
技术领域technical field
本发明涉及一种基于电能替代终端的自动预警控制方法及系统,属于电能替代领域。The invention relates to an automatic early warning control method and system based on an electric energy substitution terminal, and belongs to the field of electric energy substitution.
背景技术Background technique
餐饮业是城市生活中必不可少的重点行业,移动餐车是店铺模式的补充,传统的移动餐车一般使用煤碳、煤油或燃气,再加上餐饮业自身的油烟气体排放,对环保的压力很大。而且目前我国的移动餐车由于使用化石能源,缺乏油烟净化等设备,难以保障运营的安全性和环保问题,因此一直存在产业化发展的阻碍。The catering industry is an indispensable key industry in urban life, and mobile food trucks are a supplement to the store model. Traditional mobile food trucks generally use coal, kerosene or gas, coupled with the catering industry's own fumes and gas emissions, which put great pressure on environmental protection. big. Moreover, at present, due to the use of fossil energy and the lack of equipment such as oil fume purification, mobile food trucks in my country are difficult to ensure the safety of operation and environmental protection issues, so there has been an obstacle to the development of industrialization.
电作为公认的绿色清洁能源,移动电餐车将逐渐替代传统的移动餐车,现在电餐车在运营时,没有匹配的预警控制方法,无法提前发现潜在事故,保证电餐车的安全运营。Electricity, as a recognized green and clean energy, will gradually replace the traditional mobile food trucks. At present, when the electric food trucks are in operation, there is no matching early warning control method, and potential accidents cannot be detected in advance to ensure the safe operation of the electric food trucks.
发明内容SUMMARY OF THE INVENTION
本发明提供了一种基于电能替代终端的自动预警控制方法及系统,解决了背景技术中披露的问题。The present invention provides an automatic early warning control method and system based on an electric energy substitute terminal, which solves the problems disclosed in the background art.
为了解决上述技术问题,本发明所采用的技术方案是:In order to solve the above-mentioned technical problems, the technical scheme adopted in the present invention is:
一种基于电能替代终端的自动预警控制方法,包括,An automatic early warning control method based on an electric energy replacement terminal, comprising,
根据采集的电餐车实时状态信息,计算电餐车的运行状态和体检指标;According to the collected real-time status information of the electric dining car, the operation status and physical examination indicators of the electric dining car are calculated;
根据运行状态和体检指标,对电餐车进行预警评估,向电餐车发出相应的控制指令;According to the operating status and physical examination indicators, the early warning evaluation of the electric dining car is carried out, and the corresponding control instructions are issued to the electric dining car;
根据体检指标调整发送周期,将调整后的发送周期和预警评估结果发送给后台。Adjust the sending cycle according to the physical examination indicators, and send the adjusted sending cycle and early warning evaluation results to the background.
运行状态和体检指标表示为,The operating status and physical examination indicators are expressed as,
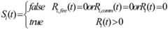
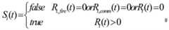
Si(t)=f(ETi(t),Ri,temp(t),Ri,hum(t),Ri,fire(t),Ri,smoke(t),Ri,p(t),Ri,soc(t),Ri,comm(t))Si (t)=f(ETi (t),Ri,temp (t),Ri,hum (t),Ri,fire (t),Ri,smoke (t),Ri,p (t), Ri,soc (t), Ri,comm (t))
Ri(t)=ETi(t)×Ri,temp(t)×Ri,hum(t)×Ri,smoke(t)×Ri,p(t)×Ri,soc(t)Ri (t)=ETi (t)×Ri,temp (t)×Ri,hum (t)×Ri,smoke (t)×Ri,p (t)×Ri,soc (t )
其中,Si(t)为电餐车i在t时刻的运行状态,Ri(t)为电餐车i在t时刻的体检指标,Ri,temp(t)为电餐车i在t时刻的电池温度体检值,Ri,hum(t)为电餐车i在t 时刻的环境湿度体检值,Ri,fire(t)为电餐车i在t时刻的火警状态,Ri,smoke(t)为电餐车i在t时刻的烟雾浓度体检值,Ri,p(t)为电餐车i在t时刻的实时功率体检值, Ri,soc(t)为电餐车i在t时刻的剩余电量SoC体检值,Ri,comm(t)为电餐车i在t时刻的通信状态;Among them, Si (t) is the running state of the dining car i at time t, Ri (t) is the physical examination index of the dining car i at time t, and Ri,temp (t) is the battery of the dining car i at time t Temperature physical examination value, Ri,hum (t) is the environmental humidity physical examination value of electric dining car i at time t, Ri,fire (t) is the fire alarm state of electric dining car i at time t, Ri,smoke (t) is The physical examination value of the smoke concentration of the dining car i at time t, Ri,p (t) is the real-time power inspection value of the dining car i at time t, Ri,soc (t) is the remaining power SoC of the dining car i at time t Physical examination value, Ri,comm (t) is the communication state of the dining car i at time t;
false为异常状态,true为正常状态;false is abnormal state, true is normal state;
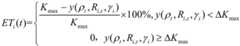
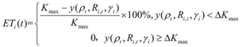
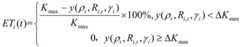
#ETi(t)为电餐车i在t时刻的电热状态体检值,# ETi (t) is the physical examination value of the electric heating state of the dining car i at time t,
其中,Kmax为允许的电池充放电系统温度警示值,ΔKmax=Kmax-K0,K0为环境温度,ρt为电餐车实际电流与额定电流的比值,Ri,t为电餐车i在t时刻的电阻值,γi为在ρt下连续运行时间,y(·)为升温计算函数。Among them, Kmax is the allowable temperature warning value of the battery charging and discharging system, ΔKmax =Kmax -K0 , K0 is the ambient temperature, ρt is the ratio of the actual current to the rated current of the electric dining car, and Ri,t is the electric dining car The resistance value of i at time t, γi is the continuous running time at ρt , and y(·) is the heating calculation function.
向电餐车发出相应的控制指令为,The corresponding control command issued to the electric dining car is,
响应于运行状态为正常状态、体检指标大于等于警示阈值,不发出控制指令;In response to the operating state being the normal state and the physical examination index being greater than or equal to the warning threshold, no control instruction is issued;
响应于运行状态为正常状态、体检指标小于警示阈值,发出告警控制指令,提示需进一步判断;In response to the normal state of operation and the fact that the physical examination index is less than the warning threshold, an alarm control instruction is issued, indicating that further judgment is required;
响应于运行状态为异常状态、体检指标大于等于警示阈值,发出告警控制指令,提示电餐车停运,但不发出停运控制指令;In response to the abnormal state of operation and the physical examination index being greater than or equal to the warning threshold, an alarm control command is issued to prompt the electric dining car to be out of service, but no outage control command is issued;
响应于运行状态为异常状态、体检指标小于警示阈值,启动自动控制,发出告警和停运控制指令,将电餐车加入检修集合。In response to the abnormal state of operation and the fact that the physical examination index is less than the warning threshold, automatic control is activated, an alarm and outage control instructions are issued, and the electric dining car is added to the maintenance set.
根据体检指标调整发送周期的过程为,The process of adjusting the sending cycle according to the physical examination indicators is as follows:
响应于体检指标变化率大于等于阈值,减小发送周期;其中发送周期在预设的范围内调整。In response to the change rate of the physical examination index being greater than or equal to the threshold, the sending period is reduced; wherein the sending period is adjusted within a preset range.
一种基于电能替代终端的自动预警控制方法,包括,An automatic early warning control method based on an electric energy replacement terminal, comprising,
采集电能替代终端侧发送的预警评估结果和发送周期;Collect electric energy to replace the warning evaluation result and sending period sent by the terminal side;
根据预警评估结果和发送周期,对电餐车进行预警评估,向电能替代终端侧发出相应的控制指令。According to the results of the early warning evaluation and the sending period, the early warning evaluation is carried out on the electric dining car, and the corresponding control instructions are issued to the electric energy replacement terminal side.
向电能替代终端侧发出相应的控制指令为,The corresponding control command issued to the electric energy replacement terminal side is,
响应于运行状态为正常状态、体检指标大于等于警示阈值、发送周期大于预设范围内的最小发送周期,不向电能替代终端侧发出控制指令;In response to the operating state being the normal state, the physical examination index being greater than or equal to the warning threshold, and the sending period being greater than the minimum sending period within the preset range, no control instruction is sent to the power substitute terminal side;
响应于运行状态为正常状态、体检指标大于等于警示阈值、发送周期等于预设范围内的最小发送周期,向电能替代终端侧发出告警和停运控制指令,将电餐车加入检修集合;In response to the operating state being the normal state, the physical examination index being greater than or equal to the warning threshold, and the transmission period being equal to the minimum transmission period within the preset range, an alarm and outage control instructions are sent to the power substitute terminal side, and the electric dining car is added to the maintenance set;
响应于运行状态为异常状态、体检指标大于等于警示阈值、发送周期小于等于预设范围内排序第二小的发送周期,向电能替代终端侧发出告警和停运控制指令,将电餐车加入检修集合;In response to the operating state being abnormal, the physical examination index being greater than or equal to the warning threshold, and the sending cycle being less than or equal to the second smallest sending cycle within the preset range, send an alarm and outage control command to the electric energy replacement terminal side, and add the electric dining car to the maintenance set. ;
响应于运行状态为异常状态、体检指标大于等于警示阈值、发送周期大于预设范围内排序第二小的发送周期,将电餐车加入正常状态集合;In response to the operating state being an abnormal state, the physical examination index being greater than or equal to the warning threshold, and the sending period being greater than the second smallest sending period in the preset range, adding the electric dining car to the normal state set;
响应于运行状态为异常状态、体检指标小于警示阈值、电能替代终端侧已启动自动控制,向电能替代终端侧发出告警和停运控制指令,将电餐车加入检修集合;In response to the abnormal operation state, the physical examination index being less than the warning threshold, and the automatic control of the electric energy substitute terminal side has been activated, an alarm and outage control instructions are sent to the electric energy substitute terminal side, and the electric dining car is added to the maintenance set;
响应于运行状态为异常状态、体检指标小于警示阈值、电能替代终端侧未启动自动控制,根据预设的减负荷策略,向电能替代终端侧发出控制指令。In response to the operating state being an abnormal state, the physical examination index being less than the warning threshold, and the automatic control not being started on the electric energy substitute terminal side, a control instruction is sent to the electric energy substitute terminal side according to the preset load shedding strategy.
减负荷策略为,The load shedding strategy is,
响应于电餐车电热状态为0,根据额定用电功率从大到小的顺序,依次关闭电餐车设备的电源,直至电餐车运行状态正常。In response to the electric heating state of the electric dining car being 0, the power supply of the electric dining car equipment is turned off in sequence according to the rated electric power in descending order until the electric dining car runs normally.
一种基于电能替代终端的自动预警控制系统,包括电能替代终端侧系统和后台系统;An automatic early warning control system based on electric energy substitution terminal, including electric energy substitution terminal side system and background system;
电能替代终端侧系统包括,The electrical energy replacement terminal side system includes,
采集计算模块:根据采集的电餐车实时状态信息,计算电餐车的运行状态和体检指标;Collection and calculation module: According to the collected real-time status information of the electric dining car, calculate the running status and physical examination indicators of the electric dining car;
电餐车侧评估模块:根据运行状态和体检指标,对电餐车进行预警评估,向电餐车发出相应的控制指令;Evaluation module on the side of the electric dining car: According to the operation status and physical examination indicators, the electric dining car will be pre-warned and evaluated, and the corresponding control instructions will be issued to the electric dining car;
发送模块:根据体检指标调整发送周期,将调整后的发送周期和预警评估结果发送给后台;Sending module: adjust the sending period according to the physical examination indicators, and send the adjusted sending period and early warning evaluation results to the background;
后台系统包括,The backend system includes,
采集模块:采集电能替代终端侧发送的预警评估结果和发送周期;Collection module: collect electric energy instead of the warning evaluation result and sending period sent by the terminal side;
后台评估模块:根据预警评估结果和发送周期,对电餐车进行预警评估,向电能替代终端侧发出相应的控制指令。Background evaluation module: According to the early warning evaluation results and sending cycle, carry out early warning evaluation on the electric dining car, and issue corresponding control instructions to the electric energy replacement terminal side.
一种存储一个或多个程序的计算机可读存储介质,所述一个或多个程序包括指令,所述指令当由计算设备执行时,使得所述计算设备执行电餐车群自动预警控制方法。A computer-readable storage medium storing one or more programs, the one or more programs including instructions that, when executed by a computing device, cause the computing device to execute an automatic early warning control method for a group of electric food trucks.
一种计算设备,包括一个或多个处理器、存储器以及一个或多个程序,其中一个或多个程序存储在所述存储器中并被配置为由所述一个或多个处理器执行,所述一个或多个程序包括用于执行电餐车群自动预警控制方法的指令。A computing device comprising one or more processors, a memory, and one or more programs, wherein the one or more programs are stored in the memory and configured to be executed by the one or more processors, the The one or more programs include instructions for executing a method of automatic early warning control of a group of electric food trucks.
本发明所达到的有益效果:本发明采用两级预警评估,根据实时状态信息,电餐车进行自身预警评估和控制,根据电餐车侧的评估结果和发送周期,进行后台预警评估,实现电餐车控制,进而全面的发现潜在的事故,保证电餐车的安全运营。Beneficial effects achieved by the present invention: the present invention adopts two-level early warning evaluation, according to the real-time status information, the electric dining car carries out its own early warning evaluation and control, and according to the evaluation result and the sending period of the electric dining car side, carries out the background early warning evaluation, and realizes the electric dining car control. , and then comprehensively discover potential accidents and ensure the safe operation of electric food trucks.
附图说明Description of drawings
图1为本发明方法的流程图。Figure 1 is a flow chart of the method of the present invention.
具体实施方式Detailed ways
下面结合附图对本发明作进一步描述。以下实施例仅用于更加清楚地说明本发明的技术方案,而不能以此来限制本发明的保护范围。The present invention will be further described below in conjunction with the accompanying drawings. The following examples are only used to illustrate the technical solutions of the present invention more clearly, and cannot be used to limit the protection scope of the present invention.
如图1所示,一种基于电能替代终端的自动预警控制方法,包括电能替代终端侧方法和后台侧方法,具体如下:As shown in Figure 1, an automatic early warning control method based on electric energy substitution terminal, including electric energy substitution terminal side method and background side method, is as follows:
每台电餐车安装有电能替代终端,电能替代终端侧方法如下:Each electric dining car is equipped with an electric energy replacement terminal, and the method on the electric energy replacement terminal side is as follows:
步骤1,根据采集的电餐车实时状态信息,计算电餐车的运行状态和体检指标。Step 1, according to the collected real-time state information of the electric dining car, calculate the running state and the physical examination index of the electric dining car.
电餐车实时状态信息包括电热状态、电池温度、环境湿度、火警状态、烟雾浓度、实时功率、剩余电量SoC值和通信状态等,这些信息可采用安装在电餐车上的传感器等采集设备获取。The real-time status information of the electric dining car includes electric heating status, battery temperature, ambient humidity, fire alarm status, smoke concentration, real-time power, remaining power SoC value and communication status, etc. This information can be obtained by using acquisition devices such as sensors installed on the electric dining car.
运行状态和体检指标分别表示如下:The operating status and physical examination indicators are expressed as follows:
Si(t)=f(ETi(t),Ri,temp(t),Ri,hum(t),Ri,fire(t),Ri,smoke(t),Ri,p(t),Ri,soc(t),Ri,comm(t))Si (t)=f(ETi (t),Ri,temp (t),Ri,hum (t),Ri,fire (t),Ri,smoke (t),Ri,p (t), Ri,soc (t), Ri,comm (t))
Ri(t)=ETi(t)×Ri,temp(t)×Ri,hum(t)×Ri,smoke(t)×Ri,p(t)×Ri,soc(t)Ri (t)=ETi (t)×Ri,temp (t)×Ri,hum (t)×Ri,smoke (t)×Ri,p (t)×Ri,soc (t )
其中,Si(t)为电餐车i在t时刻的运行状态,Ri(t)为电餐车i在t时刻的体检指标,ETi(t)为电餐车i在t时刻的电热状态体检值,Ri,temp(t)为电餐车i在t 时刻的电池温度体检值,Ri,hum(t)为电餐车i在t时刻的环境湿度体检值,Ri,fire(t) 为电餐车i在t时刻的火警状态,Ri,smoke(t)为电餐车i在t时刻的烟雾浓度体检值, Ri,p(t)为电餐车i在t时刻的实时功率体检值,Ri,soc(t)为电餐车i在t时刻的剩余电量SoC体检值,Ri,comm(t)为电餐车i在t时刻的通信状态。Among them, Si (t) is the running state of the dining car i at time t, Ri (t) is the physical examination index of the dining car i at time t, and ETi (t) is the physical examination of the electric heating state of the dining car i at time t value, Ri,temp (t) is the physical examination value of the battery temperature of the dining car i at time t, Ri,hum (t) is the physical examination value of the ambient humidity of the dining car i at time t, and Ri,fire (t) is The fire alarm state of the dining car i at time t, Ri,smoke (t) is the physical examination value of the smoke concentration of the dining car i at time t, Ri,p (t) is the real-time power inspection value of the dining car i at time t, Ri,soc (t) is the SoC physical examination value of the remaining power of the dining car i at time t, and Ri,comm (t) is the communication state of the dining car i at time t.
其中,false为异常状态,true为正常状态,Ri,comm(t)、Ri,fire(t)为0表示异常状态,1为正常状态,ETi(t)、Ri,temp(t)、Ri,hum(t)、Ri,smoke(t)、Ri,p(t)、Ri,soc(t)值在[0,1]区间范围内。Among them, false is abnormal state, true is normal state, Ri,comm (t), Ri,fire (t) are 0 to represent abnormal state, 1 is normal state, ETi (t), Ri,temp (t ), Ri,hum (t), Ri,smoke (t), Ri,p (t), Ri,soc (t) are in the range of [0,1].
电热状态的计算如下:The calculation of the electrothermal state is as follows:
设Kmax为允许的电池充放电系统温度警示值,为电餐车实际电流与额定电流的比值,ρt≥0,γi为在ρt下连续运行时间,γi≥0。Let Kmax be the allowable temperature warning value of the battery charging and discharging system, is the ratio of the actual current to the rated current of the dining car, ρt ≥ 0, γi is the continuous running time under ρt , γi ≥ 0.
设升温ΔKi=y(ρt,Ri,t,γi),y(·)为升温计算函数,Ri,t为电餐车i在t时刻的电阻值,y(ρt,Ri,t,γi)为电餐车i在t时刻升温与ρt、Ri,t、γi的函数,则电餐车电热状态值的计算公式为:Let the temperature rise ΔKi =y(ρt ,Ri,t ,γi ), y(·) is the heating calculation function, Ri,t is the resistance value of the dining car i at time t, y(ρt ,Ri , t , γi ) is the function of the temperature rise of the dining car i at time t and ρt , Ri,t , γi , the calculation formula of the electric heating state value of the dining car is:
其中,ΔKmax=Kmax-K0,K0为环境温度。Wherein, ΔKmax =Kmax -K0 , and K0 is the ambient temperature.
步骤2,根据运行状态和体检指标,对电餐车进行预警评估,向电餐车发出相应的控制指令。Step 2, according to the operation state and the physical examination index, carry out an early warning evaluation on the electric dining car, and issue corresponding control instructions to the electric dining car.
设警示阈值为常量,Si(t)为false且表示警示状态,但电餐车仍可正常工作,表示须立刻停运检修。Set alert thresholds is a constant, Si (t) is false and Indicates a warning state, but the food truck can still work normally. Indicates that it must be stopped immediately for maintenance.
具体如下:details as follows:
1)响应于运行状态为正常状态、体检指标大于等于警示阈值,不发出控制指令;1) In response to the operating state being the normal state and the physical examination index being greater than or equal to the warning threshold, no control instruction is issued;
2)响应于运行状态为正常状态、体检指标小于警示阈值,发出告警控制指令,提示需进一步判断;2) In response to the normal state of operation and the fact that the physical examination index is less than the warning threshold, an alarm control command is issued, indicating that further judgment is required;
3)响应于运行状态为异常状态、体检指标大于等于警示阈值,发出告警控制指令,提示电餐车停运,即宜尽快或立即选择主动将该电餐车退出运行,以便进行状态确认或检修,需进一步判断,但不发出停运控制指令;3) In response to the abnormal operation state and the physical examination index being greater than or equal to the warning threshold, an alarm control command is issued to remind the electric dining car to be out of service, that is, it is advisable to take the initiative to take the electric dining car out of operation as soon as possible or immediately for status confirmation or maintenance. Make further judgments, but do not issue outage control instructions;
4)响应于运行状态为异常状态、体检指标小于警示阈值,启动电能替代终端自动控制,发出告警和停运控制指令,将电餐车加入检修集合。4) In response to the abnormal state of operation and the fact that the physical examination index is less than the warning threshold, start the automatic control of the electric energy replacement terminal, issue an alarm and stop operation control instructions, and add the electric dining car to the maintenance set.
步骤3,根据体检指标调整发送周期,将调整后的发送周期和预警评估结果发送给后台。Step 3: Adjust the sending period according to the physical examination index, and send the adjusted sending period and the early warning evaluation result to the background.
周期调整的过程如下:The cycle adjustment process is as follows:
41)预设发送周期范围,即若干发送周期{T1、T2、T3、...、Tm}, T1<T2<T3<...<Tm;41) A preset transmission period range, that is, several transmission periods {T1 , T2 , T3 , ..., Tm }, T1 <T2 <T3 <... <Tm ;
42)设初始发送周期为最大发送周期,即Tj=Tm,j=1,2,3,...,m;42) Set the initial transmission period as the maximum transmission period, that is, Tj =Tm , j = 1, 2, 3,...,m;
43)比较本次体检指标和上一次体检指标,计算体检指标变化率若则表明体检指标比较上一次有明显变化,则减小发送周期,即Tj-1。43) Compare the current physical examination indicators with the last physical examination indicators, and calculate the change rate of the physical examination indicators like It indicates that there is a significant change in the physical examination index compared to the last time, and the transmission period is reduced, that is, Tj-1 .
后台侧方法如下:The backend method is as follows:
S1)采集电餐车侧发送的预警评估结果和发送周期。S1) Collect the early warning evaluation results and the sending period sent by the side of the electric dining car.
S2)根据预警评估结果和发送周期,对电餐车进行预警评估,向电餐车侧发出相应的控制指令。S2) According to the early warning evaluation result and the sending period, carry out early warning evaluation on the electric dining car, and issue corresponding control instructions to the electric dining car side.
具体如下:details as follows:
1)响应于运行状态为正常状态Si(t)=true、体检指标大于等于警示阈值发送周期大于预设范围内的最小发送周期(即大于T1),不向电餐车侧发出控制指令,电餐车可正常执行调度和派工任务;1) In response to the operating state being the normal state Si (t)=true, the physical examination index is greater than or equal to the warning threshold If the sending period is greater than the minimum sending period within the preset range (that is, greater than T1 ), no control command is sent to the side of the dining car, and the dining car can normally perform scheduling and dispatching tasks;
2)响应于运行状态为正常状态Si(t)=true、体检指标大于等于警示阈值发送周期等于预设范围内的最小发送周期,向电餐车侧发出告警(电餐车内红灯报警,即红色告警)和停运控制指令,将电餐车加入检修集合;2) In response to the operating state being the normal state Si (t)=true, the physical examination index is greater than or equal to the warning threshold The sending cycle is equal to the minimum sending cycle within the preset range, and an alarm (red light alarm in the dining car, that is, a red alarm) and a shutdown control command are sent to the side of the dining car, and the dining car is added to the maintenance set;
3)响应于运行状态为告警状态Si(t)=false、体检指标大于等于警示阈值发送周期小于等于预设范围内排序第二小的发送周期(即T2),向电餐车侧发出告警(电餐车内橙灯报警,即橙色告警)和停运控制指令,将电餐车加入检修集合;3) In response to the running state being the alarm state Si (t)=false, the physical examination index is greater than or equal to the alarm threshold If the sending period is less than or equal to the second smallest sending period (ie T2 ) in the preset range, an alarm (orange light alarm in the dining car, that is, an orange alarm) and a shutdown control command will be sent to the side of the dining car, and the dining car will be added for maintenance. gather;
4)响应于运行状态为告警状态Si(t)=false、体检指标大于等于警示阈值发送周期大于预设范围内排序第二小的发送周期,将电餐车加入正常状态集合;4) In response to the running state being the alarm state Si (t)=false, the physical examination index is greater than or equal to the alarm threshold If the sending cycle is greater than the second smallest sending cycle within the preset range, the electric dining car is added to the normal state set;
5)响应于运行状态为告警状态Si(t)=false、体检指标小于警示阈值电餐车侧已启动自动控制,向电餐车侧发出告警和停运指令,将电餐车加入检修集合;5) In response to the running state being the alarm state Si (t)=false, the physical examination index is less than the alarm threshold The automatic control has been activated on the side of the electric dining car, and an alarm and shutdown instructions are issued to the electric dining car side, and the electric dining car is added to the maintenance set;
6)响应于运行状态为告警状态Si(t)=false、体检指标小于警示阈值电餐车侧未启动自动控制,根据预设的减负荷策略,向电餐车侧发出控制指令。6) In response to the running state being the alarm state Si (t)=false, the physical examination index is less than the alarm threshold The automatic control is not activated on the side of the electric dining car, and a control command is sent to the electric dining car side according to the preset load shedding strategy.
如果ETi(t)>0且y(ρt,Ri,t,γi)<ΔKmax,则不进行减负荷操作,如果ETi(t)=0,则在γi内进行减负荷操作,具体为:If ETi (t)>0 and y(ρt ,Ri,t ,γi )<ΔKmax , the load shedding operation is not performed, and if ETi (t)=0, the load shedding operation is performed within γi operation, specifically:
对电餐车设备额定用电功率进行排序,依次关闭电餐车设备的电源,直至电餐车运行状态正常。Sort the rated power consumption of the electric dining car equipment, and turn off the power supply of the electric dining car equipment in turn, until the electric dining car runs normally.
上述方法采用两级预警评估,根据实时状态信息,电餐车进行自身预警评估和控制,根据电餐车侧的评估结果和发送周期,进行后台预警评估,实现电餐车控制,进而全面的发现潜在的事故,保证电餐车的安全运营。The above method adopts two-level early warning evaluation. According to the real-time status information, the electric food truck conducts its own early warning evaluation and control, and according to the evaluation results and the sending cycle of the electric food truck side, performs the background early warning evaluation to realize the electric food truck control, and then comprehensively discovers potential accidents. , to ensure the safe operation of electric food trucks.
一种基于电能替代终端的自动预警控制系统,包括电能替代终端侧系统和后台系统;An automatic early warning control system based on electric energy substitution terminal, including electric energy substitution terminal side system and background system;
电能替代终端侧系统包括,The electrical energy replacement terminal side system includes,
采集计算模块:根据采集的电餐车实时状态信息,计算电餐车的运行状态和体检指标;Collection and calculation module: According to the collected real-time status information of the electric dining car, calculate the running status and physical examination indicators of the electric dining car;
电餐车侧评估模块:根据运行状态和体检指标,对电餐车进行预警评估,向电餐车发出相应的控制指令;Evaluation module on the side of the electric dining car: According to the operation status and physical examination indicators, the electric dining car will be pre-warned and evaluated, and the corresponding control instructions will be issued to the electric dining car;
发送模块:根据体检指标调整发送周期,将调整后的发送周期和预警评估结果发送给后台;Sending module: adjust the sending period according to the physical examination indicators, and send the adjusted sending period and early warning evaluation results to the background;
后台系统包括,The backend system includes,
采集模块:采集电能替代终端侧发送的预警评估结果和发送周期;Collection module: collect electric energy instead of the warning evaluation result and sending period sent by the terminal side;
后台评估模块:根据预警评估结果和发送周期,对电餐车进行预警评估,向电能替代终端侧发出相应的控制指令。Background evaluation module: According to the early warning evaluation results and sending cycle, carry out early warning evaluation on the electric dining car, and issue corresponding control instructions to the electric energy replacement terminal side.
一种存储一个或多个程序的计算机可读存储介质,所述一个或多个程序包括指令,所述指令当由计算设备执行时,使得所述计算设备执行电餐车群自动预警控制方法。A computer-readable storage medium storing one or more programs, the one or more programs including instructions that, when executed by a computing device, cause the computing device to execute an automatic early warning control method for a group of electric food trucks.
一种计算设备,包括一个或多个处理器、存储器以及一个或多个程序,其中一个或多个程序存储在所述存储器中并被配置为由所述一个或多个处理器执行,所述一个或多个程序包括用于执行电餐车群自动预警控制方法的指令。A computing device comprising one or more processors, a memory, and one or more programs, wherein the one or more programs are stored in the memory and configured to be executed by the one or more processors, the The one or more programs include instructions for executing a method of automatic early warning control of a group of electric food trucks.
本领域内的技术人员应明白,本申请的实施例可提供为方法、系统、或计算机程序产品。因此,本申请可采用完全硬件实施例、完全软件实施例、或结合软件和硬件方面的实施例的形式。而且,本申请可采用在一个或多个其中包含有计算机可用程序代码的计算机可用存储介质(包括但不限于磁盘存储器、 CD-ROM、光学存储器等)上实施的计算机程序产品的形式。As will be appreciated by those skilled in the art, the embodiments of the present application may be provided as a method, a system, or a computer program product. Accordingly, the present application may take the form of an entirely hardware embodiment, an entirely software embodiment, or an embodiment combining software and hardware aspects. Furthermore, the present application may take the form of a computer program product embodied on one or more computer-usable storage media (including, but not limited to, disk storage, CD-ROM, optical storage, etc.) having computer-usable program code embodied therein.
本申请是参照根据本申请实施例的方法、设备(系统)、和计算机程序产品的流程图和/或方框图来描述的。应理解可由计算机程序指令实现流程图和/ 或方框图中的每一流程和/或方框、以及流程图和/或方框图中的流程和/或方框的结合。可提供这些计算机程序指令到通用计算机、专用计算机、嵌入式处理机或其他可编程数据处理设备的处理器以产生一个机器,使得通过计算机或其他可编程数据处理设备的处理器执行的指令产生用于实现在流程图一个流程或多个流程和/或方框图一个方框或多个方框中指定的功能的装置。The present application is described with reference to flowchart illustrations and/or block diagrams of methods, apparatus (systems), and computer program products according to embodiments of the present application. It will be understood that each flow and/or block in the flowchart illustrations and/or block diagrams, and combinations of flows and/or blocks in the flowchart illustrations and/or block diagrams, can be implemented by computer program instructions. These computer program instructions may be provided to the processor of a general purpose computer, special purpose computer, embedded processor or other programmable data processing device to produce a machine such that the instructions executed by the processor of the computer or other programmable data processing device produce Means for implementing the functions specified in a flow or flow of a flowchart and/or a block or blocks of a block diagram.
这些计算机程序指令也可存储在能引导计算机或其他可编程数据处理设备以特定方式工作的计算机可读存储器中,使得存储在该计算机可读存储器中的指令产生包括指令装置的制造品,该指令装置实现在流程图一个流程或多个流程和/或方框图一个方框或多个方框中指定的功能。These computer program instructions may also be stored in a computer-readable memory capable of directing a computer or other programmable data processing apparatus to function in a particular manner, such that the instructions stored in the computer-readable memory result in an article of manufacture comprising instruction means, the instructions The apparatus implements the functions specified in the flow or flow of the flowcharts and/or the block or blocks of the block diagrams.
这些计算机程序指令也可装载到计算机或其他可编程数据处理设备上,使得在计算机或其他可编程设备上执行一系列操作步骤以产生计算机实现的处理,从而在计算机或其他可编程设备上执行的指令提供用于实现在流程图一个流程或多个流程和/或方框图一个方框或多个方框中指定的功能的步骤。These computer program instructions can also be loaded on a computer or other programmable data processing device to cause a series of operational steps to be performed on the computer or other programmable device to produce a computer-implemented process such that The instructions provide steps for implementing the functions specified in the flow or blocks of the flowcharts and/or the block or blocks of the block diagrams.
以上仅为本发明的实施例而已,并不用于限制本发明,凡在本发明的精神和原则之内,所做的任何修改、等同替换、改进等,均包含在申请待批的本发明的权利要求范围之内。The above are only examples of the present invention, and are not intended to limit the present invention. Any modifications, equivalent replacements, improvements, etc. made within the spirit and principles of the present invention are included in the application for pending approval of the present invention. within the scope of the claims.
| Application Number | Priority Date | Filing Date | Title |
|---|---|---|---|
| CN202010321403.1ACN111553812B (en) | 2020-04-22 | 2020-04-22 | Automatic early warning control method and system based on electric energy substitution terminal |
| Application Number | Priority Date | Filing Date | Title |
|---|---|---|---|
| CN202010321403.1ACN111553812B (en) | 2020-04-22 | 2020-04-22 | Automatic early warning control method and system based on electric energy substitution terminal |
| Publication Number | Publication Date |
|---|---|
| CN111553812A CN111553812A (en) | 2020-08-18 |
| CN111553812Btrue CN111553812B (en) | 2022-09-02 |
| Application Number | Title | Priority Date | Filing Date |
|---|---|---|---|
| CN202010321403.1AActiveCN111553812B (en) | 2020-04-22 | 2020-04-22 | Automatic early warning control method and system based on electric energy substitution terminal |
| Country | Link |
|---|---|
| CN (1) | CN111553812B (en) |
| Publication number | Priority date | Publication date | Assignee | Title |
|---|---|---|---|---|
| CN105610548A (en)* | 2015-12-28 | 2016-05-25 | 北京卫星制造厂 | Telemetering framing and downloading method based on event-driven |
| CN108805742A (en)* | 2018-04-25 | 2018-11-13 | 中国电力科学研究院有限公司 | A kind of electric energy of user substitutes the appraisal procedure and device of potentiality |
| CN109754141A (en)* | 2017-11-08 | 2019-05-14 | 中国电力科学研究院有限公司 | A new technology evaluation method and system for electric energy substitution |
| CN109885033A (en)* | 2019-03-18 | 2019-06-14 | 百度在线网络技术(北京)有限公司 | The method and device of safe processing of vehicle control instruction |
| Publication number | Priority date | Publication date | Assignee | Title |
|---|---|---|---|---|
| CN105610548A (en)* | 2015-12-28 | 2016-05-25 | 北京卫星制造厂 | Telemetering framing and downloading method based on event-driven |
| CN109754141A (en)* | 2017-11-08 | 2019-05-14 | 中国电力科学研究院有限公司 | A new technology evaluation method and system for electric energy substitution |
| CN108805742A (en)* | 2018-04-25 | 2018-11-13 | 中国电力科学研究院有限公司 | A kind of electric energy of user substitutes the appraisal procedure and device of potentiality |
| CN109885033A (en)* | 2019-03-18 | 2019-06-14 | 百度在线网络技术(北京)有限公司 | The method and device of safe processing of vehicle control instruction |
| Publication number | Publication date |
|---|---|
| CN111553812A (en) | 2020-08-18 |
| Publication | Publication Date | Title |
|---|---|---|
| CN111261957B (en) | Lithium ion energy storage battery thermal runaway protection system and method based on distribution control | |
| CN110739495A (en) | A thermal runaway monitoring device, system and method for an energy storage battery module | |
| CN203101976U (en) | Online lampblack monitoring system | |
| CN106772112A (en) | A kind of healthy and safe state evaluation device for electric automobile | |
| CN104076218A (en) | Temperature rise test instrument and test method for large current charging connector | |
| CN118849855A (en) | A safe charging monitoring system and safe charging method to prevent battery overheating during charging | |
| CN116872775A (en) | Charging management method, system, device and medium for charging equipment | |
| CN105278470A (en) | Regional harmful gas automatic monitoring wireless alarm interlocking control system | |
| CN111553812B (en) | Automatic early warning control method and system based on electric energy substitution terminal | |
| CN103411234B (en) | A kind of quantitatively air distribution economical combustion energy-saving control system | |
| CN203232141U (en) | Battery pack online monitoring system | |
| CN203594072U (en) | Excavator safety control system | |
| CN205375179U (en) | Monitoring device is made to thing networking forging | |
| CN115165411A (en) | A comprehensive detection system and method for green operation of hydropower station | |
| CN112224023B (en) | High-speed motor train unit storage battery charging protection method | |
| CN204575769U (en) | Secondary current loop of transforming plant state on_line monitoring system | |
| CN103106697B (en) | Radio-frequency intelligent control inspection system and control method thereof | |
| CN111553725B (en) | Mobile electric dining car management method, system and device based on electric energy replacement terminal | |
| CN202827406U (en) | High-pressure discharge system used for hybrid power automobile | |
| CN203133957U (en) | Intelligent radio frequency control inspection system | |
| CN203119626U (en) | Portable direct-current system charger remote monitor | |
| CN105202719A (en) | Intelligent monitoring system of domestic environment | |
| CN206348442U (en) | A kind of battery of electric vehicle monitor system | |
| CN104156825A (en) | Power system operation risk monitoring interaction platform | |
| CN205532863U (en) | Fuel -efficient energy -conserving diesel generator |
| Date | Code | Title | Description |
|---|---|---|---|
| PB01 | Publication | ||
| PB01 | Publication | ||
| SE01 | Entry into force of request for substantive examination | ||
| SE01 | Entry into force of request for substantive examination | ||
| GR01 | Patent grant | ||
| GR01 | Patent grant |