Movatterモバイル変換


[0]ホーム

URL:


CN111520114B - Intelligent management system for pump efficiency adjustment oil field - Google Patents

Intelligent management system for pump efficiency adjustment oil field
Download PDF

Info

Publication number
CN111520114B
CN111520114BCN202010233592.7ACN202010233592ACN111520114BCN 111520114 BCN111520114 BCN 111520114BCN 202010233592 ACN202010233592 ACN 202010233592ACN 111520114 BCN111520114 BCN 111520114B
Authority
CN
China
Prior art keywords
unit
pumping unit
information
indicator diagram
control cabinet
Prior art date
Legal status (The legal status is an assumption and is not a legal conclusion. Google has not performed a legal analysis and makes no representation as to the accuracy of the status listed.)
Active
Application number
CN202010233592.7A
Other languages
Chinese (zh)
Other versions
CN111520114A (en
Inventor
杨丽荣
Current Assignee (The listed assignees may be inaccurate. Google has not performed a legal analysis and makes no representation or warranty as to the accuracy of the list.)
Shanghai Fuquan Engineering Technology Co ltd
Original Assignee
Shanghai Fuquan Engineering Technology Co ltd
Priority date (The priority date is an assumption and is not a legal conclusion. Google has not performed a legal analysis and makes no representation as to the accuracy of the date listed.)
Filing date
Publication date
Application filed by Shanghai Fuquan Engineering Technology Co ltdfiledCriticalShanghai Fuquan Engineering Technology Co ltd
Priority to CN202010233592.7ApriorityCriticalpatent/CN111520114B/en
Publication of CN111520114ApublicationCriticalpatent/CN111520114A/en
Application grantedgrantedCritical
Publication of CN111520114BpublicationCriticalpatent/CN111520114B/en
Activelegal-statusCriticalCurrent
Anticipated expirationlegal-statusCritical

Links

Images

Classifications

Landscapes

Abstract

The invention provides an intelligent management system for a pump efficiency adjustment oil field, which is used for leading an administrator to manage corresponding pumping units arranged at a plurality of oil wells in the oil field, and is characterized by comprising the following steps: at least one pumping unit disposed at the oil well; the oil pumping machine control cabinet is arranged at an oil well and correspondingly connected with the oil pumping machine, is operated by workers and is used for controlling the oil pumping action of the oil pumping machine; an administrator terminal held by an administrator; and the management server is respectively in communication connection with the oil pumping unit control cabinet and the administrator terminal. The pumping unit control cabinet is provided with a parameter storage part, a pumping unit information storage part, a control cabinet picture storage part, a control cabinet input display part, a reference indicator diagram generation part, a measurement part, a current indicator diagram generation part, a comparison determination part, a frequency conversion part, an adjustment frequency generation part, a control cabinet communication part and a control cabinet control part.

Description

Pump efficiency adjustment oil field intelligent management system
Technical Field
The invention relates to an oil field management system, in particular to an intelligent pump efficiency adjustment oil field management system.
Background
Petroleum is the most important strategic resource in the present period. In the process of oil exploitation, factors such as abrasion and faults of pumping unit equipment, change of geological conditions, influence of real-time water injection on oil exploitation conditions and the like can continuously influence the oil exploitation process.
Due to the characteristics of oil exploitation, an administrator of an oil field cannot know the real-time state of an oil well pump at each oil well in real time, and the state information of each oil pumping unit in the oil field needs to be discovered by the administrator through the change of the liquid extraction amount periodically measured by a worker. During the current phase of well production, the modification of the production strategy of the well is often in an information-lagging situation. This greatly affects the arrangement of production plans for the field by the administrator, and thus the efficiency of oil production.
Along with the development of productivity and the continuous increase of production scale, the oil exploitation amount is continuously increased, and at present, each oil field faces the problems that the continuous reduction of oil storage causes high energy consumption of unit yield of the oil pumping unit, low efficiency and the like. Therefore, it is very important to control the pumping unit, improve the efficiency of the pumping unit and reduce the mining cost.
At present, the speed-adjustable pumping unit of the mainstream generally uses a frequency converter to carry out frequency conversion speed regulation control, and the rotating speed of a driving motor can be regulated according to the frequency set by a worker so as to control the pumping stroke frequency of the pumping unit. However, the method can only change the stroke frequency of the pumping unit manually, the workload of workers is increased, and the condition under the oil well is complex and variable, so that the workers in the oil well cannot grasp the condition under the oil well in time and cannot set the optimal control frequency to adapt to the condition in the oil well in time, thereby ensuring that the average efficiency of the oil well pump is low, the unit yield consumes more electric energy, and the purposes of saving energy and reducing consumption of the current pumping well are not met.
Disclosure of Invention
In order to solve the problems, the invention provides an intelligent management system for a pump efficiency adjusting oil field, which can adjust and monitor the state of a pumping unit at each oil well in the oil field in real time, and adopts the following technical scheme:
the invention provides an intelligent pump efficiency adjustment oil field management system, which is characterized by comprising the following components: at least one pumping unit disposed at the oil well; the oil pumping machine control cabinet is arranged at an oil well and correspondingly connected with the oil pumping machine, is operated by workers and is used for controlling the oil pumping action of the oil pumping machine; an administrator terminal held by an administrator; and a management server, which is respectively connected with the oil pumping machine control cabinet and the administrator terminal in a communication way, wherein the oil pumping machine is driven by electric power and used for drawing the oil pumping machine to reciprocate so as to realize oil pumping, the oil pumping machine control cabinet is provided with a parameter storage part, an oil pumping machine information storage part, a control cabinet input display part, a reference indicator diagram generation part, a measurement part, a current indicator diagram generation part, a comparison determination part, a frequency conversion part, an adjustment frequency generation part, a control cabinet communication part and a control cabinet control part, the parameter storage part stores corresponding oil pumping machine parameters, the oil pumping machine information storage part stores corresponding oil pumping machine numbers, the control cabinet image storage part stores pump effect input images, the control cabinet input display part displays the pump effect input images to allow workers to input required preset pump effects, and once the workers confirm the input preset pump effects, the reference indicator diagram generating part generates a reference indicator diagram based on the input preset pump efficiency, the measuring part measures and acquires a voltage value, a current value, a frequency value and a frequency factor value of current for driving a corresponding pumping unit as measuring parameters, the current indicator diagram generating and acquiring part generates and acquires an indicator diagram of the pumping unit in a reciprocating stroke as a current indicator diagram according to the stored pumping unit parameters and the acquired measuring parameters, the comparison judging part compares the current indicator diagram with the reference indicator diagram to judge whether deviation exists, if yes, the frequency adjusting generating part generates adjusting frequency according to the deviation, the frequency converting part converts the current for driving the corresponding pumping unit according to the adjusting frequency, so that the stroke frequency of the pumping unit is changed and the pumping efficiency of the pumping unit is further changed, and once the current indicator diagram is acquired, the control cabinet control part controls the control cabinet communication part to send the acquired current indicator diagram and the corresponding pumping unit number to the management service as indicator diagram information The management server is provided with a pumping unit related information storage part, a indicator diagram storage part, an indicator diagram updating part, a retrieval part, a service side communication part and a service side control part, the administrator terminal is provided with a management side picture storage part, a management side input display part, a management side communication part and a management side control part, the indicator diagram storage part is used for storing the current indicator diagram, once the service side communication part receives the indicator diagram information, the service side control part controls the indicator diagram updating part to update the indicator diagram storage part according to the received indicator diagram information, the management side picture storage part stores a pumping unit number selection picture and an oil field monitoring picture, the management side input display part displays the pumping unit number selection picture and displays all pumping unit numbers contained in the oil field in the picture to select by an administrator, once the administrator determines the selected number, the management side control part controls the management side communication part to send the number to the service side communication part as the number information, once the service side communication part receives the number information, the service side control part controls the retrieval part to retrieve the current indicator diagram stored in the indicator diagram storage part according to the number information so as to obtain the current indicator diagram corresponding to the number information, the service side control part controls the service side communication part to send the obtained current indicator diagram corresponding to the number information to the management side communication part as retrieval result information, and the management side control part controls the management side input display part to display an oil field monitoring screen and display the corresponding current indicator diagram in the screen according to the retrieval result information.
Action and Effect of the invention
According to the intelligent management system for the pump efficiency adjustment oil field, the intelligent management system for the pump efficiency adjustment oil field provided by the embodiment of the invention generates a corresponding reference indicator diagram according to the pump efficiency input and set by a worker, generates a corresponding adjustment frequency according to the deviation of the current indicator diagram relative to the reference indicator diagram, and adjusts the current frequency of the driving motor according to the adjustment frequency so as to control the oil pumping efficiency of the oil pumping unit. The workman can set up required pump efficiency according to the production plan in oil field, and the oil mass when plan production increases, thereby the workman controls the pump efficiency of this beam-pumping unit through setting up higher pump efficiency in oil well department, improves the oil production volume of this beam-pumping unit. The method greatly improves the management efficiency of oil field production and is convenient for the oil field to realize large-scale automatic production. Meanwhile, the invention enables an administrator to obtain the working state condition of each oil pumping unit in the oil field in real time on the owned administrator terminal. Therefore, managers can reasonably arrange production plans in time according to the working conditions of all the pumping units. The problem of low efficiency caused by information lag is avoided.
Drawings
FIG. 1 is a schematic diagram of a pump efficiency adjustment oilfield intelligent management system according to an embodiment of the present invention;
FIG. 2 is a schematic structural diagram of a pumping unit according to an embodiment of the present invention;
FIG. 3 is a block diagram of a control cabinet of an oil pumping unit according to an embodiment of the present invention;
FIG. 4 is a schematic perspective view of a control cabinet of an oil pumping unit according to an embodiment of the present invention;
fig. 5 is a block diagram of a management server according to an embodiment of the present invention;
fig. 6 is a block diagram of the structure of an administrator terminal according to the embodiment of the present invention;
FIG. 7 is a flow chart of a process for obtaining a corresponding pumping unit status according to an embodiment of the present invention;
FIG. 8 is a flow chart of a pump efficiency adjustment process of an embodiment of the present invention;
FIG. 9 is a flow chart of a get alarm log process of an embodiment of the present invention;
FIG. 10 is a flow diagram of an administrator authentication process of an embodiment of the present invention; and
fig. 11 is a flow chart of a new pumping unit information entry process according to an embodiment of the present invention.
Detailed Description
The following description of the embodiments of the invention refers to the accompanying drawings and its implementation.
As an embodiment, the present invention provides an intelligent pump efficiency adjustment oil field management system for allowing an administrator to manage corresponding pumping units installed in a plurality of oil wells in an oil field, the intelligent pump efficiency adjustment oil field management system including: at least one pumping unit disposed at the oil well; the pumping unit control cabinet is arranged at an oil well and correspondingly connected with the pumping unit, is operated by a worker and is used for controlling the pumping action of the pumping unit; an administrator terminal held by an administrator; and a management server, which is respectively connected with the oil pumping machine control cabinet and the administrator terminal in a communication way, wherein the oil pumping machine is driven by electric power and used for drawing the oil pumping machine to reciprocate so as to realize oil pumping, the oil pumping machine control cabinet is provided with a parameter storage part, an oil pumping machine information storage part, a control cabinet input display part, a reference indicator diagram generation part, a measurement part, a current indicator diagram generation part, a comparison determination part, a frequency conversion part, an adjustment frequency generation part, a control cabinet communication part and a control cabinet control part, the parameter storage part stores corresponding oil pumping machine parameters, the oil pumping machine information storage part stores corresponding oil pumping machine numbers, the control cabinet image storage part stores pump effect input images, the control cabinet input display part displays the pump effect input images to allow workers to input required preset pump effects, and once the workers confirm the input preset pump effects, the control cabinet control part controls the control cabinet communication part to send the obtained current indicator diagram and the corresponding oil pumping machine number as indicator diagram information to the management service part once the current indicator diagram is obtained The management server is provided with a pumping unit related information storage part, an indicator diagram updating part, a retrieval part, a service side communication part and a service side control part, the administrator terminal is provided with a management side picture storage part, a management side input display part, a management side communication part and a management side control part, the indicator diagram storage part is used for storing a current indicator diagram, once the service side communication part receives the indicator diagram information, the service side control part controls the indicator diagram updating part to update the indicator diagram storage part according to the received indicator diagram information, the management side picture storage part is stored with a pumping unit number selection picture and an oil field monitoring picture, the management side input display part displays the pumping unit number selection picture and displays all pumping unit numbers contained in the oil field in the picture to be selected by an administrator, once the administrator determines the selected numbers, the management side control part controls the management side communication part to send the number to the service side communication part as the number information, once the service side communication part receives the number information, the service side control part controls the retrieval part to retrieve the current indicator diagram stored in the indicator diagram storage part according to the number information so as to obtain the current indicator diagram corresponding to the number information, the service side control part controls the service side communication part to send the obtained current indicator diagram corresponding to the number information to the management side communication part as retrieval result information, and the management side control part controls the management side input display part to display an oil field monitoring screen and display the corresponding current indicator diagram in the screen according to the retrieval result information.
In the above-described embodiment, the control cabinet may further include a failure indicator diagram storage unit, the failure indicator diagram storage unit stores a plurality of failure indicator diagrams corresponding to a failure of the pumping unit during a pumping process and a plurality of failure names corresponding to the failure, the failure indicator diagram includes a plurality of serious failure indicator diagrams corresponding to a serious failure of the pumping unit during a pumping process and a plurality of slight failure indicator diagrams corresponding to a slight failure of the pumping unit during a pumping process, the control cabinet screen storage unit further stores a failure alarm screen, the comparison determination unit determines whether the obtained current indicator diagram is the same as any stored failure indicator diagram, if it is determined that the obtained current indicator diagram is the same as the serious failure indicator diagram or the stored slight failure indicator diagram, if it is determined that the obtained current indicator diagram is the same as the slight failure indicator diagram, the control cabinet control unit controls the frequency conversion unit to convert the frequency of the current driving the pumping unit so that the frequency of the current is the same as the serious failure indicator diagram The frequency gradually becomes zero to stop the oil pumping unit, and the control cabinet input display part is controlled to display a fault alarm picture and display a corresponding fault name in the picture.
In the above-described embodiment, the pumping unit control cabinet may further include an alarm unit, and the control cabinet control unit may control the alarm unit to issue an alarm when the comparison determination unit determines that the current indicator diagram is identical to the serious failure indicator diagram.
In the above-described embodiment, the management server may further include an alarm record storage unit, wherein when the comparison determination unit determines that the current indicator diagram is identical to any of the failure indicator diagrams, the control cabinet control unit controls the control cabinet communication unit to transmit the corresponding failure name, the pump unit number, and the current time as failure information to the service-side communication unit, the alarm record storage unit stores the failure information received by the service-side communication unit, and when the service-side communication unit receives the number information, the service-side control unit controls the search unit to search the alarm record storage unit based on the number information, and the management side input display part displays an oil field monitoring screen and displays the fault information in the screen.
In the above-described embodiment, the pumping unit may further include an origin detection module communicatively connected to the control cabinet communication unit, the pumping unit control cabinet may further include a stroke number calculation unit, the control cabinet screen storage unit may further store a state monitoring screen, the management server may further include a stroke number storage unit and a stroke number update unit, the origin detection module may transmit one pulse signal to the control cabinet communication unit every time the pumping unit completes one reciprocating stroke, the control cabinet control unit may control the stroke number calculation unit to calculate the stroke number of the pumping unit based on the received pulse light signal and the time when the pulse signal is received, the control cabinet control unit may control the control cabinet to input the display unit to display the state monitoring screen and display the calculated stroke number and the acquired current indicator diagram on the screen, and may control the control-side communication unit to transmit the stroke number and the pumping unit number as stroke number information to the service-side communication unit, the stroke frequency storage part is used for storing stroke frequency information, once the service side communication part receives the stroke frequency information, the service side control part controls the stroke frequency updating part to update the stroke frequency storage part according to the received stroke frequency information, once the service side communication part receives the number information, the service side control part controls the retrieval part to retrieve the stroke frequency storage part according to the number information so as to obtain the stroke frequency corresponding to the number, further controls the service side communication part to send the retrieved stroke frequency information to the management side communication part, and the management side input display part displays an oil field monitoring picture and displays the stroke frequency information in the picture.
In the above-described embodiment, the management server may further include a pumping unit-related information storage unit in which the pumping unit position and the pumping unit model corresponding to the pumping unit number are stored, wherein when the service-side communication unit receives the number information, the service-side control unit controls the search unit to search the pumping unit-related information storage unit based on the number information to acquire the pumping unit position and the pumping unit model corresponding to the number, further controls the service-side communication unit to transmit the pumping unit position, the pumping unit model, and the corresponding pumping unit number acquired by the search to the management-side communication unit as pumping unit-related information, and the management-side input display unit displays the oil field monitoring screen and the pumping unit-related information on the screen.
In the above-described embodiment, the pumping unit control cabinet may further include a cabinet body covering the parameter storage unit, the pumping unit information storage unit, the control cabinet screen storage unit, the reference indicator diagram generation unit, the measurement unit, the current indicator diagram generation unit, the comparison determination unit, the frequency conversion unit, the adjustment frequency generation unit, the control cabinet communication unit, and the control cabinet control unit, and a heat dissipation device installed in the cabinet body for dissipating heat from the inside of the cabinet body.
In the above-described embodiment, the management server may further include an identification information storage unit in which identification information of the administrator is stored, the identification information including account information and password information corresponding to the account information, and an identification search determination unit that displays the administrator login screen and allows the administrator to input and confirm the account and the password, the management-side control unit may control the management-side communication unit to transmit the account and the password as login information to the service-side communication unit when the administrator confirms the account and the password, and the service-side control unit may control the identification search determination unit to compare the login information with the identification information stored in the identification information storage unit and determine whether the identification information storage unit stores the same identification information as the login information, if yes, the service-side communication unit is further controlled to send a login permission signal to the management-side communication unit, and when the management-side communication unit receives the login permission signal, the management-side control unit controls the management-side input display unit to display the pumping unit number selection screen.
In the above-described embodiment, the management-side screen storage unit may further store a pumping unit information input screen, and the management server may further include a pumping unit related information storage unit and a related information update unit, wherein when a new pumping unit is purchased in an oil field and a new pumping unit number is assigned to the pumping unit, the management-side input display unit displays the pumping unit information input screen, and allows an administrator to input the new pumping unit number, and a corresponding pumping unit position and pumping unit model as pumping unit update information, and when the administrator confirms the input pumping unit update information, the management-side communication unit transmits the pumping unit update information to the management server, and the service-side control unit controls the related information update unit to update the pumping unit related information storage unit according to the pumping unit update information.
< example >
Fig. 1 is a schematic view of a pump efficiency adjustment oilfield intelligent management system according to an embodiment of the present invention.
As shown in fig. 1, the present embodiment provides an intelligent pump efficiency adjustmentoilfield management system 100 for an administrator to manage corresponding pumping units disposed at multiple oil wells in an oilfield.
The intelligent pump efficiency adjustmentoilfield management system 100 comprises anoil pumping unit 10, an oil pumpingunit control cabinet 20, amanagement server 30, anadministrator terminal 40 and acommunication network 50.
Fig. 2 is a schematic structural diagram of a pumping unit according to an embodiment of the present invention.
As shown in fig. 2, thepumping unit 10 is disposed at an oil well for pumping oil. Thepumping unit 10 has adrive motor 101, adecelerator 102, acrank support 103, acrank 104, anorigin detection module 105, awalking beam support 106, awalking beam 107, and ahorse head 108.
Thedriving motor 101 is connected to thedecelerator 102, and is used for driving thedecelerator 102 to rotate, so as to drive thecrank 104 connected to thedecelerator 102 to perform a rotational motion, and further drive thewalking beam 106 connected to thecrank 104 through a connecting rod, thehorse head 108 mounted on thewalking beam 106, and an oil pump (not shown) connected to thehorse head 108 through a traction rope to perform a reciprocating motion.
Thereducer 102 is connected to thedriving motor 101 at one end and to thecrank 104 at the other end, and is configured to transmit torque of thedriving motor 101 to rotate thecrank 104 and reduce the rotation speed.
Thecrank bracket 103 is fixedly installed on the ground.
Thecrank 104 is attached to thecrank support 103 for circular movement about the point of attachment of thecrank 104 to thecrank support 103.
Thewalking beam support 106 is fixedly connected to the ground.
One end of thewalking beam 106 is connected with thecrank 104 through a connecting rod, and is connected with thewalking beam bracket 106 at a position close to the middle of thewalking beam 106, so that the walking beam can reciprocate along with the circular motion of thecrank 104 by taking the connecting point of thewalking beam 106 and thewalking beam bracket 106 as a fulcrum.
Thehorse head 108 is mounted on the end of thewalking beam 106 opposite to the location where it is connected to thecrank 104, and can reciprocate with thewalking beam 106. One end of thehorse head 108 is connected with the oil well pump through a traction rope.
Theorigin detection module 105 is installed on thecrank bracket 103 and is in communication connection with the pumpingunit control cabinet 20, and theorigin detection module 105 sends a pulse signal to the pumpingunit control cabinet 20 every time thecrank 104 rotates past the position of theorigin detection module 105.
In this embodiment, theorigin detection module 105 sends a pulse signal every time, which indicates that thecrank 104 completes one rotation, that is, thepumping unit 10 completes one stroke. Each time the controlcabinet communication unit 214 receives a pulse signal transmitted from theorigin detection module 105 once, the controlcabinet communication unit 214 controls the current indicator diagram generation andacquisition unit 207 to generate a current indicator diagram.
In this embodiment, theorigin detection module 105 is a proximity switch, and sends a pulse signal to the pumping control device whenever thecrank 104 rotates past the position of the proximity switch. In other embodiments, theorigin detection module 105 may be other position sensors, and the signals can be sent according to the distance from thecrank 104.
Fig. 3 is a block diagram of the structure of the pumping unit control cabinet according to the embodiment of the invention. Fig. 4 is a schematic perspective view of an oil pumping unit control cabinet according to an embodiment of the present invention.
As shown in fig. 3 and 4, the pumpingunit control cabinet 20 includes aparameter storage unit 201, a pumping unitinformation storage unit 202, a control cabinetscreen storage unit 203, a control cabinetinput display unit 204, a reference indicatordiagram generation unit 205, ameasurement unit 206, a current indicator diagramgeneration acquisition unit 207, acomparison determination unit 208, afrequency conversion unit 209, an adjustmentfrequency generation unit 210, a failure indicatordiagram storage unit 211, a strokefrequency calculation unit 212, analarm unit 213, a controlcabinet communication unit 214, a controlcabinet control unit 215, acabinet 216, and a heat dissipation device (not shown).
Theparameter storage unit 201 stores corresponding pumping unit parameters.
The pumping parameters in this embodiment include the gear ratio of thereducer 102, the radius of rotation of thewalking beam 106, the radius of rotation of thecrank 104, the vertical travel of thehorse head 108, and the voltage rating, frequency rating, current rating, pole count, power rating, rotational speed rating, maximum frequency, and minimum frequency of thedrive motor 101.
The pumping unitinformation storage unit 202 stores a corresponding pumping unit number.
The consolescreen storage section 203 stores a pump efficiency input screen and a trouble alarm screen.
The control cabinetinput display section 204 displays a pump efficiency input screen for a worker to input a desired predetermined pump efficiency.
In this embodiment, the pump efficiency input screen includes a start button and a stop button. The worker determines the inputted pump efficiency by pressing the start button after inputting the desired predetermined pump efficiency.
In this embodiment, when the worker presses the start button, thefrequency converter 209 gradually increases the frequency of the current flowing through thedrive motor 101 from zero to the same frequency as the initial frequency according to the initial frequency set in advance. After the pumping unit finishes pumping with one stroke, the frequency of the current flowing through the drivingmotor 101 is adjusted according to the generated current indicator diagram. Once the worker presses the stop button, the controlcabinet control section 215 controls thefrequency conversion section 209 to convert the frequency of the current flowing through thedrive motor 101 so that the frequency of the current gradually becomes zero, thereby controlling the pumping unit to stop working.
The reference indicatordiagram generating unit 205 generates a reference indicator diagram based on the input predetermined pump efficiency.
In this embodiment, the reference indicatordiagram generating unit 205 first obtains the indicator diagram of thepumping unit 10 at the full pumping efficiency by calculation according to the stored pumping unit parameters, that is, thepumping unit 10 operates with load throughout the entire ascending stroke. And then, calculating according to the indicator diagram at the full pump efficiency and the preset pump efficiency to obtain a corresponding reference indicator diagram.
Themeasurement section 206 is configured to measure and acquire a voltage value, a current value, a frequency value, and a frequency factor value of the current of thedrive motor 101 as measurement parameters.
The current indicator diagram generation andacquisition unit 207 calculates and acquires a corresponding indicator diagram as a current indicator diagram according to the measured parameters obtained by measurement and the stored pumping unit parameters.
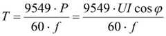
In this embodiment, the current value I, the current voltage value U and the current power factor value in the current electrical parameter are determined
Figure GDA0003286368420000091
The active power P of the drivingmotor 101 is obtained through calculation, and the calculation formula is as follows:
Figure GDA0003286368420000092
calculating and obtaining the torque T of the driving motor 12 according to the current frequency value f, wherein the calculation formula is as follows:
Figure GDA0003286368420000101
the torque T obtained by calculation is the load on the ordinate in the indicator diagram.
In other embodiments, because the factors affecting the load also include the parameters of the drivingmotor 101 and the efficiency of the oil pumping transmission mechanism, the influence of the fixed electrical parameters and the transmission parameters also needs to be considered in the process of calculating the load, and the calculation process is more complicated.
In the present embodiment, when the drivingmotor 101 drives thereducer 102 and thecrank 104 connected to thereducer 102 to rotateAnd any position where the crank rotates corresponds to any position where thehorse head 108 connected to the walking beam pulls the oil well pump to reciprocate one by one. The current voltage value U and the current power factor value obtained by the measuringunit 206
Figure GDA0003286368420000102
And setting the stroke of the oil well pump at the lowest point to be 0, and calculating to obtain the stroke of theoil pumping unit 10 corresponding to the load in the current state. And finally, generating a current indicator diagram according to the obtained load and stroke.
Once the current indicator diagram is acquired, the controlcabinet control unit 215 controls the controlcabinet communication unit 214 to transmit the acquired current indicator diagram and the corresponding pump unit number to the management server as indicator diagram information.
Thecomparison determination unit 208 compares the current indicator diagram with the reference indicator diagram to determine whether there is a deviation, and if so, the adjustmentfrequency generation unit 210 generates the adjustment frequency from the deviation.
Thefrequency converter 209 converts the frequency of the current of the drivingmotor 101 according to the adjustment frequency, thereby changing the frequency of strokes of thepumping unit 10 and further changing the pumping efficiency of thepumping unit 10.
The failure indicatordiagram storage unit 211 stores a plurality of failure indicator diagrams corresponding to failure of the pumping unit during pumping and a plurality of corresponding failure names. The fault indicator diagram comprises a plurality of corresponding serious fault indicator diagrams when serious faults occur in the oil pumping process and a plurality of corresponding slight fault indicator diagrams when slight faults occur in the oil pumping process.
Thecomparison determination unit 208 determines whether the acquired current indicator diagram is the same as any of the stored trouble indicator diagrams, and if it is determined that the acquired current indicator diagram is the same as any of the stored trouble indicator diagrams, it further determines whether the current indicator diagram is the same as a serious trouble indicator diagram or a slight trouble indicator diagram. If the current frequency is judged to be the same as the serious fault indicator diagram, the controlcabinet control part 215 controls thefrequency conversion part 209 to convert the frequency of the current of the drivingmotor 101 so that the frequency of the current gradually becomes zero to stop theoil pumping unit 10, and simultaneously controls the control cabinetinput display part 204 to display a fault alarm picture and display a corresponding fault name in the picture; if it is determined that the failure indicator diagram is the same as the critical failure indicator diagram, the controlcabinet control unit 215 controls the control cabinetinput display unit 204 to display a failure alarm screen and a corresponding failure name on the screen.
Every time thepumping unit 10 completes one reciprocating stroke, theorigin detection module 105 transmits one pulse signal to the controlcabinet communication unit 214, and the controlcabinet control unit 215 controls the strokefrequency calculation unit 212 to calculate and obtain the stroke frequency of the pumping unit according to the received pulse light signal and the time when the pulse signal is received.
Thealarm unit 213 is configured to issue an alarm when the comparison determination unit determines that the current indicator diagram is identical to the serious failure indicator diagram.
In this embodiment, thealarm portion 213 is a red alarm lamp, and the control-side control portion 215 controls thealarm portion 213 to emit an alarm, that is, the red alarm lamp is turned on. In another embodiment, thealarm unit 213 may be a buzzer, and alarm is given by giving a buzzer.
The controlcabinet communication unit 214 is used for data communication between the pumpingunit control cabinet 20 and themanagement server 30, and between the pumpingunit control cabinet 20 and theorigin detection module 105.
The controlcabinet control unit 215 includes a computer program for controlling the operation of each component of the pumpingunit control cabinet 20.
Thecabinet body 216 covers various components of the pumpingunit control cabinet 20, wherein the control cabinetinput display portion 204 is embedded in a side surface of thecabinet body 216.
The heat dissipation device is installed in thecabinet 216 and used for dissipating heat in thecabinet 216. The installation position of the heat dissipation device is determined according to the heating position of the pumpingunit control cabinet 20 during operation.
In this embodiment, the heat dissipation devices are two heat dissipation fans located at the top and the bottom of thecabinet 216.
Fig. 5 is a block diagram of a management server according to an embodiment of the present invention.
As shown in fig. 5, themanagement server 30 includes a pumping unit-relatedinformation storage unit 301, a relatedinformation update unit 302, a indicatordiagram storage unit 303, an indicatordiagram update unit 304, asearch unit 305, a strokefrequency storage unit 306, a strokefrequency update unit 307, an identificationinformation storage unit 308, an identitysearch determination unit 309, an alarmrecord storage unit 310, a service-side communication unit 311, and a service-side control unit 312.
The pumping unit-relatedinformation storage unit 301 stores a pumping unit position and a pumping unit model corresponding to a pumping unit number.
The relatedinformation updating unit 302 is used to update the pumping unit relatedinformation storage unit 301.
The indicatordiagram storage unit 303 stores the current indicator diagram. The controlcabinet control unit 215 controls the control-side communication unit 214 to transmit the current indicator diagram and the pump number to the service-side communication unit 311 as indicator diagram information. When the service-side communication unit 311 receives the indicator diagram information, the service-side control unit 312 controls the indicatordiagram updating unit 304 to update the indicatordiagram storage unit 303 based on the received indicator diagram information.
Thesearch unit 305 searches the current indicator diagram stored in the indicatordiagram storage unit 303 based on the number information, and acquires the current indicator diagram corresponding to the number information.
The strokenumber storage unit 306 stores stroke number information. The controlcabinet control unit 215 controls the control-side communication unit 214 to transmit the stroke number and the pump number to the service-side communication unit 312 as stroke number information, and when the service-side communication unit 312 receives the stroke number information, the service-side control unit 313 controls the strokenumber updating unit 307 to update the strokenumber storage unit 306 based on the received stroke number information.
The identificationinformation storage unit 308 stores identification information of the administrator. In this embodiment, the identification information includes account information and password information corresponding to the account information.
The identitysearch determination unit 309 compares the identification information stored in the identificationinformation storage unit 308 with the login information to determine whether the identification information storage unit stores the same identification information as the login information, and if so, further controls the service-side communication unit to transmit a login permission signal to the administrator terminal.
The alarmrecord storage unit 310 is used to store failure information. When thecomparison determination unit 208 determines that the current indicator diagram is identical to any of the failure indicator diagrams, the controlcabinet control unit 215 controls the controlcabinet communication unit 214 to transmit the corresponding failure name, pump number, and current time as failure information to the service-side communication unit 311. The alarmrecord storage unit 310 stores the failure information received by the service-side communication unit 311.
The service-side communication unit 311 is used to perform data communication between themanagement server 30 and the pumpingunit control cabinet 20, and between themanagement server 30 and theadministrator terminal 40.
The service-side control unit 312 includes a computer program for controlling the operations of the respective components of themanagement server 30.
Fig. 6 is a block diagram of the structure of the administrator terminal according to the embodiment of the present invention.
As shown in fig. 6, theadministrator terminal 40 includes a management-sidescreen storage unit 401, a management-sideinput display unit 402, a management-side communication unit 403, and a management-side control unit 404.
The management-sidescreen storage unit 401 stores an administrator login screen, a pumping unit number selection screen, an oil field monitoring screen, and a pumping unit information input screen.
The administratorinput display unit 402 displays an administrator login screen to allow an administrator to input and confirm an account and a password. Once the administrator confirms the account and the password, the management-side control unit 404 controls the management-side communication unit 403 to transmit the account and the password to the service-side communication unit 311 as login information. The service-side control unit 312 controls the identitysearch determination unit 309 to compare the login information with the identification information stored in the identificationinformation storage unit 308 to determine whether or not the same identification information as the login information is stored in the identification information storage unit, and if so, further controls the service-side communication unit 311 to transmit a login permission signal to the management-side communication unit 403.
When the management-side communication unit 403 receives the registration permission signal, the management-side control unit 404 controls the management-sideinput display unit 402 to display a pumping unit number selection screen and displays all pumping unit numbers included in the oil field on the screen for selection by the administrator, and when the administrator specifies the selected number, the management-side control unit 404 controls the management-side communication unit 403 to transmit the number as number information to the service-side communication unit 311.
Upon receiving the number information, the service-side communication unit 311 controls thesearch unit 305 to search the current indicator diagram stored in the indicatordiagram storage unit 303, search the stroke frequency information stored in the strokefrequency storage unit 306, search the fault information stored in the alarmrecord storage unit 310, and search the pump position and the pump signal stored in the pump-relatedinformation storage unit 301 based on the number information, thereby acquiring the current indicator diagram, the stroke frequency information, the fault information, the pump position, and the pump model corresponding to the number information.
The service-side control unit 312 controls the service-side communication unit 311 to transmit the acquired current indicator diagram, the stroke information, the fault information, the pump position, and the pump model corresponding to the number information to the management-side communication unit 403 as search result information.
The management-side control unit 404 controls the management-sideinput display unit 402 to display the oil field monitoring screen according to the search result information, and displays a corresponding current indicator diagram, a stroke number, a fault name, time for the pumpingunit control cabinet 20 to send fault information, a pumping unit position, and a pumping unit model in the screen.
Once anew pumping unit 10 is purchased and assigned a new pumping unit number, the management-side input display 402 displays a pumping unit information input screen for the administrator to input the new pumping unit number, and the corresponding pumping unit position and pumping unit model as pumping unit update information. When the administrator confirms the inputted pumping unit update information, the management-side communication unit 403 transmits the pumping unit update information to themanagement server 30, and the service-side control unit 312 controls the relatedinformation updating unit 302 to update the pumping unit-relatedinformation storage unit 301 based on the pumping unit update information.
The management-side communication unit 403 is used to perform data communication between theadministrator terminal 40 and themanagement server 30.
The management-side control unit 404 contains a computer program for controlling the operations of the respective components of theadministrator terminal 40.
Fig. 7 is a flow chart of a process of acquiring a corresponding pumping unit status according to an embodiment of the present invention.
As shown in fig. 7, the process for the administrator to obtain the corresponding pumping unit status is as follows:
step S1, the measuringsection 206 measures and acquires the voltage value, the current value, the frequency value, and the frequency factor value of the current of the drive motor as measurement parameters, and then proceeds to step S2;
step S2, the current indicator diagram generation andacquisition unit 207 generates and acquires an indicator diagram of the pumping unit in one reciprocating stroke as the current indicator diagram according to the stored pumping unit parameters and the acquired measurement parameters, and then the process goes to step S3;
step S3, the strokefrequency calculating unit 212 calculates the stroke frequency of the pumping unit according to the pulse signal sent by theorigin detection module 105 when the pumping unit completes each reciprocating stroke and the time of receiving the pulse signal, which are received by the controlcabinet communication unit 214, and then the process goes to step S4;
step S3, the controlcabinet communication unit 214 sends the obtained current indicator diagram and the corresponding pumping unit number as indicator diagram information and the stroke number and the corresponding pumping unit number as stroke number information to themanagement server 30, and then the process goes to step S4;
step S4, the indicatordiagram updating unit 304 updates the indicatordiagram storage unit 303 based on the indicator diagram information received by the service-side communication unit 311, theburst updating unit 307 updates theburst updating unit 306 based on the burst information received by the service-side communication unit 311, and the process proceeds to step S5;
step S5, the manager selects and confirms the pump number to be observed from the pump number selection screen displayed on the management-sideinput display unit 402, the management-side communication unit 403 transmits the pump number selected by the manager as number information to themanagement server 30, and the process proceeds to step S6;
step S6, the service-side control unit 312 controls thesearch unit 305 to search the indicator diagram information stored in the indicatordiagram storage unit 303 according to the number information received by the service-side communication unit 311 to obtain the current indicator diagram corresponding to the number information, searches the stroke frequency information stored in the strokefrequency storage unit 306 to obtain the stroke frequency corresponding to the number information, searches the pumping unit-related information storage unit to obtain the pumping unit position and the pumping unit model corresponding to the number information, and then proceeds to step S7;
step S7, the serviceside communication section 311 sends the current indicator diagram, the stroke number, the pumping unit position, and the pumping unit model obtained by the search to themanagement server 30 as search result information, and then proceeds to step S8;
in step S8, the management-side control unit 404 controls the management-sideinput display unit 402 to display the oil field monitoring screen and the current indicator diagram, the stroke number, the pumping unit position, and the pumping unit model on the screen according to the search result information received by the service-side communication unit 403, and then enters the end state.
Fig. 8 is a flow chart of a pump efficiency adjustment process of an embodiment of the present invention.
As shown in fig. 8, the pump efficiency adjustment process according to the set pump efficiency is as follows:
step T1, the worker inputs the desired predetermined pump efficiency on the pump efficiency input screen displayed on the control cabinetinput display section 204 and presses the start button to confirm the predetermined pump efficiency, and then proceeds to step T2;
step T2, thefrequency conversion unit 209 gradually increases the frequency of the current flowing through the drivingmotor 101 from zero to equal to the initial frequency according to the preset initial frequency, so that the pumping unit starts to work, and then the operation goes to step T3;
a step T3 in which the reference indicatordiagram generating section 205 generates a reference indicator diagram based on the input predetermined pump efficiency, and the process proceeds to a step T4;
step T4, the measuringsection 206 measures and acquires the voltage value, the current value, the frequency value, and the frequency factor value of the current of the drive motor as measurement parameters, and then proceeds to step T5;
step T5, the current indicator diagram generation andacquisition unit 207 generates and acquires an indicator diagram of the pumping unit in one reciprocating stroke as a current indicator diagram according to the stored pumping unit parameters and the acquired measurement parameters, and then proceeds to step T6;
in step T6, thecomparison determination unit 208 compares the current indicator diagram with the reference indicator diagram to determine whether there is a deviation, and if not, enters the end state, and if so, enters step T7
Step T7, the adjustmentfrequency generating unit 210 generates an adjustment frequency from the offset, and the process proceeds to step T8;
in step T8, thefrequency conversion unit 209 performs frequency conversion on the current of thepumping unit 10 according to the adjustment frequency, so as to change the stroke frequency of thepumping unit 10 and further change the pumping efficiency of thepumping unit 10, and then the process goes to step T4.
FIG. 9 is a flow chart of a get alarm log process of an embodiment of the present invention.
As shown in fig. 9, the process of acquiring the corresponding alarm record by the administrator is as follows:
step E1, the comparison judgment part judges whether the obtained current indicator diagram is the same as any stored fault indicator diagram, if so, the step E2 is entered, and if not, the step E2 is entered;
step E2, the comparison determination part determines whether the current indicator diagram is the same as the serious fault indicator diagram or the same as the slight fault indicator diagram, if the comparison determination part determines that the current indicator diagram is the same as the serious fault indicator diagram, the step E3 is entered;
step E3, the controlcabinet control unit 215 controls thefrequency converter 209 to convert the frequency of the current of the drivingmotor 10 so that the frequency of the current gradually becomes zero to stop the operation of thepumping unit 10, and controls the control cabinetinput display unit 204 to display a fault alarm screen and a corresponding fault name on the screen, and then the process proceeds to step E5;
step E4, thecontrol box controller 215 controls the controlbox input display 215 to display the trouble alarm screen and the corresponding trouble name on the screen, and then the process proceeds to step E5;
step E5, the controlcabinet control section 215 controls the controlcabinet communication section 214 to send the corresponding fault name, the number of the pumping unit, and the current time as fault information to themanagement server 30, and then proceeds to step E6;
step E6, the alarmrecord storage unit 310 stores the failure information received by the service-side communication unit 311, and the process proceeds to step E7;
step E7, the service-side controller 312 controls thesearch unit 305 to search the alarmrecord storage unit 310 based on the number information, thereby acquiring the failure information corresponding to the number, and then proceeds to step E8;
step E8, the service-side communication unit 311 transmits the failure information to the administrator terminal, and the process proceeds to step E9;
in step E9, the management-sideinput display unit 402 displays the oil field monitoring screen and displays the failure information on the screen, and then enters the end state.
Fig. 10 is a flow chart of an administrator authentication process of an embodiment of the present invention.
As shown in fig. 10, the administrator performs the authentication process as follows:
a step P1 in which the administrator confirms the input of the account and the password on the administrator login screen displayed on the administratorinput display unit 402, and then the flow proceeds to a step P2;
step P2, the management-side communication unit 403 transmits the input account and password to themanagement server 30 as login information, and proceeds to step P3;
in step P3, the service-side controller 312 controls theidentity search determiner 309 to compare the registration information received by the service-side communicator 311 with the identification information stored in theidentification information storage 308, and determines whether or not the identification information identical to the registration information is stored in theidentification information storage 308, if yes, the process proceeds to step P4, otherwise the process proceeds to an end state;
step P4, the service-side communication section 311 transmits a login permission signal to theadministrator terminal 40, and the process proceeds to step P5;
in step P5, the management-side control unit 404 controls the management-side display unit 402 to display a pump number selection screen for the administrator to select, and then enters the end state.
Fig. 11 is a flow chart of a new pumping unit information entry process according to an embodiment of the present invention.
As shown in fig. 11, the process of the administrator for entering the newly purchased pumping unit information is as follows:
step Q1, the administrator gives a new number of pumping unit to the newly purchased pumping unit and inputs the new number of pumping unit and the corresponding position and model of pumping unit as the updated information of pumping unit and confirms on the information input screen of pumping unit displayed on the management sideinput display part 402, and then step Q2;
step Q2, the managementside communication unit 403 transmits the pumping unit update information to themanagement server 30, and then proceeds to step Q3;
in step Q3, the service-side control unit 312 controls the related-information updating unit 302 to update the pumping unit-related-information storage unit 301 based on the pumping unit update information, and then enters the end state.
Examples effects and effects
The intelligent management system for the pump efficiency adjustment oilfield provided by the embodiment generates a corresponding reference indicator diagram according to the pump efficiency set by the input of a worker, generates a corresponding adjustment frequency according to the offset of the current indicator diagram relative to the reference indicator diagram, and adjusts the current frequency of the driving motor according to the adjustment frequency so as to control the oil pumping efficiency of the oil pumping unit. The workman can set up required pump efficiency according to the production plan in oil field, and the oil mass that produces when the plan increases, thereby the workman controls the pump efficiency of this beam-pumping unit through setting up higher pump efficiency in oil well department, improves the oil production volume of this beam-pumping unit. The method greatly improves the management efficiency of oil field production and is convenient for the oil field to realize large-scale automatic production.
The intelligent management system for the pump efficiency adjustment oil field provided by the embodiment is characterized in that the pumping unit control cabinets are arranged at the pumping units, the current indicator diagram is obtained by calculating the electrical parameters of the driving motor of the pumping unit and the parameters of the pumping unit in real time according to the measurement of the pumping unit control cabinets, and the obtained current indicator diagram is displayed at the administrator terminal. The indicator diagram is an important tool for helping an administrator to know the working state of the pumping unit, and the embodiment enables the administrator to obtain the working state of each pumping unit in an oil field in real time on a held administrator terminal. Therefore, the manager can reasonably arrange a production plan according to the working condition of each pumping unit in time. The problem of low efficiency caused by information lag is avoided. Meanwhile, the current indicator diagram is displayed on the oil pumping control cabinet, so that workers in an oil field can obtain the operation condition of the oil pumping unit beside the corresponding oil pumping unit, the workers can conveniently master the state of the oil pumping unit without inquiring an administrator, and the oil pumping unit can be overhauled in time when necessary.
In the intelligent management system for pump efficiency adjustment oil field provided by this embodiment, the administrator can obtain the current indicator diagram and stroke frequency of the pumping unit corresponding to the number, the fault of the pumping unit, the time of the fault, the position of the pumping unit and the model of the pumping unit by selecting the number of the pumping unit. When a certain pumping unit breaks down in an oil field, a manager can timely know the position and the fault type of the broken-down pumping unit and timely contact maintenance personnel to the position of the pumping unit to maintain the pumping unit. Compared with the prior art that the state of the pumping unit needs to be detected and acquired, the response time when the fault occurs is saved, so that the pumping unit with the fault can be put into production continuously as soon as possible.
The intelligent management system for the pump efficiency adjustment oil field provided by the embodiment compares the current indicator diagram with the serious fault indicator diagram through the comparison judgment part to judge whether the current indicator diagram and the serious fault indicator diagram are the same or not, further, when the judgment is yes, a red alarm lamp of the alarm part is turned on, the fault is stored in the management server, and meanwhile, the frequency of the current of the driving motor is adjusted to be zero so as to control the pumping unit to stop pumping oil. Therefore, when serious faults occur in the production process, the production can be stopped in time, and the greater economic loss is avoided. Meanwhile, the worker is prompted to stop due to serious faults of the pumping unit through an obvious red alarm lamp, and the pumping unit needs to be maintained as soon as possible.
The intelligent management system for the pump efficiency adjustment oil field provided by the embodiment compares the current indicator diagram with the slight fault indicator diagram through the comparison and judgment part to judge whether the two are the same, further displays the corresponding fault name at the operation terminal when the judgment is yes, and adjusts the frequency of the current of the driving motor according to the corresponding control frequency, thereby reducing the frequency of stroke of the pumping unit. Due to the reduction of the stroke frequency, the loss caused by continuous production of the oil pumping unit without stopping under slight fault is reduced. Because the time required for stopping the machine for maintenance is long, generally two to three days are required, the pumping action device is not controlled to stop working when a slight fault occurs, so that the larger economic loss can be avoided. And through the display of the operating terminal on the fault name, workers can intuitively know the fault content of the oil pumping unit, and regular maintenance and inspection can be conveniently arranged.
Compared with the traditional method for obtaining the indicator diagram by using a load sensor and a displacement sensor, the pump efficiency adjustment oilfield intelligent management system provided by the embodiment has the advantages that the influence of temperature and time interval environment on the measuring process is small, and the accuracy of the current indicator diagram obtained by calculation is improved. The accuracy of controlling the oil pumping action of the oil well pump is further improved.
The intelligent management system for the pump efficiency adjustment oil field provided by the embodiment manages and can endow newly purchased oil pumping units with serial numbers and input related information into the management server, so that the oil pumping units needing to be managed in the oil field can be updated according to actual operation conditions in production operation of the oil field, and large-scale automatic production is facilitated.
The above-described embodiments are merely illustrative of specific embodiments of the present invention, and the present invention is not limited to the description of the above-described embodiments.
In other embodiments, the administrator terminal may also store a pump efficiency input picture to allow management and input of pump efficiency of each pumping unit in an oil field, and then send the input pump efficiency corresponding to the number of the pumping unit to the corresponding pumping unit control cabinet, and then the pumping unit control cabinet generates a reference indicator diagram according to the received pump efficiency, and further controls the pumping unit to pump oil according to the reference indicator diagram.

Claims (9)

1. The utility model provides a pump efficiency adjustment oil field intelligent management system for let the administrator manage the beam-pumping unit that sets up the correspondence in a plurality of oil wells department in the oil field, its characterized in that includes:
at least one said pumping unit disposed at said well;
the pumping unit control cabinet is arranged at the oil well and is correspondingly connected with the pumping unit, is operated by workers and is used for controlling the pumping action of the pumping unit;
an administrator terminal held by the administrator; and
a management server which is respectively connected with the oil pumping machine control cabinet and the administrator terminal in a communication way,
wherein the oil pumping machine is driven by electric power and used for dragging the oil well pump to reciprocate so as to realize oil pumping,
the oil pumping machine control cabinet is provided with a parameter storage part, an oil pumping machine information storage part, a control cabinet picture storage part, a control cabinet input display part, a reference indicator diagram generating part, a measuring part, a current indicator diagram generating and acquiring part, a comparison judging part, a frequency conversion part, an adjustment frequency generating part, a control cabinet communication part and a control cabinet control part,
the parameter storage part stores corresponding pumping unit parameters,
the pumping unit information storage part stores corresponding pumping unit numbers,
the picture storage part of the control cabinet stores a pump efficiency input picture,
the control cabinet input display part displays the pump efficiency input picture to allow the worker to input the required preset pump efficiency,
upon confirmation of the input predetermined pump efficiency by the worker, the reference indicator diagram generating section generates a reference indicator diagram based on the input predetermined pump efficiency,
the measuring part measures and obtains the voltage value, the current value, the frequency value and the frequency factor value of the current driving the corresponding pumping unit as measuring parameters,
the current indicator diagram generating and acquiring part generates and acquires an indicator diagram of the pumping unit in one reciprocating stroke as a current indicator diagram according to the stored pumping unit parameters and the acquired measurement parameters,
the comparison judging part compares the current indicator diagram with the reference indicator diagram to judge whether an offset exists, if so, the adjusting frequency generating part generates adjusting frequency according to the offset,
the frequency conversion part carries out frequency conversion on the current for driving the corresponding oil pumping unit according to the adjustment frequency, thereby changing the stroke frequency of the oil pumping unit and further changing the oil pumping efficiency of the oil pumping unit,
once the current indicator diagram is obtained, the control cabinet control part controls the control cabinet communication part to send the obtained current indicator diagram and the corresponding pumping unit number to the management server as indicator diagram information,
the management server comprises a pumping unit related information storage part, a indicator diagram storage part, an indicator diagram updating part, a searching part, a service side communication part and a service side control part,
the administrator terminal has an administration side screen storage section, an administration side input display section, an administration side communication section, and an administration side control section,
the indicator diagram storage part is used for storing the current indicator diagram,
the service-side communication unit controls the indicator diagram updating unit to update the indicator diagram storage unit according to the received indicator diagram information when the service-side communication unit receives the indicator diagram information,
the management side picture storage part stores a pumping unit number selection picture and an oil field monitoring picture,
the management side input display part displays the oil pumping machine number selection picture and displays all oil pumping machine numbers contained in the oil field in the picture to be selected by the administrator,
the management-side control section controls the management-side communication section to transmit the number as number information to the service-side communication section upon the administrator determining the selected number,
upon the service-side communication section receiving the number information, the service-side control section controlling the retrieval section to retrieve the current indicator diagram stored in the indicator diagram storage section based on the number information, thereby acquiring the current indicator diagram corresponding to the number information, the service-side control section controlling the service-side communication section to transmit the acquired current indicator diagram corresponding to the number information to the management-side communication section as retrieval result information,
and the management side control part controls the management side input display part to display the oil field monitoring picture and display the corresponding current indicator diagram in the picture according to the retrieval result information.
2. The pump efficiency adjustment oilfield intelligent management system of claim 1, wherein:
wherein, the control cabinet of the oil pumping machine is also provided with a fault indicator diagram storage part,
the fault indicator diagram storage part stores a plurality of fault indicator diagrams corresponding to the fault of the oil pumping unit in the oil pumping process and a plurality of corresponding fault names,
the fault indicator diagram comprises a plurality of corresponding serious fault indicator diagrams when serious faults occur in the oil pumping process and a plurality of corresponding slight fault indicator diagrams when the oil pumping unit is slightly faulted in the oil pumping process,
the control cabinet picture storage part also stores a fault alarm picture,
the comparison judging part judges whether the obtained current indicator diagram is the same as any stored fault indicator diagram or not, if so, further judges whether the current indicator diagram is the same as the serious fault indicator diagram or the same as the slight fault indicator diagram,
if the fault alarm picture is judged to be the same as the serious fault indicator picture, the control cabinet control part controls the frequency conversion part to carry out frequency conversion on the frequency of the current driving the oil pumping unit so that the frequency of the current gradually becomes zero to stop the oil pumping unit, and simultaneously controls the control cabinet input display part to display the fault alarm picture and display the corresponding fault name in the picture,
if the fault alarm picture is judged to be the same as the minor fault indicator picture, the control cabinet control part controls the control cabinet input display part to display the fault alarm picture and display the corresponding fault name in the picture.
3. The pump efficiency adjustment oilfield intelligent management system of claim 2, wherein:
wherein the oil pumping machine control cabinet is also provided with an alarm part,
and when the comparison judgment part judges that the current indicator diagram is the same as the serious fault indicator diagram, the control cabinet control part controls the alarm part to give an alarm.
4. The pump efficiency adjustment oilfield intelligent management system of claim 2, wherein:
wherein the management server further has an alarm record storage section,
when the comparison determination part determines that the current indicator diagram is the same as any fault indicator diagram, the control cabinet control part controls the control cabinet communication part to send the corresponding fault name, the oil pumping unit number and the current time as fault information to the service side communication part,
the alarm record storage unit stores the failure information received by the service-side communication unit,
the service-side communication unit, upon receiving the number information, controls the search unit to search the alarm record storage unit based on the number information, thereby acquiring the failure information corresponding to the number information, and further controls the service-side communication unit to transmit the failure information acquired by the search to the management-side communication unit,
the management-side input display unit displays the oil field monitoring screen and displays the failure information on the screen.
5. The intelligent pump efficiency adjustment oilfield management system of claim 1, wherein:
wherein the oil pumping unit is provided with an origin detection module which is in communication connection with the control cabinet communication part,
the oil pumping machine control cabinet is also provided with a stroke frequency calculating part,
the control cabinet picture storage part also stores a state monitoring picture,
the management server further has a stroke storage unit and a stroke update unit,
the origin detection module sends a pulse signal to the control cabinet communication part every time the oil pumping unit completes a reciprocating stroke,
the control cabinet control part controls the stroke frequency calculation part to calculate and obtain the stroke frequency of the oil pumping unit according to the received pulse signal and the time of receiving the pulse signal,
the control cabinet control part controls the control cabinet input display part to display the state monitoring picture, displays the calculated stroke frequency and the acquired current indicator diagram in the picture, controls the control cabinet communication part to send the stroke frequency and the oil pumping unit number to the service side communication part as stroke frequency information,
the stroke frequency storage part is used for storing the stroke frequency information,
the service-side controller, upon receipt of the Impulse information by the service-side communicator, controls the Impulse updater to update the Impulse storage based on the received Impulse information,
the service-side communication unit, upon receiving the number information, controls the retrieval unit to retrieve the number information from the number information, thereby acquiring the number information corresponding to the number information, and further controls the service-side communication unit to transmit the retrieved number information to the management-side communication unit,
and the management side input display part displays the oil field monitoring picture and displays the stroke frequency information in the picture.
6. The pump efficiency adjustment oilfield intelligent management system of claim 1, wherein:
wherein the pumping unit position and the pumping unit model corresponding to the pumping unit number are stored in the pumping unit related information storage part,
once the service-side communication unit receives the number information, the service-side control unit controls the search unit to search the pumping unit-related information storage unit according to the number information to obtain the pumping unit position and the pumping unit model corresponding to the number information, and further controls the service-side communication unit to transmit the pumping unit position, the pumping unit model, and the corresponding pumping unit number obtained by the search to the management-side communication unit as pumping unit-related information,
and the management side input display part displays the oil field monitoring picture and displays the related information of the oil pumping unit in the picture.
7. The pump efficiency adjustment oilfield intelligent management system of claim 1, wherein:
wherein, the control cabinet of the oil pumping machine is also provided with a cabinet body and a heat dissipation device,
the cabinet body covers the parameter storage part, the pumping unit information storage part, the control cabinet picture storage part, the reference indicator diagram generation part, the measurement part, the current indicator diagram generation and acquisition part, the comparison determination part, the frequency conversion part, the adjustment frequency generation part, the control cabinet communication part and the control cabinet control part,
the control cabinet input display part is arranged on the outer surface of the cabinet body,
the heat dissipation device is installed in the cabinet body and used for dissipating heat in the cabinet body.
8. The pump efficiency adjustment oilfield intelligent management system of claim 1, wherein:
wherein the management-side screen storage unit further stores a manager login screen,
the management server further includes an identification information storage unit and an identity search determination unit,
the identification information storage part stores identification information of the administrator, the identification information including account information and password information corresponding to the account information,
the management side input display part displays the administrator login picture to allow the administrator to input an account and a password and confirm the account and the password,
the management-side control section controls the management-side communication section to transmit the account and the password to the service-side communication section as login information upon confirmation of the account and the password by the administrator,
the service-side control section controls the identity search determination section to compare the registration information with the identification information stored in the identification information storage section to determine whether or not the identification information identical to the registration information is stored in the identification information storage section, and if so, further controls the service-side communication section to transmit a registration permission signal to the management-side communication section,
when the management-side communication unit receives the login permission signal, the management-side control unit controls the management-side input display unit to display the pumping unit number selection screen.
9. The pump efficiency adjustment oilfield intelligent management system of claim 1, wherein:
wherein the management side picture storage part also stores an oil pumping machine information input picture,
the management server further has a related information updating section,
once a new pumping unit is purchased in the oil field and a new pumping unit number is given to the pumping unit, the management side input display part displays the pumping unit information input picture to allow the administrator to input the new pumping unit number and the corresponding pumping unit position and pumping unit model as pumping unit update information,
the management-side communication unit transmits the pumping unit update information to the management server upon the input of the pumping unit update information being confirmed by the administrator,
and the service side control part controls the related information updating part to update the related information storage part of the pumping unit according to the pumping unit updating information.
CN202010233592.7A2020-03-272020-03-27Intelligent management system for pump efficiency adjustment oil fieldActiveCN111520114B (en)

Priority Applications (1)

Application NumberPriority DateFiling DateTitle
CN202010233592.7ACN111520114B (en)2020-03-272020-03-27Intelligent management system for pump efficiency adjustment oil field

Applications Claiming Priority (1)

Application NumberPriority DateFiling DateTitle
CN202010233592.7ACN111520114B (en)2020-03-272020-03-27Intelligent management system for pump efficiency adjustment oil field

Publications (2)

Publication NumberPublication Date
CN111520114A CN111520114A (en)2020-08-11
CN111520114Btrue CN111520114B (en)2022-07-08

Family

ID=71901401

Family Applications (1)

Application NumberTitlePriority DateFiling Date
CN202010233592.7AActiveCN111520114B (en)2020-03-272020-03-27Intelligent management system for pump efficiency adjustment oil field

Country Status (1)

CountryLink
CN (1)CN111520114B (en)

Families Citing this family (3)

* Cited by examiner, † Cited by third party
Publication numberPriority datePublication dateAssigneeTitle
CN113107430B (en)*2021-04-222021-12-14大庆山勃电器有限公司Intelligent variable frequency control device and process for optimal stroke frequency of oil pumping unit
CN113622880B (en)*2021-07-282022-07-22陕西埃菲克能源科技有限公司 A non-stop pumping method based on frequency conversion technology
CN114776268B (en)*2022-06-222022-09-09陕西埃菲克能源科技有限公司Green low-carbon intelligent group control method and system for oil extraction system

Citations (13)

* Cited by examiner, † Cited by third party
Publication numberPriority datePublication dateAssigneeTitle
SU763586A1 (en)*1978-07-251980-09-15Институт Кибернетики Ан Азербайджанской СсрDevice for automatically controlling operation of deep-well pumping unit
SU1008422A1 (en)*1981-01-291983-03-30Институт Кибернетики Ан АзссрDevice for automatically controlling deep well pumping system for low-output oil wells
US4767280A (en)*1987-08-261988-08-30Markuson Neil DComputerized controller with service display panel for an oil well pumping motor
CN101078920A (en)*2007-05-252007-11-28东营汇安高科电子有限责任公司Oil well dynamic energy-saving device
CN103161430A (en)*2011-12-142013-06-19中国石油天然气股份有限公司Real-time intelligent regulation method and device for stroke frequency and balance of oil pumping unit
CN103984300A (en)*2014-04-282014-08-13安徽多杰电气有限公司Efficient method for frequency conversion and energy saving of oil pumping unit
JP2014211065A (en)*2013-04-222014-11-13株式会社大林組Managing system for pumping well
CN104213904A (en)*2013-06-052014-12-17中国石油天然气股份有限公司Real-time efficiency monitoring method for sucker-rod pumping system
CN104597858A (en)*2014-02-202015-05-06李新华 An oilfield management system and management method
CN205121296U (en)*2015-08-182016-03-30河南正孚电气有限公司Next quick -witted intelligent monitoring of beam -pumping unit integration system
CN106761668A (en)*2016-11-192017-05-31新疆华隆油田科技股份有限公司Oil well failure intelligent analysis decision system and method
CN107762456A (en)*2017-10-242018-03-06石家庄爱科特科技开发有限公司A kind of oil pumper variable-speed operation intelligent control method and control device
CN109681154A (en)*2018-11-122019-04-26西安艾贝尔科技发展有限公司A kind of oil well optimal control management system, method and oil pumping unit frequency conversion control method

Patent Citations (13)

* Cited by examiner, † Cited by third party
Publication numberPriority datePublication dateAssigneeTitle
SU763586A1 (en)*1978-07-251980-09-15Институт Кибернетики Ан Азербайджанской СсрDevice for automatically controlling operation of deep-well pumping unit
SU1008422A1 (en)*1981-01-291983-03-30Институт Кибернетики Ан АзссрDevice for automatically controlling deep well pumping system for low-output oil wells
US4767280A (en)*1987-08-261988-08-30Markuson Neil DComputerized controller with service display panel for an oil well pumping motor
CN101078920A (en)*2007-05-252007-11-28东营汇安高科电子有限责任公司Oil well dynamic energy-saving device
CN103161430A (en)*2011-12-142013-06-19中国石油天然气股份有限公司Real-time intelligent regulation method and device for stroke frequency and balance of oil pumping unit
JP2014211065A (en)*2013-04-222014-11-13株式会社大林組Managing system for pumping well
CN104213904A (en)*2013-06-052014-12-17中国石油天然气股份有限公司Real-time efficiency monitoring method for sucker-rod pumping system
CN104597858A (en)*2014-02-202015-05-06李新华 An oilfield management system and management method
CN103984300A (en)*2014-04-282014-08-13安徽多杰电气有限公司Efficient method for frequency conversion and energy saving of oil pumping unit
CN205121296U (en)*2015-08-182016-03-30河南正孚电气有限公司Next quick -witted intelligent monitoring of beam -pumping unit integration system
CN106761668A (en)*2016-11-192017-05-31新疆华隆油田科技股份有限公司Oil well failure intelligent analysis decision system and method
CN107762456A (en)*2017-10-242018-03-06石家庄爱科特科技开发有限公司A kind of oil pumper variable-speed operation intelligent control method and control device
CN109681154A (en)*2018-11-122019-04-26西安艾贝尔科技发展有限公司A kind of oil well optimal control management system, method and oil pumping unit frequency conversion control method

Also Published As

Publication numberPublication date
CN111520114A (en)2020-08-11

Similar Documents

PublicationPublication DateTitle
CN111520114B (en)Intelligent management system for pump efficiency adjustment oil field
US11808125B2 (en)Smart fracturing system and method
WO2016107592A1 (en)Intelligent oil pumping control method and intelligent oil pumping unit
US20170008739A1 (en)System and method for lifting with spreader bar
CN109681154A (en)A kind of oil well optimal control management system, method and oil pumping unit frequency conversion control method
US10508522B2 (en)Automatic sucker rod spacing device and methods of using same
CN106894797A (en)Crank swing control device and method for oil pumping unit
CN105672950B (en)Intelligent energy-saving pumping unit and its autocontrol method
CN103081348A (en)Improved method to save energy for devices with rotating or reciprocating masses
CN101135910A (en)Method for evaluating efficiency of ground equipment of sucker-rod pumping system
CN204402438U (en)Intelligent oil pumping machine
CN114110406B (en)Intelligent lubrication management system
CN104265247A (en)Automatic beam pumper balance adjustment device and automatic control method
CN110241739A (en)Hydraulic climbing formwork digital intelligent control platform
CN111472726B (en)Intelligent oil pumping unit for yield detection
CN102268989A (en)Method and system for acquiring online real-time data of working fluid level of pumping well
CN111520129B (en)State monitoring oil field intelligent management system
CN104793571A (en)Method and device for comprehensive oil pumping well measurement and control
EP3135825B1 (en)Apparatus for calculating operational time of hybrid construction machine and method therefor
CN111472723B (en)Intelligent pumping unit with adjustable pump efficiency
CN204140029U (en)Beam pumping unit balance automatic regulating apparatus
WO2014175769A1 (en)Method for operating a well using a pump assembly with a variable-frequency drive
CN111472724B (en)Working state detection control intelligent oil pumping machine
CN111472725B (en)Intelligent oil pumping unit for detecting liquid level height
CN217331224U (en)Digital energy-saving monitoring system of oil pumping unit

Legal Events

DateCodeTitleDescription
PB01Publication
PB01Publication
SE01Entry into force of request for substantive examination
SE01Entry into force of request for substantive examination
GR01Patent grant
GR01Patent grant

[8]ページ先頭

©2009-2025 Movatter.jp