

技术领域technical field
本发明涉及撞击检测领域,具体涉及一种基于MEMS六轴传感器的可穿戴式撞击检测装置。The invention relates to the field of impact detection, in particular to a wearable impact detection device based on a MEMS six-axis sensor.
背景技术Background technique
随着科技的进步和时代的发展,使得各式各样的可穿戴设备逐渐进入大众视野,并在日常生活中扮演着举足轻重的角色。MEMS技术的出现使得各种元器件、传感器的集成度越来越高,体积也越来越小,于是各种各样的MEMS传感器被嵌入到可穿戴设备中。With the advancement of technology and the development of the times, all kinds of wearable devices have gradually entered the public eye and played a pivotal role in daily life. The emergence of MEMS technology has made various components and sensors more and more integrated, and the volume is getting smaller and smaller, so various MEMS sensors are embedded in wearable devices.
近年来,车祸和高空坠落等撞击事故时有发生,不少人因此受伤甚至失去生命,而其中有部分原因就是因为该类事故无法检测和报警不够及时,导致错过了最佳的救治时间,最终失去宝贵的生命。若将用于检测撞击的MEMS六轴传感器嵌入到可穿戴装置中,便可随时检测用户是否发生撞击,并在检测到撞击发生后自动触发报警。因此,如何开发一种基于MEMS六轴传感器的可穿戴式撞击检测装置,就成了值得解决的问题。In recent years, collision accidents such as car accidents and high-altitude falls have occurred from time to time, and many people have been injured or even lost their lives. Part of the reason is that such accidents cannot be detected and the alarm is not timely enough, resulting in missing the best treatment time. Lose precious lives. If the MEMS six-axis sensor used to detect impact is embedded in the wearable device, it can detect whether the user has an impact at any time, and automatically trigger an alarm after detecting the impact. Therefore, how to develop a wearable impact detection device based on MEMS six-axis sensor has become a problem worth solving.
发明内容SUMMARY OF THE INVENTION
本发明的目的是克服现有技术的不足,提出一种基于MEMS六轴传感器的可穿戴式撞击检测装置,本发明所用的技术方案为:The purpose of the present invention is to overcome the deficiencies of the prior art, and propose a wearable impact detection device based on a MEMS six-axis sensor. The technical scheme used in the present invention is:
一种基于MEMS六轴传感器的可穿戴式撞击检测装置,包括主控模块、MEMS六轴传感器模块、心率传感器模块、通信及定位模块、显示屏、电源模块和震动模块;所述MEMS六轴传感器模块通过USART与所述主控模块相连;所述心率传感器模块通过I2C与所述主控模块相连;所述通信及定位模块通过USART与所述主控模块相连;所述显示屏通过USART与所述主控模块相连;所述电源模块通过ADC与所述主控模块相连;所述震动模块通过PWM与所述主控模块相连。A wearable impact detection device based on a MEMS six-axis sensor, comprising a main control module, a MEMS six-axis sensor module, a heart rate sensor module, a communication and positioning module, a display screen, a power supply module and a vibration module; the MEMS six-axis sensor The module is connected to the main control module through USART; the heart rate sensor module is connected to the main control module through I2C; the communication and positioning module is connected to the main control module through USART; the display screen is connected to the main control module through USART. the main control module is connected; the power module is connected to the main control module through ADC; the vibration module is connected to the main control module through PWM.
所述显示屏设置在所述撞击检测装置的顶层;the display screen is arranged on the top layer of the impact detection device;
所述主控模块、MEMS六轴传感器模块、通信及定位模块和震动模块设置在所述撞击检测装置的第二层;The main control module, the MEMS six-axis sensor module, the communication and positioning module and the vibration module are arranged on the second layer of the impact detection device;
所述电源模块设置在所述撞击检测装置的第三层;the power module is arranged on the third layer of the impact detection device;
所述心率传感器模块设置在所述撞击检测装置的底层。The heart rate sensor module is arranged on the bottom layer of the impact detection device.
所述MEMS六轴传感器模块、通信及定位模块和震动模块围绕着所述主控模块排布。The MEMS six-axis sensor module, the communication and positioning module and the vibration module are arranged around the main control module.
所述主控模块具体为STM32F103VET6最小系统;The main control module is specifically the STM32F103VET6 minimum system;
所述MEMS六轴传感器模块具体为JY61;The MEMS six-axis sensor module is specifically JY61;
所述心率传感器模块具体为MAX30100;The heart rate sensor module is specifically MAX30100;
所述通信及定位模块具体为SIM868;The communication and positioning module is specifically SIM868;
所述显示屏具体为2.4寸的TJC3224T024_011R触摸屏;The display screen is specifically a 2.4-inch TJC3224T024_011R touch screen;
所述电源模块具体为900毫安的803040锂电池;The power module is specifically a 900mAh 803040 lithium battery;
所述震动模块具体为1027震动马达。The vibration module is specifically a 1027 vibration motor.
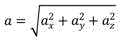
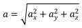
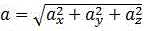
所述MEMS六轴传感器模块检测运动时产生的三维空间X、Y、Z轴上的加速度和角速度,并将获取到的加速度和角速度数据传输到所述主控模块,所述主控模块利用公式算出合加速度和合角速度,所述主控模块通过合加速度和合角速度两种数据来判断用户是否发生撞击。The MEMS six-axis sensor module detects the acceleration and angular velocity on the X, Y, and Z axes of the three-dimensional space generated during movement, and transmits the acquired acceleration and angular velocity data to the main control module, which uses the formula Calculate the resultant acceleration and the resultant angular velocity, and the main control module judges whether the user has a collision through two data of the resultant acceleration and the resultant angular velocity.
当所述合加速度和合角速度中的任意一项超过阈值时,所述震动模块便由弱到强持续震动10秒,同时所述显示屏上提示“是否取消报警”。When any one of the resultant acceleration and the resultant angular velocity exceeds the threshold, the vibration module will continue to vibrate from weak to strong for 10 seconds, and at the same time, the display screen will prompt "whether to cancel the alarm".
所述合加速度的阈值为:30m/ s2;所述合角速度的阈值为:200°/s。The threshold value of the resultant acceleration is: 30 m/s2 ; the threshold value of the resultant angular velocity is: 200°/s.
如果用户在所述震动模块的10秒内点击所述显示屏的“确认取消”按钮,则所述震动模块停止震动;If the user clicks the "Confirm Cancel" button on the display screen within 10 seconds of the vibration module, the vibration module stops vibration;
如果用户在所述震动模块的10秒内点击所述显示屏的“立即报警”按钮或者10秒后用户未采取任何操作,则所述震动模块停止震动,所述心率传感器模块立刻采集用户的心率,同时所述通信及定位模块获取用户的位置信息,并将用户的心率和位置信息发送短信给提前设定好的家属和医护人员的号码,通知家属和医护人员尽快赶来救援。。If the user clicks the "Alarm Immediately" button on the display screen within 10 seconds of the vibration module or the user does not take any action after 10 seconds, the vibration module stops the vibration, and the heart rate sensor module immediately collects the user's heart rate At the same time, the communication and positioning module obtains the user's location information, and sends a short message of the user's heart rate and location information to the pre-set numbers of family members and medical staff, notifying the family members and medical staff to come to rescue as soon as possible. .
本发明的有益效果在于:The beneficial effects of the present invention are:
本发明的优点在于:将用于检测撞击的MEMS传感器嵌入到腕上可穿戴装置中,用于检测用户是否发生车祸和高空坠落等撞击事故,并在检测到撞击发生后自动触发报警通知家属和医护人员。如此一来,发生撞击的用户便能够得到及时的救治,在一定程度上避免了因抢救不及时而导致用户失去宝贵的生命。如果现有市场上的智能手表手环类产品采用本发明的技术方案,即可在不牺牲原有功能的前提下拥有撞击检测的功能。The advantage of the present invention is that the MEMS sensor for detecting impact is embedded in the wearable device on the wrist, which is used to detect whether the user has a collision accident such as a car accident or a high-altitude fall, and automatically triggers an alarm to notify family members and family members after the collision is detected. medical staff. In this way, the user who has the collision can be rescued in time, and to a certain extent, the loss of precious life of the user due to untimely rescue can be avoided. If the smart watch bracelet products on the existing market adopt the technical solution of the present invention, the function of impact detection can be provided without sacrificing the original function.
附图说明Description of drawings
图1为本发明一种基于MEMS六轴传感器的可穿戴式撞击检测装置的整体连接示意图;1 is a schematic diagram of the overall connection of a wearable impact detection device based on a MEMS six-axis sensor of the present invention;
图2为本发明一种基于MEMS六轴传感器的可穿戴式撞击检测装置的结构示意图。FIG. 2 is a schematic structural diagram of a wearable impact detection device based on a MEMS six-axis sensor according to the present invention.
图中:1、主控模块;2、MEMS六轴传感器模块;3、心率传感器模块;4、通信及定位模块;5、显示屏;6、电源模块;7、震动模块。In the figure: 1. Main control module; 2. MEMS six-axis sensor module; 3. Heart rate sensor module; 4. Communication and positioning module; 5. Display screen; 6. Power supply module; 7. Vibration module.
具体实施方式Detailed ways
下面结合附图和实施例对本发明作进一步的说明。The present invention will be further described below in conjunction with the accompanying drawings and embodiments.
实施例:参见图1-2。Example: See Figures 1-2.
参见图1,一种基于MEMS六轴传感器的可穿戴式撞击检测装置,包括主控模块1、MEMS六轴传感器模块2、心率传感器模块3、通信及定位模块4、显示屏5、电源模块6和震动模块7。所述MEMS六轴传感器模块2通过USART与所述主控模块1相连;所述心率传感器模块3通过I2C与所述主控模块1相连;所述通信及定位模块4通过USART与所述主控模块1相连;所述显示屏5通过USART与所述主控模块1相连;所述电源模块6通过ADC与所述主控模块1相连;所述震动模块7通过PWM与所述主控模块1相连。Referring to FIG. 1 , a wearable impact detection device based on a MEMS six-axis sensor includes a
参见图2,所述撞击检测装置按层数划分:所述显示屏5设置在所述撞击检测装置的顶层;所述主控模块1、MEMS六轴传感器模块2、通信及定位模块4和震动模块7设置在所述撞击检测装置的第二层,所述MEMS六轴传感器模块2、通信及定位模块4和震动模块7均围绕着所述主控模块1排布;所述电源模块6设置在所述撞击检测装置的第三层;所述心率传感器模块3设置在所述撞击检测装置的底层。Referring to FIG. 2, the impact detection device is divided according to the number of layers: the
所述MEMS六轴传感器模块检测运动时产生的三维空间X、Y、Z轴上的加速度和角速度,并将获取到的加速度和角速度数据传输到所述主控模块1,所述主控模块1利用公式算出合加速度和合角速度,所述主控模块1通过合加速度和合角速度两种数据来判断用户是否发生撞击。The MEMS six-axis sensor module detects the acceleration and angular velocity on the X, Y, and Z axes of the three-dimensional space generated during movement, and transmits the acquired acceleration and angular velocity data to the
当所述合加速度和合角速度中的任意一项超过阈值时,所述震动模块7便由弱到强持续震动10秒,同时所述显示屏5提示“是否取消报警”。When any one of the resultant acceleration and the resultant angular velocity exceeds the threshold, the
所述合加速度的阈值为:30m/ s2。The threshold value of the resultant acceleration is: 30 m/s2 .
所述合角速度的阈值为:200°/s。The threshold value of the closing angular velocity is: 200°/s.
如果用户在所述震动模块7的10秒内点击所述显示屏5的“确认取消”按钮,则所述震动模块7停止震动。If the user clicks the "Confirm Cancel" button on the
如果用户在所述震动模块7的10秒内点击所述显示屏5的“立即报警”按钮或者10秒后用户未采取任何操作,则所述震动模块7停止震动,所述心率传感器模块3立刻采集用户的心率,同时所述通信及定位模块4获取用户的位置信息,并将用户的心率和位置信息发送短信给提前设定好的家属和医护人员的号码,通知家属和医护人员尽快赶来救援。If the user clicks the "Alarm immediately" button of the
以上实施例仅用以说明本发明的技术方案而非对其限制,尽管参照上述实施例对本发明进行了详细的说明,所属领域的普通技术人员应当理解,依然可以对本发明的具体实施方式进行修改或者等同替换,而未脱离本发明精神和范围的任何修改或者等同替换,其均应涵盖在本发明的权利要求范围当中。The above embodiments are only used to illustrate the technical solutions of the present invention and not to limit them. Although the present invention has been described in detail with reference to the above embodiments, those of ordinary skill in the art should understand that the specific embodiments of the present invention can still be modified. Or equivalent replacements, and any modifications or equivalent replacements that do not depart from the spirit and scope of the present invention, should all be included in the scope of the claims of the present invention.
| Application Number | Priority Date | Filing Date | Title |
|---|---|---|---|
| CN202010400581.3ACN111568405A (en) | 2020-05-13 | 2020-05-13 | Wearable impact detection device based on MEMS six sensors |
| Application Number | Priority Date | Filing Date | Title |
|---|---|---|---|
| CN202010400581.3ACN111568405A (en) | 2020-05-13 | 2020-05-13 | Wearable impact detection device based on MEMS six sensors |
| Publication Number | Publication Date |
|---|---|
| CN111568405Atrue CN111568405A (en) | 2020-08-25 |
| Application Number | Title | Priority Date | Filing Date |
|---|---|---|---|
| CN202010400581.3APendingCN111568405A (en) | 2020-05-13 | 2020-05-13 | Wearable impact detection device based on MEMS six sensors |
| Country | Link |
|---|---|
| CN (1) | CN111568405A (en) |
| Publication number | Priority date | Publication date | Assignee | Title |
|---|---|---|---|---|
| CN113138679A (en)* | 2021-04-01 | 2021-07-20 | 出门问问信息科技有限公司 | Processing method and device for six-axis sensing signals |
| CN116564044A (en)* | 2023-04-28 | 2023-08-08 | 中国船舶集团有限公司系统工程研究院 | Marine single distress alarm communication method and communication device applying same |
| Publication number | Priority date | Publication date | Assignee | Title |
|---|---|---|---|---|
| US20120101770A1 (en)* | 2009-04-27 | 2012-04-26 | The Board Of Trustees Of The University Of Illinois | Fall detection |
| US20120143526A1 (en)* | 2010-07-15 | 2012-06-07 | The Cleveland Clinic Foundation | Detection and characterization of head impacts |
| CN104821061A (en)* | 2015-03-26 | 2015-08-05 | 苏州大学 | A wearable fall warning system and its application method |
| CN109171687A (en)* | 2018-09-28 | 2019-01-11 | 湖南城市学院 | A kind of intellectualizing system and control method monitoring the elderly's moving situation |
| CN210277135U (en)* | 2019-04-10 | 2020-04-10 | 江苏科瑞德智控自动化科技有限公司 | Portable health detection and intelligent alarm instrument |
| CN212368965U (en)* | 2020-05-13 | 2021-01-19 | 南昌大学 | A wearable impact detection device based on MEMS six-axis sensor |
| Publication number | Priority date | Publication date | Assignee | Title |
|---|---|---|---|---|
| US20120101770A1 (en)* | 2009-04-27 | 2012-04-26 | The Board Of Trustees Of The University Of Illinois | Fall detection |
| US20120143526A1 (en)* | 2010-07-15 | 2012-06-07 | The Cleveland Clinic Foundation | Detection and characterization of head impacts |
| CN104821061A (en)* | 2015-03-26 | 2015-08-05 | 苏州大学 | A wearable fall warning system and its application method |
| CN109171687A (en)* | 2018-09-28 | 2019-01-11 | 湖南城市学院 | A kind of intellectualizing system and control method monitoring the elderly's moving situation |
| CN210277135U (en)* | 2019-04-10 | 2020-04-10 | 江苏科瑞德智控自动化科技有限公司 | Portable health detection and intelligent alarm instrument |
| CN212368965U (en)* | 2020-05-13 | 2021-01-19 | 南昌大学 | A wearable impact detection device based on MEMS six-axis sensor |
| Publication number | Priority date | Publication date | Assignee | Title |
|---|---|---|---|---|
| CN113138679A (en)* | 2021-04-01 | 2021-07-20 | 出门问问信息科技有限公司 | Processing method and device for six-axis sensing signals |
| CN116564044A (en)* | 2023-04-28 | 2023-08-08 | 中国船舶集团有限公司系统工程研究院 | Marine single distress alarm communication method and communication device applying same |
| Publication | Publication Date | Title |
|---|---|---|
| CN104966380B (en) | A kind of alarm system and method for monitoring human body accidental falls | |
| Deepa et al. | IoT-based wearable devices for personal safety and accident prevention systems | |
| CN106473265B (en) | A kind of intelligence, which is fallen, guards T-shirt and its fall detection algorithm | |
| CN101950464B (en) | Method and system for fall detection and alarm | |
| CN103530978B (en) | A danger perception and alarm system for special groups of people | |
| CN205050303U (en) | Human paralysis of intelligence is monitoring devices | |
| CN201829026U (en) | System for monitoring and alarming fall | |
| CN104510460A (en) | Alone old people automatic monitoring system based on Internet of Things | |
| CN101488273A (en) | Split type detection alarm device for human falling | |
| CN113160520B (en) | Data processing method and device, storage medium and intelligent glasses | |
| CN204332004U (en) | a smart belt | |
| CN201352380Y (en) | Human body falling-down detection and alarm device | |
| CN111568405A (en) | Wearable impact detection device based on MEMS six sensors | |
| CN201977772U (en) | Safety monitor | |
| CN206453322U (en) | Old man's intelligent slippers of Prevention of fall and alarm integrated | |
| CN205656739U (en) | Human fall detection system | |
| CN107898442A (en) | Children's safety bracelet | |
| CN212368965U (en) | A wearable impact detection device based on MEMS six-axis sensor | |
| CN105374000A (en) | Intelligent wearable equipment health safety system based on Internet of things, cloud computing and big data analysis | |
| CN112435419B (en) | Safety monitoring device for limited space operating personnel | |
| EP3756176A1 (en) | A wearable alarm device and a method of use thereof | |
| CN207252893U (en) | A kind of intelligence first aid helmet | |
| TWI608451B (en) | System, wearable apparatus, method, computer-readable medium and program product for generating and processing emergency alert automatically | |
| CN109199357B (en) | Help seeking method based on wearable device, wearable device and storage medium | |
| CN206684902U (en) | Falls Among Old People self-help instrument |
| Date | Code | Title | Description |
|---|---|---|---|
| PB01 | Publication | ||
| PB01 | Publication | ||
| SE01 | Entry into force of request for substantive examination | ||
| SE01 | Entry into force of request for substantive examination | ||
| RJ01 | Rejection of invention patent application after publication | ||
| RJ01 | Rejection of invention patent application after publication | Application publication date:20200825 |