Movatterモバイル変換


[0]ホーム

URL:


CN111572407B - Hybrid electric vehicle thermal management system and control method thereof - Google Patents

Hybrid electric vehicle thermal management system and control method thereof
Download PDF

Info

Publication number
CN111572407B
CN111572407BCN202010358281.3ACN202010358281ACN111572407BCN 111572407 BCN111572407 BCN 111572407BCN 202010358281 ACN202010358281 ACN 202010358281ACN 111572407 BCN111572407 BCN 111572407B
Authority
CN
China
Prior art keywords
battery
water pump
outlet
electromagnetic valve
heat exchanger
Prior art date
Legal status (The legal status is an assumption and is not a legal conclusion. Google has not performed a legal analysis and makes no representation as to the accuracy of the status listed.)
Expired - Fee Related
Application number
CN202010358281.3A
Other languages
Chinese (zh)
Other versions
CN111572407A (en
Inventor
赵德阳
李刚
Current Assignee (The listed assignees may be inaccurate. Google has not performed a legal analysis and makes no representation or warranty as to the accuracy of the list.)
Liaoning University of Technology
Original Assignee
Liaoning University of Technology
Priority date (The priority date is an assumption and is not a legal conclusion. Google has not performed a legal analysis and makes no representation as to the accuracy of the date listed.)
Filing date
Publication date
Application filed by Liaoning University of TechnologyfiledCriticalLiaoning University of Technology
Priority to CN202010358281.3ApriorityCriticalpatent/CN111572407B/en
Publication of CN111572407ApublicationCriticalpatent/CN111572407A/en
Application grantedgrantedCritical
Publication of CN111572407BpublicationCriticalpatent/CN111572407B/en
Expired - Fee Relatedlegal-statusCriticalCurrent
Anticipated expirationlegal-statusCritical

Links

Images

Classifications

Landscapes

Abstract

Translated fromChinese

本发明公开一种混动汽车热管理系统,包括电池冷却系统,所述电池冷却系统包括:冷凝器;以及热交换器,其与所述冷凝器的出口连通;膨胀阀,其设置在所述冷凝器和所述热交换器之间;压缩机,其入口与所述热交换器的第一出口连通,出口与所述冷凝器的入口连通;动力电池,其入口与所述热交换器的第二出口连通,出口与第一电磁阀的入口连通;电池散热器,其入口与所述第一电磁阀的第一出口连通;第一水泵,其入口与所述电池散热器的出口和所述第一电磁阀的第二出口连通,出口与所述热交换器连通。本发明还提供给一种混动汽车热管理系统的控制方法,能够使电池在最优的温度下工作,提高其工作效率。

Figure 202010358281

The invention discloses a heat management system for a hybrid vehicle, comprising a battery cooling system, the battery cooling system comprising: a condenser; and a heat exchanger, which is communicated with an outlet of the condenser; an expansion valve, which is arranged on the between the condenser and the heat exchanger; the compressor, the inlet of which is communicated with the first outlet of the heat exchanger, and the outlet is communicated with the inlet of the condenser; the power battery, the inlet of which is communicated with the first outlet of the heat exchanger; The second outlet is communicated with the inlet of the first solenoid valve; the inlet of the battery radiator is communicated with the first outlet of the first solenoid valve; the inlet of the first water pump is communicated with the outlet of the battery radiator and all The second outlet of the first solenoid valve communicates with the heat exchanger. The invention also provides a control method for the thermal management system of a hybrid vehicle, which can make the battery work at an optimal temperature and improve its working efficiency.

Figure 202010358281

Description

Hybrid electric vehicle thermal management system and control method thereof
Technical Field
The invention relates to the technical field of hybrid electric vehicle thermal management, in particular to a hybrid electric vehicle thermal management system and a control method thereof.
Background
Hybrid vehicles are a form of new energy vehicles that can operate in either an electric mode or a conventional fuel mode. Generally, when the electric energy is sufficient, the electric vehicle runs in an electric mode, and the electric motor drives the vehicle; when the electric energy is insufficient, the engine runs in a traditional fuel mode, and at the moment, the engine can drive or generate electricity in a residual cloud mode.
The driving form of the hybrid electric vehicle is between that of the traditional fuel electric vehicle and that of the pure electric vehicle, so that the hybrid electric vehicle is different from the transmission fuel electric vehicle and the pure electric vehicle in the aspect of the whole vehicle heat management. The power battery is the basis for ensuring the normal operation of the electric mode, so that the power battery is an important content for the heat management of the whole vehicle when being cooled. In the prior art, a traditional heat dissipation mode is usually adopted to cool the power battery, generally, a fan and the like are adopted to perform ventilation and heat dissipation, but the cooling effect is poor.
Disclosure of Invention
One purpose of the invention is to design and develop a hybrid vehicle thermal management system, which can heat or cool the battery, so that the battery can work at an optimal temperature, and the working efficiency of the battery is improved.
The invention also aims to design and develop a control method of the hybrid electric vehicle thermal management system, which can collect the working temperature environment of the battery, and determine the working states of the first electromagnetic valve, the second electromagnetic valve, the third electromagnetic valve, the first water pump, the second water pump, the third water pump and the heat exchanger based on the BP neural network, so that the battery works at the optimal temperature and the working efficiency of the battery is improved.
The invention can also accurately control the rotating speed of the first water pump, the second water pump and the third water pump, and effectively heat or cool the battery so that the battery works at the optimal temperature.
The technical scheme provided by the invention is as follows:
a hybrid vehicle thermal management system comprising a battery cooling system, the battery cooling system comprising:
a condenser; and
a heat exchanger in communication with an outlet of the condenser;
an expansion valve provided between the condenser and the heat exchanger;
a compressor having an inlet in communication with the first outlet of the heat exchanger and an outlet in communication with the inlet of the condenser;
the inlet of the power battery is communicated with the second outlet of the heat exchanger, and the outlet of the power battery is communicated with the inlet of the first electromagnetic valve;
a battery radiator, an inlet of which is communicated with a first outlet of the first electromagnetic valve;
and the inlet of the first water pump is communicated with the outlet of the battery radiator and the second outlet of the first electromagnetic valve, and the outlet of the first water pump is communicated with the heat exchanger.
Preferably, the system further comprises a battery heating system:
an engine; and
a second water pump, a first inlet of which is communicated with an outlet of the engine;
an electric heater, an inlet of the electric heater is communicated with an outlet of the second water pump, and a first outlet of the electric heater is communicated with the heat exchanger;
a second electromagnetic valve disposed between the electric heater and the heat exchanger;
the inlet of the warm air water tank is communicated with the second outlet of the electronic heater;
the inlet of the third electromagnetic valve is respectively communicated with the outlet of the warm air water tank and the third outlet of the heat exchanger;
and an inlet of the third water pump is communicated with an outlet of the third electromagnetic valve, and an outlet of the third water pump is communicated with an inlet of the engine.
Preferably, the first solenoid valve is a three-way solenoid valve, and the second solenoid valve and the third solenoid valve are two-way solenoid valves.
Preferably, the method further comprises the following steps:
a plurality of temperature sensors uniformly arranged on the battery for detecting the temperature of the battery;
and the controller is connected with the temperature sensor, the first electromagnetic valve, the second electromagnetic valve, the third electromagnetic valve, the first water pump, the second water pump, the third water pump and the heat exchanger, and is used for receiving the detection data of the temperature sensor and controlling the first electromagnetic valve, the second electromagnetic valve, the third electromagnetic valve, the first water pump, the second water pump, the third water pump and the heat exchanger to work.
A control method of a hybrid electric vehicle thermal management system collects the working temperature environment of a battery, and determines the working states of a first electromagnetic valve, a second electromagnetic valve, a third electromagnetic valve, a first water pump, a second water pump, a third water pump, a heat exchanger and an expansion valve based on a BP neural network, and specifically comprises the following steps:
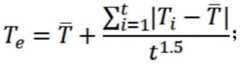
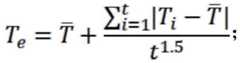
inputting a first working temperature threshold value, a second working temperature threshold value, a third working temperature threshold value and a fourth working temperature threshold value of a battery, and measuring the working temperature of the battery through a sensor according to a sampling period;
step two, determining an input layer neuron vector x ═ x of the three-layer BP neural network1,x2,x3,x4,x5}; wherein x is1Is the first operating temperature threshold, x, of the battery2Is the second operating temperature threshold, x, of the battery3Is the third operating temperature threshold, x, of the battery4Is a fourth of the batteryOperating temperature threshold, x5Is the operating temperature of the battery;
wherein the working temperature of the battery is as follows:
Figure BDA0002474216600000031
in the formula, TeIs the operating temperature of the battery and is,
Figure BDA0002474216600000032
is the average value of the temperature of the battery, T is the number of temperature sensors, TiThe detection data of the ith temperature sensor;
mapping the input layer vector to a hidden layer, wherein the number of neurons of the hidden layer is m;
step four, obtaining an output layer neuron vector o ═ o1,o2,o3,o4,o5,o6,o7,o8}; wherein o is1Is the operating state of the first solenoid valve, o2Is the operating state of the second solenoid valve, o3Is the operating state of the third solenoid valve, o4Is the working state of the first water pump o5Is the operating state of the second water pump o6Is the operating state of the third water pump o7Is the operating state of the heat exchanger o8The working state of the expansion valve;
wherein the output layer neuron value is
Figure BDA0002474216600000033
k is output layer neuron sequence number k ═ {2, 3, 4, 5, 6, 8}, when okWhen 1, it is in the on state, when okWhen 0, it is in off state; the output layer neuron values
Figure BDA0002474216600000034
When o is1When 0, the first electromagnetic valve is in a closed state, and when o11, the first electromagnetic valve is in an open state, and the liquid flows from the first electromagnetic valveThe first outlet of the first electromagnetic valve flows out when the pressure is higher than the pressure1When the pressure is 2, the first electromagnetic valve is in an open state, and liquid flows out from a second outlet of the first electromagnetic valve; the output layer neuron values
Figure BDA0002474216600000041
When o is7At 0, the heat exchanger is in the off state, when o71, the heat exchanger is in an open state and liquid flows out of the first outlet of the heat exchanger, when o7At 2, the heat exchanger is in an open state and liquid flows out of the second outlet of the heat exchanger, when o7At 3, the heat exchanger is in an open state and liquid flows out of the third outlet of the heat exchanger.
Preferably, when the first water pump works, the rotating speed of the first water pump is controlled to meet the following conditions:
Figure BDA0002474216600000042
in the formula, n1Is the rotational speed of the first water pump, TeIs the operating temperature, T, of the battery10Is a first operating temperature threshold, T, of the battery20Is a second operating temperature threshold, T, of the battery30Is a first operating temperature threshold, T, of the battery10Is a reference temperature value, n0Is a standard rotation speed.
Preferably, the second water pump and the third water pump work simultaneously, and when the second water pump and the third water pump work, the rotating speeds of the second water pump and the third water pump are controlled to meet the following requirements:
Figure BDA0002474216600000043
in the formula, n2Is the rotational speed of the second water pump, n3Is the rotational speed of the third water pump, T40Is the fourth operating temperature threshold of the battery.
It is preferable that the first and second liquid crystal layers are formed of,
when T is40≤Te≤T10And when the first electromagnetic valve, the second electromagnetic valve, the third electromagnetic valve, the heat exchanger and the expansion valve are in a closed state, and the first water pump, the second water pump and the third water pump do not work.
Preferably, the first working temperature threshold of the battery is 15-20 ℃, the second working temperature threshold of the battery is 25-30 ℃, the third working temperature threshold of the battery is 32-35 ℃, and the fourth working temperature threshold of the battery is-2-0 ℃.
Preferably, the number of neurons in the hidden layer is 8; the excitation functions of the hidden layer and the output layer adopt S-shaped functions fj(x)=1/(1+e-x)。
The invention has the following beneficial effects:
(1) the hybrid electric vehicle thermal management system designed and developed by the invention can heat or cool the battery, so that the battery can work at the optimal temperature, and the working efficiency of the battery is improved.
(2) The control method of the hybrid electric vehicle thermal management system designed and developed by the invention can acquire the working temperature environment of the battery, and determine the working states of the first electromagnetic valve, the second electromagnetic valve, the third electromagnetic valve, the first water pump, the second water pump, the third water pump and the heat exchanger based on the BP neural network.
Drawings
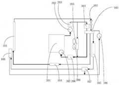
Fig. 1 is a schematic structural diagram of a hybrid vehicle thermal management system according to the present invention.
Detailed Description
The present invention is further described in detail below with reference to the attached drawings so that those skilled in the art can implement the invention by referring to the description text.
As shown in fig. 1, the present invention provides a hybrid vehicle thermal management system, including a battery cooling system, the battery cooling system including: thecondenser 101 has an outlet communicated with one inlet of theheat exchanger 103, and an expansion valve is provided between thecondenser 101 and theheat exchanger 103. Theheat exchanger 103 has three inlets and three outlets. The inlet of thecompressor 104 communicates with a first outlet of theheat exchanger 103, and the outlet communicates with the inlet of thecondenser 101. And apower battery 105, an inlet of which is communicated with the second outlet of theheat exchanger 103, an outlet of which is communicated with an inlet of a firstelectromagnetic valve 107, wherein the firstelectromagnetic valve 107 is a three-way electromagnetic valve, and one inlet has two outlets. And abattery radiator 108 whose inlet communicates with a first outlet of thefirst solenoid valve 107. Thefirst water pump 106 has an inlet communicating with an outlet of thebattery radiator 108 and a second outlet of thefirst solenoid valve 107, and an outlet communicating with a second inlet of theheat exchanger 103.
In this embodiment, still include battery heating system: an outlet of theengine 201 is connected to an inlet of thesecond water pump 202. And anelectric heater 203, the inlet of which is communicated with the outlet of thesecond water pump 202, and the first outlet of which is communicated with the third inlet of theheat exchanger 103. Asecond solenoid valve 204, which is a two-way solenoid valve, is provided between theelectric heater 203 and theheat exchanger 103. And a warmair water tank 205, an inlet of which communicates with a second outlet of theelectric heater 203. And athird solenoid valve 206, which is a two-way solenoid valve, having inlets respectively communicated with the outlet of the warmair water tank 205 and the third outlet of theheat exchanger 103. Athird water pump 207 is connected to an outlet of thethird solenoid valve 206, and an outlet thereof is connected to an inlet of theengine 201.
In this embodiment, the battery pack further includes a plurality of temperature sensors, which are uniformly disposed on thebattery 105 and used for detecting the temperature of thebattery 105; and the controller is connected with the temperature sensor, the first electromagnetic valve, the second electromagnetic valve, the third electromagnetic valve, the first water pump, the second water pump, the third water pump and the heat exchanger, and is used for receiving the detection data of the temperature sensor and controlling the first electromagnetic valve, the second electromagnetic valve, the third electromagnetic valve, the first water pump, the second water pump, the third water pump and the heat exchanger to work.
The working process is as follows:
the temperature sensor collects the temperature of the battery:
when the temperature of the battery reaches the first working temperature threshold value of the battery, the cooling liquid in the battery flows back to the battery through the inlet and the second outlet of the first electromagnetic valve, and the cooling liquid only circulates in the battery due to the fact that the temperature of the battery is not high.
When the temperature of the battery reaches the second working temperature threshold value of the battery, the cooling liquid in the battery enters the battery radiator through the inlet and the first outlet of the first electromagnetic valve for heat dissipation, the cooling liquid flowing out of the battery radiator flows back to the battery through the first water pump, and the cooling liquid is led into the battery radiator for forced heat dissipation in order to accelerate heat dissipation due to the fact that the temperature of the battery is high.
When the temperature of the battery reaches a third working temperature threshold value of the battery, the condenser releases a refrigerant, the refrigerant flows into the heat exchanger through the expansion valve, the cooling liquid in the battery flows into the first water pump through the inlet and the second outlet of the first electromagnetic valve, the cooling liquid flows into the heat exchanger to exchange heat with the refrigerant, after the exchange, the cooling liquid with low temperature flows into the battery, and the refrigerant flows back into the condenser through the compressor to cool the battery.
When the temperature of the battery is lower than the fourth working temperature threshold of the battery, the cooling liquid discharged from the water outlet of the engine flows into the electronic heater through the second water pump, the heated cooling liquid is divided into two parts, one part of the heated cooling liquid flows into the heat exchanger through the second electromagnetic valve, the cooling liquid in the battery flows into the first water pump through the inlet and the second outlet of the first electromagnetic valve, the cooling liquid flows into the heat exchanger to exchange heat with the first water pump, the cooling liquid of the battery after heat exchange flows into the battery, and the cooling liquid of the engine flows back into the engine through the third electromagnetic valve and the third water pump. The second portion flows into the warm air water tank for heating the cab.
The hybrid electric vehicle thermal management system designed and developed by the invention can heat or cool the battery, so that the battery can work at the optimal temperature, and the working efficiency of the battery is improved.
The invention also provides a control method of the hybrid electric vehicle thermal management system, which is used for acquiring the working temperature environment of the battery and determining the working states of the first electromagnetic valve, the second electromagnetic valve, the third electromagnetic valve, the first water pump, the second water pump, the third water pump, the heat exchanger and the expansion valve based on the BP neural network, and specifically comprises the following steps:
step one, establishing a BP neural network model.
Fully interconnected connections are formed among neurons of each layer on the BP model, the neurons in each layer are not connected, and the output and the input of neurons in an input layer are the same, namely oi=xi. The operating characteristics of the neurons of the intermediate hidden and output layers are
Figure BDA0002474216600000071
opj=fj(netpj)
Where p represents the current input sample, ωjiIs the connection weight from neuron i to neuron j, opiIs the current input of neuron j, opjIs the output thereof; f. ofjIs a non-linear, slightly non-decreasing function, generally taken as a sigmoid function, i.e. fj(x)=1/(1+e-x)。
The BP network system structure adopted by the invention consists of three layers, wherein the first layer is an input layer, n nodes are provided in total, n detection signals representing the working state of the equipment are correspondingly provided, and the signal parameters are given by a data preprocessing module; the second layer is a hidden layer, and has m nodes which are determined by the training process of the network in a self-adaptive mode; the third layer is an output layer, p nodes are provided in total, and the output is determined by the response actually needed by the system.
The mathematical model of the network is:
inputting a vector: x ═ x1,x2,...,xn)T
Intermediate layer vector: y ═ y1,y2,...,ym)T
Outputting a vector: o ═ o (o)1,o2,...,op)T
In the invention, the number of nodes of an input layer is n equals to 5, the number of nodes of an output layer is p equals to 8, and the number of nodes of a hidden layer is m equals to 8.
The input layer 5 parameters are respectively expressed as: x is the number of1Is the first operating temperature threshold, x, of the battery2Is the second operating temperature threshold, x, of the battery3Is the third operating temperature threshold, x, of the battery4Is the fourth operating temperature threshold, x, of the battery5Is the operating temperature of the battery;
wherein the working temperature of the battery is as follows:
Figure BDA0002474216600000081
in the formula, TeIs the operating temperature of the battery and is,
Figure BDA0002474216600000082
is the average value of the temperature of the battery, T is the number of temperature sensors, TiThe detection data of the ith temperature sensor;
the output layer has 8 parameters expressed as: o1Is the operating state of the first solenoid valve, o2Is the operating state of the second solenoid valve, o3Is the operating state of the third solenoid valve, o4Is the working state of the first water pump o5Is the operating state of the second water pump o6Is the operating state of the third water pump o7Is the operating state of the heat exchanger o8The working state of the expansion valve;
wherein the output layer neuron value is
Figure BDA0002474216600000083
k is output layer neuron sequence number k ═ {2, 3, 4, 5, 6, 8}, when okWhen 1, it is in the on state, when okWhen 0, it is in off state; the output layer neuron values
Figure BDA0002474216600000084
When o is1When 0, the first electromagnetic valve is in a closed state, and when o1When the pressure is 1, the first electromagnetic valve is in an open state, and liquid flows out from a first outlet of the first electromagnetic valve, and when the pressure is o1When it is 2, the first electromagnetic valve is in an open state, and the liquid flows from the second electromagnetic valveThe second outlet flows out; the output layer neuron values
Figure BDA0002474216600000085
When o is7At 0, the heat exchanger is in the off state, when o71, the heat exchanger is in an open state and liquid flows out of the first outlet of the heat exchanger, when o7At 2, the heat exchanger is in an open state and liquid flows out of the second outlet of the heat exchanger, when o7At 3, the heat exchanger is in an open state and liquid flows out of the third outlet of the heat exchanger.
And step two, training the BP neural network.
After the BP neural network node model is established, the training of the BP neural network can be carried out. And obtaining a training sample according to historical experience data of the product, and giving a connection weight between the input node i and the hidden layer node j and a connection weight between the hidden layer node j and the output layer node k.
(1) Training method
Each subnet adopts a separate training method; when training, firstly providing a group of training samples, wherein each sample consists of an input sample and an ideal output pair, and when all actual outputs of the network are consistent with the ideal outputs of the network, the training is finished; otherwise, the ideal output of the network is consistent with the actual output by correcting the weight.
(2) Training algorithm
The BP network is trained by using a back Propagation (Backward Propagation) algorithm, and the steps can be summarized as follows:
the first step is as follows: and selecting a network with a reasonable structure, and setting initial values of all node thresholds and connection weights.
The second step is that: for each input sample, the following calculations are made:
(a) forward calculation: for j unit of l layer
Figure BDA0002474216600000091
In the formula (I), the compound is shown in the specification,
Figure BDA0002474216600000092
for the weighted sum of the j unit information of the l layer at the nth calculation,
Figure BDA0002474216600000093
is the connection weight between the j cell of the l layer and the cell i of the previous layer (i.e. the l-1 layer),
Figure BDA0002474216600000094
is the previous layer (i.e. l-1 layer, node number n)l-1) The operating signal sent by the unit i; when i is 0, order
Figure BDA0002474216600000095
Figure BDA0002474216600000096
Is the threshold of the j cell of the l layer.
If the activation function of the unit j is a sigmoid function, then
Figure BDA0002474216600000097
And is
Figure BDA0002474216600000098
If neuron j belongs to the first hidden layer (l ═ 1), then there are
Figure BDA0002474216600000099
If neuron j belongs to the output layer (L ═ L), then there are
Figure BDA00024742166000000910
And ej(n)=xj(n)-oj(n);
(b) And (3) calculating the error reversely:
for output unit
Figure BDA00024742166000000911
Pair hidden unit
Figure BDA0002474216600000101
(c) Correcting the weight value:
Figure BDA0002474216600000102
η is the learning rate.
The third step: inputting a new sample or a new period sample until the network converges, and randomly re-ordering the input sequence of the samples in each period during training.
The BP algorithm adopts a gradient descent method to solve the extreme value of a nonlinear function, and has the problems of local minimum, low convergence speed and the like. A more effective algorithm is a Levenberg-Marquardt optimization algorithm, which enables the network learning time to be shorter and can effectively inhibit the network from being locally minimum. The weight adjustment rate is selected as delta omega ═ JTJ+μI)-1JTe
Wherein J is a Jacobian (Jacobian) matrix of error to weight differentiation, I is an input vector, e is an error vector, and the variable mu is a scalar quantity which is self-adaptive and adjusted and is used for determining whether the learning is finished according to a Newton method or a gradient method.
When the system is designed, the system model is a network which is only initialized, the weight needs to be learned and adjusted according to data samples obtained in the using process, and therefore the self-learning function of the system is designed. Under the condition of appointing learning samples and quantity, the system can carry out self-learning so as to continuously improve the network performance.
Step three, when the first water pump works, controlling the rotating speed of the first water pump to meet the following requirements:
Figure BDA0002474216600000103
in the formula, n1Is the rotational speed of the first water pump, TeIs the operating temperature, T, of the battery10Is a first operating temperature threshold, T, of the battery20Is a second operating temperature threshold, T, of the battery30Is a first operating temperature threshold, T, of the battery10Is a reference temperature value, n0Is a standard rotation speed.
The second water pump and the third water pump work simultaneously, and when the second water pump and the third water pump work, the rotating speeds of the second water pump and the third water pump are controlled to meet the following requirements:
Figure BDA0002474216600000111
in the formula, n2Is the rotational speed of the second water pump, n3Is the rotational speed of the third water pump, T40Is the fourth operating temperature threshold of the battery.
When T is40≤Te≤T10And when the first electromagnetic valve, the second electromagnetic valve, the third electromagnetic valve, the heat exchanger and the expansion valve are in a closed state, and the first water pump, the second water pump and the third water pump do not work.
In the embodiment, the first working temperature threshold of the battery is 15-20 ℃, the second working temperature threshold of the battery is 25-30 ℃, the third working temperature threshold of the battery is 32-35 ℃, and the fourth working temperature threshold of the battery is-2-0 ℃.
The following further describes the control method of the hybrid vehicle thermal management system provided by the present invention with reference to specific embodiments.
10 groups of hybrid vehicles loaded with power batteries (the electric quantities of the batteries are all 100%) are selected to work in different temperature environments (except different temperatures, the other environments are consistent), and the specific data are shown in table 1.
TABLE 1 test data
Serial numberT10T20T30T40Te
1182532010
2182532020
3182532023
4182532027
5182532029
6182532031
7182532033
8182532037
9182532039
101825320-5
The control method of the hybrid electric vehicle thermal management system is adopted to carry out thermal management on the vehicle-mounted power batteries of 1-10, and the vehicle-mounted power batteries of 2, 5, 7, 9 and 10 are selected to carry out parallel blank experiments, namely, the vehicle is not subjected to thermal management, the driving of the vehicle is simulated in the same environment, and the driving mileage of the vehicle with the total electric quantity of the batteries consumed is recorded. Namely, the results are shown in Table 2.
TABLE 2 test results
Serial numberMileage (Km)
1460
2460
3455
4445
5460
6465
7460
8465
9450
10445
Blank spaceMileage (Km)
2400
5410
7405
9400
10375
As can be seen from table 2, after the thermal management, the service efficiency of the battery is higher, even under the condition of higher temperature or intersection, the total mileage that the vehicle can travel can be kept consistent basically after the thermal management, the efficiency of the battery without the thermal management is obviously reduced, and the total mileage that the vehicle can travel is greatly reduced.
The control method of the hybrid electric vehicle thermal management system designed and developed by the invention can acquire the working temperature environment of the battery, and determine the working states of the first electromagnetic valve, the second electromagnetic valve, the third electromagnetic valve, the first water pump, the second water pump, the third water pump and the heat exchanger based on the BP neural network.
While embodiments of the invention have been described above, it is not limited to the applications set forth in the description and the embodiments, which are fully applicable in various fields of endeavor to which the invention pertains, and further modifications may readily be made by those skilled in the art, it being understood that the invention is not limited to the details shown and described herein without departing from the general concept defined by the appended claims and their equivalents.

Claims (6)

1. A control method of a hybrid electric vehicle thermal management system comprises a battery cooling system and is characterized in that,
the battery cooling system includes:
a condenser; and
a heat exchanger in communication with an outlet of the condenser;
an expansion valve provided between the condenser and the heat exchanger;
a compressor having an inlet in communication with the first outlet of the heat exchanger and an outlet in communication with the inlet of the condenser;
the inlet of the power battery is communicated with the second outlet of the heat exchanger, and the outlet of the power battery is communicated with the inlet of the first electromagnetic valve;
a battery radiator, an inlet of which is communicated with a first outlet of the first electromagnetic valve;
a first water pump, an inlet of which is communicated with an outlet of the battery radiator and a second outlet of the first electromagnetic valve, and an outlet of which is communicated with the heat exchanger;
the thermal management system further comprises a battery heating system:
an engine; and
a second water pump, a first inlet of which is communicated with an outlet of the engine;
an electric heater, an inlet of the electric heater is communicated with an outlet of the second water pump, and a first outlet of the electric heater is communicated with the heat exchanger;
a second electromagnetic valve disposed between the electric heater and the heat exchanger;
the inlet of the warm air water tank is communicated with the second outlet of the electronic heater;
the inlet of the third electromagnetic valve is respectively communicated with the outlet of the warm air water tank and the third outlet of the heat exchanger;
an inlet of the third water pump is communicated with an outlet of the third electromagnetic valve, and an outlet of the third water pump is communicated with an inlet of the engine;
the first electromagnetic valve is a three-way electromagnetic valve, and the second electromagnetic valve and the third electromagnetic valve are two-way electromagnetic valves;
the thermal management system further comprises:
the temperature sensors are uniformly arranged on the battery and used for detecting the temperature of the battery;
the controller is connected with the temperature sensor, the first electromagnetic valve, the second electromagnetic valve, the third electromagnetic valve, the first water pump, the second water pump, the third water pump and the heat exchanger, and is used for receiving detection data of the temperature sensor and controlling the first electromagnetic valve, the second electromagnetic valve, the third electromagnetic valve, the first water pump, the second water pump, the third water pump, the heat exchanger and the expansion valve to work;
the method comprises the following steps of collecting the working temperature environment of a battery, determining the working states of a first electromagnetic valve, a second electromagnetic valve, a third electromagnetic valve, a first water pump, a second water pump, a third water pump, a heat exchanger and an expansion valve based on a BP (back propagation) neural network, and specifically comprising the following steps of:
inputting a first working temperature threshold value, a second working temperature threshold value, a third working temperature threshold value and a fourth working temperature threshold value of a battery, and measuring the working temperature of the battery through a sensor according to a sampling period;
step two, determining an input layer neuron vector x ═ x of the three-layer BP neural network1,x2,x3,x4,x5}; wherein x is1Is the first operating temperature threshold, x, of the battery2Is the second operating temperature threshold, x, of the battery3Is the third operating temperature threshold, x, of the battery4Is the fourth operating temperature threshold, x, of the battery5Is the operating temperature of the battery;
wherein the working temperature of the battery is as follows:
Figure FDA0003408732460000021
in the formula, TeIs the operating temperature of the battery and is,
Figure FDA0003408732460000022
is the average value of the temperature of the battery, T is the number of temperature sensors, TiThe detection data of the ith temperature sensor;
mapping the input layer vector to a hidden layer, wherein the number of neurons of the hidden layer is m;
step four, obtaining an output layer neuron vector o ═ o1,o2,o3,o4,o5,o6,o7,o8}; wherein o is1Is the operating state of the first solenoid valve, o2Is the operating state of the second solenoid valve, o3Is the operating state of the third solenoid valve, o4Is the working state of the first water pump o5Is the operating state of the second water pump o6Is the operating state of the third water pump o7Is the operating state of the heat exchanger o8The working state of the expansion valve;
wherein the output layer neuron value is
Figure FDA0003408732460000023
k is output layer neuron sequence number k ═ {2, 3, 4, 5, 6, 8}, when okWhen 1, it is in the on state, when okWhen 0, it is in off state; the output layer neuron values
Figure FDA0003408732460000031
When o is1When 0, the first electromagnetic valve is in a closed state, and when o1When the pressure is 1, the first electromagnetic valve is in an open state, and liquid flows out from a first outlet of the first electromagnetic valve, and when the pressure is o1When the pressure is 2, the first electromagnetic valve is in an open state, and liquid flows out from a second outlet of the first electromagnetic valve; the output layer neuron values
Figure FDA0003408732460000032
When o is7At 0, the heat exchanger is in the off state, when o71, the heat exchanger is in an open state and liquid flows out of the first outlet of the heat exchanger, when o7At 2, the heat exchanger is in an open state and liquid flows out of the second outlet of the heat exchanger, when o7At 3, the heat exchanger is in an open state and liquid flows out of the third outlet of the heat exchanger.
2. The control method of the hybrid vehicle thermal management system according to claim 1, wherein when the first water pump is operated, the rotation speed of the first water pump is controlled to satisfy:
Figure FDA0003408732460000033
in the formula, n1Is the rotational speed of the first water pump, TeIs the operating temperature, T, of the battery10Is a first operating temperature threshold, T, of the battery20Is a second operating temperature threshold, T, of the battery30Being batteriesThird operating temperature threshold, T0Is a reference temperature value, n0Is a standard rotation speed.
3. The control method of the hybrid electric vehicle thermal management system according to claim 2, wherein the second water pump and the third water pump operate simultaneously, and when the second water pump and the third water pump operate, the rotation speeds of the second water pump and the third water pump are controlled to satisfy:
Figure FDA0003408732460000034
in the formula, n2Is the rotational speed of the second water pump, n3Is the rotational speed of the third water pump, T40Is the fourth operating temperature threshold of the battery.
4. The control method of the hybrid vehicle thermal management system of claim 3,
when T is40≤Te≤T10And when the first electromagnetic valve, the second electromagnetic valve, the third electromagnetic valve, the heat exchanger and the expansion valve are in a closed state, and the first water pump, the second water pump and the third water pump do not work.
5. The control method of the hybrid vehicle thermal management system according to claim 4, wherein the first operating temperature threshold of the battery is 15-20 ℃, the second operating temperature threshold of the battery is 25-30 ℃, the third operating temperature threshold of the battery is 32-35 ℃, and the fourth operating temperature threshold of the battery is-2-0 ℃.
6. The control method of the hybrid vehicle thermal management system according to claim 5, wherein the number of neurons in the hidden layer is 8; the excitation functions of the hidden layer and the output layer adopt S-shaped functions fj(x)=1/(1+e-x)。
CN202010358281.3A2020-04-292020-04-29Hybrid electric vehicle thermal management system and control method thereofExpired - Fee RelatedCN111572407B (en)

Priority Applications (1)

Application NumberPriority DateFiling DateTitle
CN202010358281.3ACN111572407B (en)2020-04-292020-04-29Hybrid electric vehicle thermal management system and control method thereof

Applications Claiming Priority (1)

Application NumberPriority DateFiling DateTitle
CN202010358281.3ACN111572407B (en)2020-04-292020-04-29Hybrid electric vehicle thermal management system and control method thereof

Publications (2)

Publication NumberPublication Date
CN111572407A CN111572407A (en)2020-08-25
CN111572407Btrue CN111572407B (en)2022-01-28

Family

ID=72122727

Family Applications (1)

Application NumberTitlePriority DateFiling Date
CN202010358281.3AExpired - Fee RelatedCN111572407B (en)2020-04-292020-04-29Hybrid electric vehicle thermal management system and control method thereof

Country Status (1)

CountryLink
CN (1)CN111572407B (en)

Families Citing this family (3)

* Cited by examiner, † Cited by third party
Publication numberPriority datePublication dateAssigneeTitle
CN114156567B (en)*2021-11-192024-03-26同济大学Power battery thermal management system based on machine learning
FR3131660A1 (en)*2022-01-042023-07-07Psa Automobiles Sa ARTIFICIAL INTELLIGENCE THERMAL CONTROL SYSTEM, METHOD AND VEHICLE BASED ON SUCH SYSTEM
CN114725578A (en)*2022-04-292022-07-08苏州市职业大学Lithium battery temperature control device system based on new energy automobile

Citations (5)

* Cited by examiner, † Cited by third party
Publication numberPriority datePublication dateAssigneeTitle
CN101348065A (en)*2007-07-202009-01-21株式会社电装Automotive air conditioner and method for controlling automotive air conditioner
DE102014007303A1 (en)*2014-05-172015-11-19Man Truck & Bus Ag Control or regulating method for a motor vehicle
CN108944392A (en)*2018-07-162018-12-07北京汽车股份有限公司Mixed electrical automobile heat management system and mixed electrical automobile
CN109755687A (en)*2019-01-162019-05-14吉林大学 A system for precise heating and cooling of batteries using graphene film and control method thereof
CN110424207A (en)*2019-08-132019-11-08吉林大学A kind of road heat collection underground energy-accumulation double temperature differential grade flow control system and control method

Patent Citations (5)

* Cited by examiner, † Cited by third party
Publication numberPriority datePublication dateAssigneeTitle
CN101348065A (en)*2007-07-202009-01-21株式会社电装Automotive air conditioner and method for controlling automotive air conditioner
DE102014007303A1 (en)*2014-05-172015-11-19Man Truck & Bus Ag Control or regulating method for a motor vehicle
CN108944392A (en)*2018-07-162018-12-07北京汽车股份有限公司Mixed electrical automobile heat management system and mixed electrical automobile
CN109755687A (en)*2019-01-162019-05-14吉林大学 A system for precise heating and cooling of batteries using graphene film and control method thereof
CN110424207A (en)*2019-08-132019-11-08吉林大学A kind of road heat collection underground energy-accumulation double temperature differential grade flow control system and control method

Also Published As

Publication numberPublication date
CN111572407A (en)2020-08-25

Similar Documents

PublicationPublication DateTitle
CN111572407B (en)Hybrid electric vehicle thermal management system and control method thereof
CN111261973B (en)Electric automobile whole battery thermal management method based on model predictive control
CN109050200B (en) A kind of control method of automobile heat pump air conditioner
CN112477698B (en)Active thermal management system for power battery and control method
CN113479186B (en)Energy management strategy optimization method for hybrid electric vehicle
CN107688343B (en) Energy control method for a hybrid electric vehicle
CN112249002B (en) A heuristic series-parallel hybrid energy management method based on TD3
US9638091B2 (en)Cooling in a liquid-to-air heat exchanger
CN105136469A (en)Unmanned vehicle speed control method based on PSO and RBF neutral network
CN109447236A (en)A kind of method for diagnosing faults of hybrid vehicle heat management system
CN112180280A (en)Hybrid electric vehicle battery life optimization method considering battery health state
CN112373457B (en)Energy and heat integrated model of hybrid electric vehicle for energy-saving control
WO2011006344A1 (en)Temperature regulating device and intelligent temperature control method for sand dust environment test system
CN109910863B (en)Control method based on special transmission for plug-in hybrid electric vehicle
CN115732810A (en)Control method of electric vehicle battery pack heating system
CN113050426B (en) A thermal management control method and system integrating genetic ant colony algorithm
CN115840987A (en)Hybrid vehicle thermal management strategy generation method based on deep reinforcement learning
Choi et al.Reinforcement learning-based controller for thermal management system of electric vehicles
CN115071367A (en)Integrated thermal management control method for pure electric vehicle based on energy consumption optimization
CN110733493A (en) A power distribution method for a hybrid electric vehicle
CN114537087A (en)Performance optimization method for integrated thermal management system of pure electric vehicle
CN111736462A (en) An optimal hydrogen consumption control method for fuel cell vehicles
CN117113185A (en)Warm ventilation and air conditioning fault diagnosis method based on residual multidimensional Taylor net
Wang et al.Fault detection and diagnosis of HVAC system based on federated learning
CN113871657B (en) A Fuel Cell Air Supply System Control Method Based on FPF Decoupling

Legal Events

DateCodeTitleDescription
PB01Publication
PB01Publication
SE01Entry into force of request for substantive examination
SE01Entry into force of request for substantive examination
GR01Patent grant
GR01Patent grant
CF01Termination of patent right due to non-payment of annual fee
CF01Termination of patent right due to non-payment of annual fee

Granted publication date:20220128


[8]ページ先頭

©2009-2025 Movatter.jp