Movatterモバイル変換


[0]ホーム

URL:


CN111553626A - Path planning method and device, electronic equipment and storage medium thereof - Google Patents

Path planning method and device, electronic equipment and storage medium thereof
Download PDF

Info

Publication number
CN111553626A
CN111553626ACN202010274275.XACN202010274275ACN111553626ACN 111553626 ACN111553626 ACN 111553626ACN 202010274275 ACN202010274275 ACN 202010274275ACN 111553626 ACN111553626 ACN 111553626A
Authority
CN
China
Prior art keywords
transportation
path
network
points
information
Prior art date
Legal status (The legal status is an assumption and is not a legal conclusion. Google has not performed a legal analysis and makes no representation as to the accuracy of the status listed.)
Pending
Application number
CN202010274275.XA
Other languages
Chinese (zh)
Inventor
彭豆
咸珂
郭瀚阳
张灿
Current Assignee (The listed assignees may be inaccurate. Google has not performed a legal analysis and makes no representation or warranty as to the accuracy of the list.)
Beijing Shunda Technology Co ltd
Original Assignee
Beijing Shunda Technology Co ltd
Priority date (The priority date is an assumption and is not a legal conclusion. Google has not performed a legal analysis and makes no representation as to the accuracy of the date listed.)
Filing date
Publication date
Application filed by Beijing Shunda Technology Co ltdfiledCriticalBeijing Shunda Technology Co ltd
Priority to CN202010274275.XApriorityCriticalpatent/CN111553626A/en
Publication of CN111553626ApublicationCriticalpatent/CN111553626A/en
Pendinglegal-statusCriticalCurrent

Links

Images

Classifications

Landscapes

Abstract

The application provides a path planning method, a path planning device, an electronic device and a storage medium thereof, wherein the method comprises the following steps: acquiring network transportation information and order information within a preset range; the network transportation information comprises: the transportation path among the network points and the transportation cost among the corresponding network points; determining transportation parameters according to the transportation information of the network points and determining constraint conditions according to the order information; generating an initial distribution path set according to the network transportation information, the constraint conditions and the transportation parameters; and calculating the transportation parameter values in the initial distribution path set, and taking the path corresponding to the minimum transportation parameter value as a planned path, wherein the planned path is used for generating scheduling information of the transportation equipment. The transportation cost is reduced by comprehensively considering factors such as distribution of express delivery points and transport capacity, the vehicles can deliver orders to fixed points at fixed time points according to the arranged routes, and delivery timeliness of the express delivery in the same city is improved on the premise of reducing the transportation cost.

Description

Path planning method and device, electronic equipment and storage medium thereof
Technical Field
The present application relates to the field of logistics technologies, and in particular, to a path planning method and apparatus, an electronic device, and a storage medium thereof.
Background
With the development of electronic commerce, the amount of logistics orders is increased, and at present, two ways are mainly used for delivering express in the same city, wherein the first way is that the express is delivered from a delivery user to an addressee network point, then to a transfer point in each city, then to an addressee network point, and finally to an end user through a transfer mode, so that even if the addressee and the addressee of the user are very close, if the addressee network point misses a delivery batch delivered in the same day, the delivery can be carried out in the next day, and therefore the influence of the way on the delivery timeliness is large. The second way is to deliver the courier with a small receiving and dispatching distance through the instant logistics system, which is usually 7 km at the maximum, because the instant logistics delivery cost is related to the distance, and if the delivery cost is too high particularly, for example, the single order cost of the courier in the same city reaches tens of yuan, it can be seen that this way can only solve the delivery timeliness and high cost of the courier in the same city with a short distance.
The current order transfer and distribution modes between two network points can not simultaneously take cost control and order distribution efficiency into consideration.
Disclosure of Invention
The embodiment of the application provides a path planning method, a path planning device, electronic equipment and a storage medium thereof, which can reduce transportation cost and effectively reduce distribution cost under the comprehensive consideration of factors such as distribution, capacity and timeliness of express delivery points, so that vehicles can transfer orders to fixed points at fixed time points according to arranged routes, and the distribution timeliness of express delivery in the same city is improved on the premise of reducing the transportation cost.
In one aspect, an embodiment of the present application provides a path planning method, including:
acquiring network transportation information and order information within a preset range; the network transportation information comprises: the transportation path among the network points and the transportation cost among the corresponding network points;
determining transportation parameters according to the transportation information of the network points and determining constraint conditions according to the order information;
generating an initial distribution path set according to the network transportation information, the constraint conditions and the transportation parameters, wherein the initial distribution path set comprises a plurality of initial distribution paths;
and calculating the transportation parameter values in the initial distribution path set, and taking the path corresponding to the minimum transportation parameter value as a planned path, wherein the planned path is used for generating scheduling information of the transportation equipment.
In some embodiments, the minimum transportation parameter value comprises at least one of:
minimum total transport distance between start and end points;
minimum total transportation cost between the starting and ending points;
the minimum number of transport equipment.
In some embodiments, the constraint condition includes at least one of the following preset conditions:
the residence time of the transportation equipment at the network site is in a time window corresponding to the business time of the network site;
the transportation time between the network points does not exceed the preset time;
the transportation distance between the net points does not exceed a preset distance;
the goods taking amount of the transportation equipment at the network point does not exceed the free capacity of the transportation equipment, the goods sending amount of the transportation equipment at the network point does not exceed the free capacity of the transportation equipment, and the free capacity is the capacity of single transportation of the transportation equipment.
In some embodiments, the generating an initial distribution path set according to the website transportation information, the constraint condition and the transportation parameter includes:
acquiring a network node set from the network node transportation information according to the coordinate position, wherein the network node set comprises a plurality of network nodes corresponding to the coordinate position, and any network node is acquired from the network node set and is used as a relay node;
calculating a difference value according to a first value and a second value, wherein the first value is a distance value or a time length value between the relay point and a target mesh point in the mesh point set; the second value is a distance value or a time length value between any two target mesh points except the relay point, and the difference value is a difference value between the first value and the second value;
sequentially selecting two target mesh points corresponding to the difference, and if the path between the two target mesh points and the relay point meets a constraint condition, establishing an initial distribution path for the two target mesh points and the relay point; if the constraint condition is not met, reselecting the corresponding two target mesh points according to the difference value; until all differences are selected;
and generating an initial distribution path set according to the established initial distribution path.
In some embodiments, the calculating the transportation parameter values in the initial distribution path set, and taking the path corresponding to the minimum transportation parameter value as a planned path includes:
respectively updating the mesh points on the initial distribution path set according to the constraint conditions to obtain a neighborhood initial path set, wherein the neighborhood initial path set comprises a plurality of updated paths;
according to a preset calculation rule, calculating paths in the neighborhood initial path set respectively to obtain transportation parameter values, wherein the transportation parameter values are transportation parameter values corresponding to the updated paths;
and determining a planned path, wherein the planned path is a path corresponding to the minimum transportation parameter value in the neighborhood initial path set.
In some embodiments, after the step of obtaining the neighborhood initial path set, before the step of obtaining transportation parameter values, the method further includes: :
determining paths in a preset transportation distance range in the neighborhood distribution path set to obtain a candidate path set, wherein the candidate path set comprises a plurality of candidate paths;
respectively updating the mesh points on the candidate paths according to the constraint conditions to obtain a neighborhood candidate path set, wherein the neighborhood candidate path set comprises a plurality of updated paths;
according to a preset calculation rule, calculating paths in the neighborhood distribution path set respectively to obtain transportation parameter values corresponding to the updated paths;
and determining a distribution path corresponding to the minimum transportation parameter value in the neighborhood candidate path set.
In some embodiments, the calculating the paths in the neighborhood distribution path set according to a preset calculation rule to obtain the transportation parameter values corresponding to the updated paths includes:
if the transportation parameter value of the updated path is smaller than the transportation parameter value of the candidate path, storing the updated path, and performing neighborhood distribution path set calculation on the updated path to obtain the transportation parameter value corresponding to the updated path;
if not, discarding the updated path.
In another aspect, an embodiment of the present application provides a path planning apparatus, where the apparatus includes:
the acquisition module is used for acquiring the network transportation information and the order information within a preset range; the network transportation information comprises: the transportation path among the network points and the transportation cost among the corresponding network points;
the processing module is used for acquiring the network transportation information and the order information within a preset range; the network transportation information comprises: the transportation path among the network points and the transportation cost among the corresponding network points; determining transportation parameters according to the transportation information of the network points and determining constraint conditions according to the order information; generating an initial distribution path set according to the network transportation information, the constraint conditions and the transportation parameters, wherein the initial distribution path set comprises a plurality of initial distribution paths; and calculating the transportation parameter values in the initial distribution path set, and taking the path corresponding to the minimum transportation parameter value as a planned path, wherein the planned path is used for generating scheduling information of the transportation equipment.
In addition, an embodiment of the present application provides still another electronic device, where the electronic device includes:
one or more processors;
a memory for storing one or more programs,
when the one or more programs are executed by the one or more processors, the one or more processors are caused to implement the path planning method.
An embodiment of the present application further provides a computer-readable storage medium, on which a computer program is stored, and the computer program, when executed by a processor, implements the path planning method.
According to the path planning method provided by the embodiment of the application, the transportation cost between any two transportation points is obtained by obtaining the transportation information of the points, the constraint condition is determined by obtaining the order information, the planning path corresponding to the lowest cost is obtained under the constraint condition, the vehicle transfers and delivers the order to the fixed points at the fixed time point according to the planning path, and the delivery timeliness of the express delivery in the same city is improved on the premise of reducing the transportation cost.
Drawings
The technical solution and other advantages of the present application will become apparent from the detailed description of the embodiments of the present application with reference to the accompanying drawings.
Fig. 1 is a frame diagram of a path planning method according to an embodiment of the present application;
fig. 2 is a schematic flow chart of an embodiment of a path to be planned in the embodiment of the present application;
FIG. 3 is a schematic diagram of the composition of the minimum transportation parameter in the example of the present application;
FIG. 4 is a schematic diagram of constraints in an embodiment of the present application;
FIG. 5 is a schematic diagram of an initial distribution route set ofstep 103 according to an embodiment of the present application;
FIG. 6 is a flowchart illustrating an embodiment ofstep 104 in the present application;
FIG. 7 is a schematic flow chart of another embodiment ofstep 104 in the present application;
fig. 8 is a schematic structural diagram of an embodiment of a path planning apparatus provided in the embodiment of the present application;
fig. 9 is a schematic structural diagram of an embodiment of an electronic device provided in an embodiment of the present application.
Detailed Description
The technical solutions in the embodiments of the present application will be clearly and completely described below with reference to the drawings in the embodiments of the present application. It is to be understood that the embodiments described are only a few embodiments of the present application and not all embodiments. All other embodiments, which can be derived by a person skilled in the art from the embodiments given herein without making any creative effort, shall fall within the protection scope of the present application.
In the description of the present application, it is to be understood that the terms "center," "longitudinal," "lateral," "length," "width," "thickness," "upper," "lower," "front," "rear," "left," "right," "vertical," "horizontal," "top," "bottom," "inner," "outer," "clockwise," "counterclockwise," and the like are used in the orientations and positional relationships indicated in the drawings for convenience in describing the present application and for simplicity in description, and are not intended to indicate or imply that the referenced devices or elements must have a particular orientation, be constructed in a particular orientation, and be operated in a particular manner, and are not to be construed as limiting the present application. Furthermore, the terms "first", "second" and "first" are used for descriptive purposes only and are not to be construed as indicating or implying relative importance or implicitly indicating the number of technical features indicated. Thus, features defined as "first", "second", may explicitly or implicitly include one or more of the described features. In the description of the present application, "a plurality" means two or more unless specifically limited otherwise.
In the description of the present application, it is to be noted that, unless otherwise explicitly specified or limited, the terms "mounted," "connected," and "connected" are to be construed broadly, e.g., as meaning either a fixed connection, a removable connection, or an integral connection; may be mechanically connected, may be electrically connected or may be in communication with each other; either directly or indirectly through intervening media, either internally or in any other relationship. The specific meaning of the above terms in the present application can be understood by those of ordinary skill in the art as appropriate.
In this application, unless expressly stated or limited otherwise, the first feature "on" or "under" the second feature may comprise direct contact of the first and second features, or may comprise contact of the first and second features not directly but through another feature in between. Also, the first feature being "on," "above" and "over" the second feature includes the first feature being directly on and obliquely above the second feature, or merely indicating that the first feature is at a higher level than the second feature. A first feature being "under," "below," and "beneath" a second feature includes the first feature being directly under and obliquely below the second feature, or simply meaning that the first feature is at a lesser elevation than the second feature.
The following disclosure provides many different embodiments or examples for implementing different features of the application. In order to simplify the disclosure of the present application, specific example components and arrangements are described below. Of course, they are merely examples and are not intended to limit the present application. Moreover, the present application may repeat reference numerals and/or letters in the various examples, such repetition is for the purpose of simplicity and clarity and does not in itself dictate a relationship between the various embodiments and/or configurations discussed. In addition, examples of various specific processes and materials are provided herein, but one of ordinary skill in the art may recognize applications of other processes and/or use of other materials.
In the path planning problem, a sequence point or a curve connecting a start point position and an end point position is called a path, and a strategy for constructing the path is called path planning. The application fields of path planning are very wide, such as: path planning for various transportation devices, etc. Referring to fig. 1, an embodiment of the present application may be applied to the field of logistics, and is specifically used for path planning at the stage of order transfer and distribution, taking fig. 1 as an example, there are 4 nodes to be planned, which are anode 1, anode 2, anode 3, and anode 4, and there are k transportation devices, which are atransportation device 1 and atransportation device 2 … … transportation device k, respectively, and two transportation paths are obtained by a path planning method, so that thecorresponding transportation device 1 transports goods sequentially from thenode 1 to thenode 3 and then to thenode 4, and thecorresponding transportation device 2 transports goods sequentially from thenode 4 to thenode 2 and then to thenode 1.
By planning a proper transportation equipment distribution driving route for a certain number of specified network points, the transportation equipment passes through the network points waiting for service according to a specific sequence, and simultaneously reaches a set target under the condition of meeting a certain constraint condition. In practical application, a path planning model can be established to obtain a target planning path, for example, transportation information and order related information between network points are obtained, design variables and a target to be obtained are determined, a constraint condition or a constraint function is generated according to the target in combination with an actual limit condition, and the path planning model is solved through a specific solving strategy, so that the planning path is obtained.
The embodiment of the invention provides a path planning method, a path planning device, electronic equipment and a storage medium. The following are detailed below.
The transportation equipment can be land transportation equipment, air transportation equipment or water transportation equipment, and specifically can be an electric vehicle, an unmanned aerial vehicle, a ship and the like. Other transportation devices that can achieve the objectives of the present application are also within the scope of the present application and are not limited thereto.
Referring to fig. 2, in the embodiment of the present application, a vehicle is taken as an example, and a method for planning a transportation path of a vehicle between network points is provided, which mainly includessteps 101 to 104:
step 101, acquiring transportation information and order information of a network point within a preset range.
The preset range may be a set area or a business circle under a city, an administrative district, and the like, for example, a city, a district, and the like, and is not limited herein, as long as the range requires network route planning.
In some embodiments, the website transportation information comprises: the transportation path between the network points and the transportation cost between the corresponding network points can also comprise the time window of network point business and the like.
For example, it is known that there are 4points 1, 2, 3 and 4 to be planned in a set area, for example, thepoint 1 needs to take 30 goods to transport to thepoint 2, thepoint 1 also needs to receive 10 goods from thepoint 3 and 30 goods from thepoint 4, and the point B needs to transport 40 goods to thepoint 3 and 20 goods to thepoint 4, respectively, and there are 5 goods transport paths between the 4 points to be planned. The total transportation cost of the vehicle is the transportation cost generated by the transportation of goods among the four network points of thenetwork point 1, thenetwork point 2, thenetwork point 3 and thenetwork point 4, namely the total transportation cost is formed by the sum of the cost of a single transportation path (such as the path of thenetwork point 1 and the network point 2), and comprises the vehicle fixed cost, the labor cost and the like. For the convenience of understanding, the total number of dots is represented by l, for example, when the number of dots is 4, i.e., l is 4.
Similarly, taking the transportation device as an example of a vehicle, for convenience of calculation, in the embodiment of the present application, k may be used to indicate the number of vehicles required in the route planning, and it is assumed that all vehicles have the same model, have the same maximum carrying capacity, and use the free capacity of q vehicles.
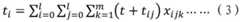
For convenience of understanding, in the embodiment of the present application, the website information and the order information may be expressed in a parameter form: the mesh point information includes: the transportation cost from node i to node j is cij(ii) a The time spent from dot i to dot j is tij(ii) a The time window of the network point i, i.e. the earliest business time and the latest business time of the network point i each day is [ ei,li](ii) a The operation time required for the vehicle to pick up or deliver goods at each network point is t; in order to simplify the operation, the operation time t required by the vehicle to pick up or deliver goods at each network point can be reduced to a constant value which is not related to a single quantity; the mapping relationship between the transportation parameters and the website information can be represented by the following objective function and decision variables:
Figure BDA0002444224950000071
Figure BDA0002444224950000081
wherein, the formula (1) is an objective function, and the formula (2) is a decision variable.
And 102, determining transportation parameters according to the transportation information of the network points and determining constraint conditions according to the order information.
Wherein, the order information specifically includes: the current network points of the goods, the transportation path of the goods, the quantity of the goods and the delivery timeliness of the goods.
Specific constraint conditions can be set according to actual needs, and in addition to the requirements for achieving the goals of minimum cost, minimum transportation distance, and the like in the actual path planning, the combination of goods and the capacity limit of the vehicle, the time limit for the vehicle to execute a transportation task to reach a to-be-transported network point, the vehicle transportation mileage limit, and the like need to be considered, as shown in fig. 4, in some embodiments, the constraint conditions include at least one of the following items: time window constraints, distance constraints, time constraints, capacity constraints.
The time window constraint is that the residence time of the vehicle at the network point is in the time window corresponding to the business time of the network point; the time window constraint may be a hard time window constraint or a soft time window constraint, and may be specifically adjusted according to actual needs.
The time constraint is that the transportation time between the network points does not exceed the preset time; the distance constraint is that the transportation distance between the net points does not exceed a preset distance;
the time constraint and the distance constraint can eliminate paths with over long transportation time or distance between two network points, so as to limit the planned paths within a preset range. The capacity constraint is that the goods taking quantity and the goods delivery quantity of the vehicle at the network point do not exceed the idle capacity of the vehicle, and the current capacity is the capacity of single transportation of the vehicle. When the vehicle arrives at a network point to carry out goods taking or delivery operation, if the vehicle is loaded with goods, the idle capacity is the residual capacity of the vehicle, and if the vehicle is not loaded with goods, the idle capacity is the preset capacity.
For ease of understanding, the expression of the constraint may refer to the following mathematical expression:
Figure BDA0002444224950000082
ei<ti<li……(4)
Figure BDA0002444224950000083
ti≤T……(6)
di≤D……(7)
wherein constraints (3) and (4) represent time window constraints, constraint (5) represents vehicle capacity constraints, constraint (6) represents time constraints of a single vehicle path, and T is a preset upper limit time value, namely the transportation time of the single vehicle path does not exceed the preset upper limit time value; constraint (7) represents a distance constraint of the single vehicle path, and D is a preset upper limit distance value, namely the transportation time of the single vehicle path does not exceed the preset upper limit distance value.
It should be noted that the above mathematical expression is only one expression form of the constraint condition, and parameters may be added to the expression or the expression may be modified in operation, which is not limited in this application.
In the capacity constraint, when the vehicle is scheduled to transport, the initial state, the intermediate state and the final state of the vehicle are considered not to exceed the maximum capacity of the vehicle, namely, the total freight of the vehicle is ensured not to exceed the capacity of the vehicle. Compared with the prior art in which only the delivery quantity or the pick-up quantity is considered, the embodiment of the application combines the pick-up quantity and the delivery quantity of a network point and considers the maximum value as the single capacity constraint of the vehicle.
In some embodiments, the pick-up volume of the vehicle at the network site does not exceed the current capacity of the vehicle, and the delivery volume does not exceed the current capacity of the vehicle, including at least one of:
the number of goods does not exceed the current number;
the weight of the cargo does not exceed the load of the vehicle;
the cargo volume does not exceed the volume of the vehicle.
And 103, generating an initial distribution path set according to the network transportation information, the constraint conditions and the transportation parameters.
As described above, the expressions of the network transportation information, the constraints, and the transportation parameters may be specifically expressed by, for example, the above equations (1) to (7). The initial distribution path set comprises a plurality of initial distribution paths; as shown in fig. 5, in some embodiments, the website transportation information, the constraint condition, and the transportation parameter are calculated by an economic algorithm to obtain an initial distribution path set, and the specific steps may be the following steps 201 to 203:
step 201, acquiring a corresponding network point from the network point transportation information according to the coordinate position, and taking any acquired network point as a relay point;
the relay point is a starting point of the initial solution, and any mesh point is selected as the starting point, so that the solution space is larger.
Step 202, calculating a difference value according to a first value and a second value, wherein the first value is a distance value or a time length value between the relay point and each mesh point, the second value is a distance value or a time length value between any two mesh points except the relay point, and the difference value is a difference value between the first value and the second value;
and 203, sequentially selecting two target mesh points corresponding to the difference values, determining whether to establish an initial distribution path for the two mesh points and the relay point according to a constraint condition until all the difference values are selected, and generating an initial distribution path set according to the initial distribution path.
The method for solving the initial solution meeting the constraint condition through the saving algorithm can fully play the stability of the saving algorithm and effectively avoid a large amount of redundancy in subsequent calculation, thereby further improving the target planning path found in the path planning problem of the embodiment of the application.
And 104, calculating the transportation parameter values in the initial distribution path set, and taking the path corresponding to the minimum transportation parameter value as a planned path.
For the purpose of reducing the transportation cost, in this embodiment, the minimum transportation parameter value refers to a minimum total transportation cost between the starting point and the ending point.
In some embodiments, as shown in fig. 3, the minimum transportation parameter value may include at least one of: the minimum total transport distance between the starting point and the final point; minimum total transportation cost between the starting point and the end point; the minimum number of transport equipment. The above minimum transportation parameter values may be selected or combined according to the actual transportation parameters.
In some embodiments, thestep 104 may optimize the initial solution through any one of a tabu search algorithm, a simulated annealing algorithm, or a local search algorithm to obtain the target distribution path, as shown in fig. 6, which may specifically include the followingsteps 301 and 303;
step 301, respectively updating the mesh points on the initial distribution path in the initial distribution path set according to the constraint condition to obtain a neighborhood initial path set;
step 302, respectively calculating the paths in the neighborhood initial path set according to the transportation parameters to obtain transportation parameter values corresponding to the updated paths;
the mesh points on the candidate paths in the updated initial distribution path set may, for example, be operated to transpose, adjacent exchange, or insert mesh points on the initial distribution path to update mesh point information, and then update the initial distribution path to obtain a neighborhood initial path set. The method comprises the steps of firstly, randomly selecting two path points i and j in a current path, wherein the path before i is kept unchanged, the path between the two path points i and j is inverted to be numbered, and the path after j is kept unchanged, so that a new path is obtained; the adjacent exchange is that in the current path, two path points i and j are randomly selected, and a new path is formed after the positions of i and j are exchanged; the insertion operator randomly selects two path points i and j in the current path, and inserts the path point i after the path point j-1.
Step 303, determining a distribution path corresponding to the minimum transportation parameter value in the neighborhood initial path set.
In some embodiments, step 302 specifically includes: judging the transportation parameter values of the candidate route and the updated transportation parameter values of the route; if the transportation parameter value of the updated path is smaller than that of the candidate path, storing the updated path, and performing next neighborhood distribution path set calculation on the basis of the updated path; otherwise, abandoning, and calculating the neighborhood distribution path set on the basis of the candidate paths until reaching the preset calculation times.
With the enlargement of the solving scale, the solving efficiency is reduced, and the quality of the solution is reduced, so that the secondary solving is carried out on the basis of the optimized solution obtained for the first time, and the secondary optimization can be carried out through any one of a tabu search algorithm, a simulated annealing algorithm or a local search algorithm, so as to obtain the target distribution path. Referring to fig. 7, thestep 104 may further specifically include the followingsteps 401 to 404:
step 401, selecting a candidate path in the neighborhood distribution path set, wherein the candidate path meets a preset transportation distance range, and taking the selected candidate path as a candidate path set;
step 402, respectively updating the mesh points on the candidate paths in the candidate path set according to the constraint conditions to obtain a neighborhood candidate path set.
The mesh points on the candidate path in the updated candidate path set may, for example, be subjected to operations such as transposing, adjacent exchange or insertion on the mesh points on the candidate path to update mesh point information, and then the candidate path is updated to obtain a neighborhood candidate path set. The method comprises the steps of firstly, randomly selecting two path points i and j in a current path, wherein the path before i is kept unchanged, the path between the two path points i and j is inverted to be numbered, and the path after j is kept unchanged, so that a new path is obtained; the adjacent exchange is that in the current path, two path points i and j are randomly selected, and a new path is formed after the positions of i and j are exchanged; the insertion operator randomly selects two path points i and j in the current path, and inserts the path point i after the path point j-1.
And 403, respectively calculating the paths in the neighborhood candidate path set according to a preset calculation rule to obtain transportation parameter values corresponding to the updated paths.
And step 404, determining a distribution path corresponding to the minimum transportation parameter value in the neighborhood candidate path set.
In this embodiment of the present application, the selected candidate path may be selected from a minimum time value corresponding to the initial path set to a preset upper time limit value, and the candidate path set is further optimized. The candidate path can be selected based on time or distance, and the planned path is adjusted according to actual needs.
In some embodiments, thestep 403 specifically includes: the calculating the paths in the neighborhood distribution path set respectively according to a preset calculation rule to obtain the transportation parameter values corresponding to the updated paths includes:
step 431, if the transportation parameter value of the updated path is smaller than the transportation parameter value of the candidate path, storing the updated path, and performing neighborhood distribution path set calculation on the updated path to obtain the transportation parameter value corresponding to the updated path;
and step 432, if not, discarding the updated path.
The transportation parameter values are further screened through the steps 431-432, and then the route is updated, so that a better route selection result can be obtained.
And generating scheduling information of the vehicle among all network points based on the planned path, and after the scheduling information is generated, the vehicle transfers and delivers orders to fixed network points according to the scheduled route at a fixed time point.
The embodiment of the application provides a path planning method, which aims to improve delivery timeliness of express delivery by considering constraints such as distribution of network points and customer points, capacity capability and order timeliness on the premise of reducing transportation cost. The method and the system abstract the transportation problem between the network points and the transportation equipment within the preset range into a path planning problem with taking and sending and time window constraint, so that the transportation equipment can deliver to the fixed network points at fixed time points according to the planned path. According to the method and the system for dispatching the goods, the flow direction and the transportation quantity of the goods in the order of each network are known, the transportation equipment mainly completes the transportation of express from an addressee network to a delivery network, and the method and the system for dispatching the goods plan can plan the order transit and distribution route by comprehensively considering the constraint conditions such as order density, order flow direction, order timeliness, goods taking quantity or delivery quantity or quantity of each network, goods loading capacity of the transportation equipment, travel mileage limitation of the transportation equipment, operation time of each network and network operation time window, so that the cost of the target route is the minimum under the condition that the constraint conditions are met.
The path planning method provided by the embodiment of the application comprises the following steps: acquiring network transportation information and order information within a preset range; the network transportation information comprises: the transportation path among the network points and the transportation cost among the corresponding network points; determining transportation parameters according to the transportation information of the network points and determining constraint conditions according to the order information; generating an initial distribution path set according to the network transportation information, the constraint conditions and the transportation parameters, wherein the initial distribution path set comprises a plurality of initial distribution paths; calculating the transportation parameter values in the initial distribution path set, and taking the path corresponding to the minimum transportation parameter value as a planning path; and generating scheduling information of the transportation equipment according to the planned path. According to the path planning method provided by the embodiment of the application, the transportation cost between any two transportation points is obtained by obtaining the transportation information of the points, the constraint condition is determined by obtaining the order information, the planning path corresponding to the lowest cost is obtained under the constraint condition, the vehicle transfers and delivers the order to the fixed points at the fixed time point according to the planning path, and the delivery timeliness of the express delivery in the same city is improved on the premise of reducing the transportation cost.
In order to better implement the path planning method in the embodiment of the invention, on the basis of the path planning method, the embodiment of the invention also provides a path planning device. The path planning device is integrated in a device, which may be a server or a terminal, such as a mobile phone, a tablet computer, a desktop computer, and the like.
Fig. 8 is a schematic block diagram of a path planning apparatus provided in an embodiment of the present invention, where the path planning apparatus includes an obtaining apparatus and a processing apparatus. As shown in fig. 8, in the embodiment of the present application, an obtainingmodule 501 is used to obtain transportation information and order information of a website within a preset range; the network transportation information comprises: the transportation path among the network points and the transportation cost among the corresponding network points; theprocessing module 502 is configured to determine constraint conditions according to the order information; the system is used for generating an initial distribution path set according to the network transportation information, the constraint conditions and the transportation parameters; the system is used for calculating the transportation parameter values in the initial distribution path set, and taking the path corresponding to the minimum transportation parameter value as a planning path; and generating scheduling information of the transportation equipment according to the planned path. The route planning device provided by the embodiment of the application acquires the transportation cost between any two transportation points through the transportation information of the acquired points and determines the constraint condition through acquiring the order information, acquires the planning route corresponding to the lowest cost under the constraint condition, so that the vehicle transfers and delivers orders to the fixed points at fixed time points according to the planning route, and improves the delivery timeliness of the same-city express delivery on the premise of reducing the transportation cost.
An embodiment of the present invention further provides an electronic device, which integrates any one of the path planning devices provided in the embodiments of the present invention, please refer to fig. 9, and fig. 9 shows a schematic structural diagram of the electronic device according to the embodiments of the present invention, specifically:
the electronic device may include components such as aprocessor 601 of one or more processing cores,memory 602 of one or more computer-readable storage media, apower supply 603, and aninput unit 604. Those skilled in the art will appreciate that the electronic device configuration shown in fig. 9 does not constitute a limitation of the electronic device and may include more or fewer components than those shown, or some components may be combined, or a different arrangement of components. Wherein:
theprocessor 601 is a control center of the electronic device, connects various parts of the whole electronic device by using various interfaces and lines, and performs various functions of the electronic device and processes data by operating or executing software programs and/or modules stored in thememory 602 and calling data stored in thememory 602, thereby performing overall monitoring of the electronic device. Optionally,processor 601 may include one or more processing cores; preferably, theprocessor 601 may integrate an application processor, which mainly handles operating systems, user interfaces, application programs, etc., and a modem processor, which mainly handles wireless communications. It will be appreciated that the modem processor described above may not be integrated into theprocessor 601.
Thememory 602 may be used to store software programs and modules, and theprocessor 601 executes various functional applications and data processing by operating the software programs and modules stored in thememory 602. Thememory 602 may mainly include a program storage area and a data storage area, wherein the program storage area may store an operating system, an application program required by at least one function (such as a sound playing function, an image playing function, etc.), and the like; the storage data area may store data created according to use of the electronic device, and the like. Further, thememory 602 may include high speed random access memory, and may also include non-volatile memory, such as at least one magnetic disk storage device, flash memory device, or other volatile solid state storage device. Accordingly, thememory 602 may also include a memory controller to provide theprocessor 601 with access to thememory 602.
The electronic device further comprises apower supply 603 for supplying power to the various components, and preferably, thepower supply 603 is logically connected to theprocessor 601 through a power management system, so that functions of managing charging, discharging, power consumption, and the like are realized through the power management system. Thepower supply 603 may also include any component of one or more dc or ac power sources, recharging systems, power failure detection circuitry, power converters or inverters, power status indicators, and the like.
The electronic device may further include aninput unit 604, and theinput unit 604 may be used to receive input numeric or character information and generate keyboard, mouse, joystick, optical or trackball signal inputs related to user settings and function control.
Although not shown, the electronic device may further include a display unit and the like, which are not described in detail herein. Specifically, in the embodiment of the present application, theprocessor 601 in the electronic device loads the executable file corresponding to the process of one or more application programs into thememory 602 according to the following instructions, and theprocessor 601 runs the application program stored in thememory 602, thereby implementing various functions as follows:
acquiring network transportation information and order information within a preset range; the network transportation information comprises: the transportation path among the network points and the transportation cost among the corresponding network points; determining transportation parameters according to the transportation information of the network points, and determining constraint conditions according to the order information; generating an initial distribution path set according to the network transportation information, the constraint conditions and the transportation parameters, wherein the initial distribution path set comprises a plurality of initial distribution paths; calculating the transportation parameter values in the initial distribution path set, and taking the path corresponding to the minimum transportation parameter value as a planning path; and generating scheduling information of the transportation equipment according to the planned path.
It will be understood by those skilled in the art that all or part of the steps of the methods of the above embodiments may be performed by instructions or by associated hardware controlled by the instructions, which may be stored in a computer readable storage medium and loaded and executed by a processor.
To this end, an embodiment of the present application provides a computer-readable storage medium, which may include: read Only Memory (ROM), Random Access Memory (RAM), magnetic or optical disks, and the like. Stored thereon, a computer program is loaded by a processor to perform the steps of any of the path planning methods provided by the embodiments of the present application. For example, the computer program may be loaded by a processor to perform the steps of:
acquiring network transportation information and order information within a preset range;
determining transportation parameters according to the transportation information of the network points and determining constraint conditions according to the order information;
generating an initial distribution path set according to the network transportation information, the constraint conditions and the transportation parameters;
calculating the transportation parameter values in the initial distribution path set, and taking the path corresponding to the minimum transportation parameter value as a planning path;
and generating scheduling information of the transportation equipment according to the planned path.
In the above embodiments, the descriptions of the respective embodiments have respective emphasis, and parts that are not described in detail in a certain embodiment may refer to the above detailed descriptions of other embodiments, and are not described herein again.
In a specific implementation, each unit or structure may be implemented as an independent entity, or may be combined arbitrarily to be implemented as one or several entities, and the specific implementation of each unit or structure may refer to the foregoing method embodiment, which is not described herein again.
The above operations can be implemented in the foregoing embodiments, and are not described in detail herein.
The path planning method, the path planning device, the electronic device, and the storage medium according to the embodiments of the present invention are described in detail, and a specific embodiment is applied to illustrate the principle and the implementation manner of the present invention, and the description of the embodiment is only used to help understanding the method and the core idea of the present invention; meanwhile, for those skilled in the art, according to the idea of the present invention, there may be variations in the specific embodiments and the application scope, and in summary, the content of the present specification should not be construed as a limitation to the present invention.

Claims (10)

1. A method of path planning, the method comprising:
acquiring network transportation information and order information within a preset range; the network transportation information comprises transportation paths among network nodes and transportation cost among corresponding network nodes;
determining transportation parameters according to the transportation information of the network points and determining constraint conditions according to the order information;
generating an initial distribution path set according to the network transportation information, the constraint conditions and the transportation parameters, wherein the initial distribution path set comprises a plurality of initial distribution paths;
and calculating the transportation parameter values in the initial distribution path set, and taking the path corresponding to the minimum transportation parameter value as a planned path, wherein the planned path is used for generating scheduling information of the transportation equipment.
2. The method of claim 1, wherein the minimum transportation parameter value comprises at least one of:
minimum total transport distance between start and end points;
minimum total transportation cost between the starting and ending points;
the minimum number of transport equipment.
3. The method according to claim 1 or 2, wherein the constraint comprises at least one of the following conditions:
the residence time of the transportation equipment at the network site is in a time window corresponding to the business time of the network site;
the transportation time between the network points does not exceed the preset time;
the transportation distance between the net points does not exceed a preset distance;
the goods taking amount of the transportation equipment at the network point does not exceed the free capacity of the transportation equipment, the goods sending amount of the transportation equipment at the network point does not exceed the free capacity of the transportation equipment, and the free capacity is the capacity of single transportation of the transportation equipment.
4. The method of claim 1, wherein generating an initial set of delivery paths from the site transportation information, the constraints, and transportation parameters comprises:
acquiring a network node set from the network node transportation information according to the coordinate position, wherein the network node set comprises a plurality of network nodes corresponding to the coordinate position, and any network node is acquired from the network node set and is used as a relay node;
calculating a difference value according to a first value and a second value, wherein the first value is a distance value or a time length value between the relay point and a target mesh point in the mesh point set; the second value is a distance value or a time length value between any two target mesh points except the relay point, and the difference value is a difference value between the first value and the second value;
sequentially selecting two target mesh points corresponding to the difference, and if the path between the two target mesh points and the relay point meets a constraint condition, establishing an initial distribution path for the two target mesh points and the relay point; if the constraint condition is not met, reselecting the corresponding two target mesh points according to the difference value; until all differences are selected;
and generating an initial distribution path set according to the established initial distribution path.
5. The method according to claim 1 or 4, wherein the calculating transportation parameter values in the initial distribution path set and taking a path corresponding to a minimum transportation parameter value as a planned path comprises:
respectively updating the mesh points in the initial distribution path set according to the constraint conditions to obtain a neighborhood initial path set, wherein the neighborhood initial path set comprises a plurality of updated paths in a combined manner;
according to a preset calculation rule, calculating paths in the neighborhood initial path set respectively to obtain transportation parameter values, wherein the transportation parameter values are transportation parameter values corresponding to the updated paths;
and determining a planned path, wherein the planned path is a path corresponding to the minimum transportation parameter value in the neighborhood initial path set.
6. The method according to claim 5, wherein after the step of obtaining the neighborhood initial path set, before the step of obtaining the transportation parameter values by respectively calculating the paths in the neighborhood initial path set according to a preset calculation rule, the method further comprises:
determining paths in a preset transportation distance range in the neighborhood distribution path set to obtain a candidate path set, wherein the candidate path set comprises a plurality of candidate paths;
respectively updating the mesh points in the candidate path set according to the constraint conditions to obtain a neighborhood candidate path set, wherein the neighborhood candidate path set comprises a plurality of updated paths;
according to a preset calculation rule, calculating paths in the neighborhood candidate path set respectively to obtain transportation parameter values corresponding to the updated paths;
and determining a planned path, wherein the planned path is a path corresponding to the minimum transportation parameter value in the neighborhood candidate path set.
7. The method according to claim 6, wherein the calculating the routes in the neighborhood distribution route set according to a preset calculation rule to obtain the transportation parameter values corresponding to the updated routes includes:
if the transportation parameter value of the updated path is smaller than the transportation parameter value of the candidate path, storing the updated path, and performing neighborhood distribution path set calculation on the updated path to obtain the transportation parameter value corresponding to the updated path;
if not, discarding the updated path.
8. A path planning apparatus, the apparatus comprising:
the acquisition module is used for acquiring the network transportation information and the order information within a preset range; the network transportation information comprises: the transportation path among the network points and the transportation cost among the corresponding network points;
the processing module is used for acquiring the network transportation information and the order information within a preset range; the network transportation information comprises: the transportation path among the network points and the transportation cost among the corresponding network points; determining transportation parameters according to the transportation information of the network points and determining constraint conditions according to the order information; generating an initial distribution path set according to the network transportation information, the constraint conditions and the transportation parameters, wherein the initial distribution path set comprises a plurality of initial distribution paths; and calculating the transportation parameter values in the initial distribution path set, and taking the path corresponding to the minimum transportation parameter value as a planned path, wherein the planned path is used for generating scheduling information of the transportation equipment.
9. An electronic device, characterized in that the electronic device comprises:
one or more processors;
a memory for storing one or more programs,
when executed by the one or more processors, cause the one or more processors to implement a path planning method as claimed in any one of claims 1-7.
10. A computer-readable storage medium, on which a computer program is stored which, when being executed by a processor, carries out a path planning method according to any one of claims 1-7.
CN202010274275.XA2020-04-092020-04-09Path planning method and device, electronic equipment and storage medium thereofPendingCN111553626A (en)

Priority Applications (1)

Application NumberPriority DateFiling DateTitle
CN202010274275.XACN111553626A (en)2020-04-092020-04-09Path planning method and device, electronic equipment and storage medium thereof

Applications Claiming Priority (1)

Application NumberPriority DateFiling DateTitle
CN202010274275.XACN111553626A (en)2020-04-092020-04-09Path planning method and device, electronic equipment and storage medium thereof

Publications (1)

Publication NumberPublication Date
CN111553626Atrue CN111553626A (en)2020-08-18

Family

ID=72002414

Family Applications (1)

Application NumberTitlePriority DateFiling Date
CN202010274275.XAPendingCN111553626A (en)2020-04-092020-04-09Path planning method and device, electronic equipment and storage medium thereof

Country Status (1)

CountryLink
CN (1)CN111553626A (en)

Cited By (24)

* Cited by examiner, † Cited by third party
Publication numberPriority datePublication dateAssigneeTitle
CN112232605A (en)*2020-12-142021-01-15北京顺达同行科技有限公司Processing method, device and equipment for dispatching resources and computer readable storage medium
CN112308312A (en)*2020-10-292021-02-02上海寻梦信息技术有限公司Warehouse-leaving package transferring method, model training method and related equipment
CN112344939A (en)*2020-11-052021-02-09国网上海市电力公司Patrol route planning method for transformer substation and computer equipment
CN112474403A (en)*2020-12-032021-03-12中邮信息科技(北京)有限公司Autonomous package management method, device, medium and electronic equipment
CN112801371A (en)*2021-01-292021-05-14广船国际有限公司Flat car route planning method, device, equipment and storage medium
CN112926808A (en)*2021-04-222021-06-08湖北普罗劳格科技股份有限公司Logistics path planning method, device, equipment and computer readable storage medium
CN112966997A (en)*2021-03-042021-06-15上海东普信息科技有限公司Express delivery cargo transportation method, device, equipment and storage medium
CN113256123A (en)*2021-05-272021-08-13中国农业银行股份有限公司Self-service equipment replenishment method based on network grouping and electronic equipment
CN113570103A (en)*2020-09-142021-10-29宁波舜宇智能科技有限公司Path control method, path control device, electronic device and storage medium
CN113705901A (en)*2021-08-302021-11-26康键信息技术(深圳)有限公司Logistics distribution path selection method, device, equipment and storage medium
CN113723675A (en)*2021-08-202021-11-30深圳依时货拉拉科技有限公司Automatic dispatching method for part collecting pieces and computer equipment
CN113762869A (en)*2021-01-292021-12-07北京京东振世信息技术有限公司Transportation task processing method and device
CN113762697A (en)*2021-01-212021-12-07北京京东振世信息技术有限公司Material conveying method, device, system and storage medium
CN113988720A (en)*2021-12-272022-01-28北京京东振世信息技术有限公司Shunting path generation method and device, electronic equipment and computer readable medium
CN114169813A (en)*2021-11-162022-03-11悠桦林信息科技(上海)有限公司 Transportation scheduling method, device, electronic device and storage medium
CN115115132A (en)*2022-07-202022-09-27西华大学Chargeable urban logistics unmanned aerial vehicle path planning method based on simulated annealing
CN115409222A (en)*2021-05-262022-11-29深圳顺丰泰森控股(集团)有限公司 Transportation routing planning method, device, equipment and medium based on graph database
CN115481945A (en)*2021-05-312022-12-16顺丰科技有限公司Vehicle scheduling method and device, computer equipment and storage medium
CN115700671A (en)*2021-07-272023-02-07顺丰科技有限公司Logistics scheme planning method, device, equipment and medium
CN116384853A (en)*2023-03-012023-07-04湖北普罗格科技股份有限公司Digital twin intelligent logistics management method and device
CN116894620A (en)*2023-09-082023-10-17北京京东乾石科技有限公司Logistics routing method and device, electronic equipment and storage medium
CN116911724A (en)*2023-03-212023-10-20中国兵器科学研究院 A method, device and equipment for determining transportation path
CN118569768A (en)*2024-06-192024-08-30广州淘猫供应链物流科技有限公司Logistics distribution path optimization method
CN119990472A (en)*2025-04-112025-05-13华能太仓港务有限责任公司 A coal transfer point optimization method and system based on the Internet of Things

Citations (4)

* Cited by examiner, † Cited by third party
Publication numberPriority datePublication dateAssigneeTitle
US20140180958A1 (en)*2012-12-202014-06-26Oracle International CorporationFinding minimum cost transportation routes for orders through a transportation network
CN106980912A (en)*2017-04-072017-07-25广东电网有限责任公司佛山供电局A kind of multiple spot distribution routing planning method and system
CN108921483A (en)*2018-07-162018-11-30深圳北斗应用技术研究院有限公司A kind of logistics route planing method, device and driver arrange an order according to class and grade dispatching method, device
CN110231044A (en)*2019-06-102019-09-13北京三快在线科技有限公司A kind of paths planning method and device

Patent Citations (4)

* Cited by examiner, † Cited by third party
Publication numberPriority datePublication dateAssigneeTitle
US20140180958A1 (en)*2012-12-202014-06-26Oracle International CorporationFinding minimum cost transportation routes for orders through a transportation network
CN106980912A (en)*2017-04-072017-07-25广东电网有限责任公司佛山供电局A kind of multiple spot distribution routing planning method and system
CN108921483A (en)*2018-07-162018-11-30深圳北斗应用技术研究院有限公司A kind of logistics route planing method, device and driver arrange an order according to class and grade dispatching method, device
CN110231044A (en)*2019-06-102019-09-13北京三快在线科技有限公司A kind of paths planning method and device

Cited By (33)

* Cited by examiner, † Cited by third party
Publication numberPriority datePublication dateAssigneeTitle
CN113570103A (en)*2020-09-142021-10-29宁波舜宇智能科技有限公司Path control method, path control device, electronic device and storage medium
CN112308312B (en)*2020-10-292024-05-03上海寻梦信息技术有限公司Warehouse-leaving package transfer method, model training method and related equipment
CN112308312A (en)*2020-10-292021-02-02上海寻梦信息技术有限公司Warehouse-leaving package transferring method, model training method and related equipment
CN112344939A (en)*2020-11-052021-02-09国网上海市电力公司Patrol route planning method for transformer substation and computer equipment
CN112474403A (en)*2020-12-032021-03-12中邮信息科技(北京)有限公司Autonomous package management method, device, medium and electronic equipment
CN112474403B (en)*2020-12-032022-10-18中邮信息科技(北京)有限公司Autonomous package management method, device, medium and electronic equipment
CN112232605B (en)*2020-12-142021-05-14北京顺达同行科技有限公司Processing method, device and equipment for dispatching resources and computer readable storage medium
CN112232605A (en)*2020-12-142021-01-15北京顺达同行科技有限公司Processing method, device and equipment for dispatching resources and computer readable storage medium
CN113762697B (en)*2021-01-212024-01-16北京京东振世信息技术有限公司Material conveying method, equipment, system and storage medium
CN113762697A (en)*2021-01-212021-12-07北京京东振世信息技术有限公司Material conveying method, device, system and storage medium
CN112801371A (en)*2021-01-292021-05-14广船国际有限公司Flat car route planning method, device, equipment and storage medium
CN113762869A (en)*2021-01-292021-12-07北京京东振世信息技术有限公司Transportation task processing method and device
CN112966997A (en)*2021-03-042021-06-15上海东普信息科技有限公司Express delivery cargo transportation method, device, equipment and storage medium
CN112926808A (en)*2021-04-222021-06-08湖北普罗劳格科技股份有限公司Logistics path planning method, device, equipment and computer readable storage medium
CN112926808B (en)*2021-04-222023-09-19湖北普罗格科技股份有限公司 Logistics path planning method, device, equipment and computer-readable storage medium
CN115409222A (en)*2021-05-262022-11-29深圳顺丰泰森控股(集团)有限公司 Transportation routing planning method, device, equipment and medium based on graph database
CN113256123A (en)*2021-05-272021-08-13中国农业银行股份有限公司Self-service equipment replenishment method based on network grouping and electronic equipment
CN115481945A (en)*2021-05-312022-12-16顺丰科技有限公司Vehicle scheduling method and device, computer equipment and storage medium
CN115700671A (en)*2021-07-272023-02-07顺丰科技有限公司Logistics scheme planning method, device, equipment and medium
CN113723675A (en)*2021-08-202021-11-30深圳依时货拉拉科技有限公司Automatic dispatching method for part collecting pieces and computer equipment
CN113723675B (en)*2021-08-202024-03-26深圳依时货拉拉科技有限公司Automatic scheduling method for spare parts and components and computer equipment
CN113705901A (en)*2021-08-302021-11-26康键信息技术(深圳)有限公司Logistics distribution path selection method, device, equipment and storage medium
CN114169813A (en)*2021-11-162022-03-11悠桦林信息科技(上海)有限公司 Transportation scheduling method, device, electronic device and storage medium
CN113988720A (en)*2021-12-272022-01-28北京京东振世信息技术有限公司Shunting path generation method and device, electronic equipment and computer readable medium
WO2023124239A1 (en)*2021-12-272023-07-06北京京东振世信息技术有限公司Shunting route generation method and apparatus, electronic device, and computer-readable medium
CN115115132A (en)*2022-07-202022-09-27西华大学Chargeable urban logistics unmanned aerial vehicle path planning method based on simulated annealing
CN116384853B (en)*2023-03-012024-02-09湖北普罗格科技股份有限公司 A management method and device for digital twin smart logistics
CN116384853A (en)*2023-03-012023-07-04湖北普罗格科技股份有限公司Digital twin intelligent logistics management method and device
CN116911724A (en)*2023-03-212023-10-20中国兵器科学研究院 A method, device and equipment for determining transportation path
CN116894620B (en)*2023-09-082024-02-06北京京东乾石科技有限公司 Logistics routing method, device, electronic equipment and storage medium
CN116894620A (en)*2023-09-082023-10-17北京京东乾石科技有限公司Logistics routing method and device, electronic equipment and storage medium
CN118569768A (en)*2024-06-192024-08-30广州淘猫供应链物流科技有限公司Logistics distribution path optimization method
CN119990472A (en)*2025-04-112025-05-13华能太仓港务有限责任公司 A coal transfer point optimization method and system based on the Internet of Things

Similar Documents

PublicationPublication DateTitle
CN111553626A (en)Path planning method and device, electronic equipment and storage medium thereof
CN111950950B (en) Order delivery route planning method, device, computer medium and electronic device
CN112001064B (en)Full-autonomous water transport scheduling method and system between container terminals
WO2022021119A1 (en)Method and system for fully autonomous waterborne transport scheduling between container terminals
CN112418584B (en)Task planning method, device, computer equipment and storage medium
CN109034481A (en)A kind of vehicle routing problem with time windows modeling and optimization method based on constraint planning
CN114611794B (en) Vehicle-machine collaborative delivery route optimization method and system based on sub-heuristic algorithm
CN114331220A (en) Method and device for passenger car transportation vehicle scheduling based on order dynamic priority
CN116228089B (en) A store distribution path planning method based on the shortest mileage
CN108510227A (en)A kind of real-time planning system of vehicle-mounted logistics distribution based on machine learning
CN112418475A (en)Logistics path planning method and device, electronic equipment and storage medium
CN114663011A (en) A scheduling method of automated terminal AGV
Zhang et al.Multidepot Two‐Echelon Vehicle Routing Problem for Earthwork Allocation Optimization
CN112884180B (en)Logistics distributed point location method and device, electronic equipment and storage medium
CN117196263B (en)Cargo scheduling method, device, equipment and computer readable storage medium
CN113762655B (en)Planning method and device for vehicle scheduling
CN115829451A (en)Logistics path planning method and device, computer equipment and storage medium
CN116228053A (en) Goods distribution optimization method, device, computer equipment and storage medium
CN112862135B (en)Express delivery route planning method, device, server and storage medium
CN114612024B (en) Regional delivery quantity optimization method, device, computer equipment and storage medium
CN115759901A (en)Method and device for determining distribution basket, storage medium and electronic equipment
Yang et al.Solving vehicle routing problem with drones based on a bi-level heuristic approach
Ma et al.Vehicle-drone collaborative distribution path planning based on neural architecture search under the influence of carbon emissions
CN112801567B (en)Express delivery mode selection method and device, computer equipment and storage medium
JP6879353B2 (en) Information processing equipment, information processing methods and programs

Legal Events

DateCodeTitleDescription
PB01Publication
PB01Publication
SE01Entry into force of request for substantive examination
SE01Entry into force of request for substantive examination
RJ01Rejection of invention patent application after publication

Application publication date:20200818

RJ01Rejection of invention patent application after publication

[8]ページ先頭

©2009-2025 Movatter.jp