Ga,86Y,99Tc,111In,123I,124I,125I,131I,133Xe,177Lu,211At or213And (4) Bi. The label can be a fluorescent label, such as a rare earth chelate (europium chelate); fluorescein types such as, but not limited to, FITC, 5-carboxyfluorescein, 6-carboxyfluorescein; rhodamine types such as, but not limited to, TAMRA; dansyl; lissamine; an anthocyanin; phycoerythrin; texas red; and their analogs.
In one embodiment, the binding agents described herein are labeled with a magnetic, fluorescent, or radioactive label.
The binding agent may also be bound to particles, such as beads or microspheres. For example, antibodies specific for extracellular vesicles or circulating tumor cell components can be bound to the particles, and the antibody-bound particles can be used to isolate extracellular vesicles or circulating tumor cells in a biological fluid sample. In certain embodiments, the microspheres may be magnetically or fluorescently labeled.
Furthermore, the binding agent used to isolate extracellular vesicles or circulating tumor cells may be the solid substrate itself. For example, rubber beads, such as acetaldehyde/sulfate beads, may be used.
The binding agent may be used after concentration or isolation of extracellular vesicles (e.g., exosomes) from the biological sample. For example, extracellular vesicles (e.g., exosomes) in a biological sample may be isolated first, and then extracellular vesicles (e.g., exosomes) with specific biomarkers may be isolated using binding agents for the biomarkers. Thus, extracellular vesicles (e.g., exosomes) with specific biomarkers are isolated from a heterogeneous population of extracellular vesicles (e.g., exosomes). Alternatively, the binding agent may be used on a biological sample comprising extracellular vesicles (e.g., exosomes) without a prior isolation step or concentration step of extracellular vesicles (e.g., exosomes). For example, binding agents are used to isolate extracellular vesicles (e.g., exosomes) having specific biomarkers in a biological sample.
In one embodiment, the biological fluid comprises: blood, serum, plasma, urine, sputum, ascites, saliva, feces, pleural effusion, pericardial fluid, lymph fluid, chyme, bile, cell culture supernatant, or any combination thereof. In one embodiment, the binding agent is labeled with a magnetic, fluorescent, or radioactive label.
In one embodiment, the extracellular vesicles include, but are not limited to, microvesicles, exosomes or mixtures thereof, and the like, preferably exosomes.
In one embodiment, the invention relates to a kit for the enrichment or isolation of liver tissue-specific Extracellular Vesicles (EVs) or liver-specific circulating tumor cells of origin from a biological fluid, comprising a binding agent that specifically binds to human asialoglycoprotein receptor (ASGPR), wherein the binding agent is an antibody, preferably a monoclonal or polyclonal antibody, a synthetic antibody, a single chain antibody or an antigen-binding fragment of an antibody, against ASGPR, or the binding agent is a polymer as described herein. In one embodiment, the binding agent is labeled with a magnetic, fluorescent, or radioactive label.
In one embodiment, the invention relates to the use of a binding agent that specifically binds to human asialoglycoprotein receptor (ASGPR) as described herein, wherein the binding agent is an antibody, preferably a monoclonal or polyclonal antibody, a synthetic antibody, a single chain antibody or antigen-binding fragment of an antibody, or a polymer as described herein, against ASGPR, for the enrichment or isolation of liver tissue-specific Extracellular Vesicles (EVs) from biological fluids. In one embodiment, the invention relates to the use of a binding agent that specifically binds to human asialoglycoprotein receptor (ASGPR) as described herein, wherein the binding agent is an antibody, preferably a monoclonal or polyclonal antibody, a synthetic antibody, a single chain antibody or antigen-binding fragment of an antibody, or a polymer as described herein, against ASGPR, in the preparation of an agent for the enrichment or isolation of liver tissue-specific Extracellular Vesicles (EVs) from a biological fluid.
In one embodiment, the invention relates to the use of a binding agent that specifically binds to human asialoglycoprotein receptor (ASGPR) as described herein for enriching or isolating liver-specific derived circulating tumor cells from a biological fluid, wherein the binding agent is a polymer as described herein. In one embodiment, the invention relates to the use of a binding agent that specifically binds to human asialoglycoprotein receptor (ASGPR) as described herein in the preparation of an agent for the enrichment or isolation of liver-specific derived circulating tumor cells from a biological fluid, wherein the binding agent is a polymer as described herein.
In order that the objects, technical solutions and advantages of the present invention will become more apparent, the present invention will be further described in detail with reference to the accompanying drawings in conjunction with the following specific embodiments.
Materials, reagents and the like used in the following examples were purchased from commercial reagents unless otherwise specified. The corresponding reagent is not limited to the following companies and models, and can be made by using corresponding models of other companies or synthesized by themselves.
Examples
Example 1 expression and detection of exosome surface ASGPR
1. Hepatoma cell line HepG2 surface ASGPR expression (flow cytometry)
Pancreatizing HepG2 cells to obtain cell suspension, centrifuging at 800rpm for 5min, washing twice with PBS, and adjusting cell concentration to 5 × 10 with PBS (containing 2% BSA)
5-1*10
6between/mL; adding the ASGPR1 and ASGPR2 antibodies into two groups of HepG2 cell heavy suspensions respectively according to the concentration of 1 mu g/mL, standing and incubating for 1h at 4 ℃, and manually flicking a reaction tube every 30min in the incubation process to enable the cells to be in a suspended state; centrifuging the cell suspension at 800rpm for 5min, washing twice with PBS (containing 2% BSA), and resuspending the cells with PBS (containing 2% BSA); the ASGPR1 antibody group was supplemented with goat anti-mouse IgG (Alexa)
647) The ASGPR2 antibody group was supplemented with goat anti-rabbit IgG (Alexa)
488) Standing and incubating for 1h at 4 ℃, and manually flicking a reaction tube every 30min in the incubating process to enable cells to be in a suspension state; the cell suspension was centrifuged at 800rpm for 5min, washed twice with PBS (containing 2% BSA), and finally the cells were resuspended using 300-; and (4) carrying out cell fluorescence detection analysis by using a flow cytometry.
As shown in fig. 1, HepG2 cells highly expressed ASGPR1 and ASGPR2 proteins on their surface.
Detection of expression of ASGPR on surfaces of HepG2 cell supernatant-derived extracellular vesicles or exosomes
(1) Separation and purification of total extracellular vesicles
One of the following three methods a, b and c can be selected according to requirements to separate total extracellular vesicles or total extracellular exosomes.
a. Ultracentrifugation method for extracting supernatant exosome of liver cancer cell (HepG2)
At 4 ℃, cell supernatant is firstly 300 Xg, centrifuged for 10min, and supernatant is sucked; centrifuging at 2000 Xg for 10 min; after the supernatant is absorbed, centrifuging at 10000 Xg for 30min at a high speed, and absorbing the supernatant; ultracentrifugation at 100000 Xg for 70 min; and removing the supernatant to obtain a precipitate, namely the exosome. Resuspend and wash the pellet with 1mL cold PBS buffer, ultracentrifuge again at 100000 Xg for 70min, resuspend the pellet in 50-100. mu.L PBS buffer.
BE-SEC isolation of extracellular vesicles
Remove the lid and bottom knob of the BE-SEC column and pour the stock solution off the top of the column. PBS (pH 7.4) buffer was added to the column (ca. 2-3 mL), centrifuged at 200rpm for 30sec at room temperature, and the effluent was discarded. Repeating the step (2) for 1 time to make the column reach an equilibrium state. Slowly adding 500 mu L of serum/plasma sample into the column in an adherent manner, standing for about 3-5 min until the sample mixed solution completely enters the gel (a light yellow sample can be observed to flow below the sieve plate), and adding 200 mu L of PBS (pH 7.4) buffer solution into the column. 1000g (800-1000 rpm), centrifuging at room temperature for 2min to obtain an exosome solution (effluent) (BE-SEC separation schematic shown in figure 14).
c. Precipitation method for separating extracellular vesicles
At 4 ℃, firstly, centrifuging at 2000 Xg for 30min, sucking supernatant, adding 8% PEG6000 solution in equal volume, uniformly mixing, incubating at 4 ℃ for 30min, centrifuging at 10000 Xg for 60min, collecting precipitate, adding 1mL PBS for heavy suspension precipitation, centrifuging at 12000 Xg for 30min, discarding supernatant, re-suspending the precipitate with 100uL PBS buffer solution, and freezing at-80 ℃ for later use.
(2) Exosome marker detection (western blot):
adding 4 xSDS-PAGE loading buffer into the extracted exosome sample, mixing uniformly, and then carrying out boiling water bath for 5 min.Add 5. mu.L of pre-stained protein marker and 20. mu.L of treated sample to protein gel for SDS-PAGE analysis, and perform 120V electrophoresis for about 90 min. After the electrophoresis is finished, taking the PVDF membrane with the size corresponding to the gel, and then carrying out membrane conversion by using an electrotransfer instrument for 2 hours under 200mA electricity. After the electrotransformation is finished, the PVDF membrane blotted with proteins is placed into PBST (PBS buffer solution, 0.1% Tween-20) blocking solution containing 5% BSA, and is blocked for 2 hours at room temperature. Diluted Alix and CD81 antibodies were added, incubated for 8-12h at 4 ℃, washed 3 times with PBST, HRP-labeled goat anti-mouse IgG was added, incubated for 1-2h at room temperature, washed 3 times with PBST, and image analysis was collected by a gel imager.
As shown in FIG. 3, the expression of exosome markers Alix and CD81 can be successfully detected by ultracentrifugation to extract cell supernatant exosomes.
(3) Exosome ASGPR assay (flow cytometry)
Mixing 100 μ L of exosomes obtained by ultracentrifugation with 10 μ L of Aldehyde/Sulfate Latex Beads (4% w/v, 4 μm), and incubating at 4 ℃ for 30 min; diluted to 1mL with PBS, mixed for 30min at room temperature using a vertical mixer at 10 rpm; adding PBS containing 100mM glycine and 2% BSA, and rotating and mixing at room temperature for 30 min; washing twice (14800g, 1min) with PBS (containing 2% BSA); adding 10% BSA in PBS, and mixing at room temperature for 30 min; washing twice (14800g, 1min) with PBS (containing 2% BSA); adding ASGPR2 antibody (1. mu.g/mL) and incubating at 4 ℃ for 60 min; centrifuging at 14800g for 1min, discarding the supernatant, washing twice with PBS (containing 2% BSA) (centrifuging at 14800g for 1 min); add Goat pAb tosRb IgG Alexa photoprotecting
488(Abcam, cat # ab150077) for 60min at 4 ℃; centrifuging at 14800g for 1min, discarding the supernatant, washing twice with PBS (containing 2% BSA) (centrifuging at 14800g for 1 min); 300-
well 500. mu.L PBS was added to resuspend the pellet and cytofluorimetric analysis was performed using a flow cytometer (BDbiosciences, model: BD FACSCELESA).
As shown in FIG. 4, the cell supernatant exosomes were extracted by ultracentrifugation, and the flow assay showed that 24.2% of the exosomes expressedASGPR 2.
4. Human serum-derived exosome surface ASGPR expression
(1) Exosome marker detection (western blot):
extracting the exosome from the serum by a PEG precipitation method. At 4 ℃, firstly, centrifuging at 2000 Xg for 30min, sucking supernatant, adding 8% PEG6000 solution in equal volume, uniformly mixing, incubating at 4 ℃ for 30min, centrifuging at 10000 Xg for 60min, collecting precipitate, adding 1mL PBS for heavy suspension precipitation, centrifuging at 12000 Xg for 30min, discarding supernatant, re-suspending the precipitate with 100uL PBS buffer solution, and freezing at-80 ℃ for later use.
The western blot assay method was the same as described above.
As a result:
as shown in FIG. 5, the serum exosomes were extracted by PEG precipitation, and the exosome markers Alix and CD81 expression could be successfully detected.
(2) Exosome ASGPR assay (flow cytometry)
Mixing 100 μ L exosome extracted by PEG precipitation method with 10 μ L of 4 μm diameter Aldehyde/Sulfate LatexBeads, and incubating at 4 deg.C for 30 min; diluted to 1mL with PBS, mixed for 30min at room temperature using a vertical mixer at 10 rpm; adding PBS containing 100mM glycine and 2% BSA, and rotating and mixing at room temperature for 30 min; PBS (containing 2% BSA) washing two times (14800g centrifugal 1 min); adding 10% BSA in PBS, and mixing at room temperature for 30 min; PBS (containing 2% BSA) washing two times (14800g centrifugal 1 min); adding ASGPR2 antibody (1. mu.g/mL) and incubating at 4 ℃ for 60 min; centrifuging at 14800g for 1min, discarding the supernatant, washing twice with PBS (containing 2% BSA) (centrifuging at 14800g for 1 min); addition of goat anti-rabbit IgG (Alexa) in the dark

488) Incubating at 4 ℃ for 60 min; centrifuging at 14800g for 1min, discarding the supernatant, washing twice with PBS (containing 2% BSA) (centrifuging at 14800g for 1 min); 300 and 500. mu.L PBS was added to resuspend the pellet and cytofluorimetric analysis was performed using a flow cytometer.
As shown in fig. 6, the PEG precipitation method enriched serum exosomes, and flow assay showed that 38.1% of the exosomes expressedASGPR 2.
Example 2GalNac ligand Small molecule tandem and assay
1. Tandem micromolecular ligand synthesis:
tandem small molecule ligands were prepared by a hybrid chain reaction method (see Bobert M.Dirks and Niles A. Pierce, Triggered amplification by hybridization reaction, PNAS, vol.101, No.43, 15275-. Specifically, hairpin DNA chains H1, H2 and Biotin-DNA were opened for 5min at 95 ℃; carrying out ice bath for 5min, and standing at room temperature for 2 h; (GalNAc)3Hybridization of single-stranded DNA2 with H2 (hairpin DNA), Na ion concentration of about 100mM, reaction at room temperature for 2H, ensuring complete reaction; mixing H1 (hairpin DNA), (GalNAc)3-H2, Biotin-single stranded DNA1 at a concentration ratio of 1:1: 0.1, reacting for 12-24h with Na ion concentration (200-3A long DNA chain of a small molecular ligand; and (3) agarose gel electrophoresis identification: the 1% agarose gel pair H1, H2 and (GalNAc)3Single-stranded DNA2 and tandem type (GalNAc)3And (5) identifying the structure.
The sequences involved therein are as follows:
biotin-single-stranded DNA 1:
5′-AGTCTAGGATTCGGCGTGGGTTAA(T)10-Bio-3′(SEQ ID NO:1)
H1:
5′-TTAACCCACGCCGAATCCTAGACTCAAAGTAGTCTAGGATTCGGCGTG-3′(SEQ ID NO:2)
H2:
5′-GCAGGCACGAGTGTTTTTAGTCTAGGATTCGGCGTGGGTTAACACGCCGAATCCTAGACTACTTTG-3′(SEQ ID NO:3)
gal NAc 3-Single-stranded DNA 2:
5’-CACTCGTGCCTGC(3′-)(GalNAc)3(SEQ ID NO:4)
2. agarose gel electrophoresis verification:
preparing 1.0% agarose gel solution by using TAE electrophoresis buffer solution and agarose; respectively taking H1, H2, GalNAc-single-stranded DNA2 and tandem type (GalNAc)3Mixing the sample with 6 × sample buffer solution, adding into sample cell of gel plate, adjusting voltage to 100V for electrophoresis, stopping electrophoresis when bromophenol blue moves to the position ofgel plate 2/3, observing DNA strip under ultraviolet lamp, and taking picture by gel imaging system for storage.
As shown in FIG. 8, agarose gel identification showed that the bands of GalNAc-DNA tandem structure were significantly delayed compared to the three-piece DNA structure, indicating that assembly generates a long DNA strand.
Example 3 Triantennary Small molecule ligands (GalNAc)3(G3) Evaluation of Performance
1. Cell binding Activity
Ligand (supplied by Shanghai Yangyang Biotech Co., Ltd.) was added to the cell complete medium (EMEM containing 10% FBS and 1% penicillin-streptomycin) to final concentrations of 20nM, 50nM and 100nM, respectively, and co-cultured with HepG2 cells at 37 ℃ for 30min, to facilitate cell cultureCell fluorescence (excitation wavelength: 673 nm; emission wavelength: 692nm) was observed with a Ti-U inverted fluorescence microscope to judge the three-antenna (GalNAc)3(G3) Targeting binding of (1).
As shown in FIG. 9, immunofluorescence assay indicated (GalNAc)3The small molecule ligand binds specifically to cell surface ASGPR1 and binds most strongly at 50 nM.
2. Comparison of affinity of antibodies to small molecule ligands for ASGPR of HepG2 cells
HepG2 cells were counted and labeled with staining, and the control group (no capture), test group 1(ASGPR1 antibody capture), and test group 2((GalNAc)3Monomer Capture) and test group 3((GalNAc)3Tandem capture), 70 stained cells were taken from each group, and the test groups were separately combined with biotinylated ASGPR1 antibody, (GalNAc)3Monomer, (GalNAc)3Placing the tandem ligand at 4 ℃ in a dark place for co-incubation, wherein the volume is 1 mL; the immunomagnetic beads were settled for 1min using a magnetic stand, the supernatant was removed, and the beads were collected by washing 3 times with 1mL of a washing buffer (PBST containing 0.1% Tween-20 and 0.1% BSA, pH 7.4); adding the magnetic beads to the cell-biotinylated antibody conjugate and (GalNAc)3In the ligand conjugate, continuously carrying out light-proof mixing reaction for 1h at 4 ℃; settling on a magnetic frame, removing supernatant, repeatedly washing with a washing buffer solution for at least 4 times, and collecting magnetic beads; the magnetic beads were resuspended using PBST and the suspension was added to a transparent 384-well plate for visual counting.
As shown in FIG. 10 and Table 1, (GalNAc)3The capture efficiency of the ligand was significantly higher than that of the ASGPR1 antibody, indicating (GalNAc)3The ligand has higher affinity for ASGPR of HepG2 cells than ASGPR1 antibody.
TABLE 1ASGPR antibodies vs ligand affinity
3. Cell-capture magnetic bead dispersion
The dispersibility of magnetic beads after cell capture was observed and compared with reference to the antibody-to-ligand affinity comparison test.
The result is shown in fig. 11, the aggregation phenomenon of the magnetic beads of the antibody group is obvious, and the dispersion of the magnetic beads of the ligand group is uniform.
Example 4 verification of Capture efficiency of circulating tumor cells derived from liver-specificity
1. Cell preparation
(1) Liver cancer cell HepG2 cell CellTrackerTMCell counts were performed after (Green CMFDA) prestained.
(2) 12, 24, 32, 48, 54 tumor cells were taken and put into 1.5ml of a 1ml of a 0.9% NaCl (1.7mM Ca2+, 0.1% BSA, 0.01% Tween-20) solution in a 1.5ml of a P tube;
(3) EP in (2) having a concentration of 50nmol/L in the tube (GalNAc)3Small molecules were connected in series and incubated at 4 ℃ for 1h with rotation.
2. Magnetic bead preparation
(1) Vortex streptavidin magnetic bead stock solution for at least 30s, and take 30 μ L of magnetic bead suspension (2 μ L/sample) to a new centrifuge tube;
(2) adding 1mL of phosphate buffer solution, and resuspending the magnetic beads;
(3) placing the centrifugal tube on a magnetic frame for 2min for magnetic separation, and absorbing the supernatant;
(4) repeating the steps (2) and (3) twice.
(5) The centrifuge tube was removed from the magnetic rack and 150. mu.L of a 0.9% NaCl (1.7mM Ca2+, 0.1% BSA, 0.01% Tween-20) solution was added to resuspend the magnetic beads for use.
3. And (3) adding the washed streptavidin magnetic beads into the centrifuge tube in the step (1), adding 10 mu L of the streptavidin magnetic beads into the sample, and performing rotary incubation for 15-30min at the temperature of 2-8 ℃.
4. Placing the centrifuge tube in the step 3 on a magnetic frame for magnetic separation for 2min, and absorbing and removing the supernatant;
5. repeating the step 4 twice;
6. resuspend the magnetic beads instep 5 with 50. mu.L of a 0.9% NaCl (1.7mM Ca2+, 0.1% BSA, 0.01% Tween-20) solution for subsequent experiments;
7. cell count under fluorescence microscopy: transferring the cell suspension after the specific capture in the step 6 into a 384-well plate by using a pipettor, and counting the cells in the whole well under a FITC fluorescent channel of a fluorescent microscope.
The results show that (GalNAc)3The efficiency of capturing HepG2 cells with the tandem small molecules was over 90%, as shown in fig. 12.
Example 5 Capture sensitivity and specificity verification of liver-specific circulating tumor cells
A.(GalNAc)3Capture sensitivity of series-connected small molecules to liver cancer cells in NaCl solution
1. Cell preparation
(1) Liver cancer cell HepG2 cell CellTrackerTMCell counts were performed after (Green CMFDA) prestained.
(2) 2, 3, 4, 5 tumor cells were taken and put into 1mL 1.5mL LEP tubes of 0.9% NaCl (1.7mM Ca2+, 0.1% BSA, 0.01% Tween-20) solution;
(3) EP in (2) having a concentration of 50nmol/L in the tube (GalNAc)3Small molecules were connected in series and incubated at 4 ℃ for 1h with rotation.
2. Magnetic bead preparation
(1) Vortex streptavidin magnetic bead stock solution for at least 30s, and take 26 μ L of magnetic bead suspension (2 μ L/sample) to a new centrifuge tube;
(2) adding 1mL of phosphate buffer solution, and resuspending the magnetic beads;
(3) placing the centrifugal tube on a magnetic frame for 2min for magnetic separation, and absorbing the supernatant;
(4) repeating the steps (2) and (3) twice.
(5) The centrifuge tube was removed from the magnetic rack and 120. mu.L of a 0.9% NaCl (1.7mM Ca2+, 0.1% BSA, 0.01% Tween-20) solution was added to resuspend the magnetic beads for use.
3. And (3) adding the washed streptavidin magnetic beads into the centrifuge tube in the step (1), adding 10 mu L of the streptavidin magnetic beads into the sample, and performing rotary incubation for 15-30min at the temperature of 2-8 ℃.
4. Placing the centrifuge tube in the step 3 on a magnetic frame for magnetic separation for 2min, and absorbing and removing the supernatant;
5. repeating the step 4 twice;
6. resuspend the magnetic beads instep 5 with 50. mu.L of a 0.9% NaCl (1.7mM Ca2+, 0.1% BSA, 0.01% Tween-20) solution for subsequent experiments;
7. cell count under fluorescence microscopy: transferring the cell suspension after the specific capture in the step 6 into a 384-well plate by using a pipettor, and counting the cells in the whole well under a FITC fluorescent channel of a fluorescent microscope.
The results show that (GalNAc)3The sensitivity of capturing HepG2 cells with the tandem small molecules was 2 cells, as shown in table 2.
TABLE 2 sensitivity of GalNac tandem micromolecules in capturing hepatoma cells
| Number of cells put into | Capture ofcell number |
| 2 | 2 |
| 3 | 3 |
| 4 | 4 |
| 5 | 5 |
B.(GalNAc)3Tandem small molecule or (GalNAc)3Non-specific adsorption of monomers to other tumor cells
1. Cell preparation
(1) Breast cancer cell MCF-7 by CellTrackerTMCell counts were performed after (Green CMFDA) prestained.
(2) 29 of the pre-stained breast cancer cells MCF-7 were placed into 1mL of a 1.5mLEP tube containing a 0.9% NaCl solution (1.7mM Ca2+, 0.1% BSA, 0.01% Tween-20);
(3) in the EP tube in (2), 50nmol/L (GalNAc) was added3Tandem small molecules50nmol/L (GalNAc)3And (4) carrying out rotary incubation for 1h on the monomer small molecule at 4 ℃.
2. Magnetic bead preparation
(1) Vortex streptavidin magnetic bead stock solution for at least 30s, and take 31 μ L of magnetic bead suspension (2 μ L/sample) to a new centrifuge tube;
(2) adding 1mL of phosphate buffer solution, and resuspending the magnetic beads;
(3) placing the centrifugal tube on a magnetic frame for 2min for magnetic separation, and absorbing the supernatant;
(4) repeating the steps (2) and (3) twice.
(5) The centrifuge tube was removed from the magnetic rack and 155. mu.L of a 0.9% NaCl (1.7mM Ca2+, 0.1% BSA, 0.01% Tween-20) solution was added to resuspend the magnetic beads for use.
3. And (3) adding the washed streptavidin magnetic beads into the centrifuge tube in the step (1), performing rotary incubation for 15-30min at the temperature of 4 ℃ at 10 mu L/sample.
4. Placing the centrifuge tube in the step 3 on a magnetic frame for magnetic separation for 2min, and absorbing and removing the supernatant;
5. repeating the step 4 twice;
6. resuspend the magnetic beads instep 5 with 50. mu.L of a 0.9% NaCl (1.7mM Ca2+, 0.1% BSA, 0.01% Tween-20) solution for subsequent experiments;
7. cell count under fluorescence microscopy: transferring the cell suspension after the specific capture in the step 6 into a 384-well plate by using a pipettor, and counting the cells in the whole well under a FITC fluorescent channel of a fluorescent microscope.
The results show magnetic beads, (GalNAc)3Tandem small molecule, (GalNAc)3The number of non-specific adsorbed cells of the monomeric small molecule is 0-2, as shown in FIG. 13.
C.(GalNAc)3Specific capture efficiency of series small molecules on liver cancer cells (interference of other tumor cells)
1. Cell preparation
(1) Liver cancer cell HepG2 cell CellTrackerTM(Green CMFDA), prostate cancer cell MDA-PCA-2B by CellTrackerTMCell counts were performed after (Red CMFDA) prestained.
(2) 23 pre-stained hepatoma tumor cells HepG2 and 140 prostate cancer tumor cells MDA-PCA-2B (interfering cells) were put into 1mL of 1.5mLEP tube containing 0.9% NaCl (1.7mM Ca2+, 0.1% BSA, 0.01% Tween-20) solution;
(3) in the EP tube in (2), 50nmol/L (GalNAc) was added3Serially connecting small molecules, rotating and incubating for 1h at 4 ℃.
2. Magnetic bead preparation
(1) Vortex streptavidin magnetic bead stock solution for at least 30s, and take 7 μ L of magnetic bead suspension (2 μ L/sample) to a new centrifuge tube;
(2) adding 1mL of phosphate buffer solution, and resuspending the magnetic beads;
(3) placing the centrifugal tube on a magnetic frame for 2min for magnetic separation, and absorbing the supernatant;
(4) repeating the steps (2) and (3) twice.
(5) The centrifuge tubes were removed from the magnetic rack and 35. mu.L of a 0.9% NaCl (1.7mM Ca2+, 0.1% BSA, 0.01% Tween-20) solution was added to resuspend the magnetic beads for use.
3. And (3) adding the washed streptavidin magnetic beads into the centrifuge tube in the step (1), performing rotary incubation for 15-30min at the temperature of 4 ℃ at 10 mu L/sample.
4. Placing the centrifuge tube in the step 3 on a magnetic frame for magnetic separation for 2min, and absorbing and removing the supernatant;
5. repeating the step 4 twice;
6. resuspend the magnetic beads instep 5 with 50. mu.L of a 0.9% NaCl (1.7mM Ca2+, 0.1% BSA, 0.01% Tween-20) solution for subsequent experiments;
7. cell count under fluorescence microscopy: transferring the cell suspension after the specific capture in the step 6 into a 384-well plate by using a pipettor, and counting the cells in the whole well under a FITC fluorescent channel of a fluorescent microscope.
The results showed that (GalNAc) was obtained under the condition of adding prostate cancer cell MDA-PCA-2B as interfering cell3The specific capture efficiency of the tandem small molecules is more than 80%, as shown in table 3.
TABLE 3 (GalNAc)3The series micromolecules are used for capturing the liver cancer cells specifically, and the specificity reaches more than 80 percent
D.(GalNAc)3Specific capture efficiency (lymphocyte interference) of series small molecules to liver cancer cells
The method comprises the following steps:
1. cell preparation
(1) Liver cancer tumor cell HepG2 by CellTrackerTM(Green CMFDA), lymphocyte CEM through CellTrackerTMCell counts were performed after (Red CMFDA) prestained.
(2) 23 pre-stained hepatoma tumor cells HepG2 and 177 lymphocytes CEM (interfering cells) were put into 1mL of a 1.5mL LEP tube containing 0.9% NaCl (1.7mM Ca2+, 0.1% BSA, 0.01% Tween-20) solution;
(3) in the EP tube in (2), 50nmol/L (GalNAc) was added3Serially connecting small molecules, rotating and incubating for 1h at 4 ℃.
2. Magnetic bead preparation
(1) Vortex streptavidin magnetic bead stock solution for at least 30s, and take 7 μ L of magnetic bead suspension (2 μ L/sample) to a new centrifuge tube;
(2) adding 1mL of phosphate buffer solution, and resuspending the magnetic beads;
(3) placing the centrifugal tube on a magnetic frame for 2min for magnetic separation, and absorbing the supernatant;
(4) repeating the steps (2) and (3) twice.
(5) The centrifuge tubes were removed from the magnetic rack and 35. mu.L of a 0.9% NaCl (1.7mM Ca2+, 0.1% BSA, 0.01% Tween-20) solution was added to resuspend the magnetic beads for use.
3. And (3) adding the washed streptavidin magnetic beads into the centrifuge tube in the step (1), performing rotary incubation for 15-30min at the temperature of 2-8 ℃ in a sample of 10 mu L.
4. Placing the centrifuge tube in the step 3 on a magnetic frame for magnetic separation for 2min, and absorbing and removing the supernatant;
5. repeating the step 4 twice;
6. resuspend the magnetic beads instep 5 with 50. mu.L of a 0.9% NaCl (1.7mM Ca2+, 0.1% BSA, 0.01% Tween-20) solution for subsequent experiments;
7. cell count under fluorescence microscopy: transferring the cell suspension after the specific capture in the step 6 into a 384-well plate by using a pipettor, and counting the cells in the whole well under a FITC fluorescent channel of a fluorescent microscope.
The results showed that (GalNAc) was obtained under the condition of adding prostate cancer cell MDA-PCA-2B as interfering cell3The specific capture efficiency of the tandem small molecules reaches 90%, as shown in table 4.
Table 4(GalNAc)3The series micromolecules are used for capturing the liver cancer cells specifically, and the specificity reaches 90 percent
Example 6 enrichment of hepatoma cells in blood
Size-based CTC isolation
(1) An EDTA anticoagulant blood collection tube is used for collecting blood samples of healthy people with the volume of about 5 mL/sample, and erythrocyte lysate is added according to the volume ratio of 1:1 for the treatment of the hemorrhoidal bleeding.
(2) Liver cancer cell HepG2 cell CellTrackerTMAnd (Green CMFDA) pre-staining, counting cells, and putting 25 pre-stained liver cancer cells into the blood sample in the step (2).
(3) Adding a blood sample containing tumor cells into a sample loading cylinder of a filtering device, adjusting the direction and speed (2mL/min) of a peristaltic pump, slowly performing forward filtration on the sample, intercepting the tumor cells on a filter membrane according to the pore size of the filter membrane, and performing suction filtration on the blood cells along with the solution into a waste liquid collecting device.
(4) The peristaltic pump was adjusted for direction and speed and a back flush was performed with 0.9% NaCl (1.7mM Ca2+, 0.1% BSA, 0.01% Tween-20) in the back flush, which resuspended the tumor cells and a portion of the blood cells trapped on the filter membrane in the back flush via the gasket.
(5) repeat steps (1) (2) above, collect 1.5mL of the tumor cell-containing backwash liquid and transfer to a 2mL centrifuge tube.
2. Negative enrichment of magnetic beads
2.1Add 10. mu.g of biotinylated CD45, CD16, and CD19 to the above 2mL centrifuge tubes and incubate at 4 ℃ for 1h with rotation.
2.2 magnetic bead preparation
(1) Vortex streptavidin magnetic bead stock solution for at least 30s, take 16 μ L of magnetic bead suspension (2 μ L/sample) to a new centrifuge tube;
(2) taking 1mL of phosphate buffer solution, and resuspending the magnetic beads;
(3) placing the centrifugal tube on a magnetic frame for 2min for magnetic separation, and absorbing the supernatant;
(4) repeating the steps (2) and (3) twice;
(5) the centrifuge tubes were removed from the magnetic rack and 80. mu.L of 0.9% NaCl (1.7mM Ca2+, 0.1% BSA, 0.01% Tween-20) was added for use.
2.3 adding the washed streptavidin magnetic beads into the step 2.1, adding 10 mu L of the streptavidin magnetic beads into the sample, and performing rotary incubation at 4 ℃ for 15-30 min;
2.4 placing the centrifuge tube on a magnetic frame for magnetic separation for 2min, transferring the supernatant into a new centrifuge tube, and observing and counting under a DAPI channel under a fluorescence microscope.
3.(GalNAc)3Series micromolecule specificity capture liver cancer cell HepG2
3.1 adding 50nmol/L (GalNAc) to the supernatant obtained by removing the magnetic beads in the negative direction3Serially connecting small molecules by 10 mu L, and performing rotary incubation for 1h at 4 ℃;
3.2 adding the prepared streptavidin magnetic beads, performing rotary incubation at the temperature of 4 ℃ for 15-30min at the concentration of 10 mu L/sample;
3.3 placing the centrifuge tube on a magnetic frame for magnetic separation for 2min, and removing supernatant;
3.4 Add 1mL of 0.9% NaCl (1.7mM Ca2+, 0.1% BSA, 0.01% Tween-20) solution to resuspend the magnetic beads, place again on the magnetic rack for magnetic separation for 2min, remove the supernatant;
mu.L of a 0.9% NaCl (1.7mM Ca2+, 0.1% BSA, 0.01% Tween-20) solution was resuspended in the magnetic beads in step 3.4 for subsequent experiments.
4. Cell counting under fluorescence microscope
(1) Transferring the cell suspension after the specific capture into a 384-well plate by using a pipettor;
(2) the FITC channel and the DAPI channel under a fluorescence microscope count the cells in the whole well.
The results show that the tumor cell recovery efficiency after size-based CTC separation can reach 92%, further (GalNAc)3The capture efficiency of the capture of the series small molecules can reach 88%. As shown in table 5.
TABLE 5 tumor cell size separation recovery efficiency and (GalNAc)3Efficiency of capture of small molecules in series
The number of leukocytes was less than 200 (as shown in table 6) after negative depletion with biotinylated antibodies such as CD45, CD16, and CD 19.
TABLE 6 negative enrichment and removal efficiency of leukocytes
| After filtration | After negative enrichment |
| Number of leukocytes | 10000+ | 20-150 |
Example 7 liver-specific extracellular vesicle targeted capture and detection
1. Liver-specific extracellular vesicle targeted capture
(1) Targeted capture of exosomes by ASGPR antibodies
Exosomes were extracted by precipitation, diluted to 500. mu.L-1 mL using binding buffer (20mM Tris-HCl150mM NaCl, 0.15% Tween-20, 0.1% BSA, pH 7.4); adding biotinylated ASGPR2 antibody, and mixing for 1-2h at 4 ℃ by using a vertical mixer at 10 rpm; the immunomagnetic beads are settled for 1min by using a magnetic frame, the supernatant is removed, washing is repeated for 3 times by using washing buffer (1mL) (20mM Tris-HCl150mM NaCl, 0.15% Tween-20, pH7.4), and the magnetic beads are collected; adding an exosome-biotinylated antibody conjugate, and continuously mixing and reacting for 1-2h at room temperature; settling on a magnetic frame, removing supernatant, repeatedly washing with a washing buffer solution for at least 4 times, and collecting magnetic beads; 100 μ L of elution buffer (50mM HAc-Na, 150mM NaCl, pH 2.9) was added, the reaction was mixed at room temperature for 15-20min, the supernatant was collected by magnetic settling, and equilibration buffer (1M tris-HCl, pH 9.0) was added.
(2)(GalNAc)3Monomer targeting capture exosomes
Exosomes were extracted by precipitation using binding buffer (20mM Tris-HCl150mM NaCl, 0.15% Tween-20, 0.1% BSA, 2.5mM Ca2+pH7.4) to 500. mu.L-1 mL; addition of biotinylation (GalNAc)3Mixing the monomers at 4 ℃ for 1-2 h; the immunomagnetic beads were settled for 1min using a magnetic stand, the supernatant was removed, washing was repeated 3 times with a washing buffer (1mL) (20mM Tris-HCl150mM NaCl, 0.15% Tween-20, pH7.4), and the magnetic beads were collected; addition of extracellular vesicle-biotinylated (GalNAc)3Combining the materials, and continuously mixing and reacting for 1-2h at room temperature; settling on a magnetic frame, removing supernatant, repeatedly washing with a washing buffer solution for at least 4 times, and collecting magnetic beads; adding elution buffer (20mM Tris-HCl150mM NaCl, 0.15% Tween-20, 0.1% BSA, 2.5mM EDTA, pH7.4) 100-.
(3)(GalNAc)3Series structure target capture exosome
Except for using tandem (GalNAc)3Except for the above, other steps, parameters and methods are the same as those in (2).
2. Detection and verification of liver-specific extracellular vesicles
(1) CD81 detection (chemiluminescence method)
Diluting the CD81 capture antibody to 2 mug/mL, coating a 96-hole enzyme label plate, and standing overnight at 4 ℃; PBST is washed for three times, then sealing liquid is added, and the mixture is incubated for 1 to 2 hours at 37 ℃; PBST is washed for three times, a CD81 standard substance is diluted by 8 concentrations from 10ng/mL in a doubling ratio for drawing a standard curve, captured exosome lysate is added into a sample hole, and the sample is incubated for 1h at 37 ℃ in a microplate constant temperature oscillator; PBST washing three times, adding CD81 detection antibody (1 ug/mL/hole), and incubating at 37 deg.C for 1h in a microplate constant temperature oscillator; PBST is washed for three times, and chemiluminescent substrate solution is added after the PBST is dried; the chemiluminescence immunoassay analyzer reads the luminescence value.
As shown in FIG. 15, the expression of the marker CD81 could be detected after the capture of liver-specific exosomes, and the capture efficiency of tandem ligand was significantly higher than (GalNAc)3Monomers and antibodies.
(2) ASGPR assay (chemiluminescence method)
ASGPR1 capture antibody (Sino Biological Inc, cat # 10773-RP01) was coated on a 96-well microplate and left overnight at 4 ℃; PBST is washed for three times, then sealing liquid is added, and incubation is carried out for 1-2h at 37 ℃; PBST is washed for three times, the ASGPR standard substance is diluted by 8 concentrations from 10ng/mL in a doubling ratio and used for drawing a standard curve, the captured extracellular vesicle lysate is added into a sample hole, and the sample hole is incubated for 1h at 37 ℃ in a microplate constant temperature oscillator; PBST was washed three times, ASGPR1 detection antibody (SinoBiological Inc, cat # 10773-R024) was added, and incubated in a microplate at 37 ℃ for 1h in a constant temperature shaker; PBST is washed for three times, and chemiluminescent substrate solution is added after the PBST is dried; the chemiluminescence immunoassay analyzer reads the luminescence value.
As shown in FIG. 16, (GalNAc)3The efficiency of capturing extracellular vesicles (including exosomes) in serum by the tandem ligand is obviously higher than that of monomers and antibodies, and the expression level of ASGPR1 in a serum sample of a liver cancer patient is higher than that of a normal control group.
3. Electron Microscopy (TEM) identification of extracellular vesicle morphology after capture
Firstly, desalting the extracellular vesicles after capture and elution, suspending the extracellular vesicles in PBS buffer solution, dripping the suspension on a sample-carrying copper net with the pore diameter of 2nm, standing the suspension at room temperature for 2min, sucking the liquid from the side edge of a filter screen by using filter paper, carrying out negative dyeing at room temperature for 5min by using a 3% phosphotungstic acid solution, sucking the negative dye solution by using the filter paper, drying the negative dye solution at room temperature, and taking a picture by electron microscope observation.
According to FIG. 17, the captured extracellular vesicles have a very distinct membranous structure under an electron microscope and are in a saucer-like structure with a size of 80-90 nm.
Example 8 liver-specific extracellular vesicle Targeted Capture and use in clinical assays
Clinical serum samples of 16 cases (from the second institute of holy, Anhui, and of liver cancer) were selected for healthy subjects and liver cancer patients, and the reference (GalNAc)3The tandem structure targeted capture extracellular vesicle test method is used for extracting, capturing and identifying a marker CD81 and a target protein ASGPR.
As shown in fig. 18 and 19, the tandem ligand capture extracellular vesicles have certain clinical significance, and the detection of the marker CD81 and the target protein ASGPR is significantly higher in liver cancer patients than in healthy people.
As can be seen from examples 1-8 above, the small molecule ligand (GalNAc)3And (GalNAc)3The tandem form formed by the DNA molecules can be specifically combined with the ASGPR and can capture the circulating tumor cells (HepG2) expressing the ASGPR on the surface and the extracellular vesicles (such as exosomes) with the ASGPR on the surface.
It is contemplated by those skilled in the art that GalNAc can form other tandem forms, such as dendrimers or chain polymers, whose GalNAc residues can also specifically bind and serve to capture ASGPR to the surface of circulating tumor cells or extracellular vesicles (e.g., hepatocyte vesicles). The preparation of said dendritic or chain polymer is shown in example 9 below.
Example 9 preparation of dendritic or chain polymers of the small molecule ligand GalNAC for ASGPR1 preparation of dendritic polymers
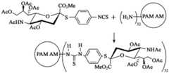
The dendritic polyamide-amine (PAMAM) is a typical dendritic polymer, and the surface layer of the dendritic polyamide-amine is rich in a large number of amino groups and can be combined with functional molecules such as antibodies, aptamers and the like.
Modifying carboxyl or isothiocyanate at the end of the GalNAC micromolecule, reacting with PAMAM in a DMSO solvent at normal temperature overnight, and synthesizing the dendritic glycosyl ligand by forming amido or thiourea to replace the amino of the PAMAM. The number of ligands can be 4,8,16,32 according to the number of amino groups of PAMAM.
The GalNAC dendrimer can be synthesized, for example, as scheme (1) by reacting the terminal amino group with a glycosidic carboxylic acid derivative to give a GalNAC fully substituted PAMAM dendrimer as follows:
alternatively, scheme (2) can be used to obtain sialic acid substituted PAMAM dendrimers by reaction of the terminal amino group with a sialic acid isothiocyanate derivative, as shown below:
2. preparation of chain polymers
Firstly, a cycloolefine compound with a modified succinimide ester structure is obtained, according to the ROMP reaction principle, a metal carbene complex catalyst and double bonds in main cycloolefine form a metal cyclobutane structure, and then when the intermediate is cracked in a translocation mode, new olefine and metal carbene species are formed. Finally, the terminal is modified with amino group (GalNAc)3Reaction of the structure with a succinimide ester to form a coupling (GalNAc)3Structural olefin structures. The subsequent reaction in the above mode makes the double bond in the cycloolefine structure compound translocate continuously and the chain expand and extend gradually to form long chain (GalNAc) with olefine structure as main body3A series configuration. The synthetic route is as follows:
the above-mentioned embodiments are intended to illustrate the objects, technical solutions and advantages of the present invention in further detail, and it should be understood that the above-mentioned embodiments are only exemplary embodiments of the present invention and are not intended to limit the present invention, and any modifications, equivalents, improvements and the like made within the spirit and principle of the present invention should be included in the protection scope of the present invention.